Shot-Earth as Sustainable Construction Material: Chemical Aspects and Physical Performance
Abstract
1. Introduction
2. Materials and Methods
2.1. True Density, Bulk Density and Porosity
2.2. Capillary Water Absorption
2.3. Chemical Attacks
2.4. SEM Analysis
2.5. XRD Analysis
3. Results
3.1. True Density, Bulk Density and Porosity
3.2. Capillarity Water Absorption
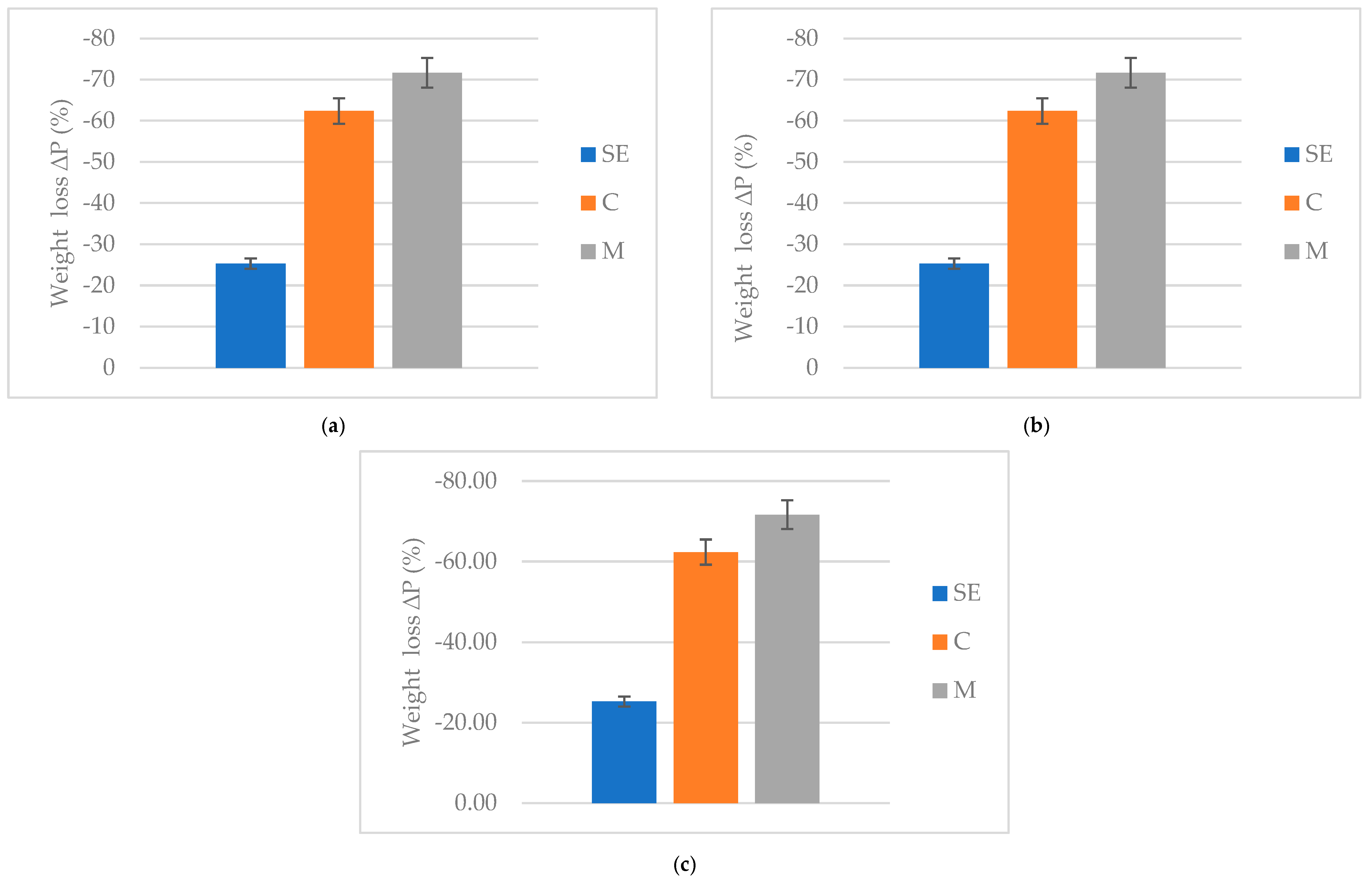
3.3. Chemical Attacks
3.4. SEM Analyses
3.5. XRD Analyses
- -
- HCl and calcium chloride
- -
- H2SO4 and sodium sulfate
- -
- HNO3
4. Conclusions
Author Contributions
Funding
Institutional Review Board Statement
Informed Consent Statement
Data Availability Statement
Conflicts of Interest
References
- Hale, S.E.; Roque, A.J.; Okkenhaug, G.; Sørmo, E.; Lenoir, T.; Carlsson, C.; Kupryianchyk, D.; Flyhammar, P.; Žlender, B. The Reuse of Excavated Soils from Construction and Demolition Projects: Limitations and Possibilities. Sustainability 2021, 13, 6083. [Google Scholar] [CrossRef]
- Tarantino, A.M.; Cotana, F.; Viviani, M. (Eds.) Shot-Earth for an Eco-Friendly and Human-Comfortable Construction Industry; Springer Tracts in Civil Engineering; Springer Nature: Cham, Switzerland, 2023; ISBN 978-3-031-23506-1. [Google Scholar]
- Savino, V.; Franciosi, M.; Viviani, M. Engineering and Analyses of a Novel Catalan Vault. Eng. Fail. Anal. 2023, 143, 106841. [Google Scholar] [CrossRef]
- Scrivener, K.; Martirena, F.; Bishnoi, S.; Maity, S. Calcined Clay Limestone Cements (LC3). Cem. Concr. Res. 2018, 114, 49–56. [Google Scholar] [CrossRef]
- Bacciocchi, M.; Savino, V.; Lanzoni, L.; Tarantino, A.M.; Viviani, M. Multi-Phase Homogenization Procedure for Estimating the Mechanical Properties of Shot-Earth Materials. Compos. Struct. 2022, 295, 115799. [Google Scholar] [CrossRef]
- Curto, A.; Lanzoni, L.; Tarantino, A.M.; Viviani, M. Shot-Earth for Sustainable Constructions. Constr. Build. Mater. 2020, 239, 117775. [Google Scholar] [CrossRef]
- D’Alessandro, A.; Fabiani, C.; Pisello, A.L.; Ubertini, F.; Materazzi, A.L.; Cotana, F. Innovative Concretes for Low-Carbon Constructions: A Review. Int. J. Low-Carbon Tech. 2016, 12, 289–309. [Google Scholar] [CrossRef]
- Elsvier Article: Shot-Earth for Sustainable Constructions. Available online: https://www.pittet-artisans.ch/blog/elsvier-article-shot-earth-for-sustainable-constructions.html (accessed on 12 January 2020).
- Robalo, K.; Soldado, E.; Costa, H.; Carvalho, L.; Do Carmo, R.; Júlio, E. Durability and Time-Dependent Properties of Low-Cement Concrete. Materials 2020, 13, 3583. [Google Scholar] [CrossRef] [PubMed]
- Soldado, E.; Antunes, A.; Costa, H.; Do Carmo, R.; Júlio, E. Durability of Mortar Matrices of Low-Cement Concrete with Specific Additions. Constr. Build. Mater. 2021, 309, 125060. [Google Scholar] [CrossRef]
- Scherer, G.W. Stress from Crystallization of Salt. Cem. Concr. Res. 2004, 34, 1613–1624. [Google Scholar] [CrossRef]
- Medina, G.; Sáez Del Bosque, I.F.; Frías, M.; Sánchez De Rojas, M.I.; Medina, C. Durability of New Recycled Granite Quarry Dust-Bearing Cements. Constr. Build. Mater. 2018, 187, 414–425. [Google Scholar] [CrossRef]
- Tobón, J.I.; Payá, J.; Restrepo, O.J. Study of Durability of Portland Cement Mortars Blended with Silica Nanoparticles. Constr. Build. Mater. 2015, 80, 92–97. [Google Scholar] [CrossRef]
- Vantadori, S.; Żak, A.; Sadowski, Ł.; Ronchei, C.; Scorza, D.; Zanichelli, A.; Viviani, M. Microstructural, Chemical and Physical Characterisation of the Shot-Earth 772. Constr. Build. Mater. 2022, 341, 127766. [Google Scholar] [CrossRef]
- Colpo, A.; Vantadori, S.; Friedrich, L.; Zanichelli, A.; Ronchei, C.; Scorza, D.; Iturrioz, I. A Novel LDEM Formulation with Crack Frictional Sliding to Estimate Fracture and Flexural Behaviour of the Shot-Earth 772. Compos. Struct. 2023, 305, 116514. [Google Scholar] [CrossRef]
- UNI EN 1936:2006; Test Methods for Natural Stones—Determination of Real and Apparent Density and Total and Open Porosity. UNI: Rome, Italy, 2006.
- UNI EN 1015-18:2004; Test Methods for Masonry Mortars—Determination of the Capillarity Water Absorption Coefficient of the Hardened Mortar. UNI: Rome, Italy, 2004.
- UNI EN 998-2:2016; Specifications for Masonry Mortars—Part 2: Masonry Mortars. UNI: Rome, Italy, 2016.
- EN 196-1:2005; Methods of Testing Cement—Part 1: Determination of Strength. UNI: Rome, Italy, 2005.
- UNI-EN 206-1:2006; Concrete—Part 1: Specification, Performance, Production and Conformity. UNI: Rome, Italy, 2006.
- Danillo Wisky Silva, L.; Bufalino, M.A.; Martins, H.S.; Junior, G.; Tonoli, L. Mendes, Superabsorbent Ability Polymer to Reduce the Bulk Density of Extruded Cement Boards. J. Build. Eng. 2021, 43, 103130. [Google Scholar] [CrossRef]
- Sadrmomtazi, A.; Noorollahi, Z.; Tahmouresi, B.; Saradar, A. Effects of Hauling Time on Self-Consolidating Mortars Containing Metakaolin and Natural Zeolite. Constr. Build. Mater. 2019, 221, 283–291. [Google Scholar] [CrossRef]
- UNI EN 998-1:2010; Specification for mortar for masonry—Part 1: Rendering and plastering mortar. UNI: Rome, Italy, 2011.
- Türkel, S.; Felekoǧlu, B.; Dulluç, S. Influence of Various Acids on the Physico-Mechanical Properties of Pozzolanic Cement Mortars. Sadhana 2007, 32, 683–691. [Google Scholar] [CrossRef]
- Chandra, S. Hydrochloric Acid Attack on Cement Mortar—An Analytical Study. Cem. Concr. Res. 1988, 18, 193–203. [Google Scholar] [CrossRef]
- Pavlík, V. Corrosion of Hardened Cement Paste by Acetic and Nitric Acids Part II: Formation and Chemical Composition of the Corrosion Products Layer. Cem. Concr. Res. 1994, 24, 1495–1508. [Google Scholar] [CrossRef]
- Sahoo, S.; Das, B.B.; Mustakim, S. Acid, Alkali, and Chloride Resistance of Concrete Composed of Low-Carbonated Fly Ash. J. Mater. Civ. Eng. 2017, 29, 04016242. [Google Scholar] [CrossRef]
- Min, H.; Song, Z. Investigation on the Sulfuric Acid Corrosion Mechanism for Concrete in Soaking Environment. Adv. Mater. Sci. Eng. 2018, 2018, 3258123. [Google Scholar] [CrossRef]
- Irico, S.; De Meyst, L.; Qvaeschning, D.; Alonso, M.C.; Villar, K.; De Belie, N. Severe Sulfuric Acid Attack on Self-Compacting Concrete with Granulometrically Optimized Blast-Furnace Slag-Comparison of Different Test Methods. Materials 2020, 13, 1431. [Google Scholar] [CrossRef] [PubMed]
- Jankovic, K.; Milicic, L.; Stankovic, S.; SuSic, N. Investigation of the Mortar and Concrete Resistance in Aggressive Solutions. Teh. Vjesn. 2014, 21, 173–176. [Google Scholar]
- Bin, T.; Cohen, M.D. Does Gypsum Formation during Sulfate Attack on Concrete Lead to Expansion? Cement Concr. Res. 2000, 30, 117–123. [Google Scholar]
- Tian, B.; Cohen, M.D. Expansion of Alite Paste Caused by Gypsum Formation during Sulfate Attack. J. Mater. Civ. Eng. 2000, 12, 24–25. [Google Scholar] [CrossRef]















| Cement | Aggregates | W/C | ||||
|---|---|---|---|---|---|---|
| CEM II/A-L 32.5 R | Dosage | 0–3 mm | 3–5 mm | 5–10 mm | 10–25 mm | 0.52 |
| 340 (kg/m3) | 935 (kg/m3) | 65 (kg/m3) | 400 (kg/m3) | 565 (kg/m3) | ||
| Cement | Dosage | Sand | W/C |
|---|---|---|---|
| CEM II 32.5 R | 1 part | 3 parts | 0.5 |
| Sample | V (cm3) | M (g) | Dbulk (g/cm3) | Dtrue (g/cm3) | Porosity (%) |
|---|---|---|---|---|---|
| SE | 59.25 | 110.84 | 1.87 | 2.64 | 29.03 |
| C | 35.00 | 67.90 | 1.94 | 2.68 | 27.55 |
| M | 254.72 | 465.15 | 1.83 | 2.73 | 33.07 |
| W0 | W1 | W2 |
|---|---|---|
| Ca > 0.4 (kg/m3) min0.5 | 0.2 (kg/m3) min0.5 < Ca < 0.4 (kg/m3) min0.5 | Ca < 0.2 (kg/m3) min0.5 |
Disclaimer/Publisher’s Note: The statements, opinions and data contained in all publications are solely those of the individual author(s) and contributor(s) and not of MDPI and/or the editor(s). MDPI and/or the editor(s) disclaim responsibility for any injury to people or property resulting from any ideas, methods, instructions or products referred to in the content. |
© 2024 by the authors. Licensee MDPI, Basel, Switzerland. This article is an open access article distributed under the terms and conditions of the Creative Commons Attribution (CC BY) license (https://creativecommons.org/licenses/by/4.0/).
Share and Cite
Barbieri, L.; Lanzoni, L.; Marchetti, R.; Iotti, S.; Tarantino, A.M.; Lancellotti, I. Shot-Earth as Sustainable Construction Material: Chemical Aspects and Physical Performance. Sustainability 2024, 16, 2444. https://doi.org/10.3390/su16062444
Barbieri L, Lanzoni L, Marchetti R, Iotti S, Tarantino AM, Lancellotti I. Shot-Earth as Sustainable Construction Material: Chemical Aspects and Physical Performance. Sustainability. 2024; 16(6):2444. https://doi.org/10.3390/su16062444
Chicago/Turabian StyleBarbieri, Luisa, Luca Lanzoni, Roberta Marchetti, Simone Iotti, Angelo Marcello Tarantino, and Isabella Lancellotti. 2024. "Shot-Earth as Sustainable Construction Material: Chemical Aspects and Physical Performance" Sustainability 16, no. 6: 2444. https://doi.org/10.3390/su16062444
APA StyleBarbieri, L., Lanzoni, L., Marchetti, R., Iotti, S., Tarantino, A. M., & Lancellotti, I. (2024). Shot-Earth as Sustainable Construction Material: Chemical Aspects and Physical Performance. Sustainability, 16(6), 2444. https://doi.org/10.3390/su16062444

