Next Article in Journal
Utilizing Agricultural By-Products for Sustainable Agouti (Dasyprocta leporina) Diets: Evaluating Low-Cost Feed Alternatives in Trinidad and Tobago, West Indies
Previous Article in Journal
Understanding Why Farmers Leave: Validating Key Indicators for Farm Exit in İzmir, Türkiye
 
 
Font Type:
Arial Georgia Verdana
Font Size:
Aa Aa Aa
Line Spacing:
Column Width:
Background:
Article

Bringing Back Reef Fish: Sustainable Impacts of Community-Based Restoration of Elkhorn Coral (Acropora palmata) in Vega Baja, Puerto Rico (2008–2023)

by
Edwin A. Hernández-Delgado
1,2,3,* and
Ricardo Laureano
4
1
Sociedad Ambiente Marino, San Juan 00931, Puerto Rico
2
Center for Applied Tropical Ecology and Conservation, University of Puerto Rico, San Juan 00925, Puerto Rico
3
Interdisciplinary Studies Program, Faculty of Natural Sciences, University of Puerto Rico, San Juan 00925, Puerto Rico
4
Grupo VIDAS, Vega Baja 00693, Puerto Rico
*
Author to whom correspondence should be addressed.
Sustainability 2024, 16(14), 5985; https://doi.org/10.3390/su16145985
Submission received: 1 May 2024 / Revised: 18 June 2024 / Accepted: 8 July 2024 / Published: 12 July 2024
(This article belongs to the Section Sustainable Oceans)

Abstract

In response to the severe fragmentation of Elkhorn coral, Acropora palmata (Lamarck, 1816), stands caused by a major winter swell (“Holy Swell”) in March 2008, an emergency community-based low-tech restoration was initiated in Vega Baja, Puerto Rico. Over a 15-year period, coral demographic performance and fish assemblages were monitored across four restored and four control (non-restored) 100 m2 plots. The restoration effort proved to be highly successful, leading to successful coral survival and growth, and to sustained recovery of fish assemblages, particularly herbivore guilds. Significantly increased abundance, biomass, and diversity were observed across all trophic functional groups, fishery target species, and geo-ecological functional groups in both restored and control plots. These positive outcomes were attributed to enhanced spatial complexity by long-term coral growth, “nutrient hotspots” within restored plots, the refugia effect from enhanced benthic spatial complexity, and the recovery of fish dispersal paths promoting spillover effects from restored to adjacent non-restored areas. Restoring herbivore guilds and geo-ecological functional groups played a crucial role in restoring vital ecological processes promoting reef ecosystem resilience. Recommendations include integrating fish assemblage recovery into coral restoration strategies, establishing natural coral nursery plots for future coral sourcing, and incorporating the concept of nursery seascapes for a holistic and ecosystem-based approach to restoration.

1. Introduction

Global coral reef decline over the past four decades has been significant due to a combination of local-scale factors, such as sedimentation [1,2,3], turbidity [4], eutrophication [5,6], water quality decline [7,8,9], and fishing [10,11,12]. Also, regional- to global-scale climate change-related factors have resulted in recurrent mass coral bleaching [13,14,15], ocean acidification [16], stronger hurricanes with higher mechanical destructive power on coral reefs [17,18,19,20,21], and sea level rise (SLR) [22,23]. More recently, emergent threats such as invasive species [24], nuisance species [25,26], anoxic/hypoxic events [27,28], widespread coral diseases [29], and mortality events of reef organisms, such as the long-spined urchin Diadema antillarum, across the wider Caribbean [30] have changed coral reef community composition [31,32,33], and are threatening the sustainability of coral reef ecosystems’ persistence, resilience, ecological processes, functions, and services.
Ecological restoration has emerged as a vital tool to replenish depleted coral assemblages worldwide [34,35,36,37] and promote the recovery of its social–ecological sustainability. Some of the potential benefits of coral reef ecological restoration include the following: Enhancement of depleted coral populations—Ecological restoration replenishes depleted coral populations, especially of endangered coral species such as Elkhorn coral (Acropora palmata) and staghorn coral (A. cervicornis) [38,39]. This is crucial for population recovery and for restoring ecological and genetic connectivity. Restoring coral reef accretion—The reintroduction of fast-growing Acroporid corals can help to restore net coral reef accretion, which is fundamental for the rapid rehabilitation of wave energy attenuation and essential fish habitat (EFH) functions of shallow coral reefs [40]. Restoring coral reef benthic spatial heterogeneity—Restoring rapid coral growth contributes to restoring benthic spatial heterogeneity, microhabitat diversity, and reverse benthic flattening and community homogenization [41,42,43]. This is necessary for restoring biodiversity.
Other benefits include the following: Enhanced biodiversity—Coral reef restoration can help recover biodiversity by restoring damaged or destroyed habitats and fostering net fish and invertebrate community enhancement following disturbance [44,45], which in the long-term will re-establish geo-ecological functional redundancy [46,47]. Improved water quality—If combined with simultaneous watershed-scale land use management, ecological restoration can help in the long term to improve water quality by reducing sediment resuspension due to wave action attenuation [48,49]. Increased coastal protection—Coral reefs provide natural coastal protection by reducing the impact of waves and storms [50,51]. Ecological restoration can help increase the coastal protection provided by coral reefs, at the same time enhancing habitat attributes that promote biodiversity. These are vital long-term benefits in the face of increasing threats by projected strengthened hurricanes with climate change [21], stronger storm surge [52,53], and SLR [54,55]. Increased fisheries production—Coral reefs are an important source of fisheries production and support nearly 500 million people [56,57]. Restoration can help increase the fisheries production provided by coral reefs by re-establishing benthic spatial heterogeneity [58,59] and promoting the recovery of ecological connectivity with adjacent habitats [60].
In addition, there are the following: Increased tourism revenues and community livelihoods—Coral reefs are a major tourist attraction in many parts of the world, which significantly increase their socio-economic value [61,62]. Ecological restoration can help increase tourism revenues by restoring damaged or destroyed coral reefs and providing enhanced economic and livelihood opportunities to local stakeholders. Increased sources of natural product medicine—Coral reefs are a source of many natural products and medicines [63,64]. Restoration can help increase the sources of natural products provided by reefs by promoting the recovery of depleted biodiversity. Increased recreational benefits—Coral reefs provide many recreational benefits such as SCUBA diving, snorkeling, and swimming [65]. Restoration can help increase the recreational benefits provided by coral reefs, which is fundamental for strengthening socio-economic sustainability in numerous small island developing states (SIDSs) and low-income countries. However, recreational activities must be thoroughly regulated through a participatory management plan, the implementation of limits of acceptable change (LACs), and a strong governance framework to minimize irreparable damage to coral reefs.
Coral reef restoration efforts are widespread around the wider Caribbean region [37]. Most efforts have focused on restoring largely depleted, endangered shallow-water Acroporid corals [38]. Limited regional coral ecological redundancy, in comparison to that of the southwestern Pacific [66], makes Acroporid coral restoration incredibly critical for reef sustainability across the Caribbean. Rapid skeletal growth and the natural fragmentation and recolonization capacity of shallow reefs following disturbances make Acroporid corals one of the most important options for the rapid rehabilitation of shallow Caribbean coral reef ecological sustainability. There is evidence that Caribbean Acroporid coral restoration can contribute to the recovery of fish communities [67,68,69,70]. However, most of the attention of Acroporid coral restoration has been paid to coral survival and demographic dynamics [71,72,73,74,75,76]. Attention to the role of ecological restoration on fish ecological dynamics has been limited even though fish community trophic structure is fundamental for the sustainability and functioning of coral reefs.
This study was aimed at understanding the long-term impacts of a community-based, low-tech, low-scale, emergency ecological restoration effort of endangered A. palmata populations on fish community structure on shallow, high-energy coral reefs that were significantly impacted by a strong winter swell (“Holy Swell”) during March 2008 along the coast of Vega Baja, northern Puerto Rico and then by swells associated with category five Hurricanes Irma and María in 2017. Two questions were addressed: What was the long-term (2008–2023) demographic performance of restored populations of A. palmata fragments following a major winter swell disturbance? What was the long-term impact of coral reef restoration on fish community sustainability within the restored spatial scales? This study provides important and timely information for coral reef managers and decision-makers in the context of shallow-water coral reef restoration challenges and opportunities across the wider Caribbean region in the Anthropocene.

2. Materials and Methods

2.1. Study Location

This study was conducted at Arrecife Playa El Eco in the municipality of Vega Baja, along the northern coast of Puerto Rico, in the Caribbean Sea (18.4900° N, −66.4575° W) (Figure 1). Arrecife El Eco is a shallow fringing reef (0.5–5 m) dominated by one of the most extensive remnant formations of monotypic Elkhorn coral (A. palmata) (Lamarck, 1816) stands across the northeastern Caribbean. This species is classified as highly endangered on a global scale by the International Union for the Conservation of Nature (IUCN) Red List as of 2024. It was also listed as a threatened species in 2006 under the U.S. Endangered Species Act, which also established its designated critical habitat (DCH) in 2008. The study area was located within its DCH and supported a very high percent live cover of A. palmata [77,78,79]. Some reef zones adjacent to the study site also show significant natural coral recovery success through sexual coral recruitment [80]. However, reef areas in closer proximity to the shoreline have significantly suffered in the past from widespread environmental degradation, including fecal pollution, eutrophication, and recurrent turbidity and sedimentation pulses that resulted in the loss of many A. palmata stands along the shoreline [6,78,81]. This highlights the importance of enhancing governance of natural resource management and restoring A. palmata growth adjacent to the shoreline to protect coastal communities and infrastructure.

2.2. Acropora Palmata Restoration

During 18–21 March 2008, an unprecedented winter swell, named the “Holy Swell”, impacted the northeastern Caribbean region, generating long-period swells (6–10 m, 16 s) and wave breakers more than 10–12 m high along the northern coast of Puerto Rico (https://www.canalsresearch.com/wave-climate-atlas-extreme-events, accessed on 25 April 2024) (see Figure S1). This event caused an extensive fragmentation and dislodgment of A. palmata colonies along the coast of Vega Baja. An emergency community-based restoration effort was conducted led by local non-governmental organizations VIDAS and Sociedad Ambiente Marino (SAM), with the support of the Center for Applied Tropical Ecology and Conservation (CATEC) of the University of Puerto Rico. Briefly, numerous wave-generated coral fragments of variable size (<10 cm to >2 m) and dislodged colonies (0.5 to 2.5 m diameter) were collected and stabilized across local reefs. But a total of 628 A. plamata clippings generated from broken fragments at risk (~10–25 cm maximum length) were out-planted to a natural open backreef substrate by direct wedging into reef crevices and cracks in roughly 10 plots of ~200–250 m2 each, forming colony clusters of approximately 50–75 fragments per plot. Some fragments were also tie-wrapped to natural bottom topographic features or dead A. palmata stands. The bottoms selected for establishing restoration plots were 1 to 1.5 m deep, located within the backreef zone, protected from direct wave action by adjacent surviving dense stands of A. palmata (50–70 m away). Restoration plots showed high homogeneity in their characteristics: a flat (low-relief < 0.5 m) emergent eolianite platform, exposed to strong surface currents and secondary wave breakers, dominated by open low-relief carbonate rocky outcrops, with a dominant mixed community of crustose coralline algae, <20% cover of macroalgae, and sporadic, small-sized ephemeral corals, such as Siderastrea radians, Agaricia humilis, Porites astreoides, and P. porites, with less than 2% live cover. Adjacent bottoms (~50–70 m away) selected for unrestored control plots shared similar spatial and biological characteristics.
Four of the original plots were selected for permanent monitoring of out-planting success. A maximum of 120 out-planted representative A. palmata colonies were permanently tagged at the time of out-planting for long-term monitoring (19% of the total number of out-planted coral clippings), with ~30 colonies per plot within four contiguous plots, separated by ~20–30 m. However, due to the loss of numerous tags with increasing time due to wave action or due to skeletal and tissue overgrowth of many tags that resulted from extensive coral growth, only data from three of the plots with tagged corals that had at least 20 replicate tagged colonies through time were used for final quantitative assessments. The fourth plot also showed prolific coral growth through time but was not quantified after 2012. For this study, data at the time of out-planting (2008) were used as a baseline and then data from years 2012, 2016, 2020, and 2023 were used for assessing out-planted coral survival rates, colony maximum diameter (cm), colony surface area (cm2), and maximum colony height (cm).
Maximum colony diameter, colony surface area (length × width), and colony height were measured immediately after coral out-planting in 2008 (baseline), and then once per year in 2012, 2016, 2020, and 2023, during the late summer months when oceanographic conditions were calmer on the site.

2.3. Fish Community Parameters

The long-term impact of A. palmata restoration on fish community structure was quantified using slightly modified stationary visual fish counts [82]. Briefly, fish assemblages were counted within four replicate restored plots and four adjacent control (non-restored) circular plots of 100 m2 (radius = 5.6 m) each. Plots within treatments were separated by ~30–50 m from each other, but the nearest restored plot was separated from control non-restored plots by ~50–70 m. Other restored plots were located farther away (~100 to 170 m). Sampling was conducted in the early morning (0800–1000 h) by the same observer immediately after coral out-planting in 2008 (baseline), and then once per year in 2012, 2016, 2020, and 2023, during the late summer months when oceanographic conditions were calmer on the site. Sampling was conducted using 10 min counts within each plot. All fish were identified to the lowest taxon possible, counted, and size-determined following standard visual census methods [82]. The method provides quantitative data on frequency of occurrence, fish length, abundance, and community composition at the species, genus, and family level, but also at the trophic functional group level, at the fisheries target species level, and at the geo-ecological functional group level.
Size distributions were determined for individual species based on length data obtained comparing fish length to a cm calibrated scale [82]. An index of biomass was obtained from length data for each species by multiplying abundance estimates by weight based on empirically derived, species-specific length–weight relationships [83]. Weight–length relationships were calculated by fitting a regression line to the equation log w = log a + b log L, which is equivalent to the equation W = aLb, where W is weight in grams, and L is length in millimeters and a and b are constants [83]. Mean length data could be used directly to compare average stock sizes between habitats and reefs and over time. Minimum lengths may be useful indicators of recruitment size for sampled habitats, while maximum lengths may be useful indicators of fishing pressure [82]. All biomass data were summarized in the Supplementary Materials.
A quantitative assessment conducted in 2008 as part of this study determined the optimal number of replicate plots needed to assess coral restoration impacts on fish community structure. By addressing variability, effect size, statistical power, and significance level, we found consistent results showing no significant differences among restored plots. This led to the decision to keep using four replicate plots for fish counts. Significant effect sizes detected between restored and control plots further supported this decision. Additionally, strong statistical power was achieved for many fish parameters within both restored and control plots. The consistent achievement of the desired level of significance (e.g., p = 0.05) solidified the use of four replicate plots for the remainder of this study.

2.4. Trophic Functional Group Abundance and Biomass

Spatio-temporal variation in trophic functional group community structure, abundance, and biomass was statistically tested as above for the following guilds: (a) total carnivores, (b) generalist invertivores, (c) piscivores, (d) planktivores, (e) omnivores, (f) total herbivores, (g) non-denuder herbivores, (h) browser herbivores, and (i) scraper herbivores. All biomass data were summarized in the Supplementary Materials.

2.5. Fishery Target Species Parameters

Spatio-temporal variations in fishery target species abundance, percent abundance, biomass, and percent biomass were similarly analyzed for those species that are often targeted by artisanal fishing in Puerto Rico. This may provide important information on potential fishing impacts on the study area.

2.6. Fish Geo-Ecological Functional Group Abundance and Biomass

Coral reef fishes carry out essential and well-documented ecological functions on reefs [84], but also contribute important geo-ecological functions, which influence reef calcium carbonate (CaCO3) cycling dynamics [47]. These functions include reef framework modification (through bioerosion and breakage), and the production, reworking, and transport of reef biogenic sediments. To explore how fish geo-ecological functions may vary with the long-term restored A. palmata growth within restored plot scales, spatio-temporal variations in fish geo-ecological functional group √-transformed abundance and biomass were tested for the following guilds: (a) FMBio = framework modifiers by bioerosion, (b) FMBre = framework modifiers by breakage, (c) SPI = sediment producers by intestine production, (d) SRM = sediment reworkers and mixers, (e) STr = sediment transporters. Detailed definitions of these functional groups can be found in [47]. All biomass data were summarized in the Supplementary Materials.

2.7. Fish Species Distribution

Fish species-level data were used to determine spatio-temporal variation in fish community structure as above. This allowed for identifying which species may best explain observed variation. A similarity percentages (SIMPER) analysis was used on fish species-level √-transformed abundance data to identify indicator species of spatio-temporal variation in control and restored plots [85].

2.8. Fish Biodiversity and Phylogenetic Dynamics

2.8.1. Taxonomic Diversity (Delta, ∆)

The ∆ is the average ‘taxonomic distance apart’ of every pair of individuals in a sample or the expected taxonomic path length between any two individuals chosen at random [85]. The higher the ∆ value, the more complex is the taxonomic hierarchy and diversity.

2.8.2. Taxonomic Distinctness (Delta*, ∆*)

The ∆* is calculated by dividing the ∆ by the Simpson diversity index to remove the dominating effect of the species abundance distribution [86]. The ∆* measures the expected taxonomic distance apart of any two individuals chosen at random from a sample, provided those two individuals are not from the same species. The taxonomic/phylogenetic distinctness of a community summarizes features of the overall hierarchical structure of an assemblage (the spread, unevenness, etc., of the classification tree). The larger the spread and unevenness, the higher the biodiversity.

2.8.3. Average Taxonomic Distinctness—AvTD (Delta+, ∆+)

The ∆+ is the average taxonomic distance apart of all its pairs of species [86]. ∆+ is a very intuitive definition of biodiversity, as average taxonomic breadth of a sample, which is totally independent of sampling effort.

2.8.4. Total Taxonomic Distinctness—TTD (sDelta+, s∆+)

The s∆+ is analogous to phylogenetic diversity (PD), which is simply the cumulative branch length of the full taxonomic tree. s∆+ is a useful measure of total taxonomic breadth of an assemblage, as a modification of S, which allows for the species inter-relatedness, so that it would be possible, for example, for an assemblage of 20 closely related species to be deemed less ‘rich’ than one of 10 distantly related species [85].

2.8.5. Variation in Taxonomic Distinctness—VarTD (Lambda+, Λ+)

The Λ+ is the variance of the taxonomic distances between each pair of species i and j, about their mean distance ∆+ [85]. It has the potential to distinguish differences in taxonomic structure resulting, for example, in assemblages with some genera becoming highly species-rich while a range of other higher taxa are represented by only one (or a very few) species. In that case, average TD may be unchanged but Λ+ will be greatly increased. Λ+ has a lack of dependence of its mean value on sampling effort.

2.8.6. Average Phylogenetic Diversity—AvPD (Φ+)

The Φ+ is the analog of ∆+, both being ways of measuring the average taxonomic breadth of an assemblage (a species list), for a given number of species [85]. Φ+ will give the same value (on average) whatever that number of species; ∆+ will not. Φ+ is the result of PD/S.

2.8.7. Total Phylogenetic Diversity—Faith’s PD (sΦ+)

The sΦ+ is a measure based on known branch lengths: PD is simply the cumulative branch length of the full tree [87,88]. PD itself is a total rather than average property as when new species are added to the list, it always increases [85]. This makes PD highly dependent on S and thus sampling effort. A better equivalent to ∆+ would be Φ+.
All calculations of TD indices were conducted using multivariate routine DIVERSE using √-transformed fish abundance data [85]. The construction of TD indices departs from a master list of species within defined taxonomic boundaries and encompasses the appropriate region/biogeographic area, from which the species found at one locality can be thought of as drawn, creating a framework within which TD measures can be tested for departure from ‘expectation’.

2.9. Statistical Analyses

Spatio-temporal variation in the above coral parameters was tested using a two-way permutational analysis of variance (PERMANOVA) [89], with time and space (plots) as main variables, following 9999 permutations of √-transformed data and based on Bray Curtis resemblance [90]. Colony replicates were used as an error term. Pairwise analyses on factor levels were also carried out but not shown, as data showed significant temporal variation in all parameters among all year combinations, and spatial variation showed consistently non-significant differences between plots one and two, but highly significant differences between plot three and the others. A non-metric multi-dimensional scaling (nMDS) analysis based on out-planted A. palmata √-transformed colony surface area and on Euclidean distance resemblance was used to project spatio-temporal variation in coral growth. All multivariate testing was conducted in PRIMER v.7.0.23 + PERMANOVA v1 (PRIMER-e, Quest Research, Ltd., Auckland, NZ, USA).
Spatio-temporal variations in fish community parameters were tested using a two-way PERMANOVA [89], with time and treatment (restored plots, control plots) as main variables, and replicate plots as an error term, following 9999 permutations of √-transformed data and on Bray–Curtis resemblance [90]. Data were first analyzed for fish community parameters: (a) species richness, (b) total abundance, (c) total biomass, (d) species diversity index (H’n), and (e) evenness (J’n).
Fish community structure spatio-temporal dynamics were tested as above using trophic group √-transformed abundance and biomass data. Principal coordinate ordination (PCO) was used to project spatio-temporal variation in fish community trajectory based in √-transformed abundance data and on Bray–Curtis resemblance [90] following 9999 permutations [89]. This allowed for identifying which trophic groups explained observed patterns of spatio-temporal variation. Also, variation in abundance data from control and restored plots was projected using a dominance curve [85]. Abundance–biomass comparison (ABC) plots based on trophic functional group abundance and biomass were used to test for any potential disturbance effects using a multivariate distance between dominance curves test (DOMDIS) [85].
Spatio-temporal patterns in fish geo-ecological functional groups as well as to individual taxonomic distinctness and phylogenetic diversity variables were tested using a two-way PERMANOVA, with time and treatment as main variables, and replicate plots as an error term. Results were projected using PCO [89]. Joint AvTD (∆+) and VarTD (Λ+) analyses were performed using multivariate routine TAXDTEST. TD spatio-temporal variation was tested using a two-way PERMANOVA [89], with time and treatment as main variables, and replicate plots as an error term, and using 9999 permutations. ∆+ and Λ+ results were projected using funnel plots.
The BEST-BIOENV routine was used to determine multivariate correlations between A. palmata restoration metrics and fish community structure matrices based on √-transformed abundance and biomass of fish trophic functional groups, fishery target species, and geo-ecological functional groups [85]. BEST-BIOENV allowed for combinations of the coral restoration variables at steadily increasing levels of complexity, yielding the best matches of fish, and restored coral similarity matrices.

3. Results

3.1. Out-Planted Acropora palmata Growth

Out-planted Acropora palmata colonies’ maximum diameter increased from a mean of 17.9 cm in 2008 to 46.2 cm in 2012 (1.6-fold increase), 110.5 cm in 2016 (5.2-fold increase), 182.2 cm in 2020 (9.2-fold increase), and 243.3 cm (12.6-fold increase) in 2023 (Figure 2a). This represents roughly ~16.2 cm of the annual skeletal extension rate. This was a highly significant temporal increase (Pseudo-F = 3311, p < 0.0001) (Table 1). Variation was highly significant among out-planting plots (Pseudo-F = 22.17, p < 0.0001). There was also a highly significant time × plot interaction (Pseudo-F = 5.93, p < 0.0001).
Out-planted A. palmata mean colony surface area increased from 265.3 cm2 in 2008 to 1734.6 cm2 in 2012 (5.5-fold increase), 9726.4 cm2 in 2016 (35.7-fold increase), 26,444.2 cm2 in 2020 (98.7-fold increase), and 47,123.4 cm2 (176.6-fold increase) in 2023 (Figure 2b). This represents roughly ~3142 cm2 of annual colony surface expansion. This was also a highly significant temporal increase (Pseudo-F = 2405, p < 0.0001) (Table 1). Variation was also highly significant among out-planting plots (Pseudo-F = 29.91, p < 0.0001), with a highly significant time × plot interaction (Pseudo-F = 9.09, p < 0.0001).
Maximum height similarly increased from a mean of 3.6 cm in 2008 to 29.7 cm in 2012 (7.3-fold increase), 54.0 cm in 2016 (14-fold increase), 67.0 cm in 2020 (17.6-fold increase), and 75.3 cm (19.9-fold increase) (Figure 2c). This represents roughly ~5 cm of annual vertical growth, a natural constraint imposed by heavy wave action and strong currents over shallow reef grounds. Temporal variation was highly significant (Pseudo-F = 2292, p < 0.0001) (Table 1). Variation was also significant among out-planting plots (Pseudo-F = 107.3, p < 0.0001), with a significant time × plot interaction (Pseudo-F = 4.83, p < 0.0001).
The non-metric multi-dimensional scaling analysis (nMDS) based on the spatio-temporal variation in out-planted A. palmata √-transformed colony surface area and on Euclidean distance resemblance shows four distinctive temporal clusters that followed significant out-planted coral growth, with the first one combining year 2008 and 2012, still showing limited colony growth in 2012 (Figure 3). There were also individual clusters for each sampling period during 2016, 2020, and 2023. These trends evidenced a significant increase in colony surface area. This test had a stress level of 0.01.

3.2. Spatio-Temporal Variation in Fish Community Parameters

The restoration of wave-generated fragments of A. palmata in 2008 resulted in a significant long-term enhancement of fish assemblages within the restored plot scales as well as within adjacent non-restored control plots. A cumulative total of 654 individuals of 36 species were documented in non-restored control plots, while 1718 individuals of 88 species were documented in restored plots. Species richness in control plots represented 40% of the total observed fish fauna, while that of restored plots represented 99% of the total cumulative richness. In total, 89 species were observed during this study. Cumulative richness within restored plots was 2.4 times higher than that of the control plots. Similarly, fish counts within restored plots represented 72% of the total counts in this study, with 28% of the counts observed within control plots. Total counts within restored plots were 2.6 times higher than those at control plots.
Species richness in control plots increased from 6.3 species/count in 2008 to 8.3 in 2012, and 11.5 in 2016, reaching a peak at 12.3 in 2020, but subsequently declined to 7.8 in 2023 (Table 2). In contrast, species richness at restored plots started at 11.3 species/count in 2008, rose to 19.5 in 2012, peaked at 28 in 2016, decreased slightly to 24.3 in 2020, and further to 21.3 in 2023. Notably, species richness was consistently higher in restoration plots compared to control plots throughout the study period, with a ratio of 1.8 times higher in 2008 and 2.7 times higher in 2023. The statistical analysis revealed significant temporal increases in species richness (Pseudo-F = 15.13, p < 0.0001) and a significant treatment effect (Pseudo-F = 122.9, p < 0.0001), but no significant interaction between time and treatment (Pseudo-F = 2.04, p = 0.0827) (Table 3).
Total fish abundance in control plots exhibited an increase from 16.5 individuals/count in 2008 to 25.8 in 2012, further rising to 41.5 in 2016, peaking at 43.8 in 2020, and stabilizing at 36 in 2023 (Table 2). Conversely, total fish abundance at restored plots started at 44.5 individuals/count in 2008, surged to 79 in 2012, peaked at 104.3 in 2016, was 95.8 in 2020, and rose again to 106.3 in 2023. Notably, total fish abundance was consistently higher in restoration plots compared to control plots throughout the study period, with a ratio of 2.7 times higher in 2008 and nearly 3 times higher in 2023. The statistical analysis revealed significant temporal increases in total fish abundance (Pseudo-F = 11.74, p < 0.0001) and a significant treatment effect (Pseudo-F = 79.18, p < 0.0001), but no significant interaction between time and treatment (Pseudo-F = 1.86, p = 0.0858) (Table 3).
The species diversity index (H’n) in control plots showed an upward trend, increasing from 1.6594 per count in 2008 to 1.8554 in 2012, further rising to 2.1071 in 2016, peaking at 2.1594 in 2020, and then stabilizing at 1.8054 in 2023 (Table 2). Conversely, H’n at restored plots started at 2.0956 per count in 2008, increased to 2.5395 in 2012, peaked at 2.8600 in 2016, decreased slightly to 2.6904 in 2020, and then declined to 2.4872 in 2023. The statistical analysis revealed a significant temporal increase in H’n (Pseudo-F = 10.73, p < 0.0001) and a significant treatment effect (Pseudo-F = 81.73, p < 0.0001), but no significant interaction between time and treatment (Pseudo-F = 0.54, p = 0.7128) (Table 3).
Species evenness (J’n) in control plots displayed a fluctuating pattern, starting at 0.9207 per count in 2008, decreasing to 0.8820 in 2012, and then slightly declining to 0.8704 in 2016 and 0.8635 in 2020, before rising to 0.8857 in 2023 (Table 2). Conversely, J’n at restored plots began at 0.8835 per count in 2008, and declined to 0.8697 in 2012, followed by a slight decrease to 0.8604 in 2016, to 0.8458 in 2020, and to 0.8144 in 2023. While there was only a marginal temporal variation in J’n (Pseudo-F = 2.40, p = 0.0679), a significant treatment effect was observed (Pseudo-F = 6.11, p = 0.0179), with no significant time × treatment interaction (Pseudo-F = 0.98, p = 0.4394) (Table 3).

3.3. Spatio-Temporal Variation in Trophic Functional Group Abundance

Total herbivore fish abundance in control plots increased from 12.3 individuals/count in 2008 to 22 in 2012, 33.8 in 2016, 31.5 in 2020, and 31.8 in 2023 (Table 4). Conversely, total herbivore fish abundance at restored plots started at 27.5 individuals/count in 2008, rose to 48.8 in 2012, further increased to 58.5 in 2016 and 59.8 in 2020, and peaked at 76.8 in 2023. This was 2.2 times higher in restoration plots compared to control plots in 2008, and this difference widened to 2.4 times higher by 2023. There was a significant temporal increase in total herbivore fish abundance (Pseudo-F = 15.03, p < 0.0001), a significant treatment effect (Pseudo-F = 61.91, p < 0.0001), and a marginal but non-significant time × treatment interaction (Pseudo-F = 1.99, p = 0.0589) (Table 5).
Non-denuder herbivore fish (Pomacentridae) abundance in control plots averaged 6.5 individuals/count in 2008, increasing to 10 in 2012, 9.5 in 2016, 8.5 in 2020, and 8.3 in 2023 (Table 4). In contrast, non-denuder abundance at restored plots started at 11.3 individuals/count in 2008, rose to 13.8 in 2012, further increased to 17.8 in 2016, decreased slightly to 15.5 in 2020, and then increased again to 18.8 in 2023. The abundance of non-denuder herbivore fish was 1.5 times higher in restoration plots compared to control plots in 2008, and this difference widened to 2.3 times higher by 2023. There was a marginal but non-significant temporal increase in non-denuder abundance (Pseudo-F = 2.61, p = 0.0505), a significant treatment effect (Pseudo-F = 42.12, p < 0.0001), and a non-significant time × treatment interaction (Pseudo-F = 0.80, p = 0.5462) (Table 5).
Browser herbivore fish (Acanthuridae) abundance in control plots averaged 1 individual/count in 2008, increased to 3.8 in 2012, spiked to 12 in 2016, slightly decreased to 10 in 2020, and then rose again to 12.8 in 2023 (Table 4). In contrast, browser abundance at restored plots started at 5 individuals/count in 2008, rose to 13.3 in 2012, further increased to 21 in 2016, slightly decreased to 24.3 in 2020, and then increased again to 30.8 in 2023. The abundance of browser herbivore fish was five times higher in restoration plots compared to control plots in 2008, and this difference decreased to 2.4 times higher by 2023. There was a significant temporal increase in browser abundance (Pseudo-F = 9.52, p < 0.0001), a significant treatment effect (Pseudo-F = 11.73, p = 0.0002), and a non-significant time × treatment interaction (Pseudo-F = 0.99, p = 0.4363) (Table 5).
Scraper herbivore fish (Scaridae) abundance in control plots averaged 4.8 individuals/count in 2008, increased to 8.3 in 2012 and to 12.3 in 2016, remained stable at 13 in 2020, and slightly decreased to 10.8 in 2023 (Table 4). Conversely, scraper abundance at restored plots started at 11.3 individuals/count in 2008, rose to 21.8 in 2012, slightly decreased to 19.8 in 2016, remained stable at 20 in 2020, and then increased to 27.3 in 2023. Scraper abundance was 2.4 times higher in restoration plots compared to control plots in 2008, and this difference increased to 2.5 times higher by 2023. There was a significant temporal increase in scraper abundance (Pseudo-F = 6.65, p = 0.0006), a significant treatment effect (Pseudo-F = 29.99, p < 0.0001), and a non-significant time × treatment interaction (Pseudo-F = 1.09, p = 0.3762) (Table 5).
Total carnivore fish abundance in control plots varied from 3.5 individuals/count in 2008 to a peak of 11.5 in 2020, declining to 3 in 2023 (Table 6). In contrast, total carnivore fish abundance at restored plots increased from 15.5 individuals/count in 2008 to 39 in 2016, decreasing to 25.5 in 2023. The abundance of carnivore fish was 4.4 times higher in restoration plots compared to control plots in 2008, and this difference increased to 8.5 times higher by 2023. There was a significant temporal increase in total carnivore fish abundance (Pseudo-F = 2.96, p = 0.0120), a significant treatment effect (Pseudo-F = 35.31, p < 0.0001), and a non-significant time × treatment interaction (Pseudo-F = 1.27, p = 0.2723) (Table 7).
Generalist invertivore fish abundance in control plots ranged from 3 individuals/count in 2008 to a peak of 10.3 in 2020, declining to 2.3 in 2023 (Table 6). Conversely, generalist invertivores at restored plots increased from 13.8 individuals/count in 2008 to 30.5 in 2016, decreasing to 18.3 in 2023. This was 4.6 times higher in restoration plots compared to control plots in 2008, increasing to 8.1 times higher by 2023. There was a significant temporal increase in generalist invertivore abundance (Pseudo-F = 2.75, p = 0.0216), a significant treatment effect (Pseudo-F = 29.50, p < 0.0001), and a non-significant time × treatment interaction (Pseudo-F = 1.69, p = 0.1395) (Table 7).
Piscivore fish abundance in control plots averaged 0.5 individuals/count in 2008, reaching a maximum of 1 in 2020 before declining to none in 2023 (Table 6). Conversely, piscivore abundance at restored plots increased from 1.8 individuals/count in 2008 to 6 in 2023. Piscivore abundance was 3.5 times higher in restoration plots compared to control plots in 2008, increasing to more than 6 times higher by 2023. There was a non-significant temporal increase in piscivore abundance (Pseudo-F = 1.54, p = 0.1992), a significant treatment effect (Pseudo-F = 22.06, p = 0.0002), and a non-significant time × treatment interaction (Pseudo-F = 0.71, p = 0.6069) (Table 7).
No planktivores were observed in control plots in 2008, but they averaged 0.3 individuals/count from 2012 to 2020, increasing to 0.75 in 2023 (Table 6). Similarly, no planktivores were observed at restored plots in 2008, but their abundance increased steadily from 0.3 individuals/count in 2012 to 1.3 in 2023. Planktivore abundance was 1.7 times higher in restored plots than in control plots in 2023. There was a significant temporal increase in planktivore abundance (Pseudo-F = 3.86, p = 0.0003), a significant treatment effect (Pseudo-F = 10.33, p = 0.0028), and a non-significant time × treatment interaction (Pseudo-F = 1.98, p = 0.1194) (Table 7).
Omnivore fish abundance in control plots in 2008 was 0.8 individuals/count, increasing to 1.3 in 2023 (Table 6). Meanwhile, omnivore abundance at restored plots started at 1.3 individuals/count in 2008, peaked at 6.8 in 2016 and 2020, and decreased to 3.8 in 2023. Omnivore abundance was consistently higher in restoration plots compared to control plots, with a 1.7 times higher abundance in 2008 and more than 3 times higher in 2023. While there was a non-significant temporal increase in omnivore abundance (Pseudo-F = 0.82, p = 0.5334), a significant treatment effect was observed (Pseudo-F = 13.11, p = 0.0008), with a non-significant time × treatment interaction (Pseudo-F = 1.14, p = 0.3627) (Table 7).
A similar analysis for fish trophic functional group biomass was conducted for herbivore and carnivore guilds and results were included as Supplementary Materials (Tables S1–S4). Fish biomass data showed a temporal trend like that of fish abundance.

3.4. Spatio-Temporal Variation in Fishery Target Species Parameters

Fishery target species exhibited notable increases in abundance over time in both control and restored plots. In control plots, juvenile individuals of the scraper herbivore Scarus iseri comprised the highest cumulative abundance in open substrates (28% frequency), yet being juveniles, they were not part of the fishery. Other prominent fishery targets included the scraper herbivore Sparisoma aurofrenatum (1.5%), transient piscivore Caranx ruber (1.2%), and generalist invertivores Mulloydichthys martinicus (0.6%), Lutjanus analis (0.3%), and Pseudupeneus maculatus (0.3%). Together, these five species constituted 4% of the cumulative fish counts from non-restored open reef substrates. In contrast, juvenile S. iseri constituted 18% of the cumulative fish counts from restored plots, not yet part of the fishery. A group of eight fishery target species accounted for 11.5% of the cumulative fish counts in restored plots, including S. aurofrenatum (2.9%), L. mahogoni (2%), C. ruber (1.9%), Haemulon flavolineatum (1.8%), S. viride (0.9%), S. taeniopterus (0.9%), Cephalopholis fulva (0.6%), and L. apodus (0.6%). Cumulative fish abundance increased over time in both restored and control plots, indicating two significant processes associated with A. palmata restoration: enhanced fish abundance within restored plots due to increasing out-planted colony size, cover, and spatial complexity, and fish spillover effects from restored areas to adjacent open control plots.
Fishery target species in control plots exhibited an average of 5.8 individuals/count in 2008, increasing to 9 in 2012, 13.5 in 2016, and 15.3 in 2020, and then declining to 10.8 in 2023 (Table 8). Conversely, fishery target species abundance at restored plots started at 21.3 individuals/count in 2008; rose to 35.3 in 2012, 35.5 in 2016, and 29.8 in 2020; and peaked at 36.3 in 2023. They were 3.7 times more abundant in restoration plots than in control plots in 2008, decreasing slightly to 3.4 times more abundant in 2023. Notably, there was a significant temporal increase in fishery target species abundance (Pseudo-F = 4.02, p = 0.0046), a significant treatment effect (Pseudo-F = 43.78, p < 0.0001), and a significant time × treatment interaction (Pseudo-F = 0.67, p = 0.6832) (Table 9).
In control plots, fishery target species percent abundance averaged 31.5% in 2008, increased to 35.3% in 2012, declined to 32.8% in 2016, rose again to 35.4% in 2020, and decreased to 30.1% in 2023 (Table 8). Conversely, fishery target species percent abundance at restored plots started at 42.5% in 2008 and remained stable at 42.5% in 2012, then decreased to 34.6% in 2016, further declined to 32.3% in 2020, and slightly increased to 34.2% in 2023. There were no significant temporal differences in fishery target species percent abundance (Pseudo-F = 0.35, p = 0.8766), no significant treatment effect (Pseudo-F = 0.89, p = 0.3692), and no significant time × treatment interaction (Pseudo-F = 0.31, p = 0.8769) (Table 9).
Fishery target species also exhibited significant increases in biomass over time in both control and restored plots. In control plots, the highest cumulative biomass in open substrates was attributed to the bowser herbivore Acanthurus coeruleus (25% frequency), although this species is not a fishery target in Puerto Rico. Other notable contributors to biomass included the transient piscivore C. ruber (3%), scraper herbivore S. aurofrenatum (2.5%), and generalist invertivores L. analis (0.6%), M. martinicus (0.6%), and piscivore L. apodus (0.5%). Collectively, these five species constituted 7% of the total biomass from non-restored open reef substrates.
In restored plots, Acanthurus coeruleus accounted for 20% of the cumulative biomass. However, a group of eight fishery target species contributed significantly, comprising 33% of the cumulative biomass within restored plots. This group included the large piscivore Sphyraena barracuda (9%); generalist invertivores Diodon hystrix (8%), L. analis (5%), and L. mahogoni (3%); scraper herbivore S. aurofrenatum (2%); piscivores C. fulva (1.9%) and L. apodus (1.8%); and generalist invertivore H. flavolineatum (1.7%). The cumulative fish biomass increased over time in both restored and control plots, indicating enhanced biomass within restored plots due to increasing out-planted colony size, cover, and complexity, as well as fish spillover effects from restored areas to adjacent control plots.
Fishery target species biomass in control plots increased from an average of 41 g/count in 2008 to 189 g/count in 2020, declining to 74 g/count in 2023 (Table 8). Meanwhile, in restored plots, biomass started at 572 g/count in 2008, peaked at 2817 g/count in 2016, and decreased to 1095 g/count in 2023. Restoration plots exhibited significantly higher biomass, being 14 times higher in 2008 and 15 times higher in 2023 compared to control plots. There was a notable temporal increase in biomass for fishery target species across both control and restored plots, with a significant treatment effect and a significant interaction between time and treatment (Pseudo-F = 6.14, p < 0.0001; Pseudo-F = 69.27, p < 0.0001; Pseudo-F = 3.46, p = 0.0013, respectively) (Table 9).
In control plots, fishery target species percent biomass fluctuated from 34.1% in 2008 to 24% in 2016, rebounding to 22% in 2023 (Table 8). Conversely, in restored plots, it increased from 51.1% in 2008 to 65.5% in 2016, then decreased to 38.3% in 2023. There was no significant temporal difference in fishery target species percent biomass (Pseudo-F = 0.70, p = 0.6182), but a significant treatment effect (Pseudo-F = 6.41, p = 0.0141), with no significant time × treatment interaction (Pseudo-F = 0.93, p = 0.4601) (Table 9).

3.5. Spatio-Temporal Variation in Fish Functional Group Community Structure

There were significant temporal differences in fish community structure based on fish functional group abundance (Pseudo-F = 4.66, p < 0.0001) and treatment effect (Pseudo-F = 27.71, p < 0.0001), with no significant time × treatment interaction (Pseudo-F = 1.00, p = 0.4790) (Table 10). Similarly, significant temporal differences were observed based on fish functional group biomass (Pseudo-F = 4.92, p < 0.0001) and treatment effect (Pseudo-F = 25.23, p < 0.0001), along with a significant time × treatment interaction (Pseudo-F = 2.62, p = 0.0005) (Table 10).
A PCO analysis revealed significant spatio-temporal differences in the fish community structure trajectory within both control and restored plots (Figure 4). Distinctive spatio-temporal clustering patterns were observed, with the years 2008 and 2012 in control plots forming one cluster, while the remaining years constituted a separate cluster due to fish spillover effects from adjacent restored plots as A. palmata growth progressed. Similarly, the year 2008 in restored plots clustered with the years 2016, 2020, and 2023 in control plots, whereas restored plots during the remaining years clustered together as out-planted corals continued to grow larger and fish assemblages became increasingly different.
Community trajectory changes were primarily influenced by a rising abundance of piscivores, generalist invertebrates, and non-denuding herbivores in restored plots. Meanwhile, scraper and browser herbivore abundance accounted for variations in the fish community trajectory in control plots. The observed temporal trajectories indicate increasing complexity in fish communities on both restored and control plots, potentially indicating fish spillover effects from restored to adjacent control plots. Despite differences in fish assemblages between treatments, this solution elucidates 93.7% of the observed spatio-temporal variation.
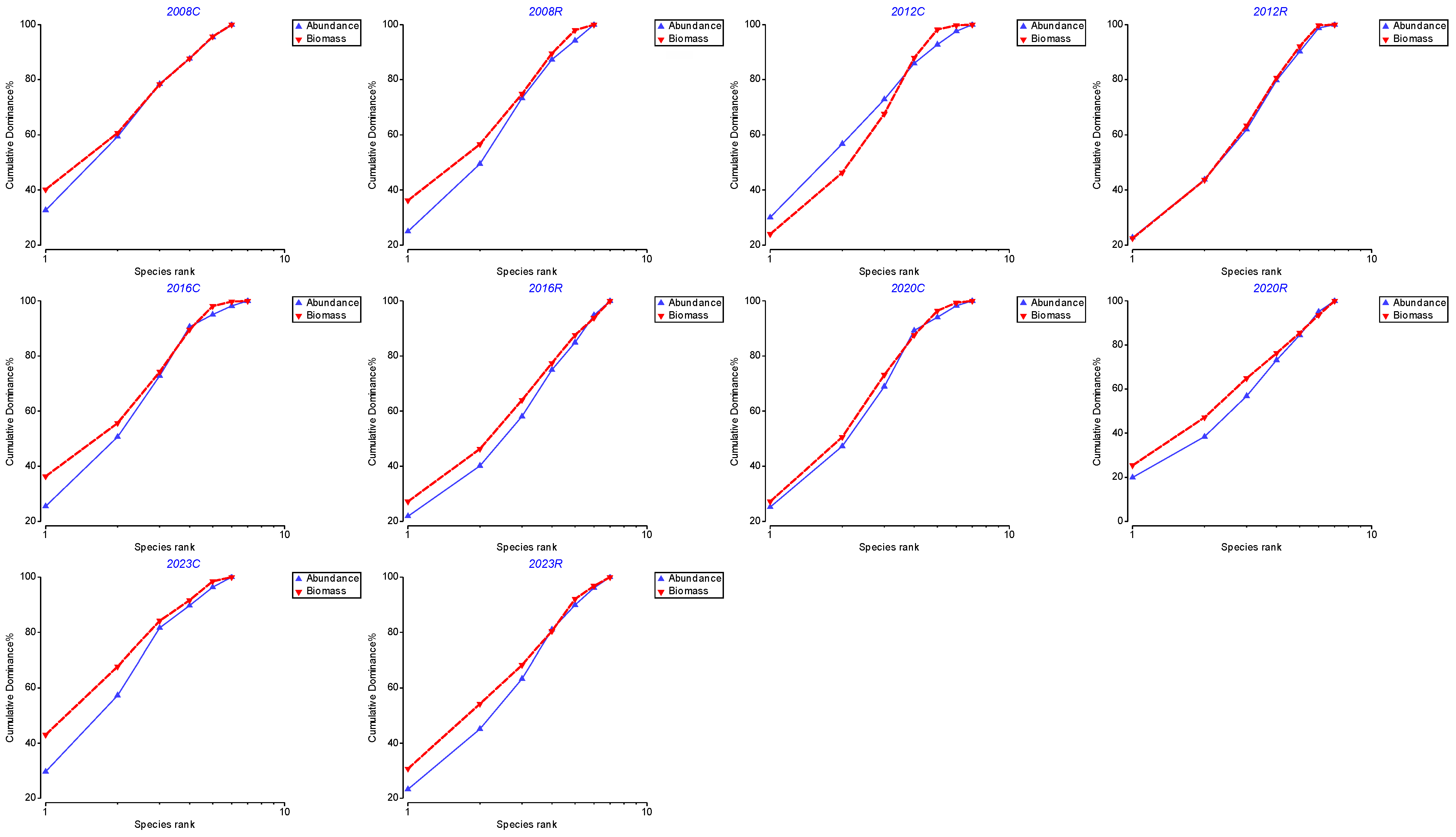
A cumulative dominance plot illustrates a consistent trend of greater fish community complexity within restored plots compared to control plots (Figure 5). Additionally, it demonstrates a general increase in community complexity over time since the coral restoration intervention, despite observed differences in fish assemblages between restored and control plots. This suggests potential fish spillover effects from restored to adjacent control plots.
Abundance–biomass comparison (ABC) plots based on fish functional group abundance and biomass reveal minimal disturbance effects over the 15-year study period, except for the control plots in 2008 and 2012, as well as the restoration plots in 2012 (Figure 6). A PERMANOVA test on the results of the distance between dominance curves’ test (DOMDIS) indicated significant temporal variation in abundance dominance curves (Pseudo-F = 5.72, p = 0.0018) and treatment effects (Pseudo-F = 32.74, p < 0.0001), with a non-significant time × treatment interaction (Pseudo-F = 1.12, p = 0.3737). Additionally, there was significant temporal variation in biomass dominance curves (Pseudo-F = 17.16, p = 0.0003) and treatment effects (Pseudo-F = 32.74, p < 0.0001), with a non-significant time × treatment interaction (Pseudo-F = 0.52, p = 0.7530).
In the ABC method, the strongly disturbed state during the 2012 survey, resulting from recurrent illegal sewage dumping, coastal water eutrophication, and heavy turbidity and sedimentation from adjacent riprap construction, was evident when the abundance k-dominance curve rose above the biomass curve (2012 control), or when both lines were fully aligned throughout their length (2008 control, 2012 restored plot). This phenomenon could be attributed to the loss of large-bodied ‘climax’ species and the proliferation of small-bodied opportunists. Conversely, most of the remaining samples from both control and restoration plots exhibited the benefits of A. palmata restoration on fish assemblages, reflected in the undisturbed ABC pattern (biomass curve consistently above the abundance curve).

3.6. Spatio-Temporal Variation in Fish Geo-Ecological Functional Group Abundance

Fish geo-ecological functional group abundance exhibited significant spatio-temporal variation. In control plots, the abundance of framework modifier (bioeroder) fish (FMBio) averaged 4.8 individuals/count in 2008, 8.3 in 2012, 12.3 in 2016, 13 in 2020, and 10.8 in 2023 (Table 11). Conversely, FMBio abundance in restored plots was 12 individuals/count in 2008, 22.3 in 2012, 19.8 in 2016, 20.5 in 2020, and 28.3 in 2023. Notably, FMBio was 2.5 times more abundant in restored than in control plots in 2008, and 2.6 times more abundant in 2023. Furthermore, FMBio abundance displayed a significant temporal increase (Pseudo-F = 6.31, p = 0.0004), a significant treatment effect (Pseudo-F = 31.86, p < 0.0001), but no significant time × treatment interaction (Pseudo-F = 1.15, p = 0.3452) (Table 12).
Framework modifier (breakage) fish (FMBre) were absent across both control and restored plots between 2008 and 2016 (Table 11). In 2020, none were found in control plots, but there were 0.25 individuals/count in 2023. Similarly, there were 0.5 individuals/count in 2020 in restored plots and 1 in 2023. While FMBre were absent in both control and restored plots in 2008, they were four times more abundant in restored plots than in control plots in 2023. Notably, FMBre abundance displayed a significant temporal increase (Pseudo-F = 2.76, p = 0.0387), no significant treatment effect (Pseudo-F = 2.61, p = 0.1124), and no significant time × treatment interaction (Pseudo-F = 1.05, p = 0.3924) (Table 12).
Sediment producer (intestine production) fish (SPI) abundance averaged 16.5 individuals/count in control plots in 2008, 25.8 in 2012, 41.5 in 2016, 43.8 in 2020, and 36 in 2023 (Table 11). In contrast, SPI abundance in restored plots was 44.3 individuals/count in 2008, 79 in 2012, 104.3 in 2016, 95.8 in 2020, and 106.3 in 2023. Notably, SPI were 2.7 times more abundant in restored than in control plots in 2008 and 3 times more abundant in 2023. Furthermore, sediment producers’ abundance displayed a significant temporal increase (Pseudo-F = 12.56, p < 0.0001), a significant treatment effect (Pseudo-F = 97.95, p < 0.0001), but no significant time × treatment interaction (Pseudo-F = 1.54, p = 0.1780) (Table 12).
Sediment reworking and mixing fish (SRM) abundance was 16 individuals/count in control plots in 2008, 25.3 in 2012, 41 in 2016, 42.8 in 2020, and 36 in 2023 (Table 11). In contrast, SRM abundance in restored plots was 42.3 individuals/count in 2008, 77 in 2012, 95.5 in 2016, 87.5 in 2020, and 102.8 in 2023. Notably, SRM were 2.6 times more abundant in restored than in control plots in 2008 and 2.9 times more abundant in 2023. Additionally, SRM abundance displayed a significant temporal increase (Pseudo-F = 12.22, p < 0.0001), a significant treatment effect (Pseudo-F = 90.44, p < 0.0001), but no significant time × treatment interaction (Pseudo-F = 1.59, p = 0.1648) (Table 12).
Sediment transporter fish (STr) abundance averaged 6.3 individuals/count in control plots in 2008, 12.3 in 2012, 25.3 in 2016, 24.8 in 2020, and 23.5 in 2023 (Table 11). In contrast, STr abundance in restored plots was 24.5 individuals/count in 2008, 46 in 2012, 51.3 in 2016, 51 in 2020, and 64 in 2023. Remarkably, STr were 3.9 times more abundant in restored than in control plots in 2008 and 2.7 times more abundant in 2023. Additionally, STr abundance displayed a significant temporal increase (Pseudo-F = 10.87, p < 0.0001), a significant treatment effect (Pseudo-F = 58.33, p < 0.0001), and a significant time × treatment interaction (Pseudo-F = 2.26, p = 0.0327) (Table 12).
A similar analysis for fish geo-ecological functional group biomass was conducted and results were included as Supplementary Materials (Tables S5 and S6). Fish geo-ecological functional group biomass data showed a temporal trend like that of fish abundance.
A PCO analysis revealed three distinct clustering patterns in control plots based on fish geo-ecological functional group abundance (Figure 7). The first cluster within control plots consisted of the years 2008 and 2012, the second comprised 2016 and 2020, and a separate cluster formed for the year 2023. This pattern suggests increasing fish spillover effects from adjacent restored plots that supported the growth of out-planted coral. Restored plots also exhibited three distinct patterns. In restored plots, the year 2008 clustered with the years 2016 and 2020 of adjacent control plots. However, the year 2012 clustered separately, and years 2016, 2020, and 2023 formed a third cluster, indicating that larger out-planted corals attracted a different community of fish geo-ecological functional groups. The observed spatio-temporal variation was primarily explained by STr and FMBio, and to a slightly lesser degree by SRM and SPI. This solution accounted for 99.4% of the observed variation.

3.7. Spatio-Temporal Variation in Fish Species Distribution

Significant temporal differences in fish community structure were found at the species level (Pseudo-F = 2.02; p = 0.0002), with a notable treatment effect (Pseudo-F = 10.57; p < 0.0001), but no significant time × treatment interaction (Pseudo-F = 1.13; p = 0.2616). The PCO analysis similarly revealed significant spatio-temporal variation in fish assemblages (Figure 8), confirming notable differences between control and restored plots. Control plots displayed three distinct clustering patterns, with years 2008 and 2012 forming a depauperate fish community cluster, followed by clusters in 2016, 2020, and 2023. The variation in control plot fish community trajectory was primarily attributed to an increasing abundance of juvenile Scarus iseri, Acanthurus tractus, and A. coeruleus due to fish spillover effects from adjacent restored plots. In contrast, restored plots showed two distinct clustering patterns, one in 2008 and another in subsequent years. The observed variation in restored plots was mainly due to increasing abundance of Cephalopholis fulva, Anisotremus virginicus, Microspathodon chrysurus, Thalassoma bifasciatum, Haemulon flavolineatum, Caranx ruber, and Lutjanus mahogoni, explaining 72.8% of the total variation.
These results underscore three key findings. Firstly, A. palmata population restoration on shallow, high-energy fringing reefs significantly influenced fish community structure, leading to enhanced coral growth, increased fish abundance, and improved fish diversity. Secondly, a noticeable fish spillover effect was observed toward adjacent control plots, despite their low spatial relief, resulting in a modest increase in both fish abundance and diversity. Thirdly, the observed variation in fish communities remained consistent across various organizational scales, encompassing individual fish species, as well as fish trophic and geo-ecological functional groups.
Spatio-temporal variation in fish species composition revealed notable differences. The similarity percentages (SIMPER) analysis indicated an overall increase in fish species richness and community similarity over time within control plots: 41% (6 species) in 2008, 51% (8 species) in 2012, 70% (10 species) in 2016, 67% (12 species) in 2020, and 73% (7 species) in 2023. Initially, Stagastes xanthurus dominated (42%) fish abundance in 2008, but juvenile S. iseri became the predominant species (31%) in subsequent years: 2012, 2016 (23%), 2020 (22%), and 2023 (27%). The increasing abundance of juvenile S. iseri explained most of the observed temporal variation within control plots from 2008 to 2012 (11%), while the increases in A. tractus between 2008 and 2016 (13%) and A. coeruleus between 2008 and 2020 (12%) were significant contributors. Additionally, the rise in A. tractus between 2008 and 2023 (16%) explained a substantial portion of the observed temporal variation within control plots.
The SIMPER analysis revealed that fish species richness and community similarity increased over time within restored plots, with an average of 53% (12 species) in 2008, 59% (21 species) in 2012, 54% (27 species) in 2016, 55% (21 species) in 2020, and 64% (18 species) in 2023. Initially, S. xanthurus dominated (21%) fish abundance in 2008, but S. iseri became the dominant species (16%) in subsequent years: 2012, 2016 (14%), 2020 (16%), and 2023 (17%). The declining abundance of juvenile Haemulon spp. explained most of the observed temporal variation within restored plots from 2008 to 2012 (8%), while the increasing abundance of S. planifrons between 2008 and 2016 (7%) was notable. Furthermore, the increasing abundance of A. coeruleus explained most of the observed temporal variation within restored plots between 2008 and 2020 (8%) and between 2008 and 2023 (10%).
Juvenile S. iseri consistently constituted the highest abundance of fish species within both control plots (25%) and restored plots (15%) over time. Nonetheless, the increased abundance of Halichoeres bivittatus (6%), A. coeruleus (5.5%), and juvenile S. iseri (5%) in restored plots primarily accounted for the observed variation in fish species composition between restored and control plots.

3.8. Spatio-Temporal Variation in Fish Biodiversity and Phylogenetic Dynamics

Fish biodiversity experienced significant enhancement through A. palmata coral restoration efforts. Taxonomic diversity (Delta, ∆) in control plots was 79 in 2008, 80 in 2012, 84 in 2016, 85 in 2020, and 81 in 2023 (Table 13). In contrast, Delta in the restored plots was 82 in 2008, 86 in 2012, 90 in 2016, 89 in 2020, and 87 in 2023. There was a notable temporal variation in Delta (Pseudo-F = 7.21, p < 0.0001) and a significant treatment effect (Pseudo-F = 26.42, p < 0.0001), while no significant time × treatment interaction was observed (Pseudo-F = 0.24, p = 0.9213) (Table 14).
Taxonomic distinctness (Delta*, ∆*) averaged 85 in control plots during 2008, 86 in 2012, 89 in 2016, 90 in 2020, and 89 in 2023 (Table 13). In restored plots, Delta* was 87 in 2008, 89 in 2012, 92 in 2016 and 2020, and 89 in 2023. Delta* exhibited significant temporal variation (Pseudo-F = 4.14, p = 0.0076) and a significant treatment effect (Pseudo-F = 7.17, p = 0.0129), with no significant time × treatment interaction (Pseudo-F = 0.16, p = 0.9660) (Table 14).
Average taxonomic distinctness (Delta+, ∆+) averaged 85 in control plots during 2008, 86 in 2012, 89 in 2016, 90 in 2020, and 89 in 2023 (Table 13). In restored plots, Delta+ averaged 88 in 2008, 90 in 2012, 93 in 2016 and 2020, and 91 in 2023. Delta+ exhibited significant temporal variation (Pseudo-F = 2.73, p = 0.0404) and a significant treatment effect (Pseudo-F = 10.01, p = 0.0021), with no significant time × treatment interaction (Pseudo-F = 0.07, p = 0.9914) (Table 14).
Total taxonomic distinctness (TTD, sDelta+, s∆+) was 530 in control plots during 2008, 711 in 2012, 1025 in 2016, 1095 in 2020, and 687 in 2023 (Table 13). In restored plots, sDelta+ was 1005 in 2008, 1751 in 2012, 2607 in 2016, 2257 in 2020, and 1942 in 2023. sDelta+ demonstrated significant temporal variation (Pseudo-F = 17.25, p < 0.0001) and a significant treatment effect (Pseudo-F = 131.8, p < 0.0001), with no significant time × treatment interaction (Pseudo-F = 1.06, p = 0.3959) (Table 14).
Variation in taxonomic distinctness (VarTD, Lambda+, Λ+) was 638 in control plots during 2008, 752 in 2012, 478 in 2016, 457 in 2020, and 669 in 2023 (Table 13). In restored plots, Lambda+ was 499 in 2008, 403 in 2012, 258 in 2016, 286 in 2020, and 373 in 2023. Lambda+ exhibited significant temporal variation (Pseudo-F = 4.26, p = 0.0059) and a significant treatment effect (Pseudo-F = 2.55, p < 0.0001), with no significant time × treatment interaction (Pseudo-F = 0.31, p = 0.8770) (Table 14).
Average phylogenetic diversity (AvPD, Φ+) was 73 in control plots during 2008, 69 in 2012, 68 in 2016, 66 in 2020, and 69 in 2023 (Table 13). In restored plots, Φ+ was 68 in 2008, 65 in 2012, 67 in 2016 and 2020, and 63 in 2023. Φ+ showed no significant temporal variation (Pseudo-F = 0.93, p = 0.9395), no significant treatment effect (Pseudo-F = 3.17, p = 0.0829), and no significant time × treatment interaction (Pseudo-F = 0.58, p = 0.6710) (Table 14).
Total phylogenetic diversity (Faith’s PD, sΦ+) averaged 450 in control plots during 2008, 569 in 2012, 781 in 2016, 806 in 2020, and 531 in 2023 (Table 13). In restored plots, sΦ+ was 781 in 2008, 1238 in 2012, 1856 in 2016, 1631 in 2020, and 1331 in 2023. sΦ+ exhibited significant temporal variation (Pseudo-F = 15.85, p < 0.0001), a significant treatment effect (Pseudo-F = 186.0, p = 0.0829), and no significant time × treatment interaction (Pseudo-F = 1.16, p = 0.3475) (Table 14).
Superimposing the actual ∆+ values for the temporal variation in fish assemblages in control and restored plots reveals three key observations (Figure 9): (1) control plots during 2008 and 2012, and to a lesser extent in subsequent years, exhibit significantly reduced average distinctness, while restored plots, particularly post-2016, closely approximate the ∆+ values of the species master list; (2) fish ∆+ in the context of coral restoration impacts appears to be strongly influenced by habitat type (restored vs. non-restored control) and the time elapsed since the initial restoration intervention; and (3) there is a variable response of ∆+ increasing in reaction to the restoration intervention, highlighting a modest fish spillover effect on adjacent control plots, where ∆+ also increases.
Figure 10, depicting simulated variation in Λ+, reveals several notable findings: (1) control plots during 2008 and 2012, and to a lesser degree in subsequent years, exhibit significantly higher variation in taxonomic distinctness, whereas restored plots, particularly post-2016, closely resemble Λ+ values of the species master list; (2) in the context of coral reef restoration impacts, fish Λ+ also appears to be strongly influenced by habitat type (restored vs. non-restored control) and the time elapsed after the initial restoration intervention; and (3) there is a variable response of Λ+ decreasing in reaction to the restoration intervention, potentially stemming from the sustainable establishment of fish assemblages on restored reef zones.

3.9. Spatio-Temporal Correlations between Coral Restoration and Fish Community Structure

A significant positive multivariate correlation (Rho = 0.927; p = 0.0400) was found between fish trophic functional group structure, based on abundance within restored plots, and mean A. palmata colony height following a BEST-BIOENV test. This suggests strong effects of enhanced benthic spatial heterogeneity on fish assemblages. Additionally, there was a significant positive correlation (Rho = 0.879; p = 0.0170) between fish trophic functional group abundance within adjacent control plots and mean A. palmata colony height within restored areas, indicating potential fish spillover effects from restored to adjacent non-restored reef zones. However, no significant correlation (Rho = 0.648; p = 0.1710) was found between fishery target species abundance within restored plots and mean A. palmata colony height. A marginally significant correlation (Rho = 0.806; p = 0.0580) was observed between fishery target species abundance within adjacent control plots and mean A. palmata colony height, suggesting potential spillover effects of fishery-targeted species from restored sites to open reef areas.
A significant positive multivariate correlation (Rho = 0.830; p = 0.0480) was discovered between fish trophic functional group structure based on biomass within restored plots and mean A. palmata colony height, indicating robust effects of enhanced benthic spatial heterogeneity following restoration. Additionally, a significant positive correlation (Rho = 0.818; p = 0.0260) was observed between trophic functional group biomass within adjacent control plots and the combined mean A. palmata maximum colony diameter and colony height, suggesting substantial fish spillover effects from restored to adjacent non-restored reef zones. However, no significant correlation (Rho = 0.261; p = 0.3660) was found between fishery target species biomass within restored plots and mean A. palmata maximum colony diameter. Similarly, no significant correlation (Rho = 0.297; p = 0.3480) was found between fishery target species biomass within adjacent control plots and mean A. palmata colony height.
The BEST-BIOENV test revealed a significant positive multivariate correlation (Rho = 0.891; p = 0.0280) between fish geo-ecological functional group structure, based on abundance within restored plots, and mean A. palmata colony height. Additionally, a marginally significant positive correlation (Rho = 0.830; p = 0.0640) was observed between fish geo-ecological functional group abundance within adjacent control plots and mean A. palmata colony height. Moreover, a significant positive multivariate correlation (Rho = 0.842; p = 0.0440) was found between fish geo-ecological functional group biomass within restored plots and mean A. palmata colony height. However, no correlation (Rho = 0.673; p = 0.1020) was detected between fish geo-ecological functional group biomass within adjacent control plots and mean A. palmata colony height. These findings suggest that restoration-induced enhancement of benthic spatial heterogeneity contributes to the rehabilitation of fish geo-ecological functions. Furthermore, the results imply fish spillover effects from restored to adjacent non-restored reef zones, which modestly aid in the recovery of fish geo-ecological functions even in adjacent non-restored areas.
The BEST-BIOENV test did not reveal a significant multivariate correlation (Rho = 0.661; p = 0.1550) between overall fish community structure within restored plots and mean A. palmata colony height. However, a significant positive correlation (Rho = 0.879; p = 0.0160) was observed between fish community structure within adjacent control plots and mean A. palmata colony height, indicating potential strong fish spillover effects from restored to adjacent non-restored reef zones. Furthermore, no significant multivariate correlations (Rho = 0.721; p = 0.1150) were found between fish biodiversity and phylogenetic metrics and mean A. palmata colony height, nor were there significant correlations between fish biodiversity and phylogenetic metrics within adjacent control plots and mean A. palmata colony height (Rho = 0.212; p = 0.2900).

4. Discussion

4.1. Restored Acropora palmata Growth

Community-based Elkhorn coral (A. palmata) ecological restoration effectively restored a winter swell-impacted coral population on shallow, high-energy reefs along the northern coast of Puerto Rico. Over 15 years, A. palmata out-plants demonstrated remarkable success, with high survival rates and significant growth: a 13-fold increase in colony maximum diameter, a 177-fold increase in colony surface area, and a 20-fold increase in colony height. The observed coral survival and growth rates align with other reports of out-planted A. palmata [74] and surpass previous emergency restoration efforts in Puerto Rico [91]. Restored corals exhibited an average annual skeletal linear extension rate of ~16.2 cm, surpassing growth rates of wild A. palmata colonies elsewhere, averaging 7.6 to 8.8 cm [92], 4.7 to 9.9 cm [93], 7.4 to 9.0 cm [94], and 6.9 cm [95]. Additionally, annual vertical colony growth of approximately ~5 cm was documented, consistent with findings in Florida of 1.5 to 4.8 cm per year [96]. Notably, no out-planting handling stress, such as bleaching or mortality, was observed in this study, unlike in other studies [73]. This success may be attributed to safe handling procedures, ongoing community-based monitoring and maintenance, the use of appropriately sized colony clipped fragments, potential high coral genetic diversity [96], and unique local oceanographic dynamics characterized by strong surface circulation, oxygenation, and frequent upwelling episodes.
Coral demographic performance improves with larger out-planting clipping size [74]. Variable effects of fragment size on survival have been observed for restored Acroporid coral fragments, suggesting enhanced survival of larger fragments [71,76,97,98,99]. Upwelling dynamics were also found to play a vital role in promoting improved heterotrophy in restored A. palmata [100]. Overall, the health of out-planted corals in this study was good. However, factors such as water quality stress (i.e., sewage pollution, eutrophication) have impacted in the past local coral assemblages adjacent to the shoreline in Vega Baja [6,77,78,81], which might have affected macroalgal growth, coral survival, and growth. Nevertheless, this was not a critical factor in this study. In addition, coral predation by corallivore species, such as gastropod Coralliophila abbreviatta and fireworm Hermodice carunculate, was common throughout the study area, but not quantified in this study. Corallivory has been shown to be an important factor affecting coral survival and growth [101]. Despite these factors, natural recovery ability was remarkable for the restored A. palmata population. This study confirmed previous findings suggesting that assisted coral propagation using coral clippings could increase living tissue of branching corals in relatively short intervals of time, without serious damage to the donor colonies [102], and can become a vital tool for the restoration of high-energy coral reef ecological functions, including the long-term attenuation of wave energy and runup, but also its role as an essential fish habitat.

4.2. The Impact of Acropora palmata Restoration on Fish Community Structure

Coral restoration efforts yielded notable permanent improvements in various aspects of fish communities, including increased abundance, biomass, and diversity across different trophic functional groups like herbivores, carnivores, and omnivores. There was a significant overall temporal variation in fish community structure, with restored plots showing a significant enhancement in fish species richness, abundance, biodiversity, and biomass. Despite the challenges posed by local fishing pressure, there was also a significant rise in fishery target species abundance and biomass, as well as in the abundance and biomass of fish geo-ecological functional groups. Various fish biodiversity metrics corroborated the positive impacts of coral restoration, further supported by significant spatio-temporal correlations of fish assemblage metrics with A. palmata restoration metrics. However, despite these enhancements, mean biomass values remained considerably below global benchmarks for unfished coral reefs on a global scale (~1000 kg/ha or 10,000 g/100 m2) [103], emphasizing the urgent need for protective measures like establishing a no-take marine protected area (MPA) to address the overfished status of the Vega Baja coral reef systems.
The ABC analysis suggested that the strongly disturbed state during the 2012 survey, resulting from recurrent illegal sewage dumping, coastal water eutrophication, and heavy turbidity and sedimentation from adjacent riprap construction [6,77,78,81], was evident when the abundance k-dominance curve rose above the biomass curve (2012 control), or when both lines were fully aligned throughout their length (2008 control, 2012 restored plot). This phenomenon could be attributed to the loss of large-bodied ‘climax’ species and the proliferation of small-bodied opportunists during sewage and high turbidity stress at the time. Conversely, most of the remaining samples from both control and restoration plots between 2016 and 2023 exhibited the benefits of A. palmata restoration on fish assemblages, reflected in the undisturbed ABC pattern (biomass curve consistently above the abundance curve). This provides important evidence of the sustainable nature of the benefits of A. palmata restoration once chronic local human-derived environmental stressors were significantly curtailed.
Fish geo-ecological functional groups play a fundamental role in the processes of bioerosion, framework breakage, and sediment transport, directly impacting the formation of reef frameworks, and the sustainability of reef structural complexity and carbonate budgets [47]. Reef restoration may lead to nonuniform impacts on geo-ecological functions probably as a function of changes in substrate composition, spatial heterogeneity, enhanced percent live coral cover, and taphonomy across restored backreef and crest habitats. Particularly, structural complexity modification and carbonate framework budgets within restored plots are suggested as the main drivers of changes in fish geo-ecological functional group assemblages in this study. These results share new light in the geo-ecological roles of coral restoration across the Caribbean and point out the importance of restoration on modifying processes such as carbonate sediment turnover and redeposition, oxygenation of sediment layers, oxidation of organic matter, and releasing of dissolved nutrients from sediments, contributing to the formation of “nutrient hotspots” around restored sites.
The A. palmata restoration initiative also led to a significant and sustained improvement in both the overall taxonomic and phylogenetic diversity of fish. This study constitutes the first known quantification of fish taxonomic distinctness and phylogenetic diversity within a coral restoration project. Control plots, especially in 2008 and 2012, experienced notable low values in average taxonomic distinctness, primarily due to the dominance of a few herbivore species (e.g., S. iseri, A. coeruleus, A. tractus, S. xanthurus). In contrast, restored plots, particularly post-2016, approached ∆+ values like the species master list, attributed to increased colonization by diverse fish species of restored areas with higher coral cover and spatial complexity. The impact of coral reef restoration on fish ∆+ seems heavily influenced by habitat type (restored vs. non-restored control) and time elapsed since restoration.
Enhanced fish taxonomic distinctness and phylogenetic diversity in coral reefs have significant ecological, functional, and conservation implications. High taxonomic and phylogenetic diversity generally contributes to the stability and resilience of coral reef ecosystems. Diverse fish communities can better withstand environmental stresses and disturbances, such as storms, bleaching events, and pollution. A diverse assemblage of species means that ecological functions are more likely to be maintained even if some species are lost, due to functional redundancy. Greater taxonomic and phylogenetic diversity also ensures a more efficient use of available resources, as different species often have varied niches and resource requirements. This reduces competition and allows for the more complete exploitation of the ecosystem’s resources, leading to enhanced energy transfer and net productivity. Different species contribute uniquely to ecosystem processes such as nutrient cycling, sediment turnover, and algal control. Phylogenetically diverse communities can enhance these processes, leading to healthier and more productive coral reefs.
Enhanced biodiversity can also have important functional impacts. Different species contribute uniquely to ecosystem processes such as nutrient cycling, sediment turnover, and algal control. Phylogenetically diverse communities can enhance these processes, leading to healthier and more productive coral reefs. Increased diversity can also lead to more complex food webs and interactions among species, including predation, symbiosis, and competition. This complexity can stabilize food webs and enhance the overall function of the ecosystem. Diverse ecosystems are often more resistant to invasions by non-native species. The variety of niches and competition among native species can prevent invaders from establishing and spreading. Phylogenetic diversity may help in reducing the spread and impact of diseases. Pathogens that affect specific groups are less likely to cause widespread damage in a phylogenetically diverse community.
Conservation strategies that focus on maintaining or enhancing taxonomic and phylogenetic diversity help preserve the evolutionary history and potential of coral reef ecosystems. This is crucial for maintaining genetic resources and the ability of species to adapt to future changes. Understanding taxonomic and phylogenetic diversity can help prioritize areas and species for conservation. Areas with high phylogenetic diversity may be given higher priority due to their irreplaceability and the unique evolutionary history they represent. Diverse fish communities contribute to various ecosystem services such as tourism, fishing, and coastal protection. Maintaining diversity ensures that these services are sustained and can continue to support local and global economies. Coral reefs with higher fish taxonomic and phylogenetic diversity tend to be more resilient to bleaching events. For instance, reefs with a wide range of herbivorous fish species are better at controlling algal blooms that can otherwise smother corals. Phylogenetic diversity is a good predictor of ecosystem multifunctionality, meaning that ecosystems with higher phylogenetic diversity tend to perform better across multiple ecological functions simultaneously.
Coral restoration leading to enhanced fish taxonomic distinctness and phylogenetic diversity in coral reefs is vital for the health and sustainability of these ecosystems. It leads to improved ecosystem functioning, stability, and resilience; supports biodiversity conservation; and maintains crucial ecosystem services. Conservation and restoration efforts should thus focus on protecting and promoting diversity at both the species and phylogenetic levels to ensure the long-term vitality of coral reef ecosystems.
Potential sources of variation observed during the 2020 and 2023 sampling efforts in fish abundance, biomass, and biodiversity might be associated with observed sea surface warming trends across the northeastern Caribbean that led to minor to moderate bleaching in 2019, and 2021, and to massive bleaching in 2023. The 2023 sampling event occurred prior to massive bleaching. However, this event resulted in minor coral mortality across the restored plots. Also, minor fragmentation from recurrent winter storm events and recent hurricanes (i.e., María—2017, Fiona—2022) caused minor impacts across the study site that were immediately restored but might have affected fish assemblages. Also, potential adverse spearfishing and hook and line fishing impacts might have also affected the outcomes of this study, a factor that was beyond our control and beyond the scope of this study.
Several important lessons learned showcase the benefits of coral restoration on fish community enhancement.
  • Community-based engagement is vital to achieve sustainable coral survival and growth—Community-based stewardship and support were pivotal in achieving successful coral out-planting in Vega Baja over 15 years. Sustainable success in coral restoration hinges on various factors, including (a) comprehensive hands-on training and expertise of citizen scientists; (b) effective coral collection, handling, and out-planting techniques; (c) careful substrate selection to mitigate sediment bedload impacts, abrasion, or burial; (d) continuous maintenance of coral out-plants, especially in the initial year, including macroalgal and corallivore management and removal, and the emergency stabilization and restoration of additional colony fragments in restored patches post-storms or -winter swells; (e) favorable natural oceanographic conditions to ensure robust water circulation; and (f) recovered fish assemblages. Early community engagement in coral out-planting and monitoring, coupled with prompt responses to emergency restoration needs after storm or hurricane disturbances, was crucial in sustaining restoration success. This approach was vital in fostering continuous coral survival and growth and in promoting sustainable enhancement of fish habitats.
  • Coral restoration enhanced benthic spatial heterogeneity—The observed improvement in fish assemblages was mainly attributed to the success of coral restoration efforts and the resulting increase in benthic spatial heterogeneity, as suggested by the BEST-BIOENV analysis. Acropora palmata cover, colony height, and benthic structural complexity were consistently higher in restored plots compared to unrestored control plots, aligning with findings from other regions such as Florida, the U.S. Virgin Islands, Thailand, and the Maldives [69]. Increased benthic structural complexity plays a critical role in shaping coral reef fish communities [58,59].
  • Enhanced benthic spatial heterogeneity attracts abundant fish assemblages and creates “nutrient hotspots”, which enhance coral growth—Enhanced growth and spatial complexity of Acroporid corals played a crucial role in shaping fish assemblages through positive feedback mechanisms. This finding is consistent with previous research conducted in Florida, the U.S. Virgin Islands, and the Philippines [67,70,104]. Increased fish abundance also contributes positively to coral communities, potentially enhancing their survival and growth. Fish-derived nutrients, particularly when fish aggregate in specific locations over time, create “nutrient hotspots”, especially on restored coral patches [105,106]. We propose that abundant fishes sheltering in dense restored coral patches deliver nutrients back to the out-planted coral, promoting faster growth and creating habitat complexity, which further supports the recovery of depleted fish assemblages. These hotspots can influence coral survival and growth, thereby affecting ecosystem processes and community structure. Coral morphologies that facilitate low water flow between branches, such as those of Acropora spp., effectively retain these nutrients. Previous studies have demonstrated that dense thickets of A. cervicornis, which supported dense fish aggregations in Florida, exhibited significantly higher growth rates, tissue nitrogen levels, and zooxanthellae densities than sparse coral aggregations with fewer fish, indicating greater nutrient bioavailability at high coral densities [106].
  • Long-term coral restoration success sustainably enhances fish assemblages—Restoring benthic habitat complexity through long-term restoration efforts creates a variety of microhabitats that support higher fish abundance and biomass, a phenomenon observed in various studies, including those in Florida [70]. Juvenile scarids and damselfishes, known herbivores, consistently respond positively to restoration efforts, as seen in similar observations in Florida [68]. While there has been limited quantitative evaluation of coral restoration impacts on fish assemblages [107], previous accounts often involve a combination of coral out-planting and artificial structures [104,108,109,110] or high-density coral transplanting [111]. Even coral larval out-planting efforts have shown modest yet significant increases in fish abundance [112]. Findings in this study align with previous studies, especially those involving high-density coral planting [104,113], which enhances spatial complexity and provides shelter for numerous fish species.
  • Coral restoration enhances fish trophic functional redundancy and restores ecosystem processes—The substantial growth of restored corals in this project significantly enhanced all fish trophic functional groups, particularly herbivores, aligning with the existing literature. The increased abundances of scarids observed here are consistent with previous findings following Acroporid transplanting [106]. Similarly, the observed increases in pomacentrids line up with other studies [68,114]. Previous evidence highlights the significant enhancement of herbivore guilds following coral restoration efforts [68,115], whether through the deployment of artificial structures with transplanted corals [116,117,118] or the rehabilitation of natural benthic spatial relief [119]. Our findings underscore the restoration of two crucial ecological processes: fish recruitment and herbivory. Increasing herbivore density and biomass is essential for sustaining coral reef ecosystems by grazing macroalgae, facilitating colonization by coralline algae, nutrient cycling from adjacent sediments, and promoting coral recruitment. Herbivores also support coral growth and survival by controlling macroalgal cover [66,120,121]. Moreover, enhanced shelter for herbivorous fishes via coral restoration may indirectly aid in controlling algal overgrowth across adjacent reef substrates and fostering coral recruitment, thus supporting the natural recovery processes of reefs [80,122,123,124,125].
  • Restored coral patches become refugia for fishery target species—This study highlights the significant contribution of restoring fast-growing branching coral species, such as A. palmata, to the long-term increase in abundance and biomass of several crucial fishery target species (e.g., Serranidae, Lutjanidae, Haemulidae, Scaridae). It underscores that even overfished coastal areas can experience some degree of recovery among vulnerable species to fishing. This aligns with previous findings showing an increased abundance of haemulids following Acroporid coral restoration [106]. In this context, assessing the trophic and morphological trait composition of recovering fish assemblages is both novel and highly dynamic [126] and should be quantified to comprehend the long-term impacts of coral restoration on the management of fishery target species and priority conservation species.
  • Coral restoration enhances fish geo-ecological functions—This study revealed a significant long-term increase in the abundance and biomass of fish species contributing to four key geo-ecological functions on reefs: (a) reef framework modification via bioerosion and framework breakage; (b) the production and modification of new sedimentary CaCO3; (c) reworking and mixing of existing sediments; and (d) sediment transport [47]. These functions, involving various fish families, play crucial roles in reef accretion rates, sediment cycling, nutrient cycling, sediment oxygenation, shoreline sediment supply, and sediment pore–water chemistry [47]. This quantification of coral restoration impacts on fish geo-ecological functional groups is a novel contribution, with implications for reef structural maintenance and sustainability, and for taphonomic processes. Furthermore, these functions may directly influence the survival and growth of storm-generated coral fragments and small out-plants, highlighting the critical role of the fish trophic condition in achieving successful coral recovery post-disturbance or post-restoration efforts. Understanding the long-term effects of coral restoration on reef geo-ecological processes is essential for informed management and conservation strategies.
  • Restoration of fish dispersal paths enhances fish spillover effects—Throughout this study, a significant fish spillover effect was observed, manifesting in increased fish species richness, taxonomic distinctness, and phylogenetic diversity, and an enhanced abundance and biomass of various species, trophic functional groups, and geo-ecological functional groups on adjacent control (non-restored) plots. The most abundant species on control plots were juveniles of S. iseri, along with browser herbivores A. coeruleus and A. tractus, and non-denuder herbivore S. xanthurus, which mirrored their abundance across adjacent restored plots. These changes in fish assemblages were attributed to enhanced spillover effects from adjacent restored plots with higher fish densities. Such spillover effects, documented extensively from marine protected areas (MPAs) to adjacent fishing areas [127,128,129], have been observed particularly in herbivore fish guilds [130,131]. Habitat continuity and spatial scale were found to influence these effects [132]. In the case of this study, fish spillover effects were significant at the 100 m2 plot scale in the context of restoration success of A. palmata patches. This underscores the importance of preserving and restoring fish dispersal paths to promote ecological connectivity [133]. The approach of promoting A. palmata restoration by strategically forming small, interconnected patches facilitated the restoration of fish dispersal paths at plot scales, leading to a significant long-term spillover effect. This highlights the potential of restoring fish dispersal paths to enhance fish communities, restore vital ecological functions, and contribute to the overall rehabilitation of coral reef biodiversity and ecological sustainability at the reef patch scale.

4.3. Sustainable Cross-Scale Benefits of Community-Based Coral Restoration

The community-based coral restoration efforts on shallow, high-energy coral reefs in Vega Baja yielded numerous benefits across multiple scales, including the recovery of highly endangered Elkhorn coral (A. palmata), enhancement of coral reef benthic and fish community structure, support for fishery-targeted species, and restoration of crucial ecological functions, ecosystem resilience, and services (Figure 11). The interactions between fishes and their restored coral reef habitat have yielded sustainable benefits [107]. Firstly, the introduction of benthic spatial complexity and microhabitat diversity by restored corals offers shelter for reef-associated species within out-planted corals. Focusing on fast-growing Acroporid corals during restoration provides transplant species with various morphologies, densities, and shade-producing properties within a relatively short period of time, crucial for rapid enhancement of fish assemblages. Additionally, fishes benefit from increased food sources, including coral, various invertebrates, adjacent macroalgae, and other fishes. Through these trophic interactions, fishes play positive roles in restoration projects, such as herbivory to control algae growth and the provision of nutrients for coral growth. They also contribute to the opening of a reef substrate for colonization by crustose coralline algae, thereby promoting coral larval recruitment. However, it is important to note that increasing territorial damselfish (Pomacentridae) densities can potentially cause localized coral mortality, which could be balanced by increasing piscivore densities, highlighting the need to regulate fishing activities in restored locations to maximize restoration impacts on piscivore guilds. Additionally, fish contribute to the rehabilitation of CaCO3 sediment dynamics, thereby supporting reef formation processes, sediment transport, and shoreline maintenance.

4.4. The Sustainable Benefits of Restoring Seascape Nurseries

Several key aspects of enhancing benthic spatial relief through coral restoration [107] warrant highlighting. High-complexity corals, exemplified by A. palmata, offer shelter opportunities for various prey items, such as juvenile fishes, cryptic fish, and invertebrates, thereby reducing predatory success and locally enhancing biodiversity, fostering the emergence of a seascape nursery. A seascape nursery is a spatially explicit seascape comprising multiple mosaics of habitat patches that are functionally connected [134]. The increased availability of microhabitat refuges may elevate prey fish abundance, creating more opportunities for attracting intermediate predators (e.g., Serranidae, Lutjanidae, Haemulidae), as observed in this study. Within restored A. palmata patches, small spaces provide shelter for prey, while large spaces increase predator abundance. Dense thickets of Acroporid corals also diminish water circulation within branches, thereby retaining plankton and fish-derived nutrients. Moreover, shade-producing tabular colonies of A. palmata offer suitable shelter for juveniles of numerous species and nocturnal fishes, as well as protection from UV light. Tabular corals from the Indo-Pacific are recognized for shaping fish assemblages even when occupying a small proportion of total coral cover [107]. In the Atlantic, only one Acroporid species exhibits a specific genotype that produces nearly tabular-shaped colonies, which dominated the morphotype across restored areas (Figure 1).
Additionally, connectivity with other ecosystems profoundly influences fish abundance and biomass [60,135] and can foster the recovery of benthic communities after disturbances [136]. In this study, restored plots were strategically positioned adjacent to various ecosystems, including open shallow reef substrates, sandy shorelines, rocky intertidal habitats, submerged paleo-shorelines, wave breaker areas, shallow forereef terraces, and backreef seagrass meadows, ensuring ecological connectivity. We posit that this project effectively enhanced a segment of the seascape nursery for numerous reef fish species. Hotspots of high animal abundance or productivity delineate the core area of a habitat mosaic, constrained spatially by the home ranges of its inhabitants [134]. In this context, the A. palmata restored plots serve as such a hotspot. Dispersal pathways linking these hotspots with adjacent non-restored habitats at broader spatial and temporal scales, facilitated by ontogenetic habitat shifts or inshore–offshore migrations, likely account for the observed modest but significant fish spillover effects to adjacent non-restored areas. This underscores the importance of incorporating the concept of seascape nursery restoration into future objectives of shallow coral reef restoration initiatives.

4.5. Recommendations and Lessons Learned for Sustainable Recovery of Ecological Functions

There are important recommendations and lessons learned stemming out of this study that may contribute to improving future impacts of restoration efforts of shallow, high-energy coral reef habitats on fish communities.
  • Focus on fast-growing, branching reef-builders—Shallow-water coral restoration aims to replenish species, promote reef accretion, and enhance fisheries and biodiversity while restoring ecological functions and services. Prioritizing fast-growing coral species like Acroporids is crucial for swift results. However, the Caribbean’s limited functional redundancy poses challenges, with only 3 of the 171 known extant Acroporid species. Given this constraint, focusing on enhancing the genetic diversity of dominant shallow-water reef building species like A. palmata is essential. Strategies should include gradually increasing out-planting density from at least one colony per 4 m2 to one colony per m2 to improve genetic resilience and reef accretion, and potentially long-term impacts on essential fish habitats and on wave energy attenuation functions.
  • Rapidly increase habitat complexity—Restoration efforts must prioritize increasing habitat complexity to support diverse fish communities. This can involve using man-made structures and/or transplanting intricate corals, particularly Acroporid species, for quick results. Introducing varying levels of complexity, such as combining different coral species or morphotypes, is essential. High complexity provides shelter for prey and juvenile fishes, while gaps among colonies or moderate coral densities ensure habitats for larger predators. Incorporating shade-producing tabular corals alongside branching morphotypes is crucial for shallow reef restoration projects to enhance sheltering properties [107]. Additionally, locating restoration sites near mangrove and seagrass habitats can enhance fish populations by enhancing habitat connectivity, and providing nursery and foraging areas. Creating coral patch habitat mosaics, especially near wave breaker and backreef areas, supports long-term goals such as wave energy attenuation and shoreline protection against erosion, safeguarding infrastructure, and shoreline ecosystems.
  • Promote the formation of “nutrient hotspots” in restored patches and coral nursery plots—Creating “nutrient hotspots” within restored coral patches is crucial for coral survival and growth. This requires establishing diverse benthic habitat complexity and attracting abundant fish assemblages. Out-planting various coral morphologies, including closed ones, creates microhabitats for fish. In situ coral nurseries near restored plots or restored coral nursery plots can sustainably provide clippings for future restoration within approximately three years. Nursery plots can support diverse coral genets, attracting fish and further enhancing nutrient hotspots. They eliminate the need for plastic nursery units or artificial structures and offer long-term ecological benefits, including wave energy attenuation and recovery of nursery seascapes. Additionally, they provide sustainable economic opportunities for local communities.
  • Promote sustainable herbivory and macroalgal removal—Ensuring the presence of sufficient herbivorous fish before restoration is crucial for success. Conducting surveys beforehand provides quantitative data on herbivore fish guilds, including sea urchin density, especially in the Caribbean region where long-spine urchins (D. antillarum) are key herbivores. Mechanical removal of macroalgae and cyanobacterial mats may be necessary initially while grazing populations of fish and urchins establish. Restoration efforts should ideally occur within no-take marine protected areas (MPAs) or areas with high biomass and diversity of grazers. Surveying territorial damselfish (Pomacentridae) beforehand helps determine the need for hand removal during early restoration stages.
  • Size does matter in coral restoration!—Out-planting larger Acroporid coral fragments or clippings is recommended to increase survival rates. To mitigate corallivory, it is advisable to rear juvenile corals to larger sizes before transplantation or collect larger clippings from branching corals. Conducting surveys to quantify corallivore abundance before restoration is important. Out-planting a variety of coral species and/or morphologies may help minimize corallivore impact, although this may not always be feasible in regions like the Caribbean. For Acroporid coral fragments, sizes ranging from 10 to 25 cm per clipping are preferable for higher survival rates compared to smaller fragments (e.g., 5 to 10 cm).
  • Attract predator assemblages—Coral restoration projects should prioritize attracting predator assemblages. Conducting quantitative surveys of predatory fish populations before and after restoration is essential to gauge impacts. Situating restoration projects within no-take MPAs or lightly fished areas can enhance success by protecting predatory species. However, careful planning of spatial configuration, including placement across reef zones, is crucial to achieving this goal. Designing restoration patches with a mix of small (<1 m), medium (1–3 m), and large gaps (3–5 m) among out-planted coral colonies is important, especially for Acroporid corals, to create diverse fish microhabitats. Smaller spaces attract smaller individuals and juveniles, while larger predators prefer larger gaps. Incorporating fishing protection measures, where possible, can further enhance the attraction of predator assemblages and overall project success.
  • Rehabilitate key coral reef ecological processes—The proposed concept aims to utilize ecological processes driving community dynamics on coral reefs to support the establishment and growth of restored corals [137]. Key processes such as herbivory, predation (including corallivory), coral heterotrophy, and nutrient cycling can be manipulated to enhance coral restoration outcomes [138]. By promoting herbivory to a naturally open reef substrate and increasing predation on corallivores and sponges, coral survival rates can be boosted. This approach involves enhancing the top–down mediation of spatial competition and corallivory to benefit corals, thereby making restoration more effective and cost-efficient. Long-term strategies may include increasing habitat complexity, creating nutrient hotspots, and potentially implementing fishing regulations in restoration areas. The key idea is to control factors such as out-plant density, diversity, morphology, and genetic identity, along with site selection and spatial design, to restore positive feedback processes and improve restoration success [137].
  • Acoustic enrichment strategies—Novel acoustic enrichment strategies, if feasible economically, logistically, and technologically, were shown to boost fish community development by enhancing recruitment across major trophic guilds. This led to a doubling in overall abundance and a 50% increase in species richness [139]. When combined with coral restoration efforts and effective conservation measures, this approach has the potential to expedite the rebuilding of fish communities and ecosystem recovery across various spatial and temporal scales, especially in severely degraded coral reef environments.
  • Considerations for restoration site selection—Important criteria for ranking and selecting reef locations for restoration include the following: (a) Existing coral cover—Prioritize areas with the best available substrate and ensure local propagule availability; (b) Available clean substrate—Avoid potential benthic competitors such as Millepora spp., encrusting algae (e.g., Ramicrusta textilis), macroalgae, and sponges; (c) Water depth—Ensure appropriate irradiance, water circulation, and community composition; (d) Presence of herbivores—Ensure herbivory to minimize the macroalgal out-competition of corals; (e) Out-planting spatial design—Ensure a diverse spatial array of microhabitats and spatial configuration considering depth, wave action, and original benthic topography; (f) Out-plant close to existing coral—Promote coral survival and growth by planting near existing coral; (g) Abundance of coral predators—Avoid coral predators and promote fish assemblages to control corallivore invertebrates; (h) Out-plant near fish aggregations—Attract larger fish aggregations by planting near areas of high spatial complexity; (i) Presence of territorial damselfish–Avoid high damselfish densities and enhance predator assemblages; (j) Start small, then scale up—Begin restoration projects on small scales to assess coral performance before large-scale endeavors; and (k) Level of human visitation—Minimize direct human impacts (e.g., trampling, anchoring, vessel wakes) in areas subjected to intense visitation through regulations like guided visits or carrying capacity limits. These criteria should ensure restoration success by considering ecological factors, habitat conditions, and potential human impacts on reef ecosystems.
  • Increase restoration efficiency and sustainability—In a context of limited funding and logistical challenges, increasing restoration cost- and time-effective efficiency is crucial. This may include important strategies [140]: (a) Focus on scale and cost-effectiveness—Plan projects carefully with clear goals, involving community engagement and support to maximize impact and stewardship. (b) Explore larval-based restoration—If feasible, invest in larval rearing efforts to enhance coral recruit health, growth, and survival. Alternatively, establish natural coral nursery plots as a low-budget alternative for expanding interventions. (c) Implement genetic management—Ensure that the restoration of threatened coral species aligns with population-genetics principles. Tagging corals according to their genetic origin can help track their lineage. (d) Adopt a holistic approach—Embrace ecosystem-based strategies that prioritize enhancing habitat complexity, biodiversity, fish assemblages, “nutrient hotspots”, dispersal paths, and reef ecological processes for comprehensive ecosystem recovery. (e) Support community-based practitioners—Empower local restoration initiatives through community engagement. This approach fosters long-term sustainability, stewardship, and success, crucial for restoring fish populations and long-term reef health.

5. Conclusions

The community-based restoration of Elkhorn coral (A. palmata) in Vega Baja, Puerto Rico, was remarkably successful in achieving significant coral survival and growth, and in promoting the recovery of fish assemblages, despite fishing pressure. Over 15 years, coral cover, colony size, and benthic complexity significantly increased, thanks to dedicated community volunteers. This led to the recovery of fish populations, including herbivores and key fishery target species. Both restored and control areas saw higher abundance and biomass across trophic and functional groups, driven by benthic increased spatial complexity, the formation of “nutrient hotspots” due to enhanced and aggregated fish assemblages, improved fish dispersal paths, and restored seascape nurseries. There was also a significant improvement in fish species richness, diversity index, taxonomic distinctness, and phylogenetic diversity. Such modifications in fish community structure were significantly correlated with restored A. palmata growth and enhanced spatial complexity. This recovery bolstered crucial ecological processes like herbivory, aiding coral colonization and sediment and nutrient dynamics essential for reef health and shoreline stability.
The Anthropocene era presents increasing challenges for coral reef ecosystems, including rising local stressors, but also climate change, ocean acidification, and rising sea levels, leading to habitat degradation and increased vulnerability. In response, coral reef restoration efforts, especially in shallow fringing habitats, are crucial in the long term for ecosystem resilience against wave action. However, practitioners often face obstacles such as limited resources, technological constraints, and regulatory issues. Additionally, unequal access to funding and governance gaps exacerbate these challenges, hindering restoration success. Integrating fish assemblage recovery into restoration strategies is imperative for enhancing overall effectiveness and sustainability. This approach offers multifaceted benefits, from species-level impacts to ecosystem processes, while promoting cost-effective, community-driven management, stakeholder engagement and support, and an empowering story of success.

Supplementary Materials

The following are available online at https://www.mdpi.com/article/10.3390/su16145985/s1, Figure S1: Significant wave height (ft) during the “Holy Swell” event of 18–21 March 2008 in Puerto Rico; Table S1; Spatio-temporal variation in annual mean total fish biomass and herbivore guild biomass in control and restored plots (g/count); Table S2: Summary of a two-way crossed PERMANOVA test of the spatio-temporal variation in total fish biomass and herbivore fish functional group biomass in restored and control plots; Table S3: Spatio-temporal variation in annual mean carnivore guild biomass in control and restored plots (g/count); Table S4: Summary of a two-way crossed PERMANOVA test of the spatio-temporal variation in carnivore fish functional group biomass in restored and control plots; Table S5: Spatio-temporal variation in annual mean geo-ecological fish functional group biomass in control and restored plots (g/count); Table S6: Summary of a two-way crossed PERMANOVA test of the spatio-temporal variation in fish geo-ecological functional group biomass in restored and control plots; File S1: Hernandez-Delgado & Laureano—Supplementary data.

Author Contributions

Conceptualization, E.A.H.-D. and R.L.; methodology, E.A.H.-D. and R.L.; validation, E.A.H.-D.; formal analysis, E.A.H.-D.; investigation, E.A.H.-D. and R.L.; resources, E.A.H.-D. and R.L.; data curation, E.A.H.-D.; writing—original draft preparation, E.A.H.-D.; writing—review and editing, E.A.H.-D.; visualization, E.A.H.-D. and R.L.; supervision, R.L.; project administration, R.L.; funding acquisition, E.A.H.-D. and R.L. All authors have read and agreed to the published version of the manuscript.

Funding

This research was partially supported by the Vice-Presidency of Science and Technology of the University of Puerto Rico, and by the Center for Applied Tropical Ecology and Conservation (CATEC) of the University of Puerto Rico, Río Piedras Campus.

Institutional Review Board Statement

Not applicable.

Informed Consent Statement

Not applicable.

Data Availability Statement

The data presented in this study are available in an Excel table summarizing fish abundance, biomass, and biodiversity raw data sets per year and plot (restored, non-restored controls) and by replicate fish count in Supplementary Materials File S1.

Acknowledgments

This project was made possible thanks to the extensive in-kind and logistical support provided by Grupo VIDAS and by Sociedad Ambiente Marino (SAM). Numerous volunteers contributed to the original coral restoration efforts and to out-planted coral maintenance through time, including R. Hernández, T. Ruiz, A. Alvarado, Y. Hutchinson, J. Oms, S. Laureano, E. Vélez, and numerous volunteers from adjacent communities. This project was conducted under PR Department of Natural and Environmental Resources (PRDNER) research permits DRNA: 2010-IC-034, DRNA: 2010-IC-038, and DRNA: 2012-IC-020, under a memorandum of agreement between the UPR/CATEC and PRDNER to cover all research and restoration activities (2008–2018), and under letter of agreements 2015-000037 and 2019-000006 between UPR/CATEC and PRDNER (2015–2023) to cover all coral restoration maintenance and monitoring activities.

Conflicts of Interest

Author Edwin A. Hernández-Delgado was employed by the company Sociedad Ambiente Marino. Author Ricardo Laureano was employed by the company Grupo VIDAS. The authors declare that the research was conducted in the absence of any commercial or financial relationships that could be construed as a potential conflict of interest.

References

  1. Rogers, C.S. Responses of coral reefs and reef organisms to sedimentation. Mar. Ecol. Progr. Ser. 1990, 62, 185–202. [Google Scholar] [CrossRef]
  2. Otaño-Cruz, A.; Montañez-Acuña, A.A.; García-Rodríguez, N.M.; Díaz-Morales, D.M.; Benson, E.; Cuevas, E.; Ortiz-Zayas, J.; Hernández-Delgado, E.A. Caribbean near-shore coral reef benthic community response to changes on sedimentation dynamics and environmental conditions. Front. Mar. Sci. 2019, 6, 551. [Google Scholar] [CrossRef]
  3. Rogers, C.S.; Ramos-Scharrón, C.E. Assessing effects of sediment delivery to coral reefs: A Caribbean watershed perspective. Front. Mar. Sci. 2022, 8, 773968. [Google Scholar] [CrossRef]
  4. Freitas, L.M.; Oliveira, M.D.; Leão, Z.M.; Kikuchi, R.K. Effects of turbidity and depth on the bioconstruction of the Abrolhos reefs. Coral Reefs 2019, 38, 241–253. [Google Scholar] [CrossRef]
  5. Cloern, J.E. Our evolving conceptual model of the coastal eutrophication problem. Mar. Ecol. Progr. Ser. 2001, 210, 223–253. [Google Scholar] [CrossRef]
  6. Díaz-Ortega, G.; Hernández-Delgado, E.A. Unsustainable land-based source pollution in a climate of change: A roadblock to the conservation and recovery of Elkhorn Coral Acropora palmata (Lamarck 1816). Nat. Res. 2014, 5, 561–581. [Google Scholar] [CrossRef]
  7. Thompson, A.; Schroeder, T.; Brando, V.E.; Schaffelke, B. Coral community responses to declining water quality: Whitsunday Islands, Great Barrier Reef, Australia. Coral Reefs 2014, 33, 923–938. [Google Scholar] [CrossRef]
  8. Ennis, R.S.; Brandt, M.E.; Grimes, K.R.; Smith, T.B. Coral reef health response to chronic and acute changes in water quality in St. Thomas, United States Virgin Islands. Mar. Poll. Bull. 2016, 111, 418–427. [Google Scholar] [CrossRef]
  9. Hernandez-Delgado, E.A.; Medina-Muniz, J.L.; Mattei, H.; Norat-Ramirez, J. Unsustainable land use, sediment-laden runoff, and chronic raw sewage offset the benefits of coral reef ecosystems in a no-take marine protected area. Env. Mgmt. Sust. Dev. 2017, 6, 292. [Google Scholar] [CrossRef]
  10. Hawkins, J.P.; Roberts, C.M. Effects of artisanal fishing on Caribbean coral reefs. Conserv. Biol. 2004, 18, 215–226. [Google Scholar] [CrossRef]
  11. Wilson, S.K.; Fisher, R.; Pratchett, M.S.; Graham, N.A.; Dulvy, N.K.; Turner, R.A.; Cakacaka, A.; Polunin, N.V. Habitat degradation and fishing effects on the size structure of coral reef fish communities. Ecol. Appl. 2010, 20, 442–451. [Google Scholar] [CrossRef] [PubMed]
  12. Robinson, J.P.; Williams, I.D.; Edwards, A.M.; McPherson, J.; Yeager, L.; Vigliola, L.; Brainard, R.E.; Baum, J.K. Fishing degrades size structure of coral reef fish communities. Glob. Change Biol. 2017, 23, 1009–1022. [Google Scholar] [CrossRef] [PubMed]
  13. McWilliams, J.P.; Côté, I.M.; Gill, J.A.; Sutherland, W.J.; Watkinson, A.R. Accelerating impacts of temperature-induced coral bleaching in the Caribbean. Ecology 2005, 86, 2055–2060. [Google Scholar] [CrossRef]
  14. Graham, N.A.; Wilson, S.K.; Jennings, S.; Polunin, N.V.; Robinson, J.A.; Bijoux, J.P.; Daw, T.M. Lag effects in the impacts of mass coral bleaching on coral reef fish, fisheries, and ecosystems. Conserv. Biol. 2007, 21, 1291–1300. [Google Scholar] [CrossRef] [PubMed]
  15. Burt, J.; Al-Harthi, S.; Al-Cibahy, A. Long-term impacts of coral bleaching events on the world’s warmest reefs. Mar. Environ. Res. 2011, 72, 225–229. [Google Scholar] [CrossRef] [PubMed]
  16. Kleypas, J.A.; Yates, K.K. Coral reefs and ocean acidification. Oceanography 2009, 22, 108–117. [Google Scholar] [CrossRef]
  17. Hernández-Delgado, E.A.; Alejandro-Camis, P.; Cabrera-Beauchamp, G.; Fonseca-Miranda, J.S.; Gómez-Andújar, N.X.; Gómez, P.; Guzmán-Rodríguez, R.; Olivo-Maldonado, I.; Suleimán-Ramos, S.E. Stronger hurricanes and climate change in the Caribbean Sea: Threats to the sustainability of endangered coral species. Sustainability 2024, 16, 1506. [Google Scholar] [CrossRef]
  18. Harmelin-Vivien, M.L. The effects of storms and cyclones on coral reefs: A review. J. Coast. Res. 1994, 1, 211–231. [Google Scholar]
  19. Elsner, J.B. Evidence in support of the climate change—Atlantic hurricane hypothesis. Geophys. Res. Lett. 2006, 33, L16705. [Google Scholar] [CrossRef]
  20. Trenberth, K.E. Warmer oceans, stronger hurricanes. Sci. Am. 2007, 297, 44–51. [Google Scholar] [CrossRef] [PubMed]
  21. Knutson, T.R.; Chung, M.V.; Vecchi, G.; Sun, J.; Hsieh, T.L.; Smith, A.J. Climate change is probably increasing the intensity of tropical cyclones. In Climate Change Is Probably Increasing the Intensity of Tropical Cyclones; Tyndall Centre for Climate Change Research: Norwich, UK, 2021. [Google Scholar] [CrossRef]
  22. Field, M.E.; Ogston, A.S.; Storlazzi, C.D. Rising sea level may cause decline of fringing coral reefs. Eos Tran. Am. Geophys. Union 2011, 92, 273–274. [Google Scholar] [CrossRef]
  23. Perry, C.T.; Alvarez-Filip, L.; Graham, N.A.; Mumby, P.J.; Wilson, S.K.; Kench, P.S.; Manzello, D.P.; Morgan, K.M.; Slangen, A.; Thomson, D.P.; et al. Loss of coral reef growth capacity to track future increases in sea level. Nature 2018, 558, 396–400. [Google Scholar] [CrossRef] [PubMed]
  24. Ruiz-Allais, J.P.; Benayahu, Y.; Lasso-Alcalá, O.M. The invasive octocoral Unomia stolonifera (Alcyonacea, Xeniidae) is dominating the benthos in the Southeastern Caribbean Sea. Mem. Fund. Salle Cien. Nat. 2021, 79, 63–80. [Google Scholar]
  25. Pueschel, C.M.; Saunders, G.W. Ramicrusta textilis sp. nov. (Peyssonneliaceae, Rhodophyta), an anatomically complex Caribbean alga that overgrows corals. Phycologia 2009, 48, 480–491. [Google Scholar] [CrossRef]
  26. Ballantine, D.L.; Ruiz, H. A unique red algal reef formation in Puerto Rico. Coral Reefs 2013, 32, 411. [Google Scholar] [CrossRef][Green Version]
  27. Altieri, A.H.; Harrison, S.B.; Seemann, J.; Collin, R.; Diaz, R.J.; Knowlton, N. Tropical dead zones and mass mortalities on coral reefs. Proc. Natl. Acad. Sci. USA 2017, 114, 3660–3665. [Google Scholar] [CrossRef] [PubMed]
  28. Nelson, H.R.; Altieri, A.H. Oxygen: The universal currency on coral reefs. Coral Reefs 2019, 38, 177–198. [Google Scholar] [CrossRef]
  29. Weil, E.; Rogers, C.S. Coral reef diseases in the Atlantic-Caribbean. In Coral Reefs: An Ecosystem in Transition; Dubinsky, Z., Stambler, N., Eds.; Springer: Dordrecht, The Netherlands, 2010; pp. 465–491. [Google Scholar]
  30. Lessios, H.A. The great Diadema antillarum die-off: 30 years later. Ann. Rev. Mar. Sci. 2016, 8, 267–283. [Google Scholar] [CrossRef] [PubMed]
  31. Miller, J.; Muller, E.; Rogers, C.; Waara, R.; Atkinson, A.; Whelan, K.R.; Patterson, M.; Witcher, B. Coral disease following massive bleaching in 2005 causes 60% decline in coral cover on reefs in the US Virgin Islands. Coral Reefs 2009, 28, 925–937. [Google Scholar] [CrossRef]
  32. Hernández-Pacheco, R.; Hernández-Delgado, E.A.; Sabat, A.M. Demographics of bleaching in a major Caribbean reef-building coral: Montastraea annularis. Ecosphere 2011, 2, 1–13. [Google Scholar] [CrossRef]
  33. Edmunds, P.J. Decadal-scale changes in the community structure of coral reefs of St. John, US Virgin Islands. Mar. Ecol. Progr. Ser. 2013, 489, 107–123. [Google Scholar] [CrossRef]
  34. Rinkevich, B. Rebuilding coral reefs: Does active reef restoration lead to sustainable reefs? Curr. Opinion Env. Sust. 2014, 7, 28–36. [Google Scholar] [CrossRef]
  35. Rinkevich, B. The active reef restoration toolbox is a vehicle for coral resilience and adaptation in a changing world. J. Mar. Sci. Eng. 2019, 7, 201. [Google Scholar] [CrossRef]
  36. Omori, M. Coral restoration research and technical developments: What we have learned so far. Mar. Biol. Res. 2019, 15, 377–409. [Google Scholar] [CrossRef]
  37. Boström-Einarsson, L.; Babcock, R.C.; Bayraktarov, E.; Ceccarelli, D.; Cook, N.; Ferse, S.C.; Hancock, B.; Harrison, P.; Hein, M.; Shaver, E.; et al. Coral restoration–A systematic review of current methods, successes, failures and future directions. PLoS ONE 2020, 15, e0226631. [Google Scholar] [CrossRef]
  38. Young, C.N.; Schopmeyer, S.A.; Lirman, D. A review of reef restoration and coral propagation using the threatened genus Acropora in the Caribbean and Western Atlantic. Bull. Mar. Sci. 2012, 88, 1075–1098. [Google Scholar] [CrossRef]
  39. Lirman, D.; Schopmeyer, S. Ecological solutions to reef degradation: Optimizing coral reef restoration in the Caribbean and Western Atlantic. PeerJ 2016, 4, e2597. [Google Scholar] [CrossRef]
  40. Viehman, T.S.; Reguero, B.G.; Lenihan, H.S.; Rosman, J.H.; Storlazzi, C.D.; Goergen, E.A.; Canals Silander, M.F.; Groves, S.H.; Holstein, D.M.; Bruckner, A.W.; et al. Coral restoration for coastal resilience: Integrating ecology, hydrodynamics, and engineering at multiple scales. Ecosphere 2023, 14, e4517. [Google Scholar] [CrossRef]
  41. Burman, S.G.; Aronson, R.B.; van Woesik, R. Biotic homogenization of coral assemblages along the Florida reef tract. Mar. Ecol. Progr. Ser. 2012, 467, 89–96. [Google Scholar] [CrossRef]
  42. Riegl, B.M.; Bruckner, A.W.; Rowlands, G.P.; Purkis, S.J.; Renaud, P. Red Sea coral reef trajectories over 2 decades suggest increasing community homogenization and decline in coral size. PLoS ONE 2012, 7, e38396. [Google Scholar] [CrossRef]
  43. Pawlik, J.R.; Loh, T.L. Biogeographical homogeneity of Caribbean coral reef benthos. J. Biogeog. 2017, 44, 960–962. [Google Scholar] [CrossRef]
  44. Richardson, L.E.; Graham, N.A.; Pratchett, M.S.; Eurich, J.G.; Hoey, A.S. Mass coral bleaching causes biotic homogenization of reef fish assemblages. Glob. Change Biol. 2018, 24, 3117–3129. [Google Scholar] [CrossRef] [PubMed]
  45. Reimer, J.D.; Albelda, R.L.; Biondi, P.; Hardianto, E.; Huang, S.; Masucci, G.D.; Sayco, S.L.; Wee, H.B.; Zhu, Y. Literature Review of Coral Reef Restoration in and around the Coral Triangle from the Viewpoint of Marine Biodiversity. Arq. Ciênc. Mar 2022, 55, 413–431. [Google Scholar]
  46. Perry, C.T.; Alvarez-Filip, L. Changing geo-ecological functions of coral reefs in the Anthropocene. Funct. Ecol. 2019, 33, 976–988. [Google Scholar] [CrossRef]
  47. Perry, C.T.; Salter, M.A.; Lange, I.D.; Kochan, D.P.; Harborne, A.R.; Graham, N.A. Geo-ecological functions provided by coral reef fishes vary among regions and impact reef carbonate cycling regimes. Ecosphere 2022, 13, e4288. [Google Scholar] [CrossRef]
  48. Ghiasian, M.; Carrick, J.; Lirman, D.; Baker, A.C.; Ruiz-Merchan, J.; Amendolara, J.; Haus, B.K.; Rhode-Barbarigos, L. Exploring coral reef restoration for wave-energy dissipation through experimental laboratory testing. Coast. Struct. 2019, 975–980. [Google Scholar] [CrossRef]
  49. Geldard, J.; Lowe, R.; Draper, S.; Ghisalberti, M.; Westera, S.; Ellwood, G.; Cuttler, M.; Smith, D.; McArdle, A. Effectiveness of coral reef restoration in wave attenuation applications. Coast. Eng. Proc. 2022, 37, 90–91. [Google Scholar] [CrossRef]
  50. Ferrario, F.; Beck, M.W.; Storlazzi, C.D.; Micheli, F.; Shepard, C.C.; Airoldi, L. The effectiveness of coral reefs for coastal hazard risk reduction and adaptation. Nat. Commun. 2014, 5, 3794. [Google Scholar] [CrossRef] [PubMed]
  51. Elliff, C.I.; Silva, I.R. Coral reefs as the first line of defense: Shoreline protection in face of climate change. Mar. Environ. Res. 2017, 127, 148–154. [Google Scholar] [CrossRef] [PubMed]
  52. Lin, N.; Emanuel, K.; Oppenheimer, M.; Vanmarcke, E. Physically based assessment of hurricane surge threat under climate change. Nat. Clim. Change 2012, 2, 462–467. [Google Scholar] [CrossRef]
  53. Grinsted, A.; Moore, J.C.; Jevrejeva, S. Projected Atlantic hurricane surge threat from rising temperatures. Proc. Natl. Acad. Sci. USA 2013, 110, 5369–5373. [Google Scholar] [CrossRef] [PubMed]
  54. Mousavi, M.E.; Irish, J.L.; Frey, A.E.; Olivera, F.; Edge, B.L. Global warming and hurricanes: The potential impact of hurricane intensification and sea level rise on coastal flooding. Clim. Change 2011, 104, 575–597. [Google Scholar] [CrossRef]
  55. Griggs, G.; Reguero, B.G. Coastal adaptation to climate change and sea-level rise. Water 2021, 13, 2151. [Google Scholar] [CrossRef]
  56. Russ, G.R. Coral reef fisheries: Effects and yields. In The Ecology of Fishes on Coral Reefs; Sale, P.F., Ed.; Academic Press: London, UK, 1991; pp. 601–635. [Google Scholar]
  57. Sadovy, Y. Trouble on the reef: The imperative for managing vulnerable and valuable fisheries. Fish Fish. 2005, 6, 167–185. [Google Scholar] [CrossRef]
  58. Alvarez-Filip, L.; Dulvy, N.K.; Gill, J.A.; Côté, I.M.; Watkinson, A.R. Flattening of Caribbean coral reefs: Region-wide declines in architectural complexity. Proc. R. Soc. B Biol. Sci. 2009, 276, 3019–3025. [Google Scholar] [CrossRef] [PubMed]
  59. Alvarez-Filip, L.; Paddack, M.J.; Collen, B.; Robertson, D.R.; Côté, I.M. Simplification of Caribbean reef-fish assemblages over decades of coral reef degradation. PLoS ONE 2015, 10, e0126004. [Google Scholar] [CrossRef] [PubMed]
  60. Nagelkerken, I.; Van Der Velde, G. Connectivity between coastal habitats of two oceanic Caribbean islands as inferred from ontogenetic shifts by coral reef fishes. Gulf Caribb. Res. 2003, 14, 43–59. [Google Scholar] [CrossRef][Green Version]
  61. Kubiszewski, I.; Costanza, R.; Anderson, S.; Sutton, P. The future value of ecosystem services: Global scenarios and national implications. Ecosyst. Serv. 2017, 26, 289–301. [Google Scholar] [CrossRef]
  62. Beck, M.W.; Losada, I.J.; Menéndez, P.; Reguero, B.G.; Díaz-Simal, P.; Fernández, F. The global flood protection savings provided by coral reefs. Nat. Comm. 2018, 9, 2186. [Google Scholar] [CrossRef] [PubMed]
  63. Higa, T.; Tanaka, J.; Ohtani, I.I.; Musman, M.; Roy, M.C.; Kuroda, I. Bioactive compounds from coral reef invertebrates. Pure Appl. Chem. 2001, 73, 589–593. [Google Scholar] [CrossRef]
  64. Bruckner, A.W. Life-saving products from coral reefs. Issues Sci. Technol. 2002, 18, 39–44. [Google Scholar]
  65. Spalding, M.; Burke, L.; Wood, S.A.; Ashpole, J.; Hutchison, J.; Zu Ermgassen, P. Mapping the global value and distribution of coral reef tourism. Mar. Pol. 2017, 82, 104–113. [Google Scholar] [CrossRef]
  66. Bellwood, D.R.; Hughes, T.P.; Folke, C.; Nyström, M. Confronting the coral reef crisis. Nature 2004, 429, 827–833. [Google Scholar] [CrossRef] [PubMed]
  67. Opel, A.H.; Cavanaugh, C.M.; Rotjan, R.D.; Nelson, J.P. The effect of coral restoration on Caribbean reef fish communities. Mar. Biol. 2017, 164, 221. [Google Scholar] [CrossRef]
  68. Ladd, M.C.; Burkepile, D.E.; Shantz, A.A. Near-term impacts of coral restoration on target species, coral reef community structure, and ecological processes. Rest. Ecol. 2019, 27, 1166–1176. [Google Scholar] [CrossRef]
  69. Hein, M.Y.; Beeden, R.; Birtles, A.; Gardiner, N.M.; Le Berre, T.; Levy, J.; Marshall, N.; Scott, C.M.; Terry, L.; Willis, B.L. Coral restoration effectiveness: Multiregional snapshots of the long-term responses of coral assemblages to restoration. Diversity 2020, 12, 153. [Google Scholar] [CrossRef]
  70. Hein, M.Y.; Beeden, R.; Birtles, R.A.; Chase, T.J.; Couture, F.; Haskin, E.; Marshall, N.; Ripple, K.; Terry, L.; Willis, B.L.; et al. Effects of coral restoration on fish communities: Snapshots of long-term, multiregional responses and implications for practice. Rest. Ecol. 2020, 28, 1158–1171. [Google Scholar] [CrossRef]
  71. Bruckner, A.; Bruckner, R. Condition of restored Acropora palmata fragments off Mona Island, Puerto Rico, 2 years after the Fortuna Reefer ship grounding. Coral Reefs 2001, 20, 235–243. [Google Scholar]
  72. Bruckner, A.W.; Bruckner, R.J. Survivorship of restored Acropora palmata fragments over six years at the M/V Fortuna Reefer ship grounding site, Mona Island, Puerto Rico. In Proceedings of the 10th International Coral Reef Symposium, Okinawa, Japan, 20 May–16 June 2006; Volume 1, pp. 1645–1650. [Google Scholar]
  73. Forrester, G.E.; Maynard, A.; Schofield, S.; Taylor, K. Evaluating causes of transplant stress in fragments of Acropora palmata used for coral reef restoration. Bull. Mar. Sci. 2012, 88, 1099–1113. [Google Scholar] [CrossRef]
  74. Forrester, G.E.; Ferguson, M.A.; O’Connell-Rodwell, C.E.; Jarecki, L.L. Long-term survival and colony growth of Acropora palmata fragments transplanted by volunteers for restoration. Aquat. Conserv. Mar. Freshwat. Ecosyst. 2014, 24, 81–91. [Google Scholar] [CrossRef]
  75. Kiel, C.; Huntington, B.E.; Miller, M.W. Tractable field metrics for restoration and recovery monitoring of staghorn coral Acropora cervicornis. Endang. Species Res. 2012, 19, 171–176. [Google Scholar] [CrossRef]
  76. Mercado-Molina, A.E.; Ruiz-Diaz, C.P.; Sabat, A.M. Demographics and dynamics of two restored populations of the threatened reef-building coral Acropora cervicornis. J. Nat. Conserv. 2015, 24, 17–23. [Google Scholar] [CrossRef]
  77. Hernández Delgado, E.A.; Hutchinson-Delgado, Y.; Laureano, R.; Hernández-Pacheco, R.; Ruíz-Maldonado, T.M.; Oms, J.; Díaz, P.L. Sediment Stress, Water Turbidity, and Sewage Pollution Associated to Rapid Degradation of Federal Designated Critical Habitats of the Threatened Elkhorn Coral (Acropora palmata) in Vega Baja, PR; Technical report; National Oceanic and Atmospheric Administration Law Enforcement Office: Guaynabo, Puerto Rico, 2010; pp. 1–142.
  78. Hernández-Delgado, E.A.; Hutchinson-Delgado, Y.M.; Laureano, R.; Hernández-Pacheco, R.; Ruiz-Maldonado, T.M.; Oms, J.; Díaz, P.L. Sediment stress, water turbidity and sewage impacts on threatened Elkhorn coral (Acropora palmata) stands at Vega Baja, Puerto Rico. Proc. Gulf Caribb. Fish. Inst. 2011, 63, 83–92. [Google Scholar]
  79. Hernández Delgado, E.A.; Rosado-Matías, B.J. Long-lasting impacts of beach renourishment on nearshore urban coral reefs: A glimpse on future impacts of shoreline erosion, sea level rise and climate change. Ann. Mar. Biol. Res. 2017, 4, 1021. [Google Scholar]
  80. González-Figueroa, M.C.; Hernández-Delgado, E.A. Variación espacial en los patrones de recuperación natural de los arrecifes de coral someros urbanos en Puerto Rico. Persp. Asuntos Amb. 2021, 9, 90–111. [Google Scholar]
  81. Hernández-Delgado, E.A.; Alvarado, A.; Laureano, R.; Flynn, K.; Griffin, S. Seawall construction activities cause a localized mass mortality of threatened Elkhorn coral (Acropora palmata) at Vega Baja, Puerto Rico. Proc. Gulf Caribb. Fish. Inst. 2011, 63, 511. [Google Scholar]
  82. Bohnsack, J.A.; Bannerot, S.P. A Stationary Visual Census Technique for Quantitatively Assessing Community Structure of Coral Reef Fishes; NMFS 41; NOAA/National Marine Fisheries Service: Gloucester, MA, USA, 1986; pp. 1–15.
  83. Bohnsack, J.A.; Harper, D.E. Length-Weight Relationships of Selected Marine Reef Fishes from the Southeastern United States and the Caribbean. NOAA Technical Memorandum NMFSSEFC-215, 1988, 1–31. Available online: https://www.livingoceansfoundation.org/wp-content/uploads/2013/08/Bruckner_RestorationApproaches.pdf (accessed on 1 December 2023).
  84. Bellwood, D.R.; Streit, R.P.; Brandl, S.J.; Tebbett, S.B. The meaning of the term ‘function’in ecology: A coral reef perspective. Funct. Ecol. 2019, 33, 948–961. [Google Scholar] [CrossRef]
  85. Clarke, K.R.; Gorley, R.N.; Somerfield, P.J.; Warwick, R.M. Change in Marine Communities: An Approach to Statistical Analysis and Interpretation, 3rd ed.; PRIMER-E: Plymouth, UK, 2014. [Google Scholar]
  86. Warwick, R.M.; Clarke, K.R. New\’biodiversity\’measures reveal a decrease in taxonomic distinctness with increasing stress. Mar. Ecol. Progr. Ser. 1995, 129, 301–305. [Google Scholar] [CrossRef]
  87. Faith, D.P. Conservation evaluation and phylogenetic diversity. Biol. Conserv. 1992, 61, 1–10. [Google Scholar] [CrossRef]
  88. Faith, D.P. Phylogenetic pattern and the quantification of organismal biodiversity. Phil. Trans. R. Soc. London. Ser. B Biol. Sci. 1994, 345, 45–58. [Google Scholar]
  89. Anderson, M.J.; Gorley, R.N.; Clarke, K.R. PERMANOVA+ for PRIMER: Guide to Software and Statistical Methods; Massey University: Auckland, New Zealand; PRIMER-e Ltd.: Plymouth, UK, 2008. [Google Scholar]
  90. Bray, J.R.; Curtis, J.T. An Ordination of the Upland Forest Communities of Southern Wisconsin. Ecol. Monogr. 1957, 27, 325–349. [Google Scholar] [CrossRef]
  91. Bruckner, A.W.; Bruckner, R.J.; Hill, R. Improving restoration approaches for Acropora palmata: Lessons from the Fortuna Reefer grounding in Puerto Rico. In Proceedings of the 11 th International Coral Reef Symposium, Ft. Lauderdale, FL, USA, 7–11 July 2008; Volume 1, pp. 1199–1203. [Google Scholar]
  92. Bak, R.P.M. The growth of coral colonies and the importance of crustose coralline algae and burrowing sponges in relation with carbonate accumulation. J. Sea Res. 1976, 10, 285–337. [Google Scholar] [CrossRef]
  93. Gladfelter, E.H.; Monahan, R.K.; Gladfelter, W.B. Growth rates of five reef-building corals in the northeastern Caribbean. Bull. Mar. Sci. 1978, 28, 728–734. [Google Scholar]
  94. Bak, R.P.; Nieuwland, G.; Meesters, E.H. Coral growth rates revisited after 31 years: What is causing lower extension rates in Acropora palmata? Bull. Mar. Sci. 2009, 84, 287–294. [Google Scholar]
  95. Lirman, D. Fragmentation in the branching coral Acropora palmata (Lamarck): Growth, survivorship, and reproduction of colonies and fragments. J. Exp. Mar. Biol. Ecol. 2000, 251, 41–57. [Google Scholar] [CrossRef] [PubMed]
  96. Kuffner, I.B.; Stathakopoulos, A.; Toth, L.T.; Bartlett, L.A. Reestablishing a stepping-stone population of the threatened elkhorn coral Acropora palmata to aid regional recovery. Endang. Species Res. 2020, 43, 461–473. [Google Scholar] [CrossRef]
  97. Bowden-Kerby, A. Coral transplantation in sheltered habitats using unattached fragments and cultured colonies. In Proceedings of the 8th International Coral Reef Symposium, Panama City, Panama, 24–29 June 1996; Volume 2, pp. 2063–2068. Available online: https://www.researchgate.net/publication/275210184_Coral_transplantation_in_sheltered_habitats_using_unattached_fragments_and_cultured_colonies (accessed on 1 December 2023).
  98. Bowden-Kerby, A. Low-tech coral reef restoration methods modeled after natural fragmentation processes. Bull. Mar. Sci. 2001, 69, 915–931. [Google Scholar]
  99. Mercado-Molina, A.E.; Ruiz-Diaz, C.P.; Pérez, M.E.; Rodríguez-Barreras, R.; Sabat, A.M. Demography of the threatened coral Acropora cervicornis: Implications for its management and conservation. Coral Reefs 2015, 34, 1113–1324. [Google Scholar] [CrossRef]
  100. Chapron, L.; Kuffner, I.B.; Kemp, D.W.; Hulver, A.M.; Keister, E.F.; Stathakopoulos, A.; Bartlett, L.A.; Lyons, E.O.; Grottoli, A.G. Heterotrophy, microbiome, and location effects on restoration efficacy of the threatened coral Acropora palmata. Commun. Earth Environ. 2023, 4, 233. [Google Scholar] [CrossRef]
  101. Williams, D.E.; Miller, M.W. Attributing mortality among drivers of population decline in Acropora palmata in the Florida Keys (USA). Coral Reefs 2012, 31, 369–382. [Google Scholar] [CrossRef]
  102. Padilla-Souza, C.; Navarro-Espinoza, E.; García-Medrano, D.; González-Vázquez, D.; Gutiérrez-Plata, S.; Ramírez-Mata, E.; Estrada-Saldívar, N. The effect of pruning Acropora palmata as a strategy for obtaining living tissue for reef restoration actions. Rev. Biol. Trop. 2023, 71, 1–15. [Google Scholar]
  103. MacNeil, M.A.; Graham, N.A.; Cinner, J.E.; Wilson, S.K.; Williams, I.D.; Maina, J.; Newman, S.; Friedlander, A.M.; Jupiter, S.; Polunin, N.V.; et al. Recovery potential of the world’s coral reef fishes. Nature 2015, 520, 341–344. [Google Scholar] [CrossRef] [PubMed]
  104. Cabaitan, P.C.; Gomez, E.D.; Aliño, P.M. Effects of coral transplantation and giant clam restocking on the structure of fish communities on degraded patch reefs. J. Exp. Mar. Biol. Ecol. 2008, 357, 85–98. [Google Scholar] [CrossRef]
  105. Shantz, A.A.; Ladd, M.C.; Schrack, E.; Burkepile, D.E. Fish-derived nutrient hotspots shape coral reef benthic communities. Ecol. Appl. 2015, 25, 2142–2152. [Google Scholar] [CrossRef] [PubMed]
  106. Huntington, B.E.; Miller, M.W.; Pausch, R.; Richter, L. Facilitation in Caribbean coral reefs: High densities of staghorn coral foster greater coral condition and reef fish composition. Oecologia 2017, 184, 247–257. [Google Scholar] [CrossRef] [PubMed]
  107. Seraphim, M.J.; Sloman, K.A.; Alexander, M.E.; Janetski, N.; Jompa, J.; Ambo-Rappe, R.; Snellgrove, D.; Mars, F.; Harborne, A.R. Interactions between coral restoration and fish assemblages: Implications for reef management. J. Fish Biol. 2020, 97, 633–655. [Google Scholar] [CrossRef] [PubMed]
  108. Edwards, A.J.; Clark, S. Coral transplantation: A useful management tool or misguided meddling? Mar. Poll. Bull. 1999, 37, 474–487. [Google Scholar] [CrossRef]
  109. Carr, M.H.; Hixon, M.A. Artificial reefs: The importance of comparisons with natural reefs. Fisheries 1997, 22, 28–33. [Google Scholar] [CrossRef]
  110. Fadli, N.; Campbell, S.J.; Ferguson, K.; Keyse, J.; Rudi, E.; Riedel, A.; Baird, A.H. The role of habitat creation in coral reef conservation: A case study from Aceh, Indonesia. Oryx 2012, 46, 501–507. [Google Scholar] [CrossRef]
  111. Ferse, S.C. Multivariate responses of the coral reef fish community to artificial structures and coral transplants. In Proceedings of the 11th International Coral Reef Symposium, Ft. Lauderdale, FL, USA, 7–11 July 2008; pp. 1225–1229. [Google Scholar]
  112. Harrison, P.L.; dela Cruz, D.W.; Cameron, K.A.; Cabaitan, P.C. Increased coral larval supply enhances recruitment for coral and fish habitat restoration. Front. Mar. Sci. 2021, 8, 750210. [Google Scholar] [CrossRef]
  113. Cruz, D.W.; Villanueva, R.D.; Baria, M.V. Community-based, low-tech method of restoring a lost thicket of Acropora corals. ICES J. Mar. Sci. 2014, 71, 1866–1875. [Google Scholar] [CrossRef]
  114. Schopmeyer, S.A.; Lirman, D. Occupation dynamics and impacts of damselfish territoriality on recovering populations of the threatened staghorn coral, Acropora cervicornis. PLoS ONE 2015, 10, e0141302. [Google Scholar]
  115. Raymundo, L.J.; Maypa, A.P.; Gomez, E.D.; Cadiz, P. Can dynamite-blasted reefs recover? A novel, low-tech approach to stimulating natural recovery in fish and coral populations. Mar. Poll. Bull. 2007, 54, 1009–1019. [Google Scholar] [CrossRef] [PubMed]
  116. Lecchini, D. Ecological characteristics of fishes colonizing artificial reefs in a coral garden at Moorea, French Polynesia. Bull. Mar. Sci. 2003, 73, 763–769. [Google Scholar]
  117. Knoester, E.G.; Murk, A.J.; Osinga, R. Benefits of herbivorous fish outweigh costs of corallivory in coral nurseries placed close to a Kenyan patch reef. Mar. Ecol. Progr. Ser. 2019, 611, 143–155. [Google Scholar] [CrossRef]
  118. Knoester, E.G.; Rienstra, J.J.; Schürmann, Q.J.; Wolma, A.E.; Murk, A.J.; Osinga, R. Community-managed coral reef restoration in southern Kenya initiates reef recovery using various artificial reef designs. Front. Mar. Sci. 2023, 10, 1152106. [Google Scholar] [CrossRef]
  119. Mcleod, E.; Anthony, K.R.; Mumby, P.J.; Maynard, J.; Beeden, R.; Graham, N.A.; Heron, S.F.; Hoegh-Guldberg, O.; Jupiter, S.; MacGowan, P.; et al. The future of resilience-based management in coral reef ecosystems. J. Environ. Manag. 2019, 233, 291–301. [Google Scholar] [CrossRef] [PubMed]
  120. Mumby, P.J.; Dahlgren, C.P.; Harborne, A.R.; Kappel, C.V.; Micheli, F.; Brumbaugh, D.R.; Holmes, K.E.; Mendes, J.M.; Broad, K.; Sanchirico, J.N.; et al. Fishing, trophic cascades, and the process of grazing on coral reefs. Science 2006, 311, 98–101. [Google Scholar] [CrossRef] [PubMed]
  121. Hughes, T.P.; Rodrigues, M.J.; Bellwood, D.R.; Ceccarelli, D.; Hoegh-Guldberg, O.; McCook, L.; Moltschaniwskyj, N.; Pratchett, M.S.; Steneck, R.S.; Willis, B. Phase shifts, herbivory, and the resilience of coral reefs to climate change. Curr. Biol. 2007, 17, 360–365. [Google Scholar] [CrossRef] [PubMed]
  122. Shulman, M.J. Coral reef fish assemblages: Intra-and interspecific competition for shelter sites. Env. Biol. Fishes 1985, 13, 81–92. [Google Scholar] [CrossRef]
  123. Hernández-Delgado, E.A.; Ortiz-Flores, M.F. The long and winding road of coral reef recovery in the Anthropocene: A case study from Puerto Rico. Diversity 2022, 14, 804. [Google Scholar] [CrossRef]
  124. Nozawa, Y.; Lin, C.H.; Meng, P.J. Sea urchins (diadematids) promote coral recovery via recruitment on Taiwanese reefs. Coral Reefs 2020, 39, 1199–1207. [Google Scholar] [CrossRef]
  125. Montoya-Maya, P.H.; Smit, K.P.; Burt, A.J.; Frias-Torres, S. Large-scale coral reef restoration could assist natural recovery in Seychelles, Indian Ocean. Nat. Conserv. 2016, 16, 1–7. [Google Scholar] [CrossRef]
  126. Hadj-Hammou, J.; Mouillot, D.; Graham, N.A. Response and effect traits of coral reef fish. Front. Mar. Sci. 2021, 8, 640619. [Google Scholar] [CrossRef]
  127. Russ, G.R.; Alcala, A.C. Marine reserves: Long-term protection is required for full recovery of predatory fish populations. Oecologia 2004, 138, 622–627. [Google Scholar] [CrossRef] [PubMed]
  128. Stobart, B.; Warwick, R.; González, C.; Mallol, S.; Díaz, D.; Reñones, O.; Goñi, R. Long-term and spillover effects of a marine protected area on an exploited fish community. Mar. Ecol. Progr. Ser. 2009, 384, 47–60. [Google Scholar] [CrossRef]
  129. Pina Amargós, F.; Sansón, G.G.; Del Castillo, A.J.; Fernández, A.Z.; Blanco, F.M.; de la Red, W.A. An experiment of fish spillover from a marine reserve in Cuba. Env. Biol. Fishes. 2010, 87, 363–372. [Google Scholar] [CrossRef]
  130. McClanahan, T.R.; Mangi, S. Spillover of exploitable fishes from a marine park and its effect on the adjacent fishery. Ecol. Appl. 2000, 10, 1792–1805. [Google Scholar] [CrossRef]
  131. Marques da Silva, I.; Hill, N.; Shimadzu, H.; Soares, A.M.; Dornelas, M. Spillover effects of a community-managed marine reserve. PLoS ONE 2015, 10, e0111774. [Google Scholar]
  132. Forcada, A.; Valle, C.; Bonhomme, P.; Criquet, G.; Cadiou, G.; Lenfant, P.; Sánchez-Lizaso, J.L. Effects of habitat on spillover from marine protected areas to artisanal fisheries. Mar. Ecol. Progr. Ser. 2009, 379, 197–211. [Google Scholar] [CrossRef]
  133. Hock, K.; Mumby, P.J. Quantifying the reliability of dispersal paths in connectivity networks. J. R. Soc. Interface. 2015, 12, 20150013. [Google Scholar] [CrossRef] [PubMed]
  134. Nagelkerken, I.; Sheaves, M.; Baker, R.; Connolly, R.M. The seascape nursery: A novel spatial approach to identify and manage nurseries for coastal marine fauna. Fish Fish. 2015, 16, 362–371. [Google Scholar] [CrossRef]
  135. Dorenbosch, M.; Verberk, W.C.; Nagelkerken, I.; Van der Velde, G. Influence of habitat configuration on connectivity between fish assemblages of Caribbean seagrass beds, mangroves and coral reefs. Mar. Ecol. Progr. Ser. 2007, 334, 103–116. [Google Scholar] [CrossRef]
  136. Mumby, P.J.; Hastings, A. The impact of ecosystem connectivity on coral reef resilience. J. Appl. Ecol. 2008, 45, 854–862. [Google Scholar] [CrossRef]
  137. Ladd, M.C.; Miller, M.W.; Hunt, J.H.; Sharp, W.C.; Burkepile, D.E. Harnessing ecological processes to facilitate coral restoration. Front. Ecol. Environ. 2018, 16, 239–247. [Google Scholar] [CrossRef]
  138. Ladd, M.C.; Shantz, A.A. Trophic interactions in coral reef restoration: A review. Food Webs. 2020, 24, e00149. [Google Scholar] [CrossRef]
  139. Gordon, T.A.; Radford, A.N.; Davidson, I.K.; Barnes, K.; McCloskey, K.; Nedelec, S.L.; Meekan, M.G.; McCormick, M.I.; Simpson, S.D. Acoustic enrichment can enhance fish community development on degraded coral reef habitat. Nat. Commun. 2019, 10, 5414. [Google Scholar] [CrossRef]
  140. Vardi, T.; Hoot, W.C.; Levy, J.; Shaver, E.; Winters, R.S.; Banaszak, A.T.; Baums, I.B.; Chamberland, V.F.; Cook, N.; Gulko, D.; et al. Six priorities to advance the science and practice of coral reef restoration worldwide. Rest. Ecol. 2021, 29, e13498. [Google Scholar] [CrossRef]
Figure 1. The study site at Playa El Eco, Vega Baja, Puerto Rico: (a) the coral restoration site in the context of urbanized areas, adjacent wetland habitats, and the Cibuco River outlet; (b) the aerial view showing restored shallow reefs; (c) Vega Baja fringing reefs and paleo-shorelines are vital geological features that contribute to wave energy and runup attenuation, protecting the shoreline and adjacent infrastructure; (d) a typical remnant A. palmata stand at Vega Baja; (e) a detailed view of restored plots; (f) an example of one 15-year-old restored A. palmata colony cluster within a restoration plot.
Figure 1. The study site at Playa El Eco, Vega Baja, Puerto Rico: (a) the coral restoration site in the context of urbanized areas, adjacent wetland habitats, and the Cibuco River outlet; (b) the aerial view showing restored shallow reefs; (c) Vega Baja fringing reefs and paleo-shorelines are vital geological features that contribute to wave energy and runup attenuation, protecting the shoreline and adjacent infrastructure; (d) a typical remnant A. palmata stand at Vega Baja; (e) a detailed view of restored plots; (f) an example of one 15-year-old restored A. palmata colony cluster within a restoration plot.
Sustainability 16 05985 g001aSustainability 16 05985 g001b
Figure 2. Spatio-temporal variation in out-planted Acropora palmata metrics from triplicate plots: (a) maximum colony diameter (cm); (b) Log10 of colony surface area (cm2); (c) maximum colony height (cm). Numbers 1, 2, and 3 in the x-axis level refer to replicate plot numbers.
Figure 2. Spatio-temporal variation in out-planted Acropora palmata metrics from triplicate plots: (a) maximum colony diameter (cm); (b) Log10 of colony surface area (cm2); (c) maximum colony height (cm). Numbers 1, 2, and 3 in the x-axis level refer to replicate plot numbers.
Sustainability 16 05985 g002aSustainability 16 05985 g002b
Figure 3. Non-metric multi-dimensional scaling plot (nMDS) based on spatio-temporal variation in out-planted Acropora palmata √-transformed colony surface area (cm2) and on Euclidean distance resemblance.
Figure 3. Non-metric multi-dimensional scaling plot (nMDS) based on spatio-temporal variation in out-planted Acropora palmata √-transformed colony surface area (cm2) and on Euclidean distance resemblance.
Sustainability 16 05985 g003
Figure 4. The principal coordinate ordination (PCO) analysis of the spatio-temporal variation in fish community structure based on fish functional group √-transformed abundance. NDN = Non-denuders; Br = Browsers; Sc = Scrapers; Gen = Generalist invertivores; Pisc = Piscivores; Plank = Planktivores; Omn = Omnivores. Light blue (R) = Restoration plots; Dark blue (C) = Control plots (no intervention). This solution explains 93.7% of the observed variation.
Figure 4. The principal coordinate ordination (PCO) analysis of the spatio-temporal variation in fish community structure based on fish functional group √-transformed abundance. NDN = Non-denuders; Br = Browsers; Sc = Scrapers; Gen = Generalist invertivores; Pisc = Piscivores; Plank = Planktivores; Omn = Omnivores. Light blue (R) = Restoration plots; Dark blue (C) = Control plots (no intervention). This solution explains 93.7% of the observed variation.
Sustainability 16 05985 g004
Figure 5. Dominance plot of spatio-temporal variation in fish functional groups on restoration and control plots based on √-transformed abundance.
Figure 5. Dominance plot of spatio-temporal variation in fish functional groups on restoration and control plots based on √-transformed abundance.
Sustainability 16 05985 g005
Figure 6. Abundance–biomass comparison (ABC) plots of the spatio-temporal variation in fish functional groups on restoration and control plots based on √-transformed abundance (blue) and biomass (red). R = Restoration plots; C = Control plots.
Figure 6. Abundance–biomass comparison (ABC) plots of the spatio-temporal variation in fish functional groups on restoration and control plots based on √-transformed abundance (blue) and biomass (red). R = Restoration plots; C = Control plots.
Sustainability 16 05985 g006
Figure 7. The principal coordinate ordination (PCO) analysis of the spatio-temporal variation in fish community structure based on fish geo-ecological functional group √-transformed abundance. FMBio = Framework modifiers (bioeroders); FMBre = Framework modifiers (breakage); SPI = Sediment producers (intestine production); SRM = Sediment reworking and mixing; STr = Sediment transporters. Light blue (R) = Restoration plots; Dark blue (C) = Control plots (no intervention). This solution explains 99.4% of the observed variation.
Figure 7. The principal coordinate ordination (PCO) analysis of the spatio-temporal variation in fish community structure based on fish geo-ecological functional group √-transformed abundance. FMBio = Framework modifiers (bioeroders); FMBre = Framework modifiers (breakage); SPI = Sediment producers (intestine production); SRM = Sediment reworking and mixing; STr = Sediment transporters. Light blue (R) = Restoration plots; Dark blue (C) = Control plots (no intervention). This solution explains 99.4% of the observed variation.
Sustainability 16 05985 g007
Figure 8. The principal coordinate ordination (PCO) analysis of the spatio-temporal variation in fish community structure based on √-transformed abundance of fish species. The vectorial analysis based on the 90% correlation level. Clustering patterns based on the Simprof test. Atra = Acanthurus tractus; Acoe = A. coeruleus; Sise = Scarus iseri; Cful = Cephalopholis fulva; Avir = Anisotremus virginicus; Mchr = Microspathodon chrysurus; Tbif = Thalassoma bifasciatum; Hfla = Haemulon flavolineatum; Crub = Caranx ruber; Lmah = Lutjanus mahogoni. Light blue (R) = Restoration plots; Dark blue (C) = Control plots (no intervention). This solution explains 72.8% of the observed variation.
Figure 8. The principal coordinate ordination (PCO) analysis of the spatio-temporal variation in fish community structure based on √-transformed abundance of fish species. The vectorial analysis based on the 90% correlation level. Clustering patterns based on the Simprof test. Atra = Acanthurus tractus; Acoe = A. coeruleus; Sise = Scarus iseri; Cful = Cephalopholis fulva; Avir = Anisotremus virginicus; Mchr = Microspathodon chrysurus; Tbif = Thalassoma bifasciatum; Hfla = Haemulon flavolineatum; Crub = Caranx ruber; Lmah = Lutjanus mahogoni. Light blue (R) = Restoration plots; Dark blue (C) = Control plots (no intervention). This solution explains 72.8% of the observed variation.
Sustainability 16 05985 g008
Figure 9. The funnel plot for simulated average taxonomic distinctness—AvTD (∆+). The horizontal line indicates the mean ∆+ of the master species list, which is not a function of S. The boundary lines indicate the limits within which 95% of simulated ∆+ values lie. Points are the true temporal variation in AvTD (y-axis) for the control and restored plots in this study. Light blue = Restoration plots; Dark blue = Control plots (no intervention).
Figure 9. The funnel plot for simulated average taxonomic distinctness—AvTD (∆+). The horizontal line indicates the mean ∆+ of the master species list, which is not a function of S. The boundary lines indicate the limits within which 95% of simulated ∆+ values lie. Points are the true temporal variation in AvTD (y-axis) for the control and restored plots in this study. Light blue = Restoration plots; Dark blue = Control plots (no intervention).
Sustainability 16 05985 g009
Figure 10. The funnel plot for simulated variation in taxonomic distinctness—VarTD (Lambda+, Λ+). The horizontal line indicates the mean Λ+ of the master species list, which is not a function of S. The boundary lines indicate the limits within which 95% of simulated Λ+ values lie. Points are the true temporal variation in VarTD (y-axis) for the control and restored plots in this study. Light blue = Restoration plots; Dark blue = Control plots (no intervention).
Figure 10. The funnel plot for simulated variation in taxonomic distinctness—VarTD (Lambda+, Λ+). The horizontal line indicates the mean Λ+ of the master species list, which is not a function of S. The boundary lines indicate the limits within which 95% of simulated Λ+ values lie. Points are the true temporal variation in VarTD (y-axis) for the control and restored plots in this study. Light blue = Restoration plots; Dark blue = Control plots (no intervention).
Sustainability 16 05985 g010
Figure 11. Conceptual design of the long-term ecological benefits of coral restoration on fish assemblages and their geo-ecological functions.
Figure 11. Conceptual design of the long-term ecological benefits of coral restoration on fish assemblages and their geo-ecological functions.
Sustainability 16 05985 g011
Table 1. Summary of a two-way crossed PERMANOVA test of the spatio-temporal variation in out-planted Acropora palmata metrics.
Table 1. Summary of a two-way crossed PERMANOVA test of the spatio-temporal variation in out-planted Acropora palmata metrics.
Source 1dfMaximum Diameter (cm)Colony
Surface Area (cm2)
Colony Maximum Height (cm)
Time43311 *2405 *2292 *
<0.0001<0.0001<0.0001
Plot222.1729.91107.3
<0.0001<0.0001<0.0001
Time × Plot85.939.094.83
<0.0001<0.0001<0.0001
Residual285
1 Based on 9999 permutations; data = Pseudo-F statistic, p-value. * Dominant component of variation.
Table 2. Spatio-temporal variation in annual means in fish community parameters in control and restored plots.
Table 2. Spatio-temporal variation in annual means in fish community parameters in control and restored plots.
Variables 108C12C16C20C23C08R12R16R20R23R
Species richness6.258.2511.512.257.7511.2519.5028.0024.2521.25
±1.86±1.23±2.47±1.67±0.94±3.70±6.91±4.67±2.45±1.47
Total abundance16.5025.7541.5043.7536.0044.2579.00104.2595.75106.25
±8.33±9.34±4.83±6.57±5.60±14.61±28.72±22.24±19.75±13.96
H’n1.65941.85542.10712.15941.80542.09562.53952.86002.69042.4872
±0.2532±0.1923±0.1492±0.1913±0.0431±0.2873±0.3287±0.2353±0.0508±0.1276
J’n0.92070.88200.87040.86350.88570.88350.86970.86040.84580.8144
±0.0133±0.0526±0.0424±0.0369±0.0374±0.0399±0.0250±0.0251±0.0386±0.0406
1 08 = 2008; 12 = 2012; 16 = 2016; 20 = 2020; 23 = 2023; C = Control plots (non-restored); R = Restored plots. Mean ± 95% confidence intervals.
Table 3. Summary of a two-way crossed PERMANOVA test of the spatio-temporal variation in fish community parameters in restored and control plots.
Table 3. Summary of a two-way crossed PERMANOVA test of the spatio-temporal variation in fish community parameters in restored and control plots.
Source 1dfSTotal AbundanceH’nJ’n
Time415.1311.7410.732.40
<0.0001<0.0001<0.00010.0679
Treatment1122.9 *89.18 *81.73 *6.11 *
<0.0001<0.0001<0.00010.0199
Time × Treatment42.041.860.540.98
0.08270.08580.71280.4394
Residual30
1 Based on 9999 permutations; data = Pseudo-F statistic, p-value. * Dominant component of variation.
Table 4. Spatio-temporal variation in annual mean herbivore guild abundance in control and restored plots.
Table 4. Spatio-temporal variation in annual mean herbivore guild abundance in control and restored plots.
Variables 108C12C16C20C23C08R12R16R20R23R
Total herbivores12.2522.0033.7531.531.7527.5048.7558.5059.7576.75
±5.33±8.00±5.27±1.88±5.45±5.34±10.38±11.21±15.63±9.75
Non-denuders6.510.009.508.508.2511.2513.7517.7515.5018.75
±1.88±4.00±3.05±1.88±1.23±3.24±3.34±4.69±3.05±1.67
Browsers1.003.7512.0010.0012.755.0013.2521.0024.2530.75
±1.13±2.58±1.60±1.60±5.57±4.08±4.41±6.69±13.08±4.89
Scrapers4.758.2512.2513.0010.7511.2521.7519.7520.0027.25
±2.93±5.33±1.67±1.96±1.67±5.57±8.37±1.86±5.12±5.45
1 08 = 2008; 12 = 2012; 16 = 2016; 20 = 2020; 23 = 2023; C = Control plots (non-restored); R = Restored plots. Mean ± 95% confidence intervals.
Table 5. Summary of a two-way crossed PERMANOVA test of the spatio-temporal variation in herbivore fish functional group abundance in restored and control plots.
Table 5. Summary of a two-way crossed PERMANOVA test of the spatio-temporal variation in herbivore fish functional group abundance in restored and control plots.
Source 1dfHerb 2NDNBrSc
Time415.032.619.52 *6.65
<0.00010.0505<0.00010.0006
Treatment161.91 *42.12 *11.7329.99 *
<0.0001<0.00010.0002<0.0001
Time × Treatment41.990.800.991.09
0.05890.54620.43630.3762
Residual30
1 Based on 9999 permutations; data = Pseudo-F statistic, p-value. 2 Herb = Total herbivores; NDN = Non-denuders; Br = Browsers; Sc = Scrapers. * Dominant component of variation.
Table 6. Spatio-temporal variation in annual mean carnivore guild abundance in control and restored plots.
Table 6. Spatio-temporal variation in annual mean carnivore guild abundance in control and restored plots.
Variables 108C12C16C20C23C08R12R16R20R23R
Total carnivores3.502.757.0011.503.0015.525.2539.0029.2525.50
±3.25±0.94±1.60±5.46±3.49±11.88±19.91±12.24±5.27±4.04
Gen. invertivores3.002.006.0010.252.2513.7520.7530.5020.2518.25
±2.40±1.39±0.80±6.27±3.78±10.01±16.98±12.43±6.76±8.59
Piscivores0.500.500.751.000.001.754.256.507.506.00
±0.98±0.57±0.94±1.39±0.00±2.02±3.78±3.62±1.27±4.00
Planktivores0.000.250.250.250.750.000.251.751.501.25
±0.00±0.49±0.49±0.49±1.47±0.00±0.49±0.94±0.98±1.23
Omnivores0.751.000.750.751.251.255.006.756.753.75
±0.94±1.13±1.47±0.94±1.47±1.47±2.88±3.87±2.58±5.45
1 08 = 2008; 12 = 2012; 16 = 2016; 20 = 2020; 23 = 2023; C = Control plots (non-restored); R = Restored plots. Mean ± 95% confidence intervals.
Table 7. Summary of a two-way crossed PERMANOVA test of the spatio-temporal variation in carnivore fish functional group abundance in restored and control plots.
Table 7. Summary of a two-way crossed PERMANOVA test of the spatio-temporal variation in carnivore fish functional group abundance in restored and control plots.
Source 1dfCarn 2GenPiscPlankOmn
Time42.962.751.543.860.82
0.01200.02160.19920.00030.5334
Treatment135.31 *29.50 *22.06 *10.33 *13.11 *
<0.0001<0.00010.00020.00280.0008
Time × Treatment41.271.690.711.981.14
0.27230.13950.60690.11940.3627
Residual30
1 Based on 9999 permutations; data = Pseudo-F statistic, p-value. 2 Carn = Total carnivores; Gen = Generalist invertivores; Pisc = Piscivores; Plank = Planktivores; Omn = Omnivores. * Dominant component of variation.
Table 8. Spatio-temporal variation in annual means in fishery target species parameters in control and restored plots.
Table 8. Spatio-temporal variation in annual means in fishery target species parameters in control and restored plots.
Variables 108C12C16C20C23C08R12R16R20R23R
Abundance5.759.0013.5015.2510.7521.2535.2535.5029.7536.25
±3.95±4.87±2.33±2.32±1.67±14.37±22.24±4.27±6.01±6.47
% Abundance31.5135.3032.8035.4130.1342.5042.5034.6232.3134.21
±14.10±11.17±6.71±7.56±4.23±22.88±11.40±3.93±9.55±4.79
Biomass (g)41.5052.33104.89188.9974.13571.95396.302817.17855.821094.72
±35.7424.18±46.66±61.94±40.67±904.87±210.09±1426.65±291.24±674.03
% Biomass34.0742.0424.0034.6222.0551.1252.6565.4835.7238.32
±26.59±28.47±13.11±10.46±14.27±33.50±17.62±15.61±20.31±15.45
1 08 = 2008; 12 = 2012; 16 = 2016; 20 = 2020; 23 = 2023; C = Control plots (non-restored); R = Restored plots. Mean ± 95% confidence intervals.
Table 9. Summary of a two-way crossed PERMANOVA test of the spatio-temporal variation in fishery target species parameters in restored and control plots.
Table 9. Summary of a two-way crossed PERMANOVA test of the spatio-temporal variation in fishery target species parameters in restored and control plots.
Source 1dfAbund% AbundBiomass% Biomass
Time44.020.356.140.70
0.00460.8766<0.00010.6182
Treatment143.78 *0.8969.27 *6.41 *
<0.00010.3692<0.00010.0141
Time × Treatment40.670.313.460.93
0.68320.87690.00130.4601
Residual30
1 Based on 9999 permutations; data = Pseudo-F statistic, p-value. * Dominant component of variation.
Table 10. Summary of a two-way crossed PERMANOVA test of the spatio-temporal variation in fish community structure in restored and control plots based on fish functional groups.
Table 10. Summary of a two-way crossed PERMANOVA test of the spatio-temporal variation in fish community structure in restored and control plots based on fish functional groups.
Source 1dfAbundanceBiomass
Time44.66024.9163
<0.0001<0.0001
Treatment127.708 *25.231 *
<0.0001<0.0001
Time × Treatment40.99622.6241
0.47900.0005
Residual30
1 Based on 9999 permutations; data = Pseudo-F statistic, p-value. * Dominant component of variation.
Table 11. Spatio-temporal variation in annual mean geo-ecological fish functional group abundance in control and restored plots.
Table 11. Spatio-temporal variation in annual mean geo-ecological fish functional group abundance in control and restored plots.
Variables 108C12C16C20C23C08R12R16R20R23R
FMBio4.758.2512.2513.0010.7515.5025.2539.0029.2525.50
±2.93±5.33±1.67±1.96±1.67±11.88±19.91±12.24±5.27±4.04
FMBre0.000.000.000.000.2513.7520.7530.5020.2518.25
±0.00±0.00±0.00±0.00±0.49±10.01±16.98±12.43±6.76±8.59
SPI16.5025.7541.5043.7536.001.754.256.507.506.00
±8.33±9.34±4.83±6.57±5.60±2.02±3.78±3.62±1.27±4.00
SRM16.0025.2541.0042.7536.000.000.251.751.501.25
±7.46±9.17±5.60±6.99±5.60±0.00±0.49±0.94±0.98±1.23
STr6.2512.2525.2524.7523.51.255.006.756.753.75
±3.78±6.47±3.24±5.02±6.22±1.47±2.88±3.87±2.58±5.45
1 08 = 2008; 12 = 2012; 16 = 2016; 20 = 2020; 23 = 2023; C = Control plots (non-restored); R = Restored plots. Mean ± 95% confidence intervals. FMBio = Framework modifiers by bioerosion; FMBre = Framework modifiers by breakage; SPI = Sediment producers by intestine production; SRM = Sediment reworkers and mixers; STr = Sediment transporters.
Table 12. Summary of a two-way crossed PERMANOVA test of the spatio-temporal variation in fish geo-ecological functional group abundance in restored and control plots.
Table 12. Summary of a two-way crossed PERMANOVA test of the spatio-temporal variation in fish geo-ecological functional group abundance in restored and control plots.
Source 1dfFMBio 2FMBreSPISRMSTr
Time46.312.76 *12.5612.2210.87
0.00040.0387<0.0001<0.0001<0.0001
Treatment131.86 *2.6197.95 *90.44 *58.33 *
<0.00010.1124<0.0001<0.0001<0.0001
Time × Treatment41.151.051.541.592.26
0.34520.39240.17800.16480.0327
Residual30
1 Based on 9999 permutations; data = Pseudo-F statistic, p-value. 2 FMBio = Framework modifiers (bioeroders); FMBre = Framework modifiers (breakage); SPI = Sediment producers (intestine production); SRM = Sediment reworking and mixing; STr = Sediment transporters. * Dominant component of variation.
Table 13. Spatio-temporal variation in annual mean fish biodiversity measures (taxonomic distinctness and phylogenetic diversity) in control and restored plots.
Table 13. Spatio-temporal variation in annual mean fish biodiversity measures (taxonomic distinctness and phylogenetic diversity) in control and restored plots.
Variables 108C12C16C20C23C08R12R16R20R23R
Tax Div, (Delta, ∆)78.7480.0584.1284.8181.1682.0285.6589.9789.1586.78
±5.23±3.50±1.71±2.03±2.09±4.71±2.54±1.14±0.84±1.20
TD (Delta*, ∆*)85.2285.7789.3089.6489.0687.3789.1292.3591.9090.37
±4.38±4.49±1.49±2.43±2.44±3.40±2.47±1.50±1.03±1.24
AvTD (Delta+, ∆+)84.5585.6589.2589.6288.6788.4790.0393.2293.0091.44
±6.56±5.82±2.03±2.96±3.34±3.68±2.13±1.23±0.97±1.51
TTD (sDelta+, s∆+)529.69711.411025.361095.35687.201005.421750.882607.382256.701941.58
±172.90±149.02±213.35±129.88±86.98±370.76±603.42±416.35±245.88±105.82
VarTD (Lambda+, Λ+)638.25752.39478.46456.56669.49498.58402.53257.87286.21373.00
±236.56±258.28±164.05±43.26±152.24±266.99±85.78±10.45±35.53±53.20
AvPD (Φ+)72.7868.7368.1466.2768.8768.2664.8666.7467.1562.91
±5.81±3.16±4.53±6.47±6.69±4.80±6.47±3.68±2.43±5.11
Faith’s PD (sΦ+)450.00568.75781.25806.25531.25781.251237.51856.251631.251331.25
±114.91±100.77±155.43±88.05±54.32±312.07±355.88±232.75±203.39±36.75
1 08 = 2008; 12 = 2012; 16 = 2016; 20 = 2020; 23 = 2023; C = Control plots (non-restored); R = Restored plots. Mean ± 95% confidence intervals. (a) Taxonomic diversity (Delta, ∆); (b) Taxonomic distinctness—TD (Delta*, ∆*); (c) Average taxonomic distinctness—AvTD (Delta+, ∆+); (d) Total taxonomic distinctness—TTD (sDelta+, s∆+); (e) Variation in taxonomic distinctness—VarTD (Lambda+, Λ+); (f) Average phylogenetic diversity—AvPD (Φ+); (g) Total phylogenetic diversity—Faith’s PD (sΦ+).
Table 14. Summary of a two-way crossed PERMANOVA test of the spatio-temporal variation in Log10-transformed fish biodiversity measures in restored and control plots.
Table 14. Summary of a two-way crossed PERMANOVA test of the spatio-temporal variation in Log10-transformed fish biodiversity measures in restored and control plots.
Source 1df2∆*+s∆+Λ+Φ+ 2+
Time47.214.142.7317.254.260.9315.85
0.00110.00760.0404<0.00010.00590.9325<0.0001
Treatment126.42 *7.17 *10.01 *131.8 *2.55 *3.17126.0 *
<0.00010.01290.0021<0.0001<0.00010.0829<0.0001
Time × Treatment40.240.160.071.060.310.581.16
0.92130.96600.99140.39590.87700.67100.3475
Residual30
1 Based on 9999 permutations; data = Pseudo-F statistic, p-value. 2 ∆ = Taxonomic diversity (Delta); ∆* = Taxonomic distinctness (Delta*); ∆+ = Average taxonomic distinctness—AvTD (Delta+); s∆+ = Total taxonomic distinctness—TTD (sDelta+); Λ+ = Variation in taxonomic distinctness—VarTD (Lambda+); Φ+ = Average phylogenetic diversity—AvPD; sΦ+ = Total phylogenetic diversity—Faith’s PD. * Dominant component of variation.
Disclaimer/Publisher’s Note: The statements, opinions and data contained in all publications are solely those of the individual author(s) and contributor(s) and not of MDPI and/or the editor(s). MDPI and/or the editor(s) disclaim responsibility for any injury to people or property resulting from any ideas, methods, instructions or products referred to in the content.

Share and Cite

MDPI and ACS Style

Hernández-Delgado, E.A.; Laureano, R. Bringing Back Reef Fish: Sustainable Impacts of Community-Based Restoration of Elkhorn Coral (Acropora palmata) in Vega Baja, Puerto Rico (2008–2023). Sustainability 2024, 16, 5985. https://doi.org/10.3390/su16145985

AMA Style

Hernández-Delgado EA, Laureano R. Bringing Back Reef Fish: Sustainable Impacts of Community-Based Restoration of Elkhorn Coral (Acropora palmata) in Vega Baja, Puerto Rico (2008–2023). Sustainability. 2024; 16(14):5985. https://doi.org/10.3390/su16145985

Chicago/Turabian Style

Hernández-Delgado, Edwin A., and Ricardo Laureano. 2024. "Bringing Back Reef Fish: Sustainable Impacts of Community-Based Restoration of Elkhorn Coral (Acropora palmata) in Vega Baja, Puerto Rico (2008–2023)" Sustainability 16, no. 14: 5985. https://doi.org/10.3390/su16145985

APA Style

Hernández-Delgado, E. A., & Laureano, R. (2024). Bringing Back Reef Fish: Sustainable Impacts of Community-Based Restoration of Elkhorn Coral (Acropora palmata) in Vega Baja, Puerto Rico (2008–2023). Sustainability, 16(14), 5985. https://doi.org/10.3390/su16145985

Note that from the first issue of 2016, this journal uses article numbers instead of page numbers. See further details here.

Article Metrics

Back to TopTop