Next Article in Journal
Enhancing Carbon Sequestration: A Systematic Literature Review of Spatial Decision Support Tools
Next Article in Special Issue
Optimization and Performance Comparison of Heat Pump Supplemental Heating Systems in a Heat Supply Station
Previous Article in Journal
Carbon Dioxide Gasification of Biochar: A Sustainable Way of Utilizing Captured CO2 to Mitigate Greenhouse Gas Emission
Previous Article in Special Issue
A Dimensionless Study Describing Heat Exchange through a Building’s Opaque Envelope
 
 
Font Type:
Arial Georgia Verdana
Font Size:
Aa Aa Aa
Line Spacing:
Column Width:
Background:
Article

Simulation of Coupled Hydraulic–Thermal Characteristics for Energy-Saving Control of Steam Heating Pipeline

1
Huadian Electric Power Research Institute Co., Ltd., Hangzhou 310030, China
2
School of Environmental Science and Engineering, Tianjin University, Tianjin 300350, China
*
Author to whom correspondence should be addressed.
Sustainability 2024, 16(12), 5043; https://doi.org/10.3390/su16125043
Submission received: 29 April 2024 / Revised: 24 May 2024 / Accepted: 3 June 2024 / Published: 13 June 2024
(This article belongs to the Special Issue Renewable Energy Technology and Sustainable Building Research)

Abstract

The steam heating pipeline, as a heat energy delivery method, plays an important role in petrochemical, food processing, and other industrial fields. Research on dynamic hydraulic and thermal calculation methods for steam heating pipelines is the basis for the realization of precise control and efficient operation of steam pipe networks, which is also the key to reducing the energy consumption and carbon emissions of urban heating. In this study, the coupled hydraulic–thermal model of a steam pipeline is established considering the steam state parameter changes and condensate generation, the SIMPLE algorithm is used to realize the model solution, and the accuracy of the model is verified by the actual operation data of a steam heat network. The effects of condensate, environmental temperature, and steam pipeline inlet temperature and pressure changes on the hydraulic and thermal characteristics of the steam pipeline are simulated and analyzed. Results indicate that condensate only has a large effect on the steam outlet temperature and has almost no effect on the outlet pressure. As the heat transfer coefficient of the steam pipeline increases, the effect of both condensate and environmental temperature on the steam outlet temperature increases. The effect of the steam inlet pressure on the outlet pressure is instantaneous, but there is a delay in the effect of the inlet temperature on the outlet temperature, and the time required for outlet temperature stabilization increases by about 25 s to 30 s for each additional 400 m of pipeline length. The research can be applied to the control of supply-side steam temperature and pressure parameters in actual steam heating systems. Utilizing the coupled hydraulic–thermal characteristics of the steam pipeline network, tailored parameter control strategies can be devised to enhance the burner’s combustion efficiency and minimize fuel consumption, thereby significantly augmenting operational efficiency and fostering sustainable development within the steam heating system.

1. Introduction

Steam has characteristics of a wide temperature range and pressure changes, high heat-carrying capacity, and low thermal inertia. It is irreplaceable in industrial situations, such as food, chemical, and pharmaceutical industries [1]. According to the China Urban Construction Statistical Yearbook, China’s steam system supplied 671.13 million GJ of heat, accounting for 15.67% of the total heat supplied in 2022 [2]. Improving the operational energy efficiency of steam heating systems can realize energy saving, which contributes to sustainable development. Steam needs to be transported by a steam heating pipeline. Due to the multi-heat-source nature of industrial steam heating systems, the load fluctuation of the heat users, and the state change of steam in the flow process, the hydraulic and thermal characteristics of steam heating pipelines are complex and variable [3,4,5].
Establishing an efficient and accurate mathematical model of steam heating pipelines is an important way to study the steam hydraulic–thermal characteristics and to improve the operational energy efficiency of steam heating systems, and several scholars have researched this issue. Hinkelman et al. (2022) [6] proposed a novel split-medium approach that enables the simultaneous numerical computation of an efficient liquid water model with various water/steam models, which breaks costly algebraic loops and reduces computation time significantly. Hofmann et al. (2018) [7] developed a new algorithm for fast computation of water/steam properties in the single-phase and two-phase regions, which is useful for solving the steam control equations. It can be applied to real-time calculations and reduces the computation time. Zhuang et al. (2024) [8] modeled an energy system coupled with electricity and steam and introduced a steam accumulator into the system to compensate for fluctuations in renewable energy sources, and the overall economic efficiency of the system was improved by 11.39%, proving the feasibility of joint operation of the electricity–steam system. Garcia-Gutierrez et al. (2015) [9] established a hydraulic model of steam transportation based on an existing simulator for a 125 km long steam pipeline network in Mexico, and the average relative error between the calculated pressure and flow rate and the measured values was less than 10%. Zhong et al. (2023) [10] established a dynamic hydraulic model and a thermal inertia model of a steam system and investigated the feasibility of utilizing the thermal inertia of steam for energy storage to meet the optimal scheduling of energy systems in industrial parks. The results show that it is feasible to simulate a large-scale steam pipeline reliably with numerical simulators [11].
Due to heat loss from the pipeline to the environment, steam will condense during the flow process, and for long-distance steam pipelines, the impact of condensate on the hydraulic and thermal characteristics of steam cannot be ignored [12]. Zhou et al. (2023) [13] proposed an adaptive space-step simulation method for steam networks taking condensate losses into account, where the steam enthalpy is obtained by a quasi-linear fitting method to simplify the calculation. Results show that the method is applicable to pipeline networks containing both superheated and saturated steam. Wang et al. (2017) [14] proposed a new hydraulic–thermal model for steam heat network transportation that considers the amount of drainage losses, resulting in the acquisition of drainage mass loss and heat loss to more accurately describe the steam flow parameters. Yang et al. (2023) [15] proposed an improved method to optimize the dynamic operation of the steam thermal network, where the steam pipeline network is modeled by a thermal–electrical analogy model and graph theory. It is assumed that the steam is superheated and there is no phase transition, and when the steam pipeline exceeds 8 km, condensate may appear, thus affecting the dynamic steam transmission. Zhong et al. (2015) [16] developed a hydraulic computational model to study the flow pattern of steam considering heat dissipation and condensate, where the steam density and the friction coefficient are considered as constant. Chen et al. (2022) [17] considered condensate loss and heat dissipation and proposed a new simulation method for an electric–steam combined operation system, which improved the accuracy of heat loss calculation, and verified the accuracy of the model through the actual pipeline network. The results show that it is feasible to eliminate steam stagnation by optimizing the heat load of each heating source and it is essential to take condensate into account when calculating the steam state.
In addition, the external environmental temperature, pipeline sizing, and resistance are the key parameters that affect the hydraulic and thermal characteristics of the steam pipeline [18]. Jie et al. (2020) [19] developed an optimization model to minimize the environmental impact by optimizing the pressure drop per unit length of the network, which takes into account the heat source, the operation strategy, and the design temperature range. Zhang et al. (2023) [20] used MATLAB R2020b software to analyze the effect of pipeline diameter and soil depth on the whole life cycle cost of direct buried heating pipeline networks and made an economic evaluation of the thickness of pipeline insulation. The optimum thickness of the insulation layer for different pipeline types is given, which provides a reference for designing and analyzing pipeline insulation. Kruczek et al. (2013) [21] presented a novel method for determining annual heat loss from pipelines to the external environment for complex steam pipelines. The annual heat loss is predicted by the fluctuation of meteorological parameters throughout the year, and the payback period is calculated to determine the pipeline segments to be retrofitted. Zeng et al. (2016) [22] optimized the pipeline diameter combination of steam heat network based on a genetic algorithm, established a mathematical model of the annual equivalent cost of a regional heating and cooling pipeline network, and analyzed the impact of electricity price on the economy of the optimal pipeline diameter combination. The study shows that the electricity price has little effect on the economy of the optimal pipe diameter combination, so the method is applicable to pipe networks in all regions.
The above research provides a foundation for the modeling and simulation of steam heating pipelines. However, the current unsteady-state modeling of steam pipelines is usually simplified as steady-state hydraulic modeling coupled with dynamic thermal modeling, which results in the steam hydraulic and thermal calculations being separated and failing to form a unified computational whole and affects the accuracy of the calculations.
In this paper, a coupled hydraulic–thermal unsteady-state model of a steam heating pipeline that considers condensate generation and steam state parameter changes is developed, and the model accuracy is verified by the actual operation data of a branched steam heat network. The effects of heat transfer coefficient and frictional resistance coefficient on the outlet temperature and pressure of the steam pipeline are simulated and analyzed, and the calculation results of the model with and without considering condensate are compared. The effects of key parameters including pipeline length, external environmental temperature, and inlet boundary on the hydraulic and thermal characteristics of steam are analyzed. This study can guide the efficient operation of steam pipeline networks and improve the efficiency of heat energy utilization.

2. Methods

2.1. Mathematical Model

2.1.1. Assumptions

Considering the generation of condensate and the changes in steam state parameters of the steam pipeline, the coupled hydraulic–thermal unsteady-state model of a steam pipeline is established, and the following assumptions are made for simplicity [23]:
  • One-dimensional modeling along the direction of the steam pipeline is carried out, ignoring the radial variation. The one-dimensional assumption causes the model to calculate condensate as uniformly distributed in the control body, contrary to the fact that condensate is actually generated on the pipeline wall, but through calculations, when the ratio of the pipeline length to the pipeline diameter is over 100, the impact of the assumption on the accuracy of the results can be ignored;
  • The total heat transfer coefficient between the steam and the external environment changes little during the flow process and is regarded as a constant in each pipeline;
  • The valve in the pipeline is fully open and its resistance is ignored.

2.1.2. Mathematical Model

The steam pipelines are divided into control bodies along the pipeline direction and the hydraulic–thermal properties of the steam are analyzed as shown in Figure 1. The continuity equation, the momentum conservation equation, and the energy conservation equation of the steam in the control bodies are established.
During the flow, the steam satisfies conservation of mass and condensation may occur with the decrease in temperature and, considering it as a source term, the continuity equation can be expressed as:
ρ τ + ( ρ u ) x = m c A d x
The steam in the pipeline is simultaneously subjected to pressure, frictional resistance, and gravity, and considering the momentum carried away by the condensate, the momentum conservation equation for the steam is as follows [24]:
( ρ u ) τ + ( ρ u u ) x = p x f ρ 2 d u | u | ρ g sin θ m c u A d x
The frictional resistance coefficient is a function of Reynolds number and the equivalent roughness of the inner surface of the pipeline, the relation equation is obtained by experimental or semi-theoretical analysis, and the Aльтщyль formula [25] which has better applicability is adopted in this paper.
f = 0.11 ( Δ d + 68 Re ) 0.25
Considering the heat loss of steam to the external environment and the heat carried away by the condensate, the energy conservation equation can be expressed as:
( ρ h ) τ + ( ρ u h ) x = 4 k ( T T a ) d m c h c A d x
In the process of heat transfer between steam and the external environment, the total thermal resistance is calculated using the principle of tandem stacking, including the convective heat transfer thermal resistance inside and outside the surfaces of the pipeline and the thermal-conduction resistance of the pipeline wall and the insulation layer. The specific equation of the heat transfer coefficients is as follows:
k = 1 R th = 1 d p 1 α m d pi + d p ln ( d po / d pi ) 2 λ p + d p ln ( d io / d po ) 2 λ i + d p 1 d io ( α a + α r )
Steam is a compressible fluid and, in the process of steam flow, the specific volume changes with the temperature, which affects the pressure and velocity distribution of the fluid. To describe the changes in the state parameters of steam more accurately, the specific formula is introduced and expressed as follows and the detailed description can be found in Appendix A [26].
υ p R T = C p ( γ C p 0 + γ C p r )
h R T = C T ( γ C T 0 + γ C T r )

2.2. Numerical Calculation Method

Combining the observed data and computational requirements, boundary conditions including steam pipeline inlet temperature, pressure, mass flow rate, and external environmental temperature are set. The outlet temperature and velocity of the steam pipeline are treated through local monomialization, and outlet pressure is assumed and corrected by the calculated deviation of the inlet pressure since the pressure is transmitted bidirectionally.
The length of the steam pipeline in actual operation is typically measured in kilometers, and considering the calculation accuracy and calculation time, the length of the pipeline control body is set to 2 m. The control equation is discretized by the control volume integral method, in which the unsteady term adopts the time-implicit scheme, the convection term adopts the first-order upwind scheme, and the diffusion term adopts the segmented linear hypothesis. The convergence criterion (ε) in the calculation process is taken as 0.01. The numerical method is realized by the Java environment and the flowchart of the numerical method is shown in Figure 2. The specific solution steps are as follows:
  • At the beginning, the total computation time and time step are set. After the internal iterative computation of each time step converges, the computation results are used as inputs for the next time step and the process continues until the total computation time is reached.
  • Geometrical, physical, initial, and boundary conditions are input, including pipeline length, diameter, equivalent roughness, inclination, heat transfer coefficient, initial steam temperature, pressure, and velocity, inlet steam temperature, pressure, and mass flow rate, and environmental temperature.
  • For calculations in each time step, the condensate amount is first assumed, the temperature and pressure distribution of steam can be calculated, and the new condensate amount can be obtained by calculating the latent heat loss at this time step. The deviation between the new value and the initial value of the condensate amount is used to correct the condensate amount and iterated until convergence.
  • For iteration of condensate amount, the outlet pressure value is first assumed and the control equations are solved by the SIMPLE algorithm, which takes the steam temperature and pressure distribution as the convergence condition. The outlet pressure is continuously corrected until the calculated value of the inlet pressure corresponds to the set value of the inlet pressure boundary.
Figure 2. Flowchart of the numerical method.
Figure 2. Flowchart of the numerical method.
Sustainability 16 05043 g002

3. Model Validation

3.1. Experimental System

To verify the validity of the coupled hydraulic–thermal model, the actual operation data of the steam heat network (located in Binhai New Area, Tianjin, China) were used. The heat network has 54 pipeline sections with a total pipeline length of 7.1 km, and the pipeline topology is shown in Figure 3. In Figure 3, “E” and “V” represent pipelines and heat users, respectively, and “V0” is the heat source. The steam network is divided into four sections by region, with different colors distinguishing the corresponding trunk pipelines. The length and diameter of the pipelines are obtained through the existing information and actual measurement and the statistical pipeline information is shown in Table 1. The specific structure of a single pipeline is shown in Figure 4.
The distribution of temperature, pressure, and velocity of steam can reflect the coupled hydraulic–thermal characteristics, so measurement points for these parameters are set in front of each heat user’s valve, which can eliminate the effects of user-side valve resistance. The specific information of the measuring instruments is shown in Table 2.

3.2. Experimental Results and Model Validation

Pipeline operating data under typical conditions were used to verify the model’s validity, and the results are shown in Figure 5 and Figure 6. It can be seen that for measurement points closer to the heat source, the relative error between the calculated values and measured values is smaller, less than 6%, and on the contrary, where the measurement points are further away, the relative error is larger, and except for two anomalous measurement points, the relative error of measurement points far away from the heat source can be up to 15%. This is because the effect of the valve on the pipeline resistance, which is neglected in the model, increases as the pipeline length increases. Overall, the average relative error between the calculated and measured values does not exceed 8%, which indicates that the established coupled hydraulic–thermal model accurately reflects the real operating status.

4. Result and Discussion

4.1. Influence of Two Coefficients

The frictional resistance coefficient and heat transfer coefficient affect the steam flow state and condensate generation, which have an impact on the accuracy of model calculation, and the effect of changes in individual coefficients on the steam state is shown in Figure 7 and Figure 8. As the frictional resistance coefficient increases, the resistance loss and pressure drop increase, resulting in a decrease in outlet pressure. The inlet mass flow rate of the steam remains constant, and the pressure drop causes a reduction in density. To maintain mass conservation, the steam velocity increases, leading to increased heat loss and a subsequent decrease in steam outlet temperature. Compared to the model without considering condensate, considering condensate has no effect on the outlet pressure, but the outlet temperature increases by about 3 °C. The total heat loss remains the same, but when considering condensate, a portion of the heat loss is borne by latent heat, resulting in a higher steam outlet temperature.
As the heat transfer coefficient increases, the heat loss to the environment increases, causing a decrease in the steam outlet temperature, but the outlet pressure is essentially unaffected. Compared to the model without considering condensate, considering condensate has almost no effect on the outlet pressure, but the outlet temperature is higher. As the heat transfer coefficient rises from 0.4 W/(m2·K) to 1.2 W/(m2·K), the outlet temperature difference increases from 2.7 °C to 14 °C. As the heat transfer coefficient increases, the heat loss and condensate amount increase, and the proportion of sensible heat loss to the total heat loss decreases, resulting in a corresponding higher outlet temperature.

4.2. Pipeline Dynamic Hydraulic–Thermal Characterization

A section of steam pipeline is used as an example for unsteady-state condition analysis, and the effects of changes in environmental temperature, inlet temperature, and inlet pressure on the steam hydraulic–thermal characteristics are considered respectively. The geometrical and physical boundary information of the steam pipeline is shown in Table 3. Based on the actual operating data, the initial temperature, pressure, and velocity of each control body are set to 280 °C, 1 MPa, and 30 m/s, respectively. The standard values of inlet temperature, pressure, and mass flow rate, and environmental temperature are 283 °C, 1.6 MPa, 62.71 t/h, 15 °C, respectively.

4.2.1. Change of Environmental Temperature

The environmental temperature change of a typical day in Tianjin was input, and the variation of outlet temperature of the steam pipeline is shown in Figure 9. It can be seen that the change trend of steam outlet temperature and the environmental temperature is basically the same. Due to the thermal inertia of the pipeline, the change in outlet temperature has a delay of about 30 min. A change of 12 °C in environmental temperature results in a change of only 0.03 °C in outlet temperature of the steam pipeline, which is because the heat transfer coefficient is set to a small value.
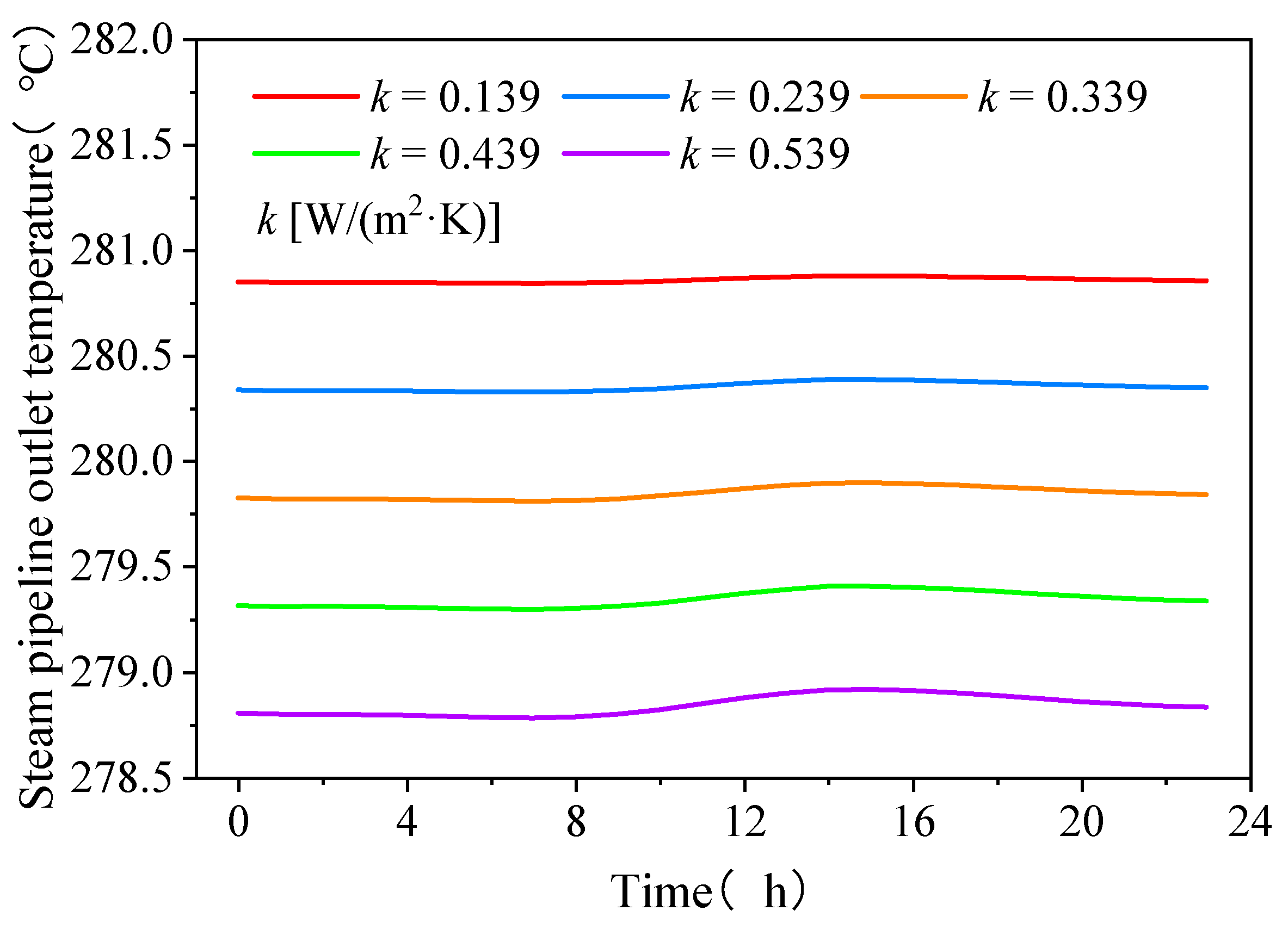
Using the above typical environmental temperature, the effect of the heat transfer coefficient change on the steam pipeline outlet temperature is shown in Figure 10. As the heat transfer coefficient increases, the steam heat loss increases and the outlet temperature decreases. The trend of outlet temperature change is basically the same, but the temperature fluctuation grows with the increasing heat transfer coefficient. When the heat transfer coefficient increases from 0.139 W/(m2·K) to 0.539 W/(m2·K), the outlet temperature decreases by 2.0 °C, and the difference between the peak and valley values of outlet temperature increases from 0.05 °C to 0.18 °C.

4.2.2. Change in Steam Pipeline Inlet Temperature

The pipeline inlet temperature increases by 50 °C in 50 s and the outlet temperature and pressure changes are shown in Figure 11. As the inlet mass flow rate and pressure of the steam are set to a constant value, and the increasing inlet temperature results in a decrease in density and an increase in velocity. The resistance loss in the steam pipeline increases, resulting in a decrease in the outlet pressure, and the outlet temperature decreases as the outlet pressure decreases. At 30 s, the temperature wave is transmitted to the pipeline outlet, and the steam outlet temperature increases with the inlet temperature. At 50 s, the inlet temperature starts to remain constant, and the outlet pressure reaches its lowest value. Subsequently, the outlet pressure increases along with the outlet temperature. The outlet pressure and outlet temperature remain essentially unchanged after 120 s and 130 s, respectively, and both eventually reach full stabilization at 150 s.
The temperature wave transmits much slower than the pressure wave. To investigate the effect of different pipeline lengths on the time for outlet temperature stabilization, the variation of steam outlet temperature with inlet temperature for different pipeline lengths is shown in Figure 12. The time to stabilize is different for different pipeline lengths, about 100 s for 400 m, 125 s for 800 m, 150 s for 1200 m, and 180 s for 1650 m. Excluding the 50 s for the inlet temperature change, the time to stabilize is basically proportional to the pipeline length. For each additional 400 m of pipeline length, the time to stabilize increases by about 25 s to 30 s.

4.2.3. Change in Steam Pipeline Inlet Pressure

The steam pipeline inlet pressure decreases by 0.5 MPa in 50 s and the outlet temperature and pressure changes are shown in Figure 13. The inlet temperature is set to a constant, so the steam density drops with decreasing inlet pressure, and the steam velocity increases to satisfy the mass conservation, leading to an increase in the resistance loss. Under the combined effect of inlet pressure and resistance loss, the outlet pressure decreases faster than the inlet pressure. It can be seen that the outlet pressure decreases with inlet pressure with almost no delay, and after two fluctuations, the outlet pressure reaches stability at 80 s. The outlet temperature first fluctuates under the influence of outlet pressure changes, but the inlet temperature is set to a constant value, and as the temperature wave is transferred to the outlet, the outlet temperature rises and eventually stabilizes at 150 s.

5. Conclusions

In this study, the dynamic coupled hydraulic–thermal model of a steam pipeline is established considering the steam state parameter changes and condensate generation, and the model accuracy is verified by the operating data of the steam pipeline network under typical conditions. The necessity of considering condensate is clarified based on the comparative analysis of the calculation results between the model with and without considering condensate. The effects of the changes in frictional resistance coefficient, heat transfer coefficient, environmental temperature, pipeline inlet temperature, and pipeline inlet pressure on the hydraulic and thermal characteristics of the steam pipeline are simulated and analyzed, and the main conclusions are obtained as follows:
  • The dynamic coupled hydraulic–thermal model of a steam pipeline is experimentally verified by the operating data of a steam pipeline network, and the average relative error between the calculated and measured values of steam state parameters is only 8%, proving the accuracy of the model.
  • Considering condensate or not has a small effect on the outlet pressure of the steam pipeline but has a larger effect on the outlet temperature. When the heat transfer coefficient increases by 0.8 W/(m2·K), the effect of condensate on the steam outlet increases the temperature by 11.3 °C.
  • The effect of environmental temperature on the outlet temperature of the steam pipeline is delayed and attenuated, and the larger the heat transfer coefficient of the steam pipeline, the more significant the effect of environmental temperature.
  • As the steam pipeline inlet temperature increases, the time required for outlet temperature stabilization increases by 25 s to 30 s for each additional 400 m of pipeline length. As the inlet pressure decreases, the outlet pressure decreases without delay, and the magnitude of the outlet pressure decrease is even greater.
The study of the hydraulic thermal coupling characteristics of steam heating pipelines in this article can establish the relationship between supply and demand of steam heating systems and guide the adjustment and control of actual operating parameters of steam heating systems. By adjusting the pressure and temperature on the steam supply side, while managing the steam supply grade to satisfy the system’s end demand, one can optimize burner combustion efficiency, enhance energy conversion efficiency, and mitigate energy consumption and carbon emissions, ultimately enhancing operational efficiency and fostering sustainable development within the steam heating system.

Author Contributions

Conceptualization, X.G. and L.Z.; methodology, Y.W., Y.J., Y.Z. and W.F.; software, Y.W. and Y.J.; formal analysis, Y.Z. and W.F.; project administration, X.G. and L.Z. All authors have read and agreed to the published version of the manuscript.

Funding

This research received no external funding.

Institutional Review Board Statement

Not applicable.

Informed Consent Statement

Not applicable.

Data Availability Statement

The data in this manuscript are presented in figures and tables, and there is no additional data that needs to be published.

Conflicts of Interest

Authors (Xinyong Gao, Lijun Zheng) were employed by the company (Huadian Electric Power Research Institute Co., Ltd.).

Nomenclature

Across-sectional area of pipeline (m2)ReReynolds number
C p dimensionless pressure of steam T steam temperature (K)
C T dimensionless temperature of steam T * reference steam temperature (K)
C μ dimensionless dynamic viscosity of steamTaexternal environmental temperature (K)
C μ 0 dimensionless kinetic viscosity of steam in the dilute gas limitusteam velocity (m/s)
C μ 1 the effect of finite density on the dimensionless kinetic viscosity of steamGreek symbols
C μ 2 critical enhancement of dimensionless kinetic viscosity of steam α a convective heat transfer coefficient between insulation and environment (W/(m2·K))
C ρ dimensionless density of steam α m convective heat transfer coefficient between steam and pipeline wall (W/(m2·K))
d pipeline diameter (m) α r radiant heat transfer coefficient of the insulation outer wall (W/(m2·K))
dppipeline nominal diameter (m) γ C p 0 ideal partial dimensionless pressure correlation
dpiinner diameter of pipeline (m) γ C p r remainder of dimensionless pressure correlation
dpoouter diameter of the pipeline (m) γ C T 0 ideal partial dimensionless temperature correlation
dioouter diameter of insulation (m) γ C T r remainder of dimensionless temperature correlation
ffrictional resistance coefficient θ pipeline inclination (rad)
ggravitational acceleration (m/s2)λpthermal conductivity of pipeline (W/(m·K))
henthalpy of steam (kJ/kg)λithermal conductivity of the insulation layer (W/(m·K))
hcenthalpy of condensate (kJ/kg) μ dynamic viscosity (Pa·s)
kheat transfer coefficient (W/(m2·K)) μ * reference power viscosity (Pa·s)
lpipeline length (m) υ the specific volume of steam (m3/kg)
mccondensate quantity (kg/s) ρ steam density (kg/m3)
psteam pressure (Pa) ρ * reference steam density (kg/m3)
p*reference steam pressure (Pa) τ time (s)
R th total heat transfer thermal resistance (m2·K/W) Δ equivalent roughness of steam pipeline (mm)
Rsteam gas constant (J/(kg·K))

Appendix A

To describe the changes in the state parameters of steam more accurately, the formula recommended by IAWPS97 is introduced, and the specific formula is expressed as follows:
υ p R T = C p ( γ C p 0 + γ C p r )
h R T = C T ( γ C T 0 + γ C T r )
γ C p 0 = 1 / C p
γ C p r = i = 1 43 n i I i C p I i 1 ( C T 0.5 ) J i
γ C T 0 = i = 1 9 n i 0 J i 0 C T J i 0 1
γ C T r = i = 1 43 n i J i C p I i ( C T 0.5 ) J i 1
C μ = C μ 0 × C μ 1 × C μ 2
C μ 0 = 100 C T i = 0 3 H i C T i
C μ 1 = exp [ C ρ i = 0 5 ( 1 C T 1 ) i j = 0 6 H i j ( C ρ 1 ) j ]
C p = p / p * , C T = T / T * , C μ = μ / μ * , C ρ = ρ / ρ *
where n i , I i , J i , n i 0 , J i 0 , H i , H i j are calculation coefficients and the values of all the parameters in the equation are set in Table A1, Table A2, Table A3, Table A4 and Table A5.
Table A1. Setting of steam gas constants and reference values.
Table A1. Setting of steam gas constants and reference values.
Parameter NameValueUnit
R 0.461526kJ/(kg·K)
p * 1MPa
T * 540K
μ * 1.00 × 10−6Pa·s
ρ * 322kg/m3
Table A2. Coefficients and exponents of the ideal gas part γ C p 0 and γ C T 0 .
Table A2. Coefficients and exponents of the ideal gas part γ C p 0 and γ C T 0 .
iJi0ni0
10−0.96927686500217 × 101
210.10086655968018 × 102
3−5−0.56087911283020 × 10−2
4−40.7145273808145 × 101
5−3−0.40710498223928
6−20.14240819171444 × 101
7−1−0.43839511319450 × 101
82−0.2840863260772
930.21268463753307 × 10−1
Table A3. Coefficients and exponents of the residual part γ C p r and γ C T r .
Table A3. Coefficients and exponents of the residual part γ C p r and γ C T r .
iIiJiniiIiJini
110−0.17731742473213 × 10−22370−0.59059564324270 × 10−17
211−0.17834862292358 × 10−124711−0.12621808899101 × 10−5
312−0.45996013696365 × 10−125725−0.38946842435739 × 10−1
413−0.57581259083432 × 10−126880.11256211360459 × 10−10
516−0.50325278727930 × 10−127836−0.82311340897998 × 101
621−0.33032641670203 × 10−4289130.19809712802088 × 10−7
722−0.18948987516315 × 10−3291040.10406965210174 × 10−18
824−0.39392777243355 × 10−2301010−0.10234747095929 × 10−12
927−0.43797295650573 × 10−1311014−0.10018179379511 × 10−8
10236−0.26674547914087 × 10−4321629−0.80882908646985 × 10−10
11300.20481737692309 × 10−73316500.10693031879409
12310.43870667284435 × 10−6341857−0.33662250574171
1333−0.32277677238570 × 10−43520200.89185845355421 × 10−24
1436−0.15033924542148 × 10−23620350.30629316876232 × 10−12
15335−0.40668253562649 × 10−1372048−0.42002467698208 × 10−5
1641−0.78847309559367 × 10−9382121−0.59056029685639 × 10−25
17420.12790717852285 × 10−73922530.37826947613457 × 10−5
18430.48225372718507 × 10−6402339−0.12768608934681 × 10−14
19570.22922076337661 × 10−54124260.73087610595061 × 10−28
2063−0.16714766451061 × 10−104224400.55414715350778 × 10−16
21616−0.21171472321355 × 10−2432458−0.94369707241210 × 10−6
22635−0.23895741934104 × 102
Table A4. Coefficients and exponents of C μ 0 .
Table A4. Coefficients and exponents of C μ 0 .
iHi
01.67752
12.20462
20.636656
3−0.24161
Table A5. Coefficients and exponents of C μ 1 .
Table A5. Coefficients and exponents of C μ 1 .
ijHijijHij
005.20094 × 10−104−3.25372 × 10−2
108.50895 × 10−2140
20−1.08374240
30−2.89555 × 10−1346.98452 × 10−2
400440
500540
012.22531 × 10−1050
119.99115 × 10−1150
211.88797250
311.26613350
410458.72102 × 10−3
511.20573 × 10−1550
02−2.81378 × 10−1060
12−9.06851 × 10−1160
22−7.72479 × 10−1260
32−4.89837 × 10−136−4.35673 × 10−3
42−2.57040 × 10−1460
52056−5.93264 × 10−4
031.61913 × 10−1
132.57399 × 10−1
230
330
430
530

References

  1. Zhang, L.W.; Wang, Y.F.; Wang, S.P. Optimization of the multi-level steam production and supply in industrial parks. Chem. Eng. Res. Des. 2023, 195, 308–322. [Google Scholar] [CrossRef]
  2. Ministry of Housing and Urban-Rural Development. Statistical Yearbook of Urban Construction in China; Ministry of Housing and Urban-Rural Development: Beijing, China, 2022. Available online: https://www.mohurd.gov.cn/document/file (accessed on 21 February 2024).
  3. Hanus, K.; Variny, M.; Illés, P. Assessment and Prediction of Complex Industrial Steam Network Operation by Combined Thermo-Hydrodynamic Modeling. Processes 2020, 8, 622. [Google Scholar] [CrossRef]
  4. Rosen, M.A.; Dincer, I. A study of industrial steam process heating through exergy analysis. Int. J. Energy Res. 2004, 28, 917–930. [Google Scholar] [CrossRef]
  5. Sun, Z.Y.; Liu, D.F.; Yuan, H.X.; Sun, Z.Q.; Pan, W.J.; Zhang, Z.L.; Ma, B.K.; Jiang, Z. The water hammer in the long-distance steam supply pipeline: A computational fluid dynamics simulation. Cogent Eng. 2022, 9, 2127472. [Google Scholar] [CrossRef]
  6. Hinkelman, K.; Anbarasu, S.; Wetter, M.; Gautier, A.; Zuo, W.D. A fast and accurate modeling approach for water and steam thermodynamics with practical applications in district heating system simulation. Energy 2022, 254, 124227. [Google Scholar] [CrossRef]
  7. Hofmann, R.; Linzner, P.; Walter, H.; Will, T. New approximation algorithms for the state functions of water and steam for the application of transient processes and fast on-line applications. Energy 2018, 164, 1079–1096. [Google Scholar] [CrossRef]
  8. Zhuang, W.N.; Zhou, S.Y.; Chen, J.Y.; Gu, W. Operation optimization of electricity-steam coupled industrial energy system considering steam accumulator. Energy 2024, 289, 129903. [Google Scholar] [CrossRef]
  9. García-Gutiérrez, A.; Hernández, A.F.; Martínez, J.I.; Ceceñas, M.; Ovando, R.; Canchola, I. Hydraulic model and steam flow numerical simulation of the Cerro Prieto geothermal field, Mexico, pipeline network. Appl. Therm. Eng. 2015, 75, 1229–1243. [Google Scholar] [CrossRef]
  10. Zhong, W.; Zhang, S.T.; Lin, X.J.; Wang, J.L.; Zhou, Y. Quantitative study on steam system thermal inertia based on a dynamic hydraulic analytical model. J. Clean. Prod. 2023, 403, 136864. [Google Scholar] [CrossRef]
  11. Cui, Z.Y.; Lin, H.; Wu, Y.; Wang, Y.F.; Feng, X. Optimization of Pipeline Network Layout for Multiple Heat Sources Distributed Energy Systems Considering Reliability Evaluation. Processes 2021, 9, 1308. [Google Scholar] [CrossRef]
  12. Gao, J.; Cao, H.; Wei, R.; Chen, Z.; Huang, Z. Simulation study on condensation quantity of steam supply pipe network and its influence factors. Therm. Power Gener. 2021, 50, 70–76. [Google Scholar]
  13. Zhou, S.Y.; Chen, J.Y.; Gu, W.; Fang, X.; Yuan, X.D. An adaptive space-step simulation approach for steam heating network considering condensate loss. Energy 2023, 263, 125643. [Google Scholar] [CrossRef]
  14. Wang, H.; Wang, H.Y.; Zhu, T.; Deng, W.L. A novel model for steam transportation considering drainage loss in pipeline networks. Appl. Energy 2017, 188, 178–189. [Google Scholar] [CrossRef]
  15. Yang, W.J.; Huang, Y.P.; Zhao, D.Q. A coupled hydraulic-thermal dynamic model for the steam network in a heat-electricity integrated energy system. Energy 2023, 263, 125800. [Google Scholar] [CrossRef]
  16. Zhong, W.; Feng, H.C.; Wang, X.G.; Wu, D.F.; Xue, M.H.; Wang, J. Online hydraulic calculation and operation optimization of industrial steam heating networks considering heat dissipation in pipes. Energy 2015, 87, 566–577. [Google Scholar] [CrossRef]
  17. Chen, J.Y.; Zhou, S.Y.; Liu, Z.; Liu, H.M.; Zhan, X. A Novel Steady-State Simulation Approach for a Combined Electric and Steam System Considering Steam Condensate Loss. Processes 2022, 10, 1436. [Google Scholar] [CrossRef]
  18. Wu, Y.; Wang, R.Q.; Wang, Y.F.; Feng, X. An area-wide layout design method considering piecewise steam piping and energy loss. Chem. Eng. Res. Des. 2018, 138, 405–417. [Google Scholar] [CrossRef]
  19. Jie, P.F.; Zhao, W.Y.; Li, F.T.; Wei, F.J.; Li, J. Optimizing the pressure drop per unit length of district heating piping networks from an environmental perspective. Energy 2020, 202, 117681. [Google Scholar] [CrossRef]
  20. Zhang, L.Y.; Zhang, Q.Z.; Yang, X.H.; Hooman, K. Thermo-Economic Assessment on Insulation Conditions of the Buried Heating Pipeline for District Heating. Heat Transf. Eng. 2023, 44, 1140–1156. [Google Scholar] [CrossRef]
  21. Kruczek, T. Determination of annual heat losses from heat and steam pipeline networks and economic analysis of their thermomodernisation. Energy 2013, 62, 120–131. [Google Scholar] [CrossRef]
  22. Zeng, J.; Han, J.; Zhang, G.Q. Diameter optimization of district heating and cooling piping network based on hourly load. Appl. Therm. Eng. 2016, 107, 750–757. [Google Scholar] [CrossRef]
  23. Li, W.E.; Chen, L.; Zhao, J.; Wang, W. Mechanism and Data-Driven Dual Estimation of Coupling Hydraulic-Thermal States for Steam Heating Networks Considering Multi-Time-Scale Characteristics. IEEE Trans. Cybern. 2023, 14. [Google Scholar] [CrossRef] [PubMed]
  24. Li, Y.F.; Liu, J.R.; Huang, G.H. Pressure Drop Optimization of the Main Steam and Reheat Steam System of a 1000 MW Secondary Reheat Unit. Energies 2022, 15, 3279. [Google Scholar] [CrossRef]
  25. Zhang, F.Q. Calculation of uncompressible single-phase turbulent flow. Oil Gas Storage Transp. 1999, 18, 28–30. [Google Scholar] [CrossRef]
  26. Miyagawa, K. Assessment of the computing time for the IAPWS-IF97 equations. J. Eng. Gas Turbines Power 2007, 129, 885–887. [Google Scholar] [CrossRef]
Figure 1. Control body in steam pipeline.
Figure 1. Control body in steam pipeline.
Sustainability 16 05043 g001
Figure 3. Steam pipeline topology.
Figure 3. Steam pipeline topology.
Sustainability 16 05043 g003
Figure 4. Pipeline structure diagram.
Figure 4. Pipeline structure diagram.
Sustainability 16 05043 g004
Figure 5. Comparison of the calculated and measured temperature.
Figure 5. Comparison of the calculated and measured temperature.
Sustainability 16 05043 g005
Figure 6. Comparison of the calculated and measured pressure.
Figure 6. Comparison of the calculated and measured pressure.
Sustainability 16 05043 g006
Figure 7. Influence of frictional resistance coefficient on steam pipeline outlet parameters.
Figure 7. Influence of frictional resistance coefficient on steam pipeline outlet parameters.
Sustainability 16 05043 g007
Figure 8. Influence of heat transfer coefficient on steam pipeline outlet parameters.
Figure 8. Influence of heat transfer coefficient on steam pipeline outlet parameters.
Sustainability 16 05043 g008
Figure 9. Effect of environmental temperature on steam pipeline outlet temperature.
Figure 9. Effect of environmental temperature on steam pipeline outlet temperature.
Sustainability 16 05043 g009
Figure 10. Effect of heat transfer coefficient on steam pipeline outlet temperature.
Figure 10. Effect of heat transfer coefficient on steam pipeline outlet temperature.
Sustainability 16 05043 g010
Figure 11. Effect of inlet temperature on steam pipeline outlet parameters.
Figure 11. Effect of inlet temperature on steam pipeline outlet parameters.
Sustainability 16 05043 g011
Figure 12. Effect of pipeline lengths on steam pipeline outlet temperature.
Figure 12. Effect of pipeline lengths on steam pipeline outlet temperature.
Sustainability 16 05043 g012
Figure 13. Effect of inlet pressure on steam pipeline outlet parameters.
Figure 13. Effect of inlet pressure on steam pipeline outlet parameters.
Sustainability 16 05043 g013
Table 1. Pipeline information statistics.
Table 1. Pipeline information statistics.
DiameterDN500DN300DN200DN150DN125DN100DN80DN50DN25Total
quantities581731745454
lengths (m)48420812876.729197618191.52752517165.2
Table 2. Parameters of the test instrument.
Table 2. Parameters of the test instrument.
InstrumentsMeter TypeRangesUncertainties
vortex flowmeterHJR-LUG 5~55 m/s±1.5%
thermometerCWDZ33−50~300 °C±1.5 °C
pressure gaugeSD8020.1~1.6 MPa±0.008 MPa
Table 3. Geometrical and physical boundary conditions of steam pipeline.
Table 3. Geometrical and physical boundary conditions of steam pipeline.
ParametersValuesUnit
pipeline length l1649m
pipeline nominal diameter dp400mm
pipeline outer diameters dpo406mm
pipeline wall thickness8mm
insulation thickness100mm
pipeline equivalent roughness Δ 0.2mm
pipeline slope1:250/
heat transfer coefficient k0.139W/(m2·K)
Disclaimer/Publisher’s Note: The statements, opinions and data contained in all publications are solely those of the individual author(s) and contributor(s) and not of MDPI and/or the editor(s). MDPI and/or the editor(s) disclaim responsibility for any injury to people or property resulting from any ideas, methods, instructions or products referred to in the content.

Share and Cite

MDPI and ACS Style

Gao, X.; Zheng, L.; Wang, Y.; Jiang, Y.; Zhang, Y.; Fan, W. Simulation of Coupled Hydraulic–Thermal Characteristics for Energy-Saving Control of Steam Heating Pipeline. Sustainability 2024, 16, 5043. https://doi.org/10.3390/su16125043

AMA Style

Gao X, Zheng L, Wang Y, Jiang Y, Zhang Y, Fan W. Simulation of Coupled Hydraulic–Thermal Characteristics for Energy-Saving Control of Steam Heating Pipeline. Sustainability. 2024; 16(12):5043. https://doi.org/10.3390/su16125043

Chicago/Turabian Style

Gao, Xinyong, Lijun Zheng, Yaran Wang, Yan Jiang, Yuran Zhang, and Wei Fan. 2024. "Simulation of Coupled Hydraulic–Thermal Characteristics for Energy-Saving Control of Steam Heating Pipeline" Sustainability 16, no. 12: 5043. https://doi.org/10.3390/su16125043

APA Style

Gao, X., Zheng, L., Wang, Y., Jiang, Y., Zhang, Y., & Fan, W. (2024). Simulation of Coupled Hydraulic–Thermal Characteristics for Energy-Saving Control of Steam Heating Pipeline. Sustainability, 16(12), 5043. https://doi.org/10.3390/su16125043

Note that from the first issue of 2016, this journal uses article numbers instead of page numbers. See further details here.

Article Metrics

Back to TopTop