An Economic Optimization Model of an E-Waste Supply Chain Network: Machine Learned Kinetic Modelling for Sustainable Production
Abstract
1. Introduction
1.1. E-Waste Supply Chain Network and Supply Chain Sustainability
1.1.1. General Literature on E-Waste SCN and Application of MCDM Techniques
1.1.2. Issues and Challenges in E-Waste SCN
1.1.3. Application of Mathematical Modelling of E-Waste SCN
1.2. Research Gap and Research Questions
- How to analyze time evolution kinetics of uncertainties evolving from the three pillars of sustainability and optimize the e-waste SCN?
- How business profit, constrained by incumbencies, is related to the cost kernel?
- How the minimization of cost kernel can provide stable and optimal solutions while addressing the complexities and heterogeneities of the e-waste SCN?
- How does the hybrid AHP-PCA formalism improve the ranking of the variables affecting the cost kernel and what impact will this have on the opertional efficiency and green supply chain practices?
1.3. Objectives and Novelty of the Study
- To develop a model of a dynamic production process, with three pillars of sustainability (economic, environmental, and social), and derive from it a quadratic cost kernel that can optimize business performance that is consistent with SDG.
- To investigate the effects of AHP and combined AHP-PCA to rank and determine the interrelationships of the uncertainty variables on the developed model determining the profitability of the e-waste recycling facility.
- To identify the most delicate nodes and dedicated operational windows for a resilient e-waste SCN by studying the time evolution dynamics of the leading variables.
2. Materials and Methods
2.1. Concept and Mathematical Background
2.2. Study Methodology
3. Mathematics and Modeling
3.1. Modelling Approach
3.1.1. Model Assumptions
- (i)
- Numbers are recorded daily, totaling 300 working days and 10 working hours daily.
- (ii)
- The model is developed considering a Material Recovery from E-waste (MREW) [13] facility performing both mechanical recycling and material recovery (wet processes).
- (iii)
- The cost of recycled products remains constant over time.
- (iv)
- Unit costs remain constant.
- (v)
- Legislative costs and costs towards disposal of hazardous materials in a TSDF remain constant annually.
- (vi)
- The interdependency of the dependent variables has been assumed to be quadratic order accuracy.
3.1.2. Model Descriptions
3.2. Uncertainty Analysis
3.2.1. Analytical Hierarchical Process (AHP)
3.2.2. Multivariate Study—Principal Component Analysis (PCA)
3.2.3. Hybrid AHP-PCA Method
3.2.4. Unconstrained Problem
3.2.5. Constrained Problem
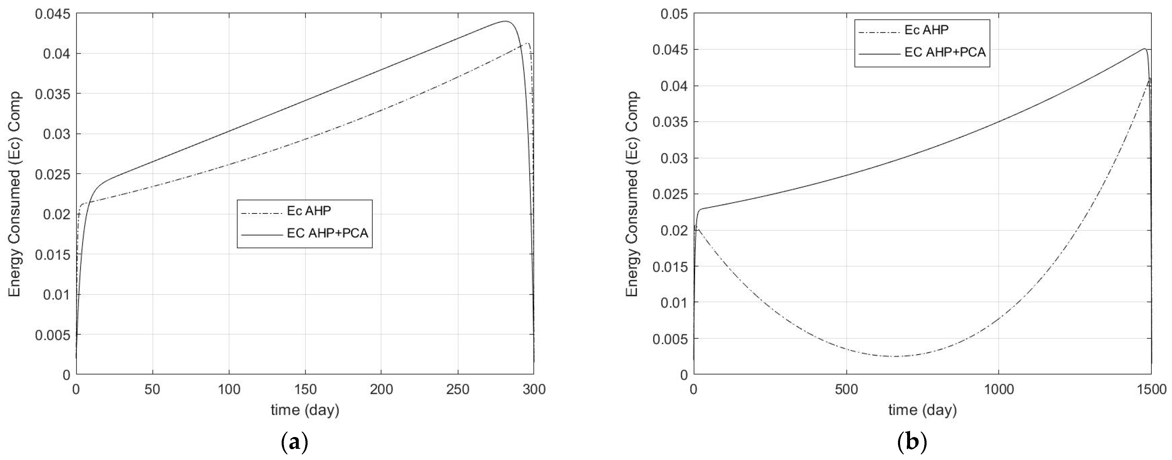
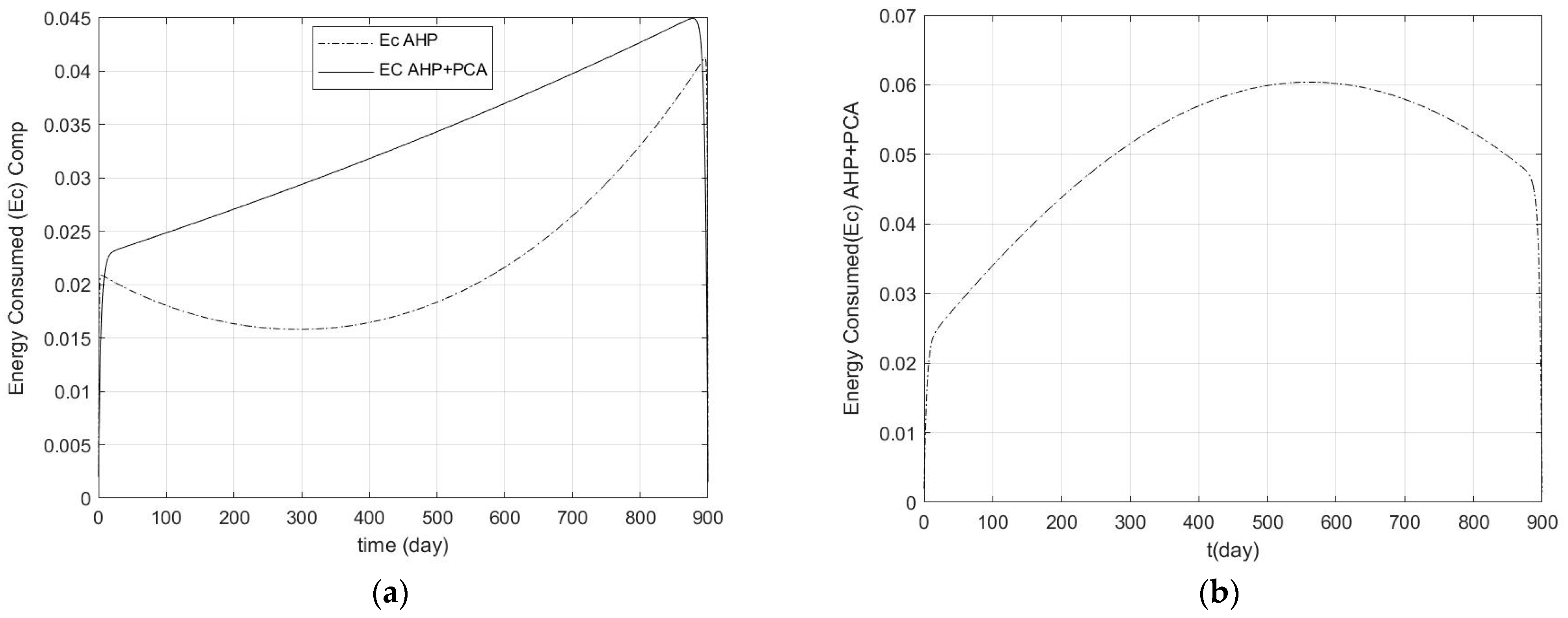
4. Results and Discussion
4.1. Volume of Carbon Dioxide Emission
4.2. Energy Consumption
4.3. Number of Awareness Activities
4.4. Product Sales
5. Conclusions
Author Contributions
Funding
Institutional Review Board Statement
Informed Consent Statement
Data Availability Statement
Acknowledgments
Conflicts of Interest
Nomenclature
| Cost components | |
| F | Cost function |
| CEnvironment | Cost function component for environmental uncertainty |
| CSocial | Cost function component for social uncertainty |
| CEconomic | Cost function component for economic uncertainty |
| Variables and Parameters | |
| VCO2 | Volume of CO2 generated |
| EC | Energy consumption in the processes involved |
| Wp | Water used due to the processes involved |
| Ww | Wastewater generated in the process |
| N1 | Number of laborers |
| N3 | Number of awareness activities, e.g., adaptation to information, invisible e-waste, and repair substituting new |
| N4 | No. of recycled products sold |
| N5 | No. of operations involved |
| N7 | No. of logistics involved |
| N8 | No. of waste materials being send to Treatment, Storage and Disposal Facility (TSDF) |
| N9 | No. of taxes to be paid |
| f1 | Unit cost for CO2 recovery |
| f2 | Unit cost of energy used |
| f3 | Unit cost for water used |
| f4 | Unit cost of wastewater treatment |
| f5 | Salary of one labor |
| f6 | Average cost of awareness activity |
| f7 | Unit revenue earned from product sold |
| f8 | Unit cost of each operation |
| f10 | Unit cost of logistics |
| f11 | Unit cost for disposal in TSDF |
| f12 | Unit cost of taxes |
| Weight factors | |
| ϵi’s | Weigh factor for the four cost functions |
| Ai’s | Weigh factor for the main parameters |
| ai’s, aij’s & | Interdependency values for VCO2 |
| bi’s, bij’s & | Interdependency values for EC |
| ci’s | Interdependency values for WP |
| di’s, dij’s & | Interdependency values for Ww |
| αi’s, αij’s & | Interdependency values for N3 |
| βi’s, βij’s & | Interdependency values for N4 |
| γ | Interdependency value for N7 |
References
- Fawole, A.A.; Orikpete, O.F.; Ehiobu, N.N.; Ewim, D.R.E. Climate change implications of electronic waste: Strategies for sustainable management. Bull. Natl. Res. Cent. 2023, 47, 147. [Google Scholar] [CrossRef]
- Oteng-Ababio, M. E-waste: An emerging challenge to solid waste management in Ghana. Int. Dev. Plan. Rev. 2010, 32, 191–206. [Google Scholar] [CrossRef]
- Debnath, B.; Chowdhury, R.R.; Acharya, C.; Guha, A. Sustainability Aspects of E-waste Supply Chain Network Role of New and Emerging Technologies. In Technological Advancement in E-Waste Management; CRC Press: Boca Raton, FL, USA, 2024; pp. 63–79. [Google Scholar]
- Pongen, I.; Ray, P.; Gupta, R. Evaluating the barriers to e-waste closed-loop supply chain adoption. Benchmarking Int. J. 2023; ahead of print. [Google Scholar] [CrossRef]
- Debnath, B.; El-Hassani, R.; Chattopadhyay, A.K.; Kumar, T.K.; Ghosh, S.K.; Baidya, R. Time evolution of a supply chain network: Kinetic Modeling. Physica A 2022, 607, 128085. [Google Scholar] [CrossRef]
- Ranasinghe, W.W.; Athapattu, B.C. Challenges in E-waste management in Sri Lanka. In Handbook of Electronic Waste Management; Butterworth-Heinemann: Oxford, UK, 2020; pp. 283–322. [Google Scholar]
- UN News. UN Environment Chief Warns of ‘Tsunami’ of E-Waste at Conference on Chemical Treaties. 2015. Available online: https://news.un.org/en/story/2015/05/497772-un-environment-chief-warns-tsunami-e-waste-conference-chemical-treaties#.VUjJSflVhBc (accessed on 25 March 2020).
- Kumar, A.; Holuszko, M.; Espinosa, D.C.R. E-waste: An overview on generation, collection, legislation and recycling practices. Resour. Conserv. Recycl. 2017, 122, 32–42. [Google Scholar] [CrossRef]
- Baldé, C.P.; Kuehr, R.; Yamamoto, T.; McDonald, R.; D’Angelo, E.; Althaf, S.; Bel, G.; Deubzer, O.; Fernandez-Cubillo, E.; Forti, V.; et al. Global E-Waste Monitor 2024. Geneva/Bonn: International Telecommunication Union (ITU) and United Nations Institute for Training and Research (UNITAR). 2024. Available online: https://ewastemonitor.info/the-global-e-waste-monitor-2024/ (accessed on 11 May 2024).
- World Economic Forum. A New Circular Vision for Electronics: Time for a Global Reboot. 2019. Available online: http://www3.weforum.org/docs/WEF_A_New_Circular_Vision_for_Electronics.pdf (accessed on 15 April 2024).
- Verma, A.; Gotra, S.; Singh, D.; Varma, G.D.; Dhawan, N. Microwave absorption properties of CI and E-waste based heterogenous mixtures. Ceram. Int. 2024, 50, 20879–20893. [Google Scholar] [CrossRef]
- Wath, S.B.; Dutt, P.S.; Chakrabarti, T. E-waste scenario in India, its management and implications. Environ. Monit. Assess. 2011, 172, 249–262. [Google Scholar] [CrossRef]
- Debnath, B.; Chowdhury, R.; Ghosh, S.K. Sustainability of metal recovery from E-waste. Front. Environ. Sci. Eng. 2018, 12, 2. [Google Scholar] [CrossRef]
- Vuppaladadiyam, S.S.V.; Thomas, B.S.; Kundu, C.; Vuppaladadiyam, A.K.; Duan, H.; Bhattacharya, S. Can e-waste recycling provide a solution to the scarcity of rare earth metals? An overview of e-waste recycling methods. Sci. Total Environ. 2024, 924, 171453. [Google Scholar] [CrossRef] [PubMed]
- Debnath, B.; Chowdhury, R.; Ghosh, S.K. Urban mining and the metal recovery from e-waste (MREW) supply chain. In Waste Valorisation and Recycling; Springer: Singapore, 2019; pp. 341–347. [Google Scholar]
- Khaliq, A.; Rhamdhani, M.A.; Brooks, G.; Masood, S. Metal extraction processes for electronic waste and existing industrial routes: A review and Australian perspective. Resources 2014, 3, 152–179. [Google Scholar] [CrossRef]
- Dutta, D.; Goel, S. Understanding the gap between formal and informal e-waste recycling facilities in India. Waste Manag. 2021, 125, 163–171. [Google Scholar] [CrossRef]
- Ghosh, S.K.; Debnath, B.; Baidya, R.; De, D.; Li, J.; Ghosh, S.K.; Tavares, A.N. Waste electrical and electronic equipment management and Basel Convention compliance in Brazil, Russia, India, China and South Africa (BRICS) nations. Waste Manag. Res. 2016, 34, 693–707. [Google Scholar] [CrossRef] [PubMed]
- Hazra, J.; Sarkar, A.; Sharma, V. E-waste supply chain management in India: Opportunities and challenges. Clean India J. 2011, 7, 12. [Google Scholar]
- Sharma, M.J.; Moon, I.; Bae, H. Analytic hierarchy process to assess and optimize distribution network. Appl. Math. Comput. 2008, 202, 256–265. [Google Scholar] [CrossRef]
- Ciocoiu, C.N.; Colesca, S.E.; Burcea, S. An AHP approach to evaluate the implementation of WEEE management systems. In Proceedings of the Recent Researches in Environment, Energy Planning and Pollution-Proceedings of the 5th WSEAS International Conference on Renewable Energy Sources, Athens, Greece, 13–15 July 2011; pp. 233–238. [Google Scholar]
- Lin, C.T.; Chen, H.C. The best supply chain management of NB via the analytic hierarchy process and sensitivity model. Int. J. Oper. Res. 2011, 8, 57–69. [Google Scholar]
- Karuppiah, K.; Sankaranarayanan, B.; Ali, S.M. A novel quality function deployment based integrated framework for improving supply chain sustainability. Eng. Manag. J. 2023, 35, 285–298. [Google Scholar] [CrossRef]
- Barletta, I.; Johansson, B.; Reimers, J.; Stahre, J.; Berlin, C. Prerequisites for a high-level framework to design sustainable plants in the e-waste supply chain. Procedia CIRP 2015, 29, 633–638. [Google Scholar] [CrossRef]
- Wang, J.; Li, W.; Mishima, N.; Adachi, T. Exploring the optimal reverse supply chain for e-waste treatment under Chinese government subsidy. Waste Manag. 2022, 137, 128–138. [Google Scholar] [CrossRef]
- Cruz-Sotelo, S.E.; Ojeda-Benítez, S.; Jáuregui Sesma, J.; Velázquez-Victorica, K.I.; Santillán-Soto, N.; García-Cueto, O.R.; Alcántara Concepción, V.; Alcántara, C. E-waste supply chain in Mexico: Challenges and opportunities for sustainable management. Sustainability 2017, 9, 503. [Google Scholar] [CrossRef]
- Baidya, R.; Debnath, B.; Ghosh, S.K. Analysis of e-waste supply chain framework in India using the analytic hierarchy process. In Waste Management and Resource Efficiency; Springer: Singapore, 2019; pp. 867–878. [Google Scholar]
- Isernia, R.; Passaro, R.; Quinto, I.; Thomas, A. The reverse supply chain of the e-waste management processes in a circular economy framework: Evidence from Italy. Sustainability 2019, 11, 2430. [Google Scholar] [CrossRef]
- Polat, L.Ö.; Polat, O.; Güngör, A. Designing Fuzzy Reverse Supply Chain Network For E-Waste. Econ. Bus. J. 2019, 13, 367–375. [Google Scholar]
- Wang, Z.; Huo, J.; Duan, Y. Impact of government subsidies on pricing strategies in reverse supply chains of waste electrical and electronic equipment. Waste Manag. 2019, 95, 440–449. [Google Scholar] [CrossRef] [PubMed]
- Moradi, R.; Yazdi, M.; Haghighi, A.; Nedjati, A. Sustainable Resilient E-Waste Management in London: A Circular Economy Perspective. Heliyon 2024, 10, e34071. [Google Scholar] [CrossRef]
- Ghalehkhondabi, I.; Ardjmand, E. Sustainable E-waste supply chain management with price/sustainability-sensitive demand and government intervention. J. Mater. Cycles Waste Manag. 2020, 22, 556–577. [Google Scholar] [CrossRef]
- Baidya, R.; Debnath, B.; Ghosh, S.K.; Rhee, S.W. Supply chain analysis of e-waste processing plants in developing countries. Waste Manag. Res. 2020, 38, 173–183. [Google Scholar] [CrossRef] [PubMed]
- Karuppiah, K.; Sankaranarayanan, B. An integrated multi-criteria decision-making approach for evaluating e-waste mitigation strategies. Appl. Soft Comput. 2023, 144, 110420. [Google Scholar] [CrossRef]
- Baryannis, G.; Dani, S.; Validi, S.; Antoniou, G. Decision Support Systems and Artificial Intelligence in Supply Chain Risk Management. In Revisiting Supply Chain Risk; Springer: Cham, Switzerland, 2019; pp. 53–71. [Google Scholar]
- Zhu, Y.; Zhou, L.; Xie, C.; Wang, G.J.; Nguyen, T.V. Forecasting SMEs’ credit risk in supply chain finance with an enhanced hybrid ensemble machine learning approach. Int. J. Prod. Econ. 2019, 211, 22–33. [Google Scholar] [CrossRef]
- Sadeghi, A.; Mina, H.; Bahrami, N. A mixed integer linear programming model for designing a green closed-loop supply chain network considering location-routing problem. Int. J. Logist. Syst. Manag. 2020, 36, 177–198. [Google Scholar] [CrossRef]
- Salehi, V.; Salehi, R.; Mirzayi, M.; Akhavizadegan, F. Performance optimization of pharmaceutical supply chain by a unique resilience engineering and fuzzy mathematical framework. Factors Ergon. Manuf. Serv. Ind. 2020, 30, 336–348. [Google Scholar] [CrossRef]
- Gholizadeh, H.; Tajdin, A.; Javadian, N. A closed-loop supply chain robust optimization for disposable appliances. Neural Comput. Appl. 2020, 32, 3967–3985. [Google Scholar] [CrossRef]
- Jemmali, M.; Melhim, L.K.B.; Alharbi, M. Multi-criteria intelligent algorithm for supply chain management. Int. J. Adv. Comput. Sci. Appl. 2019, 10, 347–353. [Google Scholar] [CrossRef]
- Habib, M.S.; Asghar, O.; Hussain, A.; Imran, M.; Mughal, M.P.; Sarkar, B. A robust possibilistic programming approach toward animal fat-based biodiesel supply chain network design under uncertain environment. J. Clean. Prod. 2021, 278, 122403. [Google Scholar] [CrossRef]
- Nur, F.; Aboytes-Ojeda, M.; Castillo-Villar, K.K.; Marufuzzaman, M. A two-stage stochastic programming model for biofuel supply chain network design with biomass quality implications. IISE Trans. 2021, 53, 845–868. [Google Scholar] [CrossRef]
- Rajesh, R. A grey-layered ANP based decision support model for analyzing strategies of resilience in electronic supply chains. Eng. Appl. Artif. Intell. 2020, 87, 103338. [Google Scholar] [CrossRef]
- Suyabatmaz, A.Ç.; Altekin, F.T.; Şahin, G. Hybrid simulation-analytical modeling approaches for the reverse logistics network design of a third-party logistics provider. Comput. Ind. Eng. 2014, 70, 74–89. [Google Scholar] [CrossRef]
- Lara, P.; Sánchez, M.; Herrera, A.; Valdivieso, K.; Villalobos, J. Modeling Reverse Logistics Networks: A Case Study for E-Waste Management Policy. In Proceedings of the International Conference on Advanced Information Systems Engineering; Springer: Cham, Switzerland, 2019; pp. 158–169. [Google Scholar]
- Ghalehkhondabi, I.; Maihami, R.; Ahmadi, E. Optimal pricing and environmental improvement for a hazardous waste disposal supply chain with emission penalties. Util. Policy 2020, 62, 101001. [Google Scholar] [CrossRef]
- Guo, Q.; Wang, E.; Nie, Y.; Shen, J. Profit or environment? A system dynamic model analysis of waste electrical and electronic equipment management system in China. J. Clean. Prod. 2018, 194, 34–42. [Google Scholar] [CrossRef]
- Ma, R.M.; Yao, L.F.; Wang, H. Evolutionary game analysis of green innovation in E-commerce closed-loop supply chain WEEE recycling. Adv. Prod. Eng. Manag. 2024, 19, 93–107. [Google Scholar] [CrossRef]
- Diewert, E.W. An application of Shephard’s duality theorem: A generalized Leontief Production Function. J. Political Econ. 1971, 79, 481–507. [Google Scholar] [CrossRef]
- McFadden, D. Cost, Revenue and profit Functions. In Production Economics: A Dual Approach to the Theory and Applications; Fuss, M.A., McFadden, D., Eds.; North-Holland Publishing Company: Amsterdam, The Netherlands, 1978. [Google Scholar]
- Vinod, H.D. Econometrics of joint production. Econom. J. Econom. Soc. 1968, 36, 322–336. [Google Scholar] [CrossRef]
- Pulley, L.B.; Braunstein, Y.M. A composite cost function for multiproduct firms with an application to economies of scope in banking. Rev. Econ. Stat. 1992, 74, 221–230. [Google Scholar] [CrossRef]
- Nelder, J.A. A Reformulation of Linear Models. J. R. Stat. Soc. Ser. A 1977, 140, 48. [Google Scholar] [CrossRef]
- Jolliffe, I.T. Mathematical and statistical properties of population principal components. In Principal Component Analysis; Springer: New York, NY, USA, 2002; pp. 10–28. [Google Scholar]
- Jolliffe, I.T.; Cadima, J. Principal component analysis: A review and recent developments. Philos. Trans. R. Soc. A. 2016, 374, 20150202. [Google Scholar] [CrossRef] [PubMed]
- Pozo, F.; Vidal, Y. Damage and fault detection of structures using principal component analysis and hypothesis testing. In Advances in Principal Component Analysis; Springer: Singapore, 2018; pp. 137–191. [Google Scholar]
- Takane, Y. Constrained Principal Component Analysis and Related Techniques; CRC Press: Boca Raton, FL, USA, 2013. [Google Scholar]
- Kundu, M.; Kundu, P.K.; Damarla, S.K. Chemometric Monitoring: Product Quality Assessment, Process Fault Detection, and Applications; CRC Press: Boca Raton, FL, USA, 2017. [Google Scholar]
- Gray, V. (Ed.) Principal Component Analysis: Methods, Applications and Technology; Nova Science Publishers: Hauppauge, NY, USA, 2017; p. 29. [Google Scholar]
- Shen How, B.; Lam, H.L. Sustainability evaluation for biomass supply chain synthesis: Novel principal component analysis (PCA) aided optimisation approach. J. Clean. Prod. 2018, 189, 941–961. [Google Scholar]
- Saaty, T.L. The Analytic Hierarchy Process; McGraw-Hill: New York, NY, USA, 1980. [Google Scholar]
- Goldstein, H. Classical Mechanics, 2nd ed.; Addison-Wesley: Reading, MA, USA, 1980; p. 321. [Google Scholar]
- ISO. ISO Standard No. 9000:2015; Quality Management Systems—Fundamentals and Vocabulary. ISO: Geneva, Switzerland, 2015.
- ISO. ISO Standard No. 14001:2015; Environmental Management Systems—Improve Your Environmental Performance with This Family of Standards. ISO: Geneva, Switzerland, 2015.
- Bishop, C.M. Pattern Recognition and Machine Learning; Springer: Berlin/Heidelberg, Germany, 2006; p. 738. [Google Scholar]












| Sl. | VCO2 | Ec | N3 | N4 |
|---|---|---|---|---|
| Volume of CO2 (tons of CO2) | Energy Consumption (% Energy Consumed in GW) | Number of Awareness Activities (No.) | Product Sales (% of sales target) | |
| Initial Conditions (IC) | ||||
| 1 | 1.2 | 0.002 | 2 | 0.3 |
| Boundary Conditions (BC) | ||||
| 1 | 0.82 | 0.0015 | 4 | 0.6 |
Disclaimer/Publisher’s Note: The statements, opinions and data contained in all publications are solely those of the individual author(s) and contributor(s) and not of MDPI and/or the editor(s). MDPI and/or the editor(s) disclaim responsibility for any injury to people or property resulting from any ideas, methods, instructions or products referred to in the content. |
© 2024 by the authors. Licensee MDPI, Basel, Switzerland. This article is an open access article distributed under the terms and conditions of the Creative Commons Attribution (CC BY) license (https://creativecommons.org/licenses/by/4.0/).
Share and Cite
Debnath, B.; Chattopadhyay, A.K.; Kumar, T.K. An Economic Optimization Model of an E-Waste Supply Chain Network: Machine Learned Kinetic Modelling for Sustainable Production. Sustainability 2024, 16, 6491. https://doi.org/10.3390/su16156491
Debnath B, Chattopadhyay AK, Kumar TK. An Economic Optimization Model of an E-Waste Supply Chain Network: Machine Learned Kinetic Modelling for Sustainable Production. Sustainability. 2024; 16(15):6491. https://doi.org/10.3390/su16156491
Chicago/Turabian StyleDebnath, Biswajit, Amit K. Chattopadhyay, and T. Krishna Kumar. 2024. "An Economic Optimization Model of an E-Waste Supply Chain Network: Machine Learned Kinetic Modelling for Sustainable Production" Sustainability 16, no. 15: 6491. https://doi.org/10.3390/su16156491
APA StyleDebnath, B., Chattopadhyay, A. K., & Kumar, T. K. (2024). An Economic Optimization Model of an E-Waste Supply Chain Network: Machine Learned Kinetic Modelling for Sustainable Production. Sustainability, 16(15), 6491. https://doi.org/10.3390/su16156491

