Artificial Intelligence Evaluates How Humans Connect to the Built Environment: A Pilot Study of Two Experiments in Biophilia
Abstract
1. Introduction—Biophilic Healing Properties
1.1. Biophilic Environments—Both Natural and Artificial
1.2. Using Artificial Intelligence in Measuring Positive Responses to Environments
1.3. Addressing Different Scales of Architectural Spaces
1.4. Biophilic Design Qualities
1.5. Life (Nature in the Space)
1.6. Representations of Nature (Natural Analogues)
1.7. Spatial Configurations That Evoke Ancestral Settings
1.8. Existing Research on the Biophilic Effect
2. Methods
2.1. Study 1—Impact of Biophilic Design on Emotional Responses
2.1.1. Study Design
2.1.2. Study Execution
2.1.3. Data Processing
2.2. Study 2—Influence of Biophilic Design on Productivity and Team Engagement
2.2.1. Study Design
2.2.2. Study Execution
2.2.3. Data Processing
3. Results
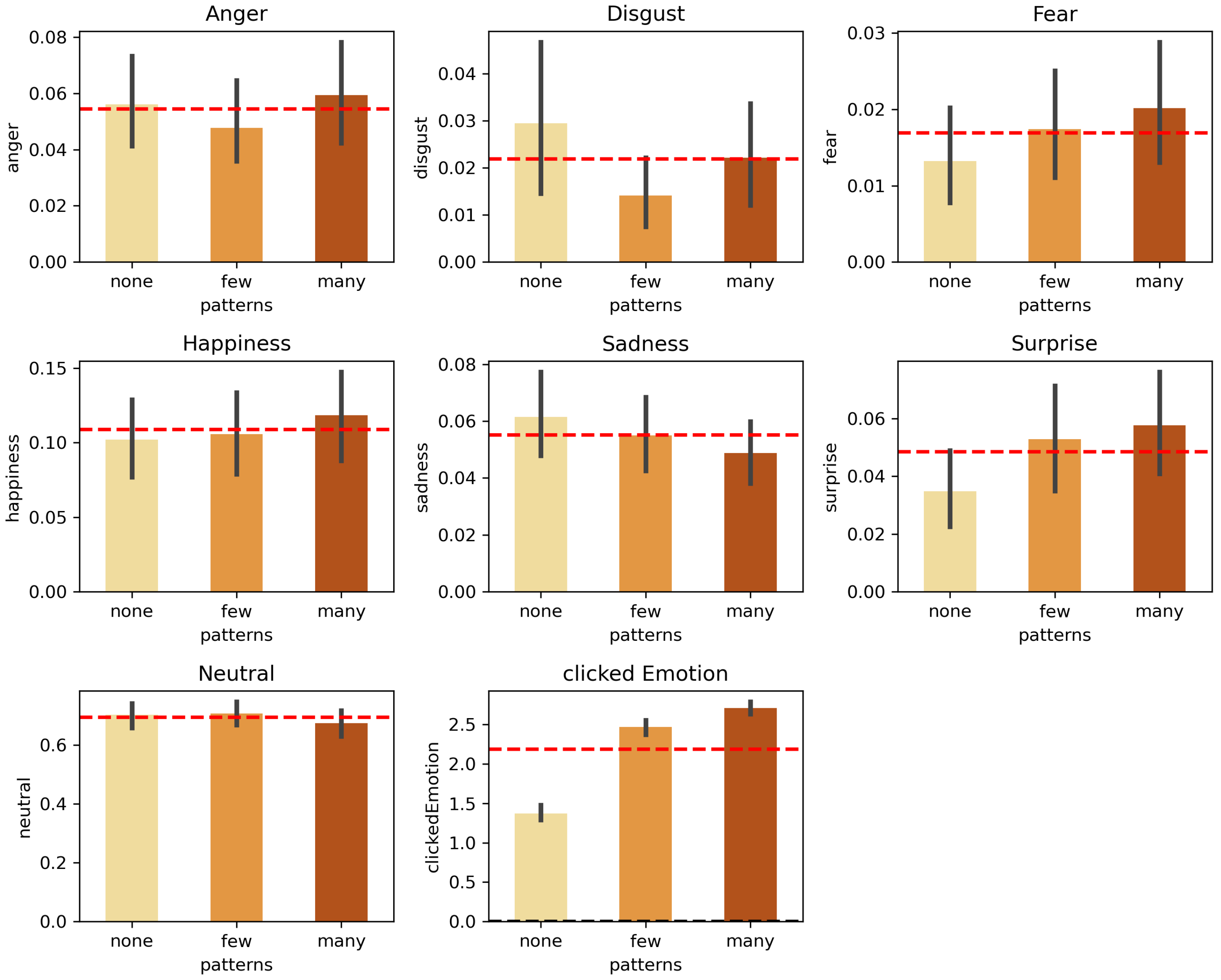
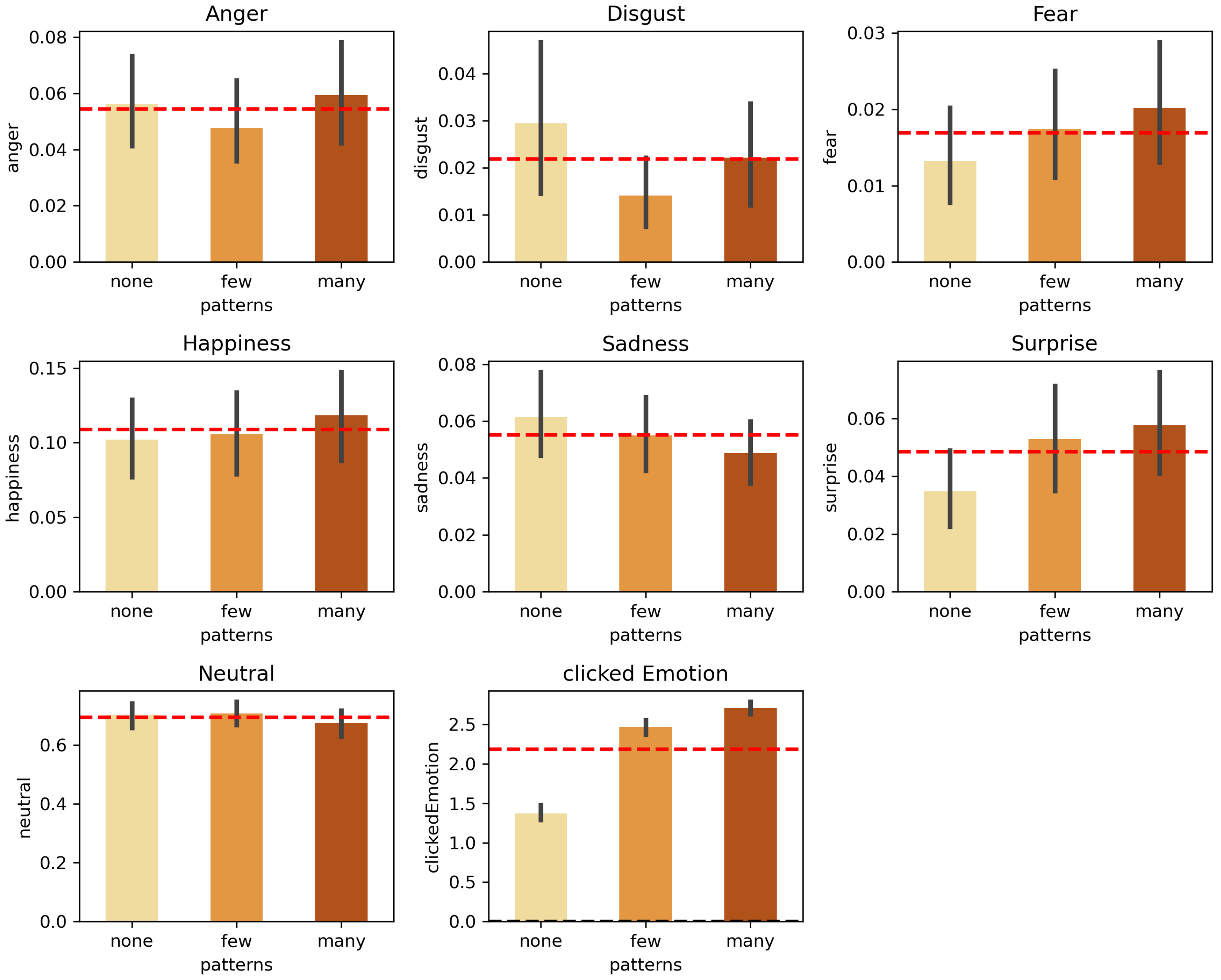
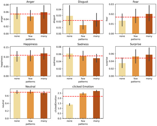
3.1. Results of Study 1
- (a)
- Emotions that become more intense when more biophilic characteristics are present. These are fear where participants showed an 18.9% increase, happiness with a 8.9% increase, surprise with a 19% increase, and the self-stated emotion being 24.1% more positive.
- (b)
- The emotion sadness seems to be decreasing when more biophilic characteristics are present, decreasing by 11.4%.
- (c)
- Anger (−12.3%) and disgust (−35.7%) seem to be at lowest when only a few biophilic characteristics are included in the images. Anger increases the most with 9.2% when many biophilic patterns are present and disgust has its highest with an increase of 34.2% when the architecture shown in the images had no aspects of biophilic design at all.
3.2. Results of Study 2
4. Discussion
4.1. Review of the Experimental Results
4.2. Proposing a Direction for New Experiments
5. Limitations
6. Conclusions
Author Contributions
Funding
Institutional Review Board Statement
Informed Consent Statement
Data Availability Statement
Conflicts of Interest
Appendix A
| Building | Biophilic Design Patterns |
|---|---|
| New York Grand Central Terminal | P8, P10, P11 |
| New York Hearst Tower | P11, P14 |
| Sir Duncan Rice Library, University of Aberdeen | P8, P10, P14 |
| KU Leuven Central Library, Antwerp | P9, P10, P12 |
| Royal Children’s Hospital Melbourne | P1, P2, P10 |
| Stockholm White Mountain Office (1) | P1, P2, P6, P9 |
| Stockholm White Mountain Office (2) | P3, P6, P9, P13 |
| Madrid Selgascano Architecture Office | P1, P6, P7, P12 |
| UP Ipswich Library, University of Queensland, Brisbane | P1, P2, P7, P11 |
| Community Hospital of the Monterey Peninsula | P1, P2, P3, P5, P7, P10, P13 |
| Museu Nacional da Republica Brasilia | - |
| Cologne University Library | - |
| Hachioji Library, Tama Art University, Hachioji | - |
| Biblioteca Nacional de Brasilia | - |
| Jakarta Ogilvy Office | - |

References
- Wilson, E.O. Biophilia; Harvard University Press: Cambridge, MA, USA, 1984. [Google Scholar]
- Kellert, S.; Heerwagen, J.; Mador, M. Biophilic Design: The Theory, Science and Practice of Bringing Buildings to Life; John Wiley: New York, NY, USA, 2008. [Google Scholar]
- Salingaros, N. Biophilia and Healing Environments. Healthy Principles for Designing the Built World; Terrapin Bright Green, LLC: New York, NY, USA, 2015. [Google Scholar]
- Salingaros, N. The Biophilic Index Predicts Healing Effects of the Built Environment. J. Biourbanism 2019, 8, 13–34. [Google Scholar]
- Ulrich, R.S.; Simons, R.F.; Losito, B.D.; Fiorito, E.; Miles, M.A.; Zelson, M. Stress recovery during exposure to natural and urban environments. J. Environ. Psychol. 1991, 11, 201–230. [Google Scholar] [CrossRef]
- Gaekwad, J.S.; Sal Moslehian, A.; Roös, P.B.; Walker, A. A meta-analysis of emotional evidence for the biophilia hypothesis and implications for biophilic design. Front. Psychol. 2022, 13, 2476. [Google Scholar] [CrossRef] [PubMed]
- Maghool, A.H.; Homolja, M.S.M. The Impact of Moving through the Built Environment on Emotional and Neurophysiological State - A Systematic Literature Review. In Proceedings of the 25th International Conference of the Association for Computer-Aided Architectural Design Research in Asia (CAADRIA), Singapore, 20–26 April 2020; Volume 1, pp. 641–650. [Google Scholar] [CrossRef]
- Piga, B.E. Experiential-Walk: Experiencing and Representing the City for Urban Design Purposes. In Experiential Walks for Urban Design: Revealing, Representing, and Activating the Sensory Environment; Springer: Berlin/Heidelberg, Germany, 2021; pp. 187–206. [Google Scholar]
- Piga, B.E.A.; Rainisio, N.; Stancato, G.; Boffi, M. Mapping the In-Motion Emotional Urban Experiences: An Evidence-Based Method. Sustainability 2023, 15, 7963. [Google Scholar] [CrossRef]
- Dovjak, M.; Kukec, A. Creating Healthy and Sustainable Buildings: An Assessment of Health Risk Factors; Springer: Cham, Switzerland, 2019; Chapter 2; p. 614. [Google Scholar]
- Altomonte, S.; Allen, J.; Bluyssen, P.; Brager, G.; Heschong, L.; Loder, A.; Veitch, J.; Wang, L.; Wargocki, P. Ten Questions Concerning Well-Being in the Built Environment. Build. Environ. 2020, 180, 106949. [Google Scholar] [CrossRef]
- Tarek, S.; Ouf, A. Biophilic Smart Cities: The Role of Nature and Technology in Enhancing Urban Resilience. J. Eng. Appl. Sci. 2021, 68, 40. [Google Scholar] [CrossRef]
- Allam, Z.; Takun, Y. Rethinking Smart Cities; Edward Elgar: Camberley, UK, 2022. [Google Scholar]
- Louv, R. What Is Nature-Deficit Disorder. 2019. Available online: https://richardlouv.com/blog/what-is-nature-deficit-disorder (accessed on 9 August 2023).
- Kellert, S. Nature by Design: The Practice of Biophilic Design; Yale University Press: New Haven, CT, USA, 2018. [Google Scholar]
- Silkin, L. Biophilic Design and the Workplace. 2021. Available online: https://www.futureofworkhub.info/explainers/2021/4/7/biophilic-design-and-the-workplace (accessed on 1 September 2023).
- Rhee, J.H.; Schermer, B.; Cha, S.H. Effects of indoor vegetation density on human well-being for a healthy built environment. Dev. Built Environ. 2023, 14, 100172. [Google Scholar] [CrossRef]
- Allen, J.G.; MacNaughton, P.; Laurent, J.G.C.; Flanigan, S.S.; Eitland, E.S.; Spengler, J.D. Green Buildings and Health. Curr. Environ. Health Rep. 2015, 2, 250–258. [Google Scholar] [CrossRef]
- Salingaros, N.A. Neuroscience Experiments to verify the Geometry of Healing Environments. In Urban Experience and Design: Contemporary Perspectives on Improving the Public Realm; Routledge/Taylor & Francis Group, Routledge: London, UK, 2020; Chapter 4; pp. 58–72. [Google Scholar]
- Browning, W.; Ryan, C.O.; Clancy, J. 14 Patterns of Biophilic Design: Improving Health and Well-Being in the Built Environment; Terrapin Bright Green LLC: New York, NY, USA, 2014; Available online: https://api.semanticscholar.org/CorpusID:198347522 (accessed on 12 May 2023).
- Alexander, C. The Nature of Order: The Phenomenon of Life; Center for Environmental Structure: Berkeley, CA, USA, 2002. [Google Scholar]
- Gabriel, R.P.; Quillien, J. A search for beauty/A struggle with complexity: Christopher Alexander. Urban Sci. 2019, 3, 64. [Google Scholar] [CrossRef]
- Joye, Y.; van den Berg, A. Is Love for Green in Our Genes? A Critical Analysis of Evolutionary Assumptions in Restorative Environments Research. Urban For. Urban Green. 2011, 10, 261–268. [Google Scholar] [CrossRef]
- Kardan, O.; Demiralp, E.; Hout, M.; Hunter, M.; Karimi, H.; Hanayik, T.; Yourganov, G.; Jonides, J.; Berman, M.G. Is the Preference of Natural Versus Man-Made Scenes Driven by Bottom-Up Processing of the Visual Features of Nature? Front. Psychol. 2015, 6, 471. [Google Scholar] [CrossRef] [PubMed]
- Taylor, R.P. Reduction of Physiological Stress Using Fractal Art and Architecture. Leonardo 2006, 39, 245–251. [Google Scholar] [CrossRef]
- Taylor, R.P. The Potential of Biophilic Fractal Designs to Promote Health and Performance: A Review of Experiments and Applications. Sustainability 2021, 13, 823. [Google Scholar] [CrossRef]
- Appleton, J. The Experience of Landscape, Revised Edition; Wiley: Hoboken, NJ, USA, 1996. [Google Scholar]
- Appleton, J. Prospects and Refuges Re-Visited. Landsc. J. 1984, 3, 91–103. [Google Scholar] [CrossRef]
- Dosen, A.; Ostwald, M. Evidence for prospect-refuge theory: A meta-analysis of the findings of environmental preference research. City Territ. Archit. 2016, 3, 4. [Google Scholar] [CrossRef]
- Alexander, C.; Ishikawa, S.; Silverstein, S.; Jacobson, M.; Fiksdahl-King, I.; Angel, S. A Pattern Language; Oxford University Press: New York, NY, USA, 1977. [Google Scholar]
- Salingaros, N.A. Happiness and Biophilic Urban Geometry. J. Biourbanism 2021, 9, 21–28. Available online: https://patterns.architexturez.net/doc/az-cf-226021 (accessed on 22 May 2023).
- Darby, A.P.; Natarajan, S.; Coley, D. Impact of sustainable building design on occupant experience: A human centred approch. In Proceedings of the Fifth International Conference on Sustainable Construction Materials and Technologies, London, UK, 14–17 July 2019; Volume 5140, pp. 1–12. [Google Scholar] [CrossRef]
- Hu, M.; Simon, M.; Fix, S.; Vivino, A.A.; Bernat, E. Exploring a sustainable building’s impact on occupant mental health and cognitive function in a virtual environment. Sci. Rep. 2021, 11, 5644. [Google Scholar] [CrossRef]
- Sachin, A.; Dash, S.P. A Systematic Review on Implications of Biophilic Design as a Salutogenic Approach to Wellness Tourism. ECS Trans. 2022, 107, 17395. [Google Scholar] [CrossRef]
- Abdelaal, M.S.; Soebarto, V. Biophilia and Salutogenesis as Restorative Design Approaches in Healthcare Architecture. Archit. Sci. Rev. 2019, 62, 195–205. [Google Scholar] [CrossRef]
- React, M.O.S. React the Library for Web and Native User Interfaces. 2023. Available online: https://react.dev (accessed on 12 May 2023).
- Community, R.W. React Webcam-Webcam Component for React. 2023. Available online: https://github.com/mozmorris/react-webcam (accessed on 22 May 2023).
- Google; Firebase. Products and Solutions for Every Stage of Your App Development Journey. 2023. Available online: https://firebase.google.com (accessed on 7 August 2023).
- Py-Feat. Py-Feat: Python Facial Expression Analysis Toolbox. 2023. Available online: https://py-feat.org/pages/intro.html (accessed on 16 July 2023).
- Pham, L.; Vu, T.H.; Tran, T.A. Facial Expression Recognition Using Residual Masking Network. In Proceedings of the 2020 25th International Conference on Pattern Recognition (ICPR), Milano, Italy, 10–15 January 2021; pp. 4513–4519. [Google Scholar] [CrossRef]
- Memozor. Memory-Matching Game for Adults. 2022. Available online: https://www.memozor.com/memory-games/for-adults/black-and-white-1 (accessed on 9 August 2023).
- Bredin, H.; Yin, R.; Coria, J.M.; Gelly, G.; Korshunov, P.; Lavechin, M.; Fustes, D.; Titeux, H.; Bouaziz, W.; Gill, M.P. Pyannote.audio: Neural building blocks for speaker diarization. In Proceedings of the ICASSP 2020, IEEE International Conference on Acoustics, Speech, and Signal Processing, Barcelona, Spain, 4–8 May 2020; pp. 7124–7128. [Google Scholar] [CrossRef]
- Bredin, H.; Laurent, A. End-to-end speaker segmentation for overlap-aware resegmentation. Proc. Interspeech 2021, 2021, 4045. [Google Scholar] [CrossRef]
- Radford, A.; Kim, J.W.; Xu, T.; Brockman, G.; McLeavey, C.; Sutskever, I. Robust Speech Recognition via Large-Scale Weak Supervision. In Proceedings of the 40th International Conference on Machine Learning, Vienna, Austria, 21–27 July 2022. [Google Scholar]
- Guhr, O.; Schumann, A.K.; Bahrmann, F.; Böhme, H.J. Training a Broad-Coverage German Sentiment Classification Model for Dialog Systems. In Proceedings of the Twelfth Language Resources and Evaluation Conference, Marseille, France, 11–16 May 2020; pp. 1627–1632. [Google Scholar]
- Ko, J.; Alon, D. GoEmotions: A Dataset for Fine-Grained Emotion Classification 2021. Available online: https://blog.research.google/2021/10/goemotions-dataset-for-fine-grained.html?m=1 (accessed on 9 August 2023).
- Revina, I.; Emmanuel, W.S. A Survey on Human Face Expression Recognition Techniques. J. King Saud Univ. Comput. Inf. Sci. 2018, 33, 619–628. [Google Scholar] [CrossRef]






| Emotion | Compared Groups | p-Values |
|---|---|---|
| disgust | few vs. many | 0.009 |
| fear | few vs. many | 0.003 |
| fear | none vs. many | 0.041 |
| clicked emotion | few vs. none | ~0 |
| clicked emotion | few vs. many | 0.0001 |
| clicked emotion | none vs. many | ~0 |
Disclaimer/Publisher’s Note: The statements, opinions and data contained in all publications are solely those of the individual author(s) and contributor(s) and not of MDPI and/or the editor(s). MDPI and/or the editor(s) disclaim responsibility for any injury to people or property resulting from any ideas, methods, instructions or products referred to in the content. |
© 2024 by the authors. Licensee MDPI, Basel, Switzerland. This article is an open access article distributed under the terms and conditions of the Creative Commons Attribution (CC BY) license (https://creativecommons.org/licenses/by/4.0/).
Share and Cite
Ramm, T.M.; Werwie, M.; Otto, T.; Gloor, P.A.; Salingaros, N.A. Artificial Intelligence Evaluates How Humans Connect to the Built Environment: A Pilot Study of Two Experiments in Biophilia. Sustainability 2024, 16, 868. https://doi.org/10.3390/su16020868
Ramm TM, Werwie M, Otto T, Gloor PA, Salingaros NA. Artificial Intelligence Evaluates How Humans Connect to the Built Environment: A Pilot Study of Two Experiments in Biophilia. Sustainability. 2024; 16(2):868. https://doi.org/10.3390/su16020868
Chicago/Turabian StyleRamm, Tobias M., Mathias Werwie, Tim Otto, Peter A. Gloor, and Nikos A. Salingaros. 2024. "Artificial Intelligence Evaluates How Humans Connect to the Built Environment: A Pilot Study of Two Experiments in Biophilia" Sustainability 16, no. 2: 868. https://doi.org/10.3390/su16020868
APA StyleRamm, T. M., Werwie, M., Otto, T., Gloor, P. A., & Salingaros, N. A. (2024). Artificial Intelligence Evaluates How Humans Connect to the Built Environment: A Pilot Study of Two Experiments in Biophilia. Sustainability, 16(2), 868. https://doi.org/10.3390/su16020868

