Effect of Infectious Disease Risk Management on Indoor Environmental Quality in Lecture Rooms: Current Performance and Future Considerations
Abstract
1. Introduction
- (1)
- Determine and evaluate what differences occurred in IEQ-related parameters due to changes in behaviour (due to management guidance) in naturally ventilated (NV) lecture rooms.
- (2)
- Evaluate the effect of installing/activating mechanical ventilation (MV) systems in rooms that were originally naturally ventilated or had MV systems switched off, and
- (3)
- Quantify what changes have occurred between pre-COVID-19, during COVID-19 and post-COVID-19 in terms of ventilation and potential infectious disease risk and what can be learned for future events of a similar nature.
2. Materials and Methods
2.1. Long-Term Monitoring, Evaluation and Background
2.2. Short-Term Monitoring
3. Results
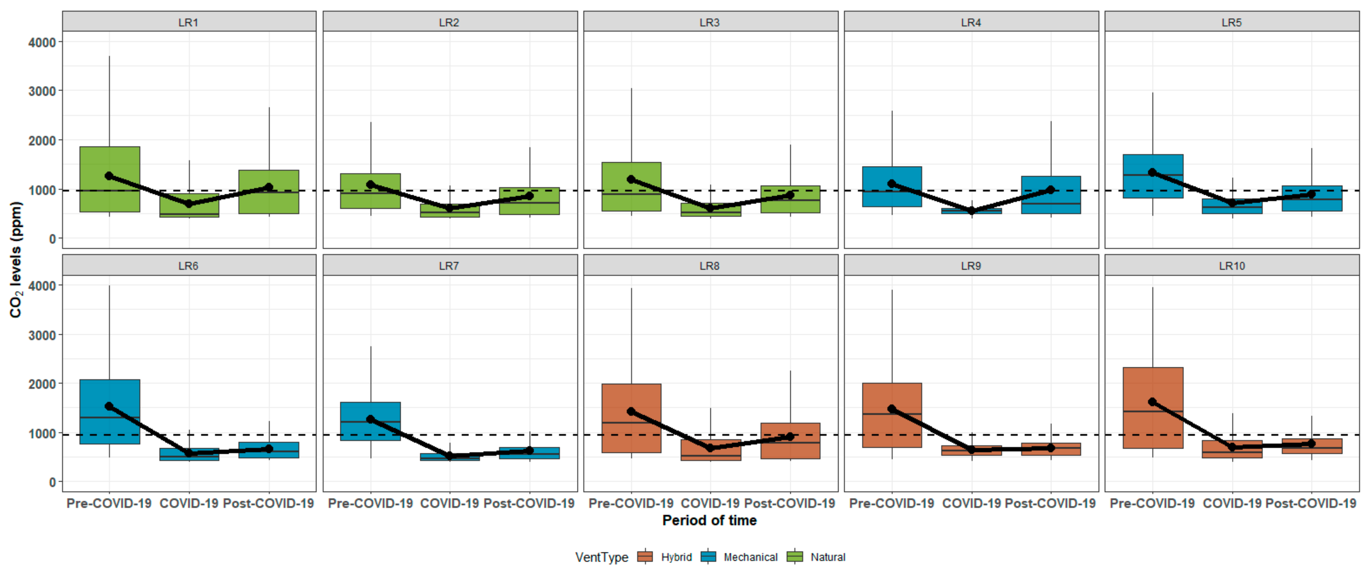
3.1. Carbon Dioxide Levels (Long-Term)
3.2. Temperature (Long-Term)
3.3. Relative Humidity (Long-Term)
3.4. Infectious Risk (Long-Term)
3.5. Short-Term Observations and Explanatory Factors
4. Discussion
4.1. General Discussion
4.2. Future Work
5. Conclusions
- (1)
- Behaviour and occupancy regulation can play a key role in reducing internal CO2 levels (and, by extension, airborne infectious risk). The concern we note here is that “buy-in” from staff and students, as well as regular user training, could be required to maintain these changes. The “rebound effect” observed points to this need and a need to reconsider typical university occupancy densities when using NV. Automation may overcome this, but enhanced NV principles (such as stack and airflow guiding components) may be required to meet required ACRs.
- (2)
- Ventilation system capacity sizing is key to reducing airborne infectious risk. The work here highlights that correctly designed HV spaces are more likely to maintain CO2 levels (and other IEQ values more generally) at acceptable levels, which highlights the need for ventilation system changes in order to guarantee the best results in future.
- (3)
- Future work in this area needs to consider further the carbon and cost benefit of improved ventilation by automated NV, HV or MV in the context of providing the necessary ACRs to the wider academic community.
Author Contributions
Funding
Institutional Review Board Statement
Informed Consent Statement
Data Availability Statement
Acknowledgments
Conflicts of Interest
References
- Morawska, L.; Li, Y.; Salthammer, T. Lessons from the COVID-19 Pandemic for Ventilation and Indoor Air Quality. Science 2024, 385, 396–401. [Google Scholar] [CrossRef] [PubMed]
- Awada, M.; Becerik-Gerber, B.; Hoque, S.; O’Neill, Z.; Pedrielli, G.; Wen, J.; Wu, T. Ten Questions Concerning Occupant Health in Buildings during Normal Operations and Extreme Events Including the COVID-19 Pandemic. Build. Environ. 2021, 188, 107480. [Google Scholar] [CrossRef]
- ASHRAE. ASHRAE Epidemic Task Force, Guide to Reopening Schools and Universities; ASHRAE: Peachtree Corners, GA, USA, 2021; p. 54. [Google Scholar]
- Kurnitski, J.; Boerstra, A.; Franchimon, F. COVID19 HVAC Guidance Version 4.1. Rehva 2021; p. 41. Available online: https://www.rehva.eu/fileadmin/user_upload/REHVA_COVID-19_guidance_document_V4.1_15042021.pdf (accessed on 31 July 2024).
- Aguilar, A.J.; De La Hoz-Torres, M.L.; Martínez-Aires, M.D.; Ruiz, D.P. Monitoring and Assessment of Indoor Environmental Conditions after the Implementation of COVID-19-Based Ventilation Strategies in an Educational Building in Southern Spain. Sensors 2021, 21, 7223. [Google Scholar] [CrossRef]
- Alonso, A.; Llanos, J.; Escandón, R.; Sendra, J.J. Effects of the COVID-19 Pandemic on Indoor Air Quality and Thermal Comfort of Primary Schools in Winter in a Mediterranean Climate. Sustainability 2021, 13, 2699. [Google Scholar] [CrossRef]
- Meiss, A.; Jimeno-Merino, H.; Poza-Casado, I.; Llorente-Álvarez, A.; Padilla-Marcos, M.Á. Indoor Air Quality in Naturally Ventilated Classrooms. Lessons Learned from a Case Study in a COVID-19 Scenario. Sustainability 2021, 13, 8446. [Google Scholar] [CrossRef]
- Predescu, L.; Dunea, D. Performance Evaluation of Particulate Matter and Indoor Microclimate Monitors in University Classrooms under COVID-19 Restrictions. Int. J. Environ. Res. Public Health 2021, 18, 7363. [Google Scholar] [CrossRef]
- Schibuola, L.; Tambani, C. High Energy Efficiency Ventilation to Limit COVID-19 Contagion in School Environments. Energy Build. 2021, 240, 110882. [Google Scholar] [CrossRef]
- Zivelonghi, A.; Lai, M. Mitigating Aerosol Infection Risk in School Buildings: The Role of Natural Ventilation, Volume, Occupancy and CO2 Monitoring. Build. Environ. 2021, 204, 108139. [Google Scholar] [CrossRef]
- Jia, L.-R.; Han, J.; Chen, X.; Li, Q.-Y.; Lee, C.-C.; Fung, Y.-H. Interaction between Thermal Comfort, Indoor Air Quality and Ventilation Energy Consumption of Educational Buildings: A Comprehensive Review. Buildings 2021, 11, 591. [Google Scholar] [CrossRef]
- Eichholtz, P.; Kok, N.; Sun, X. The Effect of Post-COVID-19 Ventilation Measures on Indoor Air Quality in Primary Schools. PNAS Nexus 2023, 3, pgad429. [Google Scholar] [CrossRef]
- Aslanoğlu, R.; Ulusoy, B.; Kazak, J.K. Air Quality of Private Interiors during the COVID-19 Pandemic: A Case Study of Dormitory Interiors as Shared Spaces. Sustainability 2024, 16, 886. [Google Scholar] [CrossRef]
- D’Agostino, D.; Di Mascolo, M.; Minelli, F.; Minichiello, F. A New Tailored Approach to Calculate the Optimal Number of Outdoor Air Changes in School Building HVAC Systems in the Post-COVID-19 Era. Energies 2024, 17, 2769. [Google Scholar] [CrossRef]
- O’Donovan, A.; O’Sullivan, P.D. The Impact of Retrofitted Ventilation Approaches on Long-Range Airborne Infection Risk for Lecture Room Environments: Design Stage Methodology and Application. J. Build. Eng. 2023, 68, 106044. [Google Scholar] [CrossRef]
- Arya, V.K.; Rasheed, E.O.; Samarasinghe, D.A.S.; Wilkinson, S. Comparative Analysis of Indoor Air Quality and Thermal Comfort Standards in School Buildings across New Zealand with Other OECD Countries. Buildings 2024, 14, 1556. [Google Scholar] [CrossRef]
- Wargocki, P.; Porras-Salazar, J.A.; Contreras-Espinoza, S.; Bahnfleth, W. The Relationships between Classroom Air Quality and Children’s Performance in School. Build. Environ. 2020, 173, 106749. [Google Scholar] [CrossRef]
- Paschoalin Filho, J.A.; Guerner Dias, A.J.; Storopoli, J.H.; Ghermandi, A.; De Carvalho, H.C. Relationship between Environmental Indoor Conditions of a Classroom and the Performance of Undergraduate Students. Archnet-IJAR Int. J. Archit. Res. 2022, 16, 359–377. [Google Scholar] [CrossRef]
- McLeod, R.S.; Mathew, M.; Salman, D.; Thomas, C.L.P. An Investigation of Indoor Air Quality in a Recently Refurbished Educational Building. Front. Built Environ. 2022, 7, 769761. [Google Scholar] [CrossRef]
- Villanueva, F.; Felgueiras, F.; Notario, A.; Cabañas, B.; Gabriel, M.F. Indoor Environmental Quality and Effectiveness of Portable Air Cleaners in Reducing Levels of Airborne Particles during Schools’ Reopening in the COVID-19 Pandemic. Sustainability 2024, 16, 6549. [Google Scholar] [CrossRef]
- Pan, Y.; Du, C.; Fu, Z.; Fu, M. Re-Thinking of Engineering Operation Solutions to HVAC Systems under the Emerging COVID-19 Pandemic. J. Build. Eng. 2021, 43, 102889. [Google Scholar] [CrossRef]
- BPIE. Deep Renovation: Shifting from Exception to Standard Practice in EU Policy; BPIE: Brussels, Belgium, 2021. [Google Scholar]
- O’Sullivan, P.D.; Kolokotroni, M. Non Dimensional Analysis and Characterisation of Driving Forces for a Single Sided Slot Louver Ventilation System. Int. J. Vent. 2016, 14, 335–348. [Google Scholar] [CrossRef]
- O’Donovan, A.; O’Sullivan, P.D.; Murphy, M.D. A Field Study of Thermal Comfort Performance for a Slotted Louvre Ventilation System in a Low Energy Retrofit. Energy Build. 2017, 135, 312–323. [Google Scholar] [CrossRef]
- Murphy, M.D.; O’sullivan, P.D.; da Graça, G.C.; O’donovan, A. Development, Calibration and Validation of an Internal Air Temperature Model for a Naturally Ventilated Nearly Zero Energy Building: Comparison of Model Types and Calibration Methods. Energies 2021, 14, 871. [Google Scholar] [CrossRef]
- O’ Donovan, A.; Murphy, M.D.; O’Sullivan, P.D. Passive Control Strategies for Cooling a Non-Residential Nearly Zero Energy Office: Simulated Comfort Resilience Now and in the Future. Energy Build. 2021, 231, 110607. [Google Scholar] [CrossRef]
- RStudio Team. RStudio: Integrated Development for R (Version 4.1.1); RStudio: Boston, MA, USA, 2024. [Google Scholar]
- CEN EN 16798-1; Energy Performance of Buildings—Ventilation for Buildings—Part 1: Indoor Environmental Input Parameters for Design and Assessment of Energy Performance of Buildings Addressing Indoor Air Quality, Thermal Environment, Lighting and Acoustics. National Standards Authority of Ireland: Dublin, Ireland, 2019.
- HSA. Guide to the Safety, Health and Welfare at Work (General Application) Regulations 2007; HSA: Dublin, Ireland, 2007. [Google Scholar]
- World Health Organization WHO Housing and Health Guidelines; World Health Organization: Geneva, Switzerland, 2018; ISBN 978-92-4-155037-6.
- Kurnitski, J.; Boerstra, A.; Franchimon, F.; Sikonczyk, I.; van Dijken, F.; Lungu, C.; Cao, G.; Davies, H.; Seppänen, O.; Hovorka, F.; et al. REHVA COVID-19 Ventilation Calculator Documentation (Version 2.0); REHVA: Brussels, Belgium, 2021; pp. 1–8. [Google Scholar]
- De La Hoz-Torres, M.L.; Aguilar, A.J.; Costa, N.; Arezes, P.; Ruiz, D.P.; Martínez-Aires, M.D. Reopening Higher Education Buildings in Post-epidemic COVID-19 Scenario: Monitoring and Assessment of Indoor Environmental Quality after Implementing Ventilation Protocols in Spain and Portugal. Indoor Air 2022, 32, e13040. [Google Scholar] [CrossRef]
- Microsoft Corporation. Microsoft® Excel® for Microsoft 365; Microsoft Corporation: Redmond, WA, USA, 2023. [Google Scholar]
- Persily, A.; De Jonge, L. Carbon Dioxide Generation Rates for Building Occupants. Indoor Air 2017, 27, 868–879. [Google Scholar] [CrossRef]
- TSI Incorporated. TSI Airflow Instruments Velocity Meter TA430 2023. Available online: https://tsi.com/products/ventilation-test-instruments/airflow-instruments/airflow-instruments-velocity-meters/airflow-instruments-velocity-meter-ta430/ (accessed on 31 July 2024).
- EN ISO 12596; NSAI Thermal Performance of Buildings and Materials—Determination of Specific Airflow Rate in Buildings—Tracer Gas Dilution Method. iTeh, Inc.: Newark, DE, USA, 2017.
- Liddament, M.; Thompson, C. AIVC TN10: Techniques and Instrumentation for the Measurement of Air Infiltration in Buildings; AIVC: Stuttgart, Germany, 1983. [Google Scholar]
- Escombe, A.R.; Oeser, C.C.; Gilman, R.H.; Navincopa, M.; Ticona, E.; Pan, W.; Martínez, C.; Chacaltana, J.; Rodríguez, R.; Moore, D.A.J.; et al. Natural Ventilation for the Prevention of Airborne Contagion. PLoS Med. 2007, 4, 0309–0317. [Google Scholar] [CrossRef]
- Gough, H.L.; Luo, Z.; Halios, C.H.; King, M.-F.; Noakes, C.J.; Grimmond, C.S.B.; Barlow, J.F.; Hoxey, R.; Quinn, A.D. Field Measurement of Natural Ventilation Rate in an Idealised Full-Scale Building Located in a Staggered Urban Array: Comparison between Tracer Gas and Pressure-Based Methods. Build. Environ. 2018, 137, 246–256. [Google Scholar] [CrossRef]
- O’Sullivan, P.D.; Kolokotroni, M. Time-Averaged Single Sided Ventilation Rates and Thermal Environment in Cooling Mode for a Low Energy Retrofit Envelope System. Int. J. Vent. 2014, 13, 153–168. [Google Scholar] [CrossRef][Green Version]
- SAF Tehnika. Aranet4 PRO 2023. Available online: https://pro.aranet.com/products/aranet4/ (accessed on 31 July 2024).
- Wilson, N.M.; Calabria, C.; Warren, A.; Finlay, A.; O’Donovan, A.; Passerello, G.L.; Ribaric, N.L.; Ward, P.; Gillespie, R.; Farrel, R.; et al. Quantifying Hospital Environmental Ventilation Using Carbon Dioxide Monitoring—A Multicentre Study. Anaesthesia 2024, 79, 147–155. [Google Scholar] [CrossRef]
- ISO 7726; Ergonomics of the Thermal Environment—Instruments for Measuring Physical Quantities. ISO Publishing: Geneve, Switzerland, 1998; Volume 1998, pp. 1–56.
- Najafi Ziarani, N.; Cook, M.J.; O’Sullivan, P.D. Experimental Evaluation of Airflow Guiding Components for Wind-Driven Single-Sided Natural Ventilation: A Comparative Study in a Test Chamber. Energy Build. 2023, 300, 113627. [Google Scholar] [CrossRef]
- Ding, E.; Zhang, D.; Hamida, A.; García-Sánchez, C.; Jonker, L.; De Boer, A.R.; Bruijning, P.C.J.L.; Linde, K.J.; Wouters, I.M.; Bluyssen, P.M. Ventilation and Thermal Conditions in Secondary Schools in the Netherlands: Effects of COVID-19 Pandemic Control and Prevention Measures. Build. Environ. 2023, 229, 109922. [Google Scholar] [CrossRef] [PubMed]
- Lovec, V.; Premrov, M.; Leskovar, V.Ž. Practical Impact of the COVID-19 Pandemic on Indoor Air Quality and Thermal Comfort in Kindergartens. A Case Study of Slovenia. Int. J. Environ. Res. Public Health 2021, 18, 9712. [Google Scholar] [CrossRef] [PubMed]
- Rodríguez, D.; Urbieta, I.R.; Velasco, Á.; Campano-Laborda, M.Á.; Jiménez, E. Assessment of Indoor Air Quality and Risk of COVID-19 Infection in Spanish Secondary School and University Classrooms. Build. Environ. 2022, 226, 109717. [Google Scholar] [CrossRef] [PubMed]
- Mori, T.; Akamatsu, T.; Kuwabara, K.; Hayashi, M. Comparison of Indoor Environment and Energy Consumption before and after Spread of COVID-19 in Schools in Japanese Cold-Climate Region. Energies 2022, 15, 1781. [Google Scholar] [CrossRef]
- Monge-Barrio, A.; Bes-Rastrollo, M.; Dorregaray-Oyaregui, S.; González-Martínez, P.; Martin-Calvo, N.; López-Hernández, D.; Arriazu-Ramos, A.; Sánchez-Ostiz, A. Encouraging Natural Ventilation to Improve Indoor Environmental Conditions at Schools. Case Studies in the North of Spain before and during COVID. Energy Build. 2022, 254, 111567. [Google Scholar] [CrossRef]
- Ferrari, S.; Blázquez, T.; Cardelli, R.; De Angelis, E.; Puglisi, G.; Escandón, R.; Suárez, R. Air Change Rates and Infection Risk in School Environments: Monitoring Naturally Ventilated Classrooms in a Northern Italian Urban Context. Heliyon 2023, 9, e19120. [Google Scholar] [CrossRef]
- Atkinson, J.; Chartier, Y.; Lúcia Pessoa-Silva, C.; Jensen, P.; Li, Y.; Seto, W.-H. Natural Ventilation for Infection Control in Health-Care Settings WHO Library Cataloguing-in-Publication Data: Natural Ventilation for Infection Control in Health-Care Settings; WHO: Geneva, Switzerland, 2009; Volume 1. [Google Scholar]












| Room Name | Ventilation Type | Area (m2) | Volume (m3) | Floor | Maximum Occupancy | No of Openings | NV Opening Area (m2) | POF (%) |
|---|---|---|---|---|---|---|---|---|
| LR1 | NV | 60 | 170 | GF | 54 | 3 | 3.2 | 5% |
| LR2 | NV | 75 | 214 | GF | 80 | 14 | 8.3 | 11% |
| LR3 | NV | 54 | 155 | FF | 58 | 5 | 5.3 | 10% |
| LR4 | MV | 53 | 149 | FF | 58 | - | - | - |
| LR5 | MV | 46 | 151 | FF | 20 | - | - | - |
| LR6 | MV | 69 | 201 | FF | 64 | - | - | - |
| LR7 | MV | 106 | 375 | GF | 25 | - | - | - |
| LR8 | HV | 78 | 219 | GF | 75 | 8 | 5.2 | 7% |
| LR9 | HV | 89 | 248 | FF | 23 | 3 | 3.2 | 4% |
| LR10 | HV | 79 | 220 | FF | 80 | 6 | 3.6 | 5% |
| Manufacturer (Model) | Dataset | Parameter | Accuracy | Range |
|---|---|---|---|---|
| Hanwell (ITL, New York, NY, USA) (Climabox 3, RL5406) | Pre-COVID-19 | Temperature | ±0.1 °C | −10 to 60 °C |
| Relative Humidity | ±2% | 0–100% | ||
| CO2 | ±50 ppm | 0 to 5000 ppm | ||
| AirThings (Eirdata, Limer-ick, Ireland) (CO2) | COVID-19 and post-COVID-19 | Temperature | ±0.1 °C | 4 to 60 °C |
| Relative Humidity | ±2% | 0–85% | ||
| CO2 | ±30 ppm | 400 to 5000 ppm |
| Lecture Room | Period | Min | q1 | Median | Mean | q3 | q90 | Max |
|---|---|---|---|---|---|---|---|---|
| LR1 | Pre-COVID-19 | 430 | 545 | 956 | 1292 | 1884 | 2644 | 4195 |
| COVID-19 | 399 | 429 | 480 | 696 | 902 | 1241 | 2793 | |
| Post-COVID-19 | 421 | 496 | 915 | 1028 | 1377 | 1830 | 3263 | |
| LR2 | Pre-COVID-19 | 453 | 598 | 911 | 1106 | 1319 | 1990 | 5000 |
| COVID-19 | 399 | 435 | 523 | 603 | 694 | 917 | 1679 | |
| Post-COVID-19 | 419 | 479 | 714 | 858 | 1037 | 1496 | 3551 | |
| LR3 | Pre-COVID-19 | 443 | 555 | 930 | 1280 | 1666 | 2546 | 5000 |
| COVID-19 | 400 | 449 | 518 | 601 | 710 | 882 | 1671 | |
| Post-COVID-19 | 426 | 511 | 757 | 876 | 1069 | 1464 | 3900 | |
| LR4 | Pre-COVID-19 | 458 | 648 | 945 | 1096 | 1445 | 1861 | 3303 |
| COVID-19 | 401 | 494 | 545 | 560 | 609 | 678 | 1261 | |
| Post-COVID-19 | 418 | 503 | 698 | 976 | 1251 | 1966 | 3837 | |
| LR5 | Pre-COVID-19 | 455 | 815 | 1273 | 1336 | 1698 | 2181 | 3573 |
| COVID-19 | 400 | 499 | 623 | 705 | 792 | 1144 | 2145 | |
| Post-COVID-19 | 422 | 545 | 776 | 881 | 1061 | 1450 | 2737 | |
| LR6 | Pre-COVID-19 | 480 | 790 | 1400 | 1709 | 2266 | 3429 | 5000 |
| COVID-19 | 396 | 432 | 502 | 571 | 681 | 830 | 1172 | |
| Post-COVID-19 | 427 | 481 | 601 | 658 | 798 | 961 | 1330 | |
| LR7 | Pre-COVID-19 | 460 | 834 | 1214 | 1264 | 1611 | 1951 | 3475 |
| COVID-19 | 397 | 435 | 468 | 517 | 576 | 708 | 920 | |
| Post-COVID-19 | 400 | 474 | 560 | 624 | 688 | 967 | 1391 | |
| LR8 | Pre-COVID-19 | 460 | 598 | 1213 | 1461 | 2015 | 2934 | 5000 |
| COVID-19 | 392 | 428 | 511 | 672 | 852 | 1132 | 2037 | |
| Post-COVID-19 | 422 | 460 | 779 | 904 | 1191 | 1605 | 3564 | |
| LR9 | Pre-COVID-19 | 453 | 711 | 1375 | 1485 | 2010 | 2670 | 4655 |
| COVID-19 | 410 | 542 | 631 | 642 | 727 | 829 | 1179 | |
| Post-COVID-19 | 425 | 533 | 671 | 673 | 787 | 892 | 1301 | |
| LR10 | Pre-COVID-19 | 480 | 698 | 1489 | 1741 | 2459 | 3454 | 5000 |
| COVID-19 | 400 | 479 | 593 | 696 | 839 | 1115 | 2086 | |
| Post-COVID-19 | 426 | 564 | 673 | 765 | 873 | 1247 | 1974 |
| Lecture Room | Period | Min | q1 | Median | Mean | q3 | q90 | Max |
|---|---|---|---|---|---|---|---|---|
| LR1 | Pre-COVID-19 | 17 | 21 | 22 | 22 | 23 | 23 | 24 |
| COVID-19 | 13 | 18 | 20 | 20 | 21 | 22 | 24 | |
| Post-COVID-19 | 16 | 20 | 21 | 20 | 21 | 22 | 23 | |
| LR2 | Pre-COVID-19 | 16 | 21 | 22 | 22 | 23 | 24 | 25 |
| COVID-19 | 8 | 18 | 19 | 19 | 20 | 21 | 23 | |
| Post-COVID-19 | 15 | 20 | 21 | 20 | 21 | 22 | 24 | |
| LR3 | Pre-COVID-19 | 12 | 18 | 19 | 19 | 21 | 22 | 25 |
| COVID-19 | 14 | 18 | 20 | 19 | 20 | 21 | 25 | |
| Post-COVID-19 | 15 | 19 | 20 | 20 | 21 | 22 | 23 | |
| LR4 | Pre-COVID-19 | 13 | 19 | 20 | 20 | 21 | 23 | 25 |
| COVID-19 | 13 | 18 | 20 | 20 | 21 | 22 | 24 | |
| Post-COVID-19 | 17 | 20 | 22 | 22 | 23 | 24 | 25 | |
| LR5 | Pre-COVID-19 | 14 | 19 | 21 | 20 | 22 | 23 | 26 |
| COVID-19 | 13 | 18 | 19 | 19 | 20 | 21 | 25 | |
| Post-COVID-19 | 18 | 21 | 22 | 22 | 22 | 24 | 26 | |
| LR6 | Pre-COVID-19 | 15 | 19 | 21 | 21 | 22 | 24 | 26 |
| COVID-19 | 12 | 21 | 22 | 21 | 23 | 24 | 27 | |
| Post-COVID-19 | 16 | 20 | 22 | 21 | 23 | 23 | 27 | |
| LR7 | Pre-COVID-19 | 19 | 22 | 23 | 23 | 24 | 24 | 25 |
| COVID-19 | 13 | 19 | 20 | 20 | 21 | 22 | 24 | |
| Post-COVID-19 | 17 | 19 | 21 | 20 | 21 | 21 | 23 | |
| LR8 | Pre-COVID-19 | 15 | 20 | 20 | 20 | 21 | 22 | 24 |
| COVID-19 | 13 | 18 | 19 | 19 | 20 | 22 | 24 | |
| Post-COVID-19 | 16 | 19 | 20 | 20 | 21 | 22 | 23 | |
| LR9 | Pre-COVID-19 | 13 | 19 | 20 | 20 | 22 | 22 | 24 |
| COVID-19 | 16 | 21 | 22 | 22 | 23 | 24 | 26 | |
| Post-COVID-19 | 16 | 22 | 24 | 23 | 24 | 25 | 27 | |
| LR10 | Pre-COVID-19 | 13 | 19 | 20 | 20 | 21 | 22 | 25 |
| COVID-19 | 14 | 20 | 22 | 21 | 23 | 24 | 25 | |
| Post-COVID-19 | 16 | 20 | 22 | 22 | 23 | 24 | 26 |
| Lecture Room | Period | Min | q1 | Median | Mean | q3 | q90 | Max |
|---|---|---|---|---|---|---|---|---|
| LR1 | Pre-COVID-19 | 20 | 33 | 42 | 42 | 49 | 54 | 69 |
| COVID-19 | 21 | 42 | 47 | 46 | 51 | 56 | 70 | |
| Post-COVID-19 | 31 | 46 | 54 | 53 | 60 | 66 | 77 | |
| LR2 | Pre-COVID-19 | 23 | 36 | 43 | 45 | 52 | 63 | 77 |
| COVID-19 | 23 | 44 | 49 | 50 | 56 | 62 | 76 | |
| Post-COVID-19 | 29 | 45 | 53 | 53 | 60 | 69 | 81 | |
| LR3 | Pre-COVID-19 | 25 | 41 | 54 | 53 | 64 | 72 | 84 |
| COVID-19 | 20 | 41 | 46 | 47 | 53 | 57 | 72 | |
| Post-COVID-19 | 31 | 47 | 54 | 55 | 61 | 69 | 77 | |
| LR4 | Pre-COVID-19 | 21 | 43 | 50 | 51 | 58 | 67 | 80 |
| COVID-19 | 28 | 40 | 43 | 44 | 48 | 53 | 61 | |
| Post-COVID-19 | 23 | 40 | 51 | 49 | 58 | 63 | 72 | |
| LR5 | Pre-COVID-19 | 18 | 44 | 51 | 51 | 58 | 65 | 76 |
| COVID-19 | 27 | 41 | 48 | 49 | 56 | 65 | 76 | |
| Post-COVID-19 | 30 | 42 | 50 | 49 | 54 | 60 | 68 | |
| LR6 | Pre-COVID-19 | 30 | 42 | 51 | 52 | 61 | 68 | 84 |
| COVID-19 | 17 | 34 | 40 | 39 | 45 | 49 | 65 | |
| Post-COVID-19 | 26 | 39 | 47 | 48 | 57 | 67 | 76 | |
| LR7 | Pre-COVID-19 | 24 | 35 | 42 | 44 | 50 | 62 | 73 |
| COVID-19 | 18 | 36 | 41 | 43 | 48 | 57 | 77 | |
| Post-COVID-19 | 24 | 39 | 46 | 47 | 54 | 64 | 77 | |
| LR8 | Pre-COVID-19 | 28 | 43 | 51 | 52 | 59 | 70 | 81 |
| COVID-19 | 19 | 42 | 46 | 46 | 51 | 56 | 72 | |
| Post-COVID-19 | 30 | 44 | 52 | 52 | 59 | 66 | 76 | |
| LR9 | Pre-COVID-19 | 30 | 44 | 52 | 52 | 58 | 67 | 79 |
| COVID-19 | 18 | 34 | 39 | 39 | 45 | 50 | 58 | |
| Post-COVID-19 | 23 | 35 | 43 | 44 | 51 | 60 | 71 | |
| LR10 | Pre-COVID-19 | 30 | 44 | 53 | 54 | 62 | 71 | 86 |
| COVID-19 | 18 | 37 | 43 | 43 | 48 | 53 | 71 | |
| Post-COVID-19 | 27 | 43 | 49 | 49 | 54 | 60 | 71 |
Disclaimer/Publisher’s Note: The statements, opinions and data contained in all publications are solely those of the individual author(s) and contributor(s) and not of MDPI and/or the editor(s). MDPI and/or the editor(s) disclaim responsibility for any injury to people or property resulting from any ideas, methods, instructions or products referred to in the content. |
© 2024 by the authors. Licensee MDPI, Basel, Switzerland. This article is an open access article distributed under the terms and conditions of the Creative Commons Attribution (CC BY) license (https://creativecommons.org/licenses/by/4.0/).
Share and Cite
O’Donovan, A.C.; Delaney, F.; Ouvrard, T.; Geoffroy, P.; O’Sullivan, P.D. Effect of Infectious Disease Risk Management on Indoor Environmental Quality in Lecture Rooms: Current Performance and Future Considerations. Sustainability 2024, 16, 10792. https://doi.org/10.3390/su162310792
O’Donovan AC, Delaney F, Ouvrard T, Geoffroy P, O’Sullivan PD. Effect of Infectious Disease Risk Management on Indoor Environmental Quality in Lecture Rooms: Current Performance and Future Considerations. Sustainability. 2024; 16(23):10792. https://doi.org/10.3390/su162310792
Chicago/Turabian StyleO’Donovan, Adam C., Fergus Delaney, Taïna Ouvrard, Paol Geoffroy, and Paul D. O’Sullivan. 2024. "Effect of Infectious Disease Risk Management on Indoor Environmental Quality in Lecture Rooms: Current Performance and Future Considerations" Sustainability 16, no. 23: 10792. https://doi.org/10.3390/su162310792
APA StyleO’Donovan, A. C., Delaney, F., Ouvrard, T., Geoffroy, P., & O’Sullivan, P. D. (2024). Effect of Infectious Disease Risk Management on Indoor Environmental Quality in Lecture Rooms: Current Performance and Future Considerations. Sustainability, 16(23), 10792. https://doi.org/10.3390/su162310792

