Responsible Urban Tourism as a Tool of Natural and Cultural Heritage Protection: Poznań (Poland) Orchids’ Case
Abstract
1. Introduction
- Responsible urban tourism ensures the protection of local natural and cultural resources and values while offering tourists a worthwhile experience.
- Poznań’s orchid populations continue to decline. Changes in plant environments and the cessation of all efforts to preserve orchid sites are the causes.
- The present research area containing orchid sites has been under severe unchecked anthropopressure. In addition to altering the population structure and specimen viability, it results in a regression of plant ranges.
- Focusing tourist traffic in only one given part of the studied area, already strongly used, and acting in accordance with the idea of responsible tourism could possibly increase the protection of this valuable plant vegetation of orchid species.
- The protection of this valuable plant vegetation of orchid species may be increased by concentrating tourist traffic in a single heavily used area of the investigated area, working in accordance with the concept of responsible tourism.
- The educational paths, or other means of educating visitors about the natural value of orchid species, would allow for better protection than was previously possible. It is also a good opportunity for local-scale education regarding sustainable development. Additionally, it is an excellent chance for sustainable development education at the local level.
2. The Literature Review
2.1. Sustainability in Tourism: A Brief Overview
2.2. Responsible Urban Tourism
3. The Study Area
4. Methods of Investigations
4.1. Social Research
4.2. Research of Orchid Populations—Dactylorhiza Incarnata and Epipactis Palustris—Near Baczkowski Pond
5. Results
5.1. Social Research
5.1.1. Respondents’ Characteristic
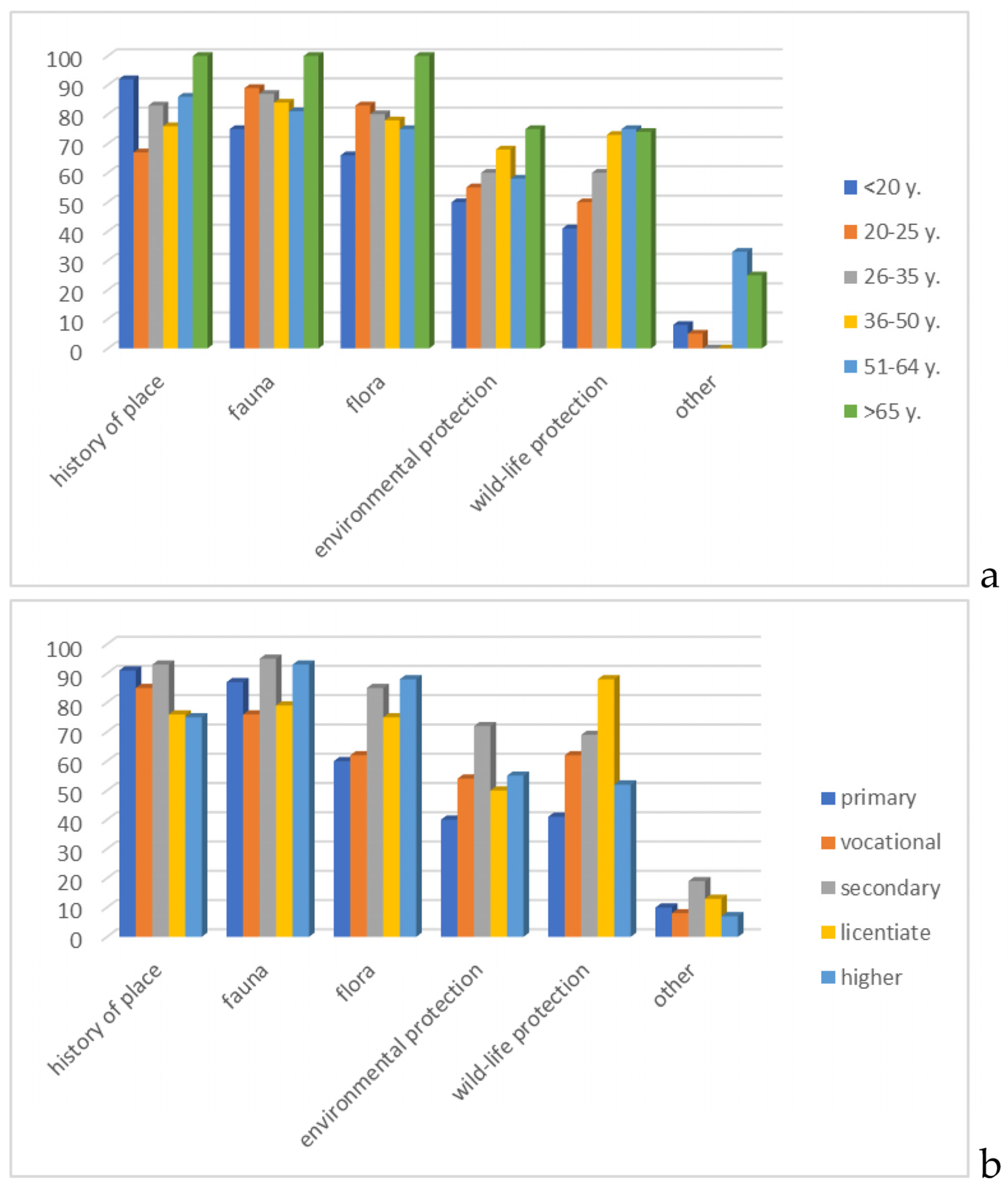
5.1.2. Respondents’ Opinions About the Area, Nature Protection, and Ecological Education
5.2. Population Research of Orchids
5.3. The Societal Benefits of the Current Study
6. Discussion
7. Conclusions
Author Contributions
Funding
Institutional Review Board Statement
Informed Consent Statement
Data Availability Statement
Acknowledgments
Conflicts of Interest
References
- Ivona, A. Coastal heritage and territorial signs. In Monitoring of Mediterranean Coastal Areas. Problems and Measurement Techniques; Bonora, L., Carboni, D., De Vincenzi, M., Eds.; Eighth International Symposium: Livorno, Italy; Firenze University Press–FUP: Firenze, Italy, 2020; pp. 85–94. [Google Scholar] [CrossRef]
- Kozak, A. Obszary chronione możliwością rozwoju turystyki edukacyjnej na przykładzie ścieżek przyrodniczo–edukacyjnych “Bużny Most” i “Nadbużańskie Łęgi”. Probl. Ekol. Kraj. 2012, 34, 111–116. [Google Scholar]
- Kluza-Wieloch, M.; Maciejewska-Rutkowska, I. Population of Dactylorhiza incarnata (L.) Soo (Orchidaceae) in south-western part of Poznań (“Kopanina I”)—Results of monitoring in the years 1997–2009. Rocz. AR Pozn. Bot.-Stec. 2009, 388, 125–132. [Google Scholar]
- Perazza, G.; Decarli, M. Monitoring of Cypripedium calceolus (Orchidaceae) in the Adamello–Brenta Natural Park (Italy). Nat. Conserv. Res. 2020, 5 (Suppl. S1), 178–184. [Google Scholar] [CrossRef]
- Djordjević, V.; Tsiftsis, S. The Role of Ecological Factors in Distribution and Abundance of Terrestrial Orchids. In Orchids Phytochemistry, Biology and Horticulture; Merillon, J.M., Kodja, H., Eds.; Springer: Cham, Germany, 2020; pp. 1–71. [Google Scholar]
- Jakubska–Busse, A.; Tsiftsis, S.; Śliwiński, M.; Křenová, Z.; Djordjević, V.; Steiu, C.; Kolanowska, M.; Efimov, P.; Hennigs, S.; Lustyk, P.; et al. How to Protect Natural Habitats of Rare Terrestrial Orchids Effectively: A Comparative Case Study of Cypripedium calceolus in Different Geographical Regions of Europe. Plants 2021, 10, 404. [Google Scholar] [CrossRef] [PubMed]
- Štípková, Z.; Kindlmann, P. Factors determining the distribution of orchids—A review with examples from the Czech Republic. Eur. J. Environ. Sci. 2021, 11, 21–30. [Google Scholar] [CrossRef]
- Scramoncin, L.; Gerdol, R.; Brancaleoni, L. How Effective Is Environmental Protection in Ensuring the Vitality of Wild Orchid Species? A Case Study of a Protected Area in Italy. Plants 2024, 13, 610. [Google Scholar] [CrossRef]
- Jackowiak, B. Atlas Rozmieszczenia Roślin Naczyniowych w Poznaniu; Prace Zakładu Taksonomii Roślin UAM 2: Poznań, Poland, 1993. [Google Scholar]
- Zając, A.; Zając, M. Atlas Rozmieszczenia Roślin Naczyniowych w Polsce; Pracownia Chorologii Komputerowej Instytutu Botaniki UJ i Fundacji dla UJ: Kraków, Poland, 2001. [Google Scholar]
- Żukowski, W.; Jackowiak, B. Lista roślin naczyniowych ginących i zagrożonych na Pomorzu Zachodnim i w Wielkopolsce. In Ginące i Zagrożone Rośliny Naczyniowe Pomorza Zachodniego i Wielkopolski; Żukowski, W., Jackowiak, B., Eds.; Prace Zakładu Taksonomii Roślin UAM 3, Bogucki Wydawnictwo Naukowe: Poznań, Poland, 1995; pp. 10–92. [Google Scholar]
- Butler, R.W. Sustainable tourism: A state-of-the-art review. Tour. Geogr. 1999, 1, 7–25. [Google Scholar] [CrossRef]
- Hardy, A.; Beeton, R.J.; Pearson, L. Sustainable tourism: An overview of the concept and its position in relation to conceptualisations of tourism. J. Sustain. Tour. 2002, 10, 475–496. [Google Scholar] [CrossRef]
- Zolfani, S.H.; Sedaghat, M.; Maknoon, R.; Zavadskas, E.K. Sustainable tourism: A comprehensive literature review on frameworks and applications. Econ. Res.-Ekon. Istraživanja 2015, 28, 1–30. [Google Scholar] [CrossRef]
- Lu, J.; Nepal, S.K. Sustainable tourism research: An analysis of papers published in the Journal of Sustainable Tourism. J. Sustain. Tour. 2009, 17, 5–16. [Google Scholar] [CrossRef]
- Liu, Z. Sustainable tourism development: A critique. J. Sustain. Tour. 2003, 11, 459–475. [Google Scholar] [CrossRef]
- Henama, U.S.; Mangope, D.; Strydom, A. A critique of the interface between tourism, sustainable development and sustainable tourism in community-based tourism theory. Afr. J. Hosp. Tour. Leisure. 2019, 8, 2–12. [Google Scholar]
- Alphonse, H.; Ricardo, S.; Vince, S. Sustainable tourism development: A critique. J. Sustain. Tour. 2023, 7, 49–70. [Google Scholar]
- Available online: www.unwto.org/sustainable-development (accessed on 10 November 2024).
- Lu, A.C.C.; Gursoy, D.; Del Chiappa, G. The influence of materialism on ecotourism: Attitudes and behaviors. J. Travel Res. 2016, 55, 176–189. [Google Scholar] [CrossRef]
- Lee, T.H.; Jan, F.-H. Ecotourism behavior of nature-based tourists: An integrative framework. Travel Res. 2018, 57, 792–810. [Google Scholar] [CrossRef]
- Tilbury, D.; Stevenson, R.B.; Fien, J.; Schreuder, D. Education and Sustainability: Responding to the Global Challenge, Commission on Education and Communication; IUCN: Gland, Switzerland; Cambridge, UK, 2002. [Google Scholar]
- Responsible Tourism Handbook; Greening the WSSD Initiative; Department of Environmental Affairs and Tourism: Pretoria, South Africa, 2003; pp. 1–41.
- Goodwin, H. Taking Responsibility for Tourism; Goodfellow Publishers Limited: Woodeaton, UK, 2011; pp. 1–256. [Google Scholar]
- Brundtland, G.H. Our Common Future; The World Commission on Environment and Development; Oxford University Press: Oxford, UK, 1987. [Google Scholar]
- Clarke, J. A Framework of Approaches to Sustainable Tourism. J. Sustain. Tour. 1997, 5, 224–233. [Google Scholar] [CrossRef]
- Weaver, D. Sustainable Tourism: Theory and Practice; Butterworth-Heinemann: London, UK, 2006. [Google Scholar]
- Making Tourism More Sustainable—A Guide for Policy Makers; UNEP: Nairobi, Kenya; UNWTO: Madrid, Spain, 2005; pp. 11–12.
- Available online: www.ecotourism.org/what-is-ecotourism (accessed on 30 September 2024).
- Zaręba, D. Ekoturystyka. Wyzwania i Nadzieje (Eotourism, Challenges and Hopes); PWN: Warszawa, Poland, 2008. [Google Scholar]
- Machnik, A. Ecotourism as a Core of Sustainability in Tourism. In Handbook of Sustainable Development and Leisure Services; Lubowiecki-Vikuk, A., de Sousa, B.M.B., Đerčan, B.M., Leal Filho, W., Eds.; World Sustainability Series; Springer: Cham, Germany, 2021; pp. 223–240. [Google Scholar] [CrossRef]
- Machnik, A. Nature–based tourism as an introduction to ecotourism experience—A new approach. J. Tour. Chall. Trends 2013, 6, 75–95. [Google Scholar]
- Mihalic, T. Sustainable–responsible tourism discourse–Towards ‘responsustable’ tourism. J. Clean. Prod. 2016, 111, 461–470. [Google Scholar] [CrossRef]
- Machnik, A. Nature-based tourism experiencescape. In Encyclopedia of Tourism Management and Marketing; Buchalis, D., Ed.; Edward Elgar Publishing: Cheltenham, UK, 2022; pp. 306–309. [Google Scholar]
- Buczkowska, K. Turystyka Kulturowa. Przewodnik Metodyczny; Wydawnictwo AWF: Poznań, Poland, 2008. [Google Scholar]
- Gaweł, Ł. Szlaki Dziedzictwa Kulturowego; Wydawnictwo Uniwersytetu Jagiellońskiego: Kraków, Poland, 2011. [Google Scholar]
- Królikowska-Tomczak, A.; Machnik, A. Zrównoważona turystyka miejska w kontekście turystyki kulturowej. Tur. Kult. 2019, 5, 76–98. [Google Scholar]
- Ballantyne, M.; Pickering, C.M. Tourism and recreation: A common threat to IUCN red–listed vascular plants in Europe. Biodivers. Conserv. 2013, 22, 3027–3044. [Google Scholar] [CrossRef]
- Bazzicalupo, M.; Calevo, J.; Smeriglio, A.; Cornara, L. Traditional, Therapeutic Uses and Phytochemistry of Terrestrial European Orchids and Implications for Conservatio. Plants 2023, 12, 257. [Google Scholar] [CrossRef] [PubMed]
- Ballantyne, M.; Pickering, C.M. Ecotourism as a threatening process for wild orchids. J. Ecotourism 2012, 11, 34–47. [Google Scholar] [CrossRef]
- Carlsen, J.; Liburd, J.; Edwards, D.; Forde, P. Innovation for Sustainable Tourism: International Case Studies; BEST Education Network; University of Southern Denmark: Odense, Denmark, 2008. [Google Scholar]
- Rozkrut, D. (Ed.) Statistical Yearbook of the Republic of Poland; Zakład Wydawnictw Statystycznych: Warszawa, Poland, 2023.
- Urbański, P.; Szpakowska, B.; Raszeja, E. Walory rekreacyjne zieleni Poznania. Nauka Przyr. Technol. 2008, 2, 1–27. [Google Scholar]
- Available online: https://oppla.eu/casestudy/24518 (accessed on 30 September 2024).
- Kaniecki, A.; Graf, R.; Jackowiak, B.; Ludwiczak, I.; Ptaszyk, J.; Ziętkowiak, Z. Problem zagospodarowania Doliny Strumienia Junikowskiego. In Kronika Miasta Poznania; Wydawnictwo Miejskie: Poznań, Poland, 1993; pp. 436–454. [Google Scholar]
- Hildebrandt-Radke, I. Surowce ceramiczne w rozwoju historycznym Poznania. In Środowisko Geograficzne Zlewni Junikowskiego Strumienia; Mazurek, M., Abramowicz, D., Eds.; Bogucki Wyd. Naukowe: Poznań, Poland, 2022; pp. 63–76. [Google Scholar]
- Tritt, R.; Graf, R.; Borkowski, G.; Jawgiel, K.; Abramowicz, D. Charakterystyka morfometryczna zbiorników poeksploatacyjnych w zlewni Junikowskiego Strumienia. In Środowisko Geograficzne Zlewni Junikowskiego Strumienia; Mazurek, M., Abramowicz, D., Eds.; Bogucki Wyd. Naukowe: Poznań, Poland, 2022; pp. 103–122. [Google Scholar]
- Kluza, M.; Król, S.; Maciejewska, I. Present condition and some threats of vegetation within the area of given up excavations of varve loams and boulder—Clays in the south—West part of Poznań city. Rocz. AR Pozn. Melior. Inż. Środ. 1999, 300, 257–266. [Google Scholar]
- Jackowiak, B. Wstępna charakterystyka szaty roślinnej doliny strumienia Junikowskiego. In Dorzecze Strumienia Junikowskiego. Stan Obecny i Perspektywy; Kaniecki, A., Ed.; Konferencja Naukowa: Poznań, Poland; Wydawnictwo Sorus: Poznań, Poland, 1995; pp. 71–76. [Google Scholar]
- Maciejewska-Rutkowska, I.; Rutkowski, P.; Kluza-Wieloch, M.; Andrzejewska, M. Population of Epipactis palustris (L.) Crantz (Orchidaceae) and its participation in local plant communities within the ecological useland “Kopanina I” in Poznań city. Rocz. AR Pozn. Bot.-Stec. 2008, 387, 45–51. [Google Scholar]
- Hirsz, M. Poznańskie Szachty, czyli 150 lat przemysłu ceramicznego w zlewni Junikowskiego Strumienia. In Środowisko Geograficzne Zlewni Junikowskiego Strumienia; Mazurek, M., Abramowicz, D., Eds.; Bogucki Wyd. Naukowe: Poznań, Poland, 2022; pp. 351–378. [Google Scholar]
- Available online: www.poznan.pl/mim/wortals/cik/events/lato-z-estrada-swierczewo-koncert-z-potancowka-orkiestra-galicja,148020.html (accessed on 30 September 2024).
- Mazurek, M.; Abramowicz, D. (Eds.) Środowisko Geograficzne Zlewni Junikowskiego Strumienia; Bogucki Wyd. Naukowe: Poznań, Poland, 2022; ISBN 978-83-7986-431-7. [Google Scholar]
- Mirek, Z.; Piękoś-Mirkowa, H.; Zając, A.; Zając, M. Flowering Plants and Pteridophytes of Poland. A Checklist; W. Szafer Institute of Botany, Polish Academy of Sciences: Kraków, Poland, 2020. [Google Scholar]
- Brzeg, A.; Wojterska, M. Przegląd systematyczny zbiorowisk roślinnych Wielkopolski wraz z oceną stopnia ich zagrożenia. Bad. Fizjograf. Pol. Zach. Ser. B 1996, 45, 7–40. [Google Scholar]
- Ziółkowski, R. Charakterystyka aktywności turystycznej na obszarach o dominujących walorach przyrodniczych. Acta Scien. Pol. Oeconomia 2010, 9, 657–667. [Google Scholar]
- Kolasińska, A. Postawy turystów w odniesieniu do ochrony przyrody w świetle badań ankietowych na przykładzie Pienińskiego Parku Narodowego. Folia Tur. 2010, 22, 207–216. [Google Scholar]
- Machnik, A. Poziomy postrzegania przyrody przez turystów na przykładzie wybranych parków krajobrazowych Polski Zachodniej. In Turystyka w Badaniach Naukowych. Prace Przyrodnicze i Humanistyczne; Krupa, J., Biliński, J., Eds.; Rzeszów Wydawnictwo Wyższej Szkoły Informatyki i Zarządzania: Rzeszów, Poland, 2006; pp. 206–215. [Google Scholar]
- McNamara, K.E.; Prideaux, B. Experiencing ‘natural’heritage. Curr. Issues Tour. 2011, 14, 47–55. [Google Scholar] [CrossRef]
- Yavana Rani, S. An empirical sStudy on the Visitors’intention to Visit Cultural Heritage Site. Int. J. Recent Trends Busi. Tour. 2017, 1, 14–20. [Google Scholar]
- Buonincontri, P.; Marasco, A.; Ramkissoon, H. Visitors’ experience, place attachment and sustainable behaviour at cultural heritage sites: A conceptual framework. Sustainability 2017, 9, 1112. [Google Scholar] [CrossRef]
- Kowalewska, J. Stan zachowania i formy zagrożeń Epipactis palustris (L.) Crantz na terenie Pobrzeża i Pojezierza Kaszubskiego. Bad. Fizjograf. Pol. Zach. Ser. B 1995, 44, 173–177. [Google Scholar]
- Wells, T.C.E.; Willems, J.H. Population Ecology of Terrestial Orchids; The Netherlands Kluwer Academic Publishers: Dordrecht, The Netherlands, 1991. [Google Scholar]
- Żukowski, W. Zanikanie storczyków w Polsce niżowej w świetle analizy obecnego rozmieszczenia wybranych gatunków. Phytocoenosis 1976, 5, 215–226. [Google Scholar]
- Szlachetko, D. Zagrożenia gatunków z rodziny Orchidaceae na Pomorzu Zachodnim. In Ginące i Zagrożone Rośliny Naczyniowe Pomorza Zachodniego i Wielkopolski; Żukowski, W., Jackowiak, B., Eds.; Prace Zakładu Taksonomii Roślin UAM 3: Poznań, Poland, 1995; pp. 123–126. [Google Scholar]
- Jackowiak, B.; Celka, Z. Materiały do flory aglomeracji miasta Poznania. Bad. Fizjograf. Pol. Zach. Ser. B 1997, 46, 175–183. [Google Scholar]
- Adamowski, W. Expansion of Native Orchids in Anthropogenous Habitats. Pol. Bot. Stud. 2006, 22, 35–44. [Google Scholar]
- Adamowski, W.; Conti, F. Masowe występowanie storczyków na plantacjach topolowych pod Czeremchą jako przykład apofityzmu. Phytocoenosis 1991, 3, 259–267. [Google Scholar]
- Szlachetko, D.L.; Skakuj, M. Storczyki Polski; Wydawnictwo Sorus: Poznań, Poland, 1996. [Google Scholar]
- Falińska, K. Ekologia Roślin; PWN: Warszawa, Poland, 1996. [Google Scholar]
- Jacquemyn, H.; De Meester, L.; Jongejans, E.; Honnay, O. Evolutionary changes in plant reproductive traits following habitat fragmentation and their consequences for population fitness. J. Ecol. 2012, 100, 76–87. Available online: https://www.jstor.org/stable/41333088 (accessed on 14 October 2024). [CrossRef]
- Salguero–Gómez, R.; Jones, O.; Jongejans, E.; Blomberg, S.; Hodgson, D.; Mbeau-Ache, C.; Zuidema, P.; Kroon, H.; Buckley, Y. Fast–slow continuum and reproductive strategies structure plant life–history variation worldwide. Proc. Natl. Acad. Sci. USA 2016, 113, 230–235. [Google Scholar] [CrossRef]
- Vakhrameeva, M.G.; Tatarenko, I.V. Age structure of population of orchids with different life form. In Studia nad Biologią i Ekologią Storczyków; Sarosiek, J., Ed.; Acta Universitatis Wratislaviensis, Prace Botaniczne: Wrocław, Poland, 1998; Volume 76, pp. 129–139. [Google Scholar]
- Symonides, E. Grupowe właściwości populacji roślin wyższych. Wiad. Ekol. 1974, 20, 337–351. [Google Scholar]
- Yang, Y.Y.; Kim, J.G. The optimal balance between sexual and asexual reproduction in variable environments: A systematic review. J. Ecol. Environ. 2016, 40, 12. [Google Scholar] [CrossRef]
- Weber, A.; Kolb, A. Evolutionary consequences of habitat fragmentation: Population size and density affect selection on inflorescence size in a perennial herb. Evol. Ecol. 2011, 25, 417–428. [Google Scholar] [CrossRef]
- Falińska, K. Osobnik, Populacja, Fitocenoza; PWN: Warszawa, Poland, 1990. [Google Scholar]
- Mróz, L.; Rudecki, A.L. Występowanie i warunki ekologiczne Epipactis palustris (L.) Cr. w Kamieniołomie przy cementowni “Odra” w Opolu. In Studia Nad Ekologią Storczyków; Sarosiek, J., Ed.; Acta Universitatis Wratislaviensis, Prace Botaniczne: Wrocław, Poland, 1995; Volume 63, pp. 101–111. [Google Scholar]
- Spałek, K. Stanowisko kruszczyka błotnego Epipactis palustris na Równinie Opolskiej. Wszechświat 1995, 96, 163. [Google Scholar]
- Kozik, R.; Nabożny, P. Stanowisko kruszczyka błotnego w Tarnowie –Mościcach. Wszechświat 2000, 101, 46–47. [Google Scholar]
- Rostański, A.; Michalska, M. Obfite stanowisko kruszczyka błotnego (Epipactis palustris (L.) Crantz) na zwałowisku hutniczo–kopalnianym w Świętochłowicach–Chropaczowie (Górny Śląsk). Arch. Ochr. Środ. 2003, 29, 115–118. [Google Scholar]
- Nowak, K.; Witkowska, E. Kruszczyk błotny Epipactis palustris (L.) Crantz na terenie wyrobiska cegielni “Gnaszyn” w Częstochowie. Chrońmy Przyr. Ojcz. 2006, 62, 36–39. [Google Scholar]
- Wyrzykiewicz–Raszewska, M. Tendencje rozwojowe oraz wpływ zagęszczenia na wybrane cechy populacji Epipactis palustris (L.) Crantz na antropogenicznym siedlisku. Rocz. AR Pozn. Bot. 2002, 347, 145–158. [Google Scholar]
- Piękoś-Mirkowa, H.; Mirek, Z. Flora Polski. Atlas Roślin Chronionych; Multico Oficyna Wydawnicza: Warszawa, Poland, 2006. [Google Scholar]








Disclaimer/Publisher’s Note: The statements, opinions and data contained in all publications are solely those of the individual author(s) and contributor(s) and not of MDPI and/or the editor(s). MDPI and/or the editor(s) disclaim responsibility for any injury to people or property resulting from any ideas, methods, instructions or products referred to in the content. |
© 2024 by the authors. Licensee MDPI, Basel, Switzerland. This article is an open access article distributed under the terms and conditions of the Creative Commons Attribution (CC BY) license (https://creativecommons.org/licenses/by/4.0/).
Share and Cite
Machnik, A.; Kluza-Wieloch, M.; Maciejewska-Rutkowska, I. Responsible Urban Tourism as a Tool of Natural and Cultural Heritage Protection: Poznań (Poland) Orchids’ Case. Sustainability 2024, 16, 10669. https://doi.org/10.3390/su162310669
Machnik A, Kluza-Wieloch M, Maciejewska-Rutkowska I. Responsible Urban Tourism as a Tool of Natural and Cultural Heritage Protection: Poznań (Poland) Orchids’ Case. Sustainability. 2024; 16(23):10669. https://doi.org/10.3390/su162310669
Chicago/Turabian StyleMachnik, Aleksandra, Magdalena Kluza-Wieloch, and Irmina Maciejewska-Rutkowska. 2024. "Responsible Urban Tourism as a Tool of Natural and Cultural Heritage Protection: Poznań (Poland) Orchids’ Case" Sustainability 16, no. 23: 10669. https://doi.org/10.3390/su162310669
APA StyleMachnik, A., Kluza-Wieloch, M., & Maciejewska-Rutkowska, I. (2024). Responsible Urban Tourism as a Tool of Natural and Cultural Heritage Protection: Poznań (Poland) Orchids’ Case. Sustainability, 16(23), 10669. https://doi.org/10.3390/su162310669

