Abstract
With the tremendous development of the logistics industry, the global market of automated warehousing has been growing rapidly. Meanwhile, the warehousing industry shows drawbacks, such as low storage capacity and poor efficiency. By comparing and analyzing the shuttle-based storage and retrieval system (SBS/RS), miniload automated storage and retrieval system (AS/RS), and KIVA system, a novel efficient parts-to-picker approach in flexible warehousing systems is proposed. Among them, buffer racks and access racks, associated with the access of automated mobile robots (AMRs) and stackers are used. The results show that compared with other parts-to-picker systems (such as the KIVA system), this system provides a significant increase in storage capacity (more than three times), and the picking efficiency is also very high at various layout scales, where the picking efficiency is no less than the KIVA system when the number of AMRs reaches the max. The novel system is suitable for small-, medium-, and large-scale warehouses in terms of showing high capacity and producing excellent space utilization. More importantly, this system can easily compete with its traditional counterparts by using a layout of high density without much increase in cost. This sustainable improvement realizes the efficient utilization of spatial resources and provides important support for the construction of green supply chains.
1. Introduction
With the advancement of technology and development in the area of the internet economy, the scale of manufacturing industries (such as the automobile industry) is also expanding [1]. At the same time, in order to reduce inventory and improve inventory performance (e.g., in terms of turnover rates), manufacturing enterprises are gradually shifting toward order-oriented enterprises (OOEs) [2], which means the enterprises arrange productions based on customer orders. Under this production mode, various parts and components are difficult to deliver to the production lines in a timely manner because they are of numerous types, with different specifications, and are hard to store, retrieve, and transport [3]. In this context, the importance of flexible warehousing systems in manufacturing industries is increasingly prominent, and how to improve the following two aspects in manufacturing warehouses is the focus discussed in this study.
- (1)
- High space utilization and storage capacity. Flexible warehousing systems can quickly pick up goods on ultra-high racks, fully utilize vertical space, and save at least 90% of storage space. Due to the reasonable layout of warehouses and the support of numerous intelligent devices, the actual storage capacity is much larger than that of traditional single-layer warehouses (less than eight meters). In [4], the authors study the storage utilization of a compact robotic automated parking system (CRAPS) and use a queuing network model to estimate its performance by minimizing car retrieval time. The space utilization increased by over 32% and the car retrieval time was reduced by at least 29.7%.
- (2)
- Operational efficiency. The application of intelligent equipment, such as automatic guided vehicles (AGVs), mobile racks, shuttles, lifters, stackers, and other automatic storage and retrieval robots in flexible warehousing, can achieve fast picking and loading processes. They save time and effort and greatly improve the efficiency of warehousing operations. Parts-to-picker systems can complete 1000 order lines per hour per person, which is eight to fifteen times more than traditional systems [5]. The racks are moved by AGVs to the pickers, and the pickers manually select the items from the racks. This manual method generates picker fatigue and leads to selection errors. In addition, the movable racks are not suitable for storing parts, components, or products, because as a result of their various sizes, shapes, and weights, they cannot be placed in narrow spaces like cookie boxes or candy bags.
When we consider the design of a manufacturing warehouse based on the above two aspects, there are no existing warehouses that can meet the needs. That is, high storage capacity and picking efficiency are not considered simultaneously. In this paper, we use the above two advantages to establish a new parts-to-picker system, which is more efficient than the existing systems and has a large storage capacity for various items, such as parts, components, and products. The parts-to-picker method is convenient for robot picking, thus avoiding the problems of manual picking, such as fatigue or picking faults. The layout of this paper is as follows: In Section 2, a literature review of the flexible warehousing systems is described. Section 3 presents the integrated storage, retrieval, transportation, and picking operations and proposes a novel rack design strategy. In Section 4, the performance of the proposed rack strategy is evaluated by numerical experiments. Compared with traditional warehousing systems, this rack design shows a great improvement in space utilization and work efficiency. Finally, some future research directions are given in Section 5.
2. Related Research
In the production process, there are large amounts of storage, retrieval, transportation, and picking operations for parts, components, and entire pieces in daily work [6,7]. Although there are plenty of studies about these operations, most of them focus on only one or two aspects.
2.1. Storage and Retrieval Operations
Storage and retrieval operations are triggered by order lists, inventory controlling, or return requests. These operations can be optimally scheduled by various mathematical methods and be supported in execution by relevant warehousing equipment and devices [8,9]. Normally, warehouse system heights in the manufacturing industry are more than eight meters in order to store as many materials as possible [10]. In [11], the author compares different dispatching rules during manufacturing processes and finds that the average material handling delay and the workstation operation time impact workstation throughput directly. In [12], the authors investigate energy consumption with repeated stock-in and stock-out operations, considering the bearing corrosion issue in a bearing sales company, and propose an integrated storage allocation model using a genetic algorithm (GA) to minimize total energy consumption. In [13], the authors study the relationship between the retrieval effort and space utilization of storage systems in the food industry and derive a new robust storage assignment approach to avoid excessive retrieval effort. In [14], the authors consider the acceleration and deceleration processes of an S/R machine in class-based automated storage and retrieval systems (AS/RSs) and develop division region patterns to reduce one-way travel time. In [15], the authors handle storage and retrieval requests as a special type of crane scheduling problem in a shared-storage AS/RS. In [16], the authors analyze storage location assignment problems with the help of the Internet of Things (IOT) and cloud-based cyber–physical systems (CPSs) in picking systems, which is a new research direction in industrial processes. In terms of puzzle-based storage systems (PBSSs), in [17], the authors study scheduling problems to minimize the total number of item moves, and the average solution accuracy is improved when the computational complexity is set to ( is the size of the PBSS). In order to improve system throughput, in [18], the authors analyze dual-tray vertical lift modules (VLMs), which are developed based on mini-load AS/RS and single-tray VLM, and the model’s result gives guidelines for throughput estimation by designers and managers of warehousing systems. In [19], the authors deal with the container relocation problem using genetic programming (GP) and open a new research direction for the study of container relocation rules (RRs).
The flexible warehousing system is composed of dense racks (normally, the rack is metal), storage/retrieval machines (cranes, lifters, or shuttles), AGVs or automated mobile robots (AMRs, in [20]), input/output stations [21], and software systems (e.g., warehouse management system). The research methods mainly focus on dispatching rules, storage allocation policies, assignment classifications, and multiple-depth and rack design methods, as shown in Table 1. Most of the racks have unified units that are used to store items, and the more racks there are, the more items can be stored. Considering the various sizes of materials in industrial warehouses, the unified-size-unit rack design is not suitable for all parts, components, and entire pieces. In [22], the authors propose different-unit-size racks to maximize space utilization and storage capacity. At the same time, the pod design in the KIVA system is not suitable here because, on the one hand, the height of the storage pods is two to three meters, which is significantly lower than that of industrial warehouses (more than eight meters) and means a significant waste of vertical space. On the other hand, pods limit the sizes and weights of the loaded items, which cannot be too large or too heavy, and these situations are inevitable in industrial warehouses.
Table 1.
The related studies for storage and retrieval strategies.
2.2. Picking
There are generally two picking methods: the parts-to-picker method and the picker-to-parts method, as shown in Table 2. In the first picking method, the pickers do not move, and goods are automatically transported to the pickers. The second method is the opposite: pickers push the carts and pick up items along the racks [23]. The picker-to-parts method not only increases the workload of pickers but also reduces their work efficiency due to many empty walks. To improve this status, many researchers have provided effective methods. In [24], the authors investigate the drawbacks of single batching and give a novel binary mixed integer programming model based on the max–min ant system (MMAS), and this meta-heuristic algorithm resulted in higher quality solutions (sequences of jobs) than other algorithms. In [25], the authors study the storage assignment problem and propose a correlated and traffic-balanced storage assignment (C&TBSA) model to minimize the picking delay and travel time. In [26], the authors discuss the combination performance of the storage location assignment and routing and provide a dynamic programming method using optimal properties and route length formulas. In [27], the authors handle the life cycle of the picking process as a class-based storage assignment system. In [28], the authors consider the picking efficiency between warehouses and depots and use AMRs to improve the performance of the human–robot order-picking system. The parts-to-picker method is a hot research direction. In [29], the authors discuss the performance of different numbers of robots in several parts-to-picker systems. In [30], the authors compare two common picking strategies in online-to-offline (O2O), such as batch-synchronized zone picking (BSZP) and batch picking (BP), using quantified methods to indicate the pickers’ learning effects. There are some research studies about KIVA systems. In [31], the authors investigate pick and pack activities and develop multiple-class closed queuing network models to evaluate the order-picking processes. In [32], the authors study the optimal storage assignment policy to improve order-picking efficiency. In [33], the authors investigate the robot assignment and rack storage problem during order processing. All the methods mentioned above have improved the picking efficiency to a certain extent.
Table 2.
The related studies for picking strategies.
Totally, due to heavy picking tasks in industrial warehousing systems, the parts-to-picker method is more suitable than the other method. With the assistance of a series of technologies, such as electronic tags, cameras, and radio frequency identification (RFID), this method can fully meet practical needs.
2.3. Transportation
The normal transportation devices used in industrial warehouse systems are AGVs, AMRs, self-driving forklifts, and belt conveyors [36]. Most of the research studies about AGVs concern the problems of the number of transportation tasks, AGV utilization, travel distances, and congestion [37]. In [38], the authors consider adding a middle aisle in a parallel-aisle warehouse and compare the average travel time with and without the middle aisle, and the added middle aisle strategy saves more than 15% of the travel time. In [39], the authors provide a combination of different types of handling equipment in automated container terminals. Afterward, in [40], the authors discuss AGV path planning with rail-mounted gantry (RMG) cranes and quay cranes (QCs). Path planning is an integrated scheduling approach that resolves AGV conflicts and deadlocks in large-scale experiments. In [41], the authors propose a dynamic tandem loop with the AGV path design in flexible manufacturing systems, and the mathematical model is established based on the material flow-within-loop and AGV load balancing. In addition to these, in [42], the authors study the routing dispatch problem based on vehicle buffers and finite capacity and use random and local search methods to achieve conflict-free results. In [43], the authors discuss AGV transportation efficiency based on warehouse layouts and traffic control, use real-time control and digraph theory to avoid collisions and deadlocks, and give two efficient control policies that have better performance in large-scale applications. In [44], the authors consider scheduling complexity when the number of AGVs is increased in the sorting parcels process and use a hierarchical planning algorithm to search the idle paths when AGVs’ track images are collected by cameras. In [45], the authors represent a centralized schedule method for AGV routing and scheduling in manufacturing warehousing systems, and this method has advantages in reducing delays when AGVs cross the same lane. In [46], the authors investigate the AGV joint optimization in logistics systems and use an air-and-ground cooperation wireless network to reduce the total transmission power.
To sum up, the use of AGVs (AMRs, forklifts, or belt conveyors) has low costs, high work efficiency, and low labor costs [47], and it forms a flexible scheduling operation based on effective control policies.
2.4. Operation Integration
There are various integrated planning methods, as shown in Table 3. In [48], the authors discuss order-picking and packing processes and give an improved planning method under different conditions. In [34], the authors research integrated vehicle-routing and order-batching operations in grocery and retail stores, such as petrol station shops. In [49], the authors study production planning problems in food warehouses, and an integer linear programming model supported by IOT-enabled tracking systems is developed to minimize the total costs of warehouse operations. In [50], the authors research online scheduling and offline routing in a pallet shuttle high-density storage system and compare the waiting time of vehicles when the system congestion rate increases. In [51], the authors analyze customer demand data and propose two facility location models to respectively optimize the location of collections and delivery points.
Table 3.
The related studies on operation integration.
In addition, the warehouse layout affects the efficiency of entire warehouse operations, as shown in Table 3. There are many factors that affect the layout, such as the number of input/output/pick-up points and lanes. In [52], the authors analyze the overload problem and propose temporary positions in storage operations. Furthermore, in [53], the authors investigate the relationship between warehouse design and different order-picking policies and aim to minimize worker and forklift numbers.
3. System Description and Problem Analysis
Based on the above literature, both high storage capacity and high picking efficiency cannot be obtained in a manufacturing warehouse system, as shown in Table 4.
Table 4.
Comparison of the existing parts-to-picker warehousing systems.
Combining the advantages of the shuttle-based storage and retrieval system (SBS/RS), the miniload automated storage and retrieval system (RS/RS), and the KIVA system, a new type of parts-to-picker system is proposed. We realize a practical warehouse system suitable for storage, retrieval, and transportation operations for parts, components, and entire pieces in industrial manufacturing. Moreover, the warehouse system also has obvious advantages in e-commerce. When the system facilitates scaling up, such as adding AGVs and racks, the cost of renovating an existing warehouse is low. More importantly, space utilization and work efficiency are also considered. For example, the SBS/RS separates horizontal and vertical movements, which means high efficiency; the miniload RS/RS has dense racks, which means large storage capacity; and the KIVA system has flexible reactions by using AGVs. Integrating the above factors, the new system consists of dense racks, stackers, AMRs, and pick-up stations. Firstly, in the processes of storage and retrieval operations, we present buffer racks and access racks in Section 3.1. Secondly, the AMR loading and unloading processes are discussed under buffer racks and access racks in Section 3.2. Thirdly, different-unit-size rack designs are discussed in Section 3.3. Finally, the stacker storage and retrieval processes are discussed based on the double command (DC) in Section 3.4.
3.1. Buffer Racks and Access Racks
In traditional AS/RS, the load/unload stations are easily congested when storage or retrieval requests are frequent. It is obvious that temporary storage points are the better option for resolving the congestion problem. Normally, temporary storage points are independent areas nearby loading or unloading stations. However, these areas have low utilization for their single buffer functions. Here, we propose a buffer rack that is convenient for temporary loading and unloading, as well as consider storage capabilities to improve space utilization, as shown in Figure 1.
Figure 1.
The design of the buffer rack.
In Figure 1, the bottom of the buffer rack is a buffer shelf, which has many buffer units for storage and retrieval operations, and some occupied buffer units are marked in yellow. When a stacker handles a retrieval operation, it picks a bin from the upper shelves and loads it to an empty buffer unit on the bottom shelf.
Considering the convenience of AMRs in loading or unloading bins from the buffer rack, we propose an access rack design. In this access rack, the bottom shelf is a passage, as shown in Figure 2.
Figure 2.
The design of the access rack.
In Figure 2, there is a front view and side view of the access rack, showing that an AMR can pass through the bottom of the rack. A single buffer rack and a single access rack are considered as a pair, which we define as a buffer and access rack pair (shortened to ‘rack pair’), as shown in Figure 3. However, in some edge areas of a warehouse, there is no extra room for a rack pair, so we designed a lane and a buffer rack, where the lane is on the left or right side of the buffer rack.
Figure 3.
A side view of the combination of the buffer rack, the access rack, and a lane.
In the rack pair layout, when an AMR handles a loading operation, it runs along the bottom of the access rack and then stops at the opposite position of some target unit in the buffer rack. In the next step, the AMR loads the bin, continues to run through the access rack, and then eventually transfers the bin to pick-up stations, as shown in Figure 3. The AMR runs along the lane when there is no access rack.
3.2. AMR Loading and Unloading
The AMR can navigate autonomously without relying on external facilities such as guide wires or magnetic strips [20]. It has the ability of deep perception, dynamic path planning, and obstacle avoidance. When the number of AMRs increases, they realize real-time traffic control and high efficiency in multiple AMR collaborations.
When the AMR moves to the target position and stops, it loads or unloads bins with a fork, as shown in Figure 4, Figure 5 and Figure 6. In this paper, the fork is single-depth, which can load or unload a bin at one time.
Figure 4.
An example of an AMR loading task.
Figure 5.
An example of an AMR unloading task.
Figure 6.
An example of an AMR unloading and loading task.
For example, when an AMR receives a loading task, as shown in Figure 4, the AMR runs along the bottom of the access rack and then stops at the opposite position of a bin numbered ‘1’ until it loads bin ‘1’ and passes the access rack.
In Figure 5, the AMR receives an unloading task, runs along the bottom of the access rack, stops at the opposite position of an empty buffer unit, and finally unloads bin ‘1’ and passes the access rack.
Figure 6 shows a double command (DC) operation. The AMR moves along the bottom of the access rack, unloads a bin named ‘1’, runs to the site of bin ‘3’, and afterward, loads bin ‘3’ and passes through the access rack. It is obvious that the travel time of DC is shorter than the total travel time of an unloading plus a loading task.
3.3. Different Unit Sizes
In order to improve space utilization, we consider different unit sizes for materials of different sizes, such as tiny parts, medium-sized components, and large-sized entire pieces [22]. The rack design should reduce the gaps in racks to increase the utilization of the warehouse. Based on this consideration, we designed the rack with several shelves, with each shelf having the same size of units, but different shelves may have different sizes of units.
According to the 80/20 rule [22] and the reality material probabilities of manufacturing enterprises [1,2], for example, in some cases, we set the proportions of small, medium, and big as 8, 8, and 1. The racks’ length and height are 30 m and 16 m, respectively, and we set the different unit sizes as 2 m × 2 m (big), 1 m × 1 m (medium), and 0.5 m × 0.5 m (small), and the number of shelves is two for big, eight for medium, and four for small, as shown in Figure 7. In Figure 8, the rack has units of the same size compared with the rack in Figure 7. In addition, all racks have the same outline, such as the same length, height, and depth. At the same time, all storage units have the same depth. In this study, for the convenience of calculation and comparison, we set the depth of the rack at 1 m. That is to say, the depth of storage units is 1 m, and the space utilization is calculated in length–height area.
Figure 7.
A rack design with different unit sizes.
Figure 8.
A rack design with units of the same size.
Comparing Figure 7 and Figure 8, the length and height of the two racks are the same, but the capacities are different. The different-unit-size rack (in Figure 7) has 510 units, while the other one has 105 units (in Figure 8). However, the advantage of different-unit-size racks may turn into a disadvantage when the probabilities of small-, medium-, and large-sized items are unreasonable. For instance, the different-unit rack design is suitable for items when the storage item probability of small, medium, and large sizes is 8:8:1, and the space effective utilization rate may reach 100% (510 units are fully loaded). In another case, when the storage item probability of small, medium, and large sizes is 2:5:3 (according to the 20/80 rule), the different-unit rack utilization rate is 58.8% (300 items are loaded in 510 units). Moreover, the same-unit rack utilization rate is 100% (105 items are loaded in 105 units), and the storage capacity of the same unit is still less than that of a different unit. In general, with a rough understanding of the size distribution, such as different materials having very different sizes and probabilities, the different-unit rack design is significantly better than the same-unit rack design (Figure 8) in manufacturing warehousing systems.
3.4. Stacker Picking and Loading
The stacker moves along the lane and lifts bins horizontally and vertically from upper shelves to buffer units, or vice versa. For example, a medium warehouse has a number of racks and stackers, as shown in Figure 9, with all stackers being capable of handling bins on both side racks.
Figure 9.
A side view of racks and stackers.
In Figure 10, there are three possible operations, such as loading a bin named ‘1’ from the buffer unit to an empty storage unit, picking a bin named ‘2’ from the upper shelf to an empty buffer unit, or completing a DC. The DC loads bin ‘3’ to an empty storage unit and picks bin ‘4’ to an empty buffer unit. The operation time of a DC is obviously less than the sum of loading and unloading.
Figure 10.
A front view of stacker operations.
When the rack has different unit sizes, as shown in Figure 11, the first fit (FF) and best fit (BF) rules are considered in DC processes [22]. FF gives the loading position, which is first searched with a space big enough for loading an item, and BF gives the loading position, which is the best for loading an item with low space waste. This means that FF may load small items into medium or big units, but the BF may reduce the probabilities of these situations. For example, a medium-sized item may be prioritized for placement into medium-size units. If there are no empty medium-size units, the item can be put into an empty large-size unit.
Figure 11.
The DC of the stacker.
The stacker assignment is complex when the buffer units are considered. To simplify the loading and unloading operations in buffer units, we divide the buffer shelf into two halves, where the first half shelf is used for loading and the second is used for unloading. In Figure 12, the AGV loads an item into an empty buffer unit (the item named ‘A’), continues to move along the lane or access shelf, and then takes an item from a buffer unit (the item named ‘B’). The AMR’s operations are named ‘1’ and ‘2’ in the DC process. At the same time, the stacker moves item ‘A’ after the AMR’s operation ‘1’ and moves item ‘B’ from some storage unit to the buffer unit before the AMR’s operation ‘2’. The stacker DC is marked as operations ‘3’ and ‘4’. This shows that the more AGVs there are, the more complex the system is.
Figure 12.
An example of the AMR and stacker DC.
The following notations are used in the rest part of this paper, as shown in Table 5.
Table 5.
Notations used in the rest of this paper.
4. Numerical Experiments
In this section, we measure the storage capacity and picking efficiency indicators in warehouse systems. The warehouse systems consist of racks, stackers, ARMs, and picking stations, and we compare the two indicators in several warehouses of different scales.
Due to the complexity of storage and picking operations, some rules are used to simplify the processes, which are capable of calculating two indicators. The following rules are followed in this paper:
- (1)
- The units in buffer shelves are big enough to load all kinds of items, and all sizes of items are equally convenient to be loaded or unloaded by AMRs.
- (2)
- Small items are allowed to be stored in small-, medium-, or big-sized units; medium items are allowed to be stored in medium- or big-sized units; and big items are only allowed to be stored in big-sized units.
- (3)
- All AMRs move with the same speed mode, including constant speed, acceleration, and deceleration.
- (4)
- Stackers and AMRs are both of single depth.
- (5)
- There is no collision throughout the entire process, and AMRs move along the established route. By default, existing technologies (such as a camera [44]) avoid conflicts when AMRs meet, some priority rules avoid congestion, and the processes proceed smoothly.
4.1. Storage Capacity and Space Utilization
The Min-1 Model is the simplest design and is composed of a buffer rack (same-unit-size), a stacker, a pick-up station, two lanes, and a parking zone, as shown in Figure 13a. The AMRs run along the left lane when loading or unloading bins, and the stacker handles the picking and loading operations on the other lane, i.e., the right side of the buffer rack.

Figure 13.
The Min-1, Min-2, and Min-3 Models: (a) The Min-1 Model, (b) the Min-2 Model, and (c) the Min-3 Model.
In the Min-1 Model, the buffer capacity is equal to the number of bins in the bottom row of the buffer rack, represented as , and the storage capacity is represented as .
In the Min-2 Model, we add a buffer rack into the Min-1 Model; still, this model is very simple, as shown in Figure 13b. In this design, AMRs run along one of the two paths. The buffer capacity is represented as , and the storage capacity is represented as .
In the Min-3 Model, we add a rack pair, a stacker, and a pick-up station into the Min-2 Model, as shown in Figure 13c. This design is more complex than the first two. However, it is still a relatively small warehouse design. In addition, the buffer capacity is , and the storage capacity is .
When the changes, the buffer capacity, storage capacity, and route length are all changed, and we compare the efficiency in Min-1, Min-3, medium, and large layout designs. We set the rack length from 20, 30, 40, 50, 60, 70, to 80 m, and all unit sizes are 1 m × 1 m × 1 m. For the convenience of calculations, we define the medium model as adding four rack pairs, four stackers, and four pick-up stations to the Min-3 Model. The large model adds 10 rack pairs, 10 stackers, and 10 pick-up stations to the Min-3 Model. In addition, the area occupancy (, ) and storage utilization rate () are represented in Formulas (1) and (2). The storage space utilization rate (), area occupancy (), and storage utilization rate () are calculated in Table 6.
Table 6.
The storage space utilization rate with changes in the rack length.
As shown in Table 6, the storage utilization rate () for each layout design increases when the rack length increases, the medium layout shows the top performance (reaching 280.95%) when the rack length is 80 m, and the Min-3 type has the highest in all layouts when rack length is 20 m. Compared with the others, the Min-1 type shows the overall worst performance. In the large layouts, when the rack length is 80 m, the area occupancy is 5249 . Compared with the KIVA system [5,32], the area can accommodate nearly 100 pods, and each pod has a length and width of 1 m, and the height is 2 to 3 m. Then, the storage capacity in the KIVA system is 2000 to 4000, which is far less than the large layout (13440) in our system.
4.2. Picking Efficiency
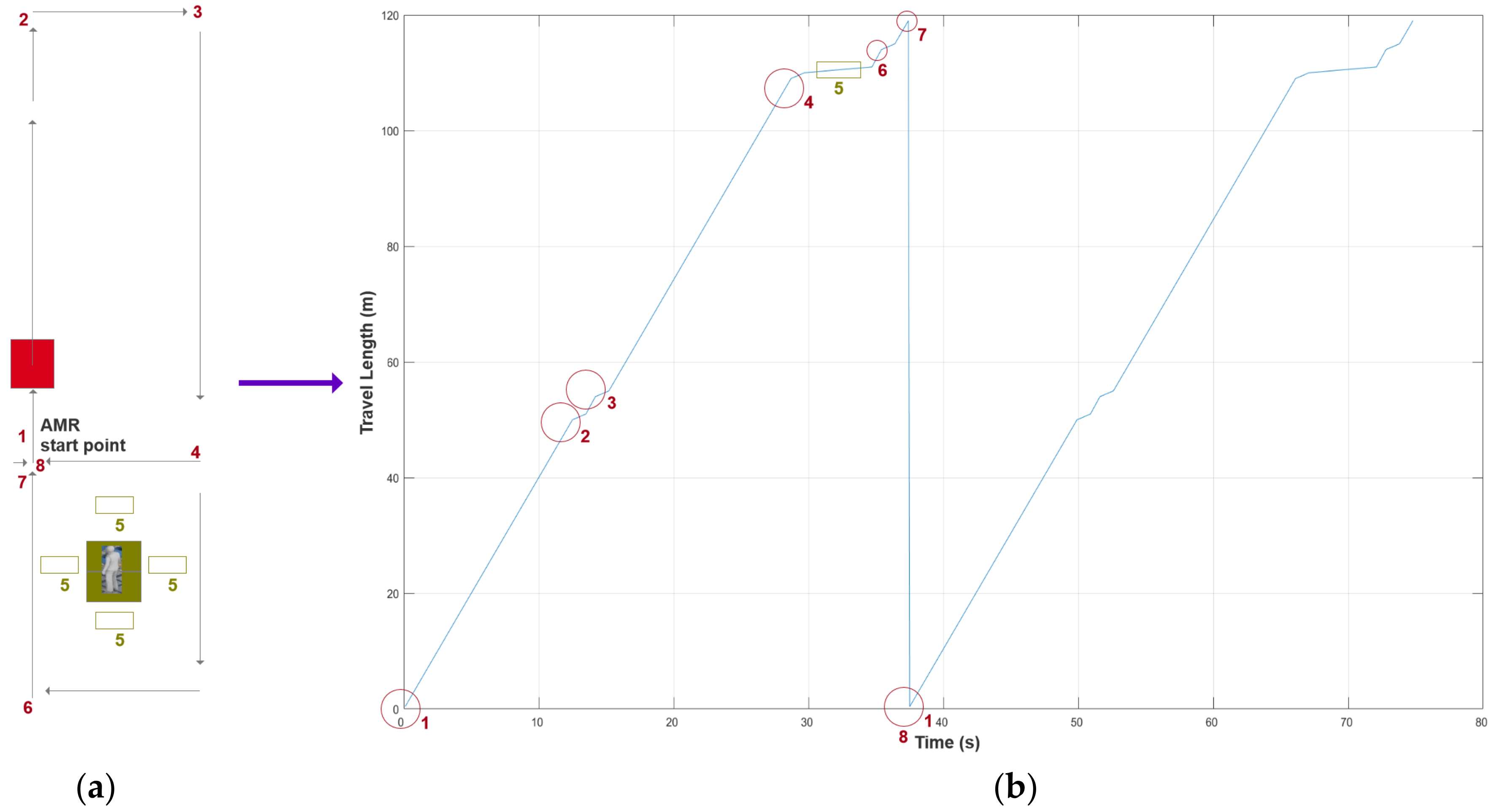
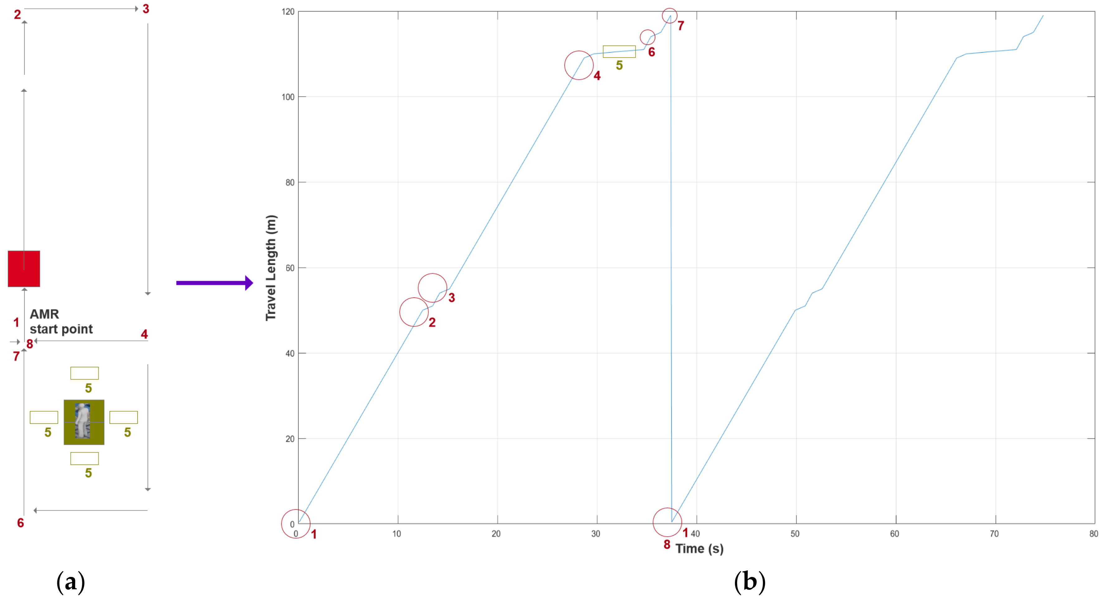
When one AMR runs, it starts from the down side of the left lane (in Figure 13 and Figure 14, the AMR starting point is shown by the arrow from the parking zone to the lane), and the travel length in the Min-1 Model is represented as Formula (3). In fact, the AMR runs in circles, as shown in Figure 14a. When a circle is completed, the travel length in Figure 14b is set to zero, i.e., marked as ‘7’ and ‘8’.
Figure 14.
An AMR travel length. (a) An AMR travel path sketch (b). An AMR travel path (matlab graph).
Based on the Min-1 layout design, we use the matlab programming graph to represent an AMR completing a circle, as shown in Figure 14. In this graph, the normal speed of the AMR is 4 m/s, its corner speed is 1 m/s, = 50 m, = = = 1 m, = 8, and = 3 m. In Figure 14, the AMR runs from ‘1’, ‘2’, ‘3’, ‘4’, ‘5’, ‘6’, ‘7’, to ‘8’. There are corners, and the ARM reduces its speed, indicated as ‘2’, ‘3’, ‘4’, and ‘6’ (the average slow periods are all 1 s). In the ‘5’ period, the AMR moves very slowly or waits for picking (the average picking time is 1 s). When the task ends, the AMR returns to the starting point ‘1’, and the travel length changes to 0 m.
In Figure 15, we add a picking list into the processes, and the random list indicates the locations for AMRs loading or unloading bins and gives priority to DC. First, the AMR moves to the starting point, unloads the yellow bin to an empty unit at the bottom of the buffer rack, and then runs to the target unit for loading (the green one). The double command periods are also represented in Figure 15b, which are numbered ‘9’ and ‘10’. The AMR runs along the route and finishes the picking operation, and then it moves to unload the green bin.
Figure 15.
An AMR travel path including a double command (DC). (a) An AMR travel path sketch. (b) An AMR travel path (matlab graph).
Next, we discuss the relationship between warehouse capacity and the number of buffer units and AMRs when more AMRs are put into the DC processes. In addition, the AMRs and stacker efficiency are compared at the same time.
As shown in Figure 16, there are 10 AMRs in the Min-1 layout warehouse system, and the interval time between two AMRs is 2 s. After many circles, there are following situations.
Figure 16.
AMRs travel lengths in the Min-1 layout.
- (1)
- The distances between adjacent AMRs may be less than 1 m.
- (2)
- There is no more space for new AMRs.
In situations 1 and 2, one more AMR will lead to collisions or blocks. We define this as Max and calculate them in a period of time in all models. The capacity for AMR reaches a saturation point. We calculate the picking efficiency index () to estimate the picking station work status. The calculations based on the two situations are listed in Table 7.
Table 7.
AMRs’ working efficiency.
For all the considered layouts, we discuss the capacities of racks, the number of AMRs (when the pick-up stations reach their maximum workloads), and the efficiency of pick-up stations. In Table 7, the max number of AMRs increases when the rack length increases in every design model and increases to nearly 486 in the large model. At the same time, the pick-up efficiency is 284 to 1174 bins per hour in Min-1, 620 to 2044 per hour in Min-3, 927 to 2327 in the medium-scale layout, and 1000 to 2430 in the large-scale layout.
5. Conclusions and Further Research Opportunities
This study proposes a novel efficient parts-to-picker approach by designing buffer racks and access racks, which shows its advantages in storage capacity and picking efficiency. The verification of the advantages is completed by numerical experiments. The conclusions are as follows.
- (1)
- High storage capacity and picking efficiency. The proposed parts-to-picker system is flexible and efficient compared with the existing systems. The storage capacity (in the large-scale model, the storage capacity is 13440, as listed in Table 7) is significantly bigger than the KIVA system (2000 to 4000, [5,6]). At the same time, the picking efficiency (in the large-scale model, the picking efficiency can reach 2430 boxes per hour, as listed in Table 7) is significantly better than the SBS/RS (between 500 and 800 boxes per hour, [1]) and the miniload AS/RS (less than 300 boxes per hour, [22]). Furthermore, when the number of AMRs reaches the max, the picking efficiency (2430 in the large-scale model, as listed in Table 7) is no less than the KIVA system (nearly 2000 per hour, [5,6]). This integration operation demonstrates its various advantages and can meet the needs of enterprises in reducing costs and improving efficiency, and it shows great practical value.
- (2)
- Sustainable transformation and upgrading. The novel design shows a small and efficient structural transformation in manufacturing warehousing systems, such as changing the bottom shelves to access shelves, and the rest of the racks are basically unchanged. The renovation cost is low, but the improvement in storage capacity and picking efficiency is great. For example, in the Min-3 Model, there are 80 buffer units, and the capacity can reach 2240 when the warehouse is 860 square meters, and the picking efficiency can reach 2044 boxes per hour. More importantly, this sustainable improvement for existing warehouses realizes the efficient utilization of spatial resources [54,55] and provides important support for the construction of green supply chains.
Moreover, there are several research opportunities for the future. Regarding the processes of loading and unloading, the AMR DC and the stacker DC are flow processes that can be seen as an NP-hard problem, and it will be worthwhile to complete more research in the future. In addition, the congestion of AMRs in this novel system is inevitable, and research on avoiding congestion will be very valuable for improving the system’s work efficiency.
Author Contributions
Conceptualization, M.H. and Z.G.; methodology, M.H.; software, M.H. and X.W.; validation, M.H., Z.G. and X.W.; formal analysis, M.H.; investigation, M.H.; resources, M.H. and G.H.; data curation, M.H.; writing—original draft preparation, M.H.; writing—review and editing, M.H. and Z.G.; visualization, M.H. and X.W.; supervision, Z.G. and G.H.; project administration, Z.G. and G.H.; funding acquisition, G.H. All authors have read and agreed to the published version of the manuscript.
Funding
This research was funded by the National Natural Science Foundation of China, grant numbers 51979115 and 51679099.
Data Availability Statement
The authors confirm that the data supporting the findings of this study are available within this article.
Conflicts of Interest
The authors declare no conflicts of interest.
References
- Volling, T.; Matzke, A.; Grunewald, M.; Spengler, T.S. Planning of capacities and orders in build-to-order automobile production: A review. Eur. J. Oper. Res. 2013, 224, 240–260. [Google Scholar] [CrossRef]
- Brabazon, P.G.; MacCarthy, B. Fundamental behaviour of virtual-build-to-order systems. Int. J. Prod. Econ. 2006, 104, 514–524. [Google Scholar] [CrossRef]
- Peng, G.; Wu, Y.; Zhang, C.; Shen, W. Integrated optimization of storage location assignment and crane scheduling in an unmanned slab yard. Comput. Ind. Eng. 2021, 161, 107623. [Google Scholar] [CrossRef]
- Wu, G.; Xu, X.; Lu, X. Considering the influence of queue length on performance improvement for a new compact robotic automated parking system. Int. J. Inf. Manag. 2020, 50, 487–497. [Google Scholar] [CrossRef]
- Yang, X.; Hua, G.; Hu, L.; Cheng, T.C.E.; Huang, A. Joint optimization of order sequencing and rack scheduling in the robotic mobile fulfilment system. Comput. Oper. Res. 2021, 135, 105467. [Google Scholar] [CrossRef]
- Guan, C.; Zhang, Z.; Liu, S.; Gong, J. Multi-objective particle swarm optimization for multi-workshop facility layout problem. J. Manuf. Syst. 2019, 53, 32–48. [Google Scholar] [CrossRef]
- Bortolini, M.; Faccio, M.; Ferrari, E.; Gamberi, M.; Pilati, F. Time and energy optimal unit-load assignment for automatic S/R warehouses. Int. J. Prod. Econ. 2017, 190, 133–145. [Google Scholar] [CrossRef]
- Sato, Y.; Tan, K.H.; Tse, Y.K. An integrated marginal analysis approach for build-to-order products. Int. J. Prod. Econ. 2015, 170, 422–428. [Google Scholar] [CrossRef]
- Chen, X.; Yang, P.; Shao, Z. Simulation-based time-efficient and energy-efficient performance analysis of an overhead robotic compact storage and retrieval system. Simul. Model. Pract. Theory 2022, 119, 102560. [Google Scholar] [CrossRef]
- Roodbergen, K.J.; Vis, I.F.A. A survey of literature on automated storage and retrieval systems. Eur. J. Oper. Res. 2009, 194, 343–362. [Google Scholar] [CrossRef]
- Chow, W.M. Development of an automated storage and retrieval system for manufacturing assembly lines. In Proceedings of the International Conference on Robotics and Automation, San Francisco, CA, USA, 7–10 April 1986; IEEE: Piscataway, NJ, USA, 1986; pp. 490–495. [Google Scholar]
- Liu, S.; Wang, Q.; Sun, J. Integrated optimization of storage allocations in automated storage and retrieval system of bearings. In Proceedings of the 25th Chinese Control and Decision Conference (CCDC), Guiyang, China, 25–27 May 2013; IEEE: Piscataway, NJ, USA, 2013; pp. 4267–4271. [Google Scholar]
- Boywitz, D.; Boysen, N. Robust storage assignment in stack- and queue-based storage systems. Comput. Oper. Res. 2018, 100, 189–200. [Google Scholar] [CrossRef]
- Yang, P.; Qi, M.; Miao, L. Optimal Boundaries for Class-based Automated Storage/retrieval Systems Considering the Acceleration/deceleration of the Storage and Retrieval Machine. In Proceedings of the International Conference on Logistics Systems and Intelligent Management, Harbin, China, 9–10 January 2010; IEEE: Piscataway, NJ, USA, 2010; pp. 1400–1404. [Google Scholar]
- Polten, L.; Emde, S. Multi-shuttle crane scheduling in automated storage and retrieval systems. Eur. J. Oper. Res. 2022, 302, 892–908. [Google Scholar] [CrossRef]
- Keung, K.L.; Lee, C.K.M.; Ji, P. Data-driven order correlation pattern and storage location assignment in robotic mobile fulfillment and process automation system. Adv. Eng. Inform. 2021, 50, 101369. [Google Scholar] [CrossRef]
- Ma, Y.; Chen, H.; Yu, Y. An efficient heuristic for minimizing the number of moves for the retrieval of a single item in a puzzle-based storage system with multiple escorts. Eur. J. Oper. Res. 2022, 301, 51–66. [Google Scholar] [CrossRef]
- Dukic, G.; Opetuk, T.; Lerher, T. A throughput model for a dual-tray Vertical Lift Module with a human order-picker. Int. J. Prod. Econ. 2015, 170, 874–881. [Google Scholar] [CrossRef]
- Durasevic, M.; Dumic, M. Automated design of heuristics for the container relocation problem using genetic programming. Appl. Soft Comput. 2022, 130, 109696. [Google Scholar] [CrossRef]
- Rehman, S. A parallel and silent emerging pandemic: Antimicrobial resistance (AMR) amid COVID-19 pandemic. J. Infect. Public Health 2023, 16, 611–617. [Google Scholar] [CrossRef] [PubMed]
- Sarker, B.R.; Babu, P.S. Travel time models in automated storage/retrieval systems: A critical review. Int. J. Prod. Econ. 1995, 40, 173–184. [Google Scholar] [CrossRef]
- He, M.; Guan, Z.; Wang, C.; Hou, G. Multiple-Rack Strategies Using Optimization of Location Assignment Based on MRCGA in Miniload Automated Storage and Retrieval System. Processes 2023, 11, 950. [Google Scholar] [CrossRef]
- Pan, J.C.H.; Shih, P.H.; Wu, M.H. Storage assignment problem with travel distance and blocking considerations for a picker-to-part order picking system. Comput. Ind. Eng. 2012, 62, 527–535. [Google Scholar] [CrossRef]
- Parsa, N.R.; Karimi, B.; Husseini, S.M.M. Minimizing total flow time on a batch processing machine using a hybrid max-min ant system. Comput. Ind. Eng. 2016, 99, 372–381. [Google Scholar] [CrossRef]
- Lee, I.G.; Chung, S.H.; Yoon, S.W. Two-stage storage assignment to minimize travel time and congestion for warehouse order picking operations. Comput. Ind. Eng. 2020, 139, 106129. [Google Scholar] [CrossRef]
- Dijkstra, A.S.; Roodbergen, K.J. Exact route-length formulas and a storage location assignment heuristic for picker-to-parts warehouses. Transp. Res. Part E 2017, 102, 38–59. [Google Scholar] [CrossRef]
- Manzini, R.; Accorsi, R.; Gamberi, M.; Penazzi, S. Modeling class-based storage assignment over life cycle picking patterns. Int. J. Prod. Econ. 2015, 170, 790–800. [Google Scholar] [CrossRef]
- Srinivas, S.; Yu, S. Collaborative order picking with multiple pickers and robots: Integrated approach for order batching, sequencing and picker-robot routing. Int. J. Prod. Econ. 2022, 254, 108634. [Google Scholar] [CrossRef]
- Li, X.; Yang, X.; Zhang, C.; Qi, M. A simulation study on the robotic mobile fulfillment system in high-density storage warehouses. Simul. Model. Pract. Theory 2021, 112, 102366. [Google Scholar] [CrossRef]
- Zhang, J.; Zhang, X.; Zhang, N. Considering pickers’ learning effects in selecting between batch picking and batch-synchronized zone picking for online-to-offline groceries. Appl. Math. Model. 2023, 113, 358–375. [Google Scholar] [CrossRef]
- Roy, D.; Nigam, S.; de Koster, R.; Adan, I.; Resing, J. Robot-storage zone assignment strategies in mobile fulfillment systems. Transp. Res. Part E 2019, 122, 119–142. [Google Scholar] [CrossRef]
- Li, X.; Hua, G.; Huang, A.; Sheu, J.B.; Cheng, T.C.E.; Huang, F. Storage assignment policy with awareness of energy consumption in the Kiva mobile fulfilment system. Transp. Res. Part E 2020, 144, 102158. [Google Scholar] [CrossRef]
- Zhuang, Y.; Zhou, Y.; Hassini, E.; Yuan, Y.; Hu, X. Rack retrieval and repositioning optimization problem in robotic mobile fulfillment systems. Transp. Res. Part E 2022, 167, 102920. [Google Scholar] [CrossRef]
- Kuhn, H.; Schubert, D.; Holzapfel, A. Integrated order batching and vehicle routing operations in grocery Retail—A General Adaptive Large Neighborhood Search algorithm. Eur. J. Oper. Res. 2021, 294, 1003–1021. [Google Scholar] [CrossRef]
- Žulj, I.; Salewski, H.; Goeke, D.; Schneider, M. Order batching and batch sequencing in an AMR-assisted picker-to-parts system. Eur. J. Oper. Res. 2022, 298, 182–201. [Google Scholar] [CrossRef]
- van Geest, M.; Tekinerdogan, B.; Catal, C. Design of a reference architecture for developing smart warehouses in industry 4.0. Comput. Ind. 2021, 124, 103343. [Google Scholar] [CrossRef]
- Vis, I.F.A. Survey of research in the design and control of automated guided vehicle systems. Eur. J. Oper. Res. 2006, 170, 677–709. [Google Scholar] [CrossRef]
- Roodbergen, K.J.; de Koster, R. Routing order pickers in a warehouse with a middle aisle. Eur. J. Oper. Res. 2001, 133, 32–43. [Google Scholar] [CrossRef]
- Lau, H.Y.K.; Zhao, Y. Integrated scheduling of handling equipment at automated container terminals. Int. J. Prod. Econ. 2008, 112, 665–682. [Google Scholar] [CrossRef]
- Zhong, M.; Yang, Y.; Dessouky, Y.; Postolache, O. Multi-AGV scheduling for conflict-free path planning in automated container terminals. Comput. Ind. Eng. 2020, 142, 106371. [Google Scholar] [CrossRef]
- Fan, X.; He, Q.; Zhang, Y. Zone Design of Tandem Loop AGVs Path with Hybrid Algorithm. IFAC-Pap. 2015, 48, 869–874. [Google Scholar] [CrossRef]
- Miyamoto, T.; Inoue, K. Local and random searches for dispatch and conflict-free routing problem of capacitated AGV systems. Comput. Ind. Eng. 2016, 91, 1–9. [Google Scholar] [CrossRef]
- Qi, M.; Li, X.; Yan, X.; Zhang, C. On the evaluation of AGVS-based warehouse operation performance. Simul. Model. Pract. Theory 2018, 87, 379–394. [Google Scholar] [CrossRef]
- Yang, Q.; Lian, Y.; Xie, W. Hierarchical planning for multiple AGVs in warehouse based on global vision. Simul. Model. Pract. Theory 2020, 104, 102124. [Google Scholar] [CrossRef]
- Drótos, M.; Györgyi, P.; Horváth, M.; Kis, T. Suboptimal and conflict-free control of a fleet of AGVs to serve online requests. Comput. Ind. Eng. 2021, 152, 106999. [Google Scholar] [CrossRef]
- Zhai, D.; Wang, C.; Cao, H.; Garg, S.; Hassan, M.M.; AlQahtani, S.A. Deep neural network based UAV deployment and dynamic power control for 6G-Envisioned intelligent warehouse logistics system. Future Gener. Comput. Syst. 2022, 137, 164–172. [Google Scholar] [CrossRef]
- Ho, Y.C.; Liao, T.W. Zone design and control for vehicle collision prevention and load balancing in a zone control AGV system. Comput. Ind. Eng. 2009, 56, 417–432. [Google Scholar] [CrossRef]
- Zhong, S.; Giannikas, V.; Merino, J.; McFarlane, D.; Cheng, J.; Shao, W. Evaluating the benefits of picking and packing planning integration in e-commerce warehouses. Eur. J. Oper. Res. 2022, 301, 67–81. [Google Scholar] [CrossRef]
- Zhang, G.; Shang, X.; Alawneh, F.; Yang, Y.; Nishi, T. Integrated production planning and warehouse storage assignment problem: An IoT assisted case. Int. J. Prod. Econ. 2021, 234, 108058. [Google Scholar] [CrossRef]
- Fu, X.; Zhang, B.; Yu, H. Vehicles routing and scheduling algorithm for an automated storage and retrieval system of a warehouse. In Proceedings of the International Conference on Logistics, Barcelona, Spain, 27–29 July 2015; IEEE: Piscataway, NJ, USA, 2015. [Google Scholar]
- Xu, X.; Shen, Y.; Chen, W.; Gong, Y.; Wang, H. Data-driven decision and analytics of collection and delivery point location problems for online retailers. Omega 2021, 100, 102280. [Google Scholar] [CrossRef]
- Sun, J.; Zhang, F.; Lu, P.; Yee, J. Optimized modeling and opportunity cost analysis for overloaded interconnected dangerous goods in warehouse operations. Appl. Math. Model. 2021, 90, 151–164. [Google Scholar] [CrossRef]
- Yener, F.; Yazgan, H.R. Optimal warehouse design: Literature review and case study application. Comput. Ind. Eng. 2019, 129, 1–13. [Google Scholar] [CrossRef]
- Pavlov, N.; Durdjevic, D.; Andrejic, M. A Novel Two-Stage Methodological Approach for Storage Technology Selection: An Engineering–FAHP–WASPAS Approach. Sustainability 2023, 15, 13037. [Google Scholar] [CrossRef]
- Czerniachowska, K.; Wichniarek, R.; Zywicki, K. A Model for an Order-Picking Problem with a One-Directional Conveyor and Buffer. Sustainability 2023, 15, 13731. [Google Scholar] [CrossRef]
Disclaimer/Publisher’s Note: The statements, opinions and data contained in all publications are solely those of the individual author(s) and contributor(s) and not of MDPI and/or the editor(s). MDPI and/or the editor(s) disclaim responsibility for any injury to people or property resulting from any ideas, methods, instructions or products referred to in the content. |
© 2024 by the authors. Licensee MDPI, Basel, Switzerland. This article is an open access article distributed under the terms and conditions of the Creative Commons Attribution (CC BY) license (https://creativecommons.org/licenses/by/4.0/).
















