Mechanical Damage and Freeze–Thaw Damage of Concrete with Recycled Brick Coarse Aggregate
Abstract
1. Introduction
2. Test Materials and Methods
2.1. Materials
2.2. Mixing Proportions
2.3. Methods
2.3.1. Mechanical Performance Test Sets
2.3.2. Frost Resistance Test Sets
2.3.3. Scanning Electron Microscopy (SEM)
3. Results and Discussion
3.1. Analysis of the Mechanical Performance
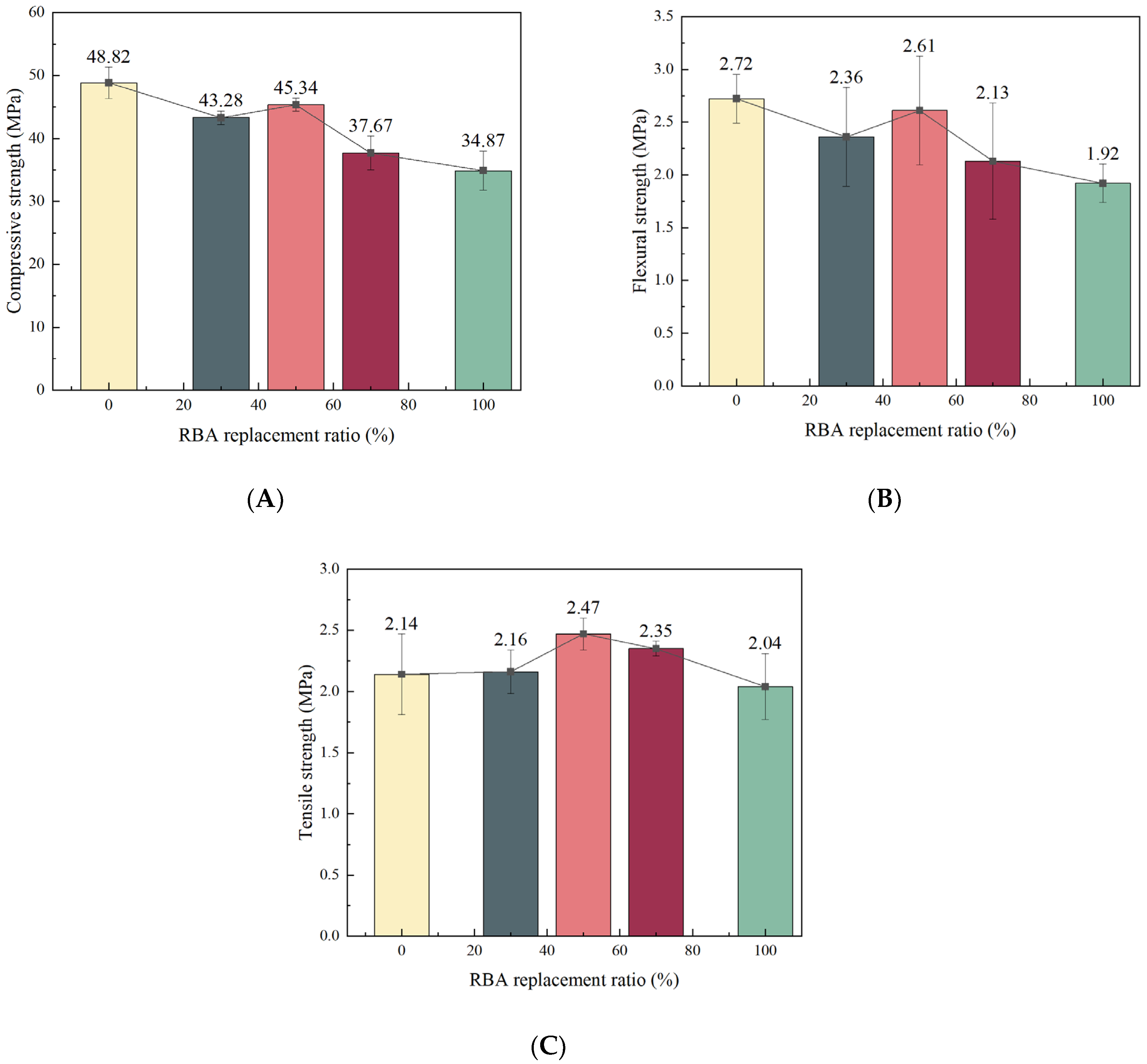
3.1.1. Mechanical Strength
3.1.2. Tensile–Compression Ratio (TCR)
3.2. Analysis of Frost Resistance
3.2.1. Apparent Characteristics
3.2.2. Mass Loss
3.2.3. Relative Dynamic Elastic Modulus (RDEM)
3.3. Freezing and Thawing Damage
3.3.1. Quantitative Analysis of the Influence of Freeze–Thaw Damage Factors
- (1)
- The original matrix D is divided into several sequences, where X represents the comparison sequence and Y represents the reference sequence.
- (2)
- D′ is the matrix of D after dimensionless processing.
- (3)
- The difference matrix Δ is calculated.
- (4)
- The two-stage maximum value M and two-stage minimum value m of Δ are calculated.
- (5)
- The correlation coefficients are calculated, where ρ is 0.5.
- (6)
- The density value of the gray correlation distribution is calculated.
- (7)
- The gray correlation entropy is calculated.
- (8)
- The gray entropy correlation is calculated, where Hmax = lnk, and k was 30.
3.3.2. Freezing and Thawing Damage Model
- (1)
- The raw matrix X(0) is set as:
- (2)
- The raw matrix X(0) was accumulated once to obtain the accumulated sequence matrix X(1):
- (3)
- The first-order linear differential equation of GM(1, 1) is:
- (4)
- The known data were discrete, and Equation (12) can be transformed as:
- (5)
- To eliminate the randomness of the data, the new matrix Z(1)(m) was defined:
- (6)
- Equation (7) was carried into Equation (6) as follows:
- (7)
- Equation (8) can be expressed in matrix form as:
- (8)
- Using the least squares method, it is solved: Using the least squares method, it is solved:
- (9)
- Bring the parameters into Equation (5) and solve it:
- (10)
- By decreasing the cumulative series and solving it:
3.4. Freezing and Thawing Damage Mechanism
4. Conclusions
- (1)
- RBA had a deteriorating influence on the compressive and flexural properties of concrete, while it had an enhancing influence on the tensile property and plasticity to some extent, and the optimum substitution rate for the mechanical strength was 50%.
- (2)
- As the freeze–thaw cycle proceeds, gradually increasing the degree of apparent damage, as well as mass loss performed first to descend and then ascend, the RDEM gradually decreased, and the higher the RBA substitution rate was, the better the frost resistance of concrete.
- (3)
- The gray entropy correlations between FTC, NCA, RBA, and DN were 0.9979, 0.9914, and 0.9876, respectively. The R2 of the GM (1, 1) freezing and thawing damage model was higher than 0.87, which can accurately predict the freeze–thaw damage of RBA concrete.
- (4)
- The crack development area of the RBA concrete ITZ after freeze–thaw cycling was smaller compared with ordinary concrete. Based on this phenomenon, the freeze–thaw mechanism of action of RBA concrete was investigated.
Author Contributions
Funding
Institutional Review Board Statement
Informed Consent Statement
Data Availability Statement
Conflicts of Interest
References
- Xia, P.; Khan, S.; Tahir, M.; Hassam, M.; Gong, F.; Zhao, Y. Characterizations and quantification of freeze-thaw behaviors of recycled brick aggregate concrete. J. Build. Eng. 2024, 86, 108821. [Google Scholar]
- Aslam, M.S.; Huang, B.; Cui, L. Review of construction and demolition waste management in China and USA. J. Environ. Manag. 2020, 264, 110445. [Google Scholar] [CrossRef] [PubMed]
- Linghu, K.J. Research on Meso-Scale Diffusion Behavior Numerical Simulation of Recycled Concrete by Chloride; Xi’an University of Technology: Xi’an, China, 2023. (In Chinese) [Google Scholar]
- Yang, X.T. Study on Activation and Properties of Waste Clay Brick Powder; Shenyang Jianzhu University: Shenyang, China, 2021. (In Chinese) [Google Scholar]
- Su, T.; Wu, J.; Yang, G.; Zou, Z. Bond behavior between recycled coarse aggregate concrete and steel bar after salt-frost cycles. Constr. Build. Mater. 2019, 226, 673–685. [Google Scholar] [CrossRef]
- Gong, S.; Wang, T.; Hasan, M.M.; Mei, X.; Tan, Z.; Su, T.; Cao, F. Effect of polypropylene fiber and nano-silica on the compressive strength and frost resistance of recycled brick aggregate concrete. Nanotechnol. Rev. 2023, 12, 20230174. [Google Scholar] [CrossRef]
- Wang, T.; Wang, Q.S.; Cui, S.A.; Yi, H.; Su, T.; Tan, Z. Effects of nanomaterials reinforced aggregate on mechanical properties and microstructure of recycled brick aggregate concrete. Mater. Sci. 2023, 29, 347–355. [Google Scholar] [CrossRef]
- Gong, S.; Bai, L.; Tan, Z.; Xu, L.; Bai, X.; Huang, Z. Mechanical properties of polypropylene fiber recycled brick aggregate concrete and its influencing factors by gray correlation analysis. Sustainability 2023, 15, 11135. [Google Scholar] [CrossRef]
- Cachim, P.B. Mechanical properties of brick aggregate concrete. Constr. Build. Mater. 2009, 23, 1292–1297. [Google Scholar] [CrossRef]
- Xu, L.; Su, W.; Su, T. Influence of recycled clay brick aggregate on the mechanical properties of concrete. Rev. Adv. Mater. Sci. 2022, 61, 372–380. [Google Scholar] [CrossRef]
- Wang, T.; Cui, S.; Ren, X.; Zhang, W.; Yang, X.; Gong, S.; Yang, D.; Li, B.; Zhang, W.; Su, T.; et al. Study on the mechanical properties and microstructure of recycled brick aggregate concrete with waste fiber. Rev. Adv. Mater. Sci. 2024, 63, 20230175. [Google Scholar] [CrossRef]
- Nepomuceno, M.C.; Isidoro, R.A.; Catarino, J.P. Mechanical performance evaluation of concrete made with recycled ceramic coarse aggregates from industrial brick waste. Constr. Build. Mater. 2018, 165, 284–294. [Google Scholar] [CrossRef]
- Ge, Z.; Feng, Y.; Yuan, H.; Zhang, H.; Sun, R.; Wang, Z. Durability and shrinkage performance of self-compacting concrete containing recycled fine clay brick aggregate. Constr. Build. Mater. 2021, 308, 125041. [Google Scholar] [CrossRef]
- Ji, Y.; Zhang, H. Frost resistance investigation of fiber reinforced recycled brick aggregate cementitious materials. Sci. Rep. 2022, 12, 15311. [Google Scholar] [CrossRef] [PubMed]
- Ji, Y.; Wang, D. Durability of recycled aggregate concrete in cold regions. Case Stud. Constr. Mater. 2022, 17, e01475. [Google Scholar] [CrossRef]
- Qiu, J.; Li, L.; Li, L.; Luan, X.; Guan, X.; Niu, G. Study on the deterioration characteristics and mechanisms of recycled brick-concrete aggregate concrete under load-freeze-thaw coupling. Constr. Build. Mater. 2024, 413, 134817. [Google Scholar] [CrossRef]
- Zheng, C.; Lou, C.; Du, G.; Li, X.; Liu, Z.; Li, L. Mechanical properties of recycled concrete with demolished waste concrete aggregate and clay brick aggregate. Results Phys. 2018, 9, 1317–1322. [Google Scholar] [CrossRef]
- Yang, J.; Du, Q.; Bao, Y. Concrete with recycled concrete aggregate and crushed clay bricks. Constr. Build. Mater. 2011, 25, 1935–1945. [Google Scholar] [CrossRef]
- Su, T.; Wang, T.; Zhang, Z.; Sun, X.; Gong, S.; Mei, X.; Tan, Z.; Cui, S. Mechanical properties and frost resistance of recycled brick aggregate concrete modified by nano-SiO2. Nanotechnol. Rev. 2023, 12, 20230576. [Google Scholar] [CrossRef]
- Cui, S.; Wang, T.; Zhang, Z.; Sun, X.; Li, J.; Li, B.; Zhang, W.; Su, T.; Cao, F. Frost resistance and life prediction of recycled brick aggregate concrete with waste polypropylene fiber. Rev. Adv. Mater. Sci. 2023, 62, 20230154. [Google Scholar] [CrossRef]
- Sun, D.; Shen, S.; Huang, W.; Liu, K.; Wang, A.; Chen, J. A review of quality of recycled aggregate and its effect on durability of recycled aggregate concrete. Mater. Express 2022, 12, 1415–1426. [Google Scholar] [CrossRef]
- Powers, T.C. A working hypothesis for further studies of frost resistance of concrete. J. Proc. 1945, 41, 245–272. [Google Scholar]
- Powers, T.C.; Helmuth, R.A. Theory of volume changes in hardened portland-cement paste during freezing. Highw. Res. Board Proc. 1953, 32, 285–297. [Google Scholar]
- Scherer, G.W. Crystallization in pores. Cem. Concr. Res. 1999, 29, 1347–1358. [Google Scholar] [CrossRef]
- Liu, L.; Ye, G.; Schlangen, E.; Chen, H.; Qian, Z.; Sun, W.; van Breugel, K. Modeling of the internal damage of saturated cement paste due to ice crystallization pressure during freezing. Cem. Concr. Compos. 2011, 33, 562–571. [Google Scholar] [CrossRef]
- Izadifar, M.; Dolado, J.S.; Thissen, P.; Ukrainczyk, N.; Koenders, E.; Ayuela, A. Theoretical elastic constants of tobermorite enhanced with reduced graphene oxide through hydroxyl vs. epoxy functionalization: A first-principles study. J. Phys. Chem. C 2023, 127, 18117–18126. [Google Scholar] [CrossRef]
- Izadifar, M.; Dolado, J.S.; Thissen, P.; Ayuela, A. Interactions between reduced graphene oxide with monomers of (calcium) silicate hydrates: A first-principles study. Nanomaterials 2021, 11, 2248. [Google Scholar] [CrossRef] [PubMed]
- GB/T 39698-2020; Confirmation Methods for Delivering Common Portland Cement. State Market Regulatory Administration: Beijing, China, 2020. (In Chinese)
- JGJ 52-2006; Standard for Technical Requirements and Test Method of Sand and Crushed Stone for Ordinary Concrete. China Academy of Building Research: Beijing, China, 2006. (In Chinese)
- GB/T 50081-2019; Standard for Test Method of Mechanical and Physical Performance Concrete. China Architecture and Building Press: Beijing, China, 2019. (In Chinese)
- Liu, L.J. Effect of Broken Brick and Polypropylene Fiber on Mechanics, Impermeability and Frost Resistance of Concrete; North China University of Water Resources and Electric Power: Zhengzhou, China, 2019. (In Chinese) [Google Scholar]
- GB/T 50082-2009; Standard for Test Methods of Long-Term Performance and Durability of Ordinary Concrete. Ministry of Housing and Urban-Rural Development of the People’s Republic of China: Beijing, China, 2009. (In Chinese)
- Zhu, M.Q. Experimental Study on Mix Proportion and Basic Mechanical Properties of Recycled Brick Aggregate Concrete; Xi’an University of Architecture and Technology: Xi’an, China, 2020. (In Chinese) [Google Scholar]
- Liang, L. Experimental Study on the Effect of Brick and Old Mortar Content on the Mechanical Properties of Recycled Concrete; Guilin University of Technology: Guilin, China, 2022. (In Chinese) [Google Scholar]
- Xiao, B. Experimental Study on the Basic Mechanical Properties of Recycled Aggregate Concrete; Wuhan University: Wuhan, China, 2019. (In Chinese) [Google Scholar]
- Liu, X.; Wu, J.; Zhao, X.; Yan, P.; Ji, W. Effect of brick waste content on mechanical properties of mixed recycled concrete. Constr. Build. Mater. 2021, 292, 123320. [Google Scholar] [CrossRef]
- Ge, P.; Huang, W.; Zhang, J.; Quan, W.; Guo, Y. Mix proportion design method of recycled brick aggregate concrete based on aggregate skeleton theory. Constr. Build. Mater. 2021, 304, 124584. [Google Scholar] [CrossRef]
- Xiao, J.Z.; Li, W.G.; Poon, C.S. Recent studies on mechanical properties of recycled aggregate concrete in China—A review. Sci. China Technol. Sci. 2012, 55, 1463–1480. [Google Scholar] [CrossRef]
- Poon, C.S.; Chan, D. Paving blocks made with recycled concrete aggregate and crushed clay brick. Constr. Build. Mater. 2006, 20, 569–577. [Google Scholar] [CrossRef]
- Shang, H.; Yang, S.; Niu, X. Mechanical behavior of different types of concrete under multiaxial tension–compression. Constr. Build. Mater. 2014, 73, 764–770. [Google Scholar] [CrossRef]
- Paredes, J.A.; Barbat, A.H.; Oller, S. A compression-tension concrete damage model, applied to a wind turbine reinforced concrete tower. Eng. Struct. 2011, 33, 3559–3569. [Google Scholar] [CrossRef]
- Jin, L.; Li, J.; Yu, W.; Du, X. Modelling dynamic failure of geometrical-similar concrete subjected to tension-compression loads: Effect of strain rate and lateral stress ratio. Eng. Fract. Mech. 2022, 271, 108661. [Google Scholar] [CrossRef]
- Fehling, E.; Leutbecher, T.; Roeder, F.K. Compression-tension strength of reinforced and fiber-reinforced concrete. ACI Struct. J. 2011, 108, 350–359. [Google Scholar]
- Wu, S.Y. Effect of PVA Modified Recycled Aggregate on Properties of Recycled Concrete; Anhui University of Science and Technology: Huainan, China, 2019. (In Chinese) [Google Scholar]
- Liu, W.H. Experimental Research on Durability of Recycled Concrete Porous Brick and Frost Resistance Index of Brick; Changsha University of Science and Technology: Changsha, China, 2012. (In Chinese) [Google Scholar]
- Li, P.F. The Experimental Research on Regeneration Aggregate and Proportioning of Recycled Concrete Brick; Changsha University of Science and Technology: Changsha, China, 2011. (In Chinese) [Google Scholar]
- Wu, J.; Jing, X.; Wang, Z. Uni-axial compressive stress-strain relation of recycled coarse aggregate concrete after freezing and thawing cycles. Constr. Build. Mater. 2017, 134, 210–219. [Google Scholar] [CrossRef]
- Yan, P.; Wu, J.; Lin, D.; Liu, X. Uniaxial compressive stress–strain relationship of mixed recycled aggregate concrete. Constr. Build. Mater. 2022, 350, 128663. [Google Scholar] [CrossRef]
- Xiao, Q.H.; Li, Q.; Cao, Z.Y.; Tian, W.Y. The deterioration law of recycled concrete under the combined effects of freeze-thaw and sulfate attack. Constr. Build. Mater. 2019, 200, 344–355. [Google Scholar] [CrossRef]
- Niu, H.C.; Fan, Y.H.; Zhang, X.G.; Yin, X. Experimental study on the freeze-thaw resistance of recycled concrete with different replacement ratios. J. Mater. Sci. Eng. 2018, 36, 615–620. (In Chinese) [Google Scholar]
- Wei, S.H. Research on Influence of Mineral Admixture on Chloride Corrosion Resistance and Frost Resistance of Recycled Concrete; China University of Mining and Technology: Beijing, China, 2020. (In Chinese) [Google Scholar]
- Wang, H.; Zhu, P.; Yan, X.; Liu, H.; Zhu, L.; Wang, X. Effect of silica fume on frost resistance and recyclability potential of recycled aggregate concrete under freeze-thaw environment. Constr. Build. Mater. 2023, 409, 134109. [Google Scholar] [CrossRef]
- Yang, C.; Zhang, J.; Wang, J.; Guo, M. Post-evaluation of frost resistance of cement concrete entities based on pore spacing factors of hardened concrete. Constr. Build. Mater. 2024, 411, 134342. [Google Scholar] [CrossRef]
- Lu, J.; Liu, J.; Yang, H.; Wan, X.; Gao, J.; Zhang, J.; Li, P. Experimental investigation on the mechanical properties and pore structure deterioration of fiber-reinforced concrete in different freeze-thaw media. Constr. Build. Mater. 2022, 350, 128887. [Google Scholar] [CrossRef]
- Lin, H.; Takasu, K.; Suyama, H.; Koyamada, H.; Liu, S. A study on properties, static and dynamic elastic modulus of recycled concrete under the influence of modified fly ash. Constr. Build. Mater. 2022, 347, 128585. [Google Scholar] [CrossRef]
- Lydon, F.D.; Iacovou, M. Some factors affecting the dynamic modulus of elasticity of high strength concrete. Cem. Concr. Res. 1995, 25, 1246–1256. [Google Scholar] [CrossRef]
- Wang, B.; Yan, L.; Fu, Q.; Kasal, B. A comprehensive review on recycled aggregate and recycled aggregate concrete. Resour. Conserv. Recycl. 2021, 171, 105565. [Google Scholar] [CrossRef]
- Tam, V.W.Y.; Soomro, M.; Evangelista, A.C.J. A review of recycled aggregate in concrete applications (2000–2017). Constr. Build. Mater. 2018, 172, 272–292. [Google Scholar] [CrossRef]
- Wong, C.L.; Mo, K.H.; Yap, S.P.; Alengaram, U.J.; Ling, T.C. Potential use of brick waste as alternate concrete-making materials: A review. J. Clean. Prod. 2018, 195, 226–239. [Google Scholar] [CrossRef]
- Chen, F.; Qiao, P. Probabilistic damage modeling and service-life prediction of concrete under freeze–thaw action. Mater. Struct. 2015, 48, 2697–2711. [Google Scholar] [CrossRef]
- Dong, W.; Shen, X.-D.; Xue, H.-J.; He, J.; Liu, Y. Research on the freeze-thaw cyclic test and damage model of Aeolian sand lightweight aggregate concrete. Constr. Build. Mater. 2016, 123, 792–799. [Google Scholar] [CrossRef]
- Yang, D.P. Studies on Durability and Service Life Prediction of Hydraulic Concrete in Northern China; Northeastern University: Liaoning, China, 2019. (In Chinese) [Google Scholar]
- Han, X.Y. Experimental Study on the Predictive Model of Hydraulic Rubberized Concrete Mechanical Properties and Freeze-thaw Damage; North China University of Water Resources and Electric Power: Zhengzhou, China, 2022. (In Chinese) [Google Scholar]
- Lan, S.L.; Tian, W.; Zhang, H.R.; Han, Z.; Li, H. Durability evaluation and life prediction of steel slag coarse aggregate concrete based on entropy weight method and grey theory. Bull. Chin. Ceram. Soc. 2023, 42, 3710–3721. (In Chinese) [Google Scholar]
- Lu, Z.; Feng, Z.-G.; Yao, D.; Li, X.; Ji, H. Freeze-thaw resistance of Ultra-High performance concrete: Dependence on concrete composition. Constr. Build. Mater. 2021, 293, 123523. [Google Scholar] [CrossRef]
- Sun, B.Q.; Liu, G.Z.; Liu, Y.L. Research on grey forecasting model for concrete carbonation. J. Build. Mater. 2012, 15, 42–47+115. (In Chinese) [Google Scholar]
- Gao, C.; Kong, X.Z.; Shen, X.D. Freeze-thaw Resistance Evaluation of Lightweight Aggregate Concrete with Stress Damage Based on GM(1,1). Adv. Eng. Sci. 2021, 53, 184–190. (In Chinese) [Google Scholar]
- Qin, Y.; Lyu, G.; Guan, K.; Zhou, H. Durability assessment and life prediction of concrete by entropy weight method. J. Chin. Ceram. Soc. 2023, 51, 1344–1354. (In Chinese) [Google Scholar]
- Cheng, X.; Tian, W.; Gao, J.; Gao, Y. Performance evaluation and lifetime prediction of steel slag coarse aggregate concrete under sulfate attack. Constr. Build. Mater. 2022, 344, 128203. [Google Scholar] [CrossRef]
- Gong, L.; Liang, Y.; Yu, X.; Du, Q. Damage prediction of hydraulic concrete in severe cold region based on FOTP-GM (1, 1) model. KSCE J. Civ. Eng. 2023, 27, 2993–3005. [Google Scholar] [CrossRef]
- Zhang, S.P.; Deng, M. Thermodynamic considerations on deterioration mechanism of concrete caused by freezing. Bull. Chin. Ceram. Soc. 2008, 4, 740–743. (In Chinese) [Google Scholar]
- Ren, J.; Lai, Y. Study on the durability and failure mechanism of concrete modified with nanoparticles and polypropylene fiber under freeze-thaw cycles and sulfate attack. Cold Reg. Sci. Technol. 2021, 188, 103301. [Google Scholar] [CrossRef]
- Algin, Z.; Gerginci, S. Freeze-thaw resistance and water permeability properties of roller compacted concrete produced with macro synthetic fibre. Constr. Build. Mater. 2020, 234, 117382. [Google Scholar] [CrossRef]
- Li, Y. The Durability and Deterioration Mechanism of Recycle Daggregate Concrete Subjected to Compound Erosion; Xi’an University of Technology: Xi’an, China, 2018. (In Chinese) [Google Scholar]
- Xiao, Z.; Lai, Y.; Zhang, M. Study on the freezing temperature of saline soil. Acta Geotech. 2018, 13, 195–205. [Google Scholar] [CrossRef]
- Cao, Z.Y. Study on Damage of Recycled Concrete under Freeze-Thaw and Sulfate; Xi’an University of Science and Technology: Xi’an, China, 2020. (In Chinese) [Google Scholar]
- Wei, Y.M.; Chai, J.R.; Qin, Y. Effect of pore distribution of recycled concrete on frost resistance under freeze-thaw cycling. Bull. Chin. Ceram. Soc. 2018, 37, 825–830. (In Chinese) [Google Scholar]
- Gao, X.F.; Lo, Y.T.; Tam, C.M. Investigation of micro-cracks and microstructure of high performance lightweight aggregate concrete. Build. Environ. 2002, 37, 485–489. [Google Scholar] [CrossRef]















| Compositions | Cement |
|---|---|
| CaO | 60.24 |
| SiO2 | 22.21 |
| Al2O3 | 6.41 |
| Fe2O3 | 3.04 |
| SO3 | 2.95 |
| MgO | 1.43 |
| Physical and Mechanical Performance | Cement | |
|---|---|---|
| Specific surface area (m2/kg) | 325 | |
| Setting time (min) | Initial | 187 |
| Final | 253 | |
| Ignition loss (%) | 1.7 | |
| Soundness | Qualified | |
| Compressive strength (MPa) | 3d | 6.3 |
| 28d | 8.2 | |
| Flexural strength (MPa) | 3d | 22.3 |
| 28d | 48.1 |
| Properties | NCA | RBA |
|---|---|---|
| Water absorption (%) | 0.9 | 11.9 |
| Apparent density (kg/m3) | 2635 | 2100 |
| Crushing index (%) | 7.5 | 29.5 |
| Mud content (%) | 0.6 | 1.1 |
| Maximum particle size (mm) | 31.6 | 31.5 |
| Specimen | NCA (%) | RBA (%) | Sand (kg/m3) | Cement (kg/m3) | Water (kg/m3) |
|---|---|---|---|---|---|
| R0 | 100 | 0 | 580.66 | 455.56 | 205 |
| R30 | 70 | 30 | 580.66 | 455.56 | 205 |
| R50 | 50 | 50 | 580.66 | 455.56 | 205 |
| R70 | 30 | 70 | 580.66 | 455.56 | 205 |
| R100 | 0 | 100 | 580.66 | 455.56 | 205 |
| FTC (Times) | R0 | R30 | R50 | R70 | R100 |
|---|---|---|---|---|---|
| 10 | 4.76 | 3.29 | 2.67 | 3.1 | 1.21 |
| 20 | 12.34 | 13.66 | 9.86 | 7.32 | 5.57 |
| 30 | 19.67 | 21.56 | 11.57 | 12.46 | 10.86 |
| 40 | 24.88 | 23.79 | 16.27 | 16.11 | 14.23 |
| 50 | 32.22 | 31.86 | 20.22 | 19.86 | 18.61 |
Disclaimer/Publisher’s Note: The statements, opinions and data contained in all publications are solely those of the individual author(s) and contributor(s) and not of MDPI and/or the editor(s). MDPI and/or the editor(s) disclaim responsibility for any injury to people or property resulting from any ideas, methods, instructions or products referred to in the content. |
© 2024 by the authors. Licensee MDPI, Basel, Switzerland. This article is an open access article distributed under the terms and conditions of the Creative Commons Attribution (CC BY) license (https://creativecommons.org/licenses/by/4.0/).
Share and Cite
Tan, G.; Gong, S.; Wang, T.; Li, M.; Li, J.; Ren, X.; Zhang, W.; Wang, C.; Cao, F.; Su, T. Mechanical Damage and Freeze–Thaw Damage of Concrete with Recycled Brick Coarse Aggregate. Sustainability 2024, 16, 5643. https://doi.org/10.3390/su16135643
Tan G, Gong S, Wang T, Li M, Li J, Ren X, Zhang W, Wang C, Cao F, Su T. Mechanical Damage and Freeze–Thaw Damage of Concrete with Recycled Brick Coarse Aggregate. Sustainability. 2024; 16(13):5643. https://doi.org/10.3390/su16135643
Chicago/Turabian StyleTan, Guiying, Shangwei Gong, Ting Wang, Meng Li, Jiahui Li, Xiaoyu Ren, Weishen Zhang, Chenxia Wang, Fubo Cao, and Tian Su. 2024. "Mechanical Damage and Freeze–Thaw Damage of Concrete with Recycled Brick Coarse Aggregate" Sustainability 16, no. 13: 5643. https://doi.org/10.3390/su16135643
APA StyleTan, G., Gong, S., Wang, T., Li, M., Li, J., Ren, X., Zhang, W., Wang, C., Cao, F., & Su, T. (2024). Mechanical Damage and Freeze–Thaw Damage of Concrete with Recycled Brick Coarse Aggregate. Sustainability, 16(13), 5643. https://doi.org/10.3390/su16135643

