Analysis of Associated Woody and Semi-Woody Local Wild Species in Entre Ríos, Argentina: Exploring the Agricultural Potential of Hexachlamys edulis
Abstract
1. Introduction
2. Materials and Methods
2.1. Plant Material and Studied Populations
2.2. Climate Characterization
2.3. Biodiversity Indicators and Statistical Analysis
3. Results
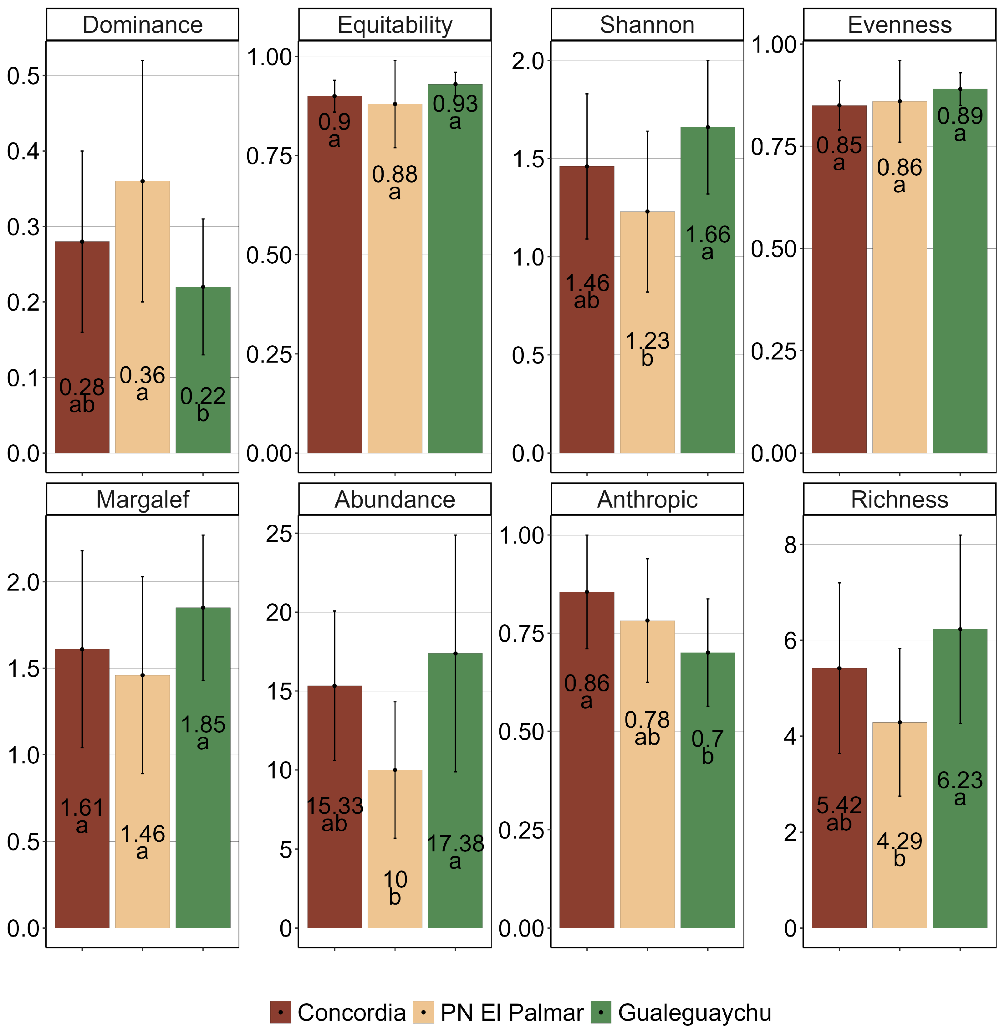
3.1. Biodiversity Indicators
3.2. Multivariate Analisys
4. Discussion
4.1. Relationships Among Biodiversity Indicators and Populations
4.2. Impact of Human Activity on Native and Exotic Species Dynamics
4.3. Vegetation Community Dynamics and Multivariate Analysis
4.4. Native Species for Enhancing Biodiversity in Cropping Systems
5. Conclusions
Author Contributions
Funding
Institutional Review Board Statement
Informed Consent Statement
Data Availability Statement
Acknowledgments
Conflicts of Interest
Appendix A
| Family | Species | Concordia | NP El Palmar | Gualeguaychú |
|---|---|---|---|---|
| Native | ||||
| FABACEAE | Acacia caven | P | P | P |
| SAPINDACEAE | Allophylus edulis | P | P | P |
| LILIACEAE | Asparagus setaceus | A | A | P |
| FABACEAE | Bauhinia forficata | A | A | P |
| MYRTACEAE | Blepharocalyx salicifolius | P | P | A |
| LOGANIACEAE | Buddleja globosa | A | A | P |
| ARECACEAE | Butia yatay | P | P | A |
| ULMACEAE | Celtis iguanaea | A | A | P |
| ULMACEAE | Celtis tala | P | P | P |
| RUBIACEAE | Cephalanthus glabrotus | P | A | A |
| SOLANACEAE | Cestrum parqui | A | A | P |
| VITACEAE | Cissus verticilata | P | A | A |
| RUTACEAE | Citrus aurantium | A | P | A |
| RANUNCULACEAE | Clematis montevidensis | P | A | A |
| CUCURBITACEAE | Cyclanthera hystrix | P | A | A |
| BIGNONIACEAE | Dolichandra cynanchoides | A | P | A |
| FABACEAE | Erythrina crista galli | P | A | P |
| MYRTACEAE | Eugenia uniflora | P | A | P |
| MYRTACEAE | Eugenia uruguayensis | P | P | P |
| ENOTERACEAE | Fuchsia magellanica | A | P | P |
| ASTERACEAE | Heterothalamus alienus | P | A | A |
| MYRTACEAE | Hexachlamys edulis | A | A | P |
| BIGNONIACEAE | Jacaranda mimosifolia | A | P | A |
| TILIACEAE | Luehea divaricata | P | A | A |
| BIGNONIACEAE | Magfadenia unguis cati | A | P | A |
| CELASTRACEAE | Maytenus ilicifolius | A | A | P |
| POLYPODIACEAE | Microgramma lycopodioides | A | P | A |
| FABACEAE | Mimosa pilulifera | P | A | A |
| FABACEAE | Mimosa sp. | P | A | A |
| POLYGONACEAE | Muehlenbeckia sagittifolia | P | A | P |
| MYRTACEAE | Myrrhinium atropurpureum | A | P | A |
| MYRSINACEAE | Myrsine laetevirens | A | A | P |
| MYRTACEAE | Myrtus mucronatum | P | A | A |
| LAURACEAE | Ocotea acutifolia | P | A | A |
| MALVACEAE | Pavonia malvacea | P | A | A |
| FABACEAE | Poecilanthe parviflora | P | A | A |
| SAPOTACEAE | Pouteria salicifolia | A | P | P |
| EUPHORBIACEAE | Sapium haematospermun | A | P | A |
| ANACARDIACEAE | Schinus longifolius | A | P | P |
| ANACARDIACEAE | Schinus molle | A | P | A |
| RHAMNACEAE | Scutia buxifolia | A | P | P |
| EUPHORBIACEAE | Sebastiania brasiliensis | P | A | P |
| FABACEAE | Sesbania punicea | P | A | A |
| SOLANACEAE | Solanum amygdalifolium | P | A | A |
| SOLANACEAE | Solanum jazminoides | A | P | A |
| SOLANACEAE | Solanum mauritianum | A | P | P |
| MALPIGHIACEAE | Stigmaphyllon bonarense | P | A | A |
| COMBRETACEAS | Terminalia australis | P | A | A |
| ASTERACEAE | Tessaria integrifolia | P | A | A |
| VERBENACEAE | Verbena littoralis | A | P | A |
| Exotic | ||||
| VERBENACEAE | Aloysia gratissima | A | P | A |
| BASELLACEAE | Anredera cordifolia | P | A | A |
| VERBENACEAE | Citharexylum montevidense | P | A | A |
| ROSACEAE | Crataegus oxyacantha | A | P | A |
| EPHEDRACEAE | Ephedra twediana | A | P | P |
| MYRTACEAE | Eucalyptus grandis | P | A | A |
| PROTEACEAE | Grevillea robusta | A | P | A |
| CONVOLVULACEAE | Ipomea sp. | P | A | A |
| CONVOLVULACEAE | Ipomoea cairica | P | P | A |
| OLEACEAE | Jazminum humile | A | P | A |
| JUNCACEAE | Juncus acutus | P | A | P |
| VERBENACEAE | Lantana camara | A | A | P |
| OLEACEAE | Ligustrum lucidum | A | P | A |
| OLEACEAE | Ligustrum sinensis | A | P | A |
| MELIACEAE | Melia azederach | A | P | A |
| MALVACEAE | Pavonia hastata | P | A | A |
| LAURACEAE | Persea americana | A | A | P |
| ARECACEAE | Phoenix canariensis | P | A | A |
| SALICACEAE | Populus nigra | A | A | P |
| SALICACEAE | Salix babylonica | A | P | A |
| Total | 35 | 32 | 26 | |

References
- IPBES. Global Assessment Report of the Intergovernmental Science–Policy Platform on Biodiversity and Ecosystem Services; IPBES Secretariat: Bonn, Germany, 2019; p. 1144. ISBN 978-3-947851-20-1. [Google Scholar]
- WWF. Living Planet Report—Bending the Curve of Biodiversity Loss; WWF: Gland, Switzerland, 2020; Available online: https://www.wwf.ch/de/ (accessed on 13 November 2024).
- Khan, A.U.; Abbas, A.; Sharif, F.; Mansoor, A.; Siddiq, Z. Conserving the threatened woody vegetation on dune slopes: Monitoring the decline and designing adaptive strategies for restoration. Nat. Conserv. 2023, 53, 165–182. [Google Scholar] [CrossRef]
- Fisher, J.C.; Dallimer, M.; Irvine, K.N.; Aizlewood, S.G.; Austen, G.E.; Fish, R.D.; King, P.M.; Davies, Z.G. Human well-being responses to species’ traits. Nat. Sustain. 2023, 6, 1219–1227. [Google Scholar] [CrossRef]
- de Lange, E.; Sze, J.S.; Allan, J.; Atkinson, S.; Booth, H.; Fletcher, R.; Khanyari, M.; Saif, O. A global conservation basic income to safeguard biodiversity. Nat. Sustain. 2023, 6, 1016–1023. [Google Scholar] [CrossRef]
- Kunming–Montreal Global Biodiversity Framework. 2022. Available online: https://www.cbd.int/doc/c/e6d3/cd1d/daf663719a03902a9b116c34/cop-15-l-25-en.pdf (accessed on 13 November 2024).
- The Forests, Trees and Agroforestry Partnership. 2022. Available online: https://www.foreststreesagroforestry.org/wp-content/uploads/2022/10/The-FTA-Partnership-Charter.pdf (accessed on 13 November 2024).
- Lindenmayer, D.; Margules, C.; Botkin, D. Biodiversity Indicators for Ecologically Sustainable Forestry. Conserv. Biol. 2000, 14, 942–949. [Google Scholar] [CrossRef]
- World Bank. 2023. Available online: https://www.worldbank.org/ (accessed on 13 November 2024).
- Viglizzo, E.F.; Jobbágy, E. Expansión de la Frontera Agropecuaria en Argentina y su Impacto Ecológico–Ambiental; Ediciones INTA: Buenos Aires, Argentina, 2010; pp. 9–16. [Google Scholar]
- Suwardi, A.B.; Navia, Z.I. Sustainable Use and Management of Wild Edible Fruit Plants: A Case Study in the Ulu Masen Protected Forest, West Aceh, Indonesia. J. Sustain. For. 2023, 42, 811–830. [Google Scholar] [CrossRef]
- Meng, Z.; Dong, J.; Ellis, E.C.; Metternicht, G.; Qin, Y.; Song, X.-P.; Löfqvist, S.; Garrett, R.D.; Jia, X.; Xiao, X. Post-2020 biodiversity framework challenged by cropland expansion in protected areas. Nat. Sustain. 2023, 6, 758–768. [Google Scholar] [CrossRef]
- Bertucci, A.; Haretche, F.; Olivaro, C.; Vázquez, A. Prospección química del bosque en galería de río Uruguay. Rev. Bras. Farmacogn. 2008, 18, 21–25. [Google Scholar] [CrossRef]
- Casas, R.R.; Albarracin, G.F. El Deterioro del Suelo y del Ambiente en la Argentina; Tomo I; Editorial Prosa: Buenos Aires, Argentina, 2015. [Google Scholar]
- Shmida, A.; Wilson, M.V. Biological Determinants of Species Diversity. J. Biogeogr. 1985, 12, 1–20. [Google Scholar] [CrossRef]
- Vignale, B.; Bisio, L. Selección de frutales nativos en Uruguay. Agrociencia 2005, 9, 41–51. [Google Scholar]
- Proença, C.E.B. Proposal to Conserve the Name Myrcianthes edulis against Psidium amygdalinum (Myrtaceae). Taxon 2006, 55, 536–537. [Google Scholar] [CrossRef]
- Povilonis, I.; Arena, M.E.; Radice, S. Hexachlamys edulis (Berg) Kausel & Legrand, “ubajay”, a native fruit species from South America. Adv. Hortic. Sci. 2021, 35, 389–397. [Google Scholar] [CrossRef]
- Arena, M.E.; Povilonis, I.; Borroni, V.; Constenla, D.; Radice, S. Changes in physicochemical properties at different development stages of Hexachlamys edulis fruit, an underutilized South American species. Heliyon 2021, 7, e08323. [Google Scholar] [CrossRef] [PubMed]
- Arena, M.E.; Povilonis, I.S.; Borroni, V.; Pérez, E.; Pellegrino, N.; Cacciatore, C.; Radice, S. Changes in Carbohydrates, Organic Acids, and Minerals at Different Development Stages of Hexachlamys edulis Fruit, a Wild South American Species with Horticultural Potential. Horticulturae 2023, 9, 314. [Google Scholar] [CrossRef]
- Llorente-Culebras, S.; Ladle, R.J.; Santos, A.M.C. Publication trends in global biodiversity research on protected areas. Biol. Conserv. 2023, 281, 109988. [Google Scholar] [CrossRef]
- Duguma, D.W.; Law, E.; Shumi, G.; Rodrigues, P.; Senbeta, F.; Schultner, J.; Abson, D.J.; Fischer, J. Spatial predictions for the distribution of woody plant species under different land–use scenarios in southwestern Ethiopia. Landsc. Ecol. 2023, 38, 1249–1263. [Google Scholar] [CrossRef]
- Batista, W.B.; Rolhauser, A.G.; Biganzoli, F.; Burkart, S.E.; Goveto, L.; Maranta, A.; Pignataro, A.; Genoveva Morandeira, N.S.; Rabadán, M. Las comunidades vegetales de La Sabana del Parque Nacional El Palmar (Argentina). Darwiniana Nueva Ser. 2014, 2, 5–38. Available online: https://www.scielo.org.ar/scielo.php?script=sci_arttext&pid=S0011-67932014000100001&lng=es&tlng=en (accessed on 13 November 2024). [CrossRef]
- UNEP–WCMC and IUCN. Protected Planet: The World Database on Protected Areas (WDPA) and World Database on Other Effective Area–based Conservation Measures (WD–OECM); UNEP–WCMC and IUCN: Cambridge, UK, 2023; Available online: https://www.protectedplanet.net (accessed on 13 November 2024).
- Servicio Meteorológico Nacional (SMN), Argentina. 2023. Available online: https://www.smn.gob.ar/estadisticas (accessed on 13 November 2024).
- Whittaker, R.H. Evolution of species diversity in land communities. Evol. Biol. 1977, 10, 1–87. [Google Scholar]
- Shannon, C.; Weaver, W. The Mathematical Theory of Communication; University of Illinois Press: Urbana, IL, USA, 1949. [Google Scholar]
- Hammer, O.; Harper, D.A.T.; Ryan, P.D. PAST: Paleontological Statistics software package for education and data analysis. Palaeontol. Electron. 2001, 4, 1–9. [Google Scholar]
- Nápoles, R. Ecological Indexes for assessment anthropization–conservation of unit of vegetations, ecosystems, landscape, and territory. Acta Bot. Cubana 2016, 215, 328–335. [Google Scholar]
- Ward, J.H. Hierarchical grouping to optimize an objective function. J. Am. Stat. Assoc. 1963, 58, 236–244. [Google Scholar] [CrossRef]
- Palacio, F.X.; Apodaca, M.J.; Crisci, J.V. Análisis Multivariado Para Datos Biológicos: Teoría y su Aplicación Utilizando el Lenguaje R; Fundación de Historia Natural Félix de Azara: Buenos Aires, Argentina, 2020; ISBN 978-987-3781-49-0. [Google Scholar]
- Posit Team. RStudio: Integrated Development Environment for R. Posit Software; PBC: Boston, MA, USA, 2023; Available online: https://www.posit.co/ (accessed on 13 November 2024).
- Oliveira–Filho, A.T. NeoTropTree, Flora Arbórea da Região Neotropical: Um Banco de Dados Envolvendo Biogeografia, Diversidade e Conservação; Universidade Federal de Minas Gerais: Belo Horizonte, Brazil, 2017. [Google Scholar]
- Micou, A.P. Riesgo Ambiental por Invasiones Biológicas en una Zona Con Alto Valor de Conservación Las Cuencas de El Palmar, Entre Ríos [Tesis de Grado]; Universidad de Buenos Aires: Buenos Aires, Argentina, 2003. [Google Scholar]
- Lou, J.; González–Oreja, J.A. Midiendo la diversidad biológica: Más allá del índice de Shannon. Acta. Zool. Lilloana 2012, 56, 3–14. [Google Scholar]
- Gentry, A.H. Patterns of neotropical plant species diversity. Evol. Biol. 1982, 15, 1–84. [Google Scholar]
- Richardson, D.M.; Rejmánek, M. Trees and shrubs as invasive alien species–a global review. Divers. Distrib. 2011, 17, 788–799. [Google Scholar] [CrossRef]
- Perelman, S.B.; Puhl, L.E. Abordaje multivariado en estudios botánicos y ecológicos. Darwiniana Nueva Ser. 2023, 11, 272–294. [Google Scholar] [CrossRef]
- Ulloa, W.; Baeza, C.M.; Finot, V.L.; Marticorena, A.; Ruiz, E. Micromorfología de la lemma de los géneros Polypogon, Agropogon y Agrostis (Poaceae) en Chile. J. Bot. Res. Inst. Tex. 2011, 5, 237–253. [Google Scholar]
- Arturi, M.F.; Juarez, M.C. Composición de las comunidades arbóreas de la Isla Martín García en relación a un gradiente ambiental. Ecol. Austral. 1997, 7, 65–72. [Google Scholar]
- Schmeda-Hirschmann, G.; Feresin, G.; Tapia, A.; Hilgert, N.; Theoduloz, C. Proximate composition and free radical scavenging activity of edible fruits from the Argentinian Yungas. J. Sci. Food Agric. 2005, 85, 1357–1364. [Google Scholar] [CrossRef]
- Aguilar, M.V.M.; Kuinchtner, C.C.; Wertonge, G.S.; Birck, T.P.; Peixoto, T.W.; de Souza Kulmann, M.S.; Araujo, M.M.; Brunetto, G.; Tabaldi, L.A. Tolerance and sensitivity of Inga marginata and Allophylus edulis to copper excess. Trees 2023, 37, 781–796. [Google Scholar] [CrossRef]
- Brelis, L.; Busch, V.; Sanguinetti, A. Palynological and physicochemical characterization of honey from Butia yatay palm savannas in Argentina. In Melittology—New Advances; IntechOpen: London, UK, 2023. [Google Scholar] [CrossRef]
- Barbieri, R.L.; Costa Gomes, J.C.; Alercia, A.; Padulosi, S. Agricultural biodiversity in Southern Brazil: Integrating efforts for conservation and use of neglected and underutilized species. Sustainability 2014, 6, 741–757. [Google Scholar] [CrossRef]
- Schapoval, E.; Silveira, S.; Miranda, M.; Alice, C.; Henriques, A. Evaluation of some pharmacological activities of Eugenia uniflora L. J. Ethnopharmacol. 1994, 44, 137–142. [Google Scholar] [CrossRef]
- Kuhn, A.; Tedesco, M.; Laughinghouse, H.; Flores, F.; Silva, C.; Canto-Dorow, T.; Tedesco, S. Mutagenic and antimutagenic effects of Eugenia uniflora L. by the Allium cepa L. test. Caryologia 2015, 68, 25–30. [Google Scholar] [CrossRef]
- Cipriano, R.; Maia, B.; Deschamps, C. Deschamps, C. Chemical variability of essential oils of Eugenia uniflora L. genotypes and their antioxidant activity. An. Acad. Bras. Cienc. 2021, 93, e20181299. [Google Scholar] [CrossRef] [PubMed]
- Rodrigues, K.; Amorim, L.; Oliveira, J.; Dias, C.; Moraes, D.; Andrade, E.; Maia, J.; Carneiro, S.; Carvalho, F. Eugenia uniflora L. essential oil as a potential anti-leishmania agent: Effects on Leishmania amazonensis and possible mechanisms of action. Evid. Based Complement. Altern. Med. 2013, 2013, 279726. [Google Scholar] [CrossRef] [PubMed]
- Dellacassa, E.; Lorenzo, D.; Mondello, L.; Cotroneo, A. Uruguayan essential oils. Part VII. Composition of leaf oil of Eugenia uruguayensis Camb. var. uruguayensis (Myrtaceae). J. Essent. Oil Res. 1997, 9, 295–297. [Google Scholar] [CrossRef]
- Lamarca, E.V.; Baptista, W.; Rodrigues, D.S.; Oliveira-Júnior, C.J.F. Contribuições do conhecimento local sobre o uso de Eugenia spp. em sistemas de policultivos e agroflorestas. Rev. Bras. Agroecol. 2013, 8, 119–130. [Google Scholar]
- Di Gristina, E.; Raimondo, F.M. Muehlenbeckia sagittifolia (Polygonaceae), a new alien for the Italian flora. Fl. Medit. 2022, 31, 477–481. [Google Scholar] [CrossRef]









| Indicator | Formula | Formula Breakdown |
|---|---|---|
| Shannon | H = −Σ(pi*log(pi)) | Calculate the sum of the product of each species’ abundance proportion (pi) and its logarithm. |
| Dominance | D = Σ(pi^2) | Sum the squared proportions of each species’ abundance. |
| Equitability | J = H/log(S) | Divide the Shannon entropy (H) by the logarithm of the number of species (S). |
| Evenness | e^H/S = exp(H)/S | Calculate the exponential of Shannon entropy (H) divided by the number of species (S). |
| Margalef | M = (S − 1)/log(N) | Subtract 1 from the number of species (S) and divide it by the logarithm of the total individuals (N). |
| Anthropic Indicator | Ia = (n° natives)/(n° natives + n° exotics) | Divide the number of native species by the sum of native and exotic species counts. |
Disclaimer/Publisher’s Note: The statements, opinions and data contained in all publications are solely those of the individual author(s) and contributor(s) and not of MDPI and/or the editor(s). MDPI and/or the editor(s) disclaim responsibility for any injury to people or property resulting from any ideas, methods, instructions or products referred to in the content. |
© 2024 by the authors. Licensee MDPI, Basel, Switzerland. This article is an open access article distributed under the terms and conditions of the Creative Commons Attribution (CC BY) license (https://creativecommons.org/licenses/by/4.0/).
Share and Cite
Povilonis, I.S.; Arena, M.E.; Alonso, M.; Radice, S. Analysis of Associated Woody and Semi-Woody Local Wild Species in Entre Ríos, Argentina: Exploring the Agricultural Potential of Hexachlamys edulis. Sustainability 2024, 16, 10029. https://doi.org/10.3390/su162210029
Povilonis IS, Arena ME, Alonso M, Radice S. Analysis of Associated Woody and Semi-Woody Local Wild Species in Entre Ríos, Argentina: Exploring the Agricultural Potential of Hexachlamys edulis. Sustainability. 2024; 16(22):10029. https://doi.org/10.3390/su162210029
Chicago/Turabian StylePovilonis, Ignacio Sebastián, Miriam Elisabet Arena, Marta Alonso, and Silvia Radice. 2024. "Analysis of Associated Woody and Semi-Woody Local Wild Species in Entre Ríos, Argentina: Exploring the Agricultural Potential of Hexachlamys edulis" Sustainability 16, no. 22: 10029. https://doi.org/10.3390/su162210029
APA StylePovilonis, I. S., Arena, M. E., Alonso, M., & Radice, S. (2024). Analysis of Associated Woody and Semi-Woody Local Wild Species in Entre Ríos, Argentina: Exploring the Agricultural Potential of Hexachlamys edulis. Sustainability, 16(22), 10029. https://doi.org/10.3390/su162210029

