Reliability, Availability, and Maintainability Assessment-Based Sustainability-Informed Maintenance Optimization in Power Transmission Networks
Abstract
1. Introduction
1.1. Reliability, Availability, and Maintainability (RAM) Principle and Analysis
1.2. RAM Analysis and Sustainability
1.3. Motivation and Research Objectives
2. Literature Review
Research Gaps
- Performance evaluation of power transmission networks
- Addressing Uncertainties in Classical Methods
- -
- Data homogenization tests: These tests ensure the data used for analysis are consistent and comparable. This minimizes the influence of external factors and improves the accuracy of RAM calculations.
- -
- Trend tests: by identifying potential degradation or improvement trends in equipment performance, these tests enable proactive maintenance strategies that target components most susceptible to failure.
- -
- Autocorrelation tests: these tests account for potential dependencies within the data, leading to more reliable RAM estimations.
- Optimizing Maintenance Beyond RAM Analysis
- -
- Balancing Multiple Objectives: the MAUT framework considers various factors simultaneously, such as maximizing RAM indicators, while minimizing maintenance costs.
- -
- Data-driven Decision Making: by incorporating RAM analysis results, this approach creates a more informed and data-driven basis for maintenance planning, leading to improved resource allocation and cost-effectiveness within power transmission networks.
3. RAM Methodology
3.1. System Description
3.2. Statistical Framework-Based RAM Analysis
3.2.1. Data Collection and Homogeneity
3.2.2. Trend and Dependency Analysis
3.2.3. Parameter Estimation
3.3. Maintenance Policy Optimization
4. Results
4.1. Characteristic Statistics
- (a)
- For cables, insulators, joints, jumpers, relays, wires, and transient connections, the corresponding mean TBFs were estimated at 16179, 1386, 3997, 31078, 2895, 6473, and 3044 h.
- (b)
- Approximately 120 h was the coefficient of variation (CoefVar) for the entire process. Standard deviations (StDevs) were highest for the separators.
- (c)
- Transient connections and relays had the shortest repair times, at 0.1 and 0.3 h, respectively. Jumpers assessed their maximal failure times to be 23 h.
- (d)
- The values in the repair distributions have a positive skew. This suggests that the tail on the right side is longer than the tail on the left.
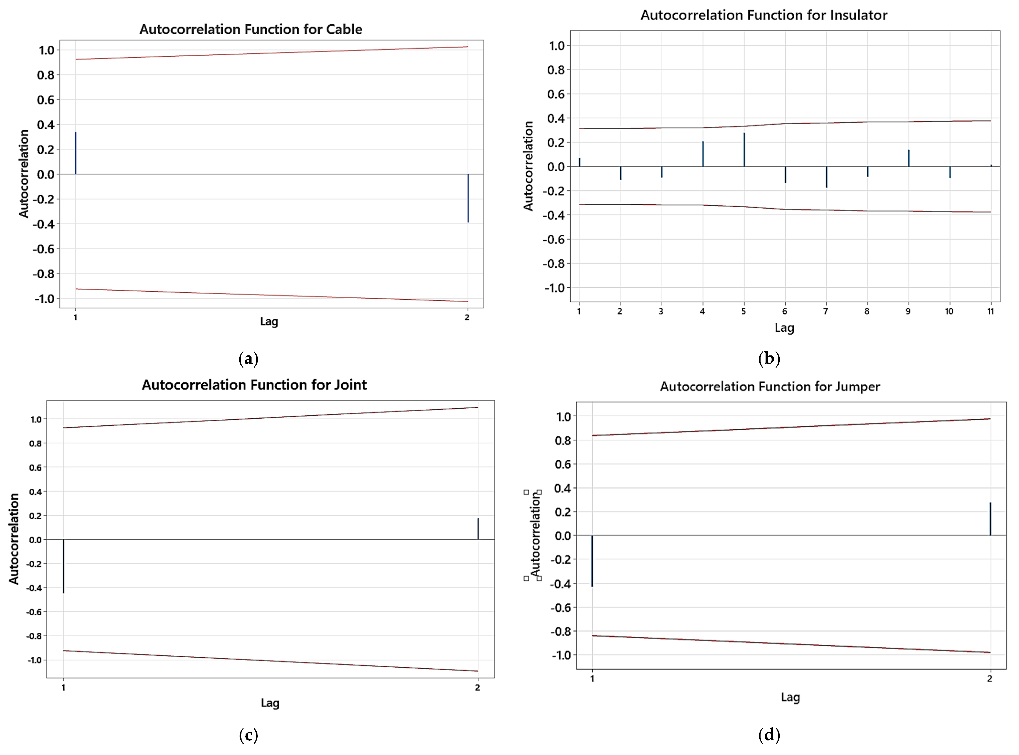
4.2. Analysis of Trends and Correlations
4.3. Best-Fit Model
4.4. The Results of RAM Analysis
4.5. Maintenance Policy Optimization
- -
- Based on maintenance policy I, we have
5. Conclusions
5.1. Limitations of the Study
5.2. Implications of the Work
5.3. Future Research Directions
Author Contributions
Funding
Institutional Review Board Statement
Informed Consent Statement
Data Availability Statement
Conflicts of Interest
Abbreviation
| Abbreviation | Description | Abbreviation | Description |
| RAM | Reliability, availability, maintainability | FTA | Fault Tree Analysis |
| TBL | Triple Bottom Line | FMEA | Failure Mode and Effects Analysis |
| PDFs | Probability Density Functions | LCC | Life Cycle Cost |
| MP | Maintenance policy | CHP | Combined Heat and Power |
| MTTF | Mean Time to Failure | OWTS | Onsite Wastewater Treatment Systems |
| MTBF | Mean Time Between Failures | SHM | Structural health monitoring |
| MTTR | Mean Time to Repair | OLE | Overall Line Effectiveness |
| EDT | Estimated Down Time | PWR | Pressurized Water Reactor |
| PSO | Particle swarm optimization | RAP | Reliability Assurance Program |
| MBDP | Markov birth–death process | MAUT | Multi-Attribute Utility Theory |
| RBD | Reliability Block Diagram | HPP | Homogeneous Poisson Process |
| NHPP | Non-Homogeneous Poisson Process | RP | Random Process |
| PLP | Power Law Process | MLE | Maximum Likelihood Estimation |
| CoefVar | Coefficient of variation | StDevs | Standard deviation |
| TTT | Total Time on Test | IID | Independent and Identically Distributed |
| TPM | Total Productive Maintenance | BCM | Business Continuity Management |
| AD | Anderson–Darling | ||
| RCM | Reliability-Centered Maintenance | TTR | Time to Repair |
References
- Wang, H.; Lu, F.; Tong, X.; Gao, X.; Wang, L.; Liao, Z. A model for detecting safety hazards in key electrical sites based on hybrid attention mechanisms and lightweight Mobilenet. Energy Rep. 2021, 7, 716–724. [Google Scholar] [CrossRef]
- Ghaedsharaf, Z.; Jabbari, M. Identifying hazards and presenting HSE risk management program using Bo w-Tie and SOWT-ANP methods at the urea unit of Shiraz petrochemical complex. Health Saf. Work 2020, 10, 46–57. [Google Scholar]
- Sadeghi-Yarandi, M.; Torabi-Gudarzi, S.; Asadi, N.; Golmohammadpour, H.; Ahmadi-Moshiran, V.; Taheri, M.; Ghasemi-Koozekonan, A.; Soltanzadeh, A.; Alimohammadi, B. Development of a novel Electrical Industry Safety Risk Index (EISRI) in the electricity power distribution industry based on fuzzy analytic hierarchy process (FAHP). Heliyon 2023, 9, e13155. [Google Scholar] [CrossRef] [PubMed]
- Northcote-Green, J.; Wilson, R. Control and Automation of Electrical Power Distribution Systems; CRC Press: Boca Raton, FL, USA, 2017. [Google Scholar]
- Zalipynis, R.A.R. Array DBMS: Past, present, and (near) future. Proc. VLDB Endow. 2021, 14, 3186–3189. [Google Scholar] [CrossRef]
- Sonawane, P.R.; Bhandari, S.; Patil, R.B.; Al-Dahidi, S. Reliability and Criticality Analysis of a Large-Scale Solar Photovoltaic System Using Fault Tree Analysis Approach. Sustainability 2023, 15, 4609. [Google Scholar] [CrossRef]
- Fitrianingtyas, P.; Asy’ari, M.K.; Elyawati, N.; Musyafa, A. Reliability, maintainability, and availability analysis of solar power plant in Pantai Ba-ru using voltage measurement data. In Proceedings of the E3S Web of Conferences, Semarang, Indonesia, 21–24 July 2024; p. 05001. [Google Scholar]
- Sayed, A.; El-Shimy, M.; El-Metwally, M.; Elshahed, M. Reliability, Availability and maintainability analysis for grid-connected solar photovoltaic systems. Energies 2019, 12, 1213. [Google Scholar] [CrossRef]
- Franciosi, C.; Lambiase, A.; Miranda, S. Sustainable maintenance: A periodic preventive maintenance model with sustainable spare parts management. IFAC-PapersOnLine 2017, 50, 13692–13697. [Google Scholar] [CrossRef]
- de Jesus Santos, A.C.; Cavalcante, C.A.V.; Wu, S. Maintenance policies and models: A bibliometric and literature review of strategies for reuse and remanufacturing. Reliab. Eng. Syst. Saf. 2023, 231, 108983. [Google Scholar] [CrossRef]
- Vasić, S.; Orošnjak, M.; Brkljač, N.; Vrhovac, V.; Ristić, K. Identification of Criteria for Enabling the Adoption of Sustainable Maintenance Practice: An Umbrella Review. Sustainability 2024, 16, 767. [Google Scholar] [CrossRef]
- De-Almeida-E-Pais, J.E.; Raposo, H.D.N.; Farinha, J.T.; Cardoso, A.J.M.; Lyubchyk, S.; Lyubchyk, S. Measuring the Performance of a Strategic Asset Management Plan through a Balanced Scorecard. Sustainability 2023, 15, 15697. [Google Scholar] [CrossRef]
- Farinha, J.T.; Raposo, H.D.N.; De-Almeida-E-Pais, J.E.; Mendes, M. Physical Asset Life Cycle Evaluation Models—A Comparative Analysis towards Sustainability. Sustainability 2023, 15, 15754. [Google Scholar] [CrossRef]
- Franciosi, C.; Voisin, A.; Miranda, S.; Riemma, S.; Iung, B. Measuring maintenance impacts on sustainability of manufacturing industries: From a system-atic literature review to a framework proposal. J. Clean. Product. 2020, 260, 121065. [Google Scholar] [CrossRef]
- Karevan, A.; Vasili, M. Sustainable reliability centered maintenance optimization considering risk attitude. J. Appl. Res. Indust. Eng. 2018, 5, 205–222. [Google Scholar]
- Ibrahim, Y.M.; Hami, N.; Othman, S. Integrating sustainable maintenance into sustainable manu-facturing practices and its relationship with sustainability performance: A conceptual framework. Int. J. Energy Econom. Policy 2019, 9, 30–39. [Google Scholar] [CrossRef]
- Alrabghi, A.; Tiwari, A. A novel approach for modelling complex maintenance systems using discrete event simulation. Reliab. Eng. Syst. Saf. 2016, 154, 160–170. [Google Scholar] [CrossRef]
- Agbakwuru, J.A.; Nwaoha, T.C.; Udosoh, N.E. Application of CRITIC–EDAS-Based Approach in Structural Health Monitoring and Maintenance of Offshore Wind Turbine Systems. J. Mar. Sci. Appl. 2023, 22, 545–555. [Google Scholar] [CrossRef]
- Barbieri, G.; Hernandez, J.D. Sustainability Indices and RAM Analysis for Maintenance Decision Making Considering Environmental Sustainability. Sustainability 2024, 16, 979. [Google Scholar] [CrossRef]
- Rezaei, M.; Sameti, M.; Nasiri, F. An enviro-economic RAM-based optimization of biomass-driven combined heat and power generation. Biomass Convers. Biorefinery 2023, 1–16. [Google Scholar] [CrossRef]
- Kowal, K. RAMI-oriented parametric study for the IFMIF-DONES detritiation system subject to imperfect maintenance. Fusion Eng. Des. 2023, 195, 113986. [Google Scholar] [CrossRef]
- Nurcahyo, R.; Nugroho, F.W.T.; Kristiningrum, E. Reliability, availability, and maintainability (ram) analysis for performance evaluation of power generation machines. J. Stand. 2023, 25, 41–52. [Google Scholar] [CrossRef]
- Gomes, J.; Neto, M.M.; Maturana, M.C.; Oliveira, P. Development of the Reliability Assurance Program in a Brazilian nuclear power plant subsidized by a Reliability, Availability and Maintainability Model. Braz. J. Radiat. Sci. 2023, 11, 01–18. [Google Scholar] [CrossRef]
- Chibu, O.R. Integration of Reliability, Availability, Maintainability, and Supportability (Rams) in Maintenance Decision Policies in Afam Electric Power Station in Rivers State Nigeria. Int. J. Electr. Electr. Eng. 2018, 7, 1–16. [Google Scholar]
- El-Naggar, M.F.; Abdelhamid, A.S.; Elshahed, M.A.; Bekhet, M.E.-S.M. Dynamic reliability and availability allocation of wind turbine subassemblies through importance measures. IEEE Access 2022, 10, 99445–99459. [Google Scholar] [CrossRef]
- Jagtap, H.P.; Bewoor, A.K.; Kumar, R.; Ahmadi, M.H.; Assad, M.E.H.; Sharifpur, M. RAM analysis and availability optimization of thermal power plant water circulation system using PSO. Energy Rep. 2021, 7, 1133–1153. [Google Scholar] [CrossRef]
- Jagtap, H.; Bewoor, A.; Kumar, R.; Ahmadi, M.H.; Lorenzini, G. Markov-based performance evaluation and availability optimization of the boiler–furnace system in coal-fired thermal power plant using PSO. Energy Rep. 2020, 6, 1124–1134. [Google Scholar]
- Garmabaki, A.; Ahmadi, A.; Block, J.; Pham, H.; Kumar, U. A reliability decision framework for multiple repairable units. Reliab. Eng. Syst. Saf. 2016, 150, 78–88. [Google Scholar] [CrossRef]
- Barabadi, A.; Barabady, J.; Markeset, T. Application of reliability models with covariates in spare part prediction and optimization—A case study. Reliab. Eng. Syst. Saf. 2014, 123, 1–7. [Google Scholar] [CrossRef]
- Kabir, S.; Papadopoulos, Y. A review of applications of fuzzy sets to safety and reliability engineering. Int. J. Approx. Reason. 2018, 100, 29–55. [Google Scholar]
- Maronna, R.A.; Martin, R.D.; Yohai, V.J.; Salibián-Barrera, M. Robust Statistics: Theory and Methods (with R); John Wiley & Sons: Hoboken, NJ, USA, 2019. [Google Scholar]
- Cox, D.R. Analysis of Survival Data; Chapman and Hall/CRC: New York, NY, USA, 2018. [Google Scholar]
- Meeker, W.Q.; Escobar, L.A.; Pascual, F.G. Statistical Methods for Reliability Data; John Wiley & Sons: Hoboken, NJ, USA, 2022. [Google Scholar]
- Najafi, P.; Asoodar, M.A.; Marzban, A.; Hormozi, M.A. Reliability analysis of agricultural machinery: A case study of sugarcane chopper harvester. Agricengint CIGR J. 2015, 17, 158–165. [Google Scholar]
- Tsarouhas, P.H. Maintainability analysis in the yogurt industry. Int. J. Syst. Assur. Eng. Manag. 2015, 6, 119–128. [Google Scholar]
- Garmabaki, A.H.S.; Ahmadi, A.; Mahmood, Y.A.; Barabadi, A. Reliability Modelling of Multiple Repairable Units. Qual. Reliab. Eng. Int. 2016, 32, 2329–2343. [Google Scholar] [CrossRef]
- Block, J.; Ahmadi, A.; Tyrberg, T.; Kumar, U. Fleet-level reliability of multiple repairable units: A parametric approach using the power law process. Int. J. Perform. Eng. 2014, 10, 239. [Google Scholar]
- Kuo, C.-C.; Ke, J.-C. Availability and Comparison of Spare Systems with a Repairable Server. Int. J. Reliab. Qual. Saf. Eng. 2019, 26, 1950008. [Google Scholar] [CrossRef]
- Garmabaki, A.H.S.; Ahmadi, A.; Ahmadi, M. Maintenance optimization using multi-attribute utility theory. In Current Trends in Reliability, Availability, Maintainability and Safety: An Industry Perspective; Springer: Berlin/Heidelberg, Germany, 2016; pp. 13–25. [Google Scholar]









| Ref. | Case Study | Objective (s) | Methodology | RAM Model | MP | Main Finding (s) |
|---|---|---|---|---|---|---|
| [7] | Solar panel system | Evaluating a solar panel system’s reliability using parallel solar panel configuration. | PDFs, Weibull distribution | Yes | No | The reliability of each individual solar panel unit is 0.122 or 12.2% and preventive maintenance measures applied to the system were not effective, causing the reliability value to decrease over time. |
| [19] | Wind turbine systems | Improving the reliability of OWTS and minimize maintenance costs. | Mathematical models | Yes | No | Mathematical models used for structural health monitoring, combined with maintenance technologies, are the most effective approach for improving the reliability of OWTS while minimizing maintenance costs. |
| [20] | CHP generation systems | Minimizing the overall cost of capital and operating different CHP system designs. | Gradient-based nonlinear models | Yes | No | Integrating RAM parameters into the optimization process for biomass-driven CHP generation can improve system efficiency and maintain economic competitiveness. |
| [21] | Power plants | Evaluating power plant systems according to RAM principles. | PDFs | Yes | No | With the best possible equipment and maintenance practices, achieving the target availability of 99.9% for the IFMIF-DONES detritiation system is very challenging. |
| [22] | Power generation machines | RAM analysis for performance power generation machines. | Qualitative reliability model | Yes | No | Finding significant differences in availability between the machines: MPL1 (93.48%), MPL2 (82.19%), and MPL3 (70.55%). Identifying the need for improvement in maintenance performance, particularly availability, for MPL2 and MPL3. |
| [23] | Brazilian nuclear power plant | Developing an RAP specific to a PWR experimental nuclear installation. | RAP | Yes | No | The RAP applied to identify significant risk SSCs in long-term decay heat removal during a refueling shutdown identified 148 significant risk components from 393 failure modes analyzed. |
| [24] | Electric power station | Conducting a qualitative reliability model and LCC analysis. | FMECA, LCC analysis | Yes | No | By RAMS in maintenance decision policies, the number of failures can be reduced and their consequences minimized in the Afam electric power station. |
| [25] | Wind turbine | Developing an RAM analysis model for wind turbine subassemblies. | MOAM, Weibull | Yes | No | The study demonstrates the effectiveness and efficiency of the proposed approach in achieving secure operation and improving the reliability and availability of wind turbine systems. |
| [26] | Thermal power plants | An RAM analysis framework for a water system in a coal-fired power plant. | RBD FTA, and MBDP, PSO | Yes | No | PSO reportedly achieves an optimal availability of 99.9829% compared to 96.26% using traditional methods. |
| [27] | Coal-fired thermal power plant | Developing Markov-based availability simulation model in coal-fired thermal power plant. | Markov-based simulation | Yes | No | Focusing on optimizing single-burner mode operation to save up to 7% fuel consumption. The Markov approach was used to evaluate the availability of the BF system, showing that the boiler drum is the most critical equipment. |
| Current study | Power transmission networks | Identifying key subsystems, assessing RAM elements, and identifying an effective maintenance policy for power transmission networks. | Statistics-based models, key metrics such as MTTF, MTBF, MTTR, EDT | Yes | Yes | Refer to Section 4, “Results and Discussion”. |
| Operational Data | Subsystem | Mean (h.) | StDev | CoefVar | Min. | Max. | Skewness | Kurtosis |
|---|---|---|---|---|---|---|---|---|
| TBF dataset | Cables | 16,179 | 7489 | 46.29 | 7800 | 26,544 | 0.38 | −1.35 |
| Insulators | 1386 | 2535 | 182.83 | 24 | 10,824 | 2.36 | 5.12 | |
| Joints | 3997 | 3490 | 87.33 | 24 | 7920 | −0.11 | −2.26 | |
| Jumpers | 31,078 | 17,139 | 55.15 | 7152 | 51,972 | −0.16 | −1.56 | |
| Relays | 2895 | 2611 | 90.18 | 456 | 6648 | 0.68 | −1.57 | |
| Wires | 6473 | 3290 | 50.82 | 1176 | 12,792 | 0.28 | 0.03 | |
| Transient connections | 3044 | 1991 | 65.40 | 576 | 8592 | 1.01 | 1.95 | |
| TTR dataset | Cables | 12.71 | 2.81 | 22.11 | 9.00 | 17.00 | 0.22 | −0.83 |
| Insulators | 4.429 | 3.329 | 75.16 | 1.000 | 12.000 | 0.98 | −0.28 | |
| Joints | 5.33 | 2.94 | 55.20 | 2.00 | 10.00 | 0.64 | −0.30 | |
| Jumpers | 10.13 | 6.60 | 65.18 | 3.00 | 23.00 | 1.18 | 0.91 | |
| Relays | 0.6857 | 0.2410 | 35.15 | 0.3000 | 1.0000 | −0.37 | −0.50 | |
| Wires | 4.727 | 2.936 | 62.10 | 1.000 | 8.000 | −0.08 | −1.96 | |
| Transient connections | 0.6358 | 0.3458 | 54.39 | 0.1000 | 2.0000 | 1.11 | 3.37 |
| Subsystem | TBF Dataset | Final Decision | ||||
|---|---|---|---|---|---|---|
| MIL-Hdbk −189 Test (H01) | Laplace’s Test (H02) | Decision of H01 and H02 at the 5% Significant Level | Mann–Kendall Test (H03) | AD Test/TTT Plot (H04) | ||
| Cables | 8.31 (0.48) | 0.38 (0.70) | - | - | - | Not rejected |
| Insulators | 309.46 (0.000) | −8.72 (0.000) | AD test/TTT plot | - | 72.02 (0.000) | Rejected |
| Joints | 25.31 (0.027) | −0.66 (0.508) | AD test/TTT plot | - | 2.16 (0.075) | Not rejected |
| Jumpers | 8.79 (0.31) | 1.24 (0.216) | - | - | - | Not rejected |
| Relays | 17.93 (0.236) | −1.35 (0.178) | - | - | - | Not rejected |
| Wires | 18.48 (0.889) | −0.48 (0.634) | - | - | - | Not rejected |
| Transient connections | 48.94 (0.147) | −2.67 (0.008) | AD test/TTT plot | - | 4.13 (0.008) | Rejected |
| Operational Data | Unit | MLE Method | AD Test | Model Parameters |
|---|---|---|---|---|
| TBF data | Cables | IID—RP—3P-Weibull | 1.97 * | Shape = 2.33, Scale = 16,857.2 |
| Insulators | No IID-NHPP | - | Shape = 0.77, Scale = 476.97 | |
| Joints | IID—RP—3P-Weibull | 2.183 * | Shape = 2.736, Scale = 8867.99 | |
| Jumpers | IID—RP—Weibull | 2.034 | Shape = 2.47, Scale = 7278 | |
| Relays | IID—RP—Weibull | 1.991 | Shape = 1.14, Scale = 3042.91 | |
| Wires | IID—RP—Weibull | 1.291 | Shape = 2.16, Scale = 7296.52 | |
| Transient connections | No IID-NHPP | - | Shape = 0.63, Scale = 1238.75 |
Disclaimer/Publisher’s Note: The statements, opinions and data contained in all publications are solely those of the individual author(s) and contributor(s) and not of MDPI and/or the editor(s). MDPI and/or the editor(s) disclaim responsibility for any injury to people or property resulting from any ideas, methods, instructions or products referred to in the content. |
© 2024 by the authors. Licensee MDPI, Basel, Switzerland. This article is an open access article distributed under the terms and conditions of the Creative Commons Attribution (CC BY) license (https://creativecommons.org/licenses/by/4.0/).
Share and Cite
Sagharidooz, M.; Soltanali, H.; Farinha, J.T.; Raposo, H.D.N.; de-Almeida-e-Pais, J.E. Reliability, Availability, and Maintainability Assessment-Based Sustainability-Informed Maintenance Optimization in Power Transmission Networks. Sustainability 2024, 16, 6489. https://doi.org/10.3390/su16156489
Sagharidooz M, Soltanali H, Farinha JT, Raposo HDN, de-Almeida-e-Pais JE. Reliability, Availability, and Maintainability Assessment-Based Sustainability-Informed Maintenance Optimization in Power Transmission Networks. Sustainability. 2024; 16(15):6489. https://doi.org/10.3390/su16156489
Chicago/Turabian StyleSagharidooz, Motahareh, Hamzeh Soltanali, José Torres Farinha, Hugo D. N. Raposo, and José Edmundo de-Almeida-e-Pais. 2024. "Reliability, Availability, and Maintainability Assessment-Based Sustainability-Informed Maintenance Optimization in Power Transmission Networks" Sustainability 16, no. 15: 6489. https://doi.org/10.3390/su16156489
APA StyleSagharidooz, M., Soltanali, H., Farinha, J. T., Raposo, H. D. N., & de-Almeida-e-Pais, J. E. (2024). Reliability, Availability, and Maintainability Assessment-Based Sustainability-Informed Maintenance Optimization in Power Transmission Networks. Sustainability, 16(15), 6489. https://doi.org/10.3390/su16156489

