Ensemble Learning Algorithms for Solar Radiation Prediction in Santo Domingo: Measurements and Evaluation
Abstract
1. Introduction
- In general, “ensemble learning” exhibited superior predictive ability compared to other individual ML algorithms.
- Most of the previous studies have not completed or clearly described the ML preprocessing and data analysis stage, which are considered fundamental in the development of ML algorithms.
- A minimal number of the reported articles provided information on the number of points in the collected climate database (Table 1). The number of points in the database is a critical aspect because the optimal training of ML algorithms is strongly dependent on the size and quality of the database. In parallel, all research was conducted to estimate solar radiation using a prediction horizon of greater than or equal to one hour.
- No studies have applied the homogeneous ensemble algorithm identified as Histogram-based Gradient Boosting (HGB) to predict solar radiation.
- None of the manuscripts have proposed a comparative analysis to evaluate the prediction performance of voting and stacking ensemble techniques by combining homogeneous ensembles based on sequential and parallel learning (Table 1).
- A comparative analysis was performed to select the subset of input features that best fit the characteristics of the climate data by employing five ML algorithms to reduce the dimensionality of the database.
- Histogram-based Gradient Boosting (HGB) was adopted for the first time to predict solar irradiance in tropical climates with a 1 min time horizon.
- A new tool for solar radiation prediction based on a heterogeneous ensemble learning algorithm, combining homogeneous learning with the highest performance capability, was proposed.
- The performance prediction of the nine ensemble learning algorithms was evaluated using the MAE, MSE, RMSE, MAPE, and R2 metrics.
2. Description of Ensemble Learning Algorithms
2.1. Parallel Homogeneous Ensemble
2.1.1. Random Forest (RF)
2.1.2. Extremely Randomized Trees (ET)
2.2. Sequential Homogeneous Ensemble
2.2.1. Adaptive Boosting (AB)
2.2.2. Gradient Boosting (GB)
2.2.3. Extreme Gradient Boosting (XGB)
2.2.4. LightGBM (LGBM)
2.2.5. Histogram-Based Gradient Boosting (HGB)
2.3. Heterogeneous Ensemble Learning
2.3.1. Voting
2.3.2. Stacked Generalization
3. Materials and Methods
3.1. Data Collection
3.2. Data Preprocessing and Analysis
- Arc.Int and Heat D-D parameters were eliminated from the dataset, as they reported constant values (cero variability).
- In Figure 7, pairs of correlated input predictor parameters can be identified based on correlation coefficient values higher than 0.8 or lower than −0.8 (indicating collinearity); Wind Chill, Heat Index, THW Index, and Cool D-D are each separately correlated with Temp Out. Wind run is associated with wind speed; EMC is related to In Hum. In Hum and In Temp are correlated, as are In Dew and Dew Pt. Rain is correlated with rain rate. Additionally, there is a strong linear correlation between many measured meteorological parameters and the high (Hi) and low (Low) registered values corresponding to each parameter. This effect could be because a small timeframe was set for updating the DAQ lecture (1 min/lecture). Therefore, for many parameters, the high–lows and many measured values registered do not differ. As a consequence, the following input predictor parameters were deleted from the dataset to prevent the propagation of collinearity during the subset feature selection process and to avoid possible bias in the technical evaluation metrics: Wind Chill, Heat Index, THW Index, Cool D-D, Wind Speed, In EMC, In Hum, In Dew, Rain Rate, Hi Temp, Low Temp, Hi Speed, and Hi Solar Rad. (stored high and low values).
- Wind direction (Wind Dir) and high wind direction (Hi Dir) parameters could have some influence on solar radiation, based on Figure 5a,b. Therefore, they were converted to numerical values using the dummy technique and included in the correlation matrix, labeled as WD_N, WD_NE, WD_NNE, HD_N, HD_NE, HD_NNE. In Figure 7, it can be seen that WD_NNE and HD_N influence solar radiation.
- The solar energy parameter is computed from solar radiation, so its collinearity is structural. Therefore, solar energy was not included in the dataset used for the feature selection process.
3.3. Splitting the Dataset
3.4. Standardization of the Dataset
3.5. Feature Selection
3.5.1. The Pearson Coefficient
3.5.2. Recursive Feature Elimination (RFE)
3.5.3. SelectKBest (SKBest)
3.5.4. Sequential Future Selection (SFS)
3.6. Training Process
3.7. Evaluation Metrics
4. Discussion and Results
4.1. Evaluation Homogeneous Ensemble Learning
4.2. Evaluation Heterogeneous Ensemble Learning
4.3. Generalization Capability
5. Conclusions
- Solar radiation measurements were distributed as follows: approximately 75.67% were captured when the wind was blowing from the north (N) direction, 23.75% corresponded to the north–northeast (NNE) wind direction, and only 0.09% were taken from the northeast (NE) wind direction. The maximum average value of solar radiation was obtained from 12:30 p.m. to 1:30 p.m. (the sixth hour of the daily solar sample), with a value of 676.45 W/m2.
- The Recursive Feature Elimination (RFE) method with Random Forest (RF) as the external model was the best method for selecting the subset of input features for the training process, outperforming the Pearson, univariate (SelectKBest), and Sequential Feature Selection (SFS) methods in terms of the R2 score.
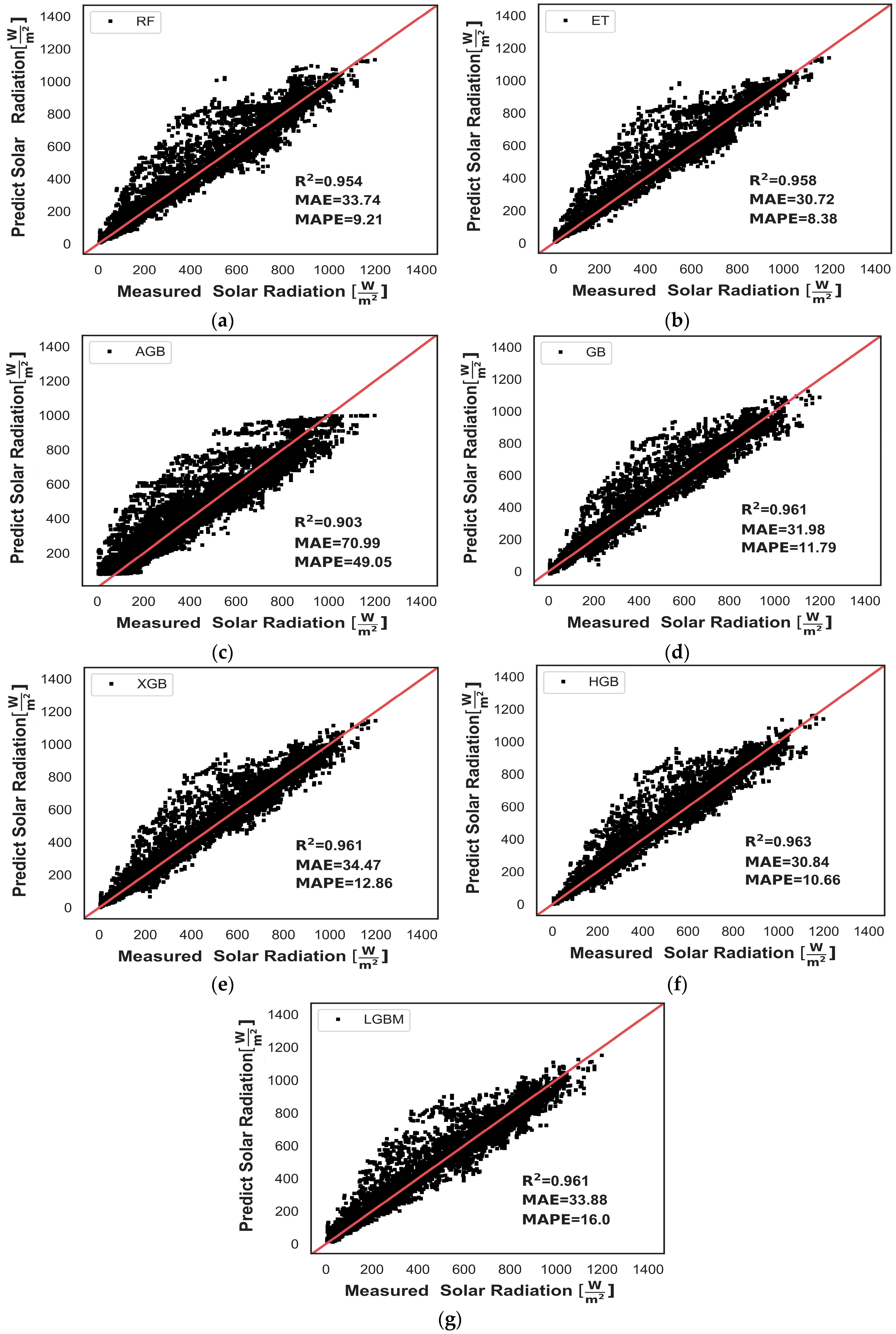
- Of the seven homogeneous ensembles evaluated, histogram-based gradient boosting (HGB) reported the best performance metrics and consumed the least computational time. In general, the sequential homogeneous ensembles provided better predictive power performance compared to the parallel ensembles.
- The parallel ensembles, Extra Tree (ET) and Random Forest (RF), were compared. ET excelled in accuracy and performance, with metrics resulting in MSE = 3795.275, RMSE = 61.606, rRMSE = 13.792, MAE = 30.722, MAPE = 8.40, and R2 = 0.9584. However, ET consumed about twice the training time of RF. Based on this evidence, ET is a better prediction option compared to RF when time consumption and computational resources are not a restriction.
- Overall, the stacking ensemble algorithm, built by combining Random Forest (RF), Extra Tree (ET), gradient boosting (GB), and histogram-based gradient boosting (HGB) methods in the first layer, while using linear regression in the second layer, provided superior accuracy and prediction performance, with evaluation metric values of MSE = 3218.265, RMSE = 56.730, rRMSE = 12.700, MAE = 29.872, MAPE = 10.60, and R2 = 0.9645. However, it is heavily penalized by the computational cost of the training procedures, especially in the first layer. Therefore, if computational cost is considered a critical constraint, the homogeneous ensemble histogram-based gradient boosting (HGB) could be an excellent alternative, as it offers similar metrics (MSE = 3308.874 RMSE = 57.523, rRMSE = 12.878, MAE = 30.839, MAPE = 10.7, R2 = 0.9631) to stacking and requires the lowest computational cost.
- In general, the developed ensemble learning algorithms proved to be powerful tools for predicting global solar radiation in Santo Domingo, located in the Caribbean region, which is characterized by a tropical climate. They effectively captured the trend of solar radiation with excellent accuracy.
Author Contributions
Funding
Institutional Review Board Statement
Informed Consent Statement
Data Availability Statement
Acknowledgments
Conflicts of Interest
References
- UNFCCC; Conference of the Parties (COP). Adoption of the Paris Agreement. Proposal by the President. In Proceedings of the Paris Climate Change Conference—COP 21, Paris, France, 30 November–12 December 2015. [Google Scholar]
- COP28 UN Climate Change Conference—United Arab Emirates|UNFCCC. Available online: https://unfccc.int/cop28 (accessed on 9 June 2024).
- IEA. Renewables 2023 Analysis and Forecast to 2028; IEA: Paris, France, 2024. [Google Scholar]
- Comisión Nacional de Energía (CNE). Plan Energético Nacional 2022–2036; CNE: Santo Domingo, Dominican Republic, 2022. [Google Scholar]
- Consultoría Jurídica del Poder Ejecutivo. Ley Núm. 57-07 Sobre Incentivo Al Desarrollo de Fuentes Renovables de Energía y de Sus Regímenes Especiales. 2007. Available online: https://biblioteca.enj.org/handle/123456789/79969 (accessed on 27 July 2024).
- Consultoría Jurídica del Poder Ejecutivo. Ley Núm. 1-12 Que Establece La Estrategia Nacional de Desarrollo 2030. Available online: https://biblioteca.enj.org/handle/123456789/79975 (accessed on 27 July 2024).
- Kumar, D.S.; Yagli, G.M.; Kashyap, M.; Srinivasan, D. Solar Irradiance Resource and Forecasting: A Comprehensive Review. IET Renew. Power Gener. 2020, 14, 1641–1656. [Google Scholar] [CrossRef]
- Panda, S.; Dhaka, R.K.; Panda, B.; Pradhan, A.; Jena, C.; Nanda, L. A Review on Application of Machine Learning in Solar Energy Photovoltaic Generation Prediction. In Proceedings of the 2022 International Conference on Electronics and Renewable Systems (ICEARS), Tuticorin, India, 16–18 March 2022; pp. 1180–1184. [Google Scholar] [CrossRef]
- Krishnan, N.; Kumar, K.R.; Inda, C.S. How Solar Radiation Forecasting Impacts the Utilization of Solar Energy: A Critical Review. J. Clean. Prod. 2023, 388, 135860. [Google Scholar] [CrossRef]
- Voyant, C.; Notton, G.; Kalogirou, S.; Nivet, M.L.; Paoli, C.; Motte, F.; Fouilloy, A. Machine Learning Methods for Solar Radiation Forecasting: A Review. Renew. Energy 2017, 105, 569–582. [Google Scholar] [CrossRef]
- Guerrero, J.M.; Ponci, F.; Leligou, H.C.; Peñalvo-López, E.; Psomopoulos, C.S.; Sudharshan, K.; Naveen, C.; Vishnuram, P.; Venkata, D.; Krishna, S.; et al. Systematic Review on Impact of Different Irradiance Forecasting Techniques for Solar Energy Prediction. Energies 2022, 15, 6267. [Google Scholar] [CrossRef]
- Rahimi, N.; Park, S.; Choi, W.; Oh, B.; Kim, S.; Cho, Y.; Ahn, S.; Chong, C.; Kim, D.; Jin, C.; et al. A Comprehensive Review on Ensemble Solar Power Forecasting Algorithms. J. Electr. Eng. Technol. 2023, 18, 719–733. [Google Scholar] [CrossRef]
- Raza, M.Q.; Nadarajah, M.; Ekanayake, C. On Recent Advances in PV Output Power Forecast. Sol. Energy 2016, 136, 125–144. [Google Scholar] [CrossRef]
- Kunapuli, G.; Olstein, K. Ensemble Methods for Machine Learning; Olstein, K., Miller, K., Eds.; Manning Publications Co.: Shelter Island, NY, USA, 2023; ISBN 9781617297137. [Google Scholar]
- Hassan, M.A.; Khalil, A.; Kaseb, S.; Kassem, M.A. Exploring the Potential of Tree-Based Ensemble Methods in Solar Radiation Modeling. Appl. Energy 2017, 203, 897–916. [Google Scholar] [CrossRef]
- Benali, L.; Notton, G.; Fouilloy, A.; Voyant, C.; Dizene, R. Solar Radiation Forecasting Using Artificial Neural Network and Random Forest Methods: Application to Normal Beam, Horizontal Diffuse and Global Components. Renew. Energy 2019, 132, 871–884. [Google Scholar] [CrossRef]
- Park, J.; Moon, J.; Jung, S.; Hwang, E. Multistep-Ahead Solar Radiation Forecasting Scheme Based on the Light Gradient Boosting Machine: A Case Study of Jeju Island. Remote Sens. 2020, 12, 2271. [Google Scholar] [CrossRef]
- Lee, J.; Wang, W.; Harrou, F.; Sun, Y. Reliable Solar Irradiance Prediction Using Ensemble Learning-Based Models: A Comparative Study. Energy Convers. Manag. 2020, 208, 112582. [Google Scholar] [CrossRef]
- Kumari, P.; Toshniwal, D. Extreme Gradient Boosting and Deep Neural Network Based Ensemble Learning Approach to Forecast Hourly Solar Irradiance. J. Clean. Prod. 2021, 279, 123285. [Google Scholar] [CrossRef]
- Huang, L.; Kang, J.; Wan, M.; Fang, L.; Zhang, C.; Zeng, Z. Solar Radiation Prediction Using Different Machine Learning Algorithms and Implications for Extreme Climate Events. Front. Earth Sci. 2021, 9, 596860. [Google Scholar] [CrossRef]
- Alam, M.S.; Al-Ismail, F.S.; Hossain, M.S.; Rahman, S.M. Ensemble Machine-Learning Models for Accurate Prediction of Solar Irradiation in Bangladesh. Processes 2023, 11, 908. [Google Scholar] [CrossRef]
- Solano, E.S.; Affonso, C.M. Solar Irradiation Forecasting Using Ensemble Voting Based on Machine Learning Algorithms. Sustain. 2023, 15, 7943. [Google Scholar] [CrossRef]
- Mohammed, A.; Kora, R. A Comprehensive Review on Ensemble Deep Learning: Opportunities and Challenges. J. King Saud Univ. Comput. Inf. Sci. 2023, 35, 757–774. [Google Scholar] [CrossRef]
- González, S.; García, S.; Del Ser, J.; Rokach, L.; Herrera, F. A Practical Tutorial on Bagging and Boosting Based Ensembles for Machine Learning: Algorithms, Software Tools, Performance Study, Practical Perspectives and Opportunities. Inf. Fusion 2020, 64, 205–237. [Google Scholar] [CrossRef]
- Breiman, L. Random Forests. Mach. Learn. 2001, 45, 5–32. [Google Scholar] [CrossRef]
- Zhang, Y.; Liu, J.; Shen, W. A Review of Ensemble Learning Algorithms Used in Remote Sensing Applications. Appl. Sci. 2022, 12, 8654. [Google Scholar] [CrossRef]
- Geurts, P.; Ernst, D.; Wehenkel, L. Extremely Randomized Trees. Mach. Learn. 2006, 63, 3–42. [Google Scholar] [CrossRef]
- Khan, A.A.; Chaudhari, O.; Chandra, R. A Review of Ensemble Learning and Data Augmentation Models for Class Imbalanced Problems: Combination, Implementation and Evaluation. Expert Syst. Appl. 2024, 244, 122778. [Google Scholar] [CrossRef]
- Freund, Y.; Schapire, R.E. Experiments with a New Boosting Algorithm. Icml 1996, 96, 148–156. [Google Scholar]
- Friedman, J.H. Greedy Function Approximation: A Gradient Boosting Machine. Ann. Stat. 2001, 29, 1189–1232. [Google Scholar] [CrossRef]
- Friedman, J.H. Stochastic Gradient Boosting. Comput. Stat. Data Anal. 2002, 38, 367–378. [Google Scholar] [CrossRef]
- Natekin, A.; Knoll, A. Gradient Boosting Machines, a Tutorial. Front. Neurorobot. 2013, 7, 63623. [Google Scholar] [CrossRef]
- Hastie, T.; Tibshirani, R.; Friedman, J. The Elements of Statistical Learning: Data Mining, Inference, and Prediction, 2nd ed.; Tibshirani, R., Hastie, T., Eds.; Springer Series in Statistics; Springer: New York, NY, USA, 2009; ISBN 9780387848587. [Google Scholar]
- Chen, T.; Guestrin, C. XGBoost: A Scalable Tree Boosting System. In Proceedings of the ACM SIGKDD International Conference on Knowledge Discovery and Data Mining; Association for Computing Machinery, San Francisco, CA, USA, 13–17 August 2016; pp. 785–794. [Google Scholar]
- Ke, G.; Meng, Q.; Finley, T.; Wang, T.; Chen, W.; Ma, W.; Ye, Q.; Liu, T.-Y. Lightgbm: A Highly Efficient Gradient Boosting Decision Tree. Adv. Neural Inf. Process. Syst. 2017, 30, 3146–3154. [Google Scholar]
- Pedregosa, F.; Varoquaux, G.; Gramfort, A.; Michel, V.; Thirion, B.; Grisel, O.; Blondel, M.; Prettenhofer, P.; Weiss, R.; Dubourg, V.; et al. Scikit-Learn: Machine Learning in Python. J. Mach. Learn. Res. 2011, 12, 2825–2830. [Google Scholar]
- Scikit-learn. Histogram-Based Gradient Boosting Regression Tree. Available online: https://scikit-learn.org/stable/modules/generated/sklearn.ensemble.HistGradientBoostingClassifier.html (accessed on 27 July 2024).
- Wolpert, D.H. Stacked Generalization. Neural Netw. 1992, 5, 241–259. [Google Scholar] [CrossRef]
- Li, Y.; Chen, W. A Comparative Performance Assessment of Ensemble Learning for Credit Scoring. Mathematics 2020, 8, 1756. [Google Scholar] [CrossRef]
- Ruiz-Valero, L.; Arranz, B.; Faxas-Guzmán, J.; Flores-Sasso, V.; Medina-Lagrange, O.; Ferreira, J. Monitoring of a Living Wall System in Santo Domingo, Dominican Republic, as a Strategy to Reduce the Urban Heat Island. Buildings 2023, 13, 1222. [Google Scholar] [CrossRef]
- Pena, J.C.; Gordillo, G. Photovoltaic Energy in the Dominican Republic: Current Status, Policies, Currently Implemented Projects, and Plans for the Future. Int. J. Energy Environ. Econ 2020, 26, 270–284. [Google Scholar]
- The World Bank (2020)-Source: Global Solar Atlas 2.0-Solar Resource Data: Solargis. Solar Resource Maps of Dominican Republic. Available online: https://solargis.com/maps-and-gis-data/download/dominican-republic (accessed on 6 June 2024).
- Dhal, P.; Azad, C. A Comprehensive Survey on Feature Selection in the Various Fields of Machine Learning. Appl. Intell. 2021, 52, 4543–4581. [Google Scholar] [CrossRef]
- Elgeldawi, E.; Sayed, A.; Galal, A.R.; Zaki, A.M. Hyperparameter Tuning for Machine Learning Algorithms Used for Arabic Sentiment Analysis. Informatics 2021, 8, 79. [Google Scholar] [CrossRef]
- Li, M.F.; Tang, X.P.; Wu, W.; Liu, H. Bin General Models for Estimating Daily Global Solar Radiation for Different Solar Radiation Zones in Mainland China. Energy Convers. Manag. 2013, 70, 139–148. [Google Scholar] [CrossRef]
- Despotovic, M.; Nedic, V.; Despotovic, D.; Cvetanovic, S. Evaluation of Empirical Models for Predicting Monthly Mean Horizontal Diffuse Solar Radiation. Renew. Sustain. Energy Rev. 2016, 56, 246–260. [Google Scholar] [CrossRef]













| Refs. | Location | Feature Selected | Ensemble Algorithm Test | Time Horizon | Data | Periods | Metric | Complete Preprocessing |
|---|---|---|---|---|---|---|---|---|
| [15] | Cairo, Ma’an, Ghardaia’ Tataouine, Tan-Tan | 4 | BG, GB, RF, SVM *, MLP-NN | 1 h | 71,499 | 2010 to 2013 | MBE, R2 RMSE | ✗ |
| 3 | BG, GB, RF, SVM *, MLP-NN | 1 day | 7906 | |||||
| [16] | Odeillo (France) | SP, MLP-NN, RF * | 1 to 6 h | 10,559 | 3 years | MAE, RMSE, nRMSE, nMAE | ✗ | |
| [17] | Jeju Island (South Korea) | 330 | LGBM, RF, GB, DNN | 1 h | 32,134 | 2011 to 2018 | MBE, RMSE, MAE, NRMSE | ✗ |
| [18] | California, Texas, Washington, Florida, Pennsylvania, Minnesota | 9 | BS, BG, RF, GRF *, SVM, GPR | 1 h | - | A year (TMY3) | RMSE, MAPE, R2 | ✗ |
| [19] | New Delhi, Jaipur, Gangtok | 8 | Stacking * (XGB + DNN) | 1 h | - | 2005 to 2014 | RMSE, MBE, R2 | ✓ |
| [20] | Bangladesh | 7 | GB *, AGB, RF, BG, | - | 3060 | 1999 to 2017 | MAPE, RMSE, MAE, R2 | ✗ |
| [21] | Ganzhou | 10 | GB *, XGB *, AB, RF, SVM, ELM, DT, KNN, MLR, RBFNN, BPNN | 1 day | 13,100 | 1980 to 2016 | RMSE, MAE, R2 | ✗ |
| 1 months | 432 | |||||||
| [22] | El Salvador (Brazilian) | 9 | Voting *, XGB, RF CatBoost, AdaBoost, | 1 to 12 h | MAE, MAPE, RMSE, R2 | ✓ | ||
| This Work | Santo Domingo | 8 | RF, ET, GB, XGB, HGB *, LGBM, Voting, Stacking * | 1 min | 78,536 | 5 months (2022) | R2, MSE, RMSE, rRMSE MAE, MAPE | ✓ |
| Model | Processors | Memory | Graphics Card | Hard Disk |
|---|---|---|---|---|
| Dell OptiPlex 7000 | 12th Intel Core i7-12700 | 32 GB DDR4 | Intel Integrated Graphics | 1 TB PCIe NVMe |
| Parameters /Features | Description | Specifications | ||
|---|---|---|---|---|
| Range | Accuracy (+/−) | |||
| 1 | Date | month/day | 8 s/ mon. | |
| 2 | Time | 24 h | 8 s/ mon. | |
| 3 | Temp Out | Outside (Ambient) Temperature | −40 °C to 65 °C | 0.3 °C |
| 4 | Hi. Temp | High outside temperature recorded for a certain period | ||
| 5 | Low Temp | Low outside temperature recorded for a certain period | ||
| 6 | In Temp | Inside temperature/sensor located at the console | 0 °C to 60 °C | 0.3 °C |
| 7 | Out Hum | Outside relative humidity | 1% to 100% | 2% RH |
| 8 | In Hum | Inside relative humidity at the console | 1% to 100% | 2% RH |
| 9 | Dew Pt. | Dew point | −76 °C to 54 °C | 1 °C |
| 10 | In Dew | Inside dew point at the console | −76 °C to 54 °C | 1 °C |
| 11 | Wind Speed | Speed of the outside local wind | 0 to 809 m/s | >1 m/s |
| 12 | Hi. Speed | High velocity of the outside wind recorded during the specified period | ||
| 13 | Wind Dir | Wind direction | 0° to 360° | 3° |
| 14 | Hi. Dir | High wind direction recorded for a certain period | ||
| 15 | Wind Run | The “amount” of wind passing through the station/time | ||
| 16 | Wind Chill | Apparent temperature index calculated from wind speed and air temperature | −79 °C to 57 °C | 1 °C |
| 17 | Heat Index | An apparent temperature index estimated by associated temperature and relative humidity to determine the perceived level of heat as it feels | −40 °C to 74°C | 1 °C |
| 18 | THW Index | Use the temperature, humidity, wind to estimate the apparent index | −68 °C to 74 °C | 2 °C |
| 19 | THSW Index | Combine the temperature, humidity, sun exposure, wind to estimate apparent temperature index (how it feels out in the sun) | ||
| 20 | Bar | Barometric pressure | 540 to 1100 mb | 1.0 mb |
| 21 | Rain | The amount of rainfall daily/monthly/yearly | to 6553 mm | >4% |
| 22 | Rain Rate | Rainfall intensity | to 2438 mm/h | >5% |
| 23 | Solar Rad. | Solar radiation, including both the direct and diffuse components | 0 to 1800 W/m2 | 5% FS |
| 24 | Hi. Solar Rad. | High solar radiation recorded for a certain period | ||
| 25 | Solar Energy | The rate of solar radiation accumulated over a time | ||
| 26 | Heat D-D | Heating degree day | ||
| 27 | Cool D-D | Cooling degree days | ||
| 28 | In Heat | Inside heat index, where the console is located | −40 °C to 74 °C | |
| 29 | In EMC | Inside electromagnetic compatibility | ||
| 30 | In Density | Inside air density at the console installation location | 1 to 1.4 kg/m3 | 2% FS |
| 31 | ET | A measurement of the amount of water vapor returned to the air in a specific area through both evaporation and transpiration | to 1999.9 mm | >5% |
| 32 | Wind Samp | wind speed samples in “Arc Int” amount of time | ||
| 33 | Wind Tx | RF channel for wind data | ||
| 34 | ISS Recept | %—RF reception | ||
| 35 | Arc. Int. | Archival interval in minutes | ||
| Selection Methods | Subset of Feature Selected | Characteristics | Ensemble Learning Algorithms | Score R2 (Test Set) |
|---|---|---|---|---|
| Pearson | Temp Out, Out Hum, Dew Pt., THSW Index, Bar, Rain, In Temp, In Density | > 0.1 and < −0.1 | GB | 0.924 |
| AGB | 0.822 | |||
| XGB | 0.958 | |||
| ET | 0.958 | |||
| RF | 0.954 | |||
| RFE | In Temp, In Density, Out Hum, Bar, THSW Index,Wind Speed,Dew Pt.,Temp Out | External ML algorithm = RF, RF = {n_estimators:350, criterion:squared_error, max_depth:15, max_features:sqrt} | GB | 0.930 |
| AGB | 0.843 | |||
| XGB | 0.962 | |||
| ET | 0.964 | |||
| RF | 0.960 | |||
| SKBest | Temp Out, Out Hum, Dew Pt., Wind Speed, THSW Index, Bar, Rain, In Temp | Score function = Regression Number feature to select = 8 | GB | 0.929 |
| AGB | 0.843 | |||
| XGB | 0.962 | |||
| ET | 0.964 | |||
| RF | 0.959 | |||
| SFS-FW | Temp Out, Out Hum, Dew Pt., Wind Speed, THSW Index, In Density, WD_NNE, HD_N | External ML algorithm = LR, direction = forward, scoring = R2, cross-validation = kfold, Kfold = {folds = 5, shuffle = NO} | GB | 0.930 |
| AGB | 0.833 | |||
| XGB | 0.962 | |||
| ET | 0.961 | |||
| RF | 0.957 | |||
| SFS-BW | Temp Out, Out Hum, Dew Pt., Wind Speed, THSW Index, Bar, In Temp, In Density | External ML algorithm = LR, direction = backward, scoring = R2, cross, validation = kfold, Kfold = {folds = 5, shuffle = NO} | GB | 0.930 |
| AGB | 0.833 | |||
| XGB | 0.962 | |||
| ET | 0.962 | |||
| RF | 0.957 |
| Algorithms | Iteration (n_iter)/ Cores | Appropriate Hyperparameters | Computational Cost(s) |
|---|---|---|---|
| RF | 1000/8 | n_estimators: 1160, max_features: 8, min_samples_leaf: 7, max_depth: 17, min_samples_split: 10 | 51,605.280 |
| ET | 1000/8 | n_estimators: 630, min_samples_split: 10, min_samples_leaf: 1, max_depth: 23 max_features: 8 | 126,830.010 |
| AGB | 250/8 | n_estimators: 100, loss: exponential, learning_rate: 0.201 | 10,877.330 |
| GB | 1500/8 | n_estimators: 2200, min_weight_fraction_leaf: 0, min_samples_split: 250, min_samples_leaf: 40, max_leaf_nodes: 10, max_features: 8, max_depth: 18, loss: huber, learning_rate: 0.101, criterion: friedman_mse, alpha: 0.210, tol: 1 × 10−6, subsample: 0.1, | 16,221.750 |
| XGB | 1500/8 | tree_method = hist, n_estimators: 2600, subsample: 0.9, scale_pos_weight: 0.05, reg_lambda: 0.89, reg_alpha: 0.2, min_child_weight: 10, max_depth: 5, learning_rate’: 0.01, gamma’: 0.05, colsample_bytree’: 0.79 | 56,941.400 |
| HGB | 1500/8 | quantile: 1, min_samples_leaf: 49, max_iter: 680, max_depth: 5, loss: absolute_error, learning_rate: 0.101, l2_regularization: 0.0 | 10,296.756 |
| LIGHTBM | 1500/8 | n_estimators: 2200, boosting_type:dart, subsample_freq: 4, subsample’: 0.5, reg_lambda: 2.40, reg_alpha’: 0.0, num_leaves: 31, min_sum_hessian_in_leaf’: 19, min_data_in_leaf’: 21, max_depth: 10, max_bin: 70, learning_rate: 0.1, colsample_bytree: 0.5, bagging_seed: 96, bagging_freq: 6, bagging_fraction’: 0.3, objective:‘regression’, force_row_wise:True, | 126,833.010 |
| Voting | /8 | Average output results:{ HGB,ET,GB,RF} | 900.541 |
| Stacking | /8 | Combining algorithm-Layer 1:{ HGB,ET,GB,RF}, Layer-2:{LinearRegressor} Cross-validation: kfold{five folds without shuffle} | 2100.780 |
| Ensemble Learning | Test Set | |||||
|---|---|---|---|---|---|---|
| Evaluation Metrics | ||||||
| MSE [W2/m4] | RMSE [W/m2] | rRMSE [%] | MAE [W/m2] | MAPE [%] | R2 [-] | |
| RF | 4243.296 | 65.141 | 14.583 | 33.745 | 9.20 | 0.9538 |
| ET | 3795.275 | 61.606 | 13.792 | 30.722 | 8.40 | 0.9584 |
| XGB | 3515.760 | 59.294 | 13.274 | 33.460 | 12.90 | 0.9608 |
| AGB | 8739.339 | 93.484 | 20.929 | 70.992 | 49.11 | 0.9027 |
| GB | 3499.137 | 59.154 | 13.243 | 31.977 | 11.8 | 0.9610 |
| HGB | 3308.874 | 57.523 | 12.878 | 30.839 | 10.7 | 0.9631 |
| LGBM | 3494.692 | 59.116 | 13.234 | 33.883 | 16.00 | 0.9611 |
| Stacking | 3218.265 | 56.730 | 12.700 | 29.872 | 10.60 | 0.9645 |
| Voting | 3346.470 | 57.849 | 12.951 | 29.220 | 10.40 | 0.9627 |
Disclaimer/Publisher’s Note: The statements, opinions and data contained in all publications are solely those of the individual author(s) and contributor(s) and not of MDPI and/or the editor(s). MDPI and/or the editor(s) disclaim responsibility for any injury to people or property resulting from any ideas, methods, instructions or products referred to in the content. |
© 2024 by the authors. Licensee MDPI, Basel, Switzerland. This article is an open access article distributed under the terms and conditions of the Creative Commons Attribution (CC BY) license (https://creativecommons.org/licenses/by/4.0/).
Share and Cite
Ramírez-Rivera, F.A.; Guerrero-Rodríguez, N.F. Ensemble Learning Algorithms for Solar Radiation Prediction in Santo Domingo: Measurements and Evaluation. Sustainability 2024, 16, 8015. https://doi.org/10.3390/su16188015
Ramírez-Rivera FA, Guerrero-Rodríguez NF. Ensemble Learning Algorithms for Solar Radiation Prediction in Santo Domingo: Measurements and Evaluation. Sustainability. 2024; 16(18):8015. https://doi.org/10.3390/su16188015
Chicago/Turabian StyleRamírez-Rivera, Francisco A., and Néstor F. Guerrero-Rodríguez. 2024. "Ensemble Learning Algorithms for Solar Radiation Prediction in Santo Domingo: Measurements and Evaluation" Sustainability 16, no. 18: 8015. https://doi.org/10.3390/su16188015
APA StyleRamírez-Rivera, F. A., & Guerrero-Rodríguez, N. F. (2024). Ensemble Learning Algorithms for Solar Radiation Prediction in Santo Domingo: Measurements and Evaluation. Sustainability, 16(18), 8015. https://doi.org/10.3390/su16188015
