Abstract
Microplastics (MPs) are ubiquitous in marine environments, and seawater desalination releases large amounts of concentrated saline water. However, little is known about how MPs alter their adsorption behavior towards other pollutants in high-salinity environments. Meanwhile, there is a lack of knowledge about the combined effect of MPs and high salinity on marine phytoplankton. In this work, the impact of high salinity on the adsorption behaviors of two types of MPs (polyethylene MPs (PE-MPs) and polyvinyl chloride MPs (PVC-MPs)) towards three typical water pollutants (Pb2+, 4-chlorophenol, and levofloxacin) was investigated, and the combined effect of MPs and high salinity on Synechococcus was evaluated. The adsorption of Pb2+ and levofloxacin by PE-MPs and PVC-MPs decreased at high salinity, and the adsorption of 4-chlorophenol by PE-MPs also decreased, however, the adsorption of 4-chlorophenol by PVC-MPs increased. The SOD, CAT activities and GSH content of Synechococcus exposed to MPs were increased by the increasing salinity. When the MPs concentration was low, the increase in salinity decreased the content of chlorophyll-a. Our results demonstrated that high salinity significantly changes the adsorption behavior of common pollutants onto MPs and alters the toxic effect of MPs on Synechococcus. This study provides important information necessary for environmental risk assessments with regard to the combined stress of MPs and high salinity, promoting the sustainable development of desalination industries.
1. Introduction
Human activities drastically changed the ocean environment, especially in coastal areas. Microplastic (MP) pollution has drawn global concentration among various environmental problems due to the huge amounts of improperly discarded plastic waste [1]. Due to their small size, light density and mobility, MPs have been found in large quantities in the marine environment, including in marine surface waters and sediments and even in sea ice in polar regions [2]. For example, Almira et al. detected significant amounts of pre-production and post-consumer MPs on beaches [2]; Hoffmann et al. found large amounts of MPs in sea ice [3]. The common MPs in seawater are polyethylene (PE), polystyrene (PS), polyamide (PA), polyvinyl chloride (PVC), and polypropylene (PP). PE is one of the most common polymer types in surface water and sediment and is widely used in food packaging [4]. As the third largest synthetic plastic polymer in the world, PVC is a typical heavy component of plastic waste and a major source of harmful chlorine and bisphenol A [5,6].
Salinity is one of the core parameters of seawater. The distribution and variation of salinity are not only related to the global water cycle, but also affected by human activities. In many seawater desalination processes, high concentrations of brine present significant challenges [7]. Because desalination technology is still inefficient and the cost of recycling seawater is expensive, most desalination discharges high-salinity wastewater directly into the marine environment [8]. At present, more than 300 million people in 150 countries rely on desalination for their daily needs, and the by-product is at least 1.6 times as salty as seawater [9]. Therefore, it is of practical significance to study the effects of salinity on the adsorption behavior and eco-toxicity of MPs.
The influence of salinity on the sorption capacity of MPs for some pollutants in the marine environment has attracted wide attention. Previous studies have demonstrated that increased salinity can decrease the adsorption percentages of metals (Cu, Zn, Cd, and Pb) onto PP-MPs and PE-MPs [10]. Liu et al. investigated the adsorption of isocyanurate (TBC) and hexabromocyclododecanes (HBCDs) on PP-MPs at different salinities [11]. They found that the adsorption of HBCDs on PP-MPs reached the maximum at 1.4% salinity. As the salinity continued to increase, the adsorption of HBCDs began to decrease gradually. The effect of salinity on the adsorption behavior of MPs should be related to the main mechanisms involved in the adsorption process. Previous studies have shown that the effect of salinity on the adsorption behavior of different pollutants on different MPs is not completely consistent, and there is no unified conclusion on the adsorption mechanism; therefore, it is still worth studying the adsorption mechanism of more MPs and pollutants with the change of salinity [12,13]. Heavy metals, persistent organic pollutant (POPs) and antibiotics are typical marine pollutants of wide concern and can interact with microplastics [14,15]. The long-term presence and accumulation of POPs in the ocean has been found in polar regions biota [16,17]. Phenolic compounds are common POPs and are not biodegradable, while 4-chlorophenol (4-CP) is a typical chlorophenol and is widely used in chlorination of organics or in the production of pharmaceuticals [18]. Heavy metals are cytotoxic to algae and persist in the environment, and Pb can form aerosols and be transported over long distances [19]. High concentrations of Pb have a general inhibitory effect on phytoplankton growth [20] and may impair renal, liver, reproductive and brain functions [21]. Antibiotics are widely used in disease control in mariculture, which leads to the accumulation of antibiotic residues in the environment and is conducive to the proliferation of antibiotic resistance genes (ARGs) [22]. Levofloxacin is a widely used antibiotic that is highly toxic to algae [23].
Studies have shown that MPs can affect terrestrial plants, including oxidative damage, destruction of chlorophyll structure, and inhibition of photosynthesis [24]. However, in the marine environment, whether salinity can change the toxic effect of MPs and its toxic mechanism needs further study [25]. Exposure of marine organisms to MPs can produce toxic effects at a cellular level, including enzymatic activity, oxidative stress, and cell growth [26]. When MPs are present in the marine environment, algae may attach to the surface of MPs and sink as the cumulative density of MP particles becomes larger. These interactions can affect algae photosynthesis and eventually inhibit algae growth [27]. Studies on the ecotoxicological effects of MPs on algae have focused on the following indicators: superoxide dismutase (SOD), catalase (CAT), glutathione (GSH), and photosynthetic pigments [28]. SOD, CAT and GSH are involved in the main endogenous enzymatic defense systems of all aerobic cells. They protect cells by directly scavenging superoxide radicals and hydrogen peroxide, converting them to less reactive species [29]. SOD is a group of antioxidant enzymes that catalyze the dismutation of superoxide to oxygen and hydrogen peroxide. CAT can induce the decomposition of hydrogen peroxide into molecular oxygen and water, which can save the cell from the poisoning of H2O2. GSH is a vital substance that regulates metabolism in the cell and can participate in the metabolic reactions of the cell. GSH can directly scavenge a wide variety of free radicals in the body by combining with free radicals through sulfhydryl groups reduction to acid via sulfhydryl groups, thus accelerating the excretion of free radicals and protecting cells from damage [30]. It has now been suggested that a decrease in GSH content may be an early signal of apoptosis, followed by the production of excess oxygen free radicals by the cells [31]. Photosynthetic pigments are essential indicators of algal growth, and it is believed that photosynthetic efficiency increases with increasing chlorophyll content. When the light intensity is insufficient, a decrease in chlorophyll content decreases photosynthetic efficiency [32]. MPs have been shown to affect chlorophyll content and photosynthetic efficiency in algae. Wu Yi et al. tested the effect of PP-MPs and PVC-MPs on the photosynthetic system of Chlorella. They showed that both MPs reduced the concentration of chlorophyll-a in Chlorella, and PVC-MPs had a higher effect on the inhibition of the photosynthetic system of Chlorella than PP-MPs [33]. PE and PS MPs have been reported that interfere with enzyme synthesis and even alter gene expression [34]. There are also some reports presented that MPs may have a growth-promoting effect on algae due to the strong environmental adaptability of some algae [35]. These previous works show that the toxic mechanism of MPs on algae is a complex process.
Due to the complexity of the seawater environment and the diversity of physicochemical properties of MPs, the adsorption behavior of MPs towards various typical pollutants may be altered under high salinity conditions, which can bring unexpected risks to human health and the safety of marine ecosystems. In addition, the response of aquatic organisms to MPs under high salinity may differ from that of single stresses. However, there are still large knowledge gaps on these issues.
In this study, we investigated the impact of high salinity on the adsorption behaviors of three typical pollutants (Pb2+, 4-chlorophenol, and levofloxacin) onto two types of MPs (PE and PVC). Furthermore, the impact of high salinity on the toxicity of these two types of MPs towards Synechococcus was illustrated. We chose Synechococcus as the test organism because it is widely considered one of the most abundant photo-oxygenic microorganisms on earth and it also has an abundance of extracellular polymers, which are important components of biofilms, compared to Chlorella. Activities of SOD and CAT, and contents of GSH and chlorophyll-a are chosen as toxicity indicators because they are widely employed to indicate toxic responses. The present study could provide a better understanding of the impact of high salinity on the environmental behaviors of MPs in the marine environment and help to reduce the environmental risks caused by human activities.
2. Materials and Methods
2.1. Experimental Materials
Two MPs, PE and PVC, with high global production and environmental detection rate were selected to represent low-density and high-density MPs, respectively [36]. PE and PVC with a diameter of 6.5 μm were purchased from China Dongguan Zhongxin Plastics Co. (Dongguan, China). Protein quantification kit (Komas Brilliant Blue method), catalase (CAT) assay kit (molybdenum amine method), and glutathione (GSH) test kit (DTNB method) were purchased from Nanjing Jiacheng Institute of Biological Engineering, Nanjing, China. Propidium iodide dye was purchased from Nanjing Senbeijia Biotechnology Co., Ltd. (Nanjing, China). Annexin V-FITC/PI double staining apoptosis assay kit was purchased from Shanghai White Shark Biotechnology Co. (Shanghai, China). All other reagents used in this study were analytically pure and were not further purified.
2.2. Adsorption Experiments
According to the introduction, three types of reprehensive pollutants (Pb2+, 4-chlorophenol solution, and levofloxacin) were selected as the typical representatives of heavy metals, POPs and antibiotics for the adsorption experiments (Figure 1a). All experiments were replicated three times, and the contaminant solutions without MPs were used as blank controls.
Figure 1.
Schematic diagram of protocols for adsorption experiment (a) and toxicity experiment (b).
Two salinities (3.5% and 6%) were set for the adsorption kinetics experiments, representing normal and high salinity, respectively. 50 mg of MPs were placed in Erlenmeyer flasks containing 100 mL of 20 mg/L Pb (NO3)2 solution, 100 mL of 2 mg/L 4-chlorophenol solution, and 100 mL of 2 mg/L levofloxacin solution, respectively. The experiments were performed in a temperature-controlled shaker at 25 °C with a speed of 170 rpm. To assess the adsorption, 5 mL of the solution was passed through a 0.45 μm filter to remove the MPs, and the absorbance corresponding to the different contaminants was quantified by a UV-Vis spectrophotometer (UV-3000, Mapada, Shanghai, China) at given time intervals (1, 2, 3, 4, 8, 10, 12 and 24 h).
For the investigation of the adsorption isotherms, the initial concentrations were 10, 20, 40, 60, and 80 mg/L for the Pb2+ solution and 1, 2, 4, 6, and 8 mg/L for the 4-chlorophenol and levofloxacin solutions, respectively, and the experimental time was fixed at 24 h to reach adsorption equilibrium. The other steps were the same as the adsorption kinetics experiments.
2.3. Cultivation of Synechococcus
Synechococcus are widely distributed in the global ocean and play an important role in the regulation of global biogeochemical cycles and carbon fixation [37]. The cyanobacterium used in the experiments was Synechococcus sp. LJY001, which was isolated from the coastal water of Bohai Sea and cultured in sterilized BG-11 medium (salinity 3.5%, pH 7.1) at 26 ± 1 °C, light intensity of 3600 lux, and light: dark ratio of 12:12. The conical flasks were randomly placed in a light incubator and shaken three times a day to prevent cell aggregation. Algae in all experiments were sampled at the logarithmic stage of Synechococcus.
2.4. Exposure Experiments for MPs at High Salinity
The concentration of microplastics obtained using 80-micron mesh sampling in Swedish coastal waters was 102,000 items/m3 [38]. The wide spread of microplastics at concentrations of 42~6595 items/kg is occurring [39]. This number would be greater if the size was smaller, but unfortunately there are no data on the actual concentrations. Studies showed that 200 mg/L PE and PVC can inhibit the growth of marine microalgae and reduce the chlorophyll content of marine diatoms [40,41]. The concentration of by-product from desalination can be more than 1.6 times that of seawater [9]. Based on the above findings, in the experiment on the single effect of salinity on Synechococcus, three salinities (4%, 5%, and 6%) were selected (Figure 1b), and the 3.5% salinity group was set as the control. In the experiment of the single effect of MPs on Synechococcus, three concentrations were set for PE-MPs and PVC-MPs (10 mg/L, 50 mg/L, and 500 mg/L), and the group without MPs was used as a blank control, and the salinity of all the groups was 3.5%. All treatments were repeated three times. Oxidative stress indicators were determined after 96 h of incubation.
According to the results of individual toxicity, in the combined toxicity test of MPs and high salinity, two MPs’ concentrations were set (10 mg/L and 500 mg/L) with 6% salinity, and a blank control group was set at 3.5% salinity without MPs. The oxidative stress indicators were determined after 96 h of incubation.
2.5. Determination of SOD and CAT Activities and GSH and Chlorophyll-a Contents
After the completion of the single/combined toxicity treatment, 20 mL of the algal solution was taken out of the conical flask, and centrifuged at a speed of 11,000 rpm for 10 min at 4 °C. The upper clear liquid was discarded, and the dry weight of the algae was measured. Five times the volume of phosphate-buffered solution was added in a ratio of weight (g) to volume (mL) = 1:5. The tissue homogenate was prepared under ice bath conditions, and centrifuged at a speed of 2500 rpm for 10 min. The upper clear liquid was used for the determination of the total protein content and activities of CAT and SOD. The SOD activity was determined by the nitro blue tetrazolium (NBT) method. The CAT activity was determined by the ammonium molybdate colorimetric method using a catalase kit. GSH activity was determined by the DTNB method using a glutathione test kit. Chlorophyll-a content was determined by acetone grinding and an extraction method. The detailed procedures have been described in our previous work [42].
2.6. Statistical Analysis
The data used in each group of experiments were expressed as the mean of three repetitions. Comparisons between each group of data were analyzed using the one-way ANOVA method. The t-test was used to test the significance of the data, and the significance level was set at p < 0.05. The mean of the sorption data, the toxicological data, and the related oxidative stress indicator values were calculated using Microsoft Excel 2017. The adsorption kinetics, adsorption isotherm curves, and oxidative stress indicator values were calculated and plotted using Origin 2021.
3. Results
3.1. Adsorption of the Three Pollutants on PE and PVC under High Salinity
The results are shown in Figure 2 and Figure 3. At 6% salinity, the adsorption capacity of MPs for Pb2+ decreased from 0.24 mg/g to 0.15 mg/g (PE-MPs) and from 0.36 mg/g to 0.24 mg/g (PVC-MPs), respectively. Metal ions with a smaller hydration radius have greater electrostatic attraction [43]. The hydration ion radius of Na+ is 0.106 nm, while the hydrated ion radius of Pb2+ is 0.406 nm. Therefore, the electrostatic force between Na+ and MPs is more significant than that between Pb2+ and MPs. With the increase in salinity, the concentration of Na+ in the system is much higher than that of Pb2+. Due to the adsorption force between Pb2+ and MPs being mainly the electrostatic force, the increasing Na+ will compete with Pb2+ for adsorption sites, which reduces the binding of Pb2+. This result is consistent with a previous study [10].
Figure 2.
Adsorption kinetics of Pb2+ (a,b), 4-chlorophenol (c,d) and levofloxacin (e,f) on MPs at normal and high salinities.
Figure 3.
Equilibrium adsorption of Pb2+, 4-chlorophenol and levofloxacin by PE and PVC at normal and high salinities. Lowercase letters (a, b, c, d, and e) indicate a significant difference (p < 0.05) among each group, and any two samples with a common letter are not significantly different (p > 0.05).
The adsorption capacity of PE-MPs for 4-chlorophenol decreased from 0.14 mg/g to 0.09 mg/g at high salinity. However, the adsorption capacity of PVC-MPs for 4-chlorophenol increased from 0.10 mg/g to 0.16 mg/g. This result indicates that the effect of salinity on the sorption capacity depends on both the chemical pollutant and the MP type. Salinity is known to affect the aggregation state of MPs, which in turn may affect the sorption properties of organic compounds [44]. Salinity can change the properties of MPs such as overall size and surface area by affecting their cohesive or aggregated state. Similarly, the increase in salinity may also alter the aqueous solubility of organic pollutants, encouraging their partition into solid phases. The opposite change in the adsorption capacity of PE-MPs and PVC-MPs for 4-chlorophenol should be the result of balancing these two aspects.
At 6% salinity, the adsorption capacity of MPs for levofloxacin decreased from 0.23 mg/g to 0.17 mg/g (PE-MPs) and from 0.31 mg/g to 0.23 mg/g (PVC-MPs), respectively. This may be due to the reason that the electrostatic force has a large effect on the adsorption of MPs, and the elevated salinity shields the surface charge of MPs and reduces the interaction force between MPs and levofloxacin. At the same time, elevated salinity can also increase the competitive adsorption between Na+ and levofloxacin, competing for adsorption sites on the surface of MPs.
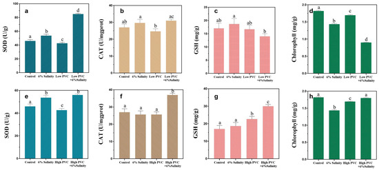
3.2. Single Effects of MPs and Salinity on Synechococcus
3.2.1. Single Effect of MPs
Figure 4 shows the effects of different concentrations of MPs (PE and PVC) on the different toxicity indicators in Synechococcus. With the increase in PE-MPs concentration, SOD activity first increased and then gradually decreased, and the activity of CAT gradually decreased. The differences were insignificant in the low-concentration treatment (10 mg/L) but significant in the high-concentration treatments (50 mg/L and 500 mg/L). With the increase in PE-MPs concentration, the content of GSH decreased at first and then increased. The Chlorophyll-a content in Synechococcus has a similar trend as the SOD activity. It rose at low concentrations (10 mg/L) of PE-MPs but decreased at high concentrations (50 mg/L and 500 mg/L) of PE-MPs. Exposure to extremely high concentrations of PE-MPs decreased the activities of SOD and CAT, suggesting that the redox balance of Synechococcus was disrupted, resulting in oxidative stress. High concentration of PE-MPs can significantly inhibit the photosynthetic efficiency of Synechococcus.
Figure 4.
Effects of different concentrations of MPs (PE and PVC) on SOD (a,e), CAT (b,f), GSH (c,g), and chlorophyll-a content (d,h) in Synechococcus. Lowercase letters (a, b, c, and d) indicate a significant difference (p < 0.05) among each group, and any two samples with a common letter are not significantly different (p > 0.05).
The impact of PVC-MPs on the SOD activity, CAT activity, GSH content, and chlorophyll-a content was also analyzed. The changes in PVC concentration did not have significant effects on the SOD and CAT activity (Figure 4e,f). This may be due to the relatively low toxicity of PVC, which has a limited effect on the reactive oxygen species (ROS) defense system of Synechococcus. The GSH content increased significantly at extremely high concentration of PVC-MPs (Figure 4g). The concentration of PVC-MPs had no significant effect on Synechococcus’s chlorophyll-a content (Figure 4h). PVC-MPs have a higher density and gathered at the bottom of the glass bottle, which increased the attachment area of Synechococcus, and did not compete with Synechococcus for the light source.
3.2.2. Single Effect of High Salinity
Figure 5 shows the response of the cells to the three different salinities (4%, 5%, and 6%). As the salinity increased, the SOD and CAT activity of Synechococcus decreased firstly and then increased. At 4% salinity, the activity of SOD and CAT of Synechococcus was the lowest and the content of GSH was the lowest, which indicated that the Synechococcus produced the least ROS. At the same time, 4% salinity increased the chlorophyll-a content. The results show that 4% salinity may be the optimum salinity for the growth of Synechococcus. At 6% salinity, the activities of SOD and CAT in Synechococcus were higher than those in the blank group, and the content of chlorophyll-a in Synechococcus was significantly lower than that in the blank group, which meant that the Synechococcus produced more ROS and the photosynthesis of Synechococcus was inhibited under 6% salinity stress.
Figure 5.
Effects of different salinities (4%, 5%, and 6%) on SOD (a), CAT (b), GSH (c), and chlorophyll-a content (d) in Synechococcus. Lowercase letters (a, b, c, and d) indicate a significant difference (p < 0.05) among each group, and any two samples with a common letter are not significantly different (p > 0.05).
3.3. Combined Effect of High Salinity and MPs on Synechococcus
3.3.1. PE-MPs and High Salinity
Figure 6 shows the changes in the four toxicity indicators (SOD, CAT, GSH and chlorophyll-a) of Synechococcus after co-exposure to high salinity (6%) and PE-MPs. When the Synechococcus was exposed to 6% salinity and 10 mg/L PE-MPs, the SOD activity of the three controls (blank, 6% salinity, and 10 mg/L PE-MPs) were 56.5 U/g, 65.6 U/g, and 72.4 U/g, respectively, and the SOD activity of the co-exposure group was 72.8 U/g. The SOD activity of the combined treatment group was slightly higher than that of the blank control and 6% salinity control, and there was no significant difference between the co-exposure system and the PE-MPs control. PE-MPs played a dominant role in the effect of SOD activity in the combined system (Figure 6a). The CAT activities of the three controls (blank, 6% salinity, and 10 mg/L PE-MPs) were 54.2 U/mgprot, 58.6 U/mgprot, and 52.8 U/mgprot, respectively, and the CAT activity of the co-exposure treatment group was 47.2 U/mgprot. The CAT activity of the co-exposure treatment group was lower than that of the three controls with a low significance. The GSH contents of the three control groups (blank, 6% salinity, and 10 mg/g PE-MPs) were 8.46 mg/g, 8.9 mg/g, and 5.6 mg/g, respectively, and the GSH content of the combined treatment group was 6.72 mg/g. The GSH content of the co-exposure group was lower than that of the blank and 6% salinity control, and slightly higher than that of the 10 mg/L PE-MPs control. The chlorophyll-a contents of the three control groups (blank, 6% salinity, and 10 mg/L PE-MPs) were 2.51 mg/L, 2.02 mg/L, and 2.67 mg/L, respectively, and the chlorophyll-a content of the co-exposure treatment group was 2.45 mg/L. The chlorophyll-a content of the co-exposure group was higher than that of the 6% salinity control, and lower than that in the PE-MPs control group.
Figure 6.
Changes in SOD (a,e), CAT (b,f), GSH (c,g), chlorophyll-a content (d,h) of Synechococcus after co-exposure to high salinity (6%) and PE-MPs. Low PE: 10 mg/L of PE-MPs; high PE: 500 mg/L of PE-MPs. Lowercase letters (a, b, c, and d) indicate a significant difference (p < 0.05) among each group, and any two samples with a common letter are not significantly different (p > 0.05).
When Synechococcus was exposed to 6% salinity and 500 mg/L PE-MPs, the SOD activities of the three control groups (blank, 6% salinity, and 500 mg/L PE-MPs) were 56.5 U/g, 65.6 U/g, and 35.6 U/g, respectively, and the SOD activity of the co-exposure group was 54.6 U/g. The SOD activity of the co-exposure group did not change significantly compared to the blank control, indicating that the inhibitory effect of PE-MPs on the SOD activity was weakened in the co-exposure system, which may be related to the aggregation of PE-MPs under high salinity (Figure 6e). The CAT activities of the three control groups were 54.2 U/mgport, 58.6 U/mgport, and 18.8 U/mgport, respectively, and the CAT activity of the co-exposure group was 31.3 U/mgport. The CAT activity of the co-exposure group was significantly lower than that of the blank control and 6% salinity control while significantly higher than that of the 500 mg/L PE-MPs control, indicating that high salinity reduced the inhibition effect of a high concentration of PE-MPs (Figure 6f). The GSH contents of the three control groups were 8.46 mg/g, 8.9 mg/g, and 11.6 mg/g, respectively, and the GSH content of the co-exposure group was 26.6 mg/g. The GSH content of the co-exposure group was significantly higher than that of the three control groups, indicating that the co-exposure treatment promoted the antioxidative response of Synechococcus (Figure 6g). The chlorophyll-a contents of the three control groups were 2.51 mg/L, 2.02 mg/L, and 1.97 mg/L, respectively, and the chlorophyll-a content of the co-exposure group was 2.02 mg/L. The chlorophyll-a content of the co-exposure group was not significantly different from the two single-exposure controls. However, the chlorophyll-a content of all the single or combined treatment groups was significantly lower than the blank control, indicating that both the high salinity and high concentration of PE-MPs can inhibit the photosynthetic efficiency of Synechococcus (Figure 6h).
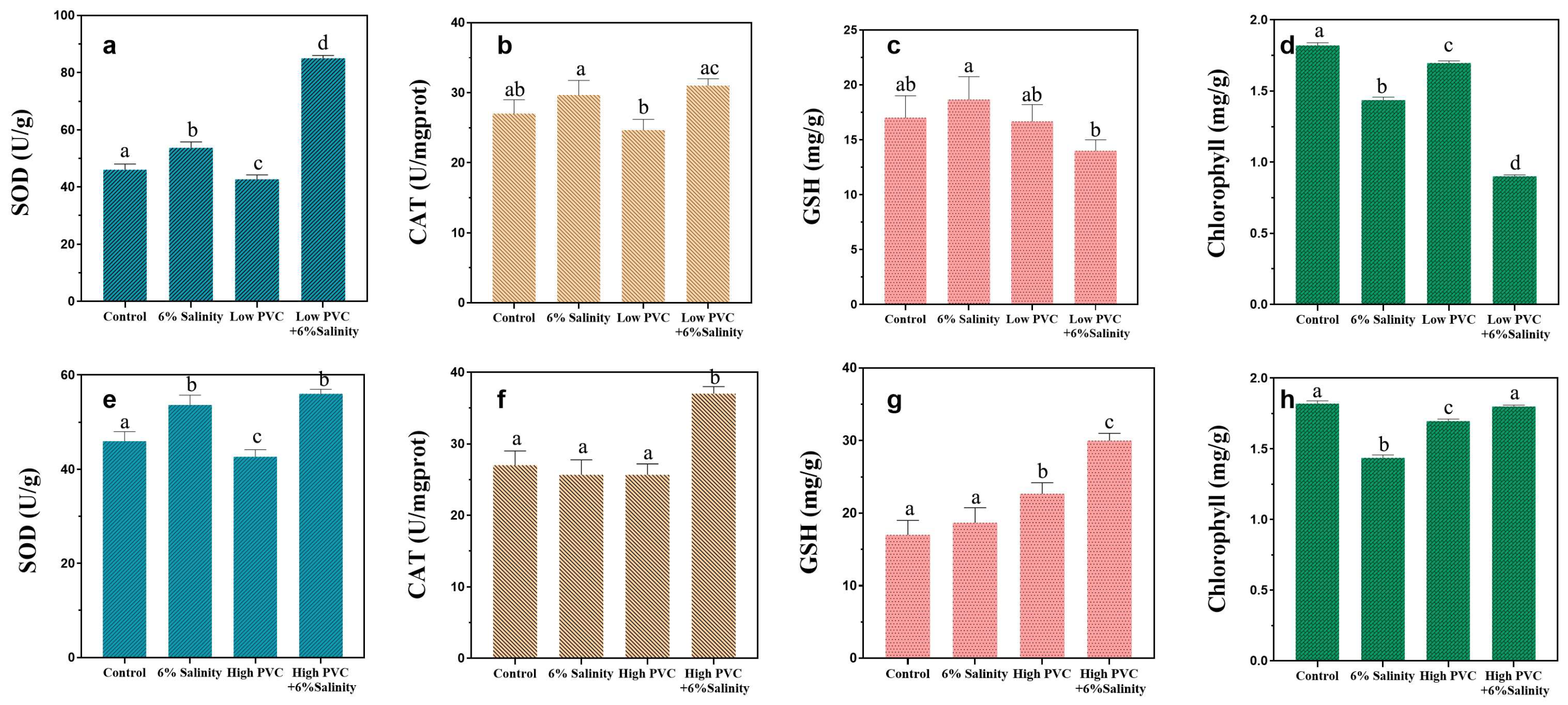
3.3.2. PVC-MPs and High Salinity
Figure 7 shows the changes in the four toxicity indicators (SOD, CAT, GSH, and chlorophyll-a) of Synechococcus after co-exposure to high salinity (6%) and PVC-MPs. The SOD activities of the three control groups (blank, 6% salinity, and 10 mg/L PVC-MPs) were 45.7, 53.0, and 43.0 U/g, respectively, and the SOD activity of the co-exposure group was 83.7 U/g. The SOD activity of the co-exposure group was significantly higher than that of the three controls, indicating that the antioxidative response of Synechococcus was promoted by co-exposure with PVC-MPs and high salinity (Figure 7a). The CAT activities of the three control groups were 26.9 U/mgprot, 29.1 U/mgprot, and 26.0 U/mgprot, respectively, and the CAT activity of the combined treatment group was 31.5 U/mgprot. High salinity enhanced the ROS defense system under PVC-MPs stress. The GSH contents of the three control groups were 17.1 mg/g, 18.0 mg/g, and 16.9 mg/g, respectively, and the GSH content of the co-exposure group was 14.3 mg/g. The GSH content of the co-exposure group was lower than that of single exposure, but the difference was not significant. The chlorophyll-a contents of the three controls were 1.82 mg/L, 1.46 mg/L, and 1.69 mg/L, respectively, and the chlorophyll-a content of the co-exposure group was 0.91 mg/L. The chlorophyll-a content of the co-exposure group was significantly lower than that of the three controls, indicating that high salinity made PVC-MPs more effective in inhibiting the photosynthesis of Synechococcus.
Figure 7.
Changes in SOD (a,e), CAT (b,f), GSH (c,g), and chlorophyll-a content (d,h) of Synechococcus after co-exposure to high salinity (6%) and PVC-MPs. Low PVC: 10 mg/L of PVC-MPs; high PVC: 500 mg/L of PVC-MPs. Lowercase letters (a, b, c, and d) indicate a significant difference (p < 0.05) among each group, and any two samples with a common letter are not significantly different (p > 0.05).
Under the exposure of 6% salinity and 500 mg/L PVC-MPs, the SOD activities of the three control groups (blank, 6% salinity, and 500 mg/L PVC-MPs) were 45.7 U/g, 53.0 U/g, and 42.1 U/g, respectively. The SOD activity of the co-exposure group was 57.2 U/g, which was significantly higher than that of the PVC-MPs control group. The CAT activities of the three controls were 26.9 U/mgprot, 29.1 U/mgprot, and 25.3 U/mgprot, respectively. The CAT activity of the co-exposure group was 37.1 U/mgprot, which was remarkably higher than those of the three controls (Figure 7f). The results showed that 500 mg/L PVC-MPs induced the antioxidation of cyanobacteria only at high salinity. The GSH contents of the three controls were 17.1 mg/g, 18.0 mg/g, and 23.8 mg/g, respectively. The GSH content of the co-exposure group was 30.1 mg/g, which was significantly higher than those of the three controls (Figure 7g). This trend was the same as that of combined exposure with high salinity and high concentration of PE-MPs. Co-exposure mitigated the loss of chlorophyll-a caused by individual exposure. The chlorophyll-a contents of the three controls were 1.82 mg/L, 1.46 mg/L, and 1.72 mg/L, respectively, and that of the co-exposure group was 1.81 mg/L (Figure 7h).
4. Discussion
The concentrations of Pb2+ and organochlorine in seawater of the great barrier reef were 0.06~0.77 μg/L and 2~5100 pg/L, respectively [45]. The concentrations of antibiotics are usually in ng/L or μg/L, and the concentrations of the 14 antibiotics in the coastal waters of China were reported to be between 282.8 ng/L and 587.4 ng/L [46]. In order to investigate the mechanism of adsorption, the concentration of pollutants used in this study is higher than the actual concentration in the environment. The results show that there is electrostatic adsorption and ion adsorption between MPs and pollutants. Yu et al. selected PE, PS and PVC MPs to adsorb TC, and proved that the adsorption mechanism is mainly ion adsorption [47]. PVC has a better adsorption than PE, which may be due to its large specific surface area and so therefore has more binding sites [48]. In the natural environment, the competitive adsorption of Na+ is enhanced due to the decrease in pollutant concentration, which may lead to a decrease in the adsorption capacity of MPs. Due to the diversity of pollutants in the ocean, when different pollutants exist in the environment at the same time, there will also be competitive adsorption among them. Lin et al. investigated the competitive adsorption of Pb2+ and malachite green (MG) on PS and found that Pb2+ exhibited more affinity than MG due to intragranular diffusion and electrostatic effects [49]. Shen et al. studied the competitive adsorption of Pb2+ and Cu2+ on PP and found that PP exhibited a stronger adsorption effect on Pb2+ [50]. When single adsorption and competitive adsorption coexist, competitive adsorption usually dominates, and due to the nature of compounds, there may be both competition and complexation [51]. In complex marine environments, the behavior of MPs may also change due to differences in pollutant properties and environmental factors such as salinity. In this study, it was found that salinity affected the adsorption behavior of MPs through the following mechanisms: the competitive adsorption potential of Na+ with pollutants, the change of surface charge and aggregation state of MPs, and the change of solubility of organic pollutants. An increase in salinity may lead to the compression of the electric double layer between particles, resulting in aggregation of MP particles, an increase in specific surface area and surface binding sites, thus increasing the adsorption capacity [13].
Results of the single exposure of MPs to Synechococcus show that the low concentration of MPs may produce increased radical oxygen content in the cells of Synechococcus, triggering the self-regulation mechanism to produce more SOD and CAT to maintain a stable metabolism. However, the higher concentration of PE-MPs led to decreased SOD and CAT activity. This result implies that SOD and CAT scavenged oxygen radicals and hydrogen peroxide is produced less rapidly than the formation of substances, and that excessive oxygen radicals can disrupt the balance of the redox system in the cell, leading to cellular damage. This trend may also be due to the interference of CAT synthesis when being exposed to high concentrations of PE-MPs, but the exact mechanism needs to be further determined [52]. Oxidative stress induces gene expression of gamma glutamyl transpeptidase (GGT) [53]. GGT plays an important role in GSH homeostasis by providing cysteine (the rate-limiting substrate for intracellular GSH synthesis), which enables GSH precursors to be used as substrates for the synthesis of GSH under oxidative stress conditions [54]. This explains the significant increase in GSH content at extremely high MP concentrations. A high concentration of MPs reduced the chlorophyll-a content of Synechococcus and their photosynthetic efficiency. But the effect of PVC-MPs was weaker than PE-MPs. The results are consistent with the conclusions of previous studies. MPs have obvious toxic effects on Synechococcus, such as blocking out light, disrupting membrane integrity, destroying their antioxidant capacity, and reducing their photosynthetic activity [55]. The particle size of MPs is similar to that of Synechococcus cells. When the concentration of MPs in solution increased, MPs would block the stomata of Synechococcus and inhibit the gas exchange behavior of them; therefore, the content of chlorophyll-a in the cells was decreased. Studies have shown that MPs can be adsorbed on the surface of algae to form a coating that limits energy and material transfer between the cell and the environment, resulting in a decrease in intracellular nutrients, light, CO2 and O2 [56]. It is also possible that harmful metabolites of algae are locked into the cell, and MPs can cause surface physical damage [57]. PE-MPs have a low density and will float on the surface of water. They compete with Synechococcus for the light source, leading to a decreased photosynthetic efficiency and finally, decreased chlorophyll-a content. However, PVC-MPs have a higher density, making it easy to sink to the bottom of the water, leading to a smaller contact area with algae and a reduced toxic effect on cells. According to Canniff and Hoang, attachment to the surface of MPs may promote the growth of microalgae [58]. Therefore, the reduced inhibitory effect of high PVC-MPs concentration on the growth of Synechococcus may be because PVC-MPs are easily aggregated at the bottom of the bottle [59], which increases the attachment of the Synechococcus.
When the stress of MPs on Synechococcus occurred under high salinity, the SOD activity of Synechococcus which had been inhibited by MPs before was significantly increased. For the low concentration of PE-MPs, the SOD activity was originally increased without significant changes when high salinity was added. Algae can produce ROS, including superoxide anion (O2−), hydrogen peroxide (H2O2), hydroxyl radical (OH) and singlet oxygen, especially under oxidative stress [60]. Excessive ROS can damage cell membranes and biological macromolecules such as DNA, proteins and lipids; meanwhile, ROS act as signaling molecules to trigger the antioxidant defense system of the cell, to enhance the resistance and adaptability to adverse environments [61]. SOD is a kind of antioxidant metalloenzyme, which is widely distributed in microorganisms. It is an important component of the antioxidant enzyme system in organisms, which can catalyze superoxide anion radicals to form molecular oxygen and H2O2, ensuring the body’s oxidation and anti-oxidation balance [62]. Under the high salinity condition, the CAT activity of Synechococcus exposed to MPs showed similar changes to SOD activity. CAT also plays an important role in the antioxidant defense system of all aerobic organisms. CAT is a tetrameric enzyme, which can catalyze the decomposition of H2O2 into H2O and O2 and protect cells from H2O2 [63]. Elevated SOD activity increased the ability to convert excess oxygen radicals into H2O2 resulting in decreased cytotoxicity. The enhanced CAT activity at 6% salinity can be coordinated with the increase in SOD activity, which produces more H2O2 in the cells. An accompanying increase in the CAT activity can scavenge H2O2 to cope with oxidative stress. In addition to the low toxicity of low concentration PVC-MPs, the GSH content of Synechococcus exposed to MPs at high salinity was significantly higher than when exposed to MPs alone. The GSH content of Synechococcus was significantly higher than that of the control group under high concentration of MP stress. High concentrations of MPs are known to cause oxidative stress in Synechococcus, and increased GSH levels represented both an increase in intracellular ROS and an increase in cellular antioxidant levels. Not only can GSH act directly as a non-enzymatic antioxidant to protect cells from oxygen free radicals, but they also act as cofactors for antioxidants and detoxifying enzymes [64]. The GSH can also protect the -SH group in the enzyme molecule and can restore the activity of the enzyme by restoring the active function of the -SH group in the destroyed enzyme molecule [65]. The increase in SOD, CAT activities and GSH content in the co-exposure group indicated that the resistance of Synechococcus to oxidative stress was enhanced. Under high salinity conditions, single-celled phytoplankton can usually rapidly aggregate to form biofilms and provide physical defense for most cells by secreting extracellular polysaccharide (EPS) [66]. EPS is a polymer produced during the metabolism of microbial cells, and the main components include polysaccharides, proteins (enzymes and structural proteins), nucleic acids (DNA), and lipids [67]. As an important substance that adheres to the cell surface, EPS can bind to many exogenous organic compounds and inorganic ions due to its rich functional groups (such as -COOH, -NH, -OH, -CO-), and form a protective barrier against many exogenous organics [68]. Therefore, in a high-salinity environment, Synechococcus adopts the method of increasing EPS secretion to resist osmotic stress and enhance the ability of Synechococcus to resist MP toxicity.
When exposed to low concentrations of MPs in high salinity, the chlorophyll-a content of Synechococcus was significantly lower than that exposed to MPs in normal salinity. In high concentration PE-MPs, increased salinity did not change the inhibitory effect of MPs on chlorophyll-a content. But in high concentration PVC-MPs, the chlorophyll-a content increased significantly with increasing salinity. High salinity is known to promote the synthesis and secretion of EPS. When exposed to low concentrations of MPs in high salinity, Synechococcus can secrete EPS and potentially form heterogeneous aggregates with MPs. It can be inferred that the interaction between MPs and cells induced hetero-polymerization, forming a light-blocking floating layer. This led to a decrease in light intensity and chlorophyll-a content, which exacerbated the MPs’ inhibition of photosynthesis. At high concentrations of MPs, the chlorophyll-a content did not change significantly with increasing salinity because low-density PE-MPs had already occupied the water surface. High-density PVC-MPs were concentrated at the bottom of the water, providing a better substrate for Synechococcus attachment due to the increase in EPS, which was beneficial to the growth of Synechococcus.
On the other hand, high salinity itself may increase ROS and decrease chlorophyll-a content in Synechococcus. As the osmotic pressure of the cell membrane increases with the increase in salinity, osmotic stress can lead to water outflow and dehydration, disturb many characteristics of cells, resulting in slower cell metabolism and lower chlorophyll-a content [66]. EPS enables cells to aggregate to resist environmental stresses, while at the same time changing the effects of other substances on cell utilization [69]. Results show that the combined effects of high salinity and MPs on Synechococcus are subtle and complex. For the simple binary system of MPs and salinity, the reasons affecting the physiological activity of Synechococcus are diverse. On the one hand, MPs have obvious toxic effects on Synechococcus. However, they may also mitigate the effects of salt ions on the cells to some extent, such as by providing sites for bacteria to adhere to. On the other hand, high salinity not only alleviated MPs stress on Synechococcus to some extent, but also inhibited cell growth through osmotic stress. In addition, a variety of other factors influence joint toxicity. The complexity of combined toxicity is partly because there are various subtle and complex interactions among MPs, high salinity, and various other factors (Figure 8).
Figure 8.
Schematic diagram of combined toxicity of MPs and high salinity.
There are no reports on the effects of MPs and high salinity on Synechococcus. Most of the algae used for research are Chlorella. This paper systematically provides toxicological data on MPs and high salinity on the oxidative stress indicators of Synechococcus. However, this study only investigated the toxic effects of two factors (high salinity and MPs) on plankton. Many other factors affect the growth of microalgae in the ocean, such as diverse nutrient salts and various other pollutants. In addition, the present study only investigated the toxic response of Synechococcus at the level of enzyme activities, and further studies can be conducted at the molecular level. Investigation of the gene expression spectrum of Synechococcus in response to different factors can reveal the toxicity mechanisms of combined exposure.
5. Conclusions
This study investigated the effect of high salinity on the adsorption behaviors of three typical pollutants (Pb2+, 4-chlorophenol, and levofloxacin) onto two types of popular MPs (PE and PVC), and the combined toxicity of high salinity (6%) and MPs on Synechococcus. The results demonstrated that the adsorption of the three pollutants on MPs changed differently at increased salinity, and co-exposure to high salt and MPs led to altered cellular metabolism in Synechococcus. All the PE-MP treatments affected the ROS enzyme activity and cell photosynthesis. The higher the PE-MPs concentration, the more significant the inhibition. Under 10 mg/L PE-MPs, high salinity (6%) affected the ROS response and chlorophyll-a content but not significantly. PVC-MPs showed a synergistic effect with high salinity, and the combined exposure significantly inhibited ROS enzyme activity and chlorophyll-a levels. Co-exposure with high salinity and MPs reduced the individual effect of PE-MPs but promoted the individual effect of PVC-MPs. In this paper, the main characteristics of seawater, salinity, are fully considered, which provides a theoretical basis for studying the adsorption behavior and eco-toxicity of concentrated seawater from the seawater desalination industry. These findings provide useful insights into the combined toxicity of high salinity and MPs as well as highlight the importance of ecological risk assessment for large-scale desalination activities.
Author Contributions
Methodology, data curation, formal analysis, visualization, writing—original draft, W.L., C.G. and J.L.; investigation, resources, data curation, J.L., Y.Z. and X.Z.; conceptualization, writing—review and editing, P.Z.; conceptualization, project administration, supervision, funding acquisition, formal analysis, writing—review and editing, X.L., W.L. and C.G. contributed equally to this work. All authors have read and agreed to the published version of the manuscript.
Funding
This research was partially financially supported by the National Natural Science Foundation of China (No. 42377380) and the Natural Science Foundation of Tianjin City (No. 21YFSNSN00180).
Institutional Review Board Statement
Not applicable.
Informed Consent Statement
Not applicable.
Data Availability Statement
The data presented in this study are available on request from the corresponding author.
Conflicts of Interest
Author Xu Zhang is employed by CECEP Digital Technology Co., Ltd. Other authors declare no conflicts of interest.
References
- Wang, J.; Liu, X.; Dai, Y.; Ren, J.; Li, Y.; Wang, X.; Zhang, P.; Peng, C. Effects of co-loading of polyethylene microplastics and ciprofloxacin on antibiotic degradation efficiency and microbial community structure soil. Sci. Total Environ. 2020, 741, 140463. [Google Scholar] [CrossRef]
- Pan, Z.; Guo, H.; Chen, H.; Wang, S.; Sun, X.; Zou, Q.; Zhang, Y.; Lin, H.; Cai, S.; Huang, J. Microplastics in the Northwestern Pacific: Abundance, distribution, and characteristics. Sci. Total Environ. 2019, 650, 1913–1922. [Google Scholar] [CrossRef]
- Hoffmann, L.; Eggers, S.L.; Allhusen, E.; Katlein, C.; Peeken, I. Interactions between the ice algae Fragillariopsis cylindrus and microplastics in sea ice. Environ. Int. 2020, 139, 105697. [Google Scholar] [CrossRef] [PubMed]
- Thammatorn, W.; Palic, D. Potential Risks of Microplastic Fomites to Aquatic Organisms with Special Emphasis on Polyethylene-Microplastic-Glyphosate Exposure Case in Aquacultured Shrimp. Appl. Sci. 2022, 12, 5135. [Google Scholar] [CrossRef]
- Bao, Z.; Chen, Z.; Lu, S.; Wang, G.; Qi, Z.; Cai, Z. Effects of hydroxyl group content on adsorption and desorption of anthracene and anthrol by polyvinyl chloride microplastics. Sci. Total Environ. 2021, 790, 148077. [Google Scholar] [CrossRef] [PubMed]
- Jiang, H.; Zhang, Y.; Wang, C.; Wang, H. A clean and efficient flotation towards recovery of hazardous polyvinyl chloride and polycarbonate microplastics through selective aluminum coating: Process, mechanism, and optimization. J. Environ. Manag. 2021, 299, 113626. [Google Scholar] [CrossRef] [PubMed]
- Salajeghe, M.; Ameri, M. Evaluation of the energy consumption of hybrid desalination RO-MED-FD to reduce rejected brine. Environ. Prog. Sustain. 2023, e14312. [Google Scholar] [CrossRef]
- Purnama, A.; Al-Barwani, H.H. Spreading of brine waste discharges into the Gulf of Oman. Desalination 2006, 195, 26–31. [Google Scholar] [CrossRef]
- Panagopoulos, A.; Haralambous, K. Environmental impacts of desalination and brine treatment—Challenges and mitigation measures. Mar. Pollut. Bull. 2020, 161, 111773. [Google Scholar] [CrossRef]
- Ahechti, M.; Benomar, M.; El Alami, M.; Mendiguchia, C. Metal adsorption by microplastics in aquatic environments under controlled conditions: Exposure time, pH and salinity. Int. J. Environ. Ch. 2022, 102, 1118–1125. [Google Scholar] [CrossRef]
- Liu, X.; Zheng, M.; Wang, L.; Ke, R.; Lou, Y.; Zhang, X.; Dong, X.; Zhang, Y. Sorption behaviors of tris-(2,3-dibromopropyl) isocyanurate and hexabromocyclododecanes on polypropylene microplastics (vol 135, pg 581, 2018). Mar. Pollut. Bull. 2022, 181, 113889. [Google Scholar] [CrossRef] [PubMed]
- Dong, X.; Zheng, M.; Qu, L.; Shi, L.; Wang, L.; Zhang, Y.; Liu, X.; Qiu, Y.; Zhu, H. Sorption of Tonalide, Musk Xylene, Galaxolide, and Musk Ketone by microplastics of polyethylene and polyvinyl chloride. Mar. Pollut. Bull. 2019, 144, 129–133. [Google Scholar] [CrossRef] [PubMed]
- Kong, F.; Xu, X.; Xue, Y.; Gao, Y.; Zhang, L.; Wang, L.; Jiang, S.; Zhang, Q. Investigation of the Adsorption of Sulfamethoxazole by Degradable Microplastics Artificially Aged by Chemical Oxidation. Arch. Environ. Con. Tox. 2021, 81, 155–165. [Google Scholar] [CrossRef] [PubMed]
- Arienzo, M.; Ferrara, L.; Trifuoggi, M. The Dual Role of Microplastics in Marine Environment: Sink and Vectors of Pollutants. J. Mar. Sci. Eng. 2021, 9, 642. [Google Scholar] [CrossRef]
- Zheng, D.; Yin, G.; Liu, M.; Chen, C.; Jiang, Y.; Hou, L.; Zheng, Y. A systematic review of antibiotics and antibiotic resistance genes in estuarine and coastal environments. Sci. Total Environ. 2021, 777, 146009. [Google Scholar] [CrossRef]
- Luek, J.L.; Dickhut, R.M.; Cochran, M.A.; Falconer, R.L.; Kylin, H. Persistent organic pollutants in the Atlantic and southern oceans and oceanic atmosphere. Sci. Total Environ. 2017, 583, 64–71. [Google Scholar] [CrossRef]
- Vrinda, P.K.; Amal, R.; Abhirami, N.; Mini, D.A.; Kumar, V.J.R.; Devipriya, S.P. Co-exposure of microplastics and heavy metals in the marine environment and remediation techniques: A comprehensive review. Environ. Sci. Pollut. Res. 2023, 30, 114822–114843. [Google Scholar] [CrossRef]
- Song, R.; Chi, H.; Ma, Q.; Li, D.; Wang, X.; Gao, W.; Wang, H.; Wang, X.; Li, Z.; Li, C. Highly Efficient Degradation of Persistent Pollutants with 3D Nanocone TiO2-Based Photoelectrocatalysis. J. Am. Chem. Soc. 2021, 143, 13664–13674. [Google Scholar] [CrossRef]
- Fulke, A.B.; Kotian, A.; Giripunje, M.D. Marine Microbial Response to Heavy Metals: Mechanism, Implications and Future Prospect. B Environ. Contam. Tox. 2020, 105, 182–197. [Google Scholar] [CrossRef]
- Zhang, Y.; Wang, X.; Yang, R.; Zhan, Y.; Shi, X. Effects of Ph2+ on the growth of marine algae. Mar. Sci. 2005, 29, 28–34, 52. [Google Scholar]
- Granados, P.; Mireles, S.; Pereira, E.; Cheng, C.; Kang, J.J. Effects of Biochar Production Methods and Biomass Types on Lead Removal from Aqueous Solution. Appl. Sci. 2022, 12, 5040. [Google Scholar] [CrossRef]
- Wang, X.; Lin, Y.; Zheng, Y.; Meng, F. Antibiotics in mariculture systems: A review of occurrence, environmental behavior, and ecological effects. Environ. Pollut. 2022, 293, 118541. [Google Scholar] [CrossRef] [PubMed]
- Yamashita, N.; Yasojima, M.; Nakada, N.; Miyajima, K.; Komori, K.; Suzuki, Y.; Tanaka, H. Effects of antibacterial agents, levofloxacin and clarithromycin, on aquatic organisms. Water Sci. Technol. 2006, 53, 65–72. [Google Scholar] [CrossRef] [PubMed]
- Wang, F.; Feng, X.; Liu, Y.; Adams, C.A.; Sun, Y.; Zhang, S. Micro(nano)plastics and terrestrial plants: Up-to-date knowledge on uptake, translocation, and phytotoxicity. Res. Conserv. Recycl. 2022, 185, 106503. [Google Scholar] [CrossRef]
- Yin, L.; Wen, X.; Huang, D.; Du, C.; Deng, R.; Zhou, Z.; Tao, J.; Li, R.; Zhou, W.; Wang, Z.; et al. Interactions between microplastics/nanoplastics and vascular plants. Environ. Pollut. 2021, 290, 117999. [Google Scholar] [CrossRef]
- Phaksopa, J.; Sukhsangchan, R.; Keawsang, R.; Tanapivattanakul, K.; Thamrongnawasawat, T.; Worachananant, S.; Sreesamran, P. Presence and Characterization of Microplastics in Coastal Fish around the Eastern Coast of Thailand. Sustainability 2021, 13, 13110. [Google Scholar] [CrossRef]
- Menendez, D.; Alvarez, A.; Peon, P.; Ardura, A.; Garcia-Vazquez, E. From the ocean to jellies forth and back? Microplastics along the commercial life cycle of red algae. Mar. Pollut. Bull. 2021, 168, 112402. [Google Scholar] [CrossRef]
- Wang, C.; Xing, R.; Sun, M.; Ling, W.; Shi, W.; Cui, S.; An, L. Microplastics profile in a typical urban river in Beijing. Sci. Total Environ. 2020, 743, 140708. [Google Scholar] [CrossRef]
- Li, H.; Li, Y.; Maryam, B.; Ji, Z.; Sun, J.; Liu, X. Polybrominated diphenyl ethers as hitchhikers on microplastics: Sorption behaviors and combined toxicities to Epinephelus moara. Aquat. Toxicol. 2022, 252, 106317. [Google Scholar] [CrossRef]
- Chen, C.; Ju, Y.; Lim, Y.C.; Hsu, N.; Lu, K.; Hsieh, S.; Dong, C.; Chen, C. Microplastics and their affiliated PAHs in the sea surface connected to the southwest coast of Taiwan. Chemosphere 2020, 254, 126818. [Google Scholar] [CrossRef]
- Lu, T.; Zhu, Y.; Xu, J.; Ke, M.; Zhang, M.; Tan, C.; Fu, Z.; Qian, H. Evaluation of the toxic response induced by azoxystrobin in the non-target green alga Chlorella pyrenoidosa. Environ. Pollut. 2018, 234, 379–388. [Google Scholar] [CrossRef]
- Song, C.; Liu, Z.; Wang, C.; Li, S.; Kitamura, Y. Different interaction performance between microplastics and microalgae: The bio-elimination potential of Chlorella sp. L38 and Phaeodactylum tricornutum MASCC-0025. Sci. Total Environ. 2020, 723, 138146. [Google Scholar] [CrossRef]
- Wu, N.; Zhang, W.; Xie, S.; Zeng, M.; Liu, H.; Yang, J.; Liu, X.; Yang, F. Increasing prevalence of antibiotic resistance genes in manured agricultural soils in northern China. Front. Environ. Sci. Eng. 2020, 14, 1. [Google Scholar] [CrossRef]
- Avio, C.G.; Gorbi, S.; Milan, M.; Benedetti, M.; Fattorini, D.; D’Errico, G.; Pauletto, M.; Bargelloni, L.; Regoli, F. Pollutants bioavailability and toxicological risk from microplastics to marine mussels. Environ. Pollut. 2015, 198, 211–222. [Google Scholar] [CrossRef] [PubMed]
- Yu, R.; Singh, S. Microplastic Pollution: Threats and Impacts on Global Marine Ecosystems. Sustainability 2023, 15, 13252. [Google Scholar] [CrossRef]
- Chen, S.; Tan, Z.; Qi, Y.; Ouyang, C. Sorption of tri-n-butyl phosphate and tris(2-chloroethyl) phosphate on polyethylene and polyvinyl chloride microplastics in seawater. Mar. Pollut. Bull. 2019, 149, 110490. [Google Scholar] [CrossRef] [PubMed]
- Zhang, T.; Zhou, K.; Wang, Y.; Xu, J.; Zheng, Q.; Luo, T.; Jiao, N. Genomic insights into the adaptation of Synechococcus to the coastal environment on Xiamen. Front. Microbiol. 2023, 14, 1292150. [Google Scholar] [CrossRef] [PubMed]
- Cole, M.; Lindeque, P.; Fileman, E.; Halsband, C.; Goodhead, R.; Moger, J.; Galloway, T.S. Microplastic Ingestion by Zooplankton. Environ. Sci. Technol. 2013, 47, 6646–6655. [Google Scholar] [CrossRef]
- Yin, L.; Chen, B.; Xia, B.; Shi, X.; Qu, K. Polystyrene microplastics alter the behavior, energy reserve and nutritional composition of marine jacopever (Sebastes schlegelii). J. Hazard. Mater. 2018, 360, 97–105. [Google Scholar] [CrossRef]
- Wang, S.; Wang, Y.; Liang, Y.; Cao, W.; Sun, C.; Ju, P.; Zheng, L. The interactions between microplastic polyvinyl chloride and marine diatoms: Physiological, morphological, and growth effects. Ecotox. Environ. Safe. 2020, 203, 111000. [Google Scholar] [CrossRef]
- Xu, H.; Li, L.; Wang, Y.; Qiu, K.; Chen, S.; Zeng, J.; Liu, R.; Yang, Q.; Huang, W. Differential physiological response of marine and freshwater microalgae to polystyrene microplastics. J. Hazard. Mater. 2023, 448, 130814. [Google Scholar] [CrossRef]
- Li, Y.; Liu, S.; Ji, Z.; Sun, J.; Liu, X. Distinct responses of Chlorella vulgaris upon combined exposure to microplastics and bivalent zinc. J. Hazard. Mater. 2023, 442, 130137. [Google Scholar] [CrossRef]
- Bester, K. Polycyclic musks in the Ruhr catchment area—Transport, discharges of waste water, and transformations of HHCB, AHTN and HHCB-lactone. J. Environ. Monit. 2005, 7, 43–51. [Google Scholar] [CrossRef]
- Velzeboer, I.; Kwadijk, C.J.A.F.; Koelmans, A.A. Strong Sorption of PCBs to Nanoplastics, Microplastics, Carbon Nanotubes, and Fullerenes. Environ. Sci. Technol. 2014, 48, 4869–4876. [Google Scholar] [CrossRef] [PubMed]
- Haynes, D.; Johnson, J.E. Organochlorine, Heavy Metal and Polyaromatic Hydrocarbon Pollutant Concentrations in the Great Barrier Reef (Australia) Environment: A Review. Mar. Pollut. Bull. 2000, 41, 267–278. [Google Scholar] [CrossRef]
- Su, D.; Wei, Y.; Chelimuge; Ma, Y.; Chen, Y.; Liu, Z.; Ben, W.; Wang, Y. Distribution, ecological risks and priority of pharmaceuticals in the coastal water of Qinhuangdao, China. Sci. Total Environ. 2024, 907, 167955. [Google Scholar] [CrossRef]
- Yu, F.; Yang, C.; Huang, G.; Zhou, T.; Zhao, Y.; Ma, J. Interfacial interaction between diverse microplastics and tetracycline by adsorption in an aqueous solution. Sci. Total Environ. 2020, 721, 137729. [Google Scholar] [CrossRef] [PubMed]
- Godoy, V.; Blazquez, G.; Calero, M.; Quesada, L.; Martin-Lara, M.A. The potential of microplastics as carriers of metals. Environ. Pollut. 2019, 255, 113363. [Google Scholar] [CrossRef] [PubMed]
- Lin, L.; Tang, S.; Wang, X.; Sun, X.; Yu, A. Hexabromocyclododecane alters malachite green and lead(II) adsorption behaviors onto polystyrene microplastics: Interaction mechanism and competitive effect. Chemosphere 2021, 265, 129079. [Google Scholar] [CrossRef] [PubMed]
- Shen, M.; Song, B.; Zeng, G.; Zhang, Y.; Teng, F.; Zhou, C. Surfactant changes lead adsorption behaviors and mechanisms on microplastics. Chem. Eng. J. 2021, 405, 126989. [Google Scholar] [CrossRef]
- Huang, D.; Xu, Y.; Yu, X.; Ouyang, Z.; Guo, X. Effect of cadmium on the sorption of tylosin by polystyrene microplastics. Ecotox. Environ. Safe 2021, 207, 111255. [Google Scholar] [CrossRef]
- Wang, L.; Kaeppler, A.; Fischer, D.; Simmchen, J. Photocatalytic TiO2 Micromotors for Removal of Microplastics and Suspended Matter. Acs Appl. Mater. Int. 2019, 11, 32937–32944. [Google Scholar] [CrossRef]
- Mizugaki, A.; Kato, H.; Takeda, T.; Inoue, Y.; Hasumura, M.; Hasegawa, T.; Murakami, H. Cystine reduces mitochondrial dysfunction in C2C12 myotubes under moderate oxidative stress induced by H2O2. Amino Acids 2022, 54, 1203–1213. [Google Scholar] [CrossRef]
- Zhang, H.; Jay Forman, H.; Choi, J. γ-Glutamyl Transpeptidase in Glutathione Biosynthesis. In Methods in Enzymology; Sies, H., Packer, L., Eds.; Academic Press: Cambridge, MA, USA, 2005; Volume 401, pp. 468–483. [Google Scholar]
- Bhatt, P.; Pathak, V.M.; Bagheri, A.R.; Bilal, M. Microplastic contaminants in the aqueous environment, fate, toxicity consequences, and remediation strategies. Environ. Res. 2021, 200, 111762. [Google Scholar] [CrossRef]
- Wang, X.; Zhao, Y.; Zhao, L.; Wan, Q.; Ma, L.; Liang, J.; Li, H.; Dong, J.; Zhang, M. Effects of microplastics on the growth, photosynthetic efficiency and nutrient composition in freshwater algae Chlorella vulgaris Beij. Aquat. Toxicol. 2023, 261, 106615. [Google Scholar] [CrossRef] [PubMed]
- Zhang, C.; Chen, X.; Wang, J.; Tan, L. Toxic effects of microplastic on marine microalgae Skeletonema costatum: Interactions between microplastic and algae. Environ. Pollut. 2017, 220, 1282–1288. [Google Scholar] [CrossRef] [PubMed]
- Canniff, P.M.; Hoang, T.C. Microplastic ingestion by Daphnia magna and its enhancement on algal growth. Sci. Total Environ. 2018, 633, 500–507. [Google Scholar] [CrossRef] [PubMed]
- Fu, D.; Zhang, Q.; Fan, Z.; Qi, H.; Wang, Z.; Peng, L. Aged microplastics polyvinyl chloride interact with copper and cause oxidative stress towards microalgae Chlorella vulgaris. Aquat. Toxicol. 2019, 216, 105319. [Google Scholar] [CrossRef] [PubMed]
- Wang, J.; Sommerfeld, M.; Hu, Q. Cloning and expression of isoenzymes of superoxide dismutase in Haematococcus pluvialis (Chlorophyceae) under oxidative stress. J. Appl. Phycol. 2011, 23, 995–1003. [Google Scholar] [CrossRef]
- Li, Y.; Sommerfeld, M.; Chen, F.; Hu, Q. Consumption of oxygen by astaxanthin biosynthesis: A protective mechanism against oxidative stress in Haematococcus pluvialis (Chlorophyceae). J. Plant. Physiol. 2008, 165, 1783–1797. [Google Scholar] [CrossRef]
- Blokhina, O.; Virolainen, E.; Fagerstedt, K.V. Antioxidants, oxidative damage and oxygen deprivation stress: A review. Ann. Bot. 2003, 91, 179–194. [Google Scholar] [CrossRef]
- Scandalios, J.G.; Acevedo, A.; Ruzsa, S. Catalase gene expression in response to chronic high temperature stress in maize. Plant Sci. 2000, 156, 103–110. [Google Scholar] [CrossRef] [PubMed]
- Averill-Bates, D.A. Chapter Five—The antioxidant glutathione. In Vitamins and Hormones; Litwack, G., Ed.; Academic Press: Cambridge, MA, USA, 2023; Volume 121, pp. 109–141. [Google Scholar]
- FU, R.; CHEN, J.; LI, Y. The Function of the Glutathione/Glutathione Peroxidase System in the Oxidative Stress Resistance Systems of Microbial Cells. Chin. J. Biotechnol. 2007, 23, 770–775. [Google Scholar] [CrossRef] [PubMed]
- Farkas, A.; Pap, B.; Zsíros, O.; Patai, R.; Shetty, P.; Garab, G.; Bíró, T.; Ördög, V.; Maróti, G. Salinity stress provokes diverse physiological responses of eukaryotic unicellular microalgae. Algal. Res. 2023, 73, 103155. [Google Scholar] [CrossRef]
- Xiao, R.; Zheng, Y. Overview of microalgal extracellular polymeric substances (EPS) and their applications. Biotechnol. Adv. 2016, 34, 1225–1244. [Google Scholar] [CrossRef] [PubMed]
- Chen, B.; Li, F.; Liu, N.; Ge, F.; Xiao, H.; Yang, Y. Role of extracellular polymeric substances from Chlorella vulgaris in the removal of ammonium and orthophosphate under the stress of cadmium. Bioresour. Technol. 2015, 190, 299–306. [Google Scholar] [CrossRef] [PubMed]
- Zheng, S.; Zhou, Q.; Chen, C.; Yang, F.; Cai, Z.; Li, D.; Geng, Q.; Feng, Y.; Wang, H. Role of extracellular polymeric substances on the behavior and toxicity of silver nanoparticles and ions to green algae Chlorella vulgaris. Sci. Total Environ. 2019, 660, 1182–1190. [Google Scholar] [CrossRef]
Disclaimer/Publisher’s Note: The statements, opinions and data contained in all publications are solely those of the individual author(s) and contributor(s) and not of MDPI and/or the editor(s). MDPI and/or the editor(s) disclaim responsibility for any injury to people or property resulting from any ideas, methods, instructions or products referred to in the content. |
© 2024 by the authors. Licensee MDPI, Basel, Switzerland. This article is an open access article distributed under the terms and conditions of the Creative Commons Attribution (CC BY) license (https://creativecommons.org/licenses/by/4.0/).







