Next Article in Journal
Carbon Dioxide Gasification of Biochar: A Sustainable Way of Utilizing Captured CO2 to Mitigate Greenhouse Gas Emission
Previous Article in Journal
Comparative Analysis of Riverine Plastic Pollution Combining Citizen Science, Remote Sensing and Water Quality Monitoring Techniques
Previous Article in Special Issue
Impact of Reward Mechanisms on Consumers’ Willingness to Use Intelligent Express Packaging Recycling Cabinets: A Case Study in China
 
 
Font Type:
Arial Georgia Verdana
Font Size:
Aa Aa Aa
Line Spacing:
Column Width:
Background:
Article

ESG and Financial Performance of China Firms: The Mediating Role of Export Share and Moderating Role of Carbon Intensity

1
The Graduate School of Business Administration, Hoseo University, 12 Hoseodae-gil, Dongnam-gu, Cheonan-si 31066, Republic of Korea
2
Department of Business Administration, Hoseo University, 12 Hoseodae-gil, Dongnam-gu, Cheonan-si 31066, Republic of Korea
*
Author to whom correspondence should be addressed.
Sustainability 2024, 16(12), 5042; https://doi.org/10.3390/su16125042
Submission received: 29 April 2024 / Revised: 9 June 2024 / Accepted: 11 June 2024 / Published: 13 June 2024

Abstract

In recent years, ESG (environmental, social, and governance) has emerged as a critical investment concept. Its goal is to create value for both shareholders and society, encouraging companies to optimize social value. However, the exploration and research into “the proportion of firms exporting and the pathways through which the environmental, social, and governance activities of carbon-intensive firms influence firms’ financial performance” remains largely unexplored. This study establishes a research framework within this context, utilizing listed Chinese manufacturing companies as the research subjects. Taking agency theory rationale and signaling theory as the theoretical framework, this study thoroughly investigates the relationship between ESG ratings, corporate export ratios, and corporate financial performance through panel regression models using fixed-time, fixed-industry, and bi-directional fixed-effects models. The results of this study show that (1) ESG ratings have a positive impact on corporate financial performance; (2) firms’ export ratios play a mediating role in the relationship between ESG ratings and corporate financial performance; and (3) carbon-intensive firms have a positive moderating effect on the relationship between ESG ratings and corporate financial performance. Based on these findings, we propose policy recommendations at the firm and government levels to increase the importance of ESG, strengthen corporate governance, and promote continuous progress in ESG. This study provides micro evidence of the interactions between ESG ratings, export ratios, carbon-intensive firms, and firm performance to enable investors to make informed decisions.

1. Introduction

Global environmental concerns are on the rise, prompting countries to develop sustainable development programs aimed at tackling climate change. In China, as economic transformation progresses, the concept of green development is gaining traction, with enterprises playing a pivotal role in promoting sustainability. In recent years, the Chinese government has implemented a series of policies to promote ecological civilization and green development. In alignment with these efforts, the ESG evaluation system has gained increasing attention. Regulators have issued policies to integrate ESG elements into the oversight of listed companies, encouraging ESG information disclosure and enhancing supervision. At the same time, the export rate of enterprises, as an important economic indicator, significantly impacts enterprise performance and long-term development. Given the unique dynamics of the Chinese economy, it is clear that domestic demand is paramount. However, leveraging exports for growth is also indispensable. Thus, factoring in the export rate allows for a holistic assessment of a company’s economic robustness and sustainability, offering broader insights for achieving carbon neutrality and peak carbon emissions targets.
Despite numerous empirical studies analyzing the link between ESG and corporate financial performance, findings vary and can be categorized into two main perspectives: one suggests a negative correlation between ESG and corporate financial performance, while the other proposes a positive correlation. ESG is thought to enhance corporate financial performance [1,2,3]. Moreover, ESG initiatives can boost firms’ financial performance by bolstering investor confidence and fostering innovation [4]. Different industries place different emphasis on environmental, social, and governance (ESG) factors. For example, the automotive industry places more emphasis on governance (G) [5], and European firms prioritize social factors (S) [6]. Some studies suggest that prioritizing environmental performance may negatively affect firms, resulting in increased expenditures on disclosing ESG information and decreased financial performance [7]. ESG controversies may somewhat weaken corporate performance [8]. Other studies have found no significant relationship between ESG performance and corporate financial performance, suggesting that ESG policies may have a limited short-term impact on corporate financial performance [9]. Emphasizing environmental factors alone in ESG may not enhance corporate performance. Additionally, the relationship between ESG and financial performance may be insignificant for certain enterprises, such as those not primarily engaged in pollution monitoring or high-tech industries [10]. Many scholars tend to concentrate on the influence of individual ESG factors on firms’ financial performance, often overlooking the significance of other interconnected factors. Although the impact of ESG strategies and operations on corporate financial performance has been a hot topic in modern academic and business research, there is still a relative lack of research in the ESG literature on the impact of the ESG ratings of carbon-intensive companies on their financial performance. Additionally, the export activities of listed firms play a crucial role in economic development [11]. However, research on firms’ export ratios remains limited from this perspective. Carbon-intensive industries play a crucial role in ecological sustainability [12]. Sixteen carbon-intensive industries, including coal, mining, textile, tannery, paper, petrochemical, pharmaceutical, chemical, metallurgy, and thermal power, are categorized as carbon-intensive enterprises [13]. Given the nature of their operations, carbon-intensive listed companies are significant contributors to carbon emissions. Consequently, these companies face stringent regulations and social pressure from environmental protection agencies [14]. Therefore, understanding the correlation between ESG activities and financial performance in carbon-intensive industries is imperative. The main issues identified in this study are as follows: Our study aims to construct a more comprehensive model by identifying the mediating and moderating variables that affect firm performance. We focus on the individual effects of E, S, and G factors rather than just exploring the simple relationship between ESG performance and firm performance. Therefore, the purpose of this paper is to study the impact of ESG rating on corporate financial performance and its specific impact paths, to provide more guidance and practice for Chinese enterprises to create long-term sustainable earnings, and to provide policy reference suggestions for the sustainable development of China’s economy. Building on this background, this study focuses on manufacturing enterprises listed on the Shanghai and Shenzhen stock exchanges from 2009 to 2022. Its objective is to delve into the influence of ESG factors on corporate financial performance. The contributions of this paper are outlined below:
This study confirms the impact of environmental, social, and corporate governance performance on firms’ financial performance. Unlike previous studies that primarily examined the impact of individual environmental, social, and governance factors on firms’ financial performance, this study examines the independent impact of environmental (E), social (S), and governance (G) factors separately. It fills this gap by analyzing how each ESG factor affects financial performance. This approach provides a nuanced understanding of how specific ESG practices affect financial performance, offering valuable insights for companies seeking to enhance their sustainability efforts. By distinguishing between the effects of E, S, and G factors, this study emphasizes that the relationship between ESG and financial performance is flexible. For example, environmental practices can lead to cost savings and risk reduction. In contrast, social practices can enhance brand reputation and customer loyalty, and improved governance can reduce the risk of fraud and mismanagement. This nuanced approach gives stakeholders a clearer view of where they should focus their environmental, social, and governance efforts to maximize economic benefits. We cite relevant published sources, such as Cheng et al. (2014), who discuss that a company’s performance in social responsibility can significantly affect its ability to raise finance and thus indirectly affect its financial performance [15]. In particular, governance factors significantly impact corporate financing and financial stability. Khan et al. (2016) explored ESG factors significantly associated with financial performance and found that these factors vary across industries [16]. This provides empirical support for understanding the unique impact of each ESG factor on financial performance. This study positions itself within the broader academic discourse, adding to the existing literature and advancing our understanding of the multifaceted impact of ESG. In addition, this study validates the impact of firms’ export ratios as an additional factor, thus deepening our understanding of the elements that influence firms’ financial performance. Finally, this study examines the moderating role of important carbon-intensive firms in China on the relationship between ESG and firm financial performance. These contributions provide more comprehensive insights into ESG practices, aiming to provide more guidance and practical experience for creating long-term sustainable profitability for firms in different environments and providing reference suggestions for relevant policy formulation.
The main text is structured as follows: The author chose China as the subject of this study because it is representative of ESG promotion in developing countries, who face the need to meet global ESG standards in order to achieve economic growth based on exports, reduce domestic greenhouse gas emissions, comply with environmental regulations, and promote human rights and social values that are relatively low compared to developed countries. Therefore, if Chinese companies can improve not only their ESG performance but also their economic performance by promoting ESG, other developing countries will have an incentive to promote ESG activities. Particularly as the Chinese government has been active in promoting ESG, the influence of the government on companies’ ESG activities is also important. The second part gives a comprehensive introduction to the literature review and then presents the hypotheses of this study. The third part is the research model, variable definitions, and research methodology of this study. The fourth part is the analysis results of the empirical study. Finally, the fifth part, as the conclusion, summarizes the results of this study and its managerial and theoretical significance and makes suggestions for future research.

2. Literature Review and Research Hypotheses

(1)
ESG ratings and corporate financial performance
ESG is environmental, social, and governance and its various sub-factors [17]. ESG is considered to significantly impact the sustainability and long-term value of a company by minimizing the negative impacts that a company may have on the environment and society and maximizing the effectiveness of corporate governance [18]. ESG contains a wide range of information about the environment, society, and dominance structure. Therefore, it can be an essential indicator for firms to consider along with financial results when making decisions [19]. According to signaling theory, companies with high ESG ratings signal stakeholders that they are committed to sustainable practices, increasing their reputation and stakeholder trust [7]. If a firm has a high level of ESG, it can effectively deal with various risks, including market, policy, and financial risks, which can help to improve its business performance [20]. Existing studies show a close relationship between ESG and firms’ financial outcomes [21]. For example, some studies found that firms’ non-financial and ESG efforts negatively impacted liquidity and efficiency but ultimately improved profitability and cash generation [19]. Han et al. (2016) analyzed the relationship between ESG ratings and firm performance and confirmed a significant effect [22]. In a study utilizing the ESG index of the Korea Domination Constructing Institute, ESG outcomes and the financial outcomes or corporate value of the firms were largely positively correlated [23]. These studies confirm a close relationship between non-financial and ESG and corporate outcomes or business results.
As listed companies that form the backbone of China’s economy, ESG issues are crucial to China’s economic development in the national strategy [24]. As leaders of enterprise development, listed companies should pay more attention to ESG, reduce environmental, social, and governance structure risks through ESG improvement, improve risk response-ability, promote sustainable development, and ultimately improve enterprise efficiency [25]. Therefore, listed companies should pay more attention to ESG rating for sustainable development. From the above perspective, ESG ratings help to reduce the negative impacts of environmental, social, and governance structure issues encountered by firms in their business activities, improve operational efficiency, and positively affect corporate performance. Based on this, the following assumption can be made:
Hypothesis 1. 
ESG ratings have a positive impact on firms’ financial performance.
(2)
E ratings and corporate financial performance
Increasing environmental pressures and natural deterioration have become a major obstacle for mankind. Sustainable development and environmental issues are increasingly emphasized by the international community, academia, and industry, and these issues directly affect the business activities of enterprises and their financial performance [26]. At the same time, research on environmental issues has been actively carried out, and the impact of environmental issues has been explored from different perspectives, such as resource depletion and industrial waste emissions. Different enterprises encounter different environmental problems in their production processes, and therefore, the environmental strategies they choose are also diverse. In Europe, firms’ environmental strategies play an important role in the regulation of environmental and economic performance, especially for firms adopting shareholder value-oriented strategies [26]. Countries are in the process of developing environmental policies and rules that are appropriate to their circumstances, and China is no exception. China requires firms to manage their production in accordance with established environmental regulations and to publish environmental information on a regular basis [27]. Strict environmental regulations promote competition among firms, which ultimately improves firms’ efficiency, encourages lower production costs, and increases consumer satisfaction and sales, thereby improving firms’ profitability. According to signaling theory, firms communicate informational behavior to markets and stakeholders [13]. Firms with high E ratings use these ratings as signals to distinguish themselves from their competitors. Managers can reduce information asymmetry by proactively sharing voluntary information with external stakeholders, improving financial performance through various channels [7]. Firms with high environmental levels tend to publish environmental information more frequently and with greater transparency. From the standpoint of a company, publishing environmental information about its own company may have an impact on the stock price. Negative news reports related to the environment may have a negative impact on the stock price, while positive reports may have a positive impact [28]. Therefore, to enhance corporate value, companies may comply with environmental laws and regulations, proactively prevent undesirable environmental activities, and proactively publicize environmental information. These environmental efforts may adversely affect corporate effectiveness in the short term, but in the long term, they are more conducive to sustainable development and ultimately improve corporate performance [29].
The following perspectives become important as the focus of researchers shifts from environmental strategy to “Does it pay to be green?”: Existing studies have analyzed the relationship between environmental outcomes and business outcomes. The results show that there is a significant correlation between the environmental investment index and the price-earnings ratio, and there is a close relationship between environmental performance and corporate financial performance [30,31]. Enterprises with high environmental performance not only significantly improve their external reputation but also increase their business performance [32,33]. In addition, previous studies have shown that the level of environmental business activities of enterprises has a positive impact on enterprise value [34]. Therefore, the following hypothesis is proposed in this study:
Hypothesis 2. 
E ratings have a positive impact on firms’ financial performance.
(3)
S ratings and corporate financial performance
Corporate social responsibility is a hot topic in current academic research. Academics have launched extensive research on social responsibility. The business objectives of enterprises should pursue both the maximization of a single benefit and the maximization of the overall well-being of stakeholders. From this perspective, social responsibility can be defined as a company’s efforts to maximize corporate value by strengthening ethical management [35]. Research confirms that corporate social responsibility positively affects financial performance [36].
By engaging in social responsibility activities, companies can improve their social reputation, increase consumer confidence, attract investors, and ultimately promote sustainable development. Prior studies have shown that in the literature examining the relationship between CSR activities and firm value, there is empirical evidence that excessive corporate social involvement can improve brand image, employee satisfaction, and customer loyalty and positively affect firm performance [37]. The signaling theory suggests that active participation in society signals to stakeholders that a company is committed to ethical practices, thereby enhancing corporate image and reputation. This enhanced image enhances trust between shareholders, employees, and customers, strengthening the firm’s market position [7]. In other words, if a company can actively participate in social activities, corporate value and business results will rise [38]. According to agency theory, corporate social responsibility can align the interests of managers and shareholders, thereby reducing agency costs and improving overall performance [7]. Actively fulfilling social responsibility helps to reduce the adverse social and environmental risks faced by enterprises, reduce negative social impacts, increase social awareness, and avoid some potential lawsuits and industry regulatory issues, thus reducing corporate risks [39]. Employees who work in companies with positive social impacts feel a greater sense of fulfillment, which helps to improve employee performance and creativity. Positive corporate social responsibility often helps to build a favorable corporate image and enhance corporate reputation [40]. These positive images help to build trusting relationships with stakeholders such as shareholders, employees, and customers, which in turn improves the firm’s position in the market. Some investors and shareholders are increasingly focusing on corporate social responsibility performance. A high level of social responsibility can attract more socially responsible investors and increase the share price and market value of a company [41].
Listed companies, as an important part of Chinese enterprises, should actively participate in social activities. The active participation of enterprises in social responsibility activities is usually due to their long-term planning for sustainable development. This long-term perspective facilitates enterprises to better cope with changes and uncertainties and improve their long-term performance [42]. That is, the more a firm engages in social activities, the higher the financial results of its operations [43]. Several studies have confirmed a positive correlation between social ratings and financial performance. Companies with high social ratings generally exhibit more substantial financial outcomes [31,44]. Therefore, the following hypothesis is formulated:
Hypothesis 3. 
S ratings have a positive impact on firms’ financial performance.
(4)
G ratings and corporate financial performance
Unstable external factors have a negative impact on business operations. Compared to the uncertainty of the external environment, firms pay more attention to the management and improvement of the internal environment. To reduce the uncertainty of internal environment, firms should strengthen their own control structure [45].
By measuring various factors such as shareholders’ rights, the board of directors, outside directors, share concentrations, public disclosure systems, ownership consistency, etc., corporate dominance structure is a determinant factor affecting the firm’s value [46]. Therefore, firms can mitigate the dominance structure problem by improving various dominance structure subordinate factors such as extra-social director ratio, board size, institutional investor share rate, and operator share rate [47]. Current research on the relationship between corporate governance structure and performance is extensive. For example, the results of research on the relationship between corporate dominance structure and firm value show that firm value increases with the increase in the operator’s shares, and the higher the rate of out-of-society directorships and the shares of institutional investors, the higher the value of the firm [48]. The dominant structure activities of the firm can increase the transparency of the firm’s financial information [49]. Regarding economic outcomes, higher levels of dominance structure are associated with higher business outcomes [50,51].
In domestic and international studies on the relationship between corporate dominance structure and firm value, Korean scholars utilized the corporate dominance structure index of the Corporate Domination Structure Institute. They found that the higher the dominance structure index, the higher the firm’s financial outcome and value. A study of the relationship between dominant structure and firm value in Korea revealed a meaningful positive relationship between the dominant structure index and firm value [52]. A study of the relationship between corporate governance structure and firm performance in the United States measured corporate governance structure indices. It confirmed a positive correlation between the indices and firm value [46]. In addition, using the level of shareholders’ equity of the top 1500 firms in the 1990s, the stronger the dominance structure, the better the firm value and operating results [50]. In other words, firms pursuing a healthier dominant structure can increase firm value and operating results. Previous research on Chinese dominance structure suggests a defined correlation between dominance structure and return on assets for Chinese firms [53]. For Chinese firms, there is a considerably defined relationship between dominance structure and firm value, which proves that for every 1% increase in the level of dominance structure, firm value increases by 0.01%. These findings highlight the importance of robust governance structures in enhancing firm value and operating results. According to signaling theory, a robust corporate governance structure sends positive signals to investors about the quality and prospects of the firm [7]. Companies with sound governance are more likely to be transparent and accountable, reducing information asymmetry between managers and investors. By strengthening its governance structure, a company can demonstrate its commitment to ethical practices and sound management, attracting more investors and increasing the value of the company. Based on these findings, this study aims to clarify the relationship between the level of governance and corporate financial performance of listed companies in China and, therefore, proposes the following hypothesis based on previous studies:
Hypothesis 4. 
G ratings have a positive impact on firms’ financial performance.
(5)
ESG ratings, firm export ratios, and firm financial performance
As the concept of sustainable development penetrates all aspects of enterprise development, ESG-related concepts and systems are being improved. Most of the existing studies believe that an enterprise’s ESG performance can improve its financial performance and operational performance in terms of environment, society, and corporate governance, and from the perspective that ESG performance unilaterally supports exports, thus enhancing the competitive advantage of exporting enterprises in the international market and promoting their exports [54]. Therefore, more studies are needed on enterprise ESG rating evaluation and export ratio.
Evidence indicates that high ESG ratings positively impact companies’ export ratios. First, strong ESG performance enhances a firm’s market competitiveness and reputation, making its products more attractive internationally because ESG is a global standard, not a country-by-country approach [55]. Second, these companies attract ESG-related participants—investors, partners, and customers—who support sustainable and socially responsible businesses. Investors increasingly focused on ESG criteria are more likely to invest in high-ESG-rated companies, granting them lower-cost financial support and boosting their export potential [56]. Additionally, governments often favor ESG-compliant firms with policy support and financial incentives, further promoting their exports [57]. High ESG ratings help firms meet international standards, facilitating access to global markets [58]. Therefore, high ESG ratings enhance export ratios through improved competitiveness, stakeholder support, government incentives, and compliance with international standards.
ESG performance has high levels of business management and produces high-quality products [59]. Through effective communication and active social participation, global consumers’ awareness and satisfaction with products can be increased, making them more inclined to purchase products from firms with high ESG performance [60]. On the other hand, firms with high ESG performance indicate that the firms are performing well in environmental protection and corporate social responsibility [61]. Since environmental protection awareness is deeply rooted in people’s minds, firms with high ESG performance can attract environmentalist consumers to buy the products they produce [62,63]. Therefore, high ESG performance can increase a firm’s operating profit and market share and positively affect the firm’s exports. Based on this, we propose the following hypotheses:
Hypothesis 5. 
ESG ratings have a positive impact on firm export ratios.
Hypothesis 6. 
Firm export ratios will mediate the relationship between ESG ratings and firms’ financial performance.
(6)
The Moderating Role of Carbon-Intensive Firms
The carbon-reduction goal is an inherent requirement for China to achieve high-quality and sustainable development, and China’s time to achieve the goal is tight and the task is heavy, and the high-carbon enterprises in the eight industries of iron and steel, petroleum, electric power, and chemical industry are not only important industries for China’s economic development, but also have become the focus and difficulty of China’s realization of the goal that cannot be ignored, with great significance for promoting the green transformation of enterprises and realizing sustainable development [64]. According to previous studies, 1755 listed companies disclosed ESG-related reports in 2022, accounting for 34.32%, which also fully indicates that ESG plays the role of “booster” in the green development of enterprises [65].
From a sustainable development perspective, ESG performance enhances enterprises’ risk tolerance, boosts long-term financial performance, and increases organizational flexibility. However, listed companies, as key players in the capital market’s high-quality development, may also impact the environment negatively while extracting resources for value creation [66], with carbon-intensive enterprises being the most representative. To actively and steadily promote the realization of the low-carbon economy and strengthen enterprises’ environmental awareness and green behaviors, local governments have introduced a series of environmental regulatory policies. Carbon-intensive enterprises with high ESG performance can avoid various policy barriers brought about by environmental regulation in a timely manner, effectively respond to the improvement of product and production standards, improve domestic and international ESG performance, reduce the risks and economic losses caused by environmental issues, and improve the long-term performance of enterprises and enhance organizational flexibility [67]. In addition, the development of ESG requires companies to improve their production processes and replace energy-intensive technologies with green and low-carbon technologies, which obviously puts higher demands on carbon-intensive companies. High-carbon enterprises that actively improve their ESG performance have more experience in green development, which can effectively reduce the risks caused by poor management, improve organizational flexibility, and promote corporate financial performance. Agency theory concerns conflicts of interest and information asymmetry between corporate management and shareholders. Improving ESG performance is a way for management to demonstrate that it is concerned with long-term interests and reducing environmental risks, thereby reducing agency costs [7]. For carbon-intensive firms, improving ESG performance can demonstrate a commitment to sustainable development, which can help to increase shareholders’ trust in management and thus improve the firm’s financial performance.
From the perspective of the enterprise’s environmental pollution, carbon-intensive enterprises generally pay more attention to environmental protection and take more green sustainable development measures [68], which not only help to reduce the enterprise’s operating costs, such as energy and resource use, but also reduce the negative impact on the environment. Carbon-intensive enterprises optimize their production processes and use clean energy, which not only reduces environmental risks but also establishes an environmentally friendly image, which positively impacts financial performance. Previous research has shown that carbon-intensive companies with high ESG ratings are better equipped to respond to regulatory pressures and social expectations [13]. By adopting better environmental practices, these firms can reduce their carbon footprint, resulting in cost savings and improved financial performance. In addition, high ESG performance in carbon-intensive industries can attract investment from socially responsible investors, further improving financial outcomes [12].
Hypothesis 7. 
Carbon-intensive enterprises will moderate the relationship between ESG ratings and firms’ financial performance.

3. Research Design

3.1. Sample Selection and Data Sources

This study analyzes the impact of corporate ESG ratings on corporate financial performance based on a sample of manufacturing enterprises listed on China’s Shanghai and Shenzhen stock exchanges with 14 years of data from 2009 to 2022. The financial data and export ratios of listed enterprises were gathered from the Wind Financial Terminal and CSMAR database, while corporate ESG ratings were obtained from Huazheng ESG in Shanghai. To mitigate the impact of outliers, the main variables in the data were adjusted by 1% above and below. A total of 18,650 individual observations of listed Chinese manufacturing companies were collected. This study employs panel data for regression analyses and examines mediating and moderating variables, following established and validated methodologies from previous research [69,70]. Significant improvements were made to ensure data reliability and enhance the completeness and accuracy of the database. Manufacturing firms were selected due to their substantial contribution to China’s GDP, comprehensive ESG disclosures, and the homogeneity they provide to the study.

3.2. Variable Setting

(1)
Corporate financial performance (ROA)
The explained variable is corporate financial performance. There are various measures of corporate financial performance in existing studies, such as ROE value and Tobin Q. In this paper, ROA is chosen as the indicator for the following reasons: ROA reflects a firm’s capacity to generate net profit from its total assets and is commonly utilized across diverse industries and firm types. Moreover, it is unaffected by a firm’s size, making it suitable for assessing both profitability and asset utilization efficiency [69,70,71].
(2)
ESG Ratings (ESG)
In this paper, the Huazheng ESG rating index is chosen as the explanatory variable to measure the ESG performance of enterprises. The Huazheng Index has assessed the ESG performance of Chinese listed companies since 2009, primarily emphasizing financial significance. Data are predominantly sourced from enterprise disclosures, ensuring high reliability and alignment with China’s national context. Widely cited by researchers, this index provides a solid foundation [70,72]. Building on previous research, this paper integrates Huazheng ESG scores with corporate panel data in a one-to-one matching process. The independent variables used in this study include the overall ESG rating level and the respective rating levels of E, S, and G. The ESG rating levels of the firms in this study are determined based on panel data. These ratings are derived from the ESG rating levels of listed Chinese firms reported by the Shanghai Huazheng Index from 2009 to 2022 (January, April, July, and October), representing annual averages. To ensure precision in the empirical analyses, we assign nine grades as follows: AAA (9), AA (8), A (7), BBB (6), BB (5), B (4), CCC (3), CC (2), and C (1). The average of the ESG rank levels reported in April and October from 2009 to 2022 is utilized for each respective E, S, and G rank level.
(3)
Mediating variable
Export: An enterprise’s export ratio is the revenue it earns from the sale of goods or the provision of services to foreign markets, reflecting its competitiveness and ability to expand its business in the global marketplace. This indicator is crucial for assessing the scale and effectiveness of an enterprise’s international operations, especially for those reliant on global markets to drive sales and profits. In this paper, the export value includes the export of products and services, so it is not limited to specific industries, and the logarithm of the export value of enterprises is taken to calculate the export ratio of enterprises [10].
(4)
Moderating variable
Carbon-intensive enterprises (Carbon_Intensity): In this paper, carbon-intensive enterprises are used as the moderating variable, and the moderating variable of carbon-intensive enterprises is set to 1 and other enterprises are set to 0 to verify the moderating effect.
(5)
Control variables
To prevent bias in the model estimation results due to the omission of variables and to better examine the correlation between ESG rating and firms’ financial performance, it is necessary to control for other variables that affect firms’ financial performance [73,74,75,76]. Therefore, this study collates the control variables used in previous studies in the relevant literature and selects equity concentration (Top1), enterprise size (Size), growth capacity (Tagr), liquidity ratio (Cr), cash ratio (Cash ratio), and book-to-market ratio (Mb ratio) as the control variables. In addition, we control the year and industry. The definitions of the relevant variables are detailed in Table 1.

3.3. Research Model

To avoid endogeneity problems as much as possible and to reduce the interference of missing variables, a two-way fixed-effects model is used in this paper to control for individuals and years. This method is usually used for panel data.
To investigate the effect of ESG ratings on firms’ financial performance, Model (1) is constructed:
R O A i t = α + β 1 E S G _ s c o r e i t + C o n t r o l + + u t + μ i + ε i t
Meanwhile, to study the impact mechanism of ESG ratings on corporate financial performance, this paper adopts the mediation effect test method to introduce mediating variables to construct Models (2) and (3):
E x p o r t i t = α + β 1 E S G _ s c o r e i t + C o n t r o l + + u t + μ i + ε i t
R O A i t = α + β 1 E S G _ s c o r e i t + β 2 E x p o r t i t + C o n t r o l + + u t + μ i + ε i t
To delve into the influence of carbon-intensive firms on the correlation between ESG ratings and firms’ financial performance, we introduced the interaction term E S G _ s c o r e   ×   C a r b o n _ I n t e n s i t y into Model (1) to derive Model (4).
R O A i t = α + β 1 E S G _ s c o r e i t + β 2 E S G _ s c o r e i t × C a r b o n _ I n t e n s i t y i t + C o n t r o l + + u t + μ i + ε i t
where E S G _ s c o r e is the explanatory variable of this paper, R O A is the explanatory variable of this paper, E x p o r t i t is the export ratio of enterprises, which represents the mediator variable of this paper, C a r b o n _ I n t e n s i t y i t stands for carbon-intensive enterprises, C o n t r o l represents the control variable, u t denotes the time fixed effect, μ i denotes the individual fixed effect, and ε i t is the random disturbance term. In this model, individual fixed effects and time fixed effects are introduced to control the effects of individual characteristics that do not vary over time and time characteristics that do not vary over time on the dependent variables, to reduce the omitted variable bias and improve the accuracy of the model estimation.

4. Results

4.1. Descriptive Statistics

As shown in Table 2, the sample size of this study is 18,424 observations. From 2009 to 2022, the maximum value of firms’ financial performance (ROA) is 0.202, the minimum value is −0.199, and the mean value is 0.043, indicating no significant skewness. Most of the firms are profitable, but some of them lose money. Xu and Zhu (2024) found that the average return on assets (ROA) is 0.043, with profitability and loss trends aligning with our findings [69]. The ESG ratings of listed firms range from a high of 7.750 to a low of 1.000, with an average value of 4.173. This average ESG rating ranges from B to BB, indicating that while many listed firms have invested heavily in ESG, a few have yet to give it enough attention. In Xu and Zhu’s (2024) study, the mean ESG grade is 4.268, ranging from 2 to 6. These comparisons indicate that our findings align with previous studies, underscoring overvaluation issues and inconsistent attention to ESG practices among Chinese firms [69]. In addition, the P/B ratios of most firms are below one, indicating that the valuations of Chinese-listed companies are generally high. Control variables such as firm size are within reasonable limits.
According to related studies, the variance inflation factor (VIF) assesses multicollinearity between independent and control variables. A VIF value below five is generally considered acceptable [77]. As shown in Table 3, the primary variable’s VIF value is less than five, and the average VIF value is less than two. This suggests that the selected variables in this paper are not affected by multicollinearity.

4.2. Integated ESG Model

Table 4 presents the results of the empirical multiple regression analysis testing Hypothesis 1, which examines the impact of ESG rating evaluation results on corporate financial performance. Based on the analysis results, both column (1) and column (2) exhibit significant coefficients for ESG_score at the 1% confidence level before and after the inclusion of control variables. Precisely, an increase of 1 unit in ESG_score corresponds to a positive impact of 0.0035 units on the enterprise’s ROA. The findings suggest a positive relationship between ESG_score and enterprise ROA. As the ESG_score increases, so does the enterprise’s ROA, implying that higher ESG performance correlates with better financial performance. The enhancement of enterprise ESG ratings contributes to improved financial outcomes, thus supporting Hypothesis 1. Moreover, the study results are consistent with some previous empirical findings [56,78].

4.3. Individual ESG Model

Table 5 shows the results of empirical multiple regression analysis of the impact of E, S, and G ratings on corporate financial performance (ROA), respectively. According to the results of the empirical multiple regression analysis of the impact of the E rating on corporate financial performance (Hypothesis 2), columns (1) and (2) are the regression results before and after adding control variables; it can be seen that before and after the addition of control variables, coefficients of the independent variable E-score are significant at the 1% confidence level, and every 1-unit increase in the E-score has a 0.0004-unit negative impact on the corporate ROA, and Hypothesis 2 does not hold. These findings differ from those of previous studies [79]. Companies may face increased costs when implementing environmental protection measures, such as investing in cleaner technologies, upgrading waste treatment systems, and complying with stricter environmental regulations. Consequently, this could lead to a company’s financial performance decline. Consequently, these expenses can temporarily dent a firm’s profitability. Based on the empirical multiple regression analysis investigating Hypothesis 3 concerning the influence of S-level evaluation on corporate financial performance, the coefficients of the independent variable S-score remain significant at the 1% confidence level both before and after integrating control variables. Specifically, for every 1-unit rise in the S-score, there is a positive impact of 0.0002 units on the enterprise’s ROA. As the S-score rises, corporate ROA also increases, supporting Hypothesis 3. This finding is also consistent with some previous empirical findings [80]. Corporate social scores encompass employee welfare, labor standards, safety management, consumer protection, and community involvement. These metrics underscore corporations’ significant role in promoting social welfare and upholding stakeholder rights. Investing in employee welfare, health, safety, and training boosts employee satisfaction and loyalty and minimizes turnover. Consequently, this enhances the productivity and profitability of the firm. The empirical multiple regression analysis for Hypothesis 4, exploring the impact of the G rating on enterprise financial performance, reveals a significant positive coefficient for the variable G-score at the 1% confidence level. Each 1-unit increase in the G-score corresponds to a positive effect of 0.0006 units on the enterprise’s ROA. Hypothesis 4 is supported. This finding is consistent with some previous empirical findings [81,82,83]. Among the influences of environmental, social, and corporate governance on firms’ financial outcomes, corporate governance (G) emerges as the variable with the most significant impact on financial performance. The dominant structure encompasses a firm’s operational framework, policies, and influence on corporate decisions and stakeholders. This includes leadership structure, board diversity and independence, monitoring procedures, internal controls, shareholder rights, and transparency. Sound corporate governance norms, such as transparent decision-making processes and robust internal control and compliance systems, assist companies in identifying and managing risks, thus averting financial and reputational setbacks.

4.4. Mediating Model

Table 6 illustrates the mediating effect of firms’ exports. The regression results indicate a significant positive relationship between ESG ratings and firms’ exports, with a coefficient of 0.0236, which is significant at the 5% level. In column (3), the coefficient for firms’ exports is significantly positive at the 1% level. Moreover, for every unit increase in a firm’s ESG score, its financial performance improves by 0.0034 units. The firm export ratio mediates the effect of ESG ratings on firms’ financial performance, confirming Hypotheses 5 and 6.

4.5. Robustness Test and Endogeneity Problem

This study used lagged ESG scores as instrumental variables. This variable is relevant and exogenous, unaffected by the firm’s operations in the preceding year. The Cragg–Donald Wald F statistic value is 4670.317, well above the 10% significance level threshold of 16.38 provided by Stock and Yogo, indicating the absence of weak instrument issues [84]. As depicted in Table 7, the first-stage regression coefficient is significantly positive at the 1% level, validating the instrument. The second-stage regression confirms that the ESG score has a significantly positive effect at the 1% level, reinforcing our initial conclusion.
Despite the significance of all core coefficients, this study further validated the mediating variables by employing the Sobel test. As depicted in Table 8, the Z value of the Sobel test is 3.126, significantly surpassing the threshold of 2.58, with a corresponding p-value of less than 0.01, thereby passing the Sobel test.

4.6. Moderating Model

The analysis results in Table 9 indicate that the post-regression interaction term coefficient of ESG_score × Carbon_intensity in column (2) exhibits a significant positive effect at the 10% level. This indicates that the effect of ESG scores on firms’ financial performance is more pronounced in heavily polluting firms. Hypothesis 7 is supported. ESG scores exert a more substantial influence on the financial performance of highly carbon-intensive firms compared to those with lower carbon intensity. This is attributed to the heightened environmental regulations, increased social responsibility expectations, and the presence of sustainability-focused investors within these firms. The business decisions of carbon-intensive firms are intricately linked to the critical issue of environmental impact. This amplifies the effects of ESG improvements or deficiencies, directly influencing firms’ compliance costs, market acceptance, and investment appeal.
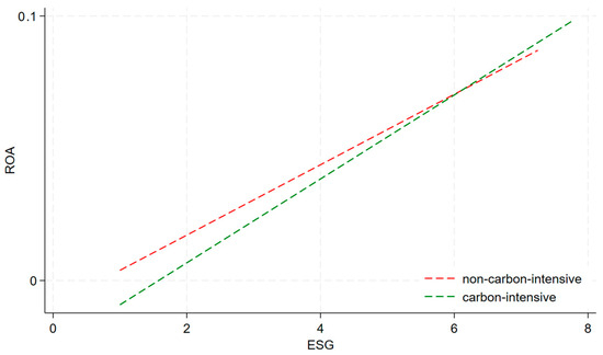
To assess the moderating role between carbon-intensive and non-carbon-intensive firms, this study constructs fitted plots to test potential heterogeneity in the impact of environmental, social, and corporate governance on the ROI of both types of firms. Figure 1 indicates positive slopes for both types of firms, with steeper slopes observed for carbon-intensive firms. This implies that the positive influence of ESG scores on ROI is more pronounced among carbon-intensive firms. This conclusion is confirmed.

5. Conclusions

5.1. Summary

Based on the data of Chinese A-share-listed manufacturing firms from 2009 to 2022, we evaluate the impact of ESG ratings on firms’ financial performance. The results of this study indicate that ESG ratings have a positive impact on improving firms’ financial performance, which is consistent with our proposed hypothesis. This finding reinforces the conclusions from prior academic studies, which predominantly suggest a positive correlation between ESG factors and financial performance [78,85]. This study enriches our understanding of the impact of ESG ratings on financial performance, focusing on listed firms and those with substantial carbon footprints in developing nations. It addresses the urgent need for these firms to transform and provides a rationale for investing in ESG initiatives.
Interestingly, while E ratings were expected to impact financial performance positively, our findings revealed a negative effect, diverging from previous studies [79]. The necessity for firms to enhance environmental governance and decrease carbon emissions to meet environmental regulations might explain this adverse effect, potentially leading to increased operational expenses. On the other hand, S and G ratings positively influence firms’ financial performance, with the G rating exerting the most significant impact among E, S, and G ratings. These results are consistent with this paper’s hypothesis [80,81,82,83]. Effective governance practices assist firms in managing risks, enhancing operational efficiency, and fostering transparency, thereby directly improving financial performance. Furthermore, firms with strong governance and social responsibility practices attract more investment, indirectly leading to higher share prices and improved financial performance.
In addition, the mediation effect tests the critical role of a firm’s export ratio as a mediator between environmental, social, and governance ratings and firm performance. High ESG performance can elevate the corporate export ratio, fostering sustainable development and enhancing company value. The moderating effect test confirms that the impact of ESG ratings on corporate financial performance is more significant for carbon-intensive enterprises, highlighting the heightened environmental regulations and social responsibility expectations these firms face.

5.2. Theoretical Implication

This study’s findings offer empirical evidence of the correlation between listed companies’ ESG ratings and their financial performance, illuminating the pathways through which this relationship unfolds. This understanding holds significant theoretical implications for the evolution of businesses among listed companies and the promotion of sustainable economic development. In addition to validating composite ESG ratings, this study contributes to the literature on ESG and financial performance by examining the individual impacts of environmental (E), social (S), and governance (G) factors. Additionally, by integrating mediating effects to investigate how environmental, social, and governance (ESG) factors influence financial performance through diverse pathways, this study enhances our comprehension of the factors impacting ESG ratings and corporate financial performance. It furnishes theoretical underpinnings and insights for scholarly inquiry in this domain, fostering theoretical advancement in associated fields. By considering contingent factors such as carbon intensity, this study broadens the scope of the research. These theoretical implications argue for the development of targeted ESG policies and standards, especially for carbon-intensive firms, and highlight the importance of optimizing ESG ratings for listed companies.

5.3. Practical Implication

ESG ratings from rating agencies are a powerful driver for companies to improve their ESG performance. In developing countries, where product exports and the role of government are important, it is important to align ratings with government ESG policies. Government departments should promote the establishment of robust ESG rating systems and long-term rating mechanisms among listed companies. This entails incorporating international best practices and aligning them with local contexts to develop standardized company ESG rating criteria. Encouraging companies to proactively establish robust ESG rating information helps mitigate information asymmetry and safeguards investors’ rights and interests. Practical applications incorporating the real-world experiences of manufacturing companies include developing standardized ESG criteria that reflect international and local industry contexts and taking advantage of tax breaks and subsidies resulting from government policies by adopting sustainable practices. For example, manufacturing companies can work with governments to develop specific waste management and carbon emission benchmarks that comply with global standards and local regulatory requirements.
Furthermore, governments can incentivize enterprises to embrace social responsibility and proactively boost investments in environmental protection. Tax incentives, environmental rewards, and other supportive measures can achieve this. Such initiatives aim to encourage enterprises to shift their development paradigms towards sustainability.
Embracing ESG practices positively influences corporate performance. Decision-makers within corporations should prioritize ESG investments in their long-term development strategies. This includes enhancing environmental protection efforts, fulfilling social responsibilities, and improving corporate governance practices. In the case of environment, in the short term, it can have a negative impact on a company’s financial performance. However, to improve ESG ratings, it is not appropriate to pursue only the S and G pillars, but to grow each pillar of ESG, especially in light of the ever-increasing regulatory and product competition in the E pillar. Low-carbon and carbon-intensive enterprises can significantly boost their economic performance by actively embracing ESG responsibilities. Thus, enterprises must adopt a paradigm shift, integrating ESG principles into their strategic frameworks, enhancing stakeholder communication, and diligently fulfilling social obligations. Manufacturing companies can further enhance their social image and financial performance by investing in energy-efficient equipment and processes to reduce energy consumption and costs through ESG principles and by conducting community outreach programs to support local education and healthcare enhancement. These actions pave the way for sustainable corporate development and contribute to advancing social, ecological, and economic prosperity. Simultaneously, companies must bolster internal oversight and penalties for environmental violations to mitigate environmental pollution and ecological harm. A long-term ESG rating mechanism will enable companies to showcase favorable ESG ratings, bolster investor confidence, and drive ongoing enhancement of corporate performance standards. Manufacturing companies should actively implement strict waste management policies, conduct regular audits, and penalize non-compliance to strike a balance between environmental protection and economic efficiency.

5.4. Limitations and Future Research

This study has limitations. Firstly, it focuses solely on the manufacturing industry of Chinese listed firms, which restricts its scope to a specific sector and may only partially capture the characteristics of Chinese firms. Future research could broaden the study’s scope by selecting additional samples from various industries to gather more comprehensive and diverse data. In this study, we solely employ short-term indicators (ROA) to gauge firms’ financial performance, overlooking the potential influence of ESG ratings on long-term performance. Our study’s financial data and export ratios were sourced from the Wind Financial Terminal and CSMAR databases, both renowned and widely utilized in academic and industry research. Corporate ESG ratings were sourced from Huazheng ESG, a leading assessment organization in Shanghai known for its comprehensive and reliable evaluations.
Despite these strengths, our study has inherent limitations. It focuses exclusively on manufacturing companies listed on the Shanghai and Shenzhen stock exchanges. This choice, while providing a homogeneous sample, may limit the generalizability of the findings to other industries or unlisted companies, which might have different ESG reporting standards and financial structures. Only one assessment agency, Huazheng ESG in Shanghai, was used in this study. However, ESG rating methodologies vary across agencies and may not reflect the complete picture. Hence, future research could refine this aspect further and continually optimize the current research framework in line with the Chinese context. This approach minimizes redundant data collection and analysis, fostering a deeper grasp of ESG activities’ impact on long-term corporate performance. We expect similar results when applying our research in other countries with specific conditions: available data on listed companies, significant foreign shareholder participation influencing ESG, strong government ESG policy drives, economies robust enough to support ESG activities through relatively high economic growth rates, and reliable ESG score data. This study provides valuable insights into the Chinese context, but the underlying principles of the study have broad applicability. By adapting the model to consider country-specific factors, we can expand our understanding of the impact of global environmental, social, and corporate financial performance. This will enable policy-makers and business leaders in different regions to make informed decisions that promote sustainable development and financial growth.

Author Contributions

Conceptualization, H.D. and W.L.; data curation, H.D. and W.L.; formal analysis, H.D.; investigation, H.D. and W.L.; methodology, H.D.; project administration, W.L.; resources, H.D. and W.L.; software, H.D. and W.L.; supervision, W.L.; validation, H.D.; visualization, W.L.; writing—original draft, H.D. and W.L.; writing—review and editing, H.D. and W.L. All authors have read and agreed to the published version of the manuscript.

Funding

This research received no external funding.

Institutional Review Board Statement

Not applicable.

Informed Consent Statement

Not applicable.

Data Availability Statement

The data presented in this study are available on request from the corresponding author.

Acknowledgments

Special thanks are given to those who participated in the writing of this paper.

Conflicts of Interest

The authors declare no conflicts of interest.

References

  1. Velte, P. Does ESG performance have an impact on financial performance? Evidence from Germany. J. Glob. Responsib. 2017, 8, 169–178. [Google Scholar] [CrossRef]
  2. Alareeni, B.A.; Hamdan, A. ESG impact on performance of US S&P 500-listed firms. Corp. Gov. Int. J. Bus. Soc. 2020, 20, 1409–1428. [Google Scholar]
  3. Habib, A.M. Does real earnings management affect a firm’s environmental, social, and governance (ESG), financial performance, and total value? A moderated mediation analysis. Environ. Dev. Sustain. 2023, 1–30. [Google Scholar] [CrossRef]
  4. Tang, H.; Xiong, L.; Peng, R. The mediating role of investor confidence on ESG performance and firm value: Evidence from Chinese listed firms. Financ. Res. Lett. 2024, 61, 104988. [Google Scholar] [CrossRef]
  5. Aydoğmuş, M.; Gülay, G.; Ergun, K. Impact of ESG performance on firm value and profitability. Borsa Istanb. Rev. 2022, 22, S119–S127. [Google Scholar] [CrossRef]
  6. Tahmid, T.; Hoque, M.N.; Said, J.; Saona, P.; Azad, M.A.K. Does ESG initiatives yield greater firm value and performance? New evidence from European firms. Cogent Bus. Manag. 2022, 9, 2144098. [Google Scholar] [CrossRef]
  7. Carnini Pulino, S.; Ciaburri, M.; Magnanelli, B.S.; Nasta, L. Does ESG disclosure influence firm performance? Sustainability 2022, 14, 7595. [Google Scholar] [CrossRef]
  8. DasGupta, R. Financial performance shortfall, ESG controversies, and ESG performance: Evidence from firms around the world. Financ. Res. Lett. 2022, 46, 102487. [Google Scholar] [CrossRef]
  9. Nirino, N.; Santoro, G.; Miglietta, N.; Quaglia, R. Corporate controversies and company’s financial performance: Exploring the moderating role of ESG practices. Technol. Forecast. Soc. Chang. 2021, 162, 120341. [Google Scholar] [CrossRef]
  10. Wu, K.S.; Chang, B.G. The concave–convex effects of environmental, social and governance on high-tech firm value: Quantile regression approach. Corp. Soc. Responsib. Environ. Manag. 2022, 29, 1527–1545. [Google Scholar] [CrossRef]
  11. Zhou, F.; Wen, H. Trade policy uncertainty, development strategy, and export behavior: Evidence from listed industrial companies in China. J. Asian Econ. 2022, 82, 101528. [Google Scholar] [CrossRef]
  12. Hou, J.; Teo, T.S.; Zhou, F.; Lim, M.K.; Chen, H. Does industrial green transformation successfully facilitate a decrease in carbon intensity in China? An environmental regulation perspective. J. Clean. Prod. 2018, 184, 1060–1071. [Google Scholar] [CrossRef]
  13. Zhao, X.; Liu, C.; Yang, M. The effects of environmental regulation on China’s total factor productivity: An empirical study of carbon-intensive industries. J. Clean. Prod. 2018, 179, 325–334. [Google Scholar] [CrossRef]
  14. Elsayih, J.; Datt, R.; Tang, Q. Corporate governance and carbon emissions performance: Empirical evidence from Australia. Australas. J. Environ. Manag. 2021, 28, 433–459. [Google Scholar] [CrossRef]
  15. Cheng, B.; Ioannou, I.; Serafeim, G. Corporate social responsibility and access to finance. Strateg. Manag. J. 2014, 35, 1–23. [Google Scholar] [CrossRef]
  16. Khan, M.; Serafeim, G.; Yoon, A. Corporate sustainability: First evidence on materiality. Account. Rev. 2016, 91, 1697–1724. [Google Scholar] [CrossRef]
  17. Ersoy, E.; Swiecka, B.; Grima, S.; Özen, E.; Romanova, I. The impact of ESG scores on bank market value? Evidence from the US banking industry. Sustainability 2022, 14, 9527. [Google Scholar] [CrossRef]
  18. Alsayegh, M.F.; Abdul Rahman, R.; Homayoun, S. Corporate economic, environmental, and social sustainability performance transformation through ESG disclosure. Sustainability 2020, 12, 3910. [Google Scholar] [CrossRef]
  19. Bassen, A.; Kovács, A.M. Environmental, Social and Governance Key Performance Indicators from a Capital Market Perspective; Springer Fachmedien Wiesbaden: Wiesbaden, Germany, 2020; pp. 809–820. [Google Scholar]
  20. Sassen, R.; Hinze, A.K.; Hardeck, I. Impact of ESG factors on firm risk in Europe. J. Bus. Econ. 2016, 86, 867–904. [Google Scholar] [CrossRef]
  21. Ellili, N.O.D. Impact of ESG disclosure and financial reporting quality on investment efficiency. Corp. Gov. Int. J. Bus. Soc. 2022, 22, 1094–1111. [Google Scholar] [CrossRef]
  22. Han, J.J.; Kim, H.J.; Yu, J. Empirical study on relationship between corporate social responsibility and financial performance in Korea. Asian J. Sustain. Soc. Responsib. 2016, 1, 61–76. [Google Scholar] [CrossRef]
  23. Luo, W.; Tian, Z.; Fang, X.; Deng, M. Can Good ESG Performance Reduce Stock Price Crash Risk? Evidence from Chinese Listed Companies. Corp. Soc. Responsib. Environ. Manag. 2023, 31, 1469–1492. [Google Scholar] [CrossRef]
  24. Arvidsson, S.; Dumay, J. Corporate ESG reporting quantity, quality and performance: Where to now for environmental policy and practice? Bus. Strategy Environ. 2022, 31, 1091–1110. [Google Scholar] [CrossRef]
  25. Ding, H.; Su, W.; Hahn, J. How Green Transformational Leadership Affects Employee Individual Green Performance—A Multilevel Moderated Mediation Model. Behav. Sci. 2023, 13, 887. [Google Scholar] [CrossRef] [PubMed]
  26. López-Gamero, M.D.; Molina-Azorín, J.F.; Claver-Cortés, E. The whole relationship between environmental variables and firm performance: Competitive advantage and firm resources as mediator variables. J. Environ. Manag. 2009, 90, 3110–3121. [Google Scholar] [CrossRef] [PubMed]
  27. Liu, Y.; Kim, C.Y.; Lee, E.H.; Yoo, J.W. Relationship between sustainable management activities and financial performance: Mediating effects of non-financial performance and moderating effects of institutional environment. Sustainability 2022, 14, 1168. [Google Scholar] [CrossRef]
  28. Dong, X.; Wen, X.; Wang, K.; Cai, C. Can negative media coverage be positive? When negative news coverage improves firm financial performance. J. Bus. Ind. Mark. 2022, 37, 1338–1355. [Google Scholar]
  29. Zhou, G.; Liu, L.; Luo, S. Sustainable development, ESG performance and company market value: Mediating effect of financial performance. Bus. Strategy Environ. 2022, 31, 3371–3387. [Google Scholar] [CrossRef]
  30. Hang, M.; Geyer-Klingeberg, J.; Rathgeber, A.W. It is merely a matter of time: A meta-analysis of the causality between environmental performance and financial performance. Bus. Strategy Environ. 2019, 28, 257–273. [Google Scholar] [CrossRef]
  31. Ademi, B.; Klungseth, N.J. Does it pay to deliver superior ESG performance? Evidence from US S&P 500 companies. J. Glob. Responsib. 2022, 13, 421–449. [Google Scholar]
  32. Chuang, S.P.; Huang, S.J. The effect of environmental corporate social responsibility on environmental performance and business competitiveness: The mediation of green information technology capital. J. Bus. Ethics 2018, 150, 991–1009. [Google Scholar] [CrossRef]
  33. Fu, T.; Li, J. An empirical analysis of the impact of ESG on financial performance: The moderating role of digital transformation. Front. Environ. Sci. 2023, 11, 1256052. [Google Scholar] [CrossRef]
  34. Li, Z.; Liao, G.; Albitar, K. Does corporate environmental responsibility engagement affect firm value? The mediating role of corporate innovation. Bus. Strategy Environ. 2020, 29, 1045–1055. [Google Scholar] [CrossRef]
  35. Nave, A.; Ferreira, J. Corporate social responsibility strategies: Past research and future challenges. Corp. Soc. Responsib. Environ. Manag. 2019, 26, 885–901. [Google Scholar] [CrossRef]
  36. Giannarakis, G.; Konteos, G.; Zafeiriou, E.; Partalidou, X. The impact of corporate social responsibility on financial performance. Invest. Manag. Financ. Innov. 2016, 13, 171–182. [Google Scholar] [CrossRef]
  37. Jo, H.; Harjoto, M.A. Corporate governance and firm value: The impact of corporate social responsibility. J. Bus. Ethics 2011, 103, 351–383. [Google Scholar] [CrossRef]
  38. Chung, C.Y.; Jung, S.; Young, J. Do CSR activities increase firm value? Evidence from the Korean market. Sustainability 2018, 10, 3164. [Google Scholar] [CrossRef]
  39. Raihan, T.; Al Karim, R. CSR and employee job satisfaction: A case from MNCS Bangladesh. Glob. J. Hum. Resour. Manag. 2017, 5, 26–39. [Google Scholar]
  40. Arikan, E.; Kantur, D.; Maden, C.; Telci, E.E. Investigating the mediating role of corporate reputation on the relationship between corporate social responsibility and multiple stakeholder outcomes. Qual. Quant. 2016, 50, 129–149. [Google Scholar] [CrossRef]
  41. Flammer, C. Corporate social responsibility and shareholder reaction: The environmental awareness of investors. Acad. Manag. J. 2013, 56, 758–781. [Google Scholar] [CrossRef]
  42. Kim, R.; Koo, B. The impact of ESG rating disagreement on corporate value. J. Deriv. Quant. Studies 2023, 31, 219–241. [Google Scholar] [CrossRef]
  43. Barauskaite, G.; Streimikiene, D. Corporate social responsibility and financial performance of companies: The puzzle of concepts, definitions and assessment methods. Corp. Soc. Responsib. Environ. Manag. 2021, 28, 278–287. [Google Scholar] [CrossRef]
  44. Chen, C.; Fan, M.; Fan, Y. The impact of ESG ratings under market soft regulation on corporate green innovation: An empirical study from informal environmental governance. Front. Environ. Sci. 2023, 11, 1278059. [Google Scholar] [CrossRef]
  45. Beiner, S.; Drobetz, W.; Schmid, M.M.; Zimmermann, H. An integrated framework of corporate governance and firm valuation. Eur. Financ. Manag. 2006, 12, 249–283. [Google Scholar] [CrossRef]
  46. Black, B.S.; Jang, H.; Kim, W. Does corporate governance predict firms’ market values? Evidence from Korea. J. Law Econ. Organ. 2006, 22, 366–413. [Google Scholar] [CrossRef]
  47. Yeh, C.M. The influence of foreign institutional investors, institutional directors, and the share pledge ratio of directors on financial performance of tourism firms. Tour. Econ. 2020, 26, 179–201. [Google Scholar] [CrossRef]
  48. Saci, F.; Jasimuddin, S.M. Does the research done by the institutional investors affect the cost of equity capital? Financ. Res. Lett. 2021, 41, 101834. [Google Scholar] [CrossRef]
  49. Caputo, F.; Pizzi, S.; Ligorio, L.; Leopizzi, R. Enhancing environmental information transparency through corporate social responsibility reporting regulation. Bus. Strategy Environ. 2021, 30, 3470–3484. [Google Scholar] [CrossRef]
  50. Brown, L.D.; Caylor, M.L. Corporate Governance and Firm Performance. 2004. Available online: https://papers.ssrn.com/sol3/papers.cfm?abstract_id=586423 (accessed on 2 January 2024).
  51. Gompers, P.; Ishii, J.; Metrick, A. Corporate governance and equity prices. Q. J. Econ. 2003, 118, 107–156. [Google Scholar] [CrossRef]
  52. Black, B.; Kim, W. The effect of board structure on firm value: A multiple identification strategies approach using Korean data. J. Financ. Econ. 2012, 104, 203–226. [Google Scholar] [CrossRef]
  53. Li, K.; Yue, H.; Zhao, L. Ownership, institutions, and capital structure: Evidence from China. J. Comp. Econ. 2009, 37, 471–490. [Google Scholar] [CrossRef]
  54. Chen, Y.; Xu, Z.; Wang, X.; Yang, Y. How does green credit policy improve corporate social responsibility in China? An analysis based on carbon-intensive listed firms. Corp. Soc. Responsib. Environ. Manag. 2023, 30, 889–904. [Google Scholar] [CrossRef]
  55. Aras, G.; Crowther, D. Governance and sustainability: An investigation into the relationship between corporate governance and corporate sustainability. Manag. Decis. 2008, 46, 433–448. [Google Scholar] [CrossRef]
  56. Eccles, R.G.; Ioannou, I.; Serafeim, G. The impact of corporate sustainability on organizational processes and performance. Manag. Sci. 2014, 60, 2835–2857. [Google Scholar] [CrossRef]
  57. Brammer, S.; Pavelin, S. Corporate reputation and social performance: The importance of fit. J. Manag. Stud. 2006, 43, 435–455. [Google Scholar] [CrossRef]
  58. Porter, M.E.; Kramer, M.R. The link between competitive advantage and corporate social responsibility. Harv. Bus. Rev. 2006, 84, 78–92. [Google Scholar]
  59. Ionescu, G.H.; Firoiu, D.; Pirvu, R.; Vilag, R.D. The impact of ESG factors on market value of companies from travel and tourism industry. Technol. Econ. Dev. Econ. 2019, 25, 820–849. [Google Scholar] [CrossRef]
  60. Wu, Q.; Chen, G.; Han, J.; Wu, L. Does corporate ESG performance improve export intensity? evidence from Chinese listed firms. Sustainability 2022, 14, 12981. [Google Scholar] [CrossRef]
  61. Pinheiro, A.B.; dos Santos, J.I.A.S.; Cherobim, A.P.M.S.; Segatto, A.P. What drives environmental, social and governance (ESG) performance? The role of institutional quality. Manag. Environ. Qual. Int. J. 2024, 35, 427–444. [Google Scholar] [CrossRef]
  62. Li, Y.; Li, J. The Relationship between Environmental, Social, Governance, and Export Performance in Manufacturing Companies: A Literature Review. Theor. Pract. Res. Econ. Fields 2023, 14, 345–356. [Google Scholar] [CrossRef]
  63. Yang, O.S.; Han, J.H. Assessing the effect of corporate esg management on corporate financial market performance and export. Sustainability 2023, 15, 2316. [Google Scholar] [CrossRef]
  64. Huang, Y.; Zhang, Y. Digitalization, positioning in global value chain and carbon emissions embodied in exports: Evidence from global manufacturing production-based emissions. Ecol. Econ. 2023, 205, 107674. [Google Scholar] [CrossRef]
  65. Wang, Z.; Chu, E.; Hao, Y. Towards sustainable development: How does ESG performance promotes corporate green transformation. Int. Rev. Financ. Anal. 2024, 91, 102982. [Google Scholar] [CrossRef]
  66. Huang, R.; Chen, D. Does environmental information disclosure benefit waste discharge reduction? Evidence from China. J. Bus. Ethics 2015, 129, 535–552. [Google Scholar] [CrossRef]
  67. Wang, K.; Zhang, X. The effect of media coverage on disciplining firms’ pollution behaviors: Evidence from Chinese heavy polluting listed companies. J. Clean. Prod. 2021, 280, 123035. [Google Scholar] [CrossRef]
  68. Zhao, X.; Liu, C.; Sun, C.; Yang, M. Does stringent environmental regulation lead to a carbon haven effect? Evidence from carbon-intensive industries in China. Energy Econ. 2020, 86, 104631. [Google Scholar] [CrossRef]
  69. Xu, Y.; Zhu, N. The Effect of Environmental, Social, and Governance (ESG) Performance on Corporate Financial Performance in China: Based on the Perspective of Innovation and Financial Constraints. Sustainability 2024, 16, 3329. [Google Scholar] [CrossRef]
  70. Zhang, Y.; Wang, X.; Guo, W.; Guo, X.; Wang, Q.; Tan, X. Does ESG Performance Affect the Enterprise Value of China’s Heavily Polluting Listed Companies? Sustainability 2024, 16, 2826. [Google Scholar] [CrossRef]
  71. Weng, P.S.; Chen, W.Y. Doing good or choosing well? Corporate reputation, CEO reputation, and corporate financial performance. N. Am. J. Econ. Financ. 2017, 39, 223–240. [Google Scholar] [CrossRef]
  72. Lin, Y.; Fu, X.; Fu, X. Varieties in state capitalism and corporate innovation: Evidence from an emerging economy. J. Corp. Financ. 2021, 67, 101919. [Google Scholar] [CrossRef]
  73. Zeng, L.; Jiang, X. ESG and corporate performance: Evidence from agriculture and forestry listed companies. Sustainability 2023, 15, 6723. [Google Scholar] [CrossRef]
  74. Gao, S.; Meng, F.; Wang, W.; Chen, W. Does ESG always improve corporate performance? Evidence from firm life cycle perspective. Front. Environ. Sci. 2023, 11, 1105077. [Google Scholar] [CrossRef]
  75. Chouaibi, S.; Chouaibi, J.; Rossi, M. ESG and corporate financial performance: The mediating role of green innovation: UK common law versus Germany civil law. EuroMed J. Bus. 2022, 17, 46–71. [Google Scholar] [CrossRef]
  76. Qu, W.; Zhang, J. Environmental, Social, and Corporate Governance (ESG), Life Cycle, and Firm Performance: Evidence from China. Sustainability 2023, 15, 14011. [Google Scholar] [CrossRef]
  77. O’brien, R.M. A caution regarding rules of thumb for variance inflation factors. Qual. Quant. 2007, 41, 673–690. [Google Scholar] [CrossRef]
  78. Friede, G.; Busch, T.; Bassen, A. ESG and financial performance: Aggregated evidence from more than 2000 empirical studies. J. Sustain. Financ. Invest. 2015, 5, 210–233. [Google Scholar] [CrossRef]
  79. Xie, J.; Nozawa, W.; Yagi, M.; Fujii, H.; Managi, S. Do environmental, social, and governance activities improve corporate financial performance? Bus. Strategy Environ. 2019, 28, 286–300. [Google Scholar] [CrossRef]
  80. Flammer, C. Does corporate social responsibility lead to superior financial performance? A regression discontinuity approach. Manag. Sci. 2015, 61, 2549–2568. [Google Scholar] [CrossRef]
  81. Ammann, M.; Oesch, D.; Schmid, M.M. Corporate governance and firm value: International evidence. J. Empir. Financ. 2011, 18, 3. [Google Scholar] [CrossRef]
  82. García-Meca, E.; Sánchez-Ballesta, J.P. Corporate governance and earnings management: A meta-analysis. Corp. Gov. Int. Rev. 2009, 17, 594–610. [Google Scholar] [CrossRef]
  83. Liu, M.; Miletkov, M.K.; Wei, Z.; Yang, T. Board independence and firm performance in China. J. Corp. Financ. 2015, 30, 223–244. [Google Scholar] [CrossRef]
  84. Stock, J.H.; Yogo, M. Testing for Weak Instruments in Linear IV Regression. 2002. Available online: https://scholar.harvard.edu/files/stock/files/testing_for_weak_instruments_in_linear_iv_regression.pdf (accessed on 2 January 2024).
  85. Alshehhi, A.; Nobanee, H.; Khare, N. The impact of sustainability practices on corporate financial performance: Literature trends and future research potential. Sustainability 2018, 10, 494. [Google Scholar] [CrossRef]
Figure 1. Mechanism of ESG’s impact on ROA. Carbon-intensive versus non-carbon-intensive firms.
Figure 1. Mechanism of ESG’s impact on ROA. Carbon-intensive versus non-carbon-intensive firms.
Sustainability 16 05042 g001
Table 1. Research model.
Table 1. Research model.
VariableSymbolDefinition
Explained variableCorporate financial performance (ROA)Net Profit/Total Assets
Explanatory variableESG Ratings (ESG)Huazheng ESG ratings range from C to AAA, and the nine ratings are assigned from 1 to 9 by the assignment method
Mediating variableExportTaking the logarithm of firms’ exports
Moderating variableCarbon-intensive enterprises (Carbon_Intensity)Carbon-intensive firms’ moderator variable set to 1, other firms set to 0
Control variableEquity concentration (Top1)Shareholding ratio of the largest shareholder
Cash ratio (Cash ratio)Cash/current liabilities
Liquidity ratio (Cr)Current assets/current liabilities
Book-to-market ratio (Mb ratio)(Total assets − total liabilities)/total assets
Growth capacity (Tagr)((Current main operating income − Prior main operating income)/Current main operating income) × 100%
Enterprise size (Size)Natural logarithm of total corporate assets
Table 2. Descriptive statistics of major variables.
Table 2. Descriptive statistics of major variables.
VariableNMeanSDMinMax
ROA18,4240.0430.058−0.1990.202
ESG_score18,4244.1730.98417.750
Enterprise size18,42422.071.19320.0525.74
Equity concentration18,42433.4814.028.77071.92
Growth capacity18,4240.2000.345−0.2602.015
Liquidity ratio18,4240.5890.1630.2070.916
Book-to-market ratio18,4240.5970.2280.1301.137
Cash ratio18,4240.8571.3530.0278.748
Table 3. Multicollinearity analysis.
Table 3. Multicollinearity analysis.
VariableVIF1/VIF
Enterprise size1.360.734270
Book-to-market ratio1.230.810117
Cash ratio1.230.813763
Liquidity ratio1.160.860666
Growth capacity1.100.910285
ESG_score1.070.938280
Equity concentration1.030.975401
Mean VIF1.17
Table 4. Regression results of ESG ratings and financial performance.
Table 4. Regression results of ESG ratings and financial performance.
(1)(2)
VariableROAROA
ESG score0.0054 ***0.0035 ***
(0.00)(0.00)
Enterprise size 0.0075 ***
(0.00)
Equity concentration 0.0008 ***
(0.00)
Growth capacity 0.0267 ***
(0.00)
Liquidity ratio 0.0760 ***
(0.01)
Book-to-market ratio −0.0777 ***
(0.00)
Cash ratio 0.0015 ***
(0.00)
Observations18,42418,424
R-squared0.4970.558
ControlNOYES
Company fixed effectYESYES
Year fixed effectYESYES
Robust standard errors in parentheses; *** p < 0.01.
Table 5. Regression results of E, S, and G ratings and financial performance.
Table 5. Regression results of E, S, and G ratings and financial performance.
(1)(2)
VariableROAROA
E−0.0003 ***−0.0004 ***
(0.00)(0.00)
S0.0003 ***0.0002 ***
(0.00)(0.00)
G0.0009 ***0.0006 ***
(0.00)(0.00)
Enterprise size 0.0079 ***
(0.00)
Equity concentration 0.0008 ***
(0.00)
Growth capacity 0.0267 ***
(0.00)
Liquidity ratio 0.0753 ***
(0.01)
Book-to-market ratio −0.0767 ***
(0.00)
Cash ratio 0.0015 ***
(0.00)
Observations18,42418,424
R-squared0.5000.560
ControlYESYES
Company fixed effectYESYES
Year fixed effectYESYES
Robust standard errors in parentheses; *** p < 0.01.
Table 6. Mediating effects of export ratios.
Table 6. Mediating effects of export ratios.
(1)(2)(3)
VariableROAExportROA
Export 0.0026 ***
(0.00)
ESG score0.0035 ***0.0236 **0.0034 ***
(0.00)(0.01)(0.00)
Enterprise size0.0075 ***0.9635 ***0.0050 ***
(0.00)(0.03)(0.00)
Equity concentration0.0008 ***−0.00030.0008 ***
(0.00)(0.00)(0.00)
Growth capacity0.0267 ***−0.2954 ***0.0274 ***
(0.00)(0.03)(0.00)
Liquidity ratio0.0760 ***0.2147 *0.0755 ***
(0.01)(0.11)(0.01)
Book-to-market ratio−0.0777 ***−0.0039−0.0777 ***
(0.00)(0.06)(0.00)
Cash ratio0.0015 ***−0.0505 ***0.0016 ***
(0.00)(0.01)(0.00)
Observations18,42418,42418,424
R-squared0.5580.8720.559
ControlYESYESYES
Company fixed effectYESYESYES
Year fixed effectYESYESYES
Robust standard errors in parentheses; *** p < 0.01, ** p < 0.05, * p < 0.1.
Table 7. Endogeneity problem handling: instrumental variable.
Table 7. Endogeneity problem handling: instrumental variable.
(1)(2)
VariableESG_ScoreROA
L. ESG score0.502 ***
(0.008)
ESG score 0.003 ***
(0.001)
Enterprise size0.135 ***0.005 ***
(0.019)(0.001)
Equity concentration0.003 **0.001 ***
(0.001)(0.000)
Growth capacity0.092 ***0.044 ***
(0.026)(0.002)
Liquidity ratio0.188 **0.071 ***
(0.080)(0.005)
Book-to-market ratio−0.058−0.076 ***
(0.046)(0.003)
Cash ratio0.021 ***0.004 ***
(0.008)(0.000)
_cons−1.109 ***
(0.426)
N15,58415,540
adj. R20.6820.031
Robust standard errors in parentheses; *** p < 0.01, ** p < 0.05.
Table 8. Testing of the mediating effects.
Table 8. Testing of the mediating effects.
CoefStd ErrZp > Z
Sobel 0.000084360.000026993.1260.00177216
Goodman-1(Aroian)0.000084360.000027143.1080.00188207
Goodman-2 0.000084360.000026833.1440.00166643
Table 9. Testing of the moderating effects.
Table 9. Testing of the moderating effects.
(1)(2)
VariableROAROA
ESG score × Carbon_intensity 0.0012 *
(0.00)
ESG_score0.0035 ***0.0030 ***
(0.00)(0.00)
Enterprise size0.0075 ***0.0076 ***
(0.00)(0.00)
Equity concentration0.0008 ***0.0008 ***
(0.00)(0.00)
Growth capacity0.0267 ***0.0266 ***
(0.00)(0.00)
Liquidity ratio0.0760 ***0.0763 ***
(0.01)(0.00)
Book-to-market ratio−0.0777 ***−0.0778 ***
(0.00)(0.00)
Cash ratio0.0015 ***0.0015 ***
(0.00)(0.00)
Observations18,42418,424
R-squared0.5580.558
ControlYESNO
Company fixed effectYESYES
Year fixed effectYESYES
Robust standard errors in parentheses; *** p < 0.01, * p < 0.1.
Disclaimer/Publisher’s Note: The statements, opinions and data contained in all publications are solely those of the individual author(s) and contributor(s) and not of MDPI and/or the editor(s). MDPI and/or the editor(s) disclaim responsibility for any injury to people or property resulting from any ideas, methods, instructions or products referred to in the content.

Share and Cite

MDPI and ACS Style

Ding, H.; Lee, W. ESG and Financial Performance of China Firms: The Mediating Role of Export Share and Moderating Role of Carbon Intensity. Sustainability 2024, 16, 5042. https://doi.org/10.3390/su16125042

AMA Style

Ding H, Lee W. ESG and Financial Performance of China Firms: The Mediating Role of Export Share and Moderating Role of Carbon Intensity. Sustainability. 2024; 16(12):5042. https://doi.org/10.3390/su16125042

Chicago/Turabian Style

Ding, Haoming, and Wonhee Lee. 2024. "ESG and Financial Performance of China Firms: The Mediating Role of Export Share and Moderating Role of Carbon Intensity" Sustainability 16, no. 12: 5042. https://doi.org/10.3390/su16125042

APA Style

Ding, H., & Lee, W. (2024). ESG and Financial Performance of China Firms: The Mediating Role of Export Share and Moderating Role of Carbon Intensity. Sustainability, 16(12), 5042. https://doi.org/10.3390/su16125042

Note that from the first issue of 2016, this journal uses article numbers instead of page numbers. See further details here.

Article Metrics

Back to TopTop