Deformation, Seepage, and Energy Characteristics of Gas-Containing Coal Rocks under Complex Stress Paths
Abstract
1. Introduction
2. Test Device and Scheme
2.1. Test Device and Test Procedure
2.2. Experimental Scheme
3. Deformation Behavior
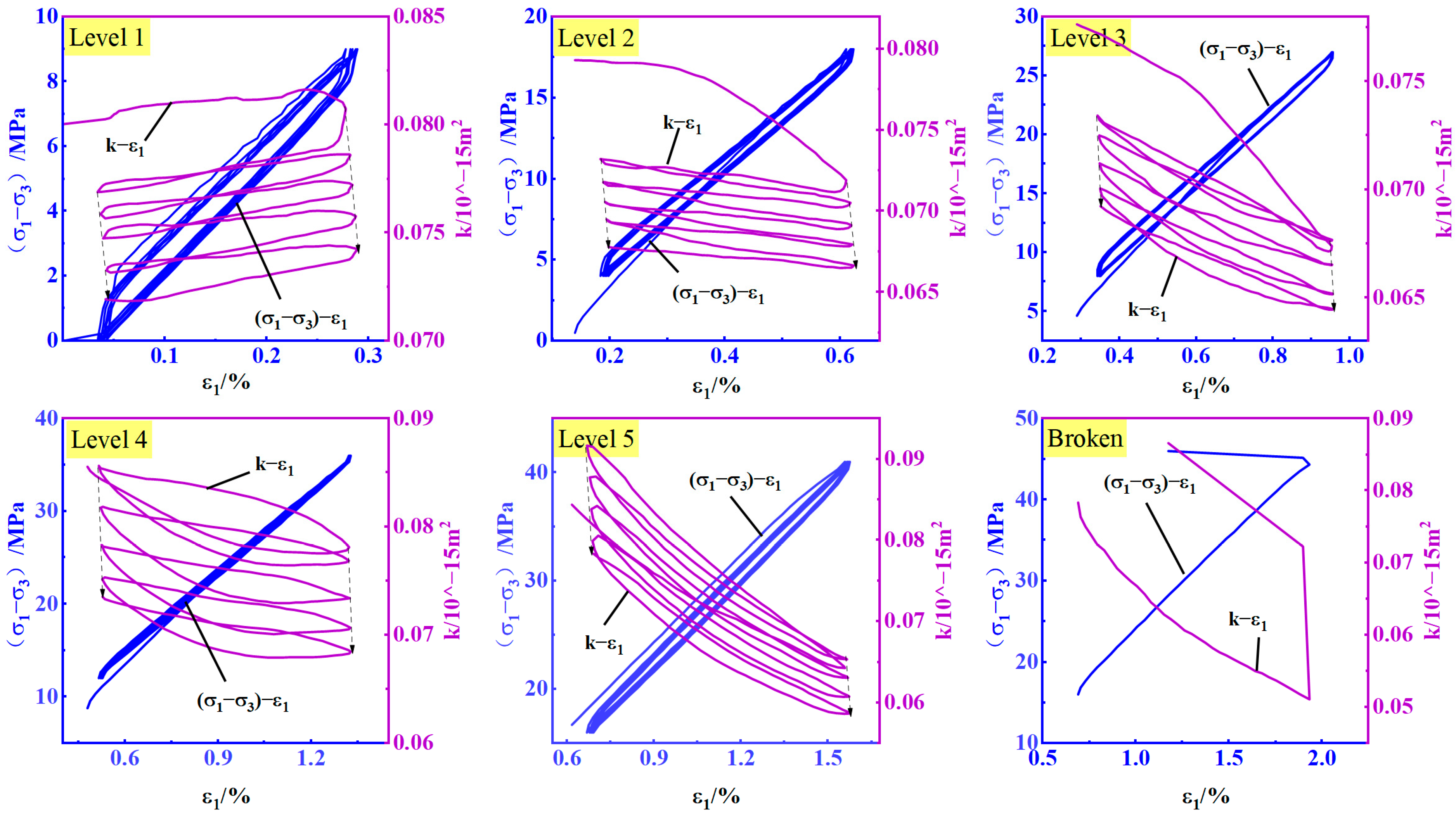
3.1. Stress–Strain Curves
3.2. Residual Deformation
3.3. Impact of Gas Pressure on Deformation Properties
4. Evolution of Seepage
4.1. Stress–Strain–Permeability Curves
4.2. Permeability Damage Rate
4.3. Impact of Gas Pressure on Seepage Characteristics
5. Energy Evolution and Damage Characterization
5.1. Energy Evolution
5.2. Characterization of Damage Evolution Based on Dissipated Energy
5.3. Impact of Gas Pressure on Energy Consumption and Damage Characteristics
6. Conclusions
- (1)
- The deformation rate of the coal body increases as the stress level increases. The residual deformation exhibits a stepwise distribution, and as the number of cycles at the same stress level rises, the relative residual deformation decreases. The coal samples’ residual deformation and strain are both decreased by the increase in gas pressure.
- (2)
- As the stress level rose, the coal samples’ overall and likewise tended to increase. The permeability curves decreased in a spiral manner in all stress levels. The value of increased with the number of cycles; conversely, as the number of cycles increased, the value of declined. The increase in gas pressure reduced the rate of decrease in permeability damage.
- (3)
- The total energy, elastic energy, and dissipated energy of the coal samples increased with the increase in stress level. The dissipation energy of the first cycle was significantly larger than that of the succeeding cycles at the same stress level. The single energy dissipation ratio exhibited an “L” distribution with the number of cycles, and the average energy dissipation ratio decreased with the increase in gas pressure. Increased gas pressure leads to a faster increase in cumulative elastic energy at the previous stress level of specimen destruction, and the total elastic energy accumulated near destruction increases with the rise in gas pressure.
- (4)
- Based on dissipated energy, the damage variable curves for coal samples at various gas pressures were determined. When the deviatoric stress was in the range of 9–30 MPa, the growth rate of the damage variable decreased with increasing gas pressure. Subsequently, as the deviatoric stress increased, the growth rate of the damage variable also increased with the rise in gas pressure. Consequently, the damage variable of the specimen increased with the escalating gas pressure.
Author Contributions
Funding
Institutional Review Board Statement
Informed Consent Statement
Data Availability Statement
Conflicts of Interest
References
- Flores, R.M. Coalbed methane: From hazard to resource. Int. J. Coal Geol. 1998, 35, 3–26. [Google Scholar] [CrossRef]
- Mark, C. Coal bursts that occur during development: A rock mechanics enigma. Int. J. Min. Sci. Technol. 2018, 28, 35–42. [Google Scholar] [CrossRef]
- He, M. Research progress of deep shaft construction mechanics. J. China Coal Soc. 2021, 46, 726–746. [Google Scholar]
- Wang, C.; Cheng, Y. Role of coal deformation energy in coal and gas outburst: A review. Fuel 2023, 332, 126019. [Google Scholar] [CrossRef]
- Wang, K.; Du, F. Coal-gas compound dynamic disasters in China: A review. Process Saf. Environ. Prot. 2020, 133, 1–17. [Google Scholar] [CrossRef]
- Tan, T.; Wang, E.; Wang, X.; Ma, L.; Yao, W. Resistivity and damage of coal under cyclic loading and unloading. Eng. Geol. 2023, 323, 107234. [Google Scholar]
- Warmuzinski, K. Harnessing methane emissions from coal mining. Process Saf. Environ. Prot. 2008, 86, 315–320. [Google Scholar] [CrossRef]
- Xu, J.; Li, B.-B.; Zhou, T.; Liu, D.; Cheng, L.-C.; Cao, J. Experimental study of coal deformation and permeability characteristics under loading-unloading conditions. J. China Coal Soc. 2012, 37, 1493–1498. [Google Scholar]
- Jones, A.; Bell, G.; Schraufnagel, R. Review of the Physical and Mechanical Properties of Coal. Rocky Mt. Assoc. Geol. 1988, 22, 169–187. [Google Scholar]
- Yin, G.; Li, W.; Li, M.; Jiang, C.; Qin, H.; Wang, M. Experimental study of mechanical properties of coal containing methane under different loading-unloading conditions. Chin. J. Rock Mech. Eng. 2013, 32, 891–901. [Google Scholar]
- Chen, H.; Cheng, Y.; Ren, T.; Zhou, H.; Liu, Q. Permeability distribution characteristics of protected coal seams during unloading of the coal body. Int. J. Rock Mech. Min. Sci. 2014, 71, 105–116. [Google Scholar] [CrossRef]
- Zhao, G.; Dai, B.; Dong, L.; Yang, C. Energy conversion of rocks in process of unloading confining pressure under different unloading paths. Trans. Nonferrous Met. Soc. China 2015, 25, 1626–1632. [Google Scholar] [CrossRef]
- Ju, Y.; Zhang, Q.; Zheng, J.; Wang, J.; Chang, C.; Gao, F. Experimental study on CH 4 permeability and its dependence on interior fracture networks of fractured coal under different excavation stress paths. Fuel 2017, 202, 483–493. [Google Scholar] [CrossRef]
- Zhang, M.; Lin, M.; Zhu, H.; Zhou, D.; Wang, L. An experimental study of the damage characteristics of gas-containing coal under the conditions of different loading and unloading rates. J. Loss Prev. Process Ind. 2018, 55, 338–346. [Google Scholar] [CrossRef]
- Browning, J.; Meredith, P.G.; Stuart, C.; Harland, S.; Healy, D.; Mitchell, T.M. A Directional Crack Damage Memory Effect in Sandstone under True Triaxial Loading. Geophys. Res. Lett. 2018, 45, 6878–6886. [Google Scholar] [CrossRef]
- Bai, X.; Wang, Y.; He, G.; Zhou, Z.; Wang, D.; Zhang, D. Research on a permeability model of coal damaged under triaxial loading and unloading. Fuel 2023, 354, 129375. [Google Scholar] [CrossRef]
- Zhao, K.; Ma, H.; Li, Y.; Li, P.; Dong, Z.; Liu, X.; Yin, H.; Yang, C.; Chen, X. Deformation and damage evolution of rock salt under multilevel cyclic loading with constant stress intervals. Eng. Fract. Mech. 2022, 260, 108191. [Google Scholar] [CrossRef]
- Liang, Y.; Ran, Q.; Zou, Q.; Zhang, B.; Hong, Y. Experimental Study of Mechanical Behaviors and Failure Characteristics of Coal Under True Triaxial Cyclic Loading and Unloading and Stress Rotation. Nat. Resour. Res. 2022, 31, 971–991. [Google Scholar] [CrossRef]
- Li, Z.; Xie, S.; Song, Q.; Wang, P.; Liu, D.; Zhao, B.; Huang, W.; Ma, D. Energy Dissipation and Damage Evolution Characteristics of Shale under Triaxial Cyclic Loading and Unloading. Adv. Mater. Sci. Eng. 2022, 2022, 1–13. [Google Scholar] [CrossRef]
- Liu, Y.; Dai, F. A review of experimental and theoretical research on the deformation and failure behavior of rocks subjected to cyclic loading. J. Rock Mech. Geotech. Eng. 2021, 13, 1203–1230. [Google Scholar] [CrossRef]
- Lyakhovsky, V.; Panteleev, I.; Shalev, E.; Browning, J.; Mitchell, T.M.; Healy, D.; Meredith, P.G. A new anisotropic poroelasticity model to describe damage accumulation during cyclic triaxial loading of rock. Geophys. J. Int. 2022, 230, 179–201. [Google Scholar] [CrossRef]
- Zhu, J.; Wang, Q.; Tang, J.; Chen, J.; JIang, Y.; Tang, D.; Lan, T. Evolution characteristics of strain and permeability of coal samples under loading and unloading conditions. J. China Coal Soc. 2021, 46, 1203–1210. [Google Scholar]
- Liu, H.; Bie, P.; LI, X.; Wei, Y.; Wang, M. Mechanical properties and energy dissipation characteristics of phyllite under triaxial multi-stage cyclic loading and unloading conditions. Rock Soil Mech. 2022, 43, 266–277. [Google Scholar]
- Geranmayeh Vaneghi, R.; Thoeni, K.; Dyskin, A.V.; Sharifzadeh, M.; Sarmadivaleh, M. Strength and Damage Response of Sandstone and Granodiorite under Different Loading Conditions of Multistage Uniaxial Cyclic Compression. Int. J. Geomech. 2020, 20, 04020159. [Google Scholar] [CrossRef]
- Li, Q.; Liang, Y.; Zou, Q. Seepage and Damage Evolution Characteristics of Gas-Bearing Coal under Different Cyclic Loading–Unloading Stress Paths. Processes 2018, 6, 190. [Google Scholar] [CrossRef]
- Wang, Y.; Han, J.; Li, P.; Cai, M. Effect of prior cyclic damage on rock failure exposed to triaxial multistage unloading confining pressure and cyclic loads. Fatigue Fract. Eng. Mater. Struct. 2022, 46, 1140–1158. [Google Scholar] [CrossRef]
- Daoud, A.; Browning, J.; Meredith, P.G.; Mitchell, T.M. Microstructural Controls on Thermal Crack Damage and the Presence of a Temperature-Memory Effect During Cyclic Thermal Stressing of Rocks. Geophys. Res. Lett. 2020, 47, e2020GL088693. [Google Scholar] [CrossRef]
- Liu, E.; He, S. Effects of cyclic dynamic loading on the mechanical properties of intact rock samples under confining pressure conditions. Eng. Geol. 2012, 125, 81–91. [Google Scholar] [CrossRef]
- Jiang, C.; Duan, M.; Yin, G.; Wang, J.G.; Lu, T.; Xu, J.; Zhang, D.; Huang, G. Experimental study on seepage properties, AE characteristics and energy dissipation of coal under tiered cyclic loading. Eng. Geol. 2017, 221, 114–123. [Google Scholar] [CrossRef]
- Peng, K.; Shi, S.; Zou, Q.; Wen, Z.; Wang, Y.; Jiang, Z.; Zheng, C. Quantitative Characteristics of Energy Evolution of Gas-Bearing Coal Under Cyclic Loading and its Action Mechanisms on Coal and Gas Outburst. Rock Mech. Rock Eng. 2021, 54, 3115–3133. [Google Scholar] [CrossRef]
- Gray, I. Reservoir engineering in coal seams: Part 1 the physical process of gas storage and movement in coal seams. SPE Reserv. Eng. 1987, 2, 28–34. [Google Scholar] [CrossRef]
- Seidle, J.; Jeansonne, M.; Erickson, D. In Application of matchstick geometry to stress dependent permeability in coals. In Proceedings of the SPE Rocky Mountain Petroleum Technology Conference/Low-Permeability Reservoirs Symposium, Casper, WY, USA, 18–21 May 1992; p. SPE-24361-MS. [Google Scholar]
- Palmer, I.; Mansoori, J. In How Permeability Depends on Stress and Pore Pressure in Coalbeds: A New Model, SPE 36737. In Proceedings of the Annual Technical Conference and Exhibition, Denver, CO, USA, 6–9 October 1996. [Google Scholar]
- Duan, M.; Jiang, C.; Gan, Q.; Li, M.; Peng, K.; Zhang, W. Experimental investigation on the permeability, acoustic emission and energy dissipation of coal under tiered cyclic unloading. J. Nat. Gas Sci. Eng. 2020, 73, 103054. [Google Scholar] [CrossRef]
- Xin, T.; Liang, B.; Wang, J.; Sun, W.; Yashengnan, S. Experimental Study on the Evolution Trend of the Pore Structure and the Permeability of Coal under Cyclic Loading and Unloading. ACS Omega 2021, 6, 35830–35843. [Google Scholar] [CrossRef]
- Geng, J.; Zeng, G.; Liu, C.; Li, X.; Zhang, D. Development and application of triaxial seepage test system for gas-water two-phase in coal rock. Energy 2023, 277, 127439. [Google Scholar] [CrossRef]
- Zou, Q.; Ning, Y.; Zhang, B.; Tian, S.; Jiang, Z.; An, Y. Mechanical properties and failure characteristics of sandstone under ramp loading paths. Geomech. Geophys. Geo-Energy Geo-Resour. 2023, 9, 39–56. [Google Scholar] [CrossRef]
- Wang, Z.; Yang, Y.; Xu, Y.; Xin, C.; Liang, P.; Guo, N. Analysis of Energy Evolution and Acoustic Emission Characteristics of Rocks under Cyclic Loading and Unloading. Appl. Sci. 2023, 13, 10453. [Google Scholar] [CrossRef]
- Wu, X.; Li, B.; Gao, Z.; Xu, J.; Fu, J. Influence mechanism of gas pressure reduction on coal deformation and seepage. China Saf. Sci. J. 2022, 32, 129–134. [Google Scholar]
- Ding, K.; Wang, L.; Wang, W.; Li, Z.; Jiang, C.; Ren, B.; Wang, S. Experimental Study on Gas Seepage Characteristics of Axially Unloaded Coal under Different Confining Pressures and Gas Pressures. Processes 2022, 10, 1055. [Google Scholar] [CrossRef]
- Yang, Y.; Zhang, D.; Dong, Y.; Zhang, J.; Li, X.; Zhang, C.; Wu, J. Deformation and seepage properties of raw coal during the simultaneous loading and unloading of axial stress and confining pressure. Phys. Fluids 2022, 34, 1–14. [Google Scholar] [CrossRef]
- Xue, J.; Li, K.; Shi, Y. Study on Permeability Characteristics of Gas Bearing Coal under Cyclic Load. Sustainability 2022, 14, 11483. [Google Scholar] [CrossRef]
- Sampath, K.H.S.M.; Perera, M.S.A.; Li, D.-Y.; Ranjith, P.G.; Matthai, S.K. Evaluation of the mechanical behaviour of brine+CO2 saturated brown coal under mono-cyclic uni-axial compression. Eng. Geol. 2019, 263, 105312. [Google Scholar] [CrossRef]
- Jia, H.; Wang, K.; Wang, Y. Permeability characteristics of gas-bearing coal specimens under cyclic loading-unloading of confining pressure. J. China Coal Soc. 2020, 45, 1710–1718. [Google Scholar]
- Zheng, W.; Gao, F.; Xing, Y.; Zhou, C.; Ming, L. Experimental and numerical investigation on effects of gas adsorption pressures on damage behaviors, failure characteristics, and energy evolution of coals. Phys. Fluids 2024, 36, 1–15. [Google Scholar] [CrossRef]
- Guo, Y.; Wang, K.; Du, F.; Guo, H.; Li, K.; Wang, Y. Mechanical-permeability characteristics of composite coal rock under different gas pressures and damage prediction model. Phys. Fluids 2024, 36, 1–12. [Google Scholar] [CrossRef]
- Liu, Z.; Dong, X.; Zhang, X. Experimental study on mechanical properties of bedding coal and rock under graded cyclic loading. Chin. J. Rock Mech. Eng. 2021, 7, 2593–2602. [Google Scholar]
- Yang, Y.; Zhang, B. Deformation Failure and Gas Seepage of Raw Coal in Alternate Loading and Unloading by Stages. Geotech. Geol. Eng. 2021, 40, 751–764. [Google Scholar] [CrossRef]
- Zhang, L.; Kan, Z.; Xue, J.; Li, M.; Zhang, C. Study on permeability law of intact and fractured coals under cyclic loading and unloading. Chin. J. Rock Mech. Eng. 2021, 40, 2487–2499. [Google Scholar]
- Peng, R.; Ju, Y.; Gao, F.; Xie, H.-P. Energy analysis on damage of coal under cyclical triaxial loading and unloading conditions. J. China Coal Soc. 2014, 39, 245–252. [Google Scholar]
















| Gas Pressure (MPa) | Fitting Formula | R2 |
|---|---|---|
| 1 | 0.9985 | |
| 2 | 0.9963 | |
| 3 | 0.9987 |
Disclaimer/Publisher’s Note: The statements, opinions and data contained in all publications are solely those of the individual author(s) and contributor(s) and not of MDPI and/or the editor(s). MDPI and/or the editor(s) disclaim responsibility for any injury to people or property resulting from any ideas, methods, instructions or products referred to in the content. |
© 2024 by the authors. Licensee MDPI, Basel, Switzerland. This article is an open access article distributed under the terms and conditions of the Creative Commons Attribution (CC BY) license (https://creativecommons.org/licenses/by/4.0/).
Share and Cite
Zhang, D.; Mao, X.; Guo, Z.; Geng, J. Deformation, Seepage, and Energy Characteristics of Gas-Containing Coal Rocks under Complex Stress Paths. Sustainability 2024, 16, 8001. https://doi.org/10.3390/su16188001
Zhang D, Mao X, Guo Z, Geng J. Deformation, Seepage, and Energy Characteristics of Gas-Containing Coal Rocks under Complex Stress Paths. Sustainability. 2024; 16(18):8001. https://doi.org/10.3390/su16188001
Chicago/Turabian StyleZhang, Dongming, Xingfeng Mao, Zhenglin Guo, and Jiabo Geng. 2024. "Deformation, Seepage, and Energy Characteristics of Gas-Containing Coal Rocks under Complex Stress Paths" Sustainability 16, no. 18: 8001. https://doi.org/10.3390/su16188001
APA StyleZhang, D., Mao, X., Guo, Z., & Geng, J. (2024). Deformation, Seepage, and Energy Characteristics of Gas-Containing Coal Rocks under Complex Stress Paths. Sustainability, 16(18), 8001. https://doi.org/10.3390/su16188001
