The Development of a Machine Learning-Based Carbon Emission Prediction Method for a Multi-Fuel-Propelled Smart Ship by Using Onboard Measurement Data
Abstract
1. Introduction
1.1. Background
1.2. Literature Review
1.3. Problem Definition
- Actual operational data of dual-fuel propulsion vessels with explainable AI (XAI) were analyzed, and a suitable machine learning prediction model was designed.
- The fuel consumption predicted based on the vessel’s operational data was compared with the fuel consumption predicted based on power.
- The prediction model was verified using mass flow meter data measured onboard a smart ship.
2. Materials and Methods
2.1. Data
2.1.1. Engine Mode Separation: Diesel and Gas
2.1.2. Voyage Status Classification: Berthing and Voyage
2.1.3. Noise Removal: Interquartile Range (IQR)
2.1.4. Moving Average for Data Filtering
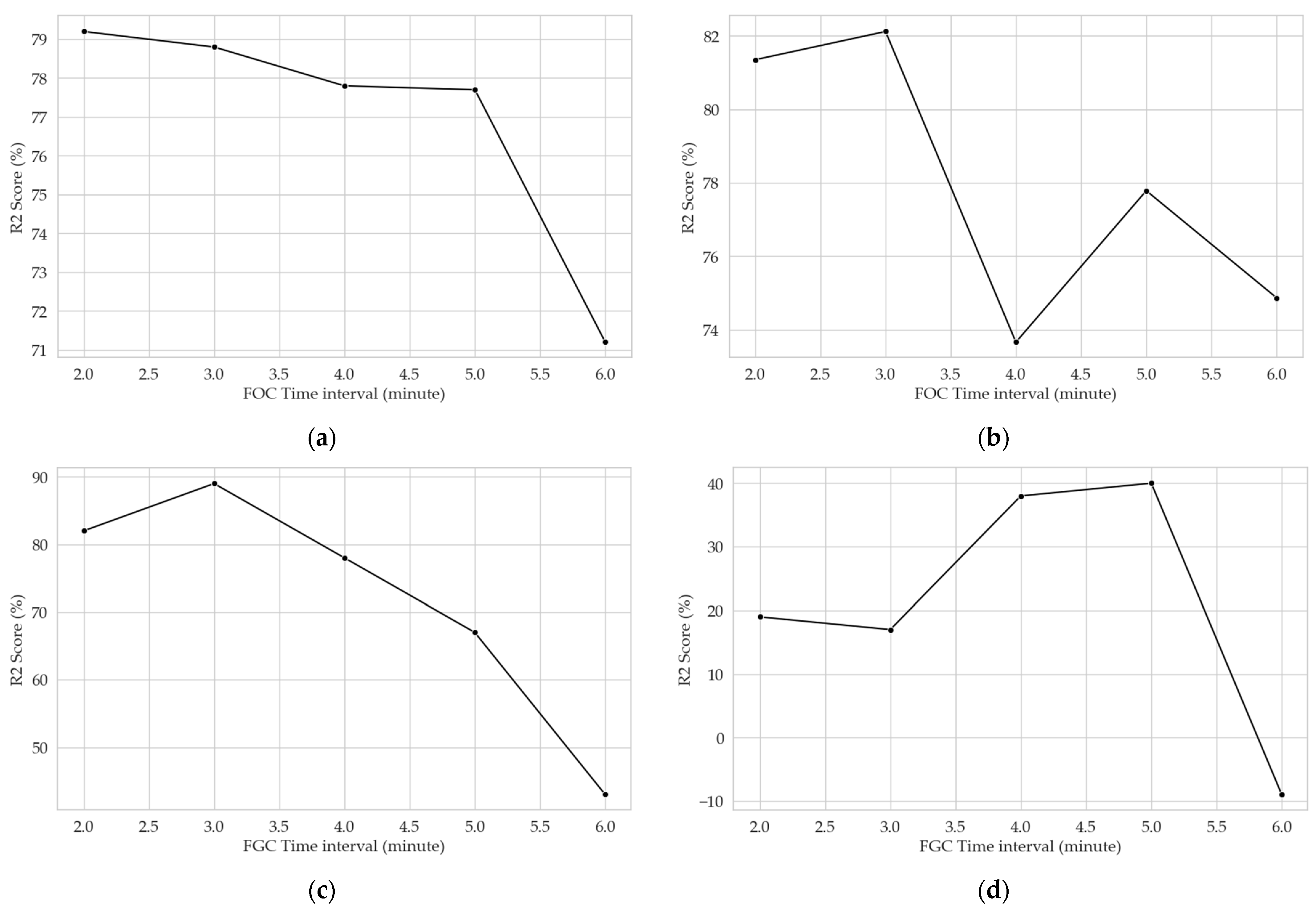
2.1.5. Integration Parameter (Time Interval) Convergence Test
2.2. Methodology
2.2.1. Random Forest Regressor (RFR)
2.2.2. LightGBM Regressor
2.2.3. Feature Selection
| Algorithm 1 Feature selection using RFE with Model M |
| Require: Training data , Test data , Target labels , Target labels Ensure: Best feature subset for model M |
| 1: Initialize max_value to 2: for i in range(2, 18) do 3: Create a new instance of Model M 4: selector ← RFE(M, n_features_to_select = i, step = 1) 5: Fit selector on 6: 7: 8: Re-train Model M on 9: 10: value ← R2_score() 11: if value > max_value then 12: max_value ← value 13: |
| 14: 15: mem ← i 16: best_M ← M 17: end if 18: end for 19: print “Maximum R2 Score: ”, max_value, “with features count: ”, mem |
2.2.4. Feature Importance Using SHAP (Shapley Additive Explanations)
2.2.5. Long Short-Term Memory (LSTM)
- Forget gate
- 2.
- Input gate
- 3.
- Cell state update
- 4.
- Output gate and hidden state
3. Results
3.1. Experiment 1: Calculating Carbon Emissions (CO2) from Specific Routes
3.1.1. Case 1: Operating Case with Mixed Diesel and Gas Modes
3.1.2. Case 2: Operating Case with Gas Mode
3.1.3. Case 3: Operating Case with Diesel Mode
3.2. Experiment 2: Estimation of Fuel Consumption Using Flow Meter Data and Power Data
3.3. Experiment 3: Predicting Fuel Consumption for Ships Considering Mixed Mode
4. Discussion
Author Contributions
Funding
Institutional Review Board Statement
Informed Consent Statement
Data Availability Statement
Conflicts of Interest
References
- Ocean Shipping and Shipbuilding. Available online: https://www.oecd.org/ocean/topics/ocean-shipping/ (accessed on 31 January 2024).
- Fourth Greenhouse Gas Study 2020. Available online: https://www.imo.org/en/OurWork/Environment/Pages/Fourth-IMO-Greenhouse-Gas-Study-2020.aspx (accessed on 31 January 2024).
- Kim, S.W.; Yun, S.W.; You, Y.J. Eco-Friendly speed control algorithm development for autonomous vessel route planning. J. Mar. Sci. Eng. 2021, 9, 583. [Google Scholar] [CrossRef]
- Perera, L.P.; Mo, B. Emission control based energy efficiency measures in ship operations. Appl. Ocean Res. 2016, 60, 29–46. [Google Scholar] [CrossRef]
- Laasma, A.; Otsason, R.; Tapaninen, U.; Hilmola, O.P. Evaluation of Alternative Fuels for Coastal Ferries. Sustainability 2022, 14, 16841. [Google Scholar] [CrossRef]
- Zhou, H.; Zhang, W. Choice of Emission Control Technology in Port Areas with Customers’ Low-Carbon Preference. Sustainability 2022, 14, 13816. [Google Scholar] [CrossRef]
- He, S.; Wu, X.; Wang, J. A calculation algorithm for ship pollutant gas emissions and diffusions based on real-time meteorological conditions and its application. Ocean Eng. 2023, 287, 115825. [Google Scholar] [CrossRef]
- Corbett, J.J.; Winebrake, J.J.; Green, E.H.; Kasibhatla, P.; Eyring, V.; Lauer, A. Mortality from ship emissions: A global assessment. Environ. Sci. Technol. 2007, 41, 8512–8518. [Google Scholar] [CrossRef]
- Jonson, J.E.; Gauss, M.; Schulz, M.; Jalkanen, J.P.; Fagerli, H. Effects of global ship emissions on European air pollution levels. Atmos. Chem. Phys. 2020, 20, 11399–11422. [Google Scholar] [CrossRef]
- Saxe, H.; Larsen, T. Air pollution from ships in three Danish ports. Atmos. Environ. 2004, 38, 4057–4067. [Google Scholar] [CrossRef]
- Ballini, F.; Bozzo, R. Air pollution from ships in ports: The socio-economic benefit of cold-ironing technology. Res. Transp. Bus. Manag. 2015, 17, 92–98. [Google Scholar] [CrossRef]
- Chatzinikolaou, S.D.; Oikonomou, S.D.; Ventikos, N.P. Health externalities of ship air pollution at port–Piraeus port case study. Transp. Res. Part D Transp. Environ. 2015, 40, 155–165. [Google Scholar] [CrossRef]
- Miola, A.; Ciuffo, B. Estimating air emissions from ships: Meta-analysis of modelling approaches and available data sources. Atmos. Environ. 2011, 45, 2242–2251. [Google Scholar] [CrossRef]
- Lin, Y.-H.; Fang, M.-C.; Yeung, R.W. The optimization of ship weather-routing algorithm based on the composite influence of multi-dynamic elements. Appl. Ocean Res. 2013, 43, 184–194. [Google Scholar] [CrossRef]
- Vettor, R.; Soares, C.G. Development of a ship weather routing system. Ocean Eng. 2016, 123, 1–14. [Google Scholar] [CrossRef]
- Veneti, A.; Makrygiorgos, A.; Konstantopoulos, C.; Pantziou, G.; Vetsikas, I.A. Minimizing the fuel consumption and the risk in maritime transportation: A bi-objective weather routing approach. Comput. Oper. Res. 2017, 88, 220–236. [Google Scholar] [CrossRef]
- Kim, S.W.; Eom, J.O. Ship Carbon Intensity Indicator Assessment via Just-in-Time Arrival Algorithm Based on Real-Time Data: Case Study of Pusan New International Port. Sustainability 2023, 15, 13875. [Google Scholar] [CrossRef]
- Chen, D.; Zhao, Y.; Nelson, P.; Li, Y.; Wang, X.; Zhou, Y.; Lang, J.; Guo, X. Estimating ship emissions based on AIS data for port of Tianjin, China. Atmos. Environ. 2016, 145, 10–18. [Google Scholar] [CrossRef]
- Moreno-Gutiérrez, J.; Pájaro-Velázquez, E.; Amado-Sánchez, Y.; Rodríguez-Moreno, R.; Calderay-Cayetano, F.; Durán-Grados, V. Comparative analysis between different methods for calculating on-board ship’s emissions and energy consumption based on operational data. Sci. Total Environ. 2019, 650, 575–584. [Google Scholar] [CrossRef]
- Wijaya, A.T.A.; Ariana, I.M.; Handani, D.W.; Abdillah, H.N. Fuel Oil Consumption Monitoring and Predicting Gas Emission Based on Ship Performance using Automatic Identification System (AISITS) Data. In Proceedings of the 2nd Maritime Safety International Conference (MASTIC), Surabaya, Indonesia, 18 July 2020; IOP Conference Series: Earth and Environmental Science. IOP Publishing: Bristol, UK, 2020; Volume 557. [Google Scholar]
- Kim, K.S.; Roh, M.I. ISO 15016: 2015-based method for estimating the fuel oil consumption of a ship. J. Mar. Sci. Eng. 2020, 8, 791. [Google Scholar] [CrossRef]
- ISO. ISO 15016:2015-Ship and Marine Technology-Guidelines for the Assessment of Speed and Power Performance by Analysis of Speed Trial Data; ISO: Geneva, Switzerland, 2015. [Google Scholar]
- Guo, B.; Liang, Q.; Tvete, H.A.; Brinks, H.; Vanem, E. Combined machine learning and physics-based models for estimating fuel consumption of cargo ships. Ocean Eng. 2022, 255, 111435. [Google Scholar] [CrossRef]
- Wang, S.; Ji, B.; Zhao, J.; Liu, W.; Xu, T. Predicting ship fuel consumption based on LASSO regression. Transp. Res. Part D Transp. Environ. 2018, 65, 817–824. [Google Scholar] [CrossRef]
- Okumuş, F.; Ekmekçioğlu, A.; Kara, S.S. Modelling ships main and auxiliary engine powers with regression-based machine learning algorithms. Pol. Marit. Res. 2021, 1, 83–96. [Google Scholar] [CrossRef]
- Chen, Z.S.; Lam, J.S.L.; Xiao, Z. Prediction of harbour vessel fuel consumption based on machine learning approach. Ocean Eng. 2023, 278, 114483. [Google Scholar] [CrossRef]
- Le, L.T.; Lee, G.; Park, K.S.; Kim, H. Neural network-based fuel consumption estimation for container ships in Korea. Marit. Policy Manag. 2020, 47, 615–632. [Google Scholar] [CrossRef]
- Panapakidis, I.; Sourtzi, V.M.; Dagoumas, A. Forecasting the fuel consumption of passenger ships with a combination of shallow and deep learning. Electronics 2020, 9, 776. [Google Scholar] [CrossRef]
- Ahlgren, F.; Mondejar, M.E.; Thern, M. Predicting dynamic fuel oil consumption on ships with automated machine learning. Energy Procedia 2019, 158, 6126–6131. [Google Scholar] [CrossRef]
- Uyanık, T.; Karatuğ, Ç.; Arslanoğlu, Y. Machine learning approach to ship fuel consumption: A case of container vessel. Transp. Res. Part D Transp. Environ. 2020, 84, 102389. [Google Scholar] [CrossRef]
- Uyanık, T.; Yalman, Y.; Kalenderli, Ö.; Arslanoğlu, Y.; Terriche, Y.; Su, C.L.; Guerrero, J.M. Data-Driven Approach for Estimating Power and Fuel Consumption of Ship: A Case of Container Vessel. Mathematics 2022, 10, 4167. [Google Scholar] [CrossRef]
- Tarelko, W.; Rudzki, K. Applying artificial neural networks for modelling ship speed and fuel consumption. Neural Comput. Appl. 2020, 32, 17379–17395. [Google Scholar] [CrossRef]
- Kaklis, D.; Eirinakis, P.; Giannakopoulos, G.; Spyropoulos, C.; Varelas, T.J.; Varlamis, I. A big data approach for Fuel Oil Consumption estimation in the maritime industry. In Proceedings of the 2022 IEEE Eighth International Conference on Big Data Computing Service and Applications (BigDataService), Newark, CA, USA, 15–18 August 2022. [Google Scholar]
- Kaklis, D.; Varlamis, I.; Giannakopoulos, G.; Spyropoulos, C.; Varelas, T.J. Online training for fuel oil consumption estimation: A data driven approach. In Proceedings of the 2022 23rd IEEE International Conference on Mobile Data Management (MDM), Paphos, Cyprus, 6–9 June 2022. [Google Scholar]
- Tran, T.A. Comparative analysis on the fuel consumption prediction model for bulk carriers from ship launching to current states based on sea trial data and machine learning technique. J. Ocean Eng. Sci. 2021, 6, 317–339. [Google Scholar] [CrossRef]
- Chen, C.; Verwilligen, J.; Mansuy, M.; Eloot, K.; Lataire, E.; Delefortrie, G. Tracking controller for ship manoeuvring in a shallow or confined fairway: Design, comparison and application. Appl. Ocean. Res. 2021, 115, 102823. [Google Scholar] [CrossRef]
- International Council on Clean Transportation. Available online: https://theicct.org/ (accessed on 31 January 2024).
- Yoon, J.H.; Kim, S.W.; Eom, J.O.; Oh, J.; Kim, H.J. Coastal Air Quality Assessment through AIS-Based Vessel Emissions: A Daesan Port Case Study. J. Mar. Sci. Eng. 2023, 11, 2291. [Google Scholar] [CrossRef]



















| Id | Feature | Abbreviation | Minimum Value | Maximum Value | Measurement Unit |
|---|---|---|---|---|---|
| 1 | Distance between waypoints | Distance_point | 0.0 | 0.283 | NM (Nautical mile) |
| 2 | X-axis acceleration | ACCELER_X | −93.0 | 117.0 | m/s2 |
| 3 | Y-axis acceleration | ACCELER_Y | −19.0 | 3.0 | m/s2 |
| 4 | Forward draft | ForwardDraft | 1.6 | 4.1 | m |
| 5 | Course of ground | COG | 0.5 | 360.0 | ° (degree) |
| 6 | After draft | AfterDraft | 2.2 | 3.8 | m |
| 7 | Heading | Heading | 0 | 360 | ° (degree) |
| 8 | List tilt | List | −5.5 | 6.5 | ° (degree) |
| 9 | Log of speed through water | LogSpeed | 1.0 | 17.0 | Kn (knot) |
| 10 | Mid draft on the port side | MidPDraft | 2.4 | 3.7 | m |
| 11 | Mid draft on the starboard side | MidSDraft | 2.4 | 3.6 | m |
| 12 | Rudder Angle | RudderAngle | −35.0 | 35.0 | ° (degree) |
| 13 | Trim tilt | Trim_Tilt1 | −0.1 | 0.8 | ° (degree) |
| 14 | Water depth | WaterDepth | 0.0 | 132.5 | m |
| 15 | Wind direction | WindDirection | 0.0 | 360.0 | ° (degree) |
| 16 | Wind speed | WindSpeed | 0.0 | 27.4 | m/s |
| 17 | Fuel oil consumption | FOC | 0.0 | 735.8 | kg/h |
| 18 | Fuel gas consumption | FGC | 0.0 | 219 | kg/h |
| Hyperparameters | Value |
|---|---|
| N_estimators | 100 (Diesel), (Gas) |
| Criterion | Squared error (Diesel), (Gas) |
| Max_depth | 40 (Diesel), (Gas) |
| min_samples_split | 2 (Diesel) |
| min_samples_leaf | 4 (Diesel) |
| max_features | None |
| Hyperparameters | Value |
|---|---|
| N_estimators | 100 (Diesel), (Gas) |
| Learning_rate | 0.05 (Diesel), (Gas) |
| Max_depth | 10 (Diesel), (Gas) |
| Min_child_samples | 30 (Diesel) |
| Num_leaves | 31 (Diesel) |
| Models | R2 Score (%) before Feature Selection | R2 Score (%) after Feature Selection |
|---|---|---|
| RFR for FOC | 92.4 | 92.6 |
| LightGBM for FOC | 92.1 | 92.4 |
| RFR for FGC | 90.9 | 93.5 |
| LightGBM for FGC | 90.1 | 92.0 |
| Hyperparameters | Value |
|---|---|
| Sequence length | 12 (Diesel), 1 (Gas) |
| Batch size | 64 (Diesel), 32 (Gas) |
| Hidden layer | 10 (Diesel), 1 (Gas) |
| Optimizer | Adam |
| Learning rate | 0.1 (Diesel, Gas) |
| Models | R2 Score (%) | MAPE (%) | RMSE (Value) |
|---|---|---|---|
| LSTM for FOC | 84.8 | 13.8 | 44.1 |
| RFR for FOC | 92.7 | 11.5 | 32.9 |
| LightGBM for FOC | 92.4 | 11.5 | 33.5 |
| LSTM for FGC | 75.1 | 81.9 | 14.7 |
| RFR for FGC | 93.5 | 5.6 | 19.0 |
| LightGBM for FGC | 90.0 | 7.1 | 23.6 |
| Models | R2 Score (%) | MAPE (%) | RMSE (Value) |
|---|---|---|---|
| RFR for FOC | 86.4 | 9.6 | 22.0 |
| LightGBM for FOC | 80.5 | 11.7 | 26.4 |
| LSTM for FOC | 66.2 | 10.8 | 29.0 |
| RFR for FGC | 84.3 | 12.6 | 21.0 |
| LightGBM for FGC | 64.3 | 21.7 | 31.8 |
| LSTM for FGC | 75.3 | 8.7 | 35.7 |
| Models | R2 Score (%) | MAPE (%) | RMSE (Value) |
|---|---|---|---|
| RFR | 99.0 | 1.9 | 7.6 |
| LightGBM | 98.4 | 2.7 | 9.8 |
| LSTM | 87.6 | 6.8 | 26.8 |
| Models | R2 Score (%) | MAPE (%) | RMSE (Value) |
|---|---|---|---|
| RFR | 90.0 | 7.8 | 30.8 |
| LightGBM | 91.8 | 6.8 | 34.0 |
| LSTM | 83.0 | 11.0 | 50.2 |
| Models | R2 Score (%) |
|---|---|
| RFR for FOC | 79.82 |
| LightGBM for FOC | 81.16 |
| RFR for FGC | 91.2 |
| LightGBM for FGC | 88.45 |
| Models | R2 Score (%) |
|---|---|
| RFR for FOC | 50.66 |
| LightGBM for FOC | 50.0 |
| RFR for FGC | 78.56 |
| LightGBM for FGC | 77.06 |
Disclaimer/Publisher’s Note: The statements, opinions and data contained in all publications are solely those of the individual author(s) and contributor(s) and not of MDPI and/or the editor(s). MDPI and/or the editor(s) disclaim responsibility for any injury to people or property resulting from any ideas, methods, instructions or products referred to in the content. |
© 2024 by the authors. Licensee MDPI, Basel, Switzerland. This article is an open access article distributed under the terms and conditions of the Creative Commons Attribution (CC BY) license (https://creativecommons.org/licenses/by/4.0/).
Share and Cite
Lee, J.; Eom, J.; Park, J.; Jo, J.; Kim, S. The Development of a Machine Learning-Based Carbon Emission Prediction Method for a Multi-Fuel-Propelled Smart Ship by Using Onboard Measurement Data. Sustainability 2024, 16, 2381. https://doi.org/10.3390/su16062381
Lee J, Eom J, Park J, Jo J, Kim S. The Development of a Machine Learning-Based Carbon Emission Prediction Method for a Multi-Fuel-Propelled Smart Ship by Using Onboard Measurement Data. Sustainability. 2024; 16(6):2381. https://doi.org/10.3390/su16062381
Chicago/Turabian StyleLee, Juhyang, Jeongon Eom, Jumi Park, Jisung Jo, and Sewon Kim. 2024. "The Development of a Machine Learning-Based Carbon Emission Prediction Method for a Multi-Fuel-Propelled Smart Ship by Using Onboard Measurement Data" Sustainability 16, no. 6: 2381. https://doi.org/10.3390/su16062381
APA StyleLee, J., Eom, J., Park, J., Jo, J., & Kim, S. (2024). The Development of a Machine Learning-Based Carbon Emission Prediction Method for a Multi-Fuel-Propelled Smart Ship by Using Onboard Measurement Data. Sustainability, 16(6), 2381. https://doi.org/10.3390/su16062381

