Next Article in Journal
Corrosion Behaviour of Recycled Aluminium AlSi9Cu3(Fe) Machining Chips by Hot Extrusion and Thixoforming
Next Article in Special Issue
Tomato and Pepper Seeds as Pathways for the Dissemination of Phytopathogenic Bacteria: A Constant Challenge for the Seed Industry and the Sustainability of Crop Production
Previous Article in Journal
Experimental Study on the Potential Utilization of Olive Oil Production Wastes and By-Products as Building Materials
Previous Article in Special Issue
Biochemical and Quality Parameter Changes of Wheat Grains during One-Year Storage under Different Storage Conditions
 
 
Font Type:
Arial Georgia Verdana
Font Size:
Aa Aa Aa
Line Spacing:
Column Width:
Background:
Article

Heavy Metals and Pesticide Residues in Small Farm Cheese Production in Croatia—Challenge between Quality and Quantity

1
Teaching Institute for Public Health Dr. Andrija Štampar, 10000 Zagreb, Croatia
2
School of Medicine, University of Zagreb, 10000 Zagreb, Croatia
3
Medical Health Center Kašina, 10362 Zagreb, Croatia
4
Faculty of Pharmacy and Biochemistry, University of Zagreb, 10000 Zagreb, Croatia
5
Faculty of Agriculture, University of Zagreb, 10000 Zagre, Croatia
*
Author to whom correspondence should be addressed.
Sustainability 2024, 16(4), 1356; https://doi.org/10.3390/su16041356
Submission received: 8 January 2024 / Revised: 30 January 2024 / Accepted: 4 February 2024 / Published: 6 February 2024
(This article belongs to the Special Issue Agricultural Product Quality Safety and Sustainable Development)

Abstract

The beneficial health effects of cheese as a source of bioactive compounds with antioxidant, antimicrobial, anti-inflammatory, immunomodulatory, and analgesic effects are well known. The aim of this study is to determine the presence of pesticide residues and heavy metals in 79 cheese samples from small farms in Croatia. The samples were analyzed over a period of three years for the quality parameters of fat, protein, dry matter, salt, and pH to determine whether metrological conditions affect the quality of cheese and to test the correlation between the variables in different types of cheese. A total of 509 pesticide residues were analyzed using liquid and gas chromatography with tandem mass spectrometry. Piperonyl butoxide was found in two samples. Inductively coupled plasma with mass spectrometry was used for a metal content analysis, and Cd, Cr, Mn, Ni, and Pb were found in the range of <0.005–0.012 mg kg−1, <0.02–0.84 mg kg−1, 0.031–1.128 mg kg−1, <0.03–0.67 mg kg−1, and <0.01–0.12 mg kg−1, respectively. Cd was detected in just three samples. Mn was found in all analyzed samples. All tested samples complied with EU regulations and directives, and at the point of analysis, none posed a direct health risk for consumers. Sustainability on small farms could be ensured with the responsible use of pesticides and through a consistent and reliable supply of fresh, high-quality milk.

1. Introduction

For more than a few thousand years, cheese has been consumed by people all over the world for its nutritional value and culinary experience. It is believed that the first cheese was accidentally made by an Arab trader who stored the milk in animal stomachs [1].
As health awareness has increased worldwide in recent decades, a growing interest in the health effects of cheese consumption has been noted. Recently, studies have highlighted cheese as a source of bioactive compounds that exhibit antioxidant, antimicrobial, anti-inflammatory, immunomodulatory, and analgesic effects [2]. Bioactive peptides, including lactotripeptides such as Ile-Pro-Pro and Val-Pro-Pro, exert an inhibitory and antihypertensive effect on the angiotensin-converting enzyme (ACE) [3]. By inhibiting the conversion of angiotensin I to angiotensin II, numerous bioactive peptides identified in cheese have been positively associated with reducing the risk and delaying the onset of cardiovascular disease [4]. In addition, a higher consumption of dairy protein stimulates the postprandial insulin response, thereby reducing the postprandial increase in blood glucose concentration, suggesting that di-peptidyl peptidase IV inhibitory peptides are associated with a lower incidence of type 2 diabetes complications [3,5]. Cheese consumption is increasing, and today, the average consumption worldwide is 8.00 g per day with 34-fold regional differences, being the lowest in Africa and the highest in Central and Eastern Europe and the USA. Worldwide, weekly cheese consumption is higher among adults with higher levels of education than among adults with lower levels of education, being higher in urban areas than in rural areas, and being higher among adults than among children in general [6]. Some studies predict that cheese consumption will increase by 13.8% in this decade [7]. Croatia is not a large cheese producer but has many small farms with local production and good cheese, especially goat cheese, but production on a national basis is decreasing. According to the Croatian Statistical Office, the average cheese consumption in the Republic of Croatia in 2019 was 8.9 kg [8]. In 2022, the total milk production of family farms in Croatia decreased by 9.9% compared to 2021, which corresponds to about 36,000 tons. In dairy products, the total production of fresh cheese fell by 14.9%, and the decline in other types of cheese was even more pronounced at 27.0% [9]. Depending on the type of production and maturing process, cheese can be divided into fresh cheese, soft cheese, semi-hard cheese, and hard cheese, so that different quantities of milk are required for its production. As a result of the increase in the world population and market demand, cheese production is facing quantitative and qualitative challenges in order to meet these requirements. Dairy cows, sheep, and goats are fed with feed treated with pesticides that degrade quickly and end up in tissues, milk, and dairy products. Considering that dairy products make up 30% of the diet, they are a good test medium for the presence of pesticides in food. Pesticides are mainly used in crop production to keep plants healthy and prevent the progression of diseases and infestations [10]. According to a 2020 assessment by the Pesticide Action Network Europe, residues of toxic and persistent pesticides were found in animal products, reaching up to 40% in certain samples. The most common are organochlorine pesticides such as DDT, chlordecone, and hexa-chlorobenzene (HCB) [11]. Due to specific physical and chemical properties, such as fat solubility and a long half-life, these compounds accumulate in animal tissues through rapid gastrointestinal absorption, mainly in the liver, fat, and breast milk. As a consequence, the consumption of cheese, the end product of milk, with pesticide residues poses a serious risk to human health [12]. Long-term exposure to pesticide residues is associated with neurological, reproductive, endocrine, and mitochondrial dysfunctions, which also have a mutagenic and carcinogenic potential. Because children consume high levels of milk and dairy products with pesticide residues and their immune systems are not yet fully developed, they are particularly vulnerable to the harmful effects of pesticides. The concentration of certain pesticide residues in cheese can be influenced by biochemical processes such as heating, salting, and ripening [13]. The fat content in milk and dairy products is not the only factor influencing the amount of accumulated pesticides. The level of environmental pollution and the conditions of dairy farming are often of greater importance [12]. Heavy metals contained in dairy products pose a further health risk to humans. They are usually described as natural elements with a high atomic mass and a density of at least 5 g cm−3 [14]. Contamination of the food chain with heavy metals represents a transfer from polluted air, water, and soil to humans [15,16]. Although zinc (Zn), copper (Cu), iron (Fe), chromium (Cr), cobalt (Co), and manganese (Mn) are essential for human physiological processes, they are more or less toxic depending on the metal [17]. Other heavy metals that are not essential and have no health benefits are arsenic (As), lead (Pb), cadmium (Cd), and mercury (Hg) [18]. The physical and chemical properties of these elements allow them to accumulate in vital organs and disrupt normal physiological functions, leading to neurological, cardiovascular, and renal disorders and metabolic imbalances [19]. The potential of mutagenic and carcinogenic heavy metals is associated with the negative effects of oxidative stress on DNA and its proteins and with the disruption of DNA repair processes [20].
Due to their biochemical characteristics, heavy metals can disrupt the blood–brain barrier (BBB) [16]. By accumulating in the main compounds of the BBB, such as astrocytes and endothelial cells, they cause a disturbance in BBB permeability, which may lead to neurological disorders and neurodegenerative diseases [21].
The European Food Safety Authority (EFSA) designed the Pesticide Residue Intake Model (PRIMo) tool for estimating consumer exposure to pesticides and assessing the maximum residue level (MRL). PRIMo is under European Commission regulations (No. 396/2005, No. 1107/2009) [22]. According to an Assessment Report conducted by the European Chemical Agency (ECHA) in 2017, piperonyl butoxide (PB), a pesticide-active substance found in this research, has an Acceptable Exposure Level (AEL) of 0.2 mg kg−1 bw/day (milligrams per kilogram of body weight per day) [23]. No consensus was reached regarding heavy metals’ tolerable daily intake (TDI). However, studies presented by the EFSA propose possible risk limits for humans (Cd, 1.0 µg kg−1 bw/day [24]; Cr, 0.3 mg kg−1 bw/day [25]; Ni, 13 µg kg−1 bw/day [26]; and Pb, 3.6 µg kg−1 bw/day) [27]. Since joining the European Union, the Croatian legislation has mostly aligned with European Commission regulations [28].
Similar studies have also been conducted in Europe and other parts of the world. Spanish researchers found that the Cd and Hg content in cheeses exceeded reference values for toxic effects in humans [29]. Another study was performed in Romania, where the content of Pb in milk and cheese was above the MRLs in all three areas where samples were collected [16]. A mean Pb level of 0.03 mg kg−1 was found in milk in research conducted in Mexico, which was above the limits set by the European Commission [30]. Various results indicate that each step in the cheese-making process influences heavy metal levels in cheese.
Although Croatia is a small country in terms of area in km2, it can be divided into two main regions according to climate and soil characteristics. The continental region features rich black soil and a continental climate, whereas the coastal region experiences high temperatures, an almost subtropical climate, and has a karst terrain with limited soil and water. This study aimed to analyze 79 samples of different cheeses produced in small Croatian farms to determine pesticide and heavy metal residues using optimized and validated methods to examine their compliance with EU regulations and possible risks on human health due to consumption. Metals were chosen due to their prevalence in environmental samples and food products. The collected cheese samples were analyzed for these metals, and information about their potential sources can be found in the scientific literature. Also, a physicochemical analysis (quantity of fat, protein, dry matter, salt, and pH value) was performed to test the quality of cheeses made at small farm production facilities.
The cheese samples were prepared using the QuEChERS (Quick Easy Cheap EffectiveRugged Safe) method, and pesticide residue concentrations, using Shimadzu TQ-8050 NX GC-MS/MS (Shimadzu, Kyoto, Japan) (Gas Chromatography Tandem Mass Spectrometry) and Agilent 6495 LC/TQ LC-MS/MS (Agilent Technologies, Santa Clara, CA, USA) (triple quadrupole chromatography mass spectrometry systems) instruments, were determined. For metal detection after microwave digestion, inductively coupled plasma with mass spectrometry Agilent 7900 ICP-MS (Agilent Technologies, Santa Clara, CA, USA) was used.

2. Materials and Methods

2.1. Sample

Seventy-nine samples of cheese collected from all regions of Croatia (Figure 1) in 3 years (2021–2023) were analyzed. The sample consisted of 29 sheep, 37 cow, 10 goat, and 3 mixed cheeses. Traditionally, most sheep cheeses come from coastal regions, while cow and goat cheeses come from continental regions. Whole cheeses were collected directly from the producers and delivered to the laboratory within 3 to 5 h in a portable refrigerator at +4 °C. An analysis was performed within a few days of the samples arriving at the laboratory. The cheese samples were grated to obtain homogenous mass and then divided into six plastic containers, three for determining the presence of pesticides and heavy metals and three for analyzing the basic chemical composition. The samples were analyzed for the basic quality parameters of fat, protein, salt, and pH value in the Reference Laboratory for Milk and Dairy Products in the Dairy Science Department of the Faculty of Agriculture, University of Zagreb.
The samples for pesticide analysis were prepared using the QuEChERS method and analyzed using GC-MS/MS and LC-MS/MS instruments, and heavy metals were analyzed, after microwave digestion, on ICP-MS at the Teaching Institute for Public Health “Dr. Andrija Štampar”.

2.2. Methods for the Determination of Target Compounds in Cheese Samples

High-purity mix standards were purchased from LabStandard (Castellana Grotte, BA, Italy). The Explorer Collection Kit has 638 components, purchased in 27 × 1.1 mL and 3 × 1.1 mL silanized amber ampoules in acetonitrile (ACN) and Toluene, respectively. Stock standard solutions of mixed standards were prepared in acetonitrile. For the LC-MS/MS analysis, working solutions were prepared by an appropriate dilution of the stock solutions in acetonitrile at different concentrations (for linearity, eight concentrations were prepared in the range of 0.2–50 ng mL−1) and contained all LC-MS/MS analytes. Everyday working solutions were prepared in ACN: a water solution, w/w 1/9, in a concentration of 1 ng mL−1, corresponding to a quantification limit of 0.01 mg kg−1 for most pesticides analyzed in cheese. Working solutions were used for constructing calibration curves and spiking solutions during method development and validation. The following chemicals and solvents were used: gradient grade methanol (MeOH) for LC LiChrosolv® Supelco/Merck (Merck KGaA, Darmstadt, Germany); gradient grade acetonitrile (ACN) for LC LiChrosolv® Supelco/Merck (Merck KGaA, Darmstadt, Germany); ammonium formate and Fluka (Fisher Scientific, Leicestershire, UK) were used for sample preparation and as the mobile phase for LC-MS/MS; argon, 99.9995% (Messer, Bad Soden am Taunus, Germany); helium, 6.0 (Messer, Bad Soden am Taunus, Germany); methanol (GramMol, Zagreb, Croatia); a mixture of magnesium sulphate, sodium chloride, and citrate salts (Citrate-Kit-01, BEKOlut, Bruchmühlbach-Miesau, Germany); and a mixture of magnesium sulphate salt, primary and secondary amines, and Graphitized carbon black (GCB) (PSA-Kit-06, BEKOlut, Bruchmühlbach-Miesau, Germany).

2.2.1. Sample Preparation and Extraction Procedure

Cheese samples for pesticide residue analysis were prepared by the Quick, Easy, Cheap, Effective Rugged Safe method (QuEChERS), according to Anastassiades et al. [31]. Next, pesticide residues were quantified by gas and liquid chromatography coupled to triple quadrupole (QqQ) mass spectrometry (GC-MS/MS, LC-MS/MS). All collected cheese samples were prepared using the QuEChERS method in the same way: the sample was well homogenized, and 2 g of the sample was taken for further procedures. Then, 10 mL of acetonitrile, 4 mg of MgSO4, 1 g of NaCl, 1 g of trisodium citrate dehydrate, and 0.5 g of disodium hydrogen sesquihydrate were added to the sample and shaken for 5 min. The role of magnesium sulfate (MgSO4) was to absorb the trace amount of water in the acetonitrile extract [32]. The sample thus prepared was centrifuged for 5 min at 3500 rpm [33,34]. Acetonitrile (ACN) aliquot was diluted, and 30 µL of it was injected into LC-MS/MS. For the GC-MS/MS analysis, 6 mL of the upper layer of the ACN, from the formed layers, was taken for further cleanup. Prepared dSPE (Dispersive Solid Phase Extraction) kits, containing 150 mg of primary secondary amine (PSA), 150 mg of C18, and 900 mg of magnesium sulfate, removed the lipids from oil samples. PSA retains fatty acids from the acetonitrile extract with a weak anion exchange mechanism. The non-polar sorbent C18 retains a trace amount of lipophilic interference and fat residue from the extract [32], and GCB (Graphitized Carbon Black) removes pigments from colored extracts. After centrifugation for 5 min at 3500 rpm, samples were deep-frozen for one day to remove the remaining lipids. The injection volume was 1 µL.
All samples were homogenized for metal analyses, and 0.5 g of a single sample was weighed. Then, 3 mL of HNO3 and 1 mL of H2O2 were added to each sample. Ultrawave ECR (Extra Corrosive Resistance microwave digestion system) from Milestone (Milestone Srl, Sorisole (BG), Italy) was used for microwave digestion. After digestion, the samples were diluted to 20 mL with deionized water.

2.2.2. Determination of Pesticide Residues

GC-MS/MS Analysis
The GC-MS/MS analysis was performed using Shimadzu TQ-8050NX GC-MS/MS (GCMS-TQ8050 NX, Nexis GC-2030, Shimadzu, Kyoto, Japan). Samples analyzed by gas chromatography were recorded in a GC-MS solution, and data were processed in LabSolutions Insight GCMS. The instrument was equipped with an autosampler AOC 6000. The injection temperature was set to 290 °C, and 1 µL of the solution was injected at splitless mode. The oven temperature program was as follows: the initial temperature was 105 °C, held for 3 min and then increased to 130 °C, at 10 °C min−1, ramped to 200 °C (4 °C min−1), followed by 8 °C/min to 290 °C and held for 6 min. The total run time was about 40 min. The column was SH-Rxi-5Sil MS (Shimadzu), with 30 m × 0.25 mmID and a 0.25 µm film thickness. The ion source was set at 230 °C. The three ion transitions for the MRM of each pesticide were determined. Quantification was performed using the Shimadzu LabSolution Insight software, comparing the sample’s peak area to the matrix-match standard’s peak areas. For quantification, a matrix-matched standard of the cheese extract was prepared at concentrations that meet the limit of quantification (LOQ) of 0.01 mg kg−1.
The parameters for pesticide identification, such as retention time and ion ratio, were set up according to Guidance SANTE/12830/2020 [35]. GC-MS/MS analyzed 223 pesticide-active substances in multiple reaction monitoring (MRM) mode.
LC-MS/MS Analysis
LC-MS/MS chromatographic separation was performed using an Agilent 1260 Infinity II LC system equipped with a binary pump (600 bar), autosampler, column heater, and degasser (Agilent Technologies; Palo Alto, CA, USA) interfaced to an Agilent 6495 LC/TQ triple quadrupole mass spectrometer (Agilent Technologies; Palo Alto, CA, USA). The sample injection volume was 30 µL. An Agilent Poroshell 120 EC-C18 column (150 × 3.0 mm; 2.7 µm in particle size) was employed for the LC separation. A binary mobile phase was composed of (A) 5 mM ammonium formate in water/MeOH (9:1) and (B) 5 mM ammonium formate in MeOH. The LC gradient for the separation was as follows: an isocratic of 0% B (0–0.5 min); a linear increase in B from 0% to 55% (0.5–3.0 min); a linear increase in B from 55% to 62% (3.0–8.0 min); a linear increase in B from 62% to 64% (8.0–10.0 min); a linear increase in B from 64% to 85% (10.0–12.0 min); a linear increase in B from 85% to 100% (12.0–15.0 min); and an isocratic of 100% B (15.0–17.0 min). Initial conditions were re-established in 0.01 min, and the column was re-equilibrated for 4 min, resulting in a total run time of 21 min. Retained analytes were eluted using a mobile phase at a flow rate of 0.4 mL min−1 and with the column temperature at 50 °C.
Selected reaction monitoring (SRM) was used for the MS/MS acquisition. The MS determination was performed simultaneously in positive and negative electrospray ionization (ESI) mode (using the MS instrument parameters obtained by the tuning), allowing for the determination of all target pesticides in one run. The two most abundant MS/MS ion transitions were chosen and monitored (precursor to product) for each target compound (Pesticides tMRM Database B.06.00.) (Agilent Technologies, Santa Clara, CA, USA). One transition was for quantification, and another was for confirmation. The obtained chromatograms were analyzed based on the retention time (RT) of the components in the sample and the matrix-matched standard. The ratio of the area below the peak in the sample and the matrix-matched standard gives quantitative information, i.e., the concentration of pesticides present in the sample. Identification and quantification were performed using a matrix-matched calibration in which a standard solution was prepared in a cheese matrix (corresponding to the limit of quantification of 0.01 mg kg−1). A cheese sample that contained pesticides below the detection limit was used for recovery tests. The homogenized blank sample was spiked to a concentration of 0.01 mg kg−1 by standard addition before the determination procedure. The recovery values must meet the critical limit of 80–120%. For analytes that are shown to have satisfactory precision (Relative Standard Deviation, RSD < 20%), a lower recovery may be accepted, following SANTE/12830/2020 [35]. The matrix-matched standard was analyzed for every ten samples, and the concentrations obtained must not have differed by ± 20%.
Pesticides were identified based on retention time, a target ion, and two qualifier ions (tolerance of ± 0.1 min for retention time). The sample’s selected ion transitions must correspond to the ratio of the same ion transitions in the MM standards with a tolerance of ±30%. The maximum reporting limit (MRL) of pesticides in cheese is checked on the day the results are issued, as per regulation 396/2005 [36].
The MS source conditions were as follows: a capillary voltage of 3.5 kV; a nozzle voltage of 1.5 kV; a gas temperature of 120 °C; a gas flow of 17 L min−1; nebulizer, 30 psi; a sheath gas temperature of 300 °C; and a sheath gas flow of 12 L min−1. The Masshunter software (version 10.1) was used for instrument control and data acquisition, processing, and quantification and for the confirmation of results. LC-MS/MS analyzed 286 pesticide-active substances in multiple reaction monitoring (MRM) mode.
ICP-MS Analysis
Inductively coupled plasma with mass spectrometry (ICP-MS, Agilent 7900) and high-purity argon and helium (≥99.99%) were used for metal analyses. ICP-MS measurements were performed using the MicroMist Nebulizer, with the Rf power, plasma, nebulizer, and auxiliary gas set to 1180 W, 15.0 L min−1, 1.07 L min−1, and 0.90 L min−1, respectively. Before the samples were measured, the instrument was calibrated. The reagent blank solution contained 1% HNO3. Mixed standard solutions were prepared in reagent blank solutions. Linearity was tested by injecting seven concentrations of the working standard. Each concentration was injected thrice, and the regression line and correlation coefficient were determined. A correlation coefficient of ≥0.99 was obtained for each element. The solutions compensated the matrix effect by adding internal standards (a mixture of 100 µg/L of Bi, Ge, In, Li, Sc, Tb, and Y from Agilent).
The precision parameter was determined by preparing a sample (N = 6) multiple times, which was measured and gave an RSD of 4.5%. The limits of detection (LOD) and quantification (LOQ) were determined by a 3- and 10-time RSD of repeatability analysis and ranged from 0.0002 to 0.019 mg kg−1 for LOD and 0.01 to 0.25 mg kg−1 for LOQ, except for Fe, where it was 0.31 and 1 mg kg−1, respectively. Recovery for the analyzed metals in cheese samples for Zn, Cu, Fe, Mn, Pb, Cd, Cr, and Ni were 74, 77, 104, 100, 85, 119, 80, and 72, respectively. Repeatability was checked by analyzing a sample (N = 10) multiple times, which was measured and gave an RSD in the range of 7.5–12.8%.

2.3. Physicochemical Cheese Analysis

The cheese samples were transported to the Department of Dairy Science at the Faculty of Agriculture, University of Zagreb. The analyses were conducted according to HRN EN ISO/IEC 17,025 [37]. The standard analyzed parameters were total solid content (HRN EN ISO 5534:2008) [38], protein content, as per the Kjeldahl principle (HRN EN ISO 8698-1:2014) [39], milk–fat content (HRN EN ISO 3433:2008) [40], and NaCl content (HRN EN ISO 5943:2007) [41], and pH values were measured with the “Seven Multi” pH meter (Mettler Toledo, Greifensee, Switzerland), as per the manufacturer’s instructions.

2.4. Statistical Analyses

The parameter distributions were normalized by logarithmic transformation. The statistical analyses were all conducted in SAS 9.4 (Cary, NC, USA: SAS Institute Inc.) [42]. Descriptive statistics were calculated using PROC MEANS. PROC GLM was used to analyze variance (ANOVA), Tukey–Kramer HSD, Duncan’s MRT, LSMeans, and plots with a probability level of 0.05.

3. Results and Discussion

Out of all cheese samples analyzed for 509 pesticide residues, only two samples had the active substance piperonyl butoxide (PB), detected by LC-MS/MS. Concentrations were 0.043 ± 0.021 mg kg−1 and 0.038 ± 0.019 mg kg−1, respectively, while all the others were below the limit of quantification < 0.01 mg kg−1. Samples with piperonyl butoxide residues were cheeses from mixed cows’ milk from the Pelješac peninsula. The Pelješac peninsula is situated on south of the Croatian coast, with a subtopic climate, lots of waterless karst, and limited salty grass. The obtained results are in line with our expectations, since the collected cheese samples were produced in small dairies that use milk from their own family farms or from neighboring farms. The examined small farms were far from extensive agriculture production and industrial regions. PB is not regulated by EC Regulation No. 396/2005 on maximum residue levels of pesticides in or on food and feed of plant and animal origin [36], but the European Chemicals Agency (ECHA), in EU Regulation No. 528/2012, evaluated PB use as biocidal products and active substances. It assessed PB Product-type 18 as an insecticide, acaricide, and a product to control other arthropods in 2017 [23]. The mode of action of PB is complex. According to the literature, PB stabilizes the co-applied insecticide inside the insect body and potentiates more toxins to reach their target molecules. It increases the mortality of the target organism, and likewise, the same effect may be observed by using decreased amounts of an insecticide, i.e., synergism. There is strong evidence from the literature that PB inhibits the co-applied insecticide’s oxidative and esterase-based metabolism (detoxification) [23]. Therefore, PB delays the degradation of co-applied insecticidal substances and prolongs the compounds’ potential action.
According to the literature, PB is usually applied at a sublethal dose to the target species. When PB is applied with a known toxicant, the latter’s performance is enhanced at a rate that becomes lethal when, on its own, it would be sublethal. Nevertheless, PB can exhibit some toxic effects and, at sublethal doses, is likely to exert some stress on the insect. According to the results of submitted laboratory efficacy studies and a publication, PB exerts an innate lethal effect against houseflies, mosquitoes, cockroaches, and house dust mites [23]. Insecticides are commonly used to control those insects in the ripening chamber.
The efficacy studies showed that PB is effective against mosquitoes, houseflies, and cockroaches as a synergist formulated with insecticides, particularly natural pyrethrins, and synthetic pyrethroids [23].
Mallatou et al. [43] analyzed 38 bovine milk samples and 28 cheese samples in Greece. Nine cheese samples (32.1%) contained residues of one or more of α-BHC, p,p′-DDE, lindane, and aldrin-dieldrin. The range of concentrations was 0.8 to 2 ng g−1 for lindane, 4 to 10 ng g−1 for α-BHC, 20 to 70 ng g−1 for p,p′-DDE, and 0.2 ng g−1 for aldrin, but all mean concentrations found were below the maximum limits permitted by the European Union. From the literature, organochlorine, organophosphate, synthetic pyrethroid, and triazine were found in fluid milk, powder products, yogurts, cheese, butter, and sour cream, but thermal processing reduced most residue levels, although some treatments increased the total hexachlorocyclohexane and its isomers. Biodegradation by lactic acid bacteria was effective during yogurt and cheese fermentation [13].
Animals can receive heavy metals mainly through water and food. However, some toxic metals are possibly found in milk and cheese from several sources, such as contamination during the manufacturing or cheese preparation process, contact with processing equipment, and accidental contamination during storage or packaging [44]. Ni can be derived from the metallic parts and machinery used in milk production and collection [45]. The main inputs of Cd to animal feed are contaminated crops, trace element premixes, and supplementary minerals [46].
In our study, the concentration of heavy metals was the following: Cd: <0.005–0.012 mg kg−1; Cr: <0.02–0.84 mg kg−1; Mn: 0.031–1.128 mg kg−1; Ni: <0.03–0.67 mg kg−1; and Pb: <0.01–0.12 mg kg−1. The Cd was, on average, 0.010 mg kg−1 and was only detected in tree samples. The biggest concentration was detected in cheese made from sheep’s milk from Pag Island (0.012 mg kg−1 and 0.009 mg kg−1) and one sample from Lika in cow cheese (0.008 mg kg−1). Compared to the results obtained by Christophoridis et al. [47] in Greece, their cheeses had concentrations below our LOQ. Vural et al. [48], from south-eastern Anatolia, had much higher values. Favretto [49], from Italy, and Suturović et al. [50], for cheese from Serbia, obtained values where the concentration levels were about the same as in our study.
In this study, the concentration levels of Pb found (an average of 0.03 mg kg−1) in the cheese samples range between <LOQ (<0.01 mg kg−1) and 0.12 mg kg−1, with the highest concentrations found in cow cheese (0.12 mg kg−1) from Istria. The same cheese has the highest concentration of Ni and Cr as well. In comparison, the results obtained by Christophoridis et al. [47] showed higher Pb levels, while, in comparison to the study of Vural et al. [48] and Suturović et al. [50], they were much smaller. Cr has the tendency to strongly bind to the animal liver and kidneys, but in small doses in animal feed, it has a positive impact on the milk production of lactating cows and fortifies the animals’ immune system towards numerous diseases [51,52]. However, there is no direct relation between the dietary intake of chromium and its presence in milk and cheese. Possible contamination with Cr could occur from the stainless-steel contact equipment containing 10 to 30% of Cr during the various milk and cheese production processing stages [52].
In the present study, the mean concentrations of Cr (0.19 mg kg−1) range between <0.02 mg kg−1 and 0.84 mg kg−1. Italy [49] and Greece [47] had lower values than in our study, but the results of south-eastern Anatolia (1.900–8.700 mg kg−1) in herby cheese [48] were much higher.
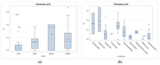
The measured mean concentrations of Ni (0.19 mg kg−1) vary between <0.03 mg kg−1 and 0.67 mg kg−1. The Ni residues could be from the use of temporary storage tankers or the use of contaminated milking tools. Ni in animals is mostly excreted mainly through urine and secondly through milk [26]. According to the literature data, the results from our study have the same range of concentration as in Greece [47] but was smaller than cheese from south-eastern Anatolia [48] and was higher than in Italy [49].
In the current study, the mean concentrations of detected Mn (0.361 mg kg−1) range between 0.031 mg kg−1 and 1.128 mg kg−1. The highest concentrations were detected in two sheep cheeses from Cres Island (1.128 mg kg−1 and 0.929 mg kg−1) and a sheep cheese from Krk Island (1.013 mg kg−1). The concentrations detected in cheese samples from other countries, such as Italy [49] and Greece [47], are lower than those measured in the current study.
The results for the heavy metal analyses, based on the type of cheese, are shown in Table 1, and the results for the heavy metal analyses, based on the production location, are shown in Table 2.
Table 1 displays data on the concentration of heavy metals (Cd, Cr, Mn, Ni, and Pb) in the cheese samples from cow, sheep, goat, and mixed milk. Except for three cheese samples in which Cd was detected, all cheese types show a negligible concentration of Cd, lower than the limit of quantification (LOQ), and no significant differences were observed among them. The chromium content is also relatively low in all cheese types. They have no significant differences, as the values are close to zero. The data show Mn content variations among the different cheese types. Sheep cheese has the highest Mn content, followed by goat, mixed, and cow cheese. The differences are statistically significant, with sheep cheese being the highest. Like Mn, the Ni content varies among the cheese types. Goat cheese has the highest Ni content, followed by sheep, mixed, and cow cheese. The differences are statistically significant, with goat cheese showing the highest nickel concentration. Pb content is also relatively low in all cheese types, and no significant differences are observed.
The data indicate that the concentration of heavy metals, such as Cd and Cr, in the analyzed cheese samples is negligible. However, there are variations in the Mn and Ni content, with sheep cheese having the highest values. The concentration of Pb is low in all cheese types. These findings suggest that the choice of milk source can influence the content of certain heavy metals in cheese, which may be related to factors like animal diet and environmental exposure [53]. Nonetheless, these cheeses’ overall levels of heavy metals are relatively low and within safe limits for human consumption.
Table 2 displays data on heavy metal, Cd, Cr, Mn, Ni, and Pb, concentrations in cheese samples from different Croatian regions. The Cd content in cheese samples from the researched regions is negligible, with all values being lower than the LOQ, with no significant differences observed. The Cr content also shows relatively low levels in all cheese types, with no significant differences among the regions. The Mn content in cheese varies among regions, with Cres Island having the highest manganese content, followed by Krk Island, Istra, the north region, and the Dalmatia region. The differences are statistically significant, with Cres Island having the highest manganese concentration. The Ni content varies among regions, with Krk Island having the highest nickel content, followed by Istra, the Dalmatia region, the north region, and Cres Island. The differences are statistically significant, with Krk Island showing the highest nickel concentration. The Pb content is relatively low in all cheese types, and no significant differences are observed among the regions. The lowest average value was in Lika County, 0.016 mg kg−1, and the biggest was in Istria and Cres Island, 0.048 mg kg−1 and 0.043 mg kg−1, respectively. Cres Island had only two cheese samples analyzed, and a single cow cheese sample from Istria had the highest concentrations of 0.46 mg kg−1, 0.56 mg kg−1, and 0.12 mg kg−1 for Cr, Ni, and Pb, respectively. The lowest average value was in Lika County, 0.016 mg kg−1, and the biggest was in Istria and Cres Island, 0.048 mg kg−1, respectively. This is the reason for the high mean Pb concentration in the Istria region.
Table 3 contains data on the composition of cow’s, sheep’s, goat’s, and mixed cheeses. The data show the fat content, protein content, total solids, sodium chloride (NaCl), and pH. The data show that sheep’s cheese has the highest fat content, followed by cow’s cheese, while goat’s and mixed cheeses have a slightly lower fat content. The differences in fat content are statistically significant (p > 0.01), indicating that the choice of milk source has a significant influence on the fat content of the cheese. Sheep cheese has the highest protein content, followed by goat, cow, and mixed cheeses. The differences in protein content are statistically significant (p > 0.01), which underlines the influence of the milk source on the protein content of the cheese. Sheep cheese has the highest total solid content, followed by mixed, cow, and goat cheese. The differences in total solid content are statistically significant (p > 0.01). The sheep and cow cheeses have the lowest NaCl content, while goat cheeses have a higher NaCl content. Their differences are statistically significant (p > 0.01). The pH values of the cheeses are relatively similar, with only minor differences between the milk sources. The differences in pH are not statistically significant (p > 0.01).
The data show that the composition of the cheese varied greatly depending on the milk source. Sheep cheese tends to have a higher fat and protein content, while cow and goat cheeses have moderate values, and mixed cheeses often have lower values. These differences underline the importance of the milk source for the composition of the cheese, which in turn affects its sensory and nutritional properties.
Table 4 contains data on the composition of different cheeses from different regions, including fat content, protein content, total solid content, sodium chloride (NaCl), and pH value. The data indicate significant variations in the composition of these cheeses in different regions. The fat content in the cheese varies considerably between the regions. The highest fat content is observed in cheeses from Gorski Kotar and the island of Krk, which is significantly higher compared to cheeses from Istra, the eastern region, and the Dalmatia region. This variation in fat content can be attributed to differences in the processing methods and breeds used. The protein content of the cheese also varies between regions, with the Dalmatia region having the highest protein content, while the north region and the Lika region have a lower protein content. These differences could be due to variations in breed, feed, or milk processing techniques. The total solid content in the cheeses is relatively constant in most regions, except in the north and east regions, which have significantly lower values. The island of Krk, the island of Cres and the island of Pag have a higher total solid content, which indicates a harder cheese structure. The data show variations in NaCl content, with the island of Cres and the Dalmatia region having significantly higher values than other regions. The lower NaCl content in the cheese from the island of Rab is notable. The differences in salt content could be due to regional preferences or production methods. The pH values of the cheeses are the same in most regions, with the Gorski Kotar region having the lowest pH value. This could be due to variations in the starter cultures or the fermentation processes.
The data indicate considerable regional variations in the composition of the cheeses, which could be attributed to differences in breed, feeding, processing techniques, and regional preferences.
Table 5 shows the correlations between the analyzed parameters and the p-values (p), which indicate the statistical significance of the correlations. Smaller p-values indicate a more significant correlation. Only the statistically significant correlations are discussed in the following paragraph.
Cd is negatively correlated with Cr, Mn, and Ni. Cr correlates negatively with Mn, Ni, and Pb. Mn is positively correlated with Ni and Pb. Ni is positively correlated with Pb and shows a weak negative correlation with pH. Pb is negatively correlated with fat content and pH. The fat content is negatively correlated with Cr and positively correlated with total solids. The protein content is negatively correlated with fat content. The total solids are positively correlated with pH. NaCl is negatively correlated with fat content. The pH value is negatively correlated with the total solids.
These correlations could provide information on how the analyzed parameters in the cheese samples are related. The presence of statistically significant correlations could indicate possible dependencies or influences between these parameters that could be further investigated in research or quality control.
The distribution of metals varies, especially for Pb, Ni, and Mn, depending on the sampling location in the different parts of Croatia. The distributions of Mn, Ni, and the total solids, with an emphasis on the type of cheese and the location of the sample, are shown in Figure 2, Figure 3 and Figure 4.
Only Mn was found in all analyzed samples. Cd was only found in three cheese samples—two from Pag in sheep’s cheese and one from Lika in cow’s milk cheese—but the concentrations were very low. All other cheese samples were below the LOQ, which was set at a maximum level (mg kg−1) for infant formulae, follow-on formulae, and foods for special medical purposes, intended for infants and young children and young child formulae, which are marketed as liquid and manufactured from cow’s milk proteins or from cow’s milk protein hydrolysates, which have the lowest MDK for Cd (0.005 mg kg−1) and complies with EU Regulation (EC) No. 1881/2006 [28]. In the EU, the MDK for Pb in milk is also set at 0.020 mg kg−1 [54]. The acceded values in cheese are within this range, as around 3 L of milk for fresh cheese to 10 L of milk for hard cheese are required to produce 1 kg of cheese. The maximum and average metal contents in all analyzed samples decreased: Mn > Cr > Ni > Pb > Cd.

4. Conclusions

The farms investigated were far away from intensive agricultural use and roads. The absence of pesticide residues is evidence for the use of milk from local farms and the local environment, which also demonstrates sustainable production and the sustainability of the habitat and ecosystems of the local population. In summary, small dairy producers need to monitor the quality of the milk they produce or buy from local farmers to ensure that it meets safety standards. They should work closely with farmers to promote the responsible use of pesticides and minimize residues. They can also adopt organic farming methods to reduce the risk of pesticide contamination. Market demands could put pressure on cheese producers. It is strongly recommended to avoid buying milk from unknown producers or outside their region to close the gap between quantity and quality.
Our results show that the cheese samples tested were excellent in basic quality parameters such as fat, protein, dry matter, salt, and pH. EU regulations and directives set the maximum permitted concentrations for heavy metals and piperonyl butoxide and relate to milk as a consumer product or as a raw material to produce other dairy products. There are currently no regulations for cheese as an end product that is placed on the market. Therefore, our results can only be compared with values for raw milk. Toxicological testing for heavy metals and pesticide residues showed that all the cheeses tested complied with EU regulations and directives for raw milk and that none of the cheeses tested posed a direct health risk to consumers at the time of analysis.

Author Contributions

Conceptualization, A.K. and N.M.; methodology, A.K. and N.M.; software, F.O.; validation, I.P.B., G.J., M.G., I.M.A. and M.I.; formal analysis, I.P.B., G.J., M.G., I.M.A. and M.I.; data curation, A.K., N.M. and F.O.; writing—original draft preparation, K.V., M.Š. and S.Š.; writing—review and editing, A.K., N.M., I.Ž. and K.V.; visualization, F.O.; supervision, A.K., N.M., I.Ž. and K.V.; project administration, S.Š. and A.K.; funding acquisition, A.K. and N.M. All authors have read and agreed to the published version of the manuscript.

Funding

This research was carried out within the project “Food Safety and Quality Center”, funded by the European Regional Development Fund, grant number KK.01.1.1.02.0004, and the Operational Program Competitiveness and Cohesion’s 2014–2020 (K.K.01.1.1.04.0058) “Potential of microencapsulation in cheese production”.

Institutional Review Board Statement

Not applicable.

Informed Consent Statement

Not applicable.

Data Availability Statement

The data presented in this study are available on request from the corresponding author.

Conflicts of Interest

The authors declare no conflicts of interest.

References

  1. International Dairy Foods Association (IDFA). History of Cheese. Available online: https://www.idfa.org/history-of-cheese (accessed on 22 April 2023).
  2. Santiago-López, L.; Aguilar-Toalá, J.E.; Hernández-Mendoza, A.; Vallejo-Cordoba, B.; Liceaga, A.M.; González-Córdova, A.F. Invited Review: Bioactive Compounds Produced during Cheese Ripening and Health Effects Associated with Aged Cheese Consumption. J. Dairy Sci. 2018, 101, 3742–3757. [Google Scholar] [CrossRef]
  3. Helal, A.; Tagliazucchi, D. Peptidomics Profile, Bioactive Peptides Identification and Biological Activities of Six Different Cheese Varieties. Biology 2023, 12, 78. [Google Scholar] [CrossRef]
  4. Tunick, M.H.; Van Hekken, D.L. Dairy Products and Health: Recent Insights. J. Agric. Food Chem. 2015, 63, 9381–9388. [Google Scholar] [CrossRef]
  5. Pasin, G.; Comerford, K.B. Dairy Foods and Dairy Proteins in the Management of Type 2 Diabetes: A Systematic Review of the Clinical Evidence. Adv. Nutr. 2015, 6, 245–259. [Google Scholar] [CrossRef]
  6. Miller, V.; Reedy, J.; Cudhea, F.; Zhang, J.; Shi, P.; Erndt-Marino, J.; Coates, J.; Micha, R.; Webb, P.; Mozaffarian, D.; et al. Global, Regional, and National Consumption of Animal-Source Foods between 1990 and 2018: Findings from the Global Dietary Database. Lancet Planet Health 2022, 6, e243–e256. [Google Scholar] [CrossRef]
  7. Feeney, E.L.; Lamichhane, P.; Sheehan, J.J. The Cheese Matrix: Understanding the Impact of Cheese Structure on Aspects of Cardiovascular Health—A Food Science and a Human Nutrition Perspective. Int. J. Dairy Technol. 2021, 74, 656–670. [Google Scholar] [CrossRef]
  8. Croatian Bureau of Statistics. Basic Characteristics of Household Consumption in 2019. Available online: https://web.dzs.hr/Hrv_Eng/publication/2020/14-01-02_01_2020.htm (accessed on 1 December 2023).
  9. Croatian Bureau of Statistics. Production and Use of Milk on Agricultural Farms in 2022, POLJ-2023-3-7. Available online: https://podaci.dzs.hr/2023/hr/58415 (accessed on 1 December 2023).
  10. Pesticide Action Network Europe. Banned and Hazardous Pesticides in European Food. Available online: https://www.pan-europe.info/resources/reports/2020/09/banned-and-hazardous-pesticides-european-food (accessed on 12 April 2023).
  11. Witczak, A.; Pohoryło, A. The Estimation of Consumer Health Risk Associated with Organochlorine Xenobiotics in Hard Smoked Cheese in Poland. J. Environ. Sci. Health Part B 2015, 50, 595–606. [Google Scholar] [CrossRef]
  12. European Food Safety Authority (EFSA). Pesticides. Available online: https://www.efsa.europa.eu/en/topics/topic/pesticides (accessed on 22 April 2023).
  13. Schopf, M.F.; Pierezan, M.D.; Rocha, R.; Pimentel, T.C.; Esmerino, E.A.; Marsico, E.T.; De Dea Lindner, J.; da Cruz, A.G.; Verruck, S. Pesticide Residues in Milk and Dairy Products: An Overview of Processing Degradation and Trends in Mitigating Approaches. Crit. Rev. Food Sci. Nutr. 2022, 63, 12610–12624. [Google Scholar] [CrossRef]
  14. Koller, M.; Saleh, H.M. Introductory Chapter: Introducing Heavy Metals. In Heavy Metals; InTech: London, UK, 2018. [Google Scholar] [CrossRef]
  15. Reinholds, I.; Rusko, J.; Pugajeva, I.; Berzina, Z.; Jansons, M.; Kirilina-Gutmane, O.; Tihomirova, K.; Bartkevics, V. The Occurrence and Dietary Exposure Assessment of Mycotoxins, Biogenic Amines, and Heavy Metals in Mould-Ripened Blue Cheeses. Foods 2020, 9, 93. [Google Scholar] [CrossRef]
  16. Kim, J.-H.; Byun, H.-M.; Chung, E.-C.; Chung, H.-Y.; Bae, O.-N. Loss of Integrity: Impairment of the Blood-Brain Barrier in Heavy Metal-Associated Ischemic Stroke. Toxicol. Res. 2013, 29, 157–164. [Google Scholar] [CrossRef][Green Version]
  17. Batool, F.; Iqbal, S.; Tariq, M.I.; Akbar, J.; Noreen, S.; Danish, M.; Chan, K.W. MILK: Carrier of Heavy Metals from Crops through Ruminant Body to Human Beings. J. Chem. Soc. Pak. 2016, 38, 39. [Google Scholar]
  18. Mitra, S.; Chakraborty, A.J.; Tareq, A.M.; Bin Emran, T.; Nainu, F.; Khusro, A.; Idris, A.M.; Khandaker, M.U.; Osman, H.; Alhumaydhi, F.A.; et al. Impact of Heavy Metals on the Environment and Human Health: Novel Therapeutic Insights to Counter the Toxicity. J. King Saud. Univ. Sci. 2022, 34, 101865. [Google Scholar] [CrossRef]
  19. Năstăsescu, V.; Mititelu, M.; Goumenou, M.; Docea, A.O.; Renieri, E.; Udeanu, D.I.; Oprea, E.; Arsene, A.L.; Dinu-Pîrvu, C.E.; Ghica, M. Heavy Metal and Pesticide Levels in Dairy Products: Evaluation of Human Health Risk. Food Chem. Toxicol. 2020, 146, 111844. [Google Scholar] [CrossRef] [PubMed]
  20. Rehman, K.; Fatima, F.; Waheed, I.; Akash, M.S.H. Prevalence of Exposure of Heavy Metals and Their Impact on Health Consequences. J. Cell. Biochem. 2018, 119, 157–184. [Google Scholar] [CrossRef] [PubMed]
  21. Li, B.; Xia, M.; Zorec, R.; Parpura, V.; Verkhratsky, A. Astrocytes in Heavy Metal Neurotoxicity and Neurodegeneration. Brain Res. 2021, 1752, 147234. [Google Scholar] [CrossRef]
  22. European Food Safety Authority (EFSA). Pesticide Evaluation: Tools. Available online: https://www.efsa.europa.eu/en/applications/pesticides/tools (accessed on 23 April 2023).
  23. European Chemicals Agency (ECHA). Regulation (EU) No 528/2012 Concerning the Making Available on the Market and Use of Biocidal Products, Evaluation of Active Substances, Assessment Report, Piperonyl Butoxide Product-Type 18 (Insecticides, Acaricides and Products to Control Other Arthropods), January 2017, Greece. Available online: https://echa.europa.eu/documents/10162/a521088e-3a21-2bba-96ad-a1fd55e91325 (accessed on 24 April 2023).
  24. EFSA CONTAM Panel. Cadmium in Food—Scientific Opinion of the Panel on Contaminants in the Food Chain. EFSA J. 2009, 7, 980. [Google Scholar] [CrossRef]
  25. EFSA CONTAM Panel. Scientific Opinion on the Risks to Public Health Related to the Presence of Chromium in Food and Drinking Water. EFSA J. 2014, 12, 3595. [Google Scholar] [CrossRef]
  26. Schrenk, D.; Bignami, M.; Bodin, L.; Chipman, J.K.; del Mazo, J.; Grasl-Kraupp, B.; Hogstrand, C.; Hoogenboom, L.; Leblanc, J.; Nebbia, C.S.; et al. Update of the Risk Assessment of Nickel in Food and Drinking Water. EFSA J. 2020, 18, e06268. [Google Scholar] [CrossRef]
  27. EFSA CONTAM Panel. Scientific Opinion on Lead in Food. EFSA J. 2010, 8, 1570. [Google Scholar] [CrossRef]
  28. European Commission. Regulation No 1881/2006 of 19 December 2006 Setting Maximum Levels for Certain Contaminants in Foodstuffs (OJ L 364, 20.12.2006, p. 5). Available online: https://eur-lex.europa.eu/legal-content/EN/TXT/HTML/?uri=CELEX%3A32021R1323, (accessed on 2 February 2024).
  29. Moreno-Rojas, R.; Sánchez-Segarra, P.J.; Cámara-Martos, F.; Amaro-López, M.A. Heavy Metal Levels in Spanish Cheeses: Influence of Manufacturing Conditions. Food Addit. Contam. Part B 2010, 3, 90–100. [Google Scholar] [CrossRef]
  30. Castro-González, N.P.; Calderón-Sánchez, F.; Castro de Jesús, J.; Moreno-Rojas, R.; Tamariz-Flores, J.V.; Pérez-Sato, M.; Soní-Guillermo, E. Heavy Metals in Cow’s Milk and Cheese Produced in Areas Irrigated with Waste Water in Puebla, Mexico. Food Addit. Contam. Part B 2018, 11, 33–36. [Google Scholar] [CrossRef]
  31. Anastassiades, M.; Lehotay, S.J.; Štajnbaher, D.; Schenck, F.J. Fast and Easy Multiresidue Method Employing Acetonitrile Extraction/Partitioning and “Dispersive Solid-Phase Extraction” for the Determination of Pesticide Residues in Produce. J. AOAC Int. 2003, 86, 412–431. [Google Scholar] [CrossRef]
  32. Lehotay, S.J.; Son, K.A.; Kwon, H.; Koesukwiwat, U.; Fu, W.; Mastovska, K.; Hoh, E.; Leepipatpiboon, N. Comparison of QuEChERS Sample Preparation Methods for the Analysis of Pesticide Residues in Fruits and Vegetables. J. Chromatogr. A 2010, 1217, 2548–2560. [Google Scholar] [CrossRef]
  33. He, Z.; Wang, Y.; Wang, L.; Peng, Y.; Wang, W.; Liu, X. Determination of 255 Pesticides in Edible Vegetable Oils Using QuEChERS Method and Gas Chromatography Tandem Mass Spectrometry. Anal. Bioanal. Chem. 2017, 409, 1017–1030. [Google Scholar] [CrossRef]
  34. Anagnostopoulos, C.; Miliadis, G.E. Development and Validation of an Easy Multiresidue Method for the Determination of Multiclass Pesticide Residues Using GC–MS/MS and LC–MS/MS in Olive Oil and Olives. Talanta 2013, 112, 1–10. [Google Scholar] [CrossRef] [PubMed]
  35. SANTE/2020/12830 Guidance Document on Analytical Quality Control and Method Validation Procedures for Pesticide Residues and Analysis in Food and Feed. Available online: https://food.ec.europa.eu/system/files/2023-04/pesticides_mrl_guidelines_2020-12830.pdf (accessed on 2 February 2024).
  36. European Commission. Regulation No 396/2005 of the European Parliament and of the Council of 23 February 2005 on Maximum Residue Levels of Pesticides in or on Food and Feed of Plant and Animal Origin and Amending Council Directive 91/414/EEC, OJ L 70, 16.3.2005. Available online: https://eur-lex.europa.eu/eli/reg/2005/396/oj (accessed on 2 February 2024).
  37. HRN EN ISO/IEC 17025:2017; General Requirements for the Competence of Testing and Calibration Laboratories. Croatian Standard Institute: Zagreb, Croatia, 2017.
  38. HRN EN ISO 5534:2008; Cheese and Processed Cheese—Determination of the Total Solids Content (Reference Method). Croatian Standard Institute: Zagreb, Croatia, 2008.
  39. HRN EN ISO 8968-1:2014; Milk and Milk Products—Determination of Nitrogen Content, Part 1: Kjeldahl Principle and Crude Protein Calculation. Croatian Standard Institute: Zagreb, Croatia, 2014.
  40. HRN ISO ISO 3433:2008; Cheese—Determination of Fat Content—Van Gulik Method. Croatian Standard Institute: Zagreb, Croatia, 2008.
  41. HRN EN ISO 5943:2007; Cheese and Processed Cheese—Determination of Chloride Content Potentiometric Titration Method. Croatian Standard Institute: Zagreb, Croatia, 2007.
  42. SAS®. SAS User’s Guide: Statistics; Release 9.4; SAS Institute, Inc.: Cary, NC, USA, 2013. [Google Scholar]
  43. Mallatou, H.; Pappas, C.P.; Kondyli, E.; Albanis, T.A. Pesticide Residues in Milk and Cheeses from Greece. Sci. Total Environ. 1997, 196, 111–117. [Google Scholar] [CrossRef] [PubMed]
  44. Llobet, J.M.; Falcó, G.; Casas, C.; Teixidó, A.; Domingo, J.L. Concentrations of Arsenic, Cadmium, Mercury, and Lead in Common Foods and Estimated Daily Intake by Children, Adolescents, Adults, and Seniors of Catalonia, Spain. J. Agric. Food Chem. 2003, 51, 838–842. [Google Scholar] [CrossRef]
  45. Qin, L.-Q.; Wang, X.-P.; Li, W.; Tong, X.; Tong, W.-J. The Minerals and Heavy Metals in Cow’s Milk from China and Japan. J. Health Sci. 2009, 55, 300–305. [Google Scholar] [CrossRef]
  46. Bilandžić, N.; Đokić, M.; Sedak, M.; Solomun, B.; Varenina, I.; Knežević, Z.; Benić, M. Trace Element Levels in Raw Milk from Northern and Southern Regions of Croatia. Food Chem. 2011, 127, 63–66. [Google Scholar] [CrossRef]
  47. Christophoridis, C.; Kosma, A.; Evgenakis, E.; Bourliva, A.; Fytianos, K. Determination of Heavy Metals and Health Risk Assessment of Cheese Products Consumed in Greece. J. Food Compos. Anal. 2019, 82, 103238. [Google Scholar] [CrossRef]
  48. Vural, A.; Narin, I.; Erkan, M.E.; Soylak, M. Trace Metal Levels and Some Chemical Parameters in Herby Cheese Collected from South Eastern Anatolia-Turkey. Environ. Monit. Assess. 2008, 139, 27–33. [Google Scholar] [CrossRef]
  49. Favretto, L.G. Investigation of Trace Element Content of Cheese. Food Addit. Contam. 1990, 7, 425–432. [Google Scholar] [CrossRef]
  50. Suturović, Z.; Kravić, S.; Milanović, S.; Đurović, A.; Brezo, T. Determination of Heavy Metals in Milk and Fermented Milk Products by Potentiometric Stripping Analysis with Constant Inverse Current in the Analytical Step. Food Chem. 2014, 155, 120–125. [Google Scholar] [CrossRef]
  51. McNamara, J.P.; Valdez, F. Adipose Tissue Metabolism and Production Responses to Calcium Propionate and Chromium Propionate. J. Dairy. Sci. 2005, 88, 2498–2507. [Google Scholar] [CrossRef]
  52. Spears, J.W. Micronutrients and Immune Function in Cattle. Proc. Nutr. Soc. 2000, 59, 587–594. [Google Scholar] [CrossRef]
  53. Bratakos, M. Chromium Content of Selected Greek Foods. Sci. Total Environ. 2002, 290, 47–58. [Google Scholar] [CrossRef]
  54. European Commission. Regulation 2021/1317 of 9 August 2021 Amending Regulation (EC) No 1881/2006 as Regards Maximum Levels of Lead in Certain Foodstuffs. Available online: https://eur-lex.europa.eu/eli/reg/2021/1317/oj (accessed on 2 February 2024).
Figure 1. Distribution of cheese samples in different regions of Croatia: 1—Pag Island, 2—north region, 3—east region, 4—Istra, 5—Dalmatia region, 6—Lika region, 7—Krk Island, 8—Gorski Kotar region, 9—Cres Island, 10—Rab Island.
Figure 1. Distribution of cheese samples in different regions of Croatia: 1—Pag Island, 2—north region, 3—east region, 4—Istra, 5—Dalmatia region, 6—Lika region, 7—Krk Island, 8—Gorski Kotar region, 9—Cres Island, 10—Rab Island.
Sustainability 16 01356 g001
Figure 2. Distribution of Mn, based on cheese type (a) and location (b).
Figure 2. Distribution of Mn, based on cheese type (a) and location (b).
Sustainability 16 01356 g002
Figure 3. Distribution of Ni, based on cheese type (a) and location (b).
Figure 3. Distribution of Ni, based on cheese type (a) and location (b).
Sustainability 16 01356 g003
Figure 4. Distribution of total solids, based on cheese type (a) and location (b).
Figure 4. Distribution of total solids, based on cheese type (a) and location (b).
Sustainability 16 01356 g004
Table 1. Heavy metal quantities in cheese samples, based on the type of cheese.
Table 1. Heavy metal quantities in cheese samples, based on the type of cheese.
TypeCd
[mg kg−1]
Cr
[mg kg−1]
Mn
[mg kg−1]
Ni
[mg kg−1]
Pb
[mg kg−1]
N
Cow<LOQ0.129 ± 0.1290.237 ± 0.118 a0.068 ± 0.115 a0.023 ± 0.02537
Sheep<LOQ0.110 ± 0.0960.514 ± 0.223 b0.174 ± 0.173 ab0.029 ± 0.02129
Goat<LOQ0.180 ± 0.2470.445 ± 0.314 bc0.132 ± 0.116 ab0.029 ± 0.01010
Mixed<LOQ0.163 ± 0.1460.292 ± 0.142 ac0.253 ± 0.220 b0.027 ± 0.0123
The results are displayed as a mean concentration ( X ¯ ) ± standard deviation (SD); N = number of samples; different exponents in each column of the same parameter represent the statistical difference between observations (p > 0.01). LOQ for Cd < 0.005 mg kg−1.
Table 2. Heavy metal quantities in cheese samples, based on cheese location.
Table 2. Heavy metal quantities in cheese samples, based on cheese location.
Region CodeCd
[mg kg−1]
Cr
[mg kg−1]
Mn
[mg kg−1]
Ni
[mg kg−1]
Pb
[mg kg−1]
N
Pag Island (1)<LOQ0.076 ± 0.0920.413 ± 0.138 abc0.109 ± 0.129 ab0.026 ± 0.020 ab19
North Region (2)<LOQ0.136 ± 0.1170.304 ± 0.272 bc0.067 ± 0.096 ab0.021 ± 0.022 ab16
East Region (3)<LOQ0.179 ± 0.2350.221 ± 0.084 b0.042 ± 0.042 a0.021 ± 0.014 a13
Istra<LOQ0.194 ± 0.1120.492 ± 0.166 acd0.274 ± 0.158 bcd0.043 ± 0.032 bcd9
Dalmatia Region (4) <LOQ0.115 ± 0.1080.327 ± 0.155 bc0.152 ± 0.149 abd0.029 ± 0.018 abd8
Lika Region (5) (6)<LOQ0.087 ± 0.1190.212 ± 0.096 b0.011 ± 0.027 a0.016 ± 0.013 a6
Krk Island (7)<LOQ0.217 ± 0.0150.664 ± 0.306 ad0.377 ± 0.264 c0.036 ± 0.033 c3
Gorski Kotar Region (8)<LOQ0.034 ± 0.0470.190 ± 0.014 b0.150 ± 0.042 abd0.023 ± 0.004 abd2
Cres Island (9)<LOQ0.181 ± 0.1261.029 ± 0.141 e0.330 ± 0.311 cd0.048 ± 0.002 cd2
Rab Island (10)<LOQ0.046 ± 0.0000.680 ± 0.000 d0.110 ± 0.000 ab<LOQab1
The results are displayed as a mean ( X ¯ ) ± standard deviation (SD); N = number of samples; different exponents in each column of the same parameter represent the statistical difference between observations (p > 0.01). LOQ for Cd < 0.005 mg kg−1, LOQ for Pb < 0.01 mg kg−1; 1—Pag Island, 2—north region, 3—east region, 4—Istra, 5—Dalmatia region, 6—Lika region, 7—Krk Island, 8—Gorski Kotar region, 9—Cres Island, 10—Rab Island.
Table 3. Chemical composition and physical properties of the samples, based on the cheese type.
Table 3. Chemical composition and physical properties of the samples, based on the cheese type.
Cheese TypeFat
[g 100 g−1]
Protein
[g 100 g−1]
Total Solids
[g 100 g−1]
NaCl
[g 100 g−1]
pH ValueN
Cow50.622 ± 4.635 ab39.173 ± 3.003 a55.805 ± 12.499 a1.220 ± 0.898 a5.312 ± 0.31537
Sheep55.201 ± 6.616 b38.214 ± 2.543 a66.087 ± 5.098 b1.353 ± 0.568 a5.130 ± 0.19329
Goat49.913 ± 5.643 ab40.437 ± 4.804 ab52.211 ± 11.113 a1.302 ± 0.706 a5.261 ± 0.45110
Mixed46.894 ± 7.614 a42.589 ± 6.114 b64.767 ± 3.723 b2.147 ± 0.653 b5.103 ± 0.1253
The results are displayed as a mean ( X ¯ ) ± standard deviation (SD); N = number of samples; different exponents in each column of the same parameter represent the statistical difference between observations (p > 0.01); fat, protein, and NaCl content are adjusted on total solids.
Table 4. Chemical composition and physical properties of the samples, based on cheese location.
Table 4. Chemical composition and physical properties of the samples, based on cheese location.
Region
Code
Fat
[g 100 g−1]
Protein
[g 100 g−1]
Total Solids
[g 100 g−1]
NaCl
[g 100 g−1]
pH ValueN
Island Pag (1)56.131 ± 7.902 38.103 ± 2.318 ab64.174 ± 3.556 ab1.329 ± 0.301 abc5.070 ± 0.180 ab19
Region North (2)51.019 ± 4.937 39.415 ± 3.047 ab54.958 ± 12.531 acd1.195 ± 0.958 abc5.326 ± 0.399 ab16
Region East (3)49.636 ± 4.54339.136 ± 4.761 ab48.586 ± 7.934 cd1.268 ± 0.723 abc5.482 ± 0.224 b13
Istra51.416 ± 4.20339.628 ± 2.056 ab66.502 ± 3.011 ab0.908 ± 0.241 ac5.113 ± 0.161 ab9
Region (4) Dalmatia49.172 ± 5.33041.453 ± 3.841 b65.064 ± 3.542 ab1.908 ± 0.924 ab5.203 ± 0.128 ab8
Region (5) Lika (6)48.836 ± 4.71439.991 ± 1.899 ab55.945 ± 16.755 ac1.297 ± 1.094 abc5.287 ± 0.139 ab6
Island Krk (7)54.156 ± 2.08935.921 ± 4.537 ab74.423 ± 5.294 b1.570 ± 0.243 abc5.173 ± 0.038 ab3
Region Gorski Kotar (8)59.506 ± 0.30235.342 ± 4.291 a41.200 ± 10.904 d0.815 ± 0.247 ac4.955 ± 1.110 a2
Island Cres (9)51.720 ± 5.19540.111 ± 3.195 ab71.520 ± 9.235 b2.490 ± 1.655 b5.310 ± 0.141 ab2
Island Rab (10)51.530 ± 0.00039.444 ± 0.000 ab64.040 ± 0.000 ab0.440 ± 0.000 c5.000 ± 0.000 ab1
The results are displayed as a mean ( X ¯ ) ± standard deviation (SD); N = number of samples; different exponents in each column of the same parameter represent the statistical difference between observations (p > 0.01); fat, protein, and NaCl content are adjusted on total solids.
Table 5. Correlations for the analyzed parameters.
Table 5. Correlations for the analyzed parameters.
Cd CrMnNiPbFatProteinTSNaClpH Value
Cd
p
1.000
Cr
p
−0.07
0.56
1.000
Mn
p
−0.05
0.67
0.14
0.23
1.000
Ni
p
−0.09
0.42
0.45
<0.001
0.58
<0.001
1.000
Pb
p
0.01
0.89
0.43
<0.001
0.47
<0.001
0.55
<0.001
1.000
Fat
p
−0.06
0.61
−0.13
0.24
0.18
0.10
−0.02
0.82
0.10
0.37
1.000
Protein
p
0.08
0.46
0.14
0.20
−0.01
0.90
0.04
0.72
−0.03
0.79
−0.49
<0.001
1.000
TS
p
−0.11
0.33
−0.05
0.65
0.47
<0.001
0.36
<0.01
0.09
0.38
0.24
0.02
−0.01
0.88
1.000
NaCl
p
−0.05
0.60
0.08
0.48
0.14
0.22
0.16
0.17
0.006
0.95
−0.15
0.18
0.09
0.43
0.26
0.02
1.000
pH
p
0.10
0.35
0.12
0.29
−0.09
0.42
−0.07
0.52
−0.003
0.97
−0.09
0.39
0.05
0.64
−0.20
0.07
0.06
0.54
1.000
Pearson correlation coefficients (r), correlation probability(p), statistical significance p < 0.05.
Disclaimer/Publisher’s Note: The statements, opinions and data contained in all publications are solely those of the individual author(s) and contributor(s) and not of MDPI and/or the editor(s). MDPI and/or the editor(s) disclaim responsibility for any injury to people or property resulting from any ideas, methods, instructions or products referred to in the content.

Share and Cite

MDPI and ACS Style

Krivohlavek, A.; Palac Bešlić, I.; Jurak, G.; Gavran, M.; Mandić Andačić, I.; Ivešić, M.; Šikić, S.; Vitale, K.; Štefančić, M.; Žuntar, I.; et al. Heavy Metals and Pesticide Residues in Small Farm Cheese Production in Croatia—Challenge between Quality and Quantity. Sustainability 2024, 16, 1356. https://doi.org/10.3390/su16041356

AMA Style

Krivohlavek A, Palac Bešlić I, Jurak G, Gavran M, Mandić Andačić I, Ivešić M, Šikić S, Vitale K, Štefančić M, Žuntar I, et al. Heavy Metals and Pesticide Residues in Small Farm Cheese Production in Croatia—Challenge between Quality and Quantity. Sustainability. 2024; 16(4):1356. https://doi.org/10.3390/su16041356

Chicago/Turabian Style

Krivohlavek, Adela, Iva Palac Bešlić, Gordana Jurak, Magdalena Gavran, Ivana Mandić Andačić, Martina Ivešić, Sandra Šikić, Ksenija Vitale, Marko Štefančić, Irena Žuntar, and et al. 2024. "Heavy Metals and Pesticide Residues in Small Farm Cheese Production in Croatia—Challenge between Quality and Quantity" Sustainability 16, no. 4: 1356. https://doi.org/10.3390/su16041356

APA Style

Krivohlavek, A., Palac Bešlić, I., Jurak, G., Gavran, M., Mandić Andačić, I., Ivešić, M., Šikić, S., Vitale, K., Štefančić, M., Žuntar, I., Oštarić, F., & Mikulec, N. (2024). Heavy Metals and Pesticide Residues in Small Farm Cheese Production in Croatia—Challenge between Quality and Quantity. Sustainability, 16(4), 1356. https://doi.org/10.3390/su16041356

Note that from the first issue of 2016, this journal uses article numbers instead of page numbers. See further details here.

Article Metrics

Back to TopTop