Next Article in Journal
Dual-Wheel Drive of Government Subsidies and Technical Support: A Study on the Mechanism of Promoting Rural Residents’ Green Production
Next Article in Special Issue
Environmental Justice and Corporate Green Innovation: The Role of Legitimacy Pressures
Previous Article in Journal
The Role of Renewable Energies in Combating Poverty in Brazil: A Systematic Review
Previous Article in Special Issue
Exploration or Exploitation? Corporate Green Innovation Strategy for Carbon Emission Reduction-Evidence from Pilot Enterprises in China
 
 
Font Type:
Arial Georgia Verdana
Font Size:
Aa Aa Aa
Line Spacing:
Column Width:
Background:
Article

Collaborative Pricing of Green Supply Chain of Prefabricated Construction

by
Xuelong Zhang
1,2,*,
Qian Yang
1,*,
Tingting Song
2,* and
Yuxin Xu
1,*
1
School of Economics and Management, Guangxi Normal University, Guilin 541004, China
2
School of Management, Guilin University of Electronic Technology, Guilin 541004, China
*
Authors to whom correspondence should be addressed.
Sustainability 2024, 16(13), 5579; https://doi.org/10.3390/su16135579
Submission received: 19 May 2024 / Revised: 25 June 2024 / Accepted: 26 June 2024 / Published: 29 June 2024

Abstract

In the process of carbon peak and carbon neutrality, prefabricated buildings have developed rapidly, and the concept of green and low carbon has been introduced into the field of prefabricated buildings. This paper establishes an information sharing platform based on BIM (Building Information Modeling), RFID (Radio Frequency IDentification), and GIS (Geographic Information System) technologies from the green supply chain of prefabricated buildings. On the basis of information sharing, the Stackelberg two-stage game is used to analyze and compare the overall profit of the supply chain under the centralized pricing decision and the decentralized pricing decision. Through numerical simulation, this paper analyzes the relationship between pricing and the overall profit of the supply chain, compares the difference of the overall profit of supply chain under two different pricing strategies, centralized pricing and decentralized pricing, and analyzes the influence of information sharing degree on the overall profit of the supply chain. The results show that the overall profit of the supply chain under centralized pricing decisions is significantly higher than that under decentralized pricing decisions. The higher the degree of information sharing, the greater the overall profit of the supply chain.

1. Introduction

According to the report of the 20th National Congress of the Communist Party of China in 2022, China is actively and steadily promoting the work of peaking carbon emissions and achieving carbon neutrality to address increasingly severe environmental challenges. Against this backdrop, the construction industry, as one of the major sources of China’s carbon emissions, has an annual emission of up to 5.08 billion tons, accounting for 50.9% of the country’s total carbon emissions, demonstrating the crucial position of the construction sector in the low-carbon transition [1]. The large amount of carbon dioxide released during the traditional construction process not only seriously pollutes the environment, but also conflicts with the currently advocated low-carbon development model [2]. Prefabricated buildings, as an innovation and development of traditional building technology, provide a new direction for the green transformation of the construction industry with their environmentally friendly and efficient characteristics. Compared with traditional buildings, prefabricated buildings can significantly reduce carbon emissions, accounting for nearly one-fifth of the reduction, demonstrating their tremendous environmental potential [3]. To further promote the development of prefabricated buildings, China has also put forward clear policy guidance at the national level. In August 2022, the Ministry of Industry and Information Technology, the National Development and Reform Commission, and the Ministry of Ecology and Environment jointly issued the “Implementation Plan for Carbon Peak in the Industrial Sector”, which explicitly proposed to establish a green and low-carbon supply chain, providing strong policy support for the development of prefabricated buildings’ green supply chain. However, although prefabricated buildings have significant environmental advantages, the development of prefabricated buildings in China still faces many challenges. High costs, unstable supply chains, and a lack of technological innovation capabilities have limited their wide application in various industries. Among them, the pricing issues in the supply chain are particularly prominent, becoming a key factor restricting the construction of green supply chains for prefabricated buildings. At present, domestic scholars have conducted less research on the pricing of a green supply chain for prefabricated buildings, and research on the pricing of green supply chains can help promote the construction and development of the supply chain system for prefabricated buildings in China.
Therefore, this study aims to delve into the pricing issues of the green supply chain of prefabricated buildings in order to provide effective solutions to the challenges faced by the development of prefabricated buildings in China. The specific research questions include the following: How to build an effective information sharing platform to promote the coordination of prefabricated building supply chains in the context of information asymmetry? What are the impacts of centralized pricing and decentralized pricing strategies on the profits of the green supply chain of prefabricated buildings? How does the level of information sharing affect pricing strategies and supply chain profits? The significance of studying these issues lies in that by optimizing the pricing mechanism of the green supply chain of prefabricated buildings, we can reduce construction costs, improve supply chain stability, promote technological innovation, and thus promote the widespread application of prefabricated buildings and the green transformation of the construction industry. At the same time, this study has important theoretical and practical value for perfecting the theoretical system of the prefabricated building supply chain and guiding its practical implementation.
Based on this, in order to achieve the above research objectives, this paper constructs an information sharing platform based on BIM (Building Information Modeling), RFID (Radio Frequency Identification), and GIS (Geographic Information System) technologies from the perspective of green supply chains. This platform can integrate information from various participants in the supply chain, achieve real-time information sharing and collaborative management, and provide accurate data support for supply chain pricing. On this basis, this paper will further adopt the two-stage Stackelberg game model to analyze the impact of centralized and decentralized pricing strategies on the profits of the green supply chain of prefabricated buildings, and explore the influence mechanism of information sharing levels on pricing strategies and supply chain profits.
The contributions and innovations of this paper to research on prefabricated building supply chains are mainly reflected in the following three aspects. Firstly, this study explores the issue of supply chain collaborative pricing in the field of green buildings from the perspective of the green supply chain of prefabricated buildings. This perspective is significantly innovative and forward-looking against the backdrop of current green buildings and sustainable development. Secondly, the use of GIS technology for information sharing, and optimizing the information sharing platform based on BIM and RFID technology, can achieve spatial data integration and real-time monitoring, thereby controlling the overall project progress and increasing benefits. Finally, based on the information sharing platform, this study deeply explores the specific impact of centralized pricing and decentralized pricing strategies on the profits of the green supply chain of prefabricated buildings through the adoption of the two-stage Stackelberg game model, providing strong theoretical support and practical guidance for the optimization of the prefabricated building supply chain.
The remainder of this essay is structured as follows: In Section 2, the pertinent literature is reviewed. The architecture of the information sharing platform is implemented in Section 3. The description and model assumptions are provided in Section 4. According to the centralized pricing model and the decentralized pricing model, respectively, Section 5 produces the pricing decisions. Section 6 gives the numerical analysis. Section 7 concludes this paper.

2. Literature Review

With the intensification of environmental issues, carbon emissions have become a top concern for many countries. As the largest carbon emitter in the world, China’s construction industry produces a significant amount of carbon emissions [4]. Compared with on-site construction, prefabricated buildings have advantages such as shortened construction time, improved resource efficiency, minimized construction waste, and increased safety [5]. Research results have shown that prefabrication can reduce impacts, material consumption, and waste generation, promoting the circularity of the construction industry [6]. Based on this, prefabricated buildings have attracted much attention in pursuing green, environmentally friendly, and waste-reducing construction to improve carbon emissions [7]. However, with the accelerated urban development in China, the construction, expansion, renovation, and demolition of prefabricated buildings have also increased, resulting in a significant amount of carbon emissions, posing a significant threat to the natural environment and ecological civilization. This is contrary to the concept of creating low-carbon cities and sustainable development. How to efficiently and sustainably develop prefabricated buildings is a problem that governments and environmental protection organizations around the world hope to solve quickly [8]. Using a mixed content analysis method, 133 policies on prefabricated buildings issued in China from 1956 to 2018 were counted. The government has provided various incentives to promote the development of prefabricated buildings, but due to the financial burden on the government, incentives are considered the least commonly used [9]. Some scholars believe that mandatory policies are suitable for the initial stage of prefabricated building development, while preferential and incentive policies play an incentive role in the middle and late stages of development. In the later stages, incentive policies dominate [10]. However, exploring the impact of environmental policies on the prefabricated building supply chain from a supply chain perspective is a complex and ambiguous issue. A reasonable combination of policies can effectively improve the economic benefits of low-carbon development [11]. The main challenges faced by the prefabricated building supply chain are insufficient resource and schedule planning, poor workflow control, and insufficient information sharing between various stakeholders [12].
The above literature has laid the foundation for the study of collaborative pricing of a green supply chain for prefabricated buildings. From the above research, it is clear that pricing decision is one of the important contents of supply chain cooperative management, and information sharing is the basis of realizing supply chain cooperative management. Previous studies in the field of green supply chains, especially in terms of the integration of information sharing technologies, have not fully addressed the two fundamental business operations that are part of supply chain management: the first is the delivery of goods and services from the first supplier to the ultimate customer, and the second is the flow of market demand data backward from the last customer to the initial provider. Supply chain collaboration is the use of information network technology to integrate these two processes. Collaborative management of the supply chain is to realize real-time communication and mutual collaboration and make decisions through information sharing. Many scholars believe that if the advanced ideas of supply chain management are applied to the management of the construction industry, new vitality will burst out. As information sharing is the foundation for achieving collaborative supply chain management, companies in the supply chain have paid significant attention to this aspect. Cooperation in the supply chain is built upon high-quality information transmission and sharing among node organizations, and Cyber-Physical Systems (CPSs) are widely used in various industries [13]. The integration of BIM into the supply chain facilitates the integration of design, manufacturing, and construction processes, bringing significant benefits to supply chain members [14]. Kim and Nguyen [15] adopted the Analytic Hierarchy Process (AHP) to develop a relationship evaluation framework and pointed out that trust communication, supply chain collaboration, top management support, and risk allocation play crucial roles in the collaboration of the construction supply chain under the standards of benefit and risk sharing. The supply chain collaboration framework comprises collaborative performance systems, decision synchronization, information sharing, incentive alignment, and innovative supply chain processes [16]. The key factors for achieving supply chain collaboration include collaborative information sharing, collaborative decision synchronization, collaborative incentive alignment, collaborative resource and skills sharing, and collaborative knowledge management [17]. Atul and Kasun [18] proposed a BIM-based procurement framework and believed that BIM enables information exchange and collaborative work. Some scholars have applied blockchain (BC) to the construction industry and explored its potential integration with BIM workflows [19]. Bansal [20] advocated the use of four-dimensional GIS and BIM to promote pre-building spatial planning. To effectively share information, BIM and GIS can be combined into a system that displays the latest status of items in the supply chain [21,22]. Furthermore, integrating RFID technology into the construction project work system can effectively improve efficiency and promote information flow in the construction supply chain [23]. By integrating BIM and RFID technology to create an information sharing platform, accurate information interaction can be achieved for construction equipment, materials, and construction management [24]. BIM, RFID, and GIS technologies are integrated into a system, upon which an information sharing platform is established, realizing real-time updates of information throughout the entire process of prefabricated building supply chains, from design to production, transportation, and ultimately to assembly and construction, thus achieving effective information integration and efficient coordination.
As the “invisible hand” of the free market, the price regulates the market economy, which is mainly reflected as follows: the demand and the price change in the opposite direction, that is, as the commodity price increases, the market demand decreases, and vice versa. This is also a game process of production, pricing, and demand. As a result, businesses place a high value on price. In supply chain collaborative cooperation management, the relevant research on pricing decision is also one of the most important contents, for which, domestic and foreign scholars have made more mature research results. Scholars have created incentive plans for coordinating supply chains by establishing three decision-making models: decentralized decision-making, partially centralized decision-making, and fully centralized decision-making. They compared and analyzed the decision-making and profit outcomes of supply chain members under each model [25]. Other scholars have also established different decision-making models to explore issues such as product pricing in the supply chain [26,27], determining the best course of action [28], constructing benefit-sharing mechanisms [29,30], identifying key activities to reduce overall supply chain costs [31], and analyzing order coordination and market selection [32]. Different scholars have used the Stackelberg dynamic game model to define different leaders and followers among supply chain members, exploring the establishment of economic and environmental equilibrium methods in integrated prefabricated building supply planning [33], studying supply chain coordination pricing schemes, and establishing reasonable income distribution mechanisms [34].
Therefore, this paper aims to expand this research field and provide new perspectives and strategies for the development of green supply chains. Based on this, the present paper utilizes GIS technology for information sharing, optimizes the information platform based on BIM and RFID technology, and integrates BIM, RFID, and GIS technologies to establish a prefabricated building green supply chain information sharing platform. In addition, there are few relevant studies on the impact of waste recycling and treatment in the supply chain on the cost and profit of the supply chain, so this paper considers waste recycling and treatment into the supply chain in the research. The Stackelberg two-stage game model was used to compare the profit of two pricing decision models of the prefabricated building green supply chain and further study the influence of information sharing degree on the overall profit of the supply chain.

3. Information Sharing Platform Architecture Based on BIM, RFID, and GIS

The information sharing platform based on BIM, RFID, and GIS technologies integrates the information of each stage of the green supply chain of prefabricated construction into the overall information model database of the supply chain.
In the green design stage, in order to resolve design conflicts among several professions, the designer first creates a building information model using BIM, followed by construction simulation, collision detection, etc. Due to how changes in design may affect associated professions’ operations and design boundaries, multiple information feedback is needed for mutually beneficial cooperation between diverse professions. It is possible to realize the effective transmission of information flow between all phases of the project by using BIM technology and creating an information model. These model data can be made available in real-time for other professions. Designers use BIM visualization technology to split the building information model, realize the establishment of a 3D model of prefabricated components, and produce deeper design drawings in accordance with the information model of the building as a whole.
The creation of component parts is crucial to prefabricated building. During the green production stage, through the information sharing platform, providers gather information on the type, size, processing requirements, and other characteristics of prefabricated components, and then produce and process the components accordingly. Suppliers can adjust the production schedule of components in accordance with the real-time construction operations on the construction side to lessen the occurrence of pending work and materials by using the information sharing platform to realize timely and effective information communication between suppliers and designers. After production is complete, RFID tags are fixed and encoded for each component’s information, which is finally transmitted into the application system and information sharing platform through RFID readers to help the logistics party design the transportation plan and the construction party adjust the construction operation plan in time according to the component production, so as to realize the complete transmission and efficient use of information between the production stage and the design, transportation, and construction stages.
During the green transportation stage, the logistics party can use the information sharing platform to obtain timely information on the time nodes of component production completion and the actual construction site progress. The logistics party can then use this information to design the transportation plan by combining the attribute parameters of the components in the information model. The logistics party uses GIS technology to simulate and make decisions on the logistics network layout and transportation routes of the transportation plan and uses RFID and GIS technologies to realize real-time tracking and navigation of vehicles and goods.
During the green assembly stage, based on the BIM model of the information sharing platform, the construction party can access construction simulation data and component information. The construction party can perform lifting, deployment, and a reasonable arrangement of the operation schedule on site in accordance with the construction simulation and the arrival of component production, and upload component information to the information sharing platform via RFID. This allows suppliers and logistics parties to modify the production plan and transportation plan, among other things, in accordance with the actual situation on site.
Green recycling encompasses the entire green supply chain of prefabricated construction, including waste, redundant raw materials, and subpar products in the manufacturing process, as well as losses in the transportation process, the removal of outdated equipment, the recycling of construction waste in the construction process, etc. Additionally, based on the findings of Wang and Liu [35] regarding the prefabricated supply chain platform, an information sharing platform is depicted as shown in Figure 1.
The information sharing platform makes sure that information is effectively integrated, applied, and collaborated upon at all stages, realizes timely information sharing and transmission, addresses the issues of ineffective management and poor information communication in the green supply chain of prefabricated construction, raises the management standard of assembled building projects, and makes it easier to realize collaborative management among the node businesses of the green supply chain of prefabricated construction.

4. Problem Description and Hypothesis

4.1. Problem Description

With the increasingly prominent issues of global climate change and environmental problems, the development of green buildings and green supply chains has become increasingly important. The extensive growth model of the traditional construction industry, which sacrifices natural resources, energy, and labor inputs, as well as the pollution and destruction of the natural ecological environment, has harmed the national economy’s development [36]. A green building refers to a building that reduces or eliminates the negative impacts during its design, construction, or operation and can have a positive impact on the climate and natural environment [37]. However, the green building supply chain involves numerous participants, including material suppliers, manufacturers, transporters, and construction teams, and the information asymmetry and insufficient collaborative management among these parties often lead to a waste of resources, inefficiency, and increased costs. To solve these problems, it is particularly important to build an efficient information sharing platform. This platform can integrate information from all participants in the supply chain and achieve real-time information sharing and collaborative management, thereby improving the transparency and response speed of the supply chain and reducing operational costs and risks.
Against this backdrop, this article proposes an information sharing platform based on BIM, RFID, and GIS technologies. BIM is a process used by stakeholders in the Architecture, Engineering, and Construction (AEC) industry, which simulates construction projects with multi-dimensional digital models and provides numerous project benefits from the initial stage to occupancy [38]. RFID is an effective indoor positioning technology [39] that provides sufficient accuracy [40], is cost-effective [41], has on-board data storage capacity, and can be used for other purposes such as building asset management [42]. GIS is a computerized system based on geography, cartography, and remote sensing technologies that can collect, store, manage, calculate, analyze, display, and describe spatial information and data about the Earth’s surface, digitizing and visualizing abstract information [43,44].
By integrating these three technologies, the platform can collect, process, and analyze data from all participants in the supply chain in real time, providing accurate data support for supply chain pricing. However, in choosing pricing strategies, there are often conflicts of interest and game behaviors among participants in the supply chain. Therefore, this article further adopts the Stackelberg two-stage game model to analyze the impact of centralized pricing and decentralized pricing strategies on the profits of the prefabricated building green supply chain. Additionally, based on the establishment of an information sharing platform to achieve information sharing, the Stackelberg two-stage game model is used to analyze and compare the overall profits of the supply chain under centralized pricing decisions and decentralized pricing decisions. Finally, numerical simulations are used to analyze the relationship between pricing and the overall supply chain profits, compare the differences in the overall supply chain profits under the two different pricing strategies, and analyze the impact of the degree of information sharing on the overall supply chain profits.

4.2. Collaborative Pricing Model Hypothesis

Each node enterprise in the green supply chain of prefabricated construction is still a mutually independent economic entity. An enterprise at a specific node may sabotage the cooperation stability of supply chain participants in order to further its own interests and disconnect the upstream and downstream nodes of the supply chain. Effective collaboration between the node businesses of the supply chain may be achieved with good information sharing in the green supply chain of prefabricated construction, which in turn can raise the profit level of the supply chain as a whole and of each node business. Collaborative pricing research of the supply chain is carried out in order to encourage synergistic cooperation among the nodal firms in the green supply chain of prefabricated construction and enhance the benefits of the supply chain as a whole and for each participant.
It is assumed that the system of the green supply chain of prefabricated construction is composed of a supplier, a general contractor who handles the designer, the logistics party and the construction party, a third-party information platform service provider, and a green recycler. We assume that a general contractor who handles the design, logistics, and construction aspects of a building is part of the green supply chain, along with a supplier, a green recycler, and a third-party information platform service provider. In this system, it is presumable that the supplier and the general contractor work together based on a certain component part. The demand for the component part is unknown and changes as the project moves along and the component part’s price changes. As a result, in the Stackelberg game, the component supplier is the leader and the general contractor is the follower. The contractor fully understands the information about the building split components that the designer uploaded to the BIM, RFID, and GIS information sharing platform and, by fusing the fundamental project overview with the actual situation on site, provides the supplier with the demand information for ordering. The contractor evaluates the demand based on the supplier’s feedback price and sets the retail price, or the completed settlement price, after the supplier provides feedback to the contractor based on the current price. The amount of components needed in this context does not relate to the total number of components needed for the project, but rather to the number of components that the contractor decides to buy from the supplier in accordance with the pricing of the supplier in the supply chain.
In the above game, both suppliers and contractors are playing for their own higher benefits. By establishing the game model, this paper compares the impact of collaborative pricing decisions and decentralized pricing decisions on the overall revenue of the supply chain.
The following Table 1 are the fundamental presumptions and parameter notations of the collaborative pricing model of the green supply chain of prefabricated construction based on BIM, RFID, and GIS.
Furthermore, in order for the model to be more practical and meaningful, the parameters must satisfy certain conditions, so we assume that p 1 > c 1 , p 0 > p 1 , n 1 + n 2 = 1 , 0 n 1 1 , 0 n 2 1 .
Market demand is a function of linear correlation with price and information sharing, that is,
Q = a b p 2 + k s .
Supplier profit is sales revenue minus manufacturing cost, information sharing service cost, and waste disposal cost in the manufacturing process. The supplier profit model is as follows:
π 1 = ( a b p 2 + k s ) ( p 1 c 1 n 1 p 3 ) ( a b p 2 + k s ) w 1 p 4 .
The contractor’s profit is sales revenue minus procurement cost, construction cost, information sharing service cost, and waste disposal cost. The contractor’s profit model is as follows:
π 2 = ( a b p 2 + k s ) ( p 2 p 1 c 2 n 2 p 3 ) ( a b p 2 + k s ) w 2 p 4 .
The profit of the third-party information platform is the operating income minus the operating cost. The profit model of the third-party information platform is as follows:
π 3 = ( a b p 2 + k s ) ( p 3 c 3 ) .
The profit of green recyclers is the operating income minus the processing cost. The profit model of green recyclers is as follows:
π 4 = ( a b p 2 + k s ) ( w 1 + w 2 ) ( p 4 c 4 ) .
The overall profit of the supply chain is the sum of the profit of the supplier, the profit of the contractor, the profit of the third-party information platform, and the profit of the green recycler, which is simplified as
π = ( a b p 2 + k s ) ( p 2 c 1 c 2 c 3 ) ( a b p 2 + k s ) ( w 1 + w 2 ) c 4 .

5. The Solution of the Model

5.1. Collaborative Pricing Decision

In collaborative pricing decisions, suppliers, contractors, third-party information platforms, and green recyclers try to price goods in a way that benefits the supply chain as a whole rather than maximizing their personal interests.
Proposition 1.
In this section, the contractor’s optimal unit price  p 2  for completion settlement is
p 2 * = a + k s + b ( c 1 + c 2 + c 3 ) + b c 4 ( w 1 + w 2 ) 2 b .
At this time, the market demand Q is as follows:
Q * = a + k s b ( c 1 + c 2 + c 3 ) b c 4 ( w 1 + w 2 ) 2 .
The overall profit of the supply chain π is as follows:
π * = [ a + k s b ( c 1 + c 2 + c 3 ) b c 4 ( w 1 + w 2 ) ] 2 4 b .
Proof. 
The overall profit of the supply chain is
π = ( a b p 2 + k s ) ( p 2 c 1 c 2 c 3 ) ( a b p 2 + k s ) ( w 1 + w 2 ) c 4 .
Taking the partial derivative of p 2 yields
π p 2 = a + b ( c 1 + c 2 + c 3 ) 2 b p 2 + k s + b c 4 ( w 1 + w 2 ) .
At this time, 2 π p 2 2 = 2 b < 0 , so the profit has the maximum value. Making π p 2 = 0 , the solution is
p 2 * = a + k s + b ( c 1 + c 2 + c 3 ) + b c 4 ( w 1 + w 2 ) 2 b .
By introducing p 2 into the basic model, it is then possible to obtain the market demand Q and the overall profit π of the supply chain. □

5.2. Decentralized Pricing Decision

In decentralized pricing decisions, suppliers, contractors, third-party information platforms, and green recyclers all strive to maximize their own interests, without considering the overall interests of the supply chain. Suppliers as leaders and contractors, third-party information platforms, and green recyclers as followers use the Stackelberg game for component goods pricing.
Proposition 2.
In this section, the optimal unit price P1 offered by the supplier to the contractor is as follows:
p 1 * * = ( a + k s b c 2 ) ( n 1 w 2 + 2 n 2 w 2 + 2 n 2 w 1 ) + b c 3 n 2 ( n 1 w 2 2 n 2 w 2 2 n 2 w 1 ) b c 4 w 2 ( n 1 w 2 + 2 n 2 w 2 ) b n 1 w 2 + 4 b n 2 w 2 + 2 b n 2 w 1 .
The contractor’s optimal unit price p 2 for completion settlement is as follows:
p 2 * * = ( a + k s ) ( 4 n 1 w 2 + 8 n 2 w 1 + 15 n 2 w 2 ) + b n 2 w 2 ( c 1 + c 2 + c 3 n 2 + c 4 w 2 + c 3 n 1 + c 4 w 1 ) 4 b ( n 1 w 2 + 2 n 2 w 1 + 4 n 2 w 2 ) .
The optimal service price p 3 of the unit product of the third-party information platform is as follows:
p 3 * * = ( a + k s ) w 2 b w 2 ( c 1 + c 2 + c 4 w 2 c 3 n 1 ) + b ( 4 c 3 n 2 w 1 + 7 c 3 n 2 w 2 c 4 w 1 w 2 ) 2 b ( n 1 w 2 + 2 n 2 w 1 + 4 n 2 w 2 ) .
The optimal unit product pricing p 4 of green recyclers is as follows:
p 4 * * = ( a + k s ) n 2 b n 2 ( c 1 + c 2 + c 3 n 2 + c 3 n 1 ) + b c 4 ( n 1 w 2 + n 2 w 1 + 3 n 2 w 2 ) b ( n 1 w 2 + 2 n 2 w 1 + 4 n 2 w 2 ) .
At this time, the market demand Q is as follows:
Q * * = n 2 w 2 ( b c 1 a + b c 2 k s + b c 3 n 1 + b c 3 n 2 + b c 4 w 1 + b c 4 w 2 ) 4 ( n 1 w 2 + 2 n 2 w 1 + 4 n 2 w 2 ) .
The overall profit of the supply chain π is as follows:
π * * = A 1 + A 2 + A 3 b ( w 1 + w 2 ) ( n 1 w 2 + 2 n 2 w 1 + 4 n 2 w 2 ) .
Among them,
A 1 = ( a + k s b c 2 + b c 3 n 2 ) ( n 1 w 2 2 + n 1 w 1 w 2 )
A 2 = ( a + k s b c 2 b c 3 n 2 ) ( 2 n 2 w 1 2 + 3 n 2 w 2 2 + 5 n 1 w 1 w 2 )
A 3 = b w 2 ( w 1 + w 2 ) [ 2 c 1 n 2 c 4 w 2 ( n 1 + n 2 ) ] .
Proof. 
Known
π 2 = ( a b p 2 + k s ) ( p 2 p 1 c 2 n 2 p 3 ) ( a b p 2 + k s ) w 2 p 4
If we take the partial derivative of the p 2 yield and make it 0, the solution is as follows:
p 2 * * = a + b ( c 2 + p 1 + n 2 p 3 ) + k s + b p 4 w 2 2 b .
When p 2 is included in the profit model for π 3 , the profit value is
π 3 = ( p 3 c 3 ) a b ( c 2 + p 1 + n 2 p 3 ) + k s b p 4 w 2 2 .
If we take the partial derivative of the p 3 yield and make it 0, the solution is as follows:
p 3 * * = a + k s b ( c 2 + p 1 ) + b c 3 n 2 b p 4 w 2 2 b n 2 .
Bringing p 2 and p 3 into the profit model of π 4 , the profit value is
π 4 = ( w 1 + w 2 ) ( p 4 c 4 ) a + k s b ( c 2 + p 1 ) b c 3 n 2 b p 4 w 2 4 .
If we take the partial derivative of the p 4 yield and make it 0, the solution is as follows:
p 4 * * = a + k s b ( c 2 + p 1 ) b c 3 n 2 + b c 4 w 2 ( w 1 + w 2 ) 2 b w 2 .
Substituting p 3 and p 4 into the contractor’s as-built unit price formula and the demand function formula, p 2 and Q can be, respectively, expressed as follows:
p 2 * * = 7 ( a + k s ) + b ( c 2 + p 1 ) + b c 3 n 2 + b c 4 w 2 8 b
Q * * = a + k s b ( c 2 + p 1 ) b c 3 n 2 3 b c 4 w 2 16 .
Bringing the resulting p 2 and Q into the supplier profit function π 1 , the supplier profit is obtained as
π 1 = ( p 1 c 1 n 1 ( a + k s b ( c 2 + p 1 ) + 3 b c 3 n 2 b c 4 w 2 ) 4 b n 2 w 1 ( a + k s b ( c 2 + p 1 ) b c 3 n 2 + b c 4 w 2 ) 2 b w 2 ) a + k s b ( c 2 + p 1 ) b c 3 n 2 b c 4 w 2 8
p 1 * * = ( a + k s b c 2 ) ( n 1 w 2 + 2 n 2 w 2 + 2 n 2 w 1 ) + b c 3 n 2 ( n 1 w 2 2 n 2 w 2 2 n 2 w 1 ) b c 4 w 2 ( n 1 w 2 + 2 n 2 w 2 ) b n 1 w 2 + 4 b n 2 w 2 + 2 b n 2 w 1 .
We can calculate p 2 , p 3 , p 4 , Q , and π based on the adjusted unit price offered to the contractor by the supplier, expressed as follows:
p 2 * * = ( a + k s ) ( 4 n 1 w 2 + 8 n 2 w 1 + 15 n 2 w 2 ) + b n 2 w 2 ( c 1 + c 2 + c 3 n 2 + c 4 w 2 + c 3 n 1 + c 4 w 1 ) 4 b ( n 1 w 2 + 2 n 2 w 1 + 4 n 2 w 2 )
p 3 * * = ( a + k s ) w 2 b w 2 ( c 1 + c 2 + c 4 w 2 c 3 n 1 ) + b ( 4 c 3 n 2 w 1 + 7 c 3 n 2 w 2 c 4 w 1 w 2 ) 2 b ( n 1 w 2 + 2 n 2 w 1 + 4 n 2 w 2 )
p 4 * * = ( a + k s ) n 2 b n 2 ( c 1 + c 2 + c 3 n 2 + c 3 n 1 ) + b c 4 ( n 1 w 2 + n 2 w 1 + 3 n 2 w 2 ) b ( n 1 w 2 + 2 n 2 w 1 + 4 n 2 w 2 )
Q * * = n 2 w 2 ( b c 1 a + b c 2 k s + b c 3 n 1 + b c 3 n 2 + b c 4 w 1 + b c 4 w 2 ) 4 ( n 1 w 2 + 2 n 2 w 1 + 4 n 2 w 2 )
π * * = A 1 + A 2 + A 3 b ( w 1 + w 2 ) ( n 1 w 2 + 2 n 2 w 1 + 4 n 2 w 2 ) .
Among them,
A 1 = ( a + k s b c 2 + b c 3 n 2 ) ( n 1 w 2 2 + n 1 w 1 w 2 )
A 2 = ( a + k s b c 2 b c 3 n 2 ) ( 2 n 2 w 1 2 + 3 n 2 w 2 2 + 5 n 1 w 1 w 2 )
A 3 = b w 2 ( w 1 + w 2 ) [ 2 c 1 n 2 c 4 w 2 ( n 1 + n 2 ) ] .
Proposition 3.
When a + k s > b ( c 1 + c 2 + c 3 ) + b c 4 ( w 1 + w 2 ) , p 2 * < p 2 * * and Q * > Q * * .
Proof. 
π * = [ a + k s b ( c 1 + c 2 + c 3 ) b c 4 ( w 1 + w 2 ) ] 2 4 b
π * * = A 1 + A 2 + A 3 b ( w 1 + w 2 ) ( n 1 w 2 + 2 n 2 w 1 + 4 n 2 w 2 )
Among them,
A 1 = ( a + k s b c 2 + b c 3 n 2 ) ( n 1 w 2 2 + n 1 w 1 w 2 )
A 2 = ( a + k s b c 2 b c 3 n 2 ) ( 2 n 2 w 1 2 + 3 n 2 w 2 2 + 5 n 1 w 1 w 2 )
A 3 = b w 2 ( w 1 + w 2 ) [ 2 c 1 n 2 c 4 w 2 ( n 1 + n 2 ) ] .
Hence,
π * * π * = B 1 2 + B 2 2 16 b ( n 1 w 2 + 2 n 2 w 1 + 4 n 2 w 2 ) 2 .
Among them,
B 1 = ( a + k s ) ( 2 n 1 w 2 + 4 n 2 w 1 + 7 n 2 w 2 ) + 2 b n 1 w 2 ( c 1 + c 2 + c 3 + c 4 w 1 + c 4 w 2 )
B 2 = 4 b n 2 w 1 ( c 1 + c 2 + c 3 + c 4 w 1 ) + b n 2 w 2 ( 7 c 1 + 7 c 2 + 8 c 3 c 3 n 2 + 7 c 4 w 2 c 3 n 1 + 11 c 4 w 1 ) .
Since b is the sensitivity coefficient of demand to price, b > 0 , the denominator of the above equation > 0 and the numerator > 0, overall π * * π * < 0 , and so π * * < π * . In the same way p 2 * < p 2 * * and Q * > Q * * .
That is, in the situation of information sharing, the overall profit of the decentralized pricing choice under the Stackelberg game model is lower than the overall profit of the collaborative pricing decision under the cooperative game model. Under the collaborative pricing decision, each node gives up a higher sales unit price in exchange for a larger sales volume, which results in a higher profit for the supply chain as a whole.

6. Numerical Simulation and Results Analysis

6.1. Numerical Simulation

Each model parameter is established and then calculated in order to confirm the model’s plausibility and graphically contrast the overall profitability of the supply chain under the decentralized pricing choice and the collaborative pricing decision. The parameters are chosen to adhere to model assumptions and market laws. We assume that in a green supply chain of prefabricated construction, which includes a supplier, a general contractor with design, logistics, and construction, a third-party information platform service provider, and a green recycler, the demand function is Q = 4000 39.6 p 2 + 25 s , the supplier’s production unit cost is c 1 = 40 , the contractor’s production unit cost is c 2 = 7 , the third-party information platform’s operation unit cost is c 3 = 5 , and the green recycler’s product disposal unit cost is c 4 = 10 . The ratio of service expenses incurred by suppliers and contractors to the third-party information platform is n 1 = 0.6 and n 2 = 0.4 , respectively; the supplier production scrap rate is w 1 = 0.01 ; the contractor production scrap rate is w 2 = 0.03 ; and information sharing is s = 0.52 . The main parameters are taken as shown. (See Table 2).
Based on the above values, the pricing and profit of each participant in the supply chain are calculated under both decentralized and centralized decision-making models, as shown in Table 3.
According to the calculation results, there are two key differences between the collaborative pricing decision model and the decentralized pricing decision model. Firstly, the product pricing under the collaborative pricing decision model is lower than that under the decentralized pricing decision model. Secondly, the demand for components under the collaborative pricing decision model is higher than that under the decentralized model. Notably, the component demand in this context refers specifically to the quantity of components selected by the contractor, rather than the total number of components required for the project. The overall profit of the supply chain under the collaborative pricing model is much higher than the overall profit of the supply chain under the decentralized pricing model. The reason for this outcome is that under the collaborative pricing decision model, all supply chain participants aim to maximize the overall profit of the supply chain. As a result, they reduce their own pricing and significantly increase the demand for components, ultimately achieving the objective of increasing the overall profit of the supply chain. Under the decentralized pricing decision model, each participant in the supply chain ignores the overall profit of the supply chain in order to maximize their own interests, resulting in high pricing, a lower demand for components, and ultimately, low overall profit for the supply chain. Following investigation and analysis, it was discovered that too-high pricing results in an increase in project costs, and that most contractors will decrease the prefabricated assembly rate of a project in order to lower construction costs and increase profit, which is detrimental to the promotion and use of prefabricated buildings. Therefore, for the system of the green supply chain of prefabricated construction, it is preferable to use collaborative price decisions.

6.2. Impact of the Contractor Unit Price on the Profits of the Supply Chain

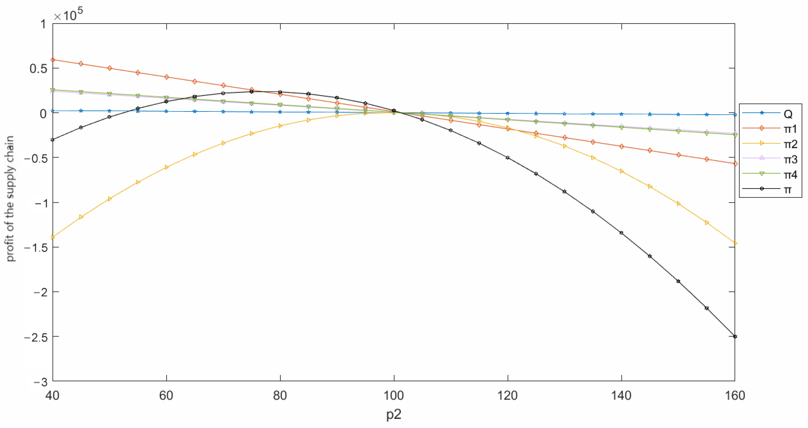
In order to further investigate the impact of the contractor unit price p 2 on the profit of the supply chain under the collaborative pricing decision model, Matlab 2021b software is used to simulate the model under the condition of a certain degree of information sharing. We set the parameters a = 4000 , b = 39.6 , k = 25 , s = 0.45 , c 1 = 40 , c 2 = 7 , c 3 = 5 , c 4 = 10 , w 1 = 0.01 , and w 2 = 0.03 . The simulation results are shown in Figure 2.
According to the simulation results, under the conditions of the above parameters, the demand Q for components decreases with the increase in p 2 , and the supplier’s profit π 1 decreases with the increase in p 2 . When p 2 gradually increases from 0, the contractor’s profit π 2 gradually increases with the increase in p 2 . When p 2 = 100 , the maximum value of π 2 is 272,528.18, and when p 2 continues to increase, the contractor’s profit gradually decreases. The profit of the third-party information platform π 3 decreases with the increase in p 2 . The profit of green recyclers π 4 decreases with the increase in p 2 . When it gradually increases from 0, the overall profit of the supply chain gradually increases. When it reaches 76.85, the overall profit of the supply chain reaches the maximum of 23,667.36. When it continues to increase, the overall profit of the supply chain gradually decreases from 23,667.36. The reason for this is that the overall profit of the supply chain is equal to the profit per unit product multiplied by the sales volume. When the price of a product increases, sales will decrease, and for suppliers, third-party information platforms, and green recyclers, sales will decrease, while their respective unit prices remain the same, and therefore, profits will decrease. For the contractor and the supply chain as a whole, the increase in product price will reduce the sales volume, but the profit per unit product will increase, which will affect the total profit. When the price of the product is reduced, the sales volume will increase, but the profit per unit product will decrease, which will affect the total profit. Therefore, there must be an optimal price which makes the product price and sales volume reach a balance, so as to maximize the overall profit of the supply chain.

6.3. The Impact of the Information Sharing Degree s on the Overall Profit of the Supply Chain

The overall profit of the supply chain is also affected by the degree of information sharing in the green supply chain of prefabricated construction under the collaborative price decision-making model based on BIM, RFID, and GIS technologies for information sharing. MATLAB software is used to analyze the model, with set parameters a = 4000 , b = 39.6 , k = 25 , c 1 = 40 , c 2 = 7 , c 3 = 5 , c 4 = 10 , w 1 = 0.01 , and w 2 = 0.03 . Some data results are shown in Table 4, and the simulation results are shown in Figure 3.
An analysis of the data in Table 4 and Figure 3 shows that the degree of information sharing affects the overall profit of the supply chain under the collaborative pricing decision model of the information sharing platform based on BIM, RFID, and GIS technologies in the green supply chain of prefabricated construction. Under the condition of other parameters, the higher the information sharing degree, the higher the overall profit of the supply chain. In this model, the green supply chain of prefabricated construction is more effective when the degree of information exchange is 1. At this level, the supply chain’s overall profit reaches its maximum level. By creating a green supply chain information sharing platform for prefabricated construction based on BIM, RFID, and GIS technologies, the general contractor is encouraged to split the building information model of the designer and share the information about the components to the platform, which helps with efficient production and construction. The logistics information about the components is shared in real time, which helps with scheduling at the construction site. The construction site information is shared in real time, which helps to adjust the production and transportation plan. This encourages suppliers to share production information in real time so that design and construction plans can be improved. Based on the shared information, green recyclers will quickly recycle waste, unused raw materials, and subpar products created during production, transportation, and construction stages to support production and construction. Through the information sharing platform, the effective transmission of logistics and information flow between each stage and each nodal enterprise of the supply chain is realized. With the goal of maximizing the overall profit of the supply chain, a collaborative pricing decision is made, and all nodal enterprises are encouraged to actively share information, improve the degree of information sharing, increase the overall profit of the supply chain, and realize information sharing and collaborative management of the green supply chain of prefabricated construction.

7. Conclusions

This article delves into the application of GIS technology to achieve information sharing and optimizes the information sharing platform based on BIM and RFID technologies, aiming to improve the overall efficiency of the supply chain. Through the optimization of this platform, we can not only obtain various data in the supply chain in real time, and accurately so, but also effectively promote information exchange and collaboration among enterprises at each node of the supply chain. Based on this, this article utilizes the Stackelberg game model to conduct an in-depth analysis of two pricing decision models: decentralized pricing and collaborative pricing. This model provides us with a clear framework to compare the impact of different pricing strategies on supply chain profits. The results indicate the following:
(1)
Under the premise of information sharing, when enterprises in the supply chain adopt collaborative pricing decisions aimed at maximizing the overall interests of the supply chain, the overall profit of the supply chain is significantly greater than that under decentralized pricing decisions aimed at maximizing individual interests. This finding emphasizes the importance of collaboration among enterprises in the supply chain and the possibility of achieving overall interest maximization through information sharing.
(2)
Further analysis reveals that the prefabricated green building supply chain system performs more outstandingly under collaborative pricing decisions. This is mainly due to the fact that collaborative pricing decisions can promote close cooperation among enterprises at various nodes of the supply chain, thus achieving optimal allocation of resources and cost reductions. At the same time, this also verifies the tremendous potential of GIS, BIM, and RFID technologies in improving supply chain management. It should be noted that while collaborative pricing decisions can increase the overall profit of the supply chain, there are also some potential risks. On the one hand, collaborative pricing requires a high level of trust and cooperation among enterprises at different nodes of the supply chain. A lack of trust or willingness to cooperate may lead to the failure of cooperation. On the other hand, collaborative pricing may involve issues of profit distribution among enterprises. If the profit distribution is unfair, it may lead to conflicts and disputes among enterprises. Therefore, when implementing collaborative pricing strategies, it is necessary to fully consider these potential risks and take corresponding measures to prevent and address them.
(3)
In addition, this article also finds a positive correlation between the degree of information sharing and the overall profit of the supply chain. Specifically, the higher the degree of information sharing, the greater the overall profit of the supply chain. This finding underscores the crucial role of information sharing in enhancing supply chain efficiency, reducing costs, and increasing profits. Therefore, encouraging enterprises at various nodes of the supply chain to actively share information will help improve the competitiveness of the entire supply chain.
The results of this study have contributed to the development of supply chain management theory, in particular, regarding information sharing and collaborative pricing. They demonstrate that information sharing and collaborative decision-making among enterprises can bring significant efficiency gains in supply chain management. This aligns with the importance of supply chain collaboration and information sharing in existing theories and provides new support for subsequent research. In addition, the significance of this study lies in verifying the importance of information sharing and collaborative pricing in enhancing the overall profit of the supply chain. This suggests that in the context of globalization and digitization, cooperation and collaboration between enterprises have become crucial to improve competitiveness. At the same time, it validates the authors’ hypothesis that optimizing information sharing and pricing strategies can enhance supply chain efficiency and increase profits.
This study provides an effective information sharing and collaborative pricing strategy that can help enterprises optimize supply chain management and increase overall profits. In practice, enterprises can utilize the information sharing platform constructed in this study to achieve rapid information flow and sharing, promoting collaboration among enterprises at various nodes of the supply chain. This will help enterprises reduce inventory costs, improve production efficiency, shorten delivery cycles, and enhance market competitiveness. Certainly, due to the universality of GIS, BIM, and RFID technologies, this information sharing platform is not only applicable to the prefabricated green building supply chain but can also be expanded to other industries that require efficient information management and supply chain collaboration. For example, the automotive industry can utilize this platform to achieve precise tracking of parts and supply chain collaboration, reducing inventory backlog and improving production efficiency. Additionally, the food industry can use this platform to monitor the entire process from production to sales, ensuring food safety and optimizing inventory.
While this study provides new ideas and methods for studying the profits of the prefabricated green building supply chain, it also has certain limitations. For instance, this study has not yet deeply explored how to effectively incentivize enterprises at various nodes of the supply chain to actively share information. Simultaneously, it is also meaningful to conduct research considering other factors that may affect supply chain profits, such as market demand and technological advancements, providing a more comprehensive reference for research in the field of supply chain management.

Author Contributions

Conceptualization and writing—review and editing, X.Z. and T.S.; methodology, Q.Y.; writing—original draft preparation, T.S. and Y.X.; visualization, Q.Y.; supervision, Q.Y. and Y.X.; project administration, X.Z.; funding acquisition, X.Z. All authors have read and agreed to the published version of the manuscript.

Funding

This study was supported by the Natural Science Foundation of China (71662007), the Natural Science Foundation of Guangxi (2018GXNSFAA281311), the Scientific Research Fund Project of the Zhu River and Xi River Economic Belt Development Research Institute of Guangxi Normal University (ZX2022006), the National Natural Science Foundation Joint Cultivation Project of Guangxi Normal University (2022PY007), and the Graduate Education Reform Project of Guilin University of Electronic Technology (2020YXW05).

Institutional Review Board Statement

Not applicable.

Informed Consent Statement

Informed consent is not applicable as this study did not involve humans.

Data Availability Statement

The data used to support the findings of this study are available from the corresponding author upon request.

Acknowledgments

The authors would like to thank the reviewers for their helpful comments and constructive suggestions, which have been very useful for improving the presentation of this paper.

Conflicts of Interest

There are no conflicts of interest, financial or otherwise, that have influenced the authors’ objectivity toward the production and/or publication of this study.

References

  1. Special Committee on Building Energy Consumption and Carbon Emission Data of China Building Energy Efficiency Association. 2022 China Building Energy Consumption and Carbon Emission Research Report; CABEE and Chongqing University: Chongqing, China, 2022. [Google Scholar]
  2. Ding, Z.; Zhu, M.; Tam, V.; Yi, G.; Tran, C. A system dynamics-based environmental benefit assessment model of construction waste reduction management at the design and construction stages. J. Clean. Prod. 2018, 176, 676–692. [Google Scholar] [CrossRef]
  3. Teng, Y.; Li, K.; Pan, W.; Ng, T. Reducing building life cycle carbon emissions through prefabrication: Evidence from and gaps in empirical studies. Build. Environ. 2018, 132, 125–136. [Google Scholar] [CrossRef]
  4. Xu, P.; Wang, Y.; Yao, H.; Hou, H. An exploratory analysis of low-carbon transitions in China’s construction industry based on multi-level perspective. Sustain. Cities Soc. 2023, 92, 104460. [Google Scholar] [CrossRef]
  5. Li, X.; Wang, C.; Alashwal, A.; Bora, S. Game analysis on prefabricated building evolution based on dynamic revenue risks in China. J. Clean. Prod. 2020, 267, 121730. [Google Scholar] [CrossRef]
  6. Tavares, V.; Soares, N.; Raposo, N.; Marques, P.; Freire, F. Prefabricated versus conventional construction: Comparing life-cycle impacts of alternative structural materials. J. Build. Eng. 2021, 41, 102705. [Google Scholar] [CrossRef]
  7. Bian, J.; Liu, C.; Zuo, C.; Hao, J.; Ma, W.; Duan, B.; Chen, C.; Liu, J. Reducing Carbon Emissions from Prefabricated Decoration: A Case Study of Residential Buildings in China. Buildings 2024, 14, 550. [Google Scholar] [CrossRef]
  8. Liu, S.; Li, Z.; Teng, Y.; Dai, L. A dynamic simulation study on the sustainability of prefabricated buildings. Sustain. Cities Soc. 2022, 77, 103551. [Google Scholar] [CrossRef]
  9. Luo, T.; Xue, X.; Wang, Y.; Xue, W.; Tan, Y. A systematic overview of prefabricated construction policies in China. J. Clean. Prod. 2021, 280, 124371. [Google Scholar] [CrossRef]
  10. Han, Y.; Fang, X.; Zhao, X.; Wang, L. Exploring the impact of incentive policy on the development of prefabricated buildings: A scenario-based system dynamics model. Eng. Constr. Archit. Manag. 2023. [Google Scholar] [CrossRef]
  11. Du, Q.; Yang, M.; Wang, Y.; Wang, X.; Dong, Y. Dynamic simulation for carbon emission reduction effects of the prefabricated building supply chain under environmental policies. Sustain. Cities Soc. 2024, 100, 105027. [Google Scholar] [CrossRef]
  12. Luo, L.; Shen, G.; Xu, G.; Liu, Y.; Wang, Y. Stakeholder-Associated Supply Chain Risks and Their Interactions in a Prefabricated Building Project in Hong Kong. J. Manag. Eng. 2019, 35, 94–107. [Google Scholar] [CrossRef]
  13. Liu, G.; Chen, R.; Xu, P.; Fu, Y.; Mao, C.; Hong, J. Real-time carbon emission monitoring in prefabricated construction. Autom. Constr. 2020, 110, 102945. [Google Scholar] [CrossRef]
  14. Èuš-Babiè, N.; Rebolj, D.; Nekrep-Perc, M.; Podbreznik, P. Supply-chain transparency within industrialized construction projects. Comput. Ind. 2014, 65, 345–353. [Google Scholar]
  15. Kim, S.; Nguyen, V. An AHP Framework for Evaluating Construction Supply Chain Relationships. Ksce J. Civ. Eng. 2018, 22, 1544–1556. [Google Scholar] [CrossRef]
  16. Simatupang, T.; Sridharan, R. Design for supply chain collaboration. Bus. Process Manag. J. 2008, 14, 401–418. [Google Scholar] [CrossRef]
  17. Badea, A.; Prostean, G.; Goncalves, G.; Allaoui, H. Assessing Risk Factors in Collaborative Supply Chain with the Analytic Hierarchy Process (AHP). Procedia Soc. Behav. Sci. 2014, 124, 114–123. [Google Scholar] [CrossRef]
  18. Atul, P.; Kasun, N. Building information modeling (BIM) partnering framework for public construction projects. Autom. Constr. 2013, 31, 204–214. [Google Scholar]
  19. Nawari, N.; Ravindran, S. Blockchain and the built environment: Potentials and limitations. J. Build. Eng. 2019, 25, 100832. [Google Scholar] [CrossRef]
  20. Bansal, V. Use of GIS and topology in the identification and resolution of space conflicts. J. Comput. Civ. Eng. 2010, 25, 159–171. [Google Scholar] [CrossRef]
  21. Irizarry, J.; Karan, E. Optimizing location of tower cranes on construction sites through GIS and BIM integration. J. Inf. Technol. Constr. 2012, 17, 351–366. [Google Scholar]
  22. Irizarry, J.; Karan, E.; Jalaei, F. Integrating BIM and GIS to improve the visual monitoring of construction supply chain management. Autom. Constr. 2013, 31, 241–254. [Google Scholar] [CrossRef]
  23. Wang, L.; Lin, Y. Dynamic mobile RFID-based supply chain control and management system in construction. Adv. Eng. Inf. 2007, 21, 377–390. [Google Scholar] [CrossRef]
  24. Meadati, P.; Irizarry, J.; Akhnoukh, A. BIM and RFID integration: A pilot study. Adv. Integr. Constr. Educ. Res. Pract. 2010, 5, 570–578. [Google Scholar]
  25. Cai, X.; Chen, J.; Xiao, Y.; Xu, X.; Yu, G. Fresh-product supply chain management with logistics outsourcing. Omega 2013, 41, 752–765. [Google Scholar] [CrossRef]
  26. Xu, G.; Dan, B.; Zhang, X. Coordinating a dual-channel supply chain with risk-averse under a two-way revenue sharing contract. Int. J. Prod. Econ. 2014, 147, 171–179. [Google Scholar] [CrossRef]
  27. Zhou, W.; Han, X.; Shen, Y. Closed-loop Supply Chain Pricing and Service Level Decision and Coordination considering Consumer Behavior. Comput. Integr. Manuf. Syst. 2017, 23, 2241–2250. (In Chinese) [Google Scholar]
  28. Hu, Q.; Xu, B. Differential game analysis of optimal strategies and cooperation in omni-channel organic agricultural supply chain. Sustainability 2019, 11, 848. [Google Scholar] [CrossRef]
  29. Zhang, C.; Liu, L. Research on coordination mechanism in three-level green supply chain under non-cooperative game. Appl. Math. Model. 2013, 37, 3369–3379. [Google Scholar] [CrossRef]
  30. Ma, J. Research on the revenue-sharing mechanism based on the price game of retailers. Wseas Trans. Math. 2014, 13, 484–492. [Google Scholar]
  31. Kim, Y.; Han, S.; Yi, J.; Chang, S. Supply chain cost model for prefabricated building material based on time-driven activity-based costing. Can. J. Civ. Eng. 2016, 20, 10–17. [Google Scholar] [CrossRef]
  32. Heydari, J.; Rastegar, M.; Glock, C. A two-level delay in payments contract for supply chain coordination: The case of credit-dependent demand. Int. J. Prod. Econ. 2017, 18, 39–50. [Google Scholar] [CrossRef]
  33. Yang, J.; Zhang, X. Dual-channel supply chain pricing and coordination considering retailers’ strategic inventory. J. Syst. Manag. 2019, 28, 1115. [Google Scholar]
  34. Zhu, M.; Wang, Y.; Liu, R.; Fan, L. Stackelberg game-based method towards carbon-economy equilibrium for the prefabricated construction supply planning: A case study from China. Sustain. Cities Soc. 2024, 106, 105356. [Google Scholar] [CrossRef]
  35. Wang, H.; Liu, H. Research on collaborative pricing of prefabricated building supply chain: Based on BIM-RFID information sharing platform. Constr. Econ. 2020, 41, 54–59. [Google Scholar]
  36. Venegas, B.; Ventura, J. A Two-Stage Supply Chain Coordination Mechanism considering Price Sensitive Demand and Quantity Discounts. Eur. J. Oper. Res. 2017, 26, 104–110. [Google Scholar] [CrossRef]
  37. Wang, Y.; Ren, J.; Zhang, L.; Liu, D. Research on Resilience Evaluation of Green Building Supply Chain Based on ANP-Fuzzy Model. Sustainability 2023, 15, 285. [Google Scholar] [CrossRef]
  38. Shen, Y.; Faure, M. Green building in China. Int. Environ. Agreem. Politics Law Econ. 2021, 21, 183–199. [Google Scholar] [CrossRef]
  39. Fountain, J.; Langar, S. Building Information Modeling (BIM) outsourcing among general contractors. Autom. Constr. 2018, 95, 107–117. [Google Scholar] [CrossRef]
  40. Li, N.; Calis, G.; Becerik-Gerber, B. Measuring and monitoring occupancy with an RFID based system for demand-driven HVAC operations. Autom. Constr. 2012, 24, 89–99. [Google Scholar] [CrossRef]
  41. Ni, L.; Liu, Y.; Lau, Y.; Patil, A. LANDMARC: Indoor Location Sensing Using Active RFID; Wireless Networks; Kluwer Academic Publishers: Alphen aan den Rijn, The Netherlands, 2004; pp. 701–710. [Google Scholar]
  42. Li, N.; Becerik-Gerber, B. Performance-based evaluation of RFID-based indoor location sensing solutions for the built environment. Adv. Eng. Inform. 2011, 25, 535–546. [Google Scholar] [CrossRef]
  43. Motamedi, A.; Hammad, A. Lifecycle management of facilities components using radio frequency identification and building information model. ITcon 2009, 14, 238–262. [Google Scholar]
  44. Wang, H.; Pan, Y.; Luo, X. Integration of BIM and GIS in sustainable built environment: A review and bibliometric analysis. Autom. Constr. 2019, 103, 41–52. [Google Scholar] [CrossRef]
Figure 1. Information sharing platform of green supply chain of prefabricated construction.
Figure 1. Information sharing platform of green supply chain of prefabricated construction.
Sustainability 16 05579 g001
Figure 2. The relationship between the contractor’s unit price and the profit of the supply chain.
Figure 2. The relationship between the contractor’s unit price and the profit of the supply chain.
Sustainability 16 05579 g002
Figure 3. Relationship between information sharing degree, contractor unit price, and overall profit.
Figure 3. Relationship between information sharing degree, contractor unit price, and overall profit.
Sustainability 16 05579 g003
Table 1. Parameters notations.
Table 1. Parameters notations.
NotationsDescription
p 0 Price of similar products in the market
p 1 Unit price offered by supplier to contractor
p 2 Contractor’s as-built unit price with owner
p 3 Service prices of third-party information platform unit products
p 4 Green recycler unit product disposal pricing
c 1 Production unit cost of suppliers
c 2 Contractor’s unit costs for design, logistics, construction, etc.
c 3 Unit cost of operating third-party information platform
c 4 Green recyclers’ disposal costs per unit of product
n 1 p 3 Third-party information platform service unit costs borne by suppliers
n 2 p 3 Third-party information platform service unit costs borne by contractor
w 1 Scrap rate in supplier’s manufacturing process
w 2 Contractor’s scrap rate during logistics and construction
Q Demand per unit cycle
a Constants, demand due to other factors
b Constants, sensitivity coefficient of demand to price, b > 0
s Information sharing degree
k s Demand caused by information sharing degree
π 1 Profit of suppliers
π 2 Profit of contractors
π 3 Profits of third-party information platforms
π 4 Profits of green recyclers
π Overall supply chain profit
Table 2. Main parameter values.
Table 2. Main parameter values.
Parametric a b k s c 1 c 2 c 3 c 4 n 1 n 2 w 1 w 2
Value400039.6250.524075100.60.40.010.03
Table 3. Comparison of results under different decision models (unit: yuan).
Table 3. Comparison of results under different decision models (unit: yuan).
ProjectDispersed PricingCollaborative Pricing∆(Collaborative Pricing − Dispersed Pricing)
Supplier unit price76.17
Contractor unit price99.3576.87−22.48
Third-party information platform service unit price14.20
Green recycler treatment unit price274.53
Demand for components78.57968.98890.41
Profit of supplier1922.40
Profit of contractor155.87
Profit of third-party information platform779.37
Profit of green recycler831.33
Overall profit of supply chain3688.9723,71020,021.03
Table 4. Comparison of results of collaborative pricing decision models with different degrees of information sharing.
Table 4. Comparison of results of collaborative pricing decision models with different degrees of information sharing.
s = 0.45 s = 0.60 s = 0.85 s = 1
Contractor unit price p 2 76.8576.8976.9777.02
Demand for components Q 968.11969.98973.11974.98
Overall profit of supply chain π 23,66723,75923,91224,005
Disclaimer/Publisher’s Note: The statements, opinions and data contained in all publications are solely those of the individual author(s) and contributor(s) and not of MDPI and/or the editor(s). MDPI and/or the editor(s) disclaim responsibility for any injury to people or property resulting from any ideas, methods, instructions or products referred to in the content.

Share and Cite

MDPI and ACS Style

Zhang, X.; Yang, Q.; Song, T.; Xu, Y. Collaborative Pricing of Green Supply Chain of Prefabricated Construction. Sustainability 2024, 16, 5579. https://doi.org/10.3390/su16135579

AMA Style

Zhang X, Yang Q, Song T, Xu Y. Collaborative Pricing of Green Supply Chain of Prefabricated Construction. Sustainability. 2024; 16(13):5579. https://doi.org/10.3390/su16135579

Chicago/Turabian Style

Zhang, Xuelong, Qian Yang, Tingting Song, and Yuxin Xu. 2024. "Collaborative Pricing of Green Supply Chain of Prefabricated Construction" Sustainability 16, no. 13: 5579. https://doi.org/10.3390/su16135579

APA Style

Zhang, X., Yang, Q., Song, T., & Xu, Y. (2024). Collaborative Pricing of Green Supply Chain of Prefabricated Construction. Sustainability, 16(13), 5579. https://doi.org/10.3390/su16135579

Note that from the first issue of 2016, this journal uses article numbers instead of page numbers. See further details here.

Article Metrics

Back to TopTop