Spatiotemporal Evolution and Obstacle Factor Analysis of Coupling Coordination Between Economic Resilience and Green, Low-Carbon Development in China
Abstract
1. Introduction
2. Coupling Coordination Mechanism
2.1. The Influence of Green and Low-Carbon Development on Economic Resilience
2.2. The Influence of Economic Resilience on Green and Low-Carbon Development
3. Materials and Methods
3.1. Index System
3.2. Data Sources
3.3. Research Methods
3.3.1. Entropy Weight Method
3.3.2. Coupling Coordination Degree Model
3.3.3. Kernel Density Estimation
3.3.4. Moran Index
3.3.5. Dagum Gini Coefficient
3.3.6. Markov Chain
3.3.7. Obstacle Degree Model
4. Results and Discussion
4.1. Result Analysis of Economic Resilience and Green and Low-Carbon Development
4.1.1. Result Analysis of Economic Resilience
4.1.2. Result Analysis of Green and Low-Carbon Development
4.2. Result Analysis of Coupling Coordination Degree
4.2.1. Analysis of Overall Coupling Coordination Level
4.2.2. Analysis of Coupling Coordination Level by Province
4.3. Dynamic Evolution Trend
4.3.1. Dynamic Evolution Trend of Overall Distribution
4.3.2. Dynamic Evolution Trend of Regional Distribution
4.4. Spatial Correlation Analysis
4.4.1. Global Autocorrelation Analysis
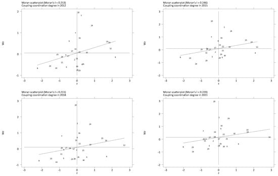
4.4.2. Local Autocorrelation Analysis
4.5. Analysis of Spatial Differences
4.6. Analysis of Dynamic Characteristics of Spatiotemporal Transfer
4.6.1. Spatio-Temporal Transition Path Based on Traditional Markov Transition Matrix
4.6.2. Spatio-Temporal Transition Path Based on Spatial Markov Transition Matrix
4.7. Obstacle Factor Analysis
5. Conclusions and Suggestions
5.1. Conclusions
5.2. Suggestions
Author Contributions
Funding
Institutional Review Board Statement
Informed Consent Statement
Data Availability Statement
Conflicts of Interest
Appendix A
| Province | 2012 | 2013 | 2014 | 2015 | 2016 | 2017 | 2018 | 2019 | 2020 | 2021 |
|---|---|---|---|---|---|---|---|---|---|---|
| Hubei | 0.176 | 0.195 | 0.204 | 0.215 | 0.226 | 0.240 | 0.261 | 0.275 | 0.282 | 0.332 |
| Jiangxi | 0.142 | 0.150 | 0.160 | 0.176 | 0.193 | 0.208 | 0.233 | 0.243 | 0.259 | 0.289 |
| Shanxi | 0.125 | 0.141 | 0.153 | 0.170 | 0.179 | 0.187 | 0.191 | 0.200 | 0.208 | 0.228 |
| Anhui | 0.152 | 0.168 | 0.176 | 0.200 | 0.213 | 0.225 | 0.247 | 0.258 | 0.279 | 0.314 |
| Hunan | 0.152 | 0.163 | 0.172 | 0.184 | 0.197 | 0.211 | 0.230 | 0.248 | 0.265 | 0.303 |
| Henan | 0.141 | 0.152 | 0.164 | 0.178 | 0.190 | 0.204 | 0.228 | 0.241 | 0.260 | 0.287 |
| Central | 0.148 | 0.161 | 0.171 | 0.187 | 0.200 | 0.213 | 0.232 | 0.244 | 0.259 | 0.292 |
| Guangdong | 0.251 | 0.270 | 0.281 | 0.317 | 0.336 | 0.377 | 0.448 | 0.485 | 0.563 | 0.643 |
| Zhejiang | 0.272 | 0.289 | 0.292 | 0.323 | 0.330 | 0.341 | 0.382 | 0.398 | 0.447 | 0.495 |
| Hainan | 0.168 | 0.183 | 0.189 | 0.192 | 0.205 | 0.215 | 0.237 | 0.249 | 0.258 | 0.289 |
| Tianjin | 0.279 | 0.297 | 0.303 | 0.309 | 0.325 | 0.321 | 0.334 | 0.341 | 0.347 | 0.380 |
| Jiangsu | 0.308 | 0.310 | 0.306 | 0.335 | 0.342 | 0.354 | 0.395 | 0.410 | 0.492 | 0.570 |
| Beijing | 0.438 | 0.456 | 0.469 | 0.495 | 0.508 | 0.526 | 0.553 | 0.582 | 0.589 | 0.607 |
| Shandong | 0.195 | 0.208 | 0.217 | 0.237 | 0.246 | 0.257 | 0.275 | 0.288 | 0.333 | 0.390 |
| Fujian | 0.172 | 0.185 | 0.193 | 0.211 | 0.224 | 0.245 | 0.275 | 0.286 | 0.311 | 0.337 |
| Shanghai | 0.297 | 0.311 | 0.325 | 0.346 | 0.373 | 0.391 | 0.416 | 0.440 | 0.464 | 0.509 |
| Hebei | 0.141 | 0.151 | 0.161 | 0.166 | 0.176 | 0.190 | 0.214 | 0.229 | 0.243 | 0.266 |
| Eastern | 0.252 | 0.266 | 0.274 | 0.293 | 0.307 | 0.322 | 0.353 | 0.371 | 0.405 | 0.448 |
| Jilin | 0.153 | 0.162 | 0.168 | 0.172 | 0.179 | 0.183 | 0.189 | 0.203 | 0.208 | 0.229 |
| Liaoning | 0.167 | 0.179 | 0.186 | 0.192 | 0.201 | 0.214 | 0.223 | 0.232 | 0.243 | 0.265 |
| Heilongjiang | 0.157 | 0.163 | 0.170 | 0.188 | 0.201 | 0.211 | 0.220 | 0.234 | 0.241 | 0.264 |
| Northeast | 0.159 | 0.168 | 0.175 | 0.184 | 0.194 | 0.202 | 0.211 | 0.223 | 0.231 | 0.253 |
| Guangxi | 0.123 | 0.136 | 0.143 | 0.154 | 0.164 | 0.178 | 0.189 | 0.201 | 0.210 | 0.230 |
| Chongqing | 0.170 | 0.178 | 0.185 | 0.201 | 0.217 | 0.226 | 0.239 | 0.253 | 0.255 | 0.288 |
| Shaanxi | 0.175 | 0.186 | 0.192 | 0.197 | 0.213 | 0.218 | 0.232 | 0.245 | 0.255 | 0.279 |
| Ningxia | 0.125 | 0.133 | 0.140 | 0.145 | 0.157 | 0.167 | 0.172 | 0.196 | 0.201 | 0.207 |
| Yunnan | 0.132 | 0.133 | 0.146 | 0.153 | 0.167 | 0.182 | 0.193 | 0.202 | 0.202 | 0.219 |
| Qinghai | 0.122 | 0.128 | 0.133 | 0.139 | 0.147 | 0.150 | 0.155 | 0.165 | 0.166 | 0.179 |
| Inner Mongolia | 0.131 | 0.140 | 0.149 | 0.161 | 0.169 | 0.177 | 0.182 | 0.189 | 0.187 | 0.207 |
| Guizhou | 0.121 | 0.128 | 0.125 | 0.146 | 0.150 | 0.165 | 0.177 | 0.184 | 0.200 | 0.207 |
| Gansu | 0.137 | 0.145 | 0.153 | 0.165 | 0.178 | 0.186 | 0.189 | 0.198 | 0.203 | 0.218 |
| Xinjiang | 0.133 | 0.149 | 0.154 | 0.151 | 0.160 | 0.171 | 0.187 | 0.205 | 0.202 | 0.206 |
| Sichuan | 0.155 | 0.164 | 0.174 | 0.183 | 0.203 | 0.219 | 0.241 | 0.249 | 0.269 | 0.301 |
| Western | 0.138 | 0.147 | 0.154 | 0.163 | 0.175 | 0.185 | 0.196 | 0.208 | 0.214 | 0.231 |
| Nationwide | 0.180 | 0.192 | 0.199 | 0.213 | 0.226 | 0.238 | 0.257 | 0.271 | 0.288 | 0.318 |
| Province | 2012 | 2013 | 2014 | 2015 | 2016 | 2017 | 2018 | 2019 | 2020 | 2021 |
|---|---|---|---|---|---|---|---|---|---|---|
| Hubei | 0.271 | 0.285 | 0.302 | 0.302 | 0.339 | 0.336 | 0.331 | 0.342 | 0.358 | 0.349 |
| Jiangxi | 0.356 | 0.336 | 0.344 | 0.359 | 0.362 | 0.360 | 0.340 | 0.378 | 0.361 | 0.353 |
| Shanxi | 0.269 | 0.273 | 0.276 | 0.265 | 0.272 | 0.264 | 0.272 | 0.285 | 0.280 | 0.292 |
| Anhui | 0.263 | 0.272 | 0.282 | 0.294 | 0.300 | 0.299 | 0.306 | 0.305 | 0.320 | 0.319 |
| Hunan | 0.331 | 0.331 | 0.344 | 0.354 | 0.359 | 0.350 | 0.347 | 0.377 | 0.370 | 0.355 |
| Henan | 0.239 | 0.246 | 0.257 | 0.258 | 0.260 | 0.267 | 0.279 | 0.281 | 0.285 | 0.299 |
| Central | 0.288 | 0.291 | 0.301 | 0.305 | 0.315 | 0.313 | 0.313 | 0.328 | 0.329 | 0.328 |
| Guangdong | 0.376 | 0.384 | 0.388 | 0.400 | 0.426 | 0.425 | 0.431 | 0.439 | 0.437 | 0.445 |
| Zhejiang | 0.339 | 0.332 | 0.344 | 0.354 | 0.366 | 0.355 | 0.361 | 0.377 | 0.357 | 0.373 |
| Hainan | 0.293 | 0.318 | 0.303 | 0.266 | 0.318 | 0.305 | 0.308 | 0.285 | 0.281 | 0.295 |
| Tianjin | 0.165 | 0.166 | 0.168 | 0.164 | 0.170 | 0.173 | 0.157 | 0.157 | 0.159 | 0.167 |
| Jiangsu | 0.287 | 0.297 | 0.302 | 0.308 | 0.325 | 0.326 | 0.324 | 0.325 | 0.319 | 0.322 |
| Beijing | 0.234 | 0.237 | 0.256 | 0.248 | 0.263 | 0.272 | 0.252 | 0.249 | 0.248 | 0.250 |
| Shandong | 0.301 | 0.300 | 0.309 | 0.315 | 0.348 | 0.359 | 0.365 | 0.377 | 0.348 | 0.354 |
| Fujian | 0.379 | 0.380 | 0.365 | 0.366 | 0.412 | 0.371 | 0.364 | 0.390 | 0.350 | 0.358 |
| Shanghai | 0.176 | 0.183 | 0.192 | 0.193 | 0.195 | 0.197 | 0.182 | 0.185 | 0.186 | 0.188 |
| Hebei | 0.302 | 0.310 | 0.312 | 0.331 | 0.312 | 0.315 | 0.326 | 0.324 | 0.334 | 0.359 |
| Eastern | 0.285 | 0.291 | 0.294 | 0.294 | 0.313 | 0.310 | 0.307 | 0.311 | 0.302 | 0.311 |
| Jilin | 0.241 | 0.265 | 0.255 | 0.265 | 0.275 | 0.271 | 0.292 | 0.297 | 0.304 | 0.298 |
| Liaoning | 0.326 | 0.335 | 0.324 | 0.326 | 0.328 | 0.338 | 0.348 | 0.343 | 0.360 | 0.375 |
| Heilongjiang | 0.304 | 0.364 | 0.355 | 0.361 | 0.382 | 0.365 | 0.395 | 0.419 | 0.418 | 0.409 |
| Northeast | 0.290 | 0.321 | 0.311 | 0.317 | 0.328 | 0.324 | 0.345 | 0.353 | 0.361 | 0.361 |
| Guangxi | 0.375 | 0.380 | 0.385 | 0.395 | 0.395 | 0.403 | 0.390 | 0.398 | 0.395 | 0.375 |
| Chongqing | 0.230 | 0.240 | 0.254 | 0.243 | 0.248 | 0.253 | 0.244 | 0.244 | 0.260 | 0.262 |
| Shaanxi | 0.274 | 0.293 | 0.301 | 0.307 | 0.318 | 0.309 | 0.307 | 0.321 | 0.324 | 0.342 |
| Ningxia | 0.142 | 0.159 | 0.165 | 0.161 | 0.165 | 0.169 | 0.167 | 0.168 | 0.170 | 0.170 |
| Yunnan | 0.343 | 0.353 | 0.357 | 0.361 | 0.379 | 0.375 | 0.386 | 0.380 | 0.381 | 0.377 |
| Qinghai | 0.414 | 0.339 | 0.382 | 0.324 | 0.357 | 0.396 | 0.433 | 0.426 | 0.446 | 0.406 |
| Inner Mongolia | 0.285 | 0.318 | 0.324 | 0.320 | 0.306 | 0.293 | 0.301 | 0.316 | 0.326 | 0.361 |
| Guizhou | 0.249 | 0.242 | 0.275 | 0.275 | 0.282 | 0.286 | 0.296 | 0.307 | 0.315 | 0.310 |
| Gansu | 0.182 | 0.187 | 0.187 | 0.183 | 0.186 | 0.203 | 0.211 | 0.219 | 0.227 | 0.214 |
| Xinjiang | 0.221 | 0.233 | 0.220 | 0.233 | 0.259 | 0.259 | 0.246 | 0.239 | 0.233 | 0.228 |
| Sichuan | 0.343 | 0.345 | 0.360 | 0.350 | 0.356 | 0.369 | 0.386 | 0.391 | 0.390 | 0.388 |
| Western | 0.278 | 0.281 | 0.292 | 0.287 | 0.296 | 0.301 | 0.306 | 0.310 | 0.315 | 0.312 |
| Nationwide | 0.284 | 0.290 | 0.296 | 0.296 | 0.309 | 0.309 | 0.312 | 0.318 | 0.318 | 0.320 |
References
- Wu, H.; Li, Y.; Hao, Y.; Ren, S.; Zhang, P. Environmental decentralization, local government competition, and regional green development: Evidence from China. Sci. Total Environ. 2020, 708, 135085. [Google Scholar] [CrossRef] [PubMed]
- Ahmed, Z.; Asghar, M.M.; Malik, M.N.; Nawaz, K. Moving towards a sustainable environment: The dynamic linkage between natural resources, human capital, urbanization, economic growth, and ecological footprint in China. Resour. Policy 2020, 67, 11. [Google Scholar] [CrossRef]
- Zhang, J.; Zhang, K.; Zhao, F. Spatial effects of economic growth, energy consumption and environmental pollution in the provinces of China-An empirical study of a spatial econometrics model. Sustain. Dev. 2020, 28, 868–879. [Google Scholar] [CrossRef]
- Trippl, M.; Fastenrath, S.; Isaksen, A. Rethinking regional economic resilience: Preconditions and processes shaping transformative resilience. Eur. Urban Reg. Stud. 2024, 31, 101–115. [Google Scholar] [CrossRef]
- Tian, Z.; Li, Y.; Niu, X.; Liu, M. The impact of digital economy on regional technological innovation capability: An analysis based on China’s provincial panel data. PLoS ONE 2023, 18, e0288065. [Google Scholar] [CrossRef] [PubMed]
- Xu, S.; Wang, X.; Zhu, R.; Wang, D. Spatio-temporal effects of regional resilience construction on carbon emissions: Evidence from 30 Chinese provinces. Sci. Total Environ. 2023, 887, 164109. [Google Scholar] [CrossRef] [PubMed]
- Lei, Y.; Liang, Z.; Ruan, P. Evaluation on the impact of digital transformation on the economic resilience of the energy industry in the context of artificial intelligence. Energy Rep. 2023, 9, 785–792. [Google Scholar] [CrossRef]
- Xue, C.; Shahbaz, M.; Ahmed, Z.; Ahmad, M.; Sinha, A. Clean energy consumption, economic growth, and environmental sustainability: What is the role of economic policy uncertainty? Renew. Energy 2022, 184, 899–907. [Google Scholar] [CrossRef]
- Liu, L.; Meng, Y.; Wu, D.; Ran, Q.; Cao, J.; Liu, Z. Impact of haze pollution and human capital on economic resilience: Evidence from prefecture-level cities in China. Environ. Dev. Sustain. 2023, 25, 13429–13449. [Google Scholar] [CrossRef]
- Yury, B.; Zhang, Z.; Ding, Y.; Zheng, Z.; Wu, B.; Gao, P.; Jia, J.; Lin, N.; Feng, Y. Distribution, inhalation and health risk of PM2. 5 related PAHs in indoor environments. Ecotoxicol. Environ. Saf. 2018, 164, 409–415. [Google Scholar] [CrossRef]
- Jan, R.; Roy, R.; Yadav, S.; Satsangi, P.G. Exposure assessment of children to particulate matter and gaseous species in school environments of Pune, India. Build. Environ. 2017, 111, 207–217. [Google Scholar] [CrossRef]
- Zou, Y. Urban resilience, digital technologies, and the economic recovery of a city from the pandemic. Public Adm. Rev. 2024, 84, 637–650. [Google Scholar] [CrossRef]
- Jiang, D.; Wang, X.; Zhao, R. Analysis on the economic recovery in the post-COVID-19 era: Evidence from China. Front. Public Health 2022, 9, 787190. [Google Scholar] [CrossRef]
- He, D.; Miao, P.; Qureshi, N.A. Can industrial diversification help strengthen regional economic resilience? Front. Environ. Sci. 2022, 10, 987396. [Google Scholar] [CrossRef]
- Wang, S.; Scorsone, E. Economic resilience after the Great Recession: An examination of unreserved fund balance in Michigan counties. Local Gov. Stud. 2020, 46, 716–733. [Google Scholar] [CrossRef]
- Hu, X.; Li, L.; Dong, K. What matters for regional economic resilience amid COVID-19? Evidence from cities in Northeast China. Cities 2022, 120, 103440. [Google Scholar] [CrossRef]
- Martin, R.L. Shocking Aspects of Regional Development: Towards an Economic Geography of Resilience; Oxford University Press (OUP): Oxford, UK, 2018. [Google Scholar]
- Sutton, J.; Arcidiacono, A.; Torrisi, G.; Arku, R.N. Regional economic resilience: A scoping review. Prog. Hum. Geogr. 2023, 47, 500–532. [Google Scholar] [CrossRef]
- Zheng, Z.; Zhu, Y.; Pei, Y.; Wang, L. Spatial–temporal heterogeneity and influencing factors of the coupling between industrial agglomeration and regional economic resilience in China. Environ. Dev. Sustain. 2023, 25, 12735–12759. [Google Scholar] [CrossRef]
- Giannakis, E.; Bruggeman, A. Regional disparities in economic resilience in the European Union across the urban–rural divide. Reg. Stud. 2020, 54, 1200–1213. [Google Scholar] [CrossRef]
- Ma, S.; Huang, J. Analysis of the spatio-temporal coupling coordination mechanism supporting economic resilience and high-quality economic development in the urban agglomeration in the middle reaches of the Yangtze River. PLoS ONE 2023, 18, e0281643. [Google Scholar] [CrossRef] [PubMed]
- Zhang, Y.; Chen, Z.; Tang, B.; Sun, H. Analysis of spatio-temporal characteristics of urban economic resilience and influencing factors in Guangdong-Hong Kong-Macao Greater Bay Area. Front. Public Health 2022, 10, 922096. [Google Scholar] [CrossRef] [PubMed]
- Huang, J.; Li, Q.; Du, M.; Chen, X. Spatial and temporal variation of economic resilience and its drivers: Evidence from Chinese cities. Front. Environ. Sci. 2023, 11, 1109857. [Google Scholar] [CrossRef]
- Li, L.; Zhang, P.; Lo, K.; Liu, W.; Li, J. The evolution of regional economic resilience in the old industrial bases in China: A case study of Liaoning Province, China. Chin. Geogr. Sci. 2020, 30, 340–351. [Google Scholar] [CrossRef]
- Li, Q.; Guan, H.; Feng, Z.; Long, W. Regional Economic Resilience in the Central-Cities and Outer-Suburbs of Northeast China. Sustainability 2022, 14, 2844. [Google Scholar] [CrossRef]
- Cheng, T.; Zhao, Y.; Zhao, C. Exploring the spatio-temporal evolution of economic resilience in Chinese cities during the COVID-19 crisis. Sustain. Cities Soc. 2022, 84, 103997. [Google Scholar] [CrossRef]
- Zhou, X.; Zhang, Y.; Wang, W.; Sun, Y. Spatial-temporal variation of economic resilience and its influencing factors under COVID-19: Evidence from Henan province, China. Int. J. Disaster Risk Reduct. 2024, 105, 104357. [Google Scholar] [CrossRef]
- Cai, X.; Xu, Y. Spatiotemporal Evolution and Influencing Factors of Tourism Economic Resilience under the Impact of COVID-19—A Case Study of Coastal Cities in China. Sustainability 2023, 15, 16668. [Google Scholar] [CrossRef]
- Martin, R.; Sunley, P.; Gardiner, B.; Tyler, P. How regions react to recessions: Resilience and the role of economic structure. Reg. Stud. 2016, 50, 561–585. [Google Scholar] [CrossRef]
- Zhang, M.; Wu, Q.; Li, W.; Sun, D.; Huang, F. Intensifier of urban economic resilience: Specialized or diversified agglomeration? PLoS ONE 2021, 16, e0260214. [Google Scholar] [CrossRef] [PubMed]
- Du, Y.; Wang, Q.; Zhou, J. How does digital inclusive finance affect economic resilience: Evidence from 285 cities in China. Int. Rev. Financ. Anal. 2023, 88, 102709. [Google Scholar] [CrossRef]
- Tóth, G.; Elekes, Z.; Whittle, A.; Lee, C.; Kogler, D.F. Technology network structure conditions the economic resilience of regions. Econ. Geogr. 2022, 98, 355–378. [Google Scholar] [CrossRef]
- Tian, Y.; Guo, L. Digital development and the improvement of urban economic resilience: Evidence from China. Heliyon 2023, 9, e21087. [Google Scholar] [CrossRef]
- Petach, L.; Weiler, S.; Conroy, T. It’s a wonderful loan: Local financial composition, community banks, and economic resilience. J. Bank. Financ. 2021, 126, 106077. [Google Scholar] [CrossRef]
- Pomeroy, R.; Arango, C.; Lomboy, C.G.; Box, S. Financial inclusion to build economic resilience in small-scale fisheries. Mar. Policy 2020, 118, 103982. [Google Scholar] [CrossRef]
- Yu, Z.; Li, Y.; Dai, L. Digital finance and regional economic resilience: Theoretical framework and empirical test. Financ. Res. Lett. 2023, 55, 103920. [Google Scholar] [CrossRef]
- Sun, Y.; Wang, Y.; Zhou, X.; Chen, W. Are shrinking populations stifling urban resilience? Evidence from 111 resource-based cities in China. Cities 2023, 141, 104458. [Google Scholar] [CrossRef]
- Zhou, Q.; Qi, Z. Urban economic resilience and human capital: An exploration of heterogeneity and mechanism in the context of spatial population mobility. Sustain. Cities Soc. 2023, 99, 104983. [Google Scholar] [CrossRef]
- Cui, Z.; Li, E.; Li, Y.; Deng, Q.; Shahtahmassebi, A. The impact of poverty alleviation policies on rural economic resilience in impoverished areas: A case study of Lankao County, China. J. Rural. Stud. 2023, 99, 92–106. [Google Scholar] [CrossRef]
- Lu, Z.; Shao, C.; Wang, F.; Dong, R. Evaluation of Green and Low-Carbon Development Level of Chinese Provinces Based on Sustainable Development Goals. Sustainability 2023, 15, 15449. [Google Scholar] [CrossRef]
- Quan, T.; Quan, T. A study of the spatial mechanism of financial agglomeration affecting green low-carbon development: Evidence from China. Sustainability 2023, 15, 965. [Google Scholar] [CrossRef]
- Cai, X.; Wang, W.; Rao, A.; Rahim, S.; Zhao, X. Regional sustainable development and spatial effects from the perspective of renewable energy. Front. Environ. Sci. 2022, 10, 859523. [Google Scholar] [CrossRef]
- Wang, Y.; Chen, H.; Long, R.; Liu, B.; Jiang, S.; Yang, X.; Yang, M. Evaluating green development level of mineral resource-listed companies: Based on a “dark green” assessment framework. Resour. Policy 2021, 71, 102012. [Google Scholar] [CrossRef]
- Hu, J.; Zhang, H.; Irfan, M. How does digital infrastructure construction affect low-carbon development? A multidimensional interpretation of evidence from China. J. Clean. Prod. 2023, 396, 136467. [Google Scholar] [CrossRef]
- Zhang, J.; Lyu, Y.; Li, Y.; Geng, Y. Digital economy: An innovation driving factor for low-carbon development. Environ. Impact Assess. Rev. 2022, 96, 106821. [Google Scholar] [CrossRef]
- Lin, B.; Li, Z. Towards world’s low carbon development: The role of clean energy. Appl. Energy 2022, 307, 118160. [Google Scholar] [CrossRef]
- Lan, G.; Xiao, Y.; Ci, X.; Zhang, Y.; Xia, J. Spatial and temporal differentiation characteristics of green development levels in urban agglomerations within the Yangtze River economic Belt and analysis of influencing factors. Ecol. Indic. 2024, 166, 112552. [Google Scholar] [CrossRef]
- Wang, Y.; Fang, X.; Yin, S.; Chen, W. Low-carbon development quality of cities in China: Evaluation and obstacle analysis. Sustain. Cities Soc. 2021, 64, 102553. [Google Scholar] [CrossRef]
- Ma, D.; Zhu, Q. Innovation in emerging economies: Research on the digital economy driving high-quality green development. J. Bus. Res. 2022, 145, 801–813. [Google Scholar] [CrossRef]
- Tan, L.; Yang, Z.; Irfan, M.; Ding, C.J.; Hu, M.; Hu, J. Toward low-carbon sustainable development: Exploring the impact of digital economy development and industrial restructuring. Bus. Strategy Environ. 2024, 33, 2159–2172. [Google Scholar] [CrossRef]
- Qiu, S.; Wang, Z.; Liu, S. The policy outcomes of low-carbon city construction on urban green development: Evidence from a quasi-natural experiment conducted in China. Sustain. Cities Soc. 2021, 66, 102699. [Google Scholar] [CrossRef]
- Cheng, Z.; Wang, L.; Zhang, Y. Does smart city policy promote urban green and low-carbon development? J. Clean. Prod. 2022, 379, 134780. [Google Scholar] [CrossRef]
- Zhu, B.; Zhang, M.; Zhou, Y.; Wang, P.; Sheng, J.; He, K.; Wei, Y.-M.; Xie, R. Exploring the effect of industrial structure adjustment on interprovincial green development efficiency in China: A novel integrated approach. Energy Policy 2019, 134, 110946. [Google Scholar] [CrossRef]
- Guo, Y.; Tong, L.; Mei, L. The effect of industrial agglomeration on green development efficiency in Northeast China since the revitalization. J. Clean. Prod. 2020, 258, 120584. [Google Scholar] [CrossRef]
- Zhang, W.; Xu, Y.; Streets, D.G.; Wang, C. Can new-type urbanization realize low-carbon development? A spatiotemporal heterogeneous analysis in 288 cities and 18 urban agglomerations in China. J. Clean. Prod. 2023, 420, 138426. [Google Scholar] [CrossRef]
- Wang, W.-Z.; Liu, L.-C.; Liao, H.; Wei, Y.-M. Impacts of urbanization on carbon emissions: An empirical analysis from OECD countries. Energy Policy 2021, 151, 112171. [Google Scholar] [CrossRef]
- Wang, X.; Qin, C.; Liu, Y.; Tanasescu, C.; Bao, J. Emerging enablers of green low-carbon development: Do digital economy and open innovation matter? Energy Econ. 2023, 127, 107065. [Google Scholar] [CrossRef]
- Zhao, X.; Mahendru, M.; Ma, X.; Rao, A.; Shang, Y. Impacts of environmental regulations on green economic growth in China: New guidelines regarding renewable energy and energy efficiency. Renew. Energy 2022, 187, 728–742. [Google Scholar] [CrossRef]
- Hao, L.-N.; Umar, M.; Khan, Z.; Ali, W. Green growth and low carbon emission in G7 countries: How critical the network of environmental taxes, renewable energy and human capital is? Sci. Total Environ. 2021, 752, 141853. [Google Scholar] [CrossRef]
- Chen, L.; Bai, X.; Chen, B.; Wang, J. Incentives for green and low-carbon technological innovation of enterprises under environmental regulation: From the perspective of evolutionary game. Front. Energy Res. 2022, 9, 793667. [Google Scholar] [CrossRef]
- Liu, X.-m.; Zhang, Y.-q. Study on the impact of intelligent city pilot on green and low-carbon development. Environ. Sci. Pollut. Res. 2023, 30, 57882–57897. [Google Scholar] [CrossRef]
- Liu, H.; Lei, H.; Zhou, Y. How does green trade affect the environment? Evidence from China. J. Econ. Anal. 2022, 1, 1–19. [Google Scholar] [CrossRef]
- Zheng, J.; Shao, X.; Liu, W.; Kong, J.; Zuo, G. The impact of the pilot program on industrial structure upgrading in low-carbon cities. J. Clean. Prod. 2021, 290, 125868. [Google Scholar] [CrossRef]
- Obobisa, E.S.; Chen, H.; Mensah, I.A. Transitions to sustainable development: The role of green innovation and institutional quality. Environ. Dev. Sustain. 2023, 25, 6751–6780. [Google Scholar] [CrossRef]
- Yan, L.; Fan, S.; Mengyu, L. Innovative talent agglomeration, spatial spillover effects and regional innovation performance—Analyzing the threshold effect of government support. PLoS ONE 2024, 19, e0311672. [Google Scholar] [CrossRef]
- Zhuo, W. Environmental regulation and corporate sustainability: Evidence from green innovation. Corp. Soc. Responsib. Environ. Manag. 2023, 30, 1723–1737. [Google Scholar] [CrossRef]
- Zhu, Y.; Zhang, J.; Duan, C. How does green finance affect the low-carbon economy? Capital allocation, green technology innovation and industry structure perspectives. Econ. Res.-Ekon. Istraživanja 2023, 36, 2110138. [Google Scholar] [CrossRef]
- Magacho, G.; Espagne, E.; Godin, A.; Mantes, A.; Yilmaz, D. Macroeconomic exposure of developing economies to low-carbon transition. World Dev. 2023, 167, 106231. [Google Scholar] [CrossRef]
- Ran, L.; Wang, K.; Sun, J.; Qu, Y. Can digital technology remove impediments in the dual circulation?—An enterprise cycle efficiency perspective. Manag. Decis. Econ. 2024, 45, 1594–1610. [Google Scholar] [CrossRef]
- Lin, Y.; Peng, C.; Chen, P.; Zhang, M. Conflict or synergy? Analysis of economic-social-infrastructure-ecological resilience and their coupling coordination in the Yangtze River economic Belt, China. Ecol. Indic. 2022, 142, 109194. [Google Scholar] [CrossRef]
- Gu, J.; Liu, Z. A study of the coupling between the digital economy and regional economic resilience: Evidence from China. PLoS ONE 2024, 19, e0296890. [Google Scholar] [CrossRef] [PubMed]
- Yuan, K.; Hu, B.; Niu, T.; Zhu, B.; Zhang, L.; Guan, Y. Competitiveness Evaluation and Obstacle Factor Analysis of Urban Green and Low-Carbon Development in Beijing-Tianjin-Hebei Cities. Math. Probl. Eng. 2022, 2022, 5230314. [Google Scholar] [CrossRef]
- Song, Q.; Zhou, N.; Liu, T.; Siehr, S.A.; Qi, Y. Investigation of a “coupling model” of coordination between low-carbon development and urbanization in China. Energy Policy 2018, 121, 346–354. [Google Scholar] [CrossRef]
- Zou, C.; Zhu, J.; Lou, K.; Yang, L. Coupling coordination and spatiotemporal heterogeneity between urbanization and ecological environment in Shaanxi Province, China. Ecol. Indic. 2022, 141, 109152. [Google Scholar] [CrossRef]
- Yi, Z.; Li, L.; Dou, Y. Spatio-temporal evolution of coupling coordination between new infrastructure and regional sustainability in China. Environ. Sci. Pollut. Res. 2023, 30, 91818–91838. [Google Scholar] [CrossRef]
- Xu, Y.; Zhao, G. System Coupling and Coordinating Evaluation of Green Low-carbon Development in Coal Enterprises. Res. Sq. 2021. January preprint (version1). [Google Scholar] [CrossRef]
- Chen, X.; Meng, Q.; Wang, K.; Liu, Y.; Shen, W. Spatial patterns and evolution trend of coupling coordination of pollution reduction and carbon reduction along the Yellow River Basin, China. Ecol. Indic. 2023, 154, 110797. [Google Scholar] [CrossRef]
- Chengjing, N.; Yixuan, L.; Linsheng, Y.; Li, W.; Fengying, Z. Spatio-temporal characteristics and coupling coordination relationship between urbanization and atmospheric particulate pollutants in the Bohai Rim in China. Ecol. Indic. 2023, 153, 110387. [Google Scholar] [CrossRef]
- Dong, Z.; Zhang, Z.; Zhang, F. Coupling coordination development of energy-economy-carbon emissions in China under the background of “double carbon”. PLoS ONE 2022, 17, e0277828. [Google Scholar] [CrossRef]
- Gao, D. Study on the coupling coordination and obstacle factors between high-quality agricultural development and ecological construction in China. Environ. Res. Commun. 2023, 5, 075004. [Google Scholar] [CrossRef]






| Target Level | Standardized Layer | Indicator Layer | Specific Indicators | Nature of the Indicator |
|---|---|---|---|---|
| Economy Resilience | Resistance | Level of economic development a1 | GDP per capita | + |
| Unemployment level a2 | Unemployment rate | − | ||
| Rural–urban income gap a3 | Income of urban residents/income of rural residents | − | ||
| Rational industrial structure a4 | Value added of tertiary sector as a share of GDP | + | ||
| Resilience | Consumption capacity a5 | Total retail sales of consumer goods/GDP | + | |
| Wealth of the population a6 | Per capita disposable income | + | ||
| Population growth a7 | Population at end of year/beginning of year -1 | + | ||
| Road density a8 | Miles of urban roads/area of administrative district | + | ||
| GDP growth rate a9 | (Current GDPPrevious GDP)/Previous GDP | + | ||
| Innovation and Transformation | Advanced industrialization a10 | Value added of tertiary industry/value added of secondary industry | + | |
| R&D funding intensity a11 | Internal expenditure on R&D funds/GDP | + | ||
| Scale of education a12 | Average number of students enrolled in higher education per 100,000 population | + | ||
| Innovative capacity a13 | Number of patents granted | + |
| Target Level | Standardized Layer | Indicator Layer | Specific Indicators | Nature of the Indicator |
|---|---|---|---|---|
| Green and Low-carbon Development | Green Development | Comprehensive utilization of general industrial solid waste b1 | Comprehensive utilization of general industrial solid waste | + |
| Average daily sewage treatment capacity b2 | Sewage treatment capacity/365 | + | ||
| Non-hazardous domestic waste disposal rate b3 | Amount of non-hazardous domestic waste treated/Amount of domestic waste generated | + | ||
| Greening coverage of built-up areas b4 | Area covered by greening in built-up areas/Area of built-up areas | + | ||
| Number of state-level nature reserves b5 | Amount of state-level nature reserves | + | ||
| Water resources per capita b6 | Total water resources/Number of inhabitants | + | ||
| Low-carbon Development | Energy consumption per 10,000 GDP b7 | Total energy consumption/GDP | − | |
| Carbon emissions per capita b8 | Carbon emissions/Number of inhabitants | − | ||
| Public transportation vehicles per 10,000 population b9 | Public transportation vehicles per 10,000 population | + | ||
| Private vehicle ownership b10 | Private vehicle ownership | − | ||
| Agricultural fertilizer application b11 | Agricultural fertilizer application rates | − | ||
| Carbon capture capacity b12 | Probability of forest cover | + |
| Coupling Coordination Degree D-Value Interval | Level of Coordination | Evaluation Criteria | Coupling Coordination Degree D-Value Interval | Level of Coordination | Evaluation Criteria |
|---|---|---|---|---|---|
| [0,0.1) | 1 | Extreme disorder | [0.5,0.6) | 6 | Sue for harmonization. |
| [0.1,0.2) | 2 | Severe disorder | [0.6,0.7) | 7 | Primary coordination |
| [0.2,0.3) | 3 | Moderate disorder | [0.7,0.8) | 8 | Intermediate level coordination |
| [0.3,0.4) | 4 | Mild disorder | [0.8,0.9) | 9 | Good coordination |
| [0.4,0.5) | 5 | Endangerment disorder | [0.9,1] | 10 | Quality coordination |
| Provinces | 2012 | 2013 | 2014 | 2015 | 2016 | 2017 | 2018 | 2019 | 2020 | 2021 |
|---|---|---|---|---|---|---|---|---|---|---|
| Hubei | 0.467 | 0.486 | 0.498 | 0.505 | 0.526 | 0.533 | 0.542 | 0.554 | 0.564 | 0.584 |
| Jiangxi | 0.474 | 0.474 | 0.485 | 0.501 | 0.514 | 0.523 | 0.530 | 0.550 | 0.553 | 0.565 |
| Shanxi | 0.428 | 0.443 | 0.453 | 0.461 | 0.470 | 0.471 | 0.477 | 0.489 | 0.491 | 0.508 |
| Anhui | 0.447 | 0.462 | 0.472 | 0.492 | 0.503 | 0.509 | 0.524 | 0.529 | 0.547 | 0.563 |
| Hunan | 0.474 | 0.481 | 0.493 | 0.505 | 0.516 | 0.521 | 0.531 | 0.553 | 0.560 | 0.572 |
| Henan | 0.428 | 0.440 | 0.453 | 0.463 | 0.472 | 0.483 | 0.503 | 0.510 | 0.521 | 0.541 |
| Central | 0.453 | 0.464 | 0.476 | 0.488 | 0.500 | 0.507 | 0.518 | 0.531 | 0.539 | 0.555 |
| Guangdong | 0.554 | 0.567 | 0.575 | 0.597 | 0.615 | 0.633 | 0.663 | 0.679 | 0.704 | 0.731 |
| Zhejiang | 0.551 | 0.557 | 0.563 | 0.582 | 0.589 | 0.590 | 0.609 | 0.622 | 0.632 | 0.656 |
| Hainan | 0.471 | 0.491 | 0.489 | 0.475 | 0.505 | 0.506 | 0.520 | 0.516 | 0.519 | 0.540 |
| Tianjin | 0.463 | 0.471 | 0.475 | 0.474 | 0.485 | 0.486 | 0.478 | 0.481 | 0.485 | 0.502 |
| Jiangsu | 0.545 | 0.551 | 0.551 | 0.567 | 0.578 | 0.583 | 0.598 | 0.604 | 0.629 | 0.655 |
| Beijing | 0.566 | 0.573 | 0.588 | 0.592 | 0.605 | 0.615 | 0.611 | 0.617 | 0.618 | 0.624 |
| Shandong | 0.493 | 0.500 | 0.509 | 0.523 | 0.541 | 0.551 | 0.563 | 0.574 | 0.583 | 0.610 |
| Fujian | 0.506 | 0.515 | 0.515 | 0.527 | 0.551 | 0.549 | 0.562 | 0.578 | 0.575 | 0.589 |
| Shanghai | 0.478 | 0.488 | 0.500 | 0.509 | 0.519 | 0.527 | 0.525 | 0.534 | 0.542 | 0.556 |
| Hebei | 0.455 | 0.466 | 0.473 | 0.484 | 0.484 | 0.495 | 0.514 | 0.521 | 0.533 | 0.556 |
| Eastern | 0.508 | 0.518 | 0.524 | 0.533 | 0.547 | 0.553 | 0.564 | 0.573 | 0.582 | 0.602 |
| Jilin | 0.438 | 0.455 | 0.455 | 0.462 | 0.471 | 0.472 | 0.485 | 0.496 | 0.502 | 0.511 |
| Liaoning | 0.483 | 0.495 | 0.495 | 0.500 | 0.507 | 0.518 | 0.528 | 0.531 | 0.544 | 0.562 |
| Heilongjiang | 0.468 | 0.494 | 0.495 | 0.510 | 0.526 | 0.527 | 0.543 | 0.560 | 0.563 | 0.573 |
| Northeast | 0.463 | 0.481 | 0.482 | 0.491 | 0.501 | 0.506 | 0.518 | 0.529 | 0.536 | 0.549 |
| Guangxi | 0.463 | 0.476 | 0.485 | 0.497 | 0.504 | 0.517 | 0.521 | 0.531 | 0.537 | 0.542 |
| Chongqing | 0.445 | 0.455 | 0.466 | 0.470 | 0.481 | 0.489 | 0.492 | 0.499 | 0.507 | 0.524 |
| Shaanxi | 0.468 | 0.483 | 0.491 | 0.496 | 0.510 | 0.509 | 0.516 | 0.530 | 0.536 | 0.556 |
| Ningxia | 0.365 | 0.381 | 0.390 | 0.391 | 0.401 | 0.410 | 0.412 | 0.426 | 0.430 | 0.433 |
| Yunnan | 0.461 | 0.466 | 0.478 | 0.485 | 0.501 | 0.511 | 0.523 | 0.527 | 0.527 | 0.536 |
| Qinghai | 0.474 | 0.457 | 0.475 | 0.461 | 0.479 | 0.494 | 0.509 | 0.515 | 0.522 | 0.519 |
| Inner Mongolia | 0.440 | 0.459 | 0.469 | 0.476 | 0.477 | 0.477 | 0.484 | 0.494 | 0.497 | 0.523 |
| Guizhou | 0.417 | 0.420 | 0.430 | 0.448 | 0.454 | 0.466 | 0.479 | 0.488 | 0.501 | 0.504 |
| Gansu | 0.398 | 0.406 | 0.411 | 0.417 | 0.427 | 0.441 | 0.447 | 0.456 | 0.463 | 0.465 |
| Xinjiang | 0.413 | 0.432 | 0.429 | 0.433 | 0.451 | 0.459 | 0.463 | 0.471 | 0.466 | 0.466 |
| Sichuan | 0.480 | 0.488 | 0.500 | 0.503 | 0.519 | 0.533 | 0.552 | 0.559 | 0.569 | 0.585 |
| Western | 0.438 | 0.447 | 0.457 | 0.462 | 0.473 | 0.482 | 0.491 | 0.499 | 0.505 | 0.514 |
| Nationwide | 0.467 | 0.478 | 0.485 | 0.494 | 0.506 | 0.513 | 0.523 | 0.533 | 0.541 | 0.555 |
| Year | 2012 | 2013 | 2014 | 2015 | 2016 | 2017 | 2018 | 2019 | 2020 | 2021 |
|---|---|---|---|---|---|---|---|---|---|---|
| Moran’s I | 0.233 | 0.216 | 0.192 | 0.245 | 0.257 | 0.241 | 0.228 | 0.232 | 0.226 | 0.227 |
| p-value | 0.015 | 0.023 | 0.039 | 0.011 | 0.008 | 0.012 | 0.016 | 0.014 | 0.016 | 0.016 |
| Year | Overall | Gini Coefficient Within Group | |||
|---|---|---|---|---|---|
| Eastern | Central | Western | Northwest | ||
| 2012 | 0.052 | 0.044 | 0.024 | 0.044 | 0.022 |
| 2013 | 0.049 | 0.042 | 0.021 | 0.04 | 0.018 |
| 2014 | 0.048 | 0.043 | 0.021 | 0.041 | 0.019 |
| 2015 | 0.051 | 0.048 | 0.02 | 0.042 | 0.022 |
| 2016 | 0.052 | 0.048 | 0.023 | 0.041 | 0.024 |
| 2017 | 0.051 | 0.05 | 0.024 | 0.041 | 0.024 |
| 2018 | 0.053 | 0.053 | 0.022 | 0.043 | 0.025 |
| 2019 | 0.053 | 0.056 | 0.025 | 0.041 | 0.027 |
| 2020 | 0.055 | 0.06 | 0.025 | 0.042 | 0.025 |
| 2021 | 0.058 | 0.06 | 0.024 | 0.046 | 0.025 |
| Year | Inter-Group Gini Coefficient | |||||
|---|---|---|---|---|---|---|
| East –Central | East –West | East –Northeast | Central –West | Central –Northeast | West –Northeast | |
| 2012 | 0.049 | 0.060 | 0.046 | 0.038 | 0.024 | 0.041 |
| 2013 | 0.046 | 0.058 | 0.042 | 0.035 | 0.024 | 0.040 |
| 2014 | 0.044 | 0.057 | 0.044 | 0.036 | 0.021 | 0.039 |
| 2015 | 0.047 | 0.060 | 0.048 | 0.037 | 0.021 | 0.040 |
| 2016 | 0.048 | 0.060 | 0.049 | 0.038 | 0.024 | 0.040 |
| 2017 | 0.048 | 0.059 | 0.051 | 0.037 | 0.025 | 0.039 |
| 2018 | 0.050 | 0.062 | 0.053 | 0.039 | 0.024 | 0.042 |
| 2019 | 0.052 | 0.062 | 0.055 | 0.039 | 0.026 | 0.040 |
| 2020 | 0.054 | 0.065 | 0.057 | 0.041 | 0.026 | 0.042 |
| 2021 | 0.053 | 0.069 | 0.058 | 0.044 | 0.025 | 0.045 |
| Year | Contribution/% | ||
|---|---|---|---|
| Within a Group | Intergroup | Hypervariable Density | |
| 2012 | 23.241 | 65.719 | 11.04 |
| 2013 | 22.5 | 68.567 | 8.932 |
| 2014 | 23.703 | 65.423 | 10.874 |
| 2015 | 23.757 | 64.628 | 11.615 |
| 2016 | 23.487 | 64.249 | 12.264 |
| 2017 | 24.188 | 61.46 | 14.352 |
| 2018 | 24.539 | 60.26 | 15.201 |
| 2019 | 24.622 | 58.438 | 16.94 |
| 2020 | 24.699 | 58.739 | 16.562 |
| 2021 | 24.197 | 62.198 | 13.605 |
| Spatial Lag | t/t + 1 | N | 1 | 2 | 3 | 4 |
|---|---|---|---|---|---|---|
| No Lag | 1 | 72 | 0.764 | 0.236 | 0.000 | 0.000 |
| 2 | 74 | 0.027 | 0.689 | 0.284 | 0.000 | |
| 3 | 65 | 0.000 | 0.000 | 0.815 | 0.185 | |
| 4 | 59 | 0.000 | 0.000 | 0.000 | 1.000 | |
| 1 | 1 | 34 | 0.794 | 0.206 | 0.000 | 0.000 |
| 2 | 19 | 0.105 | 0.737 | 0.158 | 0.000 | |
| 3 | 3 | 0.000 | 0.000 | 1.000 | 0.000 | |
| 4 | 2 | 0.000 | 0.000 | 0.000 | 1.000 | |
| 2 | 1 | 29 | 0.862 | 0.138 | 0.000 | 0.000 |
| 2 | 17 | 0.000 | 0.647 | 0.353 | 0.000 | |
| 3 | 18 | 0.000 | 0.000 | 0.889 | 0.111 | |
| 4 | 19 | 0.000 | 0.000 | 0.000 | 1.000 | |
| 3 | 1 | 8 | 0.375 | 0.625 | 0.000 | 0.000 |
| 2 | 27 | 0.000 | 0.630 | 0.370 | 0.000 | |
| 3 | 22 | 0.000 | 0.000 | 0.727 | 0.273 | |
| 4 | 18 | 0.000 | 0.000 | 0.000 | 1.000 | |
| 4 | 1 | 1 | 0.000 | 1.000 | 0.000 | 0.000 |
| 2 | 11 | 0.000 | 0.818 | 0.182 | 0.000 | |
| 3 | 22 | 0.000 | 0.000 | 0.818 | 0.182 | |
| 4 | 20 | 0.000 | 0.000 | 0.000 | 1.000 |
| Year | a1 | a2 | a3 | a4 | a5 | a6 | a7 | a8 | a9 | a10 | a11 | a12 | a13 |
|---|---|---|---|---|---|---|---|---|---|---|---|---|---|
| 2012 | 0.0951 | 0.0307 | 0.0156 | 0.0581 | 0.0125 | 0.1001 | 0.0062 | 0.0523 | 0.0115 | 0.1295 | 0.1162 | 0.0388 | 0.3334 |
| 2015 | 0.0926 | 0.0312 | 0.0136 | 0.0529 | 0.0096 | 0.0948 | 0.0080 | 0.0538 | 0.0159 | 0.1271 | 0.1186 | 0.0389 | 0.3429 |
| 2018 | 0.0867 | 0.0305 | 0.0137 | 0.0489 | 0.0109 | 0.0885 | 0.0094 | 0.0528 | 0.0140 | 0.1275 | 0.1244 | 0.0399 | 0.3530 |
| 2021 | 0.0812 | 0.0338 | 0.0112 | 0.0545 | 0.0159 | 0.0822 | 0.0112 | 0.0489 | 0.0125 | 0.1419 | 0.1283 | 0.0344 | 0.3438 |
| Year | Region | a1 | a2 | a3 | a4 | a5 | a6 | a7 | a8 | a9 | a10 | a11 | a12 | a13 |
|---|---|---|---|---|---|---|---|---|---|---|---|---|---|---|
| 2012 | Central | 0.0963 | 0.0323 | 0.0130 | 0.0647 | 0.0122 | 0.1005 | 0.0081 | 0.0452 | 0.0111 | 0.1340 | 0.1207 | 0.0394 | 0.3226 |
| 2015 | Central | 0.0961 | 0.0304 | 0.0113 | 0.0582 | 0.0067 | 0.0983 | 0.0083 | 0.0428 | 0.0152 | 0.1340 | 0.1243 | 0.0393 | 0.3351 |
| 2018 | Central | 0.0922 | 0.0296 | 0.0113 | 0.0531 | 0.0070 | 0.0950 | 0.0092 | 0.0415 | 0.0121 | 0.1351 | 0.1274 | 0.0400 | 0.3466 |
| 2021 | Central | 0.0898 | 0.0257 | 0.0095 | 0.0584 | 0.0095 | 0.0924 | 0.0102 | 0.0359 | 0.0107 | 0.1474 | 0.1295 | 0.0305 | 0.3507 |
| 2012 | East | 0.0925 | 0.0270 | 0.0131 | 0.0533 | 0.0106 | 0.0992 | 0.0033 | 0.0620 | 0.0141 | 0.1320 | 0.1047 | 0.0355 | 0.3527 |
| 2015 | East | 0.0873 | 0.0303 | 0.0105 | 0.0491 | 0.0105 | 0.0901 | 0.0078 | 0.0650 | 0.0169 | 0.1285 | 0.1044 | 0.0370 | 0.3624 |
| 2018 | East | 0.0763 | 0.0310 | 0.0113 | 0.0464 | 0.0132 | 0.0787 | 0.0100 | 0.0641 | 0.0170 | 0.1299 | 0.1133 | 0.0394 | 0.3694 |
| 2021 | East | 0.0671 | 0.0393 | 0.0102 | 0.0537 | 0.0206 | 0.0684 | 0.0129 | 0.0687 | 0.0156 | 0.1543 | 0.1215 | 0.0385 | 0.3292 |
| 2012 | Northeast | 0.0966 | 0.0364 | 0.0079 | 0.0672 | 0.0160 | 0.0987 | 0.0114 | 0.0443 | 0.0115 | 0.1298 | 0.1151 | 0.0352 | 0.3298 |
| 2015 | Northeast | 0.0965 | 0.0378 | 0.0085 | 0.0589 | 0.0115 | 0.0942 | 0.0130 | 0.0401 | 0.0197 | 0.1244 | 0.1208 | 0.0346 | 0.3400 |
| 2018 | Northeast | 0.0952 | 0.0391 | 0.0082 | 0.0483 | 0.0116 | 0.0897 | 0.0141 | 0.0441 | 0.0161 | 0.1187 | 0.1292 | 0.0365 | 0.3492 |
| 2021 | Northeast | 0.0943 | 0.0383 | 0.0040 | 0.0528 | 0.0163 | 0.0866 | 0.0135 | 0.0389 | 0.0144 | 0.1277 | 0.1300 | 0.0231 | 0.3600 |
| 2012 | West | 0.0963 | 0.0317 | 0.0214 | 0.0563 | 0.0134 | 0.1010 | 0.0063 | 0.0496 | 0.0094 | 0.1248 | 0.1247 | 0.0425 | 0.3226 |
| 2015 | West | 0.0944 | 0.0307 | 0.0191 | 0.0518 | 0.0099 | 0.0974 | 0.0068 | 0.0532 | 0.0145 | 0.1229 | 0.1277 | 0.0414 | 0.3303 |
| 2018 | West | 0.0907 | 0.0281 | 0.0186 | 0.0491 | 0.0106 | 0.0935 | 0.0077 | 0.0511 | 0.0117 | 0.1236 | 0.1316 | 0.0413 | 0.3425 |
| 2021 | West | 0.0858 | 0.0320 | 0.0151 | 0.0536 | 0.0151 | 0.0880 | 0.0096 | 0.0408 | 0.0102 | 0.1316 | 0.1335 | 0.0358 | 0.3489 |
| Year | b1 | b2 | b3 | b4 | b5 | b6 | b7 | b8 | b9 | b10 | b11 | b12 |
|---|---|---|---|---|---|---|---|---|---|---|---|---|
| 2012 | 0.1396 | 0.1950 | 0.0042 | 0.0253 | 0.1593 | 0.3080 | 0.0161 | 0.0021 | 0.0631 | 0.0031 | 0.0092 | 0.0750 |
| 2015 | 0.1435 | 0.1921 | 0.0020 | 0.0250 | 0.1522 | 0.3233 | 0.0127 | 0.0023 | 0.0604 | 0.0054 | 0.0098 | 0.0713 |
| 2018 | 0.1420 | 0.1914 | 0.0005 | 0.0225 | 0.1494 | 0.3280 | 0.0104 | 0.0026 | 0.0618 | 0.0083 | 0.0094 | 0.0736 |
| 2021 | 0.1412 | 0.1831 | 0.0001 | 0.0190 | 0.1502 | 0.3301 | 0.0086 | 0.0030 | 0.0707 | 0.0109 | 0.0088 | 0.0744 |
| Year | Region | Region | b1 | b2 | b3 | b4 | b5 | b6 | b7 | b8 | b9 | b10 | b11 | b12 |
|---|---|---|---|---|---|---|---|---|---|---|---|---|---|---|
| 2012 | Central | central | 0.1182 | 0.1978 | 0.0040 | 0.0235 | 0.1629 | 0.3198 | 0.0133 | 0.0018 | 0.0722 | 0.0027 | 0.0145 | 0.0693 |
| 2015 | Central | central | 0.1245 | 0.1968 | 0.0010 | 0.0226 | 0.1557 | 0.3288 | 0.0103 | 0.0026 | 0.0702 | 0.0053 | 0.0151 | 0.0672 |
| 2018 | Central | central | 0.1204 | 0.1959 | 0.0000 | 0.0192 | 0.1512 | 0.3458 | 0.0075 | 0.0029 | 0.0652 | 0.0088 | 0.0144 | 0.0686 |
| 2021 | Central | central | 0.1230 | 0.1845 | 0.0000 | 0.0146 | 0.1547 | 0.3434 | 0.0053 | 0.0037 | 0.0752 | 0.0119 | 0.0133 | 0.0703 |
| 2012 | East | east | 0.1423 | 0.1747 | 0.0020 | 0.0200 | 0.1788 | 0.3315 | 0.0097 | 0.0015 | 0.0547 | 0.0053 | 0.0082 | 0.0712 |
| 2015 | East | east | 0.1437 | 0.1696 | 0.0012 | 0.0195 | 0.1787 | 0.3432 | 0.0075 | 0.0015 | 0.0506 | 0.0084 | 0.0084 | 0.0676 |
| 2018 | East | east | 0.1373 | 0.1606 | 0.0001 | 0.0180 | 0.1811 | 0.3513 | 0.0057 | 0.0016 | 0.0556 | 0.0123 | 0.0078 | 0.0687 |
| 2021 | East | east | 0.1374 | 0.1484 | 0.0000 | 0.0169 | 0.1815 | 0.3549 | 0.0045 | 0.0017 | 0.0629 | 0.0155 | 0.0071 | 0.0692 |
| 2012 | Northeast | northeast | 0.1412 | 0.1997 | 0.0111 | 0.0301 | 0.1281 | 0.3267 | 0.0198 | 0.0027 | 0.0687 | 0.0023 | 0.0093 | 0.0603 |
| 2015 | Northeast | northeast | 0.1549 | 0.1904 | 0.0042 | 0.0301 | 0.1100 | 0.3517 | 0.0150 | 0.0025 | 0.0659 | 0.0040 | 0.0106 | 0.0609 |
| 2018 | Northeast | northeast | 0.1586 | 0.2026 | 0.0027 | 0.0303 | 0.0833 | 0.3572 | 0.0139 | 0.0028 | 0.0681 | 0.0061 | 0.0107 | 0.0637 |
| 2021 | Northeast | northeast | 0.1606 | 0.2035 | 0.0000 | 0.0252 | 0.0856 | 0.3518 | 0.0130 | 0.0033 | 0.0729 | 0.0080 | 0.0106 | 0.0654 |
| 2012 | West | west | 0.1484 | 0.2108 | 0.0043 | 0.0297 | 0.1480 | 0.2751 | 0.0224 | 0.0028 | 0.0643 | 0.0017 | 0.0072 | 0.0854 |
| 2015 | West | west | 0.1506 | 0.2106 | 0.0025 | 0.0299 | 0.1378 | 0.2945 | 0.0180 | 0.0028 | 0.0625 | 0.0032 | 0.0080 | 0.0797 |
| 2018 | West | west | 0.1537 | 0.2140 | 0.0006 | 0.0264 | 0.1376 | 0.2891 | 0.0154 | 0.0032 | 0.0639 | 0.0051 | 0.0078 | 0.0834 |
| 2021 | West | west | 0.1492 | 0.2084 | 0.0001 | 0.0215 | 0.1369 | 0.2944 | 0.0129 | 0.0038 | 0.0746 | 0.0069 | 0.0073 | 0.0839 |
Disclaimer/Publisher’s Note: The statements, opinions and data contained in all publications are solely those of the individual author(s) and contributor(s) and not of MDPI and/or the editor(s). MDPI and/or the editor(s) disclaim responsibility for any injury to people or property resulting from any ideas, methods, instructions or products referred to in the content. |
© 2024 by the authors. Licensee MDPI, Basel, Switzerland. This article is an open access article distributed under the terms and conditions of the Creative Commons Attribution (CC BY) license (https://creativecommons.org/licenses/by/4.0/).
Share and Cite
Ding, S.; Fan, Z. Spatiotemporal Evolution and Obstacle Factor Analysis of Coupling Coordination Between Economic Resilience and Green, Low-Carbon Development in China. Sustainability 2024, 16, 11006. https://doi.org/10.3390/su162411006
Ding S, Fan Z. Spatiotemporal Evolution and Obstacle Factor Analysis of Coupling Coordination Between Economic Resilience and Green, Low-Carbon Development in China. Sustainability. 2024; 16(24):11006. https://doi.org/10.3390/su162411006
Chicago/Turabian StyleDing, Shujuan, and Zhenyu Fan. 2024. "Spatiotemporal Evolution and Obstacle Factor Analysis of Coupling Coordination Between Economic Resilience and Green, Low-Carbon Development in China" Sustainability 16, no. 24: 11006. https://doi.org/10.3390/su162411006
APA StyleDing, S., & Fan, Z. (2024). Spatiotemporal Evolution and Obstacle Factor Analysis of Coupling Coordination Between Economic Resilience and Green, Low-Carbon Development in China. Sustainability, 16(24), 11006. https://doi.org/10.3390/su162411006

