Emission Risk and Inhibition Technology of Asphalt Fume from Crumb Rubber Modified Asphalt
Abstract
1. Introduction
2. Materials and Methods
2.1. Raw Materials
2.2. Preparation of Inhibited Crumb Rubber-Modified Asphalt
2.3. Experimental Methods
2.3.1. Inhibition Material Characteristics
2.3.2. Detection and Analysis System of Asphalt Fumes
2.3.3. Rheological Test
2.4. The Basic Experiment Line
3. Results and Discussions
3.1. Emission Risk of Crumb Rubber-Modified Asphalt
3.2. Micro-Morphology Characteristics of Inhibition Materials
3.3. Evaluation of Emission of Inhibited Crumb Rubber-Modified Asphalt
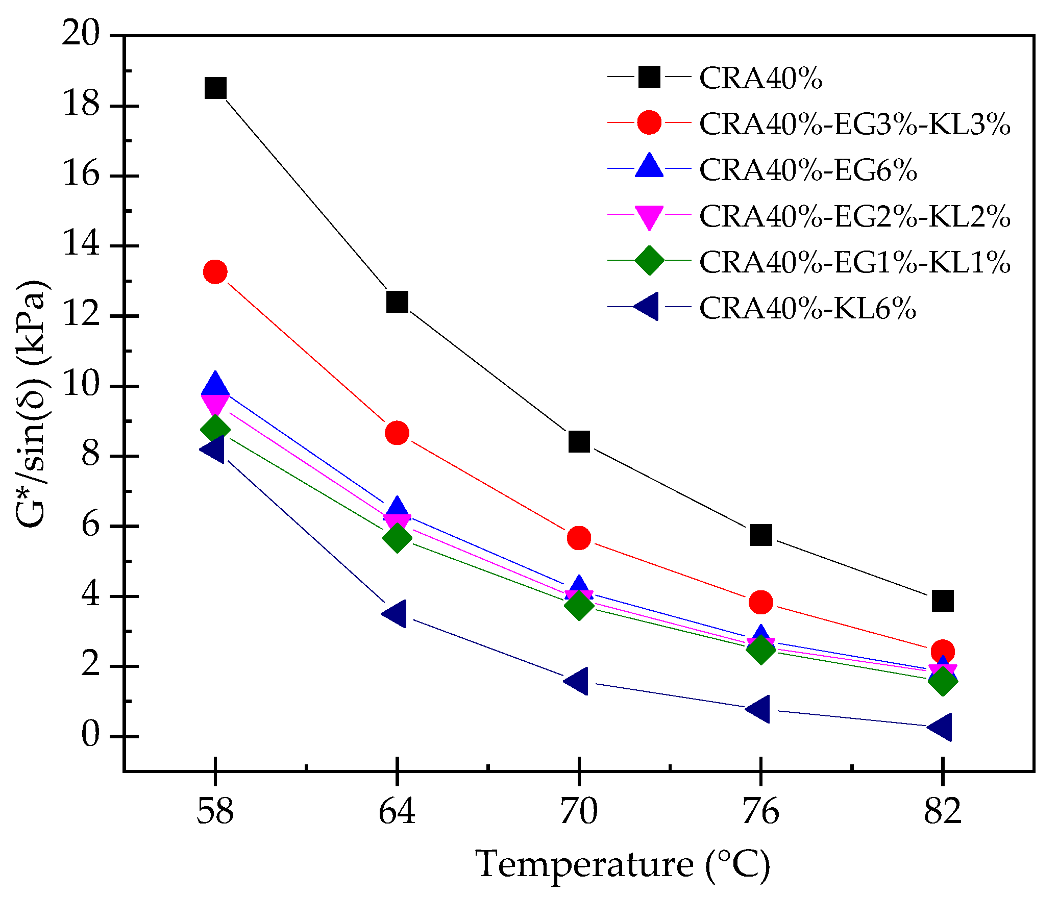
3.4. Optimization of the Inhibition Materials Based on Emission and Rheology
4. Conclusions
- Crumb rubber-modified asphalt produces an increased asphalt fume with temperature increasing. The release of VOCs exhibited a general increase with more rubber powder content. DS CRA 20% resulted in a reduction in the release of H2S and NO, while only CRA 50% resulted in the release of SO2 above 170 °C.
- The most significant pollutants released from crumb rubber-modified asphalt are p-xylene, toluene, and benzene. Benzothiazole, naphthalene, and other potential carcinogens at elevated temperatures were observed. DS CRA 20% and CRA 50% have severe potential health effects on workers and their surroundings.
- The inhibition materials based on kaolin and expanded graphite can inhibit the release of certain pollutants. CRA 40%-EG3%-KL3% was effective in controlling the release of VOCs, NO, and H2S in asphalt. Furthermore, the combination did not promote the production of SO2 and effectively inhibited the release of various particles at 185 °C.
- Considering emission, rheological properties, and cost, CRA 40%-EG2%-KL2% was determined as the optimization formula. This ratio was found to effectively inhibit VOCs by 53.8% to 75.2%. It can completely inhibit the release of NO and H2S while also preventing the promotion of SO2 release by CRA 40% and significantly inhibit the release of particulate matter.
Author Contributions
Funding
Institutional Review Board Statement
Informed Consent Statement
Data Availability Statement
Conflicts of Interest
References
- Cui, P.; Wu, S.; Xiao, Y.; Hu, R.; Yang, T. Environmental Performance and Functional Analysis of Chip Seals with Recycled Basic Oxygen Furnace Slag as Aggregate. J. Hazard. Mater. 2021, 405, 124441. [Google Scholar] [CrossRef] [PubMed]
- EAPA. Manifesto of the European Asphalt Pavement Association on the Occasion of Its 50th Anniversary 1973–2023. Available online: https://eapa.org/eapa-manifesto-2023-view/ (accessed on 14 July 2024).
- Xu, H.; Zou, Y.; Airey, G.; Wang, H.; Zhang, H.; Wu, S.; Chen, A. Wetting of Bio-Rejuvenator Nanodroplets on Bitumen: A Molecular Dynamics Investigation. J. Clean. Prod. 2024, 444, 141140. [Google Scholar] [CrossRef]
- Yang, C.; Wu, S.; Cui, P.; Amirkhanian, S.; Zhao, Z.; Wang, F.; Zhang, L.; Wei, M.; Zhou, X.; Xie, J. Performance Characterization and Enhancement Mechanism of Recycled Asphalt Mixtures Involving High RAP Content and Steel Slag. J. Clean. Prod. 2022, 336, 130484. [Google Scholar] [CrossRef]
- Cao, Z.; Chen, M.; Han, X.; Wang, R.; Yu, J.; Xu, X.; Xue, L. Influence of Characteristics of Recycling Agent on the Early and Long-Term Performance of Regenerated SBS Modified Bitumen. Constr. Build. Mater. 2020, 237, 117631. [Google Scholar] [CrossRef]
- Gao, B.; Zhao, Y.; Zhao, Z. Characteristics of Polyurethane/Waste Rubber Powder Composite Modifier and Its Effect on the Performance of Asphalt Mixture. Sustainability 2023, 15, 12703. [Google Scholar] [CrossRef]
- Wang, Y.; Qiao, J.; Li, G.; Chen, Z.; Tan, Y.; Cong, X.; Dong, Y.; Xiao, S. Effect of Styrene-Butadiene Rubber on Asphalt Binder Energy at Different Temperatures Based on Molecular Dynamics Simulation. J. Mater. Civ. Eng. 2024, 36, 04023539. [Google Scholar] [CrossRef]
- Yang, F.; Hu, Z.; Xi, H. Comparative Investigation on the Properties and Molecular Mechanisms of Natural Phenolic Compounds and Rubber Polymers to Inhibit Oxidative Aging of Asphalt Binders. Adv. Mater. Sci. Eng. 2022, 2022, 5700516. [Google Scholar] [CrossRef]
- Gao, M.; Chen, Y.; Fan, C.; Li, M. Molecular Dynamics Study on the Compatibility of Asphalt and Rubber Powder with Different Component Contents. ACS OMEGA 2022, 7, 36157–36164. [Google Scholar] [CrossRef]
- Zhao, Z.; Wu, S.; Xie, J.; Yang, C.; Wang, F.; Li, N.; Liu, Q.; Amirkhanian, S. Effect of Direct Addition of Asphalt Rubber Pellets on Mixing, Performance and VOCs of Asphalt Mixtures. Constr. Build. Mater. 2024, 411, 134494. [Google Scholar] [CrossRef]
- Zhang, X.; Tang, B.; Yang, X.; Li, J.; Cao, X.; Zhu, H. Risk Assessment of Volatile Organic Compounds from Aged Asphalt: Implications for Environment and Human Health. J. Clean. Prod. 2024, 440, 141001. [Google Scholar] [CrossRef]
- Cui, P.; Schito, G.; Cui, Q. VOC Emissions from Asphalt Pavement and Health Risks to Construction Workers. J. Clean. Prod. 2020, 244, 118757. [Google Scholar] [CrossRef]
- Wang, M.; Wang, C.; Huang, S.; Yuan, H. Study on Asphalt Volatile Organic Compounds Emission Reduction: A State-of-the-Art Review. J. Clean. Prod. 2021, 318, 128596. [Google Scholar] [CrossRef]
- Wu, R.; Xiao, Y.; Zhang, P.; Lin, J.; Cheng, G.; Chen, Z.; Yu, R. Asphalt VOCs Reduction of Zeolite Synthesized from Solid Wastes of Red Mud and Steel Slag. J. Clean. Prod. 2022, 345, 131078. [Google Scholar] [CrossRef]
- Li, N.; Jiang, Q.; Wang, F.; Xie, J.; Li, Y.; Li, J.; Wu, S. Emission Behavior, Environmental Impact and Priority-Controlled Pollutants Assessment of Volatile Organic Compounds (VOCs) during Asphalt Pavement Construction Based on Laboratory Experiment. J. Hazard. Mater. 2020, 398, 122904. [Google Scholar] [CrossRef] [PubMed]
- Lv, Y.; Wu, S.; Li, N.; Cui, P.; Wang, H.; Amirkhanian, S.; Zhao, Z. Performance and VOCs Emission Inhibition of Environmentally Friendly Rubber Modified Asphalt with UiO-66 MOFs. J. Clean. Prod. 2023, 385, 135633. [Google Scholar] [CrossRef]
- Anthonissen, J.; Van den Bergh, W.; Braet, J. Review and Environmental Impact Assessment of Green Technologies for Base Courses in Bituminous Pavements. Environ. Impact Assess. Rev. 2016, 60, 139–147. [Google Scholar] [CrossRef]
- Li, X.; Wu, S.; Wang, F.; You, L.; Yang, C.; Cui, P.; Zhang, X. Quantitative Assessments of GHG and VOCs Emissions of Asphalt Pavement Contained Steel Slag. Constr. Build. Mater. 2023, 369, 130606. [Google Scholar] [CrossRef]
- Xie, J.; Ding, Z.; Luo, H.; Zhao, X.; Li, S.; Ma, Y. Interaction of Composite Fume Suppression and Odor Elimination Agents with Crumb Rubber Modified Asphalt: Inhibition Behavior of Volatile Organic Compounds (VOCs) and Inorganic Fume. Sci. Total Environ. 2024, 935, 173459. [Google Scholar] [CrossRef]
- Zhang, J.; Chen, M.; Wu, S.; Zhou, X.; Zhao, G.; Zhao, Y.; Cheng, M. Evaluation of VOCs Inhibited Effects and Rheological Properties of Asphalt with High-Content Waste Rubber Powder. Constr. Build. Mater. 2021, 300, 124320. [Google Scholar] [CrossRef]
- Chang, X.; Xiao, Y.; Long, Y.; Wang, F.; You, Z. Temperature Dependency of VOCs Release Characteristics of Asphalt Materials under Varying Test Conditions. J. Traffic Transp. Eng. Engl. Ed. 2022, 9, 280–292. [Google Scholar] [CrossRef]
- Zhou, B.; Gong, G.; Liu, Y.; Guo, M.; Wang, C. Technical and Environmental Performance Assessment of VOCs Inhibited Asphalt Binders and Mixtures. Transp. Res. Part D Transp. Environ. 2023, 124, 103931. [Google Scholar] [CrossRef]
- Li, H.; Zhang, Y.; Zhou, L.; Feng, Z.; Sun, J.; Hao, G.; Li, Z. Effect of Rubber Powder Desulfurization on the Compatibility between Rubber and Bitumen: Combination and Insight of Experiments and Molecular Dynamics Simulation. Constr. Build. Mater. 2024, 414, 134966. [Google Scholar] [CrossRef]
- Li, L.; Zhou, T.; Cao, L.; Zhou, J.; Liu, Z.; Dong, Z. Characterization of Emissions from Rubber Modified Asphalt and Their Impact on Environmental Burden: Insights into Composition Variability and Hazard Assessment. J. Hazard. Mater. 2024, 477, 135336. [Google Scholar] [CrossRef] [PubMed]
- Kang, B.; Qi, C.; Han, S.; Kuang, D.; Wu, Y.; Chen, H.; Zhang, H.; Xuan, W. Characterization of De-Crosslinking Crumb Rubber on Mechano-Chemical Recovery for Asphalt Performance Improvement. Constr. Build. Mater. 2024, 426, 136161. [Google Scholar] [CrossRef]
- Wang, Z.; Zhao, Z.; Yang, C.; Yang, X.; Chen, S.; Zou, Y. Performance Evaluation of Asphalt Modified with Steel Slag Powder and Waste Tire Rubber Compounds. Sustainability 2022, 14, 8615. [Google Scholar] [CrossRef]
- Xing, B.; Feng, Y.; Sun, S.; Qian, C.; Fang, C.; Lv, X.; Song, A.; Lyu, Y. Investigations on the Rheological and Swelling-Degradation Behavior of Crumb Rubber within the Bituminous Matrix. Constr. Build. Mater. 2023, 367, 130262. [Google Scholar] [CrossRef]
- Wang, Z.; Wu, S.; Yang, C.; Xie, J.; Xiao, Y.; Zhao, Z.; Wang, F.; Zhang, L. Quantitative Assessment of Road Performance of Recycled Asphalt Mixtures Incorporated with Steel Slag. Materials 2022, 15, 5005. [Google Scholar] [CrossRef]
- Mousavi, M.; Park, K.-B.; Kim, J.-S.; Fini, E.H. Metal-Rich Biochar as an Asphalt Modifier to Improve Sustainability and Reduce VOC Emissions. Sustain. Mater. Technol. 2024, 40, e00903. [Google Scholar] [CrossRef]
- Dong, R.; Zhang, Z.; Zhou, T.; Deng, W.; You, H. Research on the Fatigue Properties of Rejuvenated Asphalt Prepared by Waste Cooking Oil Pre-Desulfurized Crumb Tire Rubber. Polymers 2023, 15, 740. [Google Scholar] [CrossRef]
- Huang, Z.; Guan, B.; Li, P.; Liu, T.; Ma, X.; Xiong, R.; Nian, J.; Li, J. Degradation Performance and Mechanism of VOCs in Asphalt by Alkali Metal-Doped La2Ce2O7-Based Fluorite through Pyroelectric and Photocatalytic Synergy. Constr. Build. Mater. 2024, 443, 137842. [Google Scholar] [CrossRef]
- Jiang, Q.; Li, N.; Yang, F.; Ren, Y.; Wu, S.; Wang, F.; Xie, J. Rheology and Volatile Organic Compounds Characteristics of Warm-Mix Flame Retardant Asphalt. Constr. Build. Mater. 2021, 298, 123691. [Google Scholar] [CrossRef]
- Chang, X.; Wan, L.; Long, Y.; Xiao, Y.; Xue, Y. Optimal Zeolite Structure Design for VOC Emission Reduction in Asphalt Materials. Constr. Build. Mater. 2023, 366, 130227. [Google Scholar] [CrossRef]
- Tang, N.; Yang, K.; Alrefaei, Y.; Dai, J.-G.; Wu, L.-M.; Wang, Q. Reduce VOCs and PM Emissions of Warm-Mix Asphalt Using Geopolymer Additives. Constr. Build. Mater. 2020, 244, 118338. [Google Scholar] [CrossRef]
- Espinoza, J.; Medina, C.; Calabi-Floody, A.; Sanchez-Alonso, E.; Valdes, G.; Quiroz, A. Evaluation of Reductions in Fume Emissions (VOCs and SVOCs) from Warm Mix Asphalt Incorporating Natural Zeolite and Reclaimed Asphalt Pavement for Sustainable Pavements. Sustainability 2020, 12, 9546. [Google Scholar] [CrossRef]
- Ge, L.; Yao, Y.; Xu, L.; Zhou, Z.; Li, J.; Zhang, X.; Liu, C.; Lv, H. Mitigation of Asphalt Volatile Organic Compounds Emissions and Health Hazards Using a TiO2-Doped Biochar Composite: Microscopic and Physiological Insights. Environ. Technol. Innov. 2024, 36, 103763. [Google Scholar] [CrossRef]
- Jin, J.; Liu, S.; Zhang, B.; Qian, G.; Gao, Y.; Li, R. Effects of G-C3N4/MMT Composite on High Rheological Behaviors and Catalytic Properties of Asphalt. J. Mater. Civ. Eng. 2024, 36, 04024242. [Google Scholar] [CrossRef]
- Cao, Z.; Gong, G.; Liu, Y.; Cao, X.; Tang, B.; Wang, C. Effects of Different Inhibitors on Emission Characteristics, Environmental Impact and Health Risk of Volatile Organic Compounds from Asphalt Binder. J. Clean. Prod. 2023, 428, 139427. [Google Scholar] [CrossRef]
- Wei, M.; Wu, S.; Zhu, L.; Li, N.; Yang, C. Environmental Impact on VOCs Emission of a Recycled Asphalt Mixture with a High Percentage of RAP. Materials 2021, 14, 947. [Google Scholar] [CrossRef]
- Wang, Q.; Zhang, Y.; Hussain, A.; Guo, Z.; Wang, L.; Cui, Y. Asphalt-Derived Hierarchical Porous Carbon as an Efficient Adsorbent for Benzene. Sep. Purif. Technol. 2025, 353, 128467. [Google Scholar] [CrossRef]
- Mo, S.; Wang, Y.; Xiong, F.; Ai, C.; Wang, D.; Tan, G.Y.A. Changes of Asphalt Fumes in Hot-Mix Asphalt Pavement Recycling. J. Clean. Prod. 2020, 258, 120586. [Google Scholar] [CrossRef]
- Lv, Y.; Wu, S.; Li, N.; Cui, P.; Liu, Q.; Amirkhanian, S. Screening and Environmental Risk Assessment of VOCs Preferential Pollutants in Net Flavor Rubber-Modified Asphalt Based on the Information Entropy Method. Constr. Build. Mater. 2024, 420, 135616. [Google Scholar] [CrossRef]
- Zhang, X.; Tang, B.; Cao, X.; Li, J.; Zhu, H. Study on the Release Characteristics of Volatile Organic Compounds from Different Aged Asphalt. J. Clean. Prod. 2023, 423, 138774. [Google Scholar] [CrossRef]
- Ministry of Transport of the People’s Republic of China. Technical Specification for Construction of Highway Asphalt Pavements; Ministry of Transport of the People’s Republic of China: Beijing, China, 2004. [Google Scholar]
- Li, H.; Jia, M.; Zhang, X.; Wang, Z.; Liu, Y.; Yang, J.; Yang, B.; Sun, Y.; Wang, H.; Ma, H. Laboratory Investigation on Fumes Generated by Different Modified Asphalt Binders. Transp. Res. Part D Transp. Environ. 2023, 121, 103828. [Google Scholar] [CrossRef]



















| Indicators | Unit | Value | Test Method [44] | |
|---|---|---|---|---|
| Kinematic viscosity (180 °C) | Pa•S | 2.85 | T0625-2011 | |
| Penetration (25 °C, 100 g, 5 s) | 0.1 mm | 43 | T0604-2011 | |
| Ductility (5 cm/min, 15 °C) | cm | 18.6 | T0605-2011 | |
| Softening point | °C | 78.9 | T0606-2011 | |
| Separation difference in softening point | °C | 2.4 | T0661-2011 | |
| Residue after RTFOT (163 °C, 85 min) | Mass change | % | −0.2 | T0609-2011 |
| Penetration ratio | % | 87 | T0604-2011 | |
| Ductility (5 °C) | cm | 14.5 | T0605-2011 | |
| Sample | Addition Amount (by Weight of Asphalt) | |
|---|---|---|
| EG | KL | |
| CRA 40%-KL6% | 0% | 6% |
| CRA 40%-EG6% | 6% | 0% |
| CRA 40%-EG3%-KL3% | 3% | 3% |
| CRA 40%-EG2%-KL2% | 2% | 2% |
| CRA 40%-EG1%-KL1% | 1% | 1% |
| Parameters | Process | ||
|---|---|---|---|
| Ⅰ. Heating and Stirring | Ⅱ. High-Speed Shearing | Ⅲ. Dissolving and Stirring | |
| Temperature (°C) | 180 | 180 | 180 |
| Rate RMP) | 400 | 3–4 k | 400 |
| Time (min) | 30 | 60 | 30 |
Disclaimer/Publisher’s Note: The statements, opinions and data contained in all publications are solely those of the individual author(s) and contributor(s) and not of MDPI and/or the editor(s). MDPI and/or the editor(s) disclaim responsibility for any injury to people or property resulting from any ideas, methods, instructions or products referred to in the content. |
© 2024 by the authors. Licensee MDPI, Basel, Switzerland. This article is an open access article distributed under the terms and conditions of the Creative Commons Attribution (CC BY) license (https://creativecommons.org/licenses/by/4.0/).
Share and Cite
Wang, Z.; Li, H.; Jia, M.; Du, Q. Emission Risk and Inhibition Technology of Asphalt Fume from Crumb Rubber Modified Asphalt. Sustainability 2024, 16, 8840. https://doi.org/10.3390/su16208840
Wang Z, Li H, Jia M, Du Q. Emission Risk and Inhibition Technology of Asphalt Fume from Crumb Rubber Modified Asphalt. Sustainability. 2024; 16(20):8840. https://doi.org/10.3390/su16208840
Chicago/Turabian StyleWang, Zipeng, Hui Li, Ming Jia, and Qunle Du. 2024. "Emission Risk and Inhibition Technology of Asphalt Fume from Crumb Rubber Modified Asphalt" Sustainability 16, no. 20: 8840. https://doi.org/10.3390/su16208840
APA StyleWang, Z., Li, H., Jia, M., & Du, Q. (2024). Emission Risk and Inhibition Technology of Asphalt Fume from Crumb Rubber Modified Asphalt. Sustainability, 16(20), 8840. https://doi.org/10.3390/su16208840

