Future Land Use and Habitat Quality Dynamics: Spatio-Temporal Analysis and Simulation in the Taihu Lake Basin
Abstract
1. Introduction
2. Materials and Methods
2.1. Study Area
2.2. Data Sources
2.3. Methods
2.3.1. PLUS Model
2.3.2. Kappa Consistency Test
2.4. Scenario Design
2.5. InVEST Model
2.6. Random Forest Model
3. Results
3.1. Analysis of Land Use Change
3.1.1. Spatial–Temporal Characteristics of Land USE Change in Taihu Lake Basin from 2000 to 2020
3.1.2. Land Use Simulations under Different Scenarios in 2030
3.2. Habitat Quality Changes
3.2.1. Spatial and Temporal Characteristics of Habitat Quality from 2000 to 2020
3.2.2. Habitat Quality Changes in TLB in 2030 under Different Scenarios
4. Discussion
4.1. Driving Force of Land Use Change
4.2. Response of Habitat Quality to Land Use
4.3. Limitations and Future Work
4.4. Suggestion
5. Conclusions
- Land use distribution within the TLB has profoundly shifted from 2000 to 2020. Overall, there was a decline in cultivated and forest land, while land dedicated to construction saw a dramatic increase, reaching a total area of 998.83 km2, representing a 97.62% expansion. The expansion of the construction land base was primarily attributable to the conversion of cultivated land, with minimal change observed in other land types, indicating a pattern of “two decreases and one increase”.
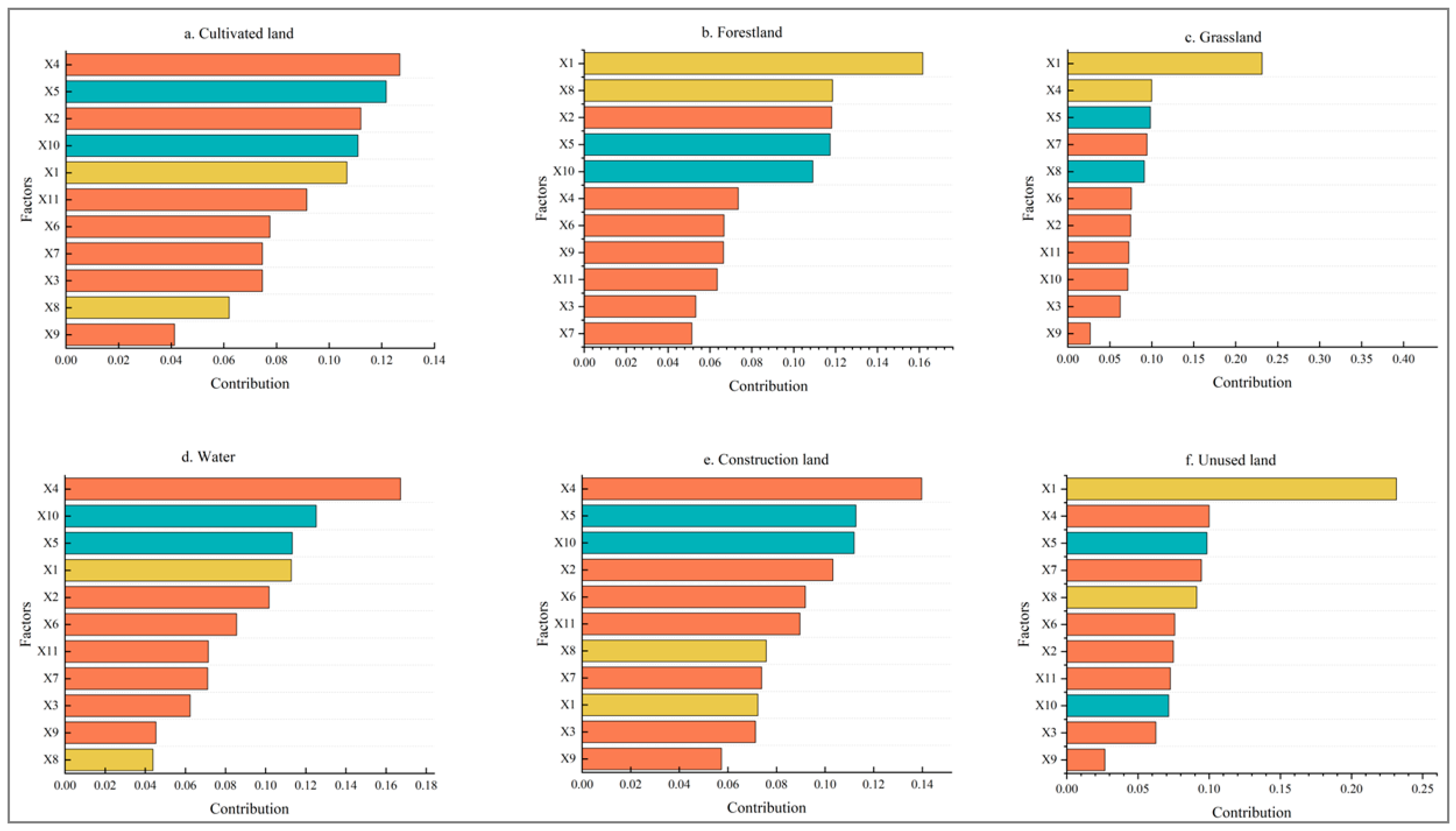
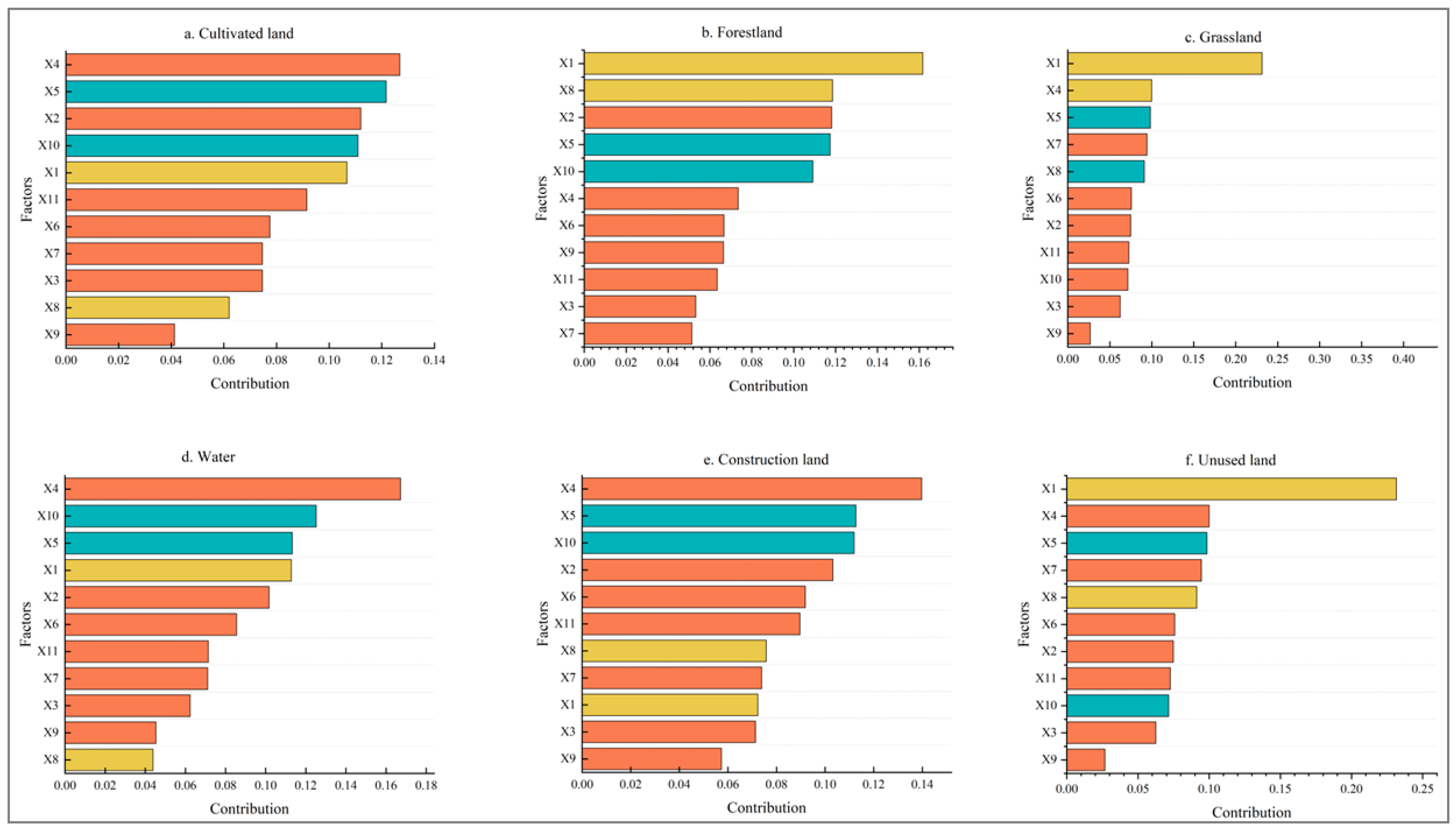
- TLB’s primary drivers of land use expansion are population density, precipitation, DEM, and temperature. Consequently, future land use simulations should prioritize incorporating these factors to represent potential development scenarios accurately.
- The quality of habitats in the TLB continued declining between 2000 and 2020, with an average decrease of 0.047 in habitat quality, from 0.4185 to 0.3715. Spatially, habitat quality across the region exhibits a distribution pattern, with “high in the southwest and center, low in the east and north”. The quality of habitats is inextricably linked to the type of land use. Construction land was the most significant threat to habitat quality, directly influencing its regional decline.
- In the BAU, the habitat quality of the whole region generally declined, and the area of medium habitat quality decreased significantly. In the UDP, the habitat quality was further degraded, and the development mode of purely pursuing economic benefits inevitably increased the fragmentation of habitats; compared with the BUE, the development of the TLB considered the economic and ecological needs so that the quality of the habitats within the study area improved to some extent. The areas of low habitat quality were reduced, and the overall habitat quality was improved. In contrast, under the BUE, the development of the TLB considers economic and ecological needs. It improves the habitat quality in the study area to a certain extent, reduces the low habitat quality areas, and improves the overall habitat quality.
Author Contributions
Funding
Institutional Review Board Statement
Informed Consent Statement
Data Availability Statement
Conflicts of Interest
References
- Hillard, E.M.; Nielsen, C.K.; Groninger, J.W. Swamp Rabbits as Indicators of Wildlife Habitat Quality in Bottomland Hardwood Forest Ecosystems. Ecol. Indic. 2017, 79, 47–53. [Google Scholar] [CrossRef]
- Zhang, X.R.; Zhou, J.; Li, G.N.; Chen, C.; Li, M.M.; Luo, J.M. Spatial Pattern Reconstruction of Regional Habitat Quality Based on the Simulation of Land Use Changes from 1975 to 2010. J. Geogr. Sci. 2020, 30, 601–620. [Google Scholar] [CrossRef]
- Xie, B.; Zhang, M.M. Spatio-Temporal Evolution and Driving Forces of Habitat Quality in Guizhou Province. Sci. Rep. 2023, 13, 8278. [Google Scholar] [CrossRef]
- Bongaarts, J. Summary for Policymakers of the Global Assessment Report on Biodiversity and Ecosystem Services of the Intergovernmental Science-Policy Platform on Biodiversity and Ecosystem Services. Popul. Dev. Rev. 2019, 45, 680–681. [Google Scholar] [CrossRef]
- Pereira, P. Ecosystem Services in a Changing Environment. Sci. Total Environ. 2020, 702, 135008. [Google Scholar] [CrossRef]
- Dai, X.A.; Gao, Y.; He, X.W.; Liu, T.; Jiang, B.H.; Shao, H.Y.; Yao, Y.Z. Spatial-Temporal Pattern Evolution and Driving Force Analysis of Ecological Environment Vulnerability in Panzhihua City. Environ. Sci. Pollut. R 2021, 28, 7151–7166. [Google Scholar] [CrossRef] [PubMed]
- Janus, J.; Bozek, P. Land Abandonment in Poland after the Collapse of Socialism: Over a Quarter of a Century of Increasing Tree Cover on Agricultural Land. Ecol. Eng. 2019, 138, 106–117. [Google Scholar] [CrossRef]
- Huang, J.L.; Tang, Z.; Liu, D.F.; He, J.H. Ecological Response to Urban Development in a Changing Socio-Economic and Climate Context: Policy Implications for Balancing Regional Development and Habitat Conservation. Land. Use Policy 2020, 97, 104772. [Google Scholar] [CrossRef]
- Guo, X.Y.; Zhang, Y.X.; Guo, D.F.; Lu, W.T.; Xu, H. How Does Ecological Protection Redline Policy Affect Regional Land Use and Ecosystem Services? Environ. Impact Asses. 2023, 100, 107062. [Google Scholar] [CrossRef]
- Fang, Z.; Ding, T.H.; Chen, J.Y.; Xue, S.; Zhou, Q.; Wang, Y.D.; Wang, Y.X.; Huang, Z.D.; Yang, S.L. Impacts of Land Use/Land Cover Changes on Ecosystem Services in Ecologically Fragile Regions. Sci. Total Environ. 2022, 831, 154967. [Google Scholar] [CrossRef]
- Eitelberg, D.A.; van Vliet, J.; Doelrnan, J.C.; Stehfest, E.; Verburg, P.H. Demand for Biodiversity Protection and Carbon Storage as Drivers of Global Land Change Scenarios. Glob. Environ. Chang. 2016, 40, 101–111. [Google Scholar] [CrossRef]
- Wei, Q.Q.; Abudureheman, M.; Halike, A.; Yao, K.X.; Yao, L.; Tang, H.; Tuheti, B. Temporal and Spatial Variation Analysis of Habitat Quality on the Plus-Invest Model for Ebinur Lake Basin, China. Ecol. Indic. 2022, 145, 109632. [Google Scholar] [CrossRef]
- Wu, Y.F.; Wang, J.B.; Gou, A.P. Research on the Evolution Characteristics, Driving Mechanisms and Multi-Scenario Simulation of Habitat Quality in the Guangdong-Hong Kong-Macao Greater Bay Based on Multi-Model Coupling. Sci. Total Environ. 2024, 924, 171263. [Google Scholar] [CrossRef] [PubMed]
- Li, Z.; Jiang, W.G.; Peng, K.F.; Wang, X.Y.; Deng, Y.W.; Yin, X.G.; Ling, Z.Y. Comparative Analysis of Land Use Change Prediction Models for Land and Fine Wetland Types: Taking the Wetland Cities Changshu and Haikou as Examples. Landsc. Urban. Plan 2024, 243, 104975. [Google Scholar] [CrossRef]
- Li, X.; Liu, Z.S.; Li, S.J.; Li, Y.X. Multi-Scenario Simulation Analysis of Land Use Impacts on Habitat Quality in Tianjin Based on the Plus Model Coupled with the Invest Model. Sustainability 2022, 14, 6923. [Google Scholar] [CrossRef]
- Huang, C.; Zhou, Y.; Wu, T.; Zhang, M.Y.; Qiu, Y. A Cellular Automata Model Coupled with Partitioning Cnn-Lstm and Plus Models for Urban Land Change Simulation. J. Environ. Manage. 2024, 351, 119828. [Google Scholar] [CrossRef]
- Jiao, M.Y.; Hu, M.M.; Xia, B.C. Spatiotemporal Dynamic Simulation of Land-Use and Landscape-Pattern in the Pearl River Delta, China. Sustain. Cities Soc. 2019, 49, 101581. [Google Scholar] [CrossRef]
- Liang, X.; Guan, Q.F.; Clarke, K.C.; Liu, S.S.; Wang, B.Y.; Yao, Y. Understanding the Drivers of Sustainable Land Expansion Using a Patch-Generating Land Use Simulation (Plus) Model: A Case Study in Wuhan, China. Comput. Environ. Urban 2021, 85, 101569. [Google Scholar] [CrossRef]
- Gao, L.A.; Tao, F.; Liu, R.R.; Wang, Z.L.; Leng, H.J.; Zhou, T. Multi-Scenario Simulation and Ecological Risk Analysis of Land Use Based on the Plus Model: A Case Study of Nanjing. Sustain. Cities Soc. 2022, 85, 104055. [Google Scholar] [CrossRef]
- Wang, J.; Zhang, J.P.; Xiong, N.N.; Liang, B.Y.; Wang, Z.; Cressey, E.L. Spatial and Temporal Variation, Simulation and Prediction of Land Use in Ecological Conservation Area of Western Beijing. Remote Sens. 2022, 14, 1452. [Google Scholar] [CrossRef]
- Wang, Q.Z.; Guan, Q.Y.; Sun, Y.F.; Du, Q.Q.; Xiao, X.; Luo, H.P.; Zhang, J.; Mi, J.M. Simulation of Future Land Use/Cover Change (Lucc) in Typical Watersheds of Arid Regions under Multiple Scenarios. J. Environ. Manage. 2023, 335, 117543. [Google Scholar] [CrossRef] [PubMed]
- McKinney, M.L. Urbanization, Biodiversity, and Conservation. Bioscience 2002, 52, 883–890. [Google Scholar] [CrossRef]
- Feng, H.H.; Wang, S.; Zou, B.; Nie, Y.F.; Ye, S.C.; Ding, Y.; Zhu, S.J. Land Use and Cover Change (Lucc) Impacts on Earth?S Eco-Environments: Research Progress and Prospects. Adv. Space Res. 2023, 71, 1418–1435. [Google Scholar] [CrossRef]
- He, Y.Q.; Ai, B.; Yao, Y.; Zhong, F.J. Deriving Urban Dynamic Evolution Rules from Self-Adaptive Cellular Automata with Multi-Temporal Remote Sensing Images. Int. J. Appl. Earth Obs. 2015, 38, 164–174. [Google Scholar] [CrossRef]
- Wu, J.Y.; Luo, J.A.; Zhang, H.; Qin, S.; Yu, M.J. Projections of Land Use Change and Habitat Quality Assessment by Coupling Climate Change and Development Patterns. Sci. Total Environ. 2022, 847, 157491. [Google Scholar] [CrossRef]
- Zhou, L.; Dang, X.W.; Sun, Q.K.; Wang, S.H. Multi-Scenario Simulation of Urban Land Change in Shanghai by Random Forest and Ca-Markov Model. Sustain. Cities Soc. 2020, 55, 102045. [Google Scholar] [CrossRef]
- Ma, T.Q.; Liu, R.; Li, Z.; Ma, T.T. Research on the Evolution Characteristics and Dynamic Simulation of Habitat Quality in the Southwest Mountainous Urban Agglomeration from 1990 to 2030. Land 2023, 12, 1488. [Google Scholar] [CrossRef]
- Gomes, E.; Inacio, M.; Bogdzevic, K.; Kalinauskas, M.; Karnauskaite, D.; Pereira, P. Future Scenarios Impact on Land Use Change and Habitat Quality in Lithuania. Environ. Res. 2021, 197, 111101. [Google Scholar] [CrossRef] [PubMed]
- Lin, X.F.; Fu, H. Multi-Scenario Simulation Analysis of Cultivated Land Based on Plus Model—A Case Study of Haikou, China. Front. Ecol. Evol. 2023, 11, 1197419. [Google Scholar] [CrossRef]
- Costanza, R.; dArge, R.; deGroot, R.; Farber, S.; Grasso, M.; Hannon, B.; Limburg, K.; Naeem, S.; Oneill, R.V.; Paruelo, J.; et al. The Value of the World’s Ecosystem Services and Natural Capital. Nature 1997, 387, 253–260. [Google Scholar] [CrossRef]
- De Simone, S.; Sigura, M.; Boscutti, F. Patterns of Biodiversity and Habitat Sensitivity in Agricultural Landscapes. J. Environ. Plan. Man. 2017, 60, 1173–1192. [Google Scholar] [CrossRef]
- Kunwar, R.M.; Evans, A.; Mainali, J.; Ansari, A.S.; Rimal, B.; Bussmann, R.W. Change in Forest and Vegetation Cover Influencing Distribution and Uses of Plants in the Kailash Sacred Landscape, Nepal. Environ. Dev. Sustain. 2020, 22, 1397–1412. [Google Scholar] [CrossRef]
- Wu, L.L.; Sun, C.G.; Fan, F.L. Estimating the Characteristic Spatiotemporal Variation in Habitat Quality Using the Invest Model—A Case Study from Guangdong–Hong Kong–Macao Greater Bay Area. Remote Sens. 2021, 13, 1008. [Google Scholar] [CrossRef]
- Lei, J.R.; Chen, Y.Q.; Li, L.M.; Chen, Z.Z.; Chen, X.H.; Wu, T.T.; Li, Y.L. Spatiotemporal Change of Habitat Quality in Hainan Island of China Based on Changes in Land Use. Ecol. Indic. 2022, 145, 109707. [Google Scholar] [CrossRef]
- Qiao, X.N.; Gu, Y.Y.; Zou, C.X.; Xu, D.L.; Wang, L.; Ye, X.; Yang, Y.; Huang, X.F. Temporal Variation and Spatial Scale Dependency of the Trade-Offs and Synergies among Multiple Ecosystem Services in the Taihu Lake Basin of China. Sci. Total Environ. 2019, 651, 218–229. [Google Scholar] [CrossRef]
- Li, G.Y.; Li, L.Z.; Kong, M. Multiple-Scale Analysis of Water Quality Variations and Their Correlation with Land Use in Highly Urbanized Taihu Basin, China. B Environ. Contam. Tox. 2021, 106, 218–224. [Google Scholar] [CrossRef]
- Wan, R.R.; Yang, G.S. Changes of Land Use and Landscape Pattern in Taihu Lake Basin. J. Appl. Ecol. 2005, 16, 475–480. (In Chinese) [Google Scholar]
- Xu, L.T.; Chen, S.S.; Xu, Y.; Li, G.Y.; Su, W.Z. Impacts of Land-Use Change on Habitat Quality During 1985–2015 in the Taihu Lake Basin. Sustainability 2019, 13, 3513. [Google Scholar] [CrossRef]
- Li, X.; Fu, J.Y.; Jiang, D.; Lin, G.; Cao, C.L. Land use optimization in Ningbo City with a coupled GA and PLUS model. J. Clean. Prod. 2022, 375, 134004. [Google Scholar] [CrossRef]
- Guo, P.F.; Wang, H.Y.; Qin, F.; Miao, C.H.; Zhang, F.F. Coupled Mop and Plus-Sa Model Research on Land Use Scenario Simulations in Zhengzhou Metropolitan Area, Central China. Remote Sens. 2023, 15, 3762. [Google Scholar] [CrossRef]
- Xu, W.J.; Song, J.X.; Long, Y.Q.; Mao, R.C.; Tang, B.; Li, B.J. Analysis and Simulation of the Driving Mechanism and Ecological Effects of Land Cover Change in the Weihe River Basin, China. J. Environ. Manage. 2023, 344, 118320. [Google Scholar] [CrossRef] [PubMed]
- Nie, W.B.; Xu, B.; Yang, F.; Shi, Y.; Liu, B.T.; Wu, R.W.; Lin, W.; Pei, H.; Bao, Z.Y. Simulating Future Land Use by Coupling Ecological Security Patterns and Multiple Scenarios. Sci. Total Environ. 2023, 859, 160262. [Google Scholar] [CrossRef] [PubMed]
- Ji, X.L.; Sun, Y.L.; Guo, W.; Zhao, C.W.; Li, K. Land Use and Habitat Quality Change in the Yellow River Basin: A Perspective with Different Cmip6-Based Scenarios and Multiple Scales. J. Environ. Manage. 2023, 345, 118729. [Google Scholar] [CrossRef] [PubMed]
- Mao, W.L.; Lu, D.B.; Hou, L.; Liu, X.; Yue, W.Z. Comparison of Machine-Learning Methods for Urban Land-Use Mapping in Hangzhou City, China. Remote Sens. 2020, 12, 2817. [Google Scholar] [CrossRef]
- Yang, Y.Y. Evolution of Habitat Quality and Association with Land-Use Changes in Mountainous Areas: A Case Study of the Taihang Mountains in Hebei Province, China. Ecol. Indic. 2021, 129, 107967. [Google Scholar] [CrossRef]
- Tian, L.; Tao, Y.; Fu, W.X.; Li, T.; Ren, F.; Li, M.Y. Dynamic Simulation of Land Use/Cover Change and Assessment of Forest Ecosystem Carbon Storage under Climate Change Scenarios in Guangdong Province, China. Remote Sens. 2022, 14, 2330. [Google Scholar] [CrossRef]
- Birhanu, A.; Adgo, E.; Frankl, A.; Walraevens, K.; Nyssen, J. Modelling Spatial Relationships between Land Cover Change and Its Drivers in the Afro-Alpine Belt of Mount Guna (Ethiopia). Land. Degrad. Dev. 2021, 32, 3946–3961. [Google Scholar] [CrossRef]
- Huang, X.X.; Wang, H.J.; Xiao, F.T. Simulating Urban Growth Affected by National and Regional Land Use Policies: Case Study from Wuhan, China. Land. Use Policy. 2022, 112, 105850. [Google Scholar] [CrossRef]
- Hu, J.Y.; Zhang, J.X.; Li, Y.Q. Exploring the Spatial and Temporal Driving Mechanisms of Landscape Patterns on Habitat Quality in a City Undergoing Rapid Urbanization Based on Gtwr and Mgwr: The Case of Nanjing, China. Ecol. Indic. 2022, 143, 109333. [Google Scholar] [CrossRef]
- Li, W.; Geng, J.W.; Bao, J.L.; Lin, W.X.; Wu, Z.Y.; Fan, S.S. Spatial and Temporal Evolution Patterns of Habitat Quality under Tea Plantation Expansion and Multi-Scenario Simulation Study: Anxi County as an Example. Land 2023, 12, 1308. [Google Scholar] [CrossRef]









| Category | Data | Form | Source |
|---|---|---|---|
| Land use | Land use | Grid (100 m) | Resource and Environment Science and Data Center |
| Meteorological factors | Precipitation | Grid (100 m) | Resource and Environment Science and Data Center |
| Temperature | Grid (100 m) | ||
| Terrain factors | Elevation | Grid (100 m) | Geospatial Data Cloud (http://www.gscloud.cn) |
| Slope | Grid (100 m) | ||
| Road and river networks | Distance to town | Grid (100 m) | National catalog service for geographic information (http://www.webmap.cn) |
| Distance to river | Grid (100 m) | ||
| Distance to road | Grid (100 m) | ||
| Distance to railway | Grid (100 m) | ||
| Socio-economic factors | Population density | Grid (100 m) | Resource and Environment Science and Data Center |
| GDP | Grid (100 m) | ||
| Environmental factors | Soil type | Grid (100 m) | Harmonized World Soil Database (http://www.ncdc.ac.cn/) |
| Basic geospatial data | Administrative boundaries | Vector | Resource and Environment Science and Data Center |
| Threat | Max Distance (km) | Weight | Decay |
|---|---|---|---|
| Cultivated land | 2 | 0.6 | Linear |
| Construction land | 8 | 0.7 | Exponential |
| Unused land | 1 | 0.5 | Linear |
| Land Cover | Habitat Suitability | Cultivated Land | Construction Land | Unused Land |
|---|---|---|---|---|
| No data | 0 | 0 | 0 | 0 |
| Cultivated land | 0.4 | 0 | 0.8 | 0.4 |
| Forestland | 1 | 0.7 | 0.7 | 0.2 |
| Grassland | 0.9 | 0.6 | 0.5 | 0.3 |
| Water | 1 | 0.5 | 0.6 | 0.2 |
| Construction land | 0 | 0 | 0 | 0 |
| Unused land | 0.5 | 0.4 | 0.4 | 0 |
| Land Use Type | 2000 Area (km2) | 2010 Area (km2) | 2020 Area (km2) |
|---|---|---|---|
| Cultivated land | 21,637.74 | 17,723.30 | 16,359.31 |
| Forestland | 4906.42 | 4842.62 | 4808.74 |
| Grassland | 160.65 | 153.45 | 211.36 |
| Water | 4739.64 | 5103.17 | 5015.34 |
| Construction land | 5138.71 | 8718.46 | 10,155.46 |
| Unused land | 12.77 | 56.34 | 53.24 |
| Land Use Type | BAU Area (km2) | UDP Area (km2) | EPP Area (km2) | BUE Area (km2) |
|---|---|---|---|---|
| Cultivated land | 15,309.46 | 14,852.96 | 15,862.04 | 15,493.25 |
| Forestland | 4771.37 | 4741.66 | 4818.02 | 4780.78 |
| Grassland | 257.37 | 250.29 | 207.29 | 181.76 |
| Water | 4929.34 | 4869.52 | 5056.70 | 5026.56 |
| Construction land | 11,285.03 | 11,839.43 | 10,606.85 | 11,066.10 |
| Unused land | 50.88 | 49.59 | 52.25 | 49.90 |
| Level | 2000 Area (km2) | 2010 Area (km2) | 2020 Area (km2) |
|---|---|---|---|
| 0–0.2 | 5138.71 | 8718.46 | 10,155.46 |
| 0.2–0.4 | 21,636.84 | 17,722.47 | 16,358.53 |
| 0.4–0.6 | 487.65 | 621.65 | 634.04 |
| 0.6–0.8 | 4436.96 | 4766.70 | 4796.04 |
| 0.8–1 | 4895.77 | 4768.06 | 4659.38 |
| Mean of habitat quality | 0.4185 | 0.3865 | 0.3715 |
| Standard deviation | 0.2747 | 0.3018 | 0.3095 |
| Level | BAU Area (km2) | UDP Area (km2) | EPP Area (km2) | BUE Area (km2) |
|---|---|---|---|---|
| 0–0.2 | 11,285.03 | 11,839.43 | 10,606.85 | 11,066.10 |
| 0.2–0.4 | 15,308.68 | 14,852.18 | 15,861.28 | 15,497.57 |
| 0.4–0.6 | 481.47 | 485.26 | 482.88 | 481.19 |
| 0.6–0.8 | 4767.75 | 4676.97 | 4834.95 | 4760.49 |
| 0.8–1 | 4760.52 | 4749.61 | 4817.49 | 4798.10 |
| Mean of habitat quality | 0.3627 | 0.3564 | 0.3707 | 0.3654 |
| Standard deviation | 0.3171 | 0.3194 | 0.3144 | 0.3164 |
Disclaimer/Publisher’s Note: The statements, opinions and data contained in all publications are solely those of the individual author(s) and contributor(s) and not of MDPI and/or the editor(s). MDPI and/or the editor(s) disclaim responsibility for any injury to people or property resulting from any ideas, methods, instructions or products referred to in the content. |
© 2024 by the authors. Licensee MDPI, Basel, Switzerland. This article is an open access article distributed under the terms and conditions of the Creative Commons Attribution (CC BY) license (https://creativecommons.org/licenses/by/4.0/).
Share and Cite
Huang, C.; Cheng, X.; Zhang, Z. Future Land Use and Habitat Quality Dynamics: Spatio-Temporal Analysis and Simulation in the Taihu Lake Basin. Sustainability 2024, 16, 7793. https://doi.org/10.3390/su16177793
Huang C, Cheng X, Zhang Z. Future Land Use and Habitat Quality Dynamics: Spatio-Temporal Analysis and Simulation in the Taihu Lake Basin. Sustainability. 2024; 16(17):7793. https://doi.org/10.3390/su16177793
Chicago/Turabian StyleHuang, Chenbo, Xiaojing Cheng, and Zhiming Zhang. 2024. "Future Land Use and Habitat Quality Dynamics: Spatio-Temporal Analysis and Simulation in the Taihu Lake Basin" Sustainability 16, no. 17: 7793. https://doi.org/10.3390/su16177793
APA StyleHuang, C., Cheng, X., & Zhang, Z. (2024). Future Land Use and Habitat Quality Dynamics: Spatio-Temporal Analysis and Simulation in the Taihu Lake Basin. Sustainability, 16(17), 7793. https://doi.org/10.3390/su16177793
