Seasonal Variations and Assessment of Surface Water Quality Using Water Quality Index (WQI) and Principal Component Analysis (PCA): A Case Study
Abstract
1. Introduction
2. Materials and Methods
2.1. Study Area Location
2.2. Water Sample Collection
2.3. Physicochemical and Heavy Metal Analysis
2.4. Water Quality Index
- The relative weight (Wi) is computed asWi = Σ(wi)/n
- Quality rating scale (qi):qi = (Ci/Si) × 100
- Sub-quality index (SIi):SIi = Wi × qi
- Overall WQI:WQI = Σ(SIi)
2.5. Statistical Analysis
3. Results and Discussion
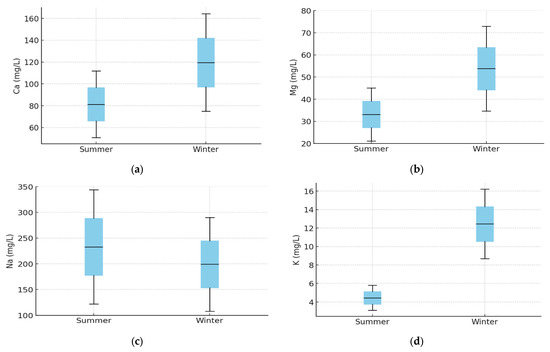
3.1. Physicochemical Characteristics
3.2. Hadrochemical Analysis of Surface Water Types
3.3. Multivariate Statistical Analysis
3.3.1. Correlation
3.3.2. Principal Component Analysis (PCA)
3.4. Water Quality Assessment Using Water Quality Index
4. Conclusions
Author Contributions
Funding
Institutional Review Board Statement
Informed Consent Statement
Data Availability Statement
Conflicts of Interest
References
- Cheng, C.; Zhang, F.; Shi, J.; Kung, H.-T. What Is the Relationship between Land Use and Surface Water Quality? A Review and Prospects from Remote Sensing Perspective. Environ. Sci. Pollut. Res. 2022, 29, 56887–56907. [Google Scholar] [CrossRef] [PubMed]
- Papa, F.; Crétaux, J.-F.; Grippa, M.; Robert, E.; Trigg, M.; Tshimanga, R.M.; Kitambo, B.; Paris, A.; Carr, A.; Fleischmann, A.S.; et al. Water Resources in Africa under Global Change: Monitoring Surface Waters from Space. Surv. Geophys. 2023, 44, 43–93. [Google Scholar] [CrossRef] [PubMed]
- Johnson, T.; Butcher, J.; Santell, S.; Schwartz, S.; Julius, S.; LeDuc, S. A Review of Climate Change Effects on Practices for Mitigating Water Quality Impacts. J. Water Clim. Change 2022, 13, 1684–1705. [Google Scholar] [CrossRef] [PubMed]
- Mashala, M.J.; Dube, T.; Mudereri, B.T.; Ayisi, K.K.; Ramudzuli, M.R. A Systematic Review on Advancements in Remote Sensing for Assessing and Monitoring Land Use and Land Cover Changes Impacts on Surface Water Resources in Semi-Arid Tropical Environments. Remote Sens. 2023, 15, 3926. [Google Scholar] [CrossRef]
- Al-Aizari, H.S.; Aslaou, F.; Al-Aizari, A.R.; Al-Odayni, A.-B.; Al-Aizari, A.-J.M.; Darwesh, N. Evaluation of Groundwater Quality and Contamination Using Groundwater Pollution Index (GPI), Nitrate Pollution Index (NPI) and GIS. Water 2023, 15, 3701. [Google Scholar] [CrossRef]
- Kolawole, A.S.; Iyiola, A.O. Environmental Pollution: Threats, Impact on Biodiversity, and Protection Strategies. In Sustainable Utilization and Conservation of Africa’s Biological Resources and Environment; Izah, S.C., Ogwu, M.C., Eds.; Sustainable Development and Biodiversity; Springer Nature: Singapore, 2023; Volume 32, pp. 377–409. ISBN 978-981-19697-3-7. [Google Scholar]
- Mai, H.; Dao, T.D.; Nguyen, T.D.; Nguyen, D.T.; Vu, T.K.; Chu, N.H.A.; Tran, M.Q.; Stragy, E. Distribution of Microplastics in Surface Water of Tropical Urban Lakes: A Case Study in Ha Noi, Vietnam. Vietnam J. Earth Sci. 2023, 45, 388–404. [Google Scholar] [CrossRef] [PubMed]
- Qu, J.; Li, Z.; Wang, S.; Lin, Q.; Zhang, Z.; Wu, Z.; Hu, Q.; Jiang, Z.; Tao, Y.; Zhang, Y. Enhanced Degradation of Atrazine from Soil with Recyclable Magnetic Carbon-Based Bacterial Pellets: Performance and Mechanism. Chem. Eng. J. 2024, 490, 151662. [Google Scholar] [CrossRef]
- Alsubih, M.; Mallick, J.; Islam, A.R.M.T.; Almesfer, M.K.; Kahla, N.B.; Talukdar, S.; Ahmed, M. Assessing Surface Water Quality for Irrigation Purposes in Some Dams of Asir Region, Saudi Arabia Using Multi-Statistical Modeling Approaches. Water 2022, 14, 1439. [Google Scholar] [CrossRef]
- Briciu, A.-E.; Graur, A.; Oprea, D.I. Water Quality Index of Suceava River in Suceava City Metropolitan Area. Water 2020, 12, 2111. [Google Scholar] [CrossRef]
- Frîncu, R.-M. Long-Term Trends in Water Quality Indices in the Lower Danube and Tributaries in Romania (1996–2017). Int. J. Environ. Res. Public Health 2021, 18, 1665. [Google Scholar] [CrossRef]
- Gaagai, A.; Aouissi, H.A.; Bencedira, S.; Hinge, G.; Athamena, A.; Heddam, S.; Gad, M.; Elsherbiny, O.; Elsayed, S.; Eid, M.H. Application of Water Quality Indices, Machine Learning Approaches, and GIS to Identify Groundwater Quality for Irrigation Purposes: A Case Study of Sahara Aquifer, Doucen Plain, Algeria. Water 2023, 15, 289. [Google Scholar] [CrossRef]
- Kausher, R.; Singh, R.; Sinha, A.K.; Sethy, S.N.; Kumar, S.; Pandey, S.; Ragab, A.E.; Mohamed, A. Assessing Impacts of Mining-Induced Land Use Changes on Groundwater and Surface Water Quality Using Isotopic and Hydrogeochemical Signatures. Sustainability 2023, 15, 11041. [Google Scholar] [CrossRef]
- Thanh Giao, N.; Kim Anh, P.; Thi Hong Nhien, H. Spatiotemporal Analysis of Surface Water Quality in Dong Thap Province, Vietnam Using Water Quality Index and Statistical Approaches. Water 2021, 13, 336. [Google Scholar] [CrossRef]
- Malki, M.; Bouchaou, L.; Hirich, A.; Brahim, Y.A.; Choukr-Allah, R. Impact of Agricultural Practices on Groundwater Quality in Intensive Irrigated Area of Chtouka-Massa, Morocco. Sci. Total Environ. 2017, 574, 760–770. [Google Scholar] [CrossRef] [PubMed]
- Sehlaoui, H.; Hassikou, R.; Moussadek, R.; Zouahri, A.; Douaik, A.; Iiach, H.; Ghanimi, A.; Dakak, H. Evaluation of Water Quality for Agricultural Suitability in the Benslimane Region, Morocco. Environ. Monit. Assess. 2020, 192, 587. [Google Scholar] [CrossRef] [PubMed]
- Fetouani, S.; Sbaa, M.; Vanclooster, M.; Bendra, B. Assessing Ground Water Quality in the Irrigated Plain of Triffa (North-East Morocco). Agric. Water Manag. 2008, 95, 133–142. [Google Scholar] [CrossRef]
- Mrabet, R.; Moussadek, R.; Fadlaoui, A.; Van Ranst, E. Conservation Agriculture in Dry Areas of Morocco. Field Crops Res. 2012, 132, 84–94. [Google Scholar] [CrossRef]
- Ruiz, F.; Abad, M.; Olías, M.; Galán, E.; González, I.; Aguilá, E.; Hamoumi, N.; Pulido, I.; Cantano, M. The Present Environmental Scenario of the Nador Lagoon (Morocco). Environ. Res. 2006, 102, 215–229. [Google Scholar] [CrossRef]
- Lagliti, K.; Farhat, A.; Fekhaoui, M.; Tahri, L. Impact of Agricultural Products on a Ramsar Ecological Site ‘Merja Zerga’: The Case of the Quality of the Two Water Emissaries Oued Drader and Canal Nador. Int. J. Civ. Eng. Technol. 2019, 10, 73–89. [Google Scholar]
- Carruesco, C. La lagune de Moulay Bou Salham (Côte atlantique, Maroc). Un environnement côtier artificiel. Sci. Géol. Bull. Mém. 1989, 84, 145–158. [Google Scholar]
- Oussama, B.; Mkadmi, Y.; Bellaouchou, A.; Abdallah, E.A.; Mohamed, F.; Elazzouzi, E. The Water Quality of Nador Canal (Merja Zerga, Morocco): Parameters Physicochemical and Metal Trace Elements. Res. J. Pharm. Biol. Chem. Sci. 2022, 8, 339. [Google Scholar]
- Hammoumi, D.; Al-Aizari, H.S.; Alkhawlani, Z.; Chakiri, S.; Bejjaji, Z. Water Quality Assessment Using the Water Quality Index, and Geographic Information Systems in Nador Canal, Morocco. J. Environ. Earth Sci. 2024, 6, 1–16. [Google Scholar] [CrossRef]
- Bouhaddioui, M.E.; Mridekh, A.; Kili, M.; Mansouri, B.E.; Gasmi, E.H.E.; Magrane, B. Electrical and Well Log Study of the Plio-Quaternary Deposits of the Southern Part of the Rharb Basin, Northern Morocco. J. Afr. Earth Sci. 2016, 123, 110–122. [Google Scholar] [CrossRef]
- Zouhri, L.; Lamouroux, C.; Vachard, D.; Pique, A. Evidence of Flexural Extension of the Rif Foreland: The Rharb-Mamora Basin (Northern Morocco). Bull. Soc. Géol. Fr. 2002, 173, 509–514. [Google Scholar] [CrossRef]
- Chabli, A.; Chalouan, A.; Akil, M.; Galindo-Zaldívar, J.; Ruano, P.; de Galdeano, C.S.; López-Garrido, A.C.; Marín-Lechado, C.; Pedrera, A. Plio-Quaternary Paleostresses in the Atlantic Passive Margin of the Moroccan Meseta: Influence of the Central Rif Escape Tectonics Related to Eurasian-African Plate Convergence. J. Geodyn. 2014, 77, 123–134. [Google Scholar] [CrossRef]
- Rodier, J.; Legube, B.; Merlet, N. L’Analyse de L’eau; Dunod: Paris, France, 2009; 350p. [Google Scholar]
- Cirac, P. Le Bassin Sud-Rifain Occidental Au Néogène Supérieur: Évolution de la Dynamique Sédimentaire et de la Paléogéographie au Cours d’une Phase de Comblement. Ph.D. Thesis, University of Bordeaux 1, Bordeaux, France, 1985. [Google Scholar]
- Ward, J.R.; Harr, C.A. Methods for Collection and Processing of Surface-Water and Bed-Material Samples for Physical and Chemical Analyses; Books and Open-File Reports [Distributor]; US Geological Survey: Reston, VA, USA, 1990. [Google Scholar]
- Brown, R.M.; McClelland, N.I.; Deininger, R.A.; Tozer, R.G. A Water Quality Index—Do We Dare. Water Sew. Work. 1970, 117, 339–343. [Google Scholar]
- Pesce, S.F.; Wunderlin, D.A. Use of Water Quality Indices to Verify the Impact of Córdoba City (Argentina) on Suquía River. Water Res. 2000, 34, 2915–2926. [Google Scholar] [CrossRef]
- WHO. Guidelines for Drinking-Water Quality, 4th ed.; World Health Organization: Geneva, Switzerland, 2011; pp. 104–108. [Google Scholar]
- Ayers, R.S.; Westcot, D.W. Water Quality for Irrigation. In FAO Irrigation and Drainage Paper; FAO: Rome, Italy, 1985; Volume 20. [Google Scholar]
- Ahmed, I. Application of Principal Component Analysis and Analytical Hierarchical Process in Surface Water Quality Assessment in Hatta Catchment, Emirate of Dubai, UAE. In Computational Modelling in Industry 4.0; Springer: Berlin/Heidelberg, Germany, 2022; pp. 349–366. [Google Scholar]
- Sharma, M.; Kansal, A.; Jain, S.; Sharma, P. Application of Multivariate Statistical Techniques in Determining the Spatial Temporal Water Quality Variation of Ganga and Yamuna Rivers Present in Uttarakhand State, India. Water Qual. Expo. Health 2015, 7, 567–581. [Google Scholar] [CrossRef]
- Gorde, S.P.; Jadhav, M.V. Assessment of Water Quality Parameters: A Review. J. Eng. Res. Appl. 2013, 3, 2029–2035. [Google Scholar]
- Taouil, H.; Ahmed, S.I.; Assyry, A.E.; Hajjaji, N.; Srhiri, A. Water Quality Evaluation of the River Tislit-Talsint (East Morocco). J. Mater. Environ. Sci. 2013, 4, 502–509. [Google Scholar]
- Osibanjo, O.; Daso, A.P.; Gbadebo, A.M. The Impact of Industries on Surface Water Quality of River Ona and River Alaro in Oluyole Industrial Estate, Ibadan, Nigeria. Afr. J. Biotechnol. 2011, 10, 696–702. [Google Scholar]
- Arshad, M.; Shakoor, A. Irrigation Water Quality. Water Int. 2017, 12, 145–160. [Google Scholar]
- Boyd, C.E. Water Quality: An Introduction; Springer Nature: Berlin/Heidelberg, Germany, 2019. [Google Scholar]
- Eissa, M.A.; Shawky, H.; Samy, A.; Khalil, M.M.; El Malky, M. Geochemical and Isotopic Evidence of Groundwater Salinization Processes in El Dabaa Area, Northwestern Coast, Egypt. Geosciences 2018, 8, 392. [Google Scholar] [CrossRef]
- Boyd, C.E. Sulfur. In Water Quality; Springer: Berlin/Heidelberg, Germany, 2015; pp. 263–276. [Google Scholar]
- Valiente, N.; Menchen, A.; Carrey, R.; Otero, N.; Soler, A.; Sanz, D.; Gomez-Alday, J.J. Sulfur Recycling Processes in a Eutrophic Hypersaline System: Pétrola Lake (SE, Spain). Procedia Earth Planet. Sci. 2017, 17, 201–204. [Google Scholar] [CrossRef]
- Gaur, N.; Sarkar, A.; Dutta, D.; Gogoi, B.J.; Dubey, R.; Dwivedi, S.K. Evaluation of Water Quality Index and Geochemical Characteristics of Surfacewater from Tawang India. Sci. Rep. 2022, 12, 1–26. [Google Scholar]
- WHO. Molybdenum in Drinking-Water: Background Document for Development of WHO Guidelines for Drinking-Water Quality; World Health Organization: Geneva, Switzerland, 2003. [Google Scholar]
- Ramakrishnaiah, C.R.; Sadashivaiah, C.; Ranganna, G. Assessment of Water Quality Index for the Groundwater in Tumkur Taluk, Karnataka State, India. J. Chem. 2009, 6, 523–530. [Google Scholar] [CrossRef]
- Nouayti, N.; Cherif, E.K.; Algarra, M.; Pola, M.L.; Fernández, S.; Nouayti, A.; Esteves da Silva, J.C.; Driss, K.; Samlani, N.; Mohamed, H. Determination of Physicochemical Water Quality of the Ghis-Nekor Aquifer (Al Hoceima, Morocco) Using Hydrochemistry, Multiple Isotopic Tracers, and the Geographical Information System (GIS). Water 2022, 14, 606. [Google Scholar] [CrossRef]











| Parameters | Drinking | Irrigation | ||||
|---|---|---|---|---|---|---|
| WHO Standards (2011) [32] | Weight (wi) | Relative Weight (wi) | WHO Standards (Ayers and Westcot 1985) [33] | Weight (wi) | Relative Weight (wi) | |
| pH | 8 | 3 | 0.059 | 8.5 | 4 | 0.066 |
| Electrical conductivity | 750 | 5 | 0.098 | 2500 | 5 | 0.082 |
| Dissolved oxygen (mg/L) | 5 | 4 | 0.078 | 5 | 5 | 0.082 |
| Calcium (mg/L) | 75 | 2 | 0.039 | 200 | 5 | 0.082 |
| Magnesium (mg/L) | 50 | 2 | 0.039 | 100 | 5 | 0.082 |
| Sodium (mg/L) | 200 | 3 | 0.059 | 200 | 5 | 0.082 |
| Potassium (mg/L) | 12 | 3 | 0.059 | 10 | 3 | 0.049 |
| Amomum (mg/L) | 0.1 | 3 | 0.059 | 35 | 3 | 0.049 |
| Chloride (mg/L) | 200 | 4 | 0.078 | 350 | 5 | 0.082 |
| Sulphate (mg/L) | 100 | 4 | 0.078 | 250 | 5 | 0.082 |
| Bicarbonate (mg/L) | 300 | 1 | 0.020 | 400 | 2 | 0.033 |
| Nitrate (mg/L) | 50 | 5 | 0.098 | 5 | 3 | 0.049 |
| Phosphate (mg/L) | 0.1 | 3 | 0.059 | 50 | 2 | 0.033 |
| Copper (mg/L) | 1.00 | 1.00 | 0.020 | 1.00 | 1 | 0.016 |
| Iron (mg/L) | 0.50 | 3.00 | 0.059 | 0.50 | 3 | 0.049 |
| Manganese (mg/L) | 5.00 | 1.00 | 0.020 | 5.00 | 1 | 0.016 |
| Zinc (mg/L) | 1.00 | 2.00 | 0.039 | 1.00 | 2 | 0.033 |
| Lead (mg/L) | 5.00 | 1.00 | 0.020 | 50.00 | 1 | 0.016 |
| Cadmium (mg/L) | 5 | 1.00 | 0.020 | 5 | 1 | 0.016 |
| Variable | Summer | Winter | ||||
|---|---|---|---|---|---|---|
| Minimum | Maximum | Mean | Minimum | Maximum | Mean | |
| T (°C) | 27 | 39 | 29.916 | 17.6 | 25.6 | 19.764 |
| pH | 7.79 | 8.72 | 8.0995 | 7.75 | 8.43 | 7.9623 |
| EC | 960 | 2720 | 1850 | 860 | 2235 | 1434 |
| DO | 1 | 2.82 | 1.9 | 4.2 | 9.6 | 5.7 |
| Ca2+ | 50.78 | 111.77 | 79.55 | 74.97 | 164.2 | 117.88 |
| Mg2+ | 21.1 | 45.1 | 34.66 | 34.61 | 72.96 | 56.95 |
| Na+ | 122 | 343.9 | 239.6 | 107.7 | 290.2 | 202.8 |
| K2+ | 3.1 | 5.79 | 4.125 | 8.68 | 16.212 | 11.551 |
| HCO3− | 94.7 | 531.2 | 287.6 | 92.9 | 512.6 | 320.7 |
| Cl− | 184.3 | 907.6 | 537.6 | 114.6 | 542.5 | 321.9 |
| SO42− | 68.18 | 133.65 | 102.9 | 176.78 | 305.2 | 243.61 |
| PO43− | 0.01 | 1.97 | 0.1355 | 0.36 | 3.87 | 0.804 |
| NO3− | 0.27 | 37.9 | 5.04 | 1 | 92 | 14.25 |
| NH4+ | 0.23 | 0.23 | 0.2955 | 0.1 | 0.23 | 0.14364 |
| Cu | 0.01 | 0.02 | 0.02 | 0.10 | 0.50 | 0.19 |
| Fe | 0.04 | 0.21 | 0.12 | 0.14 | 0.29 | 0.22 |
| Mn | 0.02 | 0.04 | 0.02 | 0.04 | 0.06 | 0.05 |
| Zn | 0.01 | 0.02 | 0.01 | 0.01 | 0.01 | 0.01 |
| Pb | 6.66 | 16.56 | 10.49 | 10.45 | 22.75 | 15.19 |
| Cd | 2.25 | 28.6 | 11.49 | 10.45 | 22.75 | 15.19 |
| T (°C) | pH | EC | DO | Ca2+ | Mg2+ | Na+ | K+ | NH4+ | Cl− | SO42− | PO43− | HCO3− | NO3− | Cu | Fe | Mn | Zn | Pb | Cd | |
| T (°C) | 1.00 | |||||||||||||||||||
| pH | 0.15 | 1.00 | ||||||||||||||||||
| EC | −0.42 | 0.15 | 1 | |||||||||||||||||
| DO | −0.40 | 0.07 | −0.19 | 1 | ||||||||||||||||
| Ca2+ | −0.37 | 0.26 | 0.97 | −0.09 | 1 | |||||||||||||||
| Mg2+ | −0.43 | 0.07 | 0.98 | −0.27 | 0.92 | 1 | ||||||||||||||
| Na+ | −0.43 | 0.19 | 0.99 | −0.20 | 0.96 | 0.98 | 1 | |||||||||||||
| K+ | −0.31 | 0.11 | 0.79 | −0.22 | 0.74 | 0.77 | 0.79 | 1 | ||||||||||||
| NH4+ | −0.18 | −0.37 | 0.28 | −0.48 | 0.08 | 0.39 | 0.28 | 0.50 | 1 | |||||||||||
| Cl− | −0.40 | 0.22 | 0.99 | −0.16 | 0.97 | 0.96 | 0.99 | 0.81 | 0.25 | 1 | ||||||||||
| SO42− | −0.31 | 0.22 | 0.84 | −0.20 | 0.79 | 0.84 | 0.81 | 0.76 | 0.38 | 0.81 | 1 | |||||||||
| PO43− | 0.66 | 0.08 | −0.34 | −0.25 | −0.33 | −0.36 | −0.35 | −0.12 | −0.02 | −0.27 | −0.32 | 1 | ||||||||
| HCO3− | −0.37 | 0.25 | 0.98 | −0.15 | 0.97 | 0.95 | 0.97 | 0.83 | 0.26 | 0.99 | 0.85 | −0.23 | 1 | |||||||
| NO3− | −0.12 | 0.11 | 0.24 | 0.04 | 0.26 | 0.23 | 0.26 | 0.24 | −0.08 | 0.21 | 0.18 | 0.02 | 0.23 | 1 | ||||||
| Cu | −0.31 | 0.20 | 0.83 | −0.33 | 0.80 | 0.86 | 0.84 | 0.67 | 0.27 | 0.81 | 0.84 | −0.29 | 0.82 | 0.24 | 1 | |||||
| Fe | 0.24 | 0.02 | −0.21 | −0.25 | −0.22 | −0.12 | −0.20 | −0.33 | −0.03 | −0.24 | −0.06 | −0.14 | −0.25 | −0.08 | 0.00 | 1 | ||||
| Mn | 0.04 | 0.53 | −0.08 | 0.23 | −0.03 | −0.12 | −0.06 | −0.15 | −0.21 | −0.05 | 0.00 | 0.18 | −0.02 | 0.35 | −0.06 | −0.02 | 1 | |||
| Zn | −0.11 | −0.31 | −0.09 | −0.21 | −0.15 | −0.01 | −0.05 | −0.01 | 0.20 | −0.11 | −0.02 | −0.07 | −0.13 | −0.09 | 0.24 | 0.51 | −0.25 | 1 | ||
| Pb | 0.22 | −0.21 | 0.04 | −0.67 | −0.10 | 0.14 | 0.04 | 0.14 | 0.46 | 0.03 | 0.11 | 0.35 | 0.04 | −0.11 | 0.24 | 0.38 | −0.34 | 0.46 | 1 | |
| Cd | 0.24 | −0.26 | −0.05 | −0.65 | −0.19 | 0.05 | −0.05 | 0.07 | 0.45 | −0.06 | 0.03 | 0.36 | −0.05 | −0.14 | 0.15 | 0.39 | −0.36 | 0.46 | 0.99 | 1.00 |
| T (°C) | pH | EC | DO | Ca2+ | Mg2+ | Na+ | K+ | NH4+ | Cl− | SO42− | PO43− | HCO3− | NO3− | Cu | Fe | Mn | Zn | Pb | Cd | |
| T (°C) | 1.00 | |||||||||||||||||||
| pH | 0.13 | 1.00 | ||||||||||||||||||
| EC | −0.62 | 0.27 | 1.00 | |||||||||||||||||
| DO | 0.40 | 0.02 | −0.51 | 1.00 | ||||||||||||||||
| Ca2+ | −0.70 | 0.08 | 0.93 | −0.56 | 1.00 | |||||||||||||||
| Mg2+ | −0.75 | −0.10 | 0.83 | −0.59 | 0.93 | 1.00 | ||||||||||||||
| Na+ | −0.70 | 0.06 | 0.90 | −0.55 | 0.96 | 0.98 | 1.00 | |||||||||||||
| K+ | −0.46 | 0.10 | 0.73 | −0.69 | 0.74 | 0.81 | 0.81 | 1.00 | ||||||||||||
| NH4+ | −0.40 | −0.46 | 0.01 | −0.49 | 0.10 | 0.38 | 0.27 | 0.39 | 1.00 | |||||||||||
| Cl− | −0.67 | 0.10 | 0.95 | −0.54 | 0.96 | 0.94 | 0.98 | 0.83 | 0.19 | 1.00 | ||||||||||
| SO42− | −0.74 | 0.12 | 0.83 | −0.68 | 0.92 | 0.89 | 0.88 | 0.77 | 0.23 | 0.88 | 1.00 | |||||||||
| PO43− | 0.83 | 0.13 | −0.35 | −0.07 | −0.40 | −0.43 | −0.41 | −0.02 | −0.16 | −0.36 | −0.37 | 1.00 | ||||||||
| HCO3− | −0.69 | 0.11 | 0.90 | −0.58 | 0.98 | 0.91 | 0.92 | 0.69 | 0.08 | 0.91 | 0.92 | −0.39 | 1.00 | |||||||
| NO3− | 0.38 | 0.22 | 0.15 | −0.18 | −0.04 | −0.16 | −0.11 | 0.11 | −0.23 | 0.04 | −0.05 | 0.55 | −0.04 | 1.00 | ||||||
| Cu | 0.27 | −0.06 | −0.47 | 0.90 | −0.49 | −0.48 | −0.47 | −0.65 | −0.40 | −0.47 | −0.63 | −0.16 | −0.51 | −0.17 | 1.00 | |||||
| Fe | −0.16 | 0.03 | 0.16 | −0.67 | 0.15 | 0.15 | 0.12 | 0.25 | 0.40 | 0.11 | 0.35 | 0.05 | 0.19 | 0.05 | −0.75 | 1.00 | ||||
| Mn | −0.13 | 0.30 | 0.12 | −0.11 | 0.06 | 0.08 | 0.07 | 0.24 | 0.01 | 0.12 | 0.17 | −0.03 | 0.07 | 0.22 | 0.06 | 0.15 | 1.00 | |||
| Zn | 0.14 | −0.30 | −0.39 | −0.08 | −0.30 | −0.26 | −0.31 | 0.03 | 0.14 | −0.30 | −0.16 | 0.17 | −0.34 | −0.04 | −0.10 | 0.16 | −0.05 | 1.00 | ||
| Pb | −0.12 | −0.27 | −0.10 | −0.57 | −0.04 | 0.12 | 0.04 | 0.29 | 0.68 | 0.03 | 0.16 | 0.21 | −0.07 | 0.18 | −0.46 | 0.34 | 0.07 | 0.36 | 1.00 | |
| Cd | −0.14 | −0.26 | −0.09 | −0.58 | −0.02 | 0.14 | 0.06 | 0.30 | 0.68 | 0.05 | 0.18 | 0.20 | −0.05 | 0.18 | −0.47 | 0.35 | 0.07 | 0.35 | 1.00 | 1.00 |
| Summer | Winter | |||||
|---|---|---|---|---|---|---|
| Variable | PC1 | PC2 | PC3 | PC1 | PC2 | PC3 |
| T (°C) | −0.254 | 0.072 | −0.326 | −0.153 | 0.144 | −0.466 |
| pH | 0.016 | −0.161 | −0.431 | 0.059 | −0.198 | −0.448 |
| EC | 0.297 | −0.158 | −0.154 | 0.336 | −0.016 | −0.003 |
| DO | −0.245 | −0.283 | 0.124 | −0.069 | −0.383 | 0.237 |
| Ca2+ | 0.315 | −0.133 | −0.029 | 0.323 | −0.092 | −0.051 |
| Mg2+ | 0.319 | −0.057 | 0.097 | 0.334 | 0.043 | 0.029 |
| Na+ | 0.318 | −0.102 | 0.023 | 0.335 | −0.016 | −0.011 |
| K+ | 0.281 | 0.092 | −0.127 | 0.288 | 0.054 | −0.04 |
| NH4+ | 0.121 | 0.326 | 0.316 | 0.119 | 0.288 | 0.131 |
| Cl− | 0.315 | −0.105 | −0.047 | 0.333 | −0.031 | −0.048 |
| SO42− | 0.318 | −0.019 | −0.027 | 0.301 | 0.03 | −0.04 |
| PO43− | −0.127 | 0.218 | −0.437 | −0.12 | 0.142 | −0.491 |
| HCO3− | 0.309 | −0.136 | −0.043 | 0.333 | −0.031 | −0.079 |
| NO3− | −0.014 | 0.11 | −0.498 | 0.089 | −0.11 | −0.191 |
| Cu | −0.219 | −0.271 | 0.179 | 0.298 | 0.094 | −0.037 |
| Fe | 0.115 | 0.276 | −0.096 | −0.071 | 0.228 | 0.023 |
| Mn | 0.047 | 0.011 | −0.186 | −0.025 | −0.242 | −0.367 |
| Zn | −0.071 | 0.273 | 0.117 | −0.014 | 0.297 | 0.246 |
| Pb | 0.068 | 0.45 | 0.069 | 0.024 | 0.475 | −0.108 |
| Cd | 0.074 | 0.449 | 0.066 | −0.006 | 0.478 | −0.082 |
| Eigenvalue | 8.9602 | 3.8578 | 2.325 | 8.609 | 3.8388 | 1.9999 |
| Proportion | 0.448 | 0.193 | 0.116 | 0.43 | 0.192 | 0.1 |
| Cumulative | 0.448 | 0.641 | 0.757 | 0.43 | 0.622 | 0.722 |
| Stations | Longitude | Latitude | Summer | Winter | ||
|---|---|---|---|---|---|---|
| WQI | Type of Water | WQI | Type of Water | |||
| S1 | 34.83025 | −6.286167 | 128.37 | Poor | 173.21 | Poor |
| S2 | 34.819417 | −6.294444 | 127.26 | Poor | 164.79 | Poor |
| S3 | 34.774056 | −6.317556 | 128.28 | Poor | 163.82 | Poor |
| S4 | 34.73875 | −6.333639 | 136.55 | Poor | 153.43 | Poor |
| S5 | 34.738861 | −6.333861 | 114.73 | Poor | 150.28 | Poor |
| S6 | 34.726028 | −6.337944 | 118.57 | Poor | 153.15 | Poor |
| S7 | 34.695028 | −6.293861 | 113.24 | Poor | 151.25 | Poor |
| S8 | 34.686917 | −6.287056 | 112.93 | Poor | 148.45 | Poor |
| S9 | 34.686167 | −6.286472 | 112.87 | Poor | 149.37 | Poor |
| S10 | 34.675639 | −6.288306 | 131.70 | Poor | 162.61 | Poor |
| S11 | 34.646917 | −6.290694 | 101.65 | Poor | 142.28 | Poor |
| S12 | 34.638528 | −6.288556 | 110.99 | Poor | 142.95 | Poor |
| S13 | 34.625778 | −6.288444 | 102.31 | Poor | 135.21 | Poor |
| S14 | 34.61675 | −6.270861 | 122.02 | Poor | 148.15 | Poor |
| S15 | 34.611611 | −6.271333 | 161.71 | Poor | 263.17 | Very poor |
| S16 | 34.585 | −6.281389 | 196.60 | Poor | 325.63 | Unsuitable |
| S17 | 34.573611 | −6.293222 | 74.80 | Good | 287.39 | Very poor |
| S18 | 34.545883 | −6.325048 | 79.28 | Good | 120.89 | Poor |
| S19 | 34.546278 | −6.324417 | 81.54 | Good | 135.17 | Poor |
| S20 | 34.544861 | −6.326028 | 80.45 | Good | 131.13 | Poor |
| S21 | 34.53925 | −6.331639 | 85.30 | Good | 132.12 | Poor |
| S22 | 34.5385 | −6.331917 | 69.06 | Good | 114.09 | Poor |
Disclaimer/Publisher’s Note: The statements, opinions and data contained in all publications are solely those of the individual author(s) and contributor(s) and not of MDPI and/or the editor(s). MDPI and/or the editor(s) disclaim responsibility for any injury to people or property resulting from any ideas, methods, instructions or products referred to in the content. |
© 2024 by the authors. Licensee MDPI, Basel, Switzerland. This article is an open access article distributed under the terms and conditions of the Creative Commons Attribution (CC BY) license (https://creativecommons.org/licenses/by/4.0/).
Share and Cite
Hammoumi, D.; Al-Aizari, H.S.; Alaraidh, I.A.; Okla, M.K.; Assal, M.E.; Al-Aizari, A.R.; Moshab, M.S.; Chakiri, S.; Bejjaji, Z. Seasonal Variations and Assessment of Surface Water Quality Using Water Quality Index (WQI) and Principal Component Analysis (PCA): A Case Study. Sustainability 2024, 16, 5644. https://doi.org/10.3390/su16135644
Hammoumi D, Al-Aizari HS, Alaraidh IA, Okla MK, Assal ME, Al-Aizari AR, Moshab MS, Chakiri S, Bejjaji Z. Seasonal Variations and Assessment of Surface Water Quality Using Water Quality Index (WQI) and Principal Component Analysis (PCA): A Case Study. Sustainability. 2024; 16(13):5644. https://doi.org/10.3390/su16135644
Chicago/Turabian StyleHammoumi, Driss, Hefdhallah S. Al-Aizari, Ibrahim A. Alaraidh, Mohammad K. Okla, Mohamed E. Assal, Ali R. Al-Aizari, Mohamed Sheikh Moshab, Saïd Chakiri, and Zohra Bejjaji. 2024. "Seasonal Variations and Assessment of Surface Water Quality Using Water Quality Index (WQI) and Principal Component Analysis (PCA): A Case Study" Sustainability 16, no. 13: 5644. https://doi.org/10.3390/su16135644
APA StyleHammoumi, D., Al-Aizari, H. S., Alaraidh, I. A., Okla, M. K., Assal, M. E., Al-Aizari, A. R., Moshab, M. S., Chakiri, S., & Bejjaji, Z. (2024). Seasonal Variations and Assessment of Surface Water Quality Using Water Quality Index (WQI) and Principal Component Analysis (PCA): A Case Study. Sustainability, 16(13), 5644. https://doi.org/10.3390/su16135644

