Assessment of the Potential of Sunflower Grown in Metal-Contaminated Soils for Production of Biofuels
Abstract
1. Introduction
2. Materials and Methods
2.1. Biomass Composition
2.2. Oil Extraction and Characterization
2.3. Ethanol Production and Characterization
2.4. Biodiesel Transesterification and Characterization
2.5. AD of Sunflower Roots
2.6. Statistical Analysis
3. Results
3.1. Biomass Composition
3.2. Oil Production Yields and Characterization
3.3. Ethanol Production Efficiency and Characterization
3.4. Biodiesel Transesterification and Characterization
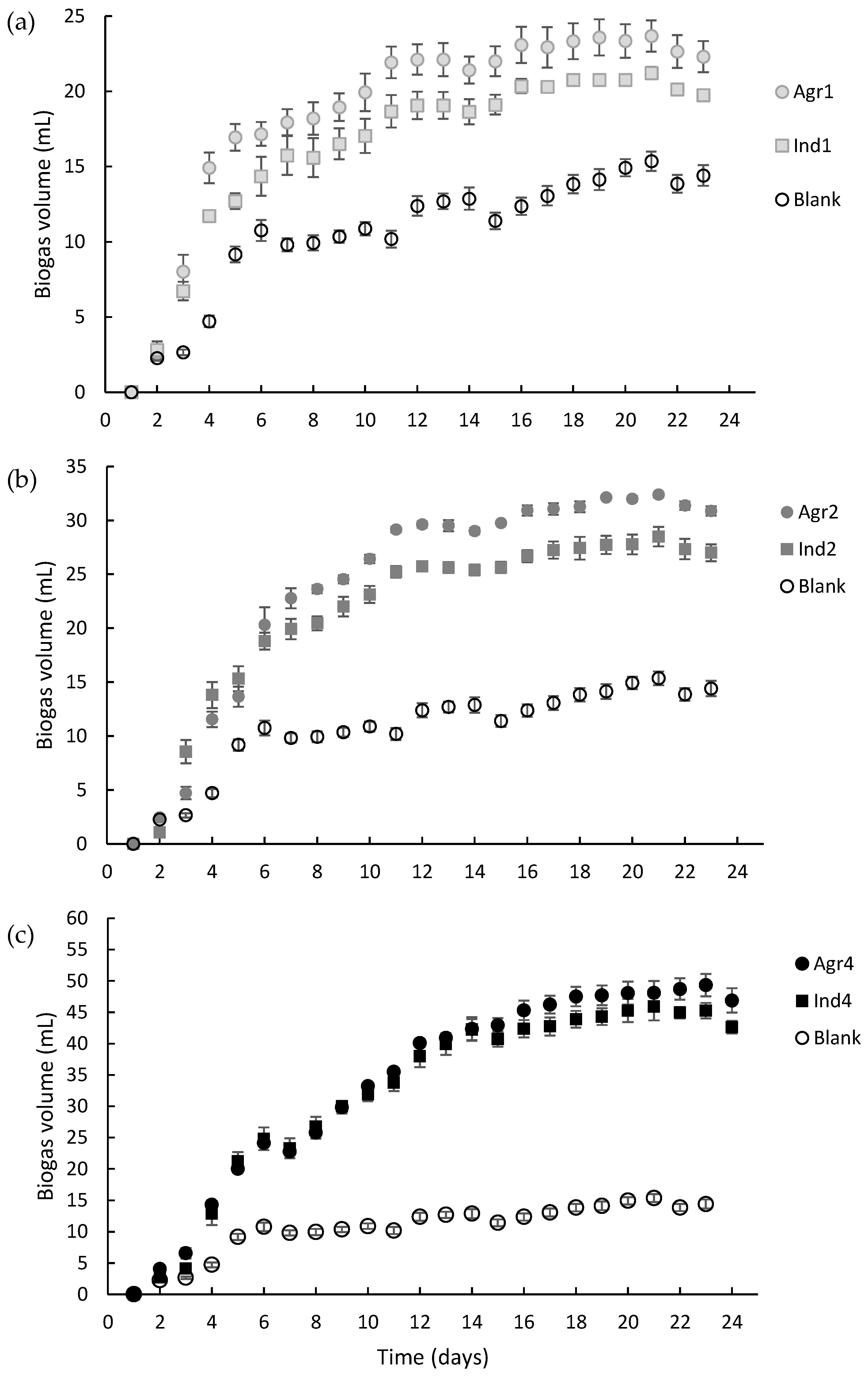
3.5. AD of Sunflower Roots
4. Discussion
5. Conclusions
Author Contributions
Funding
Institutional Review Board Statement
Informed Consent Statement
Data Availability Statement
Conflicts of Interest
References
- Yan, A.; Wang, Y.; Tan, S.N.; Yusof, M.L.M.; Ghosh, S.; Chen, Z. Phytoremediation: A Promising Approach for Revegetation of Heavy Metal-Polluted Land. Front. Plant Sci. 2020, 11, 359. [Google Scholar] [CrossRef]
- Xu, Y.; Seshadri, B.; Sarkar, B.; Wang, H.; Rumpel, C.; Sparks, D.; Farrell, M.; Hall, T.; Yang, X.; Bolan, N. Biochar modulates heavy metal toxicity and improves microbial carbon use efficiency in soil. Sci. Total. Environ. 2018, 621, 148–159. [Google Scholar] [CrossRef]
- Ahmad, M.S.A.; Ashraf, M.; Hussain, M. Phytotoxic effects of nickel on yield and concentration of macro- and micro-nutrients in sunflower (Helianthus annuus L.) achenes. J. Hazard. Mater. 2011, 185, 1295–1303. [Google Scholar] [CrossRef] [PubMed]
- Marques, A.P.; Rangel, A.O.; Castro, P.M.L. Remediation of heavy metal contaminated soils: Phytoremediation as a potentially promising clean-up technology. Crit. Rev. Environ. Sci. Technol. 2009, 39, 622–654. [Google Scholar] [CrossRef]
- Agnello, A.; Potysz, A.; Fourdrin, C.; Huguenot, D.; Chauhan, P. Impact of pyrometallurgical slags on sunflower growth, metal accumulation and rhizosphere microbial communities. Chemosphere 2018, 208, 626–639. [Google Scholar] [CrossRef] [PubMed]
- Marques, A.P.G.C.; Caetano, N.S.C.; Castro, P.M.L. Chapter 12: Strategies for Enhancing Soil Phytoremediation and Biomass Valorization. In The Handbook of Environmental Remediation: Classic and Modern Techniques; The Royal Society of Chemistry: London, UK, 2020; pp. 331–356. [Google Scholar] [CrossRef]
- Evangelou, M.W.H.; Deram, A. Phytomanagement: A realistic approach to soil remediating phytotechnologies with new challenges for plant science (Mini review). Int. J. Plant Biol. Res. 2014, 2, 1023. [Google Scholar]
- Marques, A.P.; Moreira, H.; Franco, A.R.; Rangel, A.O.; Castro, P.M. Inoculating Helianthus annuus (sunflower) grown in zinc and cadmium contaminated soils with plant growth promoting bacteria—Effects on phytoremediation strategies. Chemosphere 2013, 92, 74–83. [Google Scholar] [CrossRef]
- Turgut, C.; Pepe, M.K.; Cutright, T.J. The effect of EDTA and citric acid on phytoremediation of Cd, Cr, and Ni from soil using Helianthus annuus. Environ. Pollut. 2004, 131, 147–154. [Google Scholar] [CrossRef]
- Grompone, M.A. Sunflower Oil. In Vegetable Oils in Food Technology; Gunstone, F.D., Ed.; Blackwell Publishing Ltd.: Oxford, UK, 2011; pp. 137–167. [Google Scholar] [CrossRef]
- Porte, A.F.; Schneider, R.d.C.d.S.; Kaercher, J.A.; Klamt, R.A.; Schmatz, W.L.; da Silva, W.L.T.; Filho, W.A.S. Sunflower biodiesel production and application in family farms in Brazil. Fuel 2010, 89, 3718–3724. [Google Scholar] [CrossRef]
- Manmai, N.; Unpaprom, Y.; Ramaraj, R. Bioethanol production from sunflower stalk: Application of chemical and bio-logical pretreatments by response surface methodology (RSM). Biomass Convers. Biorefin. 2021, 11, 1759–1773. [Google Scholar] [CrossRef]
- Angelova, V.; Ivanova, R.; Todorov, Z.; Ivanov, K. Potential of Sunflower (Helianthus annuus L.) for Phytoremediation of Soils Contaminated with Heavy Metals. Agric. Sci. 2016, 8, 255–263. [Google Scholar] [CrossRef]
- Dhiman, S.S.; Selvaraj, C.; Li, J.; Singh, R.; Zhao, X.; Kim, D.; Kim, J.Y.; Kang, Y.C.; Lee, J.-K. Phytoremediation of metal-contaminated soils by the hyperaccumulator canola (Brassica napus L.) and the use of its biomass for ethanol production. Fuel 2016, 183, 107–114. [Google Scholar] [CrossRef]
- Dhiman, S.S.; Zhao, X.; Li, J.; Kim, D.; Kalia, V.C.; Kim, I.-W.; Kim, J.Y.; Lee, J.-K. Metal accumulation by sunflower (Helianthus annuus L.) and the efficacy of its biomass in enzymatic saccharification. PLoS ONE 2017, 12, e0175845. [Google Scholar] [CrossRef] [PubMed]
- Ko, C.-H.; Yu, F.-C.; Chang, F.-C.; Yang, B.-Y.; Chen, W.-H.; Hwang, W.-S.; Tu, T.-C. Bioethanol production from recovered napier grass with heavy metals. J. Environ. Manag. 2017, 203, 1005–1010. [Google Scholar] [CrossRef]
- Mishra, V.K.; Goswami, R. A review of production, properties and advantages of biodiesel. Biofuels 2017, 9, 273–289. [Google Scholar] [CrossRef]
- Ebrahimian, E.; Denayer, J.F.; Aghbashlo, M.; Tabatabaei, M.; Karimi, K. Biomethane and biodiesel production from sunflower crop: A biorefinery perspective. Renew. Energy 2022, 200, 1352–1361. [Google Scholar] [CrossRef]
- Mudhoo, A.; Kumar, S. Effects of heavy metals as stress factors on anaerobic digestion processes and biogas production from biomass. Int. J. Environ. Sci. Technol. 2013, 10, 1383–1398. [Google Scholar] [CrossRef]
- Chen, C.-H.; Chiou, I.-J. Remediation of Heavy Metal-Contaminated Farm Soil Using Turnover and Attenuation Method Guided with a Sustainable Management Framework. Environ. Eng. Sci. 2008, 25, 11–32. [Google Scholar] [CrossRef]
- Xu, H.; Li, Y.; Hua, D.; Mu, H.; Zhao, Y.; Chen, G. Methane production from the anaerobic digestion of substrates from corn stover: Differences between the stem bark, stem pith, and leaves. Sci. Total. Environ. 2019, 694, 133641. [Google Scholar] [CrossRef]
- Evangelou, M.W.; Deram, A.; Gogos, A.; Studer, B.; Schulin, R. Assessment of suitability of tree species for the production of biomass on trace element contaminated soils. J. Hazard. Mater. 2012, 209–210, 233–239. [Google Scholar] [CrossRef]
- Verma, V.; Singh, Y.; Rai, J. Biogas production from plant biomass used for phytoremediation of industrial wastes. Bioresour. Technol. 2007, 98, 1664–1669. [Google Scholar] [CrossRef] [PubMed]
- Cao, Z.; Wang, S.; Wang, T.; Chang, Z.; Shen, Z.; Chen, Y. Using Contaminated Plants Involved in Phytoremediation for Anaerobic Digestion. Int. J. Phytoremediat. 2015, 17, 201–207. [Google Scholar] [CrossRef] [PubMed]
- Montusiewicz, A.; Szaja, A.; Musielewicz, I.; Cydzik-Kwiatkowska, A.; Lebiocka, M. Effect of bioaugmentation on digestate metal concentrations in anaerobic digestion of sewage sludge. PLoS ONE 2020, 15, e0235508. [Google Scholar] [CrossRef]
- Lee, J.; Park, K.Y.; Cho, J.; Kim, J.Y. Releasing characteristics and fate of heavy metals from phytoremediation crop residues during anaerobic digestion. Chemosphere 2018, 191, 520–526. [Google Scholar] [CrossRef]
- Lee, J.; Kim, J.R.; Jeong, S.; Cho, J.; Kim, J.Y. Long-term performance of anaerobic digestion for crop residues containing heavy metals and response of microbial communities. Waste Manag. 2017, 59, 498–507. [Google Scholar] [CrossRef]
- Guo, H.; van Lier, J.B.; de Kreuk, M. Digestibility of waste aerobic granular sludge from a full-scale municipal wastewater treatment system. Water Res. 2020, 173, 115617. [Google Scholar] [CrossRef]
- Paulo, A.M.S.; Caetano, N.S.; Castro, P.M.L.; Marques, A.P.G.C. Phytomanagement of Zn- and Cd-contaminated soil: Helianthus annuus biomass production and metal remediation abilities with plant-growth-promoting microbiota assistance. Soil Syst. 2023, 7, 69. [Google Scholar] [CrossRef]
- Available online: https://www.nrel.gov (accessed on 15 March 2021).
- Moayedi, A.; Rezaei, K.; Moini, S.; Keshavarz, B. Chemical Compositions of Oils from Several Wild Almond Species. J. Am. Oil Chem. Soc. 2011, 88, 503–508. [Google Scholar] [CrossRef]
- EN 14111; Fat and Oil Derivatives—Fatty Acid Methyl Esters (FAME)—Determination of Iodine Value. CEN: Tokyo, Japan, 2022.
- EN 14104; Fat and Oil Derivates—Fatty Acid Methyl ester (FAME)—Determination of Acid Value. CEN: Tokyo, Japan, 2022.
- ASTM D 445; Standard Test Method for Kinematic Viscosity of Transparent and Opaque Liquids (and Calculation of Dynamic Viscosity). ASTM: West Conshohocken, PN, USA, 2023.
- ASTM D 4052; Standard Test Method for Density, Relative Density, and API Gravity of Liquids by Digital Density Meter. ASTM: West Conshohocken, PN, USA, 2024.
- Khemnani, S.; Aswani, B.; Arora, A.; Sindal, R.S. Detection of Heavy Metal Contents in the Seed Oil of Solanum malongena (Egg Plant) of Arid Zone. Int. J. Basic Appl. Chem. Sci. 2012, 2, 59–65. [Google Scholar]
- Wallinga, I.; Vark, W.; Houba, V.J.; Lee, J. Plant Analysis Procedures; Wageningen, Ed.; Syllabus; Department of Soil Science and Plant Nutrition: Wageningen, The Netherlands, 1989. [Google Scholar]
- Caetano, N.S.; Moura, R.F.; Meireles, S.; Mendes, A.M.; Mata, T.M. Bioethanol from brewer’s spent grains: Acid pre-treatment optimization, in: Chemical Engineering Transactions. Chem. Eng. 2013, 35, 1021–1026. [Google Scholar] [CrossRef]
- Xie, J.; Weng, Q.; Ye, G.; Luo, S.; Zhu, R.; Zhang, A.; Chen, X.; Lin, C. Bioethanol Production from Sugarcane Grown in Heavy Metal-Contaminated Soils. BioResources 2014, 9, 2509–2520. [Google Scholar] [CrossRef]
- Van Gerpen, J.; Shanks, B.; Pruszko, R.; Clements, D.; Knothe, G. Biodiesel production technologies. In Biodiesel Technology and Applications; Scrivener Publishing LLC.: Beverly, MA, USA, 2004. [Google Scholar] [CrossRef]
- Angelidaki, I.; Alves, M.; Bolzonella, D.; Borzacconi, L.; Campos, J.L.; Guwy, A.J.; Kalyuzhnyi, S.; Jenicek, P.; van Lier, J.B. Defining the biomethane potential (BMP) of solid organic wastes and energy crops: A proposed protocol for batch assays. Water Sci. Technol. 2009, 59, 927–934. [Google Scholar] [CrossRef] [PubMed]
- APHA. Standard Methods for the Examination of Water and Wastewater; American Public Health Association: Washington, DC, USA, 1998. [Google Scholar]
- Su, G.; Li, F.; Lin, J.; Liu, C.; Shi, G. Peanut as a potential crop for bioenergy production via Cd-phytoextraction: A life-cycle pot experiment. Plant Soil 2013, 365, 337–345. [Google Scholar] [CrossRef]
- Santos, A.G.D.; Caldeira, V.P.S.; Farias, M.F.; Araújo, A.S.; Souza, L.D.; Barros, A.K. Characterization and kinetic study of sunflower oil and biodiesel. J. Therm. Anal. Calorim. 2011, 106, 747–751. [Google Scholar] [CrossRef]
- Wang, S.S.; Wang, Y.H.; Zhang, H. Effects of cadmium stress on peanut seed quality and related response mechanisms. Chin. J. Ecol. 2007, 26, 1761–1765. [Google Scholar]
- Cataldo, D.A.; Garland, T.R.; Wildung, R.E. Nickel in plants: II. Distribution and chemical form in soybean plants. Plant Physiol. 1978, 62, 566–570. [Google Scholar] [CrossRef]
- Park, J.; Kim, J.-Y.; Kim, K.-W. Phytoremediation of soil contaminated with heavy metals using Brassica napus. Geosystem Eng. 2012, 15, 10–18. [Google Scholar] [CrossRef]
- Ziebell, A.L.; Barb, J.; Sandhu, S.; Moyers, B.T.; Sykes, R.W.; Doeppke, C.; Gracom, K.L.; Carlile, M.; Marek, L.F.; Davis, M.F.; et al. Sunflower as a biofuels crop: An analysis of lignocellulosic chemical properties. Biomass Bioenergy 2013, 59, 208–217. [Google Scholar] [CrossRef]
- Sharma, S.K.; Kalra, K.L.; Grewal, H.S. Fermentation of enzymatically saccharified sunflower stalks for ethanol production and its scale up. Bioresour. Technol. 2002, 85, 31–33. [Google Scholar] [CrossRef]
- Willscher, S.; Mirgorodsky, D.; Jablonski, L.; Ollivier, D.; Merten, D.; Büchel, G.; Wittig, J.; Werner, P. Field scale phytoremediation experiments on a heavy metal and uranium contaminated site, and further utilization of the plant residues. Hydrometallurgy 2013, 131–132, 46–53. [Google Scholar] [CrossRef]
- Amon, T.; Amon, B.; Kryvoruchko, V.; Machmüller, A.; Hopfner-Sixt, K.; Bodiroza, V.; Hrbek, R.; Friedel, J.; Pötsch, E.; Wagentristl, H.; et al. Methane production through anaerobic digestion of various energy crops grown in sustainable crop rotations. Bioresour. Technol. 2007, 98, 3204–3212. [Google Scholar] [CrossRef]
- Maroušek, J. Pretreatment of sunflower stalks for biogas production. Clean Technol. Environ. Policy 2013, 15, 735–740. [Google Scholar] [CrossRef]
- Zhurka, M.; Spyridonidis, A.; Vasiliadou, I.A.; Stamatelatou, K. Biogas production from sunflower head and stalk residues: Effect of alkaline pretreatment. Molecules 2020, 25, 164. [Google Scholar] [CrossRef]
- Altaş, L. Inhibitory effect of heavy metals on methane-producing anaerobic granular sludge. J. Hazard. Mater. 2009, 162, 1551–1556. [Google Scholar] [CrossRef] [PubMed]
- Zhang, R.; Wang, X.; Gu, J.; Zhang, Y. Influence of zinc on biogas production and antibiotic resistance gene profiles during anaerobic digestion of swine manure. Bioresour. Technol. 2017, 244, 63–70. [Google Scholar] [CrossRef]
- Fermoso, F.G.; Bartacek, J.; Jansen, S.; Lens, P.N. Metal supplementation to UASB bioreactors: From cell-metal interactions to full-scale application. Sci. Total. Environ. 2009, 407, 3652–3667. [Google Scholar] [CrossRef] [PubMed]
- Guo, Q.; Majeed, S.; Xu, R.; Zhang, K.; Kakade, A.; Khan, A.; Hafeez, F.Y.; Mao, C.; Liu, P.; Li, X. Heavy metals interact with the microbial community and affect biogas production in anaerobic digestion: A review. J. Environ. Manag. 2019, 240, 266–272. [Google Scholar] [CrossRef] [PubMed]
- Chen, Y.; Jay, J.; Cheng, J.J.; Creamer, K.S. Inhibition of anaerobic digestion process: A review. Bioresour. Technol. 2008, 99, 4044–4064. [Google Scholar] [CrossRef] [PubMed]
- Lo, H.; Chiang, C.; Tsao, H.; Pai, T.; Liu, M.; Kurniawan, T.; Chao, K.; Liou, C.; Lin, K.; Chang, C.; et al. Effects of spiked metals on the MSW anaerobic digestion. Waste Manag. Res. 2012, 30, 32–48. [Google Scholar] [CrossRef] [PubMed]
- Li, Y.; Alaimo, C.P.; Kim, M.; Kado, N.Y.; Peppers, J.; Xue, J.; Wan, C.; Green, P.G.; Zhang, R.; Jenkins, B.M.; et al. Composition and Toxicity of Biogas Produced from Different Feedstocks in California. Environ. Sci. Technol. 2019, 53, 11569–11579. [Google Scholar] [CrossRef] [PubMed]
- Costa, C.A.E.; Coleman, W.; Dube, M.; Rodrigues, A.E.; Pinto, P.C.R. Assessment of key features of lignin from lignocellulosic crops: Stalks and roots of corn, cotton, sugarcane, and tobacco. Ind. Crop. Prod. 2016, 92, 136–148. [Google Scholar] [CrossRef]
- Sawatdeenarunat, C.; Surendra, K.; Takara, D.; Oechsner, H.; Khanal, S.K. Anaerobic digestion of lignocellulosic biomass: Challenges and opportunities. Bioresour. Technol. 2015, 178, 178–186. [Google Scholar] [CrossRef] [PubMed]
- Luyckx, M.; Hausman, J.-F.; Isenborghs, A.; Guerriero, G.; Lutts, S. Impact of cadmium and zinc on proteins and cell wall-related gene expression in young stems of hemp (Cannabis sativa L.) and influence of exogenous silicon. Environ. Exp. Bot. 2021, 183, 104363. [Google Scholar] [CrossRef]
- Li, C.; Liu, Y.; Tian, J.; Zhu, Y.; Fan, J. Changes in sucrose metabolism in maize varieties with different cadmium sensitivities under cadmium stress. PLoS ONE 2020, 15, e0243835. [Google Scholar] [CrossRef]
- Alaboudi, K.A.; Ahmed, B.; Brodie, G. Phytoremediation of Pb and Cd contaminated soils by using sunflower (Helianthus annuus) plant. Ann. Agric. Sci. 2018, 63, 123–127. [Google Scholar] [CrossRef]



| Inorganics | Protein | Lignin | Sucrose | Xylan | Glucan | Acetyl | Total | ||
|---|---|---|---|---|---|---|---|---|---|
| Aboveground | Agricultural | 19.07 (n.d.) | 1.84 (n.d.) | 13.44 ± 3.17 | 2.08 (n.d.) | 6.94 ± 0.11 | 27.36 ± 0.50 | 9.67 ± 0.58 | 80.15 |
| Industrial | 17.84 (n.d.) | 1.72 (n.d.) | 16.85 ± 0.00 | 2.04 (n.d.) | 7.38 ± 0.02 | 29.15 ± 0.62 | 10.3 ± 0.31 | 84.92 | |
| Roots | Agricultural | 17.29 (n.d.) | 2.41 (n.d.) | 20.12 ± 0.08 | 3.12 (n.d.) | 8.66 ± 0.15 | 29.77 ± 0.13 | 9.09 ± 0.29 | 90.17 |
| Industrial | 19.74 (n.d.) | 2.21 (n.d.) | 16.38 ± 2.68 | 1.66 (n.d.) | 10.39 ± 0.57 | 31.78 ± 2.13 | 8.27 ± 0.12 | 90.05 | |
| Property | Agricultural | Industrial | |
|---|---|---|---|
| Kinematic viscosity (mm2 s−1) | 32.3 ± 0.6 a | 32 ± 0 a | t = 16 |
| Specific mass (kg m−3) | 920 ± 2 a | 919 ± 2 a | t = 7.848 |
| Acid value (KOH g−1) | 0.31 ± 0.02 a | 0.32 ± 0.01 a | t = 0.727 |
| Iodine value (I2 100 g−1) | 131 ± 3 a | 131 ± 2 a | t = 0.643 |
| Zn (mg L−1) | n.d.a | 1.8 ± 0.3 b | t = 6.994 |
| Cd (mg L−1) | n.d. | n.d. | -- |
| Production Yield % (m/v) | Total Yield (mL/m2) | |
|---|---|---|
| Agricultural | 27.8 | 280 |
| Industrial | 19.4 | 162 |
| Zn (mg L−1) | Cd (mg L−1) | |
|---|---|---|
| Agricultural | n.d. | n.d. |
| Industrial | 1.1 ± 0.1 | n.d. |
| Ethyl Ester (% mL m−1) | Agricultural | Industrial | ||
|---|---|---|---|---|
| Palmitate | C16:0 | 8 ± 2 a | 6 ± 2 a | t = 0.001 |
| Oleate | C18:1 | 22 ± 3 a | 7 ± 1 b | t = 6.499 |
| Linoleate | C18:2 | 19 ± 5 a | 30 ± 3 a | t = 0.091 |
| Linoleate | C18:3 | 36 ± 8 a | 47 ± 1 a | t = 8.522 |
| Docosanoic | C22:0 | 10 ± 1 a | 7 ± 1 a | t = 1.646 |
| Other | 4 ± 1 a | 2 ± 1 a | t = 0.006 | |
| Assay | Pbiogas | Vbiogas | VCH4 | % CH4 | Ybiogas | YCH4 | IPRbiogas |
|---|---|---|---|---|---|---|---|
| Agr 1 | 125.9 ± 8.4 a | 9.2 ± 0.6 a | 6.2 ± 0.4 a | 66.9 ± 0.4 a | 103.3 ± 6.9 a | 69.1 ± 4.9 a | 9.7 ± 0.4 a |
| Agr 2 | 253.9 ± 5.5 b | 18.5 ± 0.4 b | 12.4 ± 0.3 b | 67.0 ± 1.1 a | 104.2 ± 2.3 a | 69.8 ± 1.7 a | 9.8 ± 0.5 a |
| Agr 4 | 484.9 ± 15.6 c | 35.4 ± 1.1 c | 24.6 ± 1.3 c | 69.3 ± 1.6 a | 99.5 ± 3.2 a | 69.0 ± 3.7 a | 10.4 ± 0.8 a |
| F(3,8) = 869 *** | F(3,8) = 869 *** | F(3,8) = 390 *** | NS F(3,8) = 4.052 | NS F(3,8) = 0.901 | NS F(3,8) = 0.043 | NS F(3,8) = 1.156 | |
| Ind 1 | 103.6 ± 6.8 a | 7.6 ± 0.5 a | 5.4 ± 0.3 a | 71.4 ± 3.1 a | 85.0 ± 5.6 a | 60.7 ± 3.6 a | 8.7 ± 0.3 a |
| Ind 2 | 203.9 ± 2.1 b | 14.9 ± 0.2 b | 9.9 ± 0.3 b | 66.3 ± 1.2 ab | 83.7 ± 0.9 a | 55.5 ± 1.4 a | 10.9 ± 0.7 b |
| Ind 4 | 410.6 ± 11.9 c | 30.0 ± 0.9 c | 19.4 ± 0.9 c | 64.7 ± 2.0 b | 84.2 ± 2.4 a | 54.5 ± 2.5 a | 10.1 ± 0.9 ab |
| F(3,8) = 1143 *** | F(3,8) =1143 *** | F(3,8) = 496 *** | F(3,8) = 7.452 * | NS F(3,8) = 0.106 | NS F(3,8) = 4.729 | F(3,8) = 8.288 * |
Disclaimer/Publisher’s Note: The statements, opinions and data contained in all publications are solely those of the individual author(s) and contributor(s) and not of MDPI and/or the editor(s). MDPI and/or the editor(s) disclaim responsibility for any injury to people or property resulting from any ideas, methods, instructions or products referred to in the content. |
© 2024 by the authors. Licensee MDPI, Basel, Switzerland. This article is an open access article distributed under the terms and conditions of the Creative Commons Attribution (CC BY) license (https://creativecommons.org/licenses/by/4.0/).
Share and Cite
Marques, A.P.G.C.; Paulo, A.; Caetano, N.S. Assessment of the Potential of Sunflower Grown in Metal-Contaminated Soils for Production of Biofuels. Sustainability 2024, 16, 1829. https://doi.org/10.3390/su16051829
Marques APGC, Paulo A, Caetano NS. Assessment of the Potential of Sunflower Grown in Metal-Contaminated Soils for Production of Biofuels. Sustainability. 2024; 16(5):1829. https://doi.org/10.3390/su16051829
Chicago/Turabian StyleMarques, Ana P. G. C., Ana Paulo, and Nídia S. Caetano. 2024. "Assessment of the Potential of Sunflower Grown in Metal-Contaminated Soils for Production of Biofuels" Sustainability 16, no. 5: 1829. https://doi.org/10.3390/su16051829
APA StyleMarques, A. P. G. C., Paulo, A., & Caetano, N. S. (2024). Assessment of the Potential of Sunflower Grown in Metal-Contaminated Soils for Production of Biofuels. Sustainability, 16(5), 1829. https://doi.org/10.3390/su16051829

