Next Article in Journal
Creating Sustainable Innovation Performance: A Systematic Review and Bibliometric Analysis
Previous Article in Journal
Physical Robots in Education: A Systematic Review Based on the Technological Pedagogical Content Knowledge Framework
Previous Article in Special Issue
Impacts of Grazing on Vegetation and Soil Physicochemical Properties in Northern Yinshan Mountain Grasslands
 
 
Font Type:
Arial Georgia Verdana
Font Size:
Aa Aa Aa
Line Spacing:
Column Width:
Background:
Article

Ecological Aspects and Methodology for Assessing the Forests of the Ural Floodplain

by
Mira Elekesheva
1,*,
Vitaly Khlyustov
2 and
Yerassyl Dulatbay
1
1
Agrotechnological Institute, Zhangir Khan West Kazakhstan Agrarian Technical University, 090009 Uralsk, Kazakhstan
2
Institute of Land Reclamation, A.N. Kostyakova Water Management and Construction, Russian State Agrarian University-Moscow Timiryazev Agricultural Academy, 127550 Moscow, Russia
*
Author to whom correspondence should be addressed.
Sustainability 2024, 16(12), 4989; https://doi.org/10.3390/su16124989
Submission received: 30 November 2023 / Revised: 24 May 2024 / Accepted: 28 May 2024 / Published: 11 June 2024
(This article belongs to the Special Issue Agricultural and Natural Ecosystems Restoration after Disturbances)

Abstract

The floodplain forests in West Kazakhstan’s Urals are challenging to study due to complex growth patterns. Existing tables estimate the trunk volume and wood size but lack comprehensive data for effective forest management. A developed research methodology focuses on creating growth and productivity models for forest-forming species across diverse forest types. Multidimensional linear growth models, with dummy variables for species and forest types, offer reliable insights into the average height and diameter changes at different ages. These models facilitate statistical analyses of asynchronous growth with high reliability. Three-level growth models detail regression lines for individual forest-forming species within specific forest types. This article illustrates the construction of a model for black poplar stands in a central floodplain’s medium-level conditions. Furthermore, it highlights the potential for a regional planting classification based on average height gradients at the base age of stands. The presented methodology aims to address the challenges in forest management and forestry in the region.

1. Introduction

The Ural River in its upper course is a natural water boundary between Asia and Europe. In the middle reaches, this is the border between the Russian Federation and the Republic of Kazakhstan. The southern part of the river flows through the territory of the Republic of Kazakhstan, flowing into the Caspian Sea. The total length of the Urals is 2530 km and the basin area is 220 thousand square kilometers. Forests along the river form a spatially organized system that supports the ecological stability of the territory, preserving biodiversity and preventing landscape degradation. The northern part of the river basin is characterized by the foothill landscapes of the Southern Urals on the territory of the Republic of Bashkortostan with the presence of coniferous and deciduous plantations. Then the river basin smoothly passes into the central part with plateaus, and then into the steppe zone of the Orenburg and West Kazakhstan regions. The forest fund in these regions within the river basin primarily consists of tree species that can withstand prolonged submersion during the spring high water. The development of forest ecosystems in such challenging environmental conditions has complicated the study of the productivity dynamics of stands with various species compositions according to groups of forest types. The absence of regional models, as well as tables of the growth and productivity of stands, did not allow us to justify optimal programs of selective logging in the floodplain forests of Kazakhstan. It became possible to solve this problem on the basis of a large number of trial plots with the number of trees by thickness classes, materials with the instrumental taxation of stands and new methods of statistical data analysis. The existing methods of modeling the growth of individual trees and stands are based on calculating the parameters of linear or nonlinear regression equations. In this case, the linear regression equations are obtained by the least-squares method. Nonlinear models are obtained by the method of the nonlinear estimation of the equation parameters with an initial approximation. An example of a linear regression equation is the three-parameter Korsun growth function. Examples of nonlinear growth models are the three- and five-parameter growth functions of Levakovich, [1]. It is known from modeling theory that only one predictor can be included in nonlinear growth models—this is age. The inclusion of several qualitative predictors in the nonlinear growth model along with age makes it much more difficult to obtain the parameters of the equation. In accordance with the above, the purpose of this study was formulated, which provided for the development of a methodology for the multidimensional modeling of growth indicators of stands by average height (H, m), average diameter (D, cm) and stock (M, m3/ha), depending on the names of the forest-forming species and the names of the groups of forest types.
The research hypothesis of the study was to prove the possibility of obtaining a statistical model of the growth of stands depending on the qualitative characteristics of plantations representing several groups of forest types and several tree species over the entire range of changes in average heights and average diameters. An analytical review of publications on modeling the age dynamics of the taxation indicators of stands indicates the special interest of scientists in this topic. Since the 1980s and 1990s, large-scale studies have been conducted to improve forest taxation methods in a significant part of the USSR, including Kazakhstan. The reference books “All-Union reference books on forest taxation” have been published, Zagreev V.V. [2], and also “Reference books on the taxation of forests of Kazakhstan” [3]. In order to systematize all the varieties of growth curves of stands, it was proposed to streamline the age-related changes in taxation indicators, calling them standard growth lines. The first attempt to create unified growth scales was made by B.B. Zeide [4]. This work was continued by V.V. Zagreev [5] and his colleagues on the main forest-forming species of Russia [2]. For the first time, the mathematical analysis and systematization of linear and nonlinear growth models of the obtained unified growth-type scales were carried out by A.K. Keviste [6]. The interpretation of the parameters of nonlinear models of the growth of stands is given in the works of Yu.P. Demakov [7], A.Z. Shvidenko and co-authors [8], Yu.P. Demakov in co-authorship [9], Yu.P. Demakov and co-authors [10] and Yu.P. Demakov [11]. V.A. Usoltsev widely uses multidimensional regressions based on the Korsun function in modeling the growth of stands [12]. The possibility of the large-scale application of multidimensional linear growth models is shown by V.K. Khlyustov [13]. A.R. Weiskittel and co-authors have published a monograph describing the classification and methodology of modeling the growth of stands [14]. H.E. Burkhart and co-authors published a reference book on modeling the development of forest plantations [15]. Over the past decade, significant research has been conducted in the field of growth modeling theory. These are the works of H. Andrés [16], Nunifu, T.K. [17], Davidian, M. [18] and McCullagh, P. [19]. In accordance with the above classification [13], our proposed growth models belong to the class of linear statistical models.
At the end of the 20th century, forestry scientists were faced with two tasks. The first task was related to the development of growth models and the forecasting of current growth for specific stands in the same types of forest. Individual stands have different numbers of trees at the initial age of the stand (NA, pcs/ha). Consequently, with age, they show a different increase in their average height (H, m), average diameter (D, cm) and a decrease in the number of trees (pcs/ha). To solve this problem, the experimental material should be presented with data from periodic (after 5–10 years) measurements of trees at long-term experimental sites. This issue was successfully addressed by the research of V.K. Khlyustov [20], as well as by G.S. Razin, who studied and modeled the growth of artificial stands with various planting densities: Methodological recommendations. L.: LenNIILH, 1977, 43 p. [21], G.S. Razin in co-authorship [22] and M.V. Rogozin in co-authorship [23].
The second task was related to the development of growth models for closed (normal) stands growing in various types of forest or groups of forest types. In the last decade, this field of research has become especially popular. The reason is that qualitative predictors can be included in statistical growth models along with age. Qualitative predictors can be represented by a list of groups of forest types with tree species growing in them. The experimental material can be represented by data from temporary test areas, as well as materials from a mass inventory of plantings. The presented article reveals methodological techniques for constructing models of the growth and productivity of stands of various tree species growing in different groups of forest types. Possible solutions to this problem are shown in the works of Y.P. Demakov [9,24]. New methodological solutions to this problem are shown by V.K. Khlyustov [25].
The development of stand growth models for forest-forming species requires the classification of plant growth conditions. In the conditions of the Ural floodplain with a rugged terrain, a detailed description of the landscapes and their accompanying elements of the hydrological network was required. The Kazakh Scientific Research Institute of Forestry and Agroforestry has developed a classification of groups of forest types for the corresponding forest formations. The author of the classification is a senior researcher at the Institute A.D. Tokarev [26]. The scheme of groups of forest types is described in detail in the publication by V.N. Biryukov [27].

2. Materials and Methods

2.1. Objects of Research

The objects of study were plantings of the main forest-forming species of floodplain forests of the river. The Urals are on the territory of the West Kazakhstan region. Figure 1 shows a geographical map of the Republic of Kazakhstan and fragments showing the borders of the West Kazakhstan region, the basin of the Ural River and the coastline of floodplain forests. The collection of field material was carried out in the Ural and Yanvartsevo state institutions for the protection of forests and wildlife in the region. The forest vegetation formation—sedge gardens—was adopted as the classification basis of forest objects. The formation was represented by groups of forest types confined to different parts of the river profile from its riverbed part to the upper levels of the floodplain. The following groups of forest types are covered by the research: High-level Black poplar stand near the riverbed (HLSG); Lowland Black poplar stand of the central floodplain (near oxbow) (LOSG); Middle-level Black poplar stand of the riverine floodplain (MLSG); and Middle-level Black poplar stand of the central floodplain (MLSCG). In each group of forest types, a list of tree species was defined, representing specific forest elements that were subject to full-scale taxation. To study age-related changes in the average heights and average diameters of forest elements in groups of forest types, an array of target-measurement inventory data was generated. The volume of taxation materials met the requirements of variation statistics. Thus, the accuracy of determining the average statistical values of the average height over five years falls within the range of ±2.5%/±6.5%, and the average diameter, respectively, ±3.0%/±7.0%, which indicates the reliability of the data for constructing age model changes.

2.2. Research Methodology

Field research consisted of establishing 135 trial plots in accordance with the requirements of the industry standard OST 56-69-83 “Test forest management areas. Establishment methods”. The sizes of the trial plots varied depending on the distribution of trees across the area. The collection of primary forest taxation data was carried out in a landscape-oriented group of forest types of the forest vegetation formation, Osokorniki, relative to the river bed. Primary information was collected by conducting a complete count of trees with an accuracy of measuring trunk diameters up to 0.1 cm. In total, 27,231 changes in diameter and 1282 changes in tree height were made. In the sample plots, the plantings were represented, as a rule, by mixed stands with a predominance of black poplar (Populus nigra) and accompanying species—white poplar (Populus alba), white willow (Salix alba) and smooth elm (Ulmus laevis). Additionally, the analysis included data from 3204 sections of targeted and measuring forest stand inventory. A statistical analysis of field materials was carried out on MS Excel using the multiple regression method, combining the Korsun–Bakman growth function and predictors encoding the names of groups of forest types and the names of tree species according to the method of Draper and Smith [28]. The distribution of forest plots and trial areas with a complete list of trees by groups of forest types is shown in Table 1. A total of 23,046 changes in tree diameter and 929 changes in tree height were recorded. In the experimental plots, stands were generally mixed stands dominated by black poplar (Populus nigra) and associated species such as white poplar (Populus alba), white willow (Salix alba) and smooth elm (Ulmus laevis). In addition, data from 2352 forest plots where an instrumental stand inventory was conducted were included in the analysis.
First of all, to model the growth and productivity of the stands, the variability of the average heights and average diameters (V, %) in the age of the stands from 10 to 60 years was estimated, as well as the accuracy of their determination (±P, %) by groups of forest types.

2.3. Matrix for Obtaining a Species-Forest Typological Model of Growth Progress

To develop a species-forest typological model of the growth of the average statistical indicators of the average height and average diameter of forest stands, a matrix of binary variables was compiled that encodes landscape-typological groups of forest conditions and the entire variety of tree species growing in a particular formation (Table 2). In our case, these are the names of 4 groups of forest types and 4 forest-forming species. To ensure the informativeness of qualitative predictors, it is necessary to follow point No. 2 and fill in the matrix of binary variables. To do this, qualitative predictors are encoded by dummy variables, assigning them the value “1”. The colored cells of the matrix indicate to the reader the spatial distribution of fictitious variables encoding groups of forest types (Xi) and forest-forming species (Zi).
The modeling of age-related changes in statistical average heights and diameters was carried out using the Korsun–Bakman growth function:
H a v a v , D a v a v = e x p ( a 0 + a 1 l n A + a 2 l n 2 A )
Combining the growth function with dummy variables coding forest type groups (X) and tree species (Z) gave the regression model the following general form:
H c p c p , D c p c p = exp k = 0 2 l n k A a k + i = 1 n b k , i X i + j = 1 m c k , j Z j
where:
H cp cp , D cp cp —average height (m), average diameter (cm) of tree species;
A—age of the forest stand, years;
X, Z—dummy variables coding groups of forest types and tree species;
a, b, c—model parameters;
k, i, j—indices.

2.4. Matrix for a Three-Level Growth Model

At the next stage, the range of variation in H(average) and D(average) was included in three-level models of the growth course of these morphometric indicators. Models of growth progress include the entire complex of landscape-typological forest vegetation formations of the floodplain: 4 groups of forest types, 3 levels of productivity and 3 names of tree species. The coding matrix of the variables included in the model is presented in Table 3. The different colors in the table are explained by the fact that the models were built on the basis of a matrix of block binary variables encoding three levels of average heights (HI–HIII) and average diameters (DI–DIII), (Xi), four groups of forest types, (Zi), and three tree species, (Fi).
The combination of Equations (4) and (5) with Equations (7)–(11) made it possible to obtain data for constructing three-level species-forest typological models of age-related changes in the average heights and average diameters of tree stands in the entire range of their variation. The construction of the models was carried out on the basis of a matrix of binary variables encoding three levels of average heights (HI–HIII) and average diameters (DI–DIII), (Xi), four groups of forest types, (Zi), and three tree species, (Fi) (Table 3).

2.5. Matrix of Binary Variables to Model the Extreme Values of Mean Heights and Diameters

The second objective of this study included the development of a three-level species-forest typological model of growth progress according to the average height and average diameter of dendrocenosis elements. A matrix of binary variables was used to model the extreme values of mean heights and diameters (Table 4).
The regression model of the range of variation in the average heights of tree stands from the average statistical values for the data array for the coded forest-forming species is represented by a general expression:
H m i n c p , H m a x c p = exp a 0 + a 1 l n H c p c p + l n H c p c p i = 1 n b i X i
where:
H m i n c p , H m a x c p minimum and maximum values of average heights of constituent tree species, m;
H c p c p —statistical average value of average height of tree stands, m;
X i —coded tree species.

2.6. Selection of a Forest Typological Model for Differentiating the Course of Growth by Classes of Average Heights (H30)

The solution to the third problem was to develop a forest typological model of the growth of forest stands according to classes of average heights (H30) using the example of black poplar (Populus nigra) growing in sedge forests at the middle levels of the central floodplain (MLSCG). The data for constructing regressions of forest typological classes of average heights were the tabulated values of the three-level species-forest typology model of average heights (12), corresponding to the group of forest types—the black poplar stand average levels of the central floodplain.

3. Results

3.1. Measuring Results of Tree Heights and Diameters

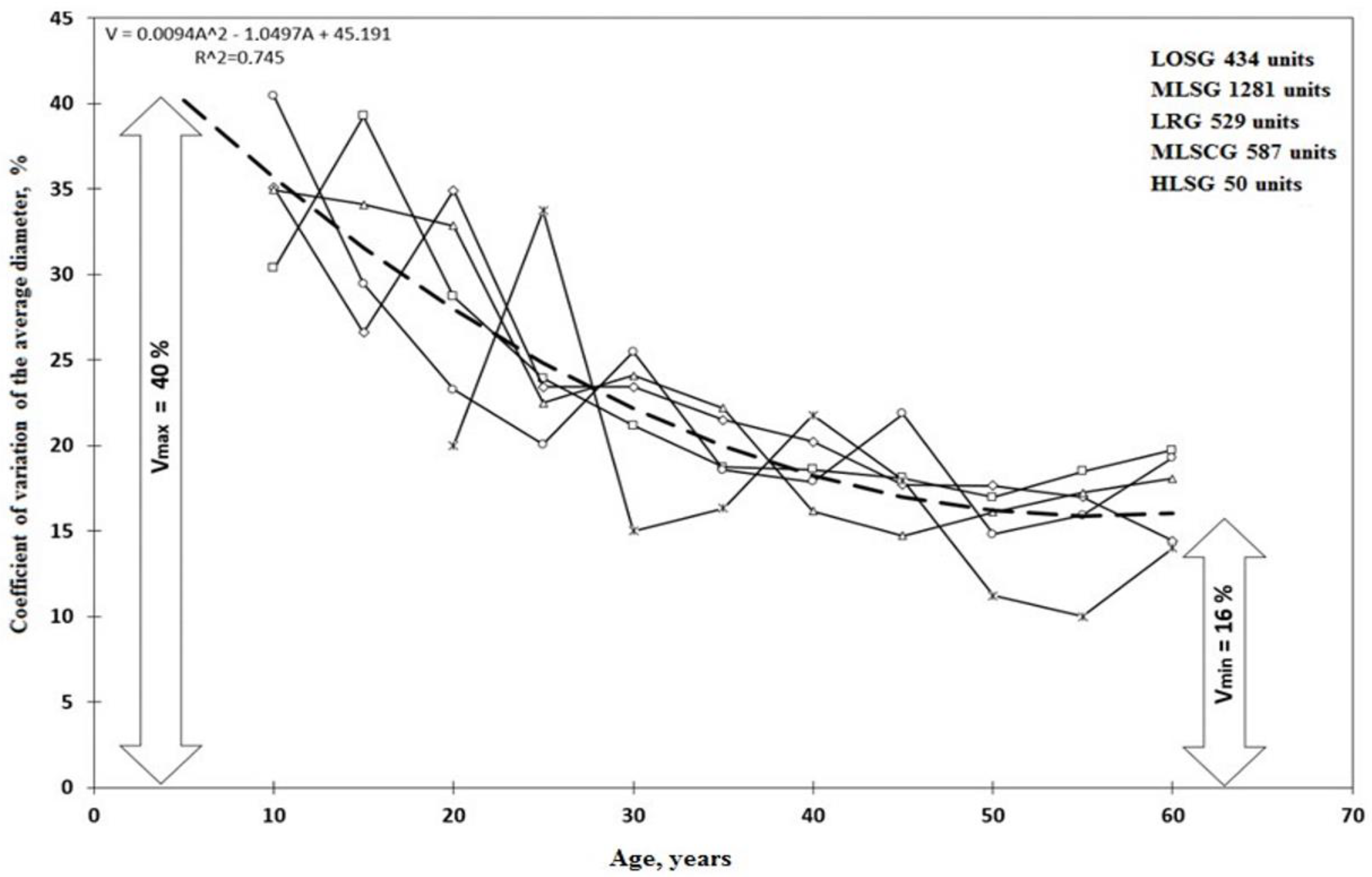
The change in the coefficient of variation and the accuracy of determining average heights and diameters with increasing age is shown in Figure 2, Figure 3, Figure 4 and Figure 5. The empirical and theoretical (according to the equation) lines shown in the figures indicate a natural decrease in the coefficient of variation and an increase in the accuracy of determining the average heights and diameters of the black poplar with the age of stands in different groups of forest types. Judging by the figures, the variability of the average height in the range from young to ripe stands has halved from 32% to 17%. At the same time, the accuracy of determining the average statistical indicators of average heights increased from ±6.5 to ±2.5%. A similar pattern is observed when analyzing the variability of the average diameter of the stands. There is a decrease in the variability between the ages of 10 and 60 years from 40% to 16% with an increase in the accuracy of determining the average value from ±7% to ±3%. The statistical parameters of the taxational indicators of stands in the entire data set should be considered sufficiently reliable to characterize a specific forest formation by groups of forest types. Thus, it became possible to use data from experimental plots and instrumental taxation to develop growth models of the average heights and diameters of stands growing in various groups of forest types.

3.2. Species and Forest Typological Models of the Growth of Forest Stands

The final regression models look like this:
H s r s r = e x p ( 1.93563 + 1.62630 l n A 0.11616 ln 2 A + l n A 0.01928 X 1 + 0.1393 X 2 + 0.00805 X 3 + ln 2 A 0.00684 X 1 0.04022 X 2 0.00374 X 3 + l n A 0.41436 Z 1 + 0.53407 Z 2 + 0.47131 Z 3 + ln 2 A 0.08784 Z 1 0.11224 Z 2 0.09995 Z 3 )
R 2 = 0.983 ; E S ± 6.3 % ; t c a l > t 05 = 1.96 .
D s r s r = e x p ( 2.02555 + 1.73997 l n A 0.11685 ln 2 A + l n A 0.12332 X 1 0.00696 X 2 + 0.10079 X 3 + ln 2 A 0.03324 X 1 + 0.00073 X 2 0.02495 X 3 + l n A ( 0.19099 Z 1 + 0.23436 Z 2 + 0.25165 Z 3 ) + ln 2 A 0.02363 Z 1 0.03075 Z 2 0.03795 Z 3 )
R 2 = 0.990 ; E S = ± 6.8 % ; t c a l > t 05 = 1.96 .
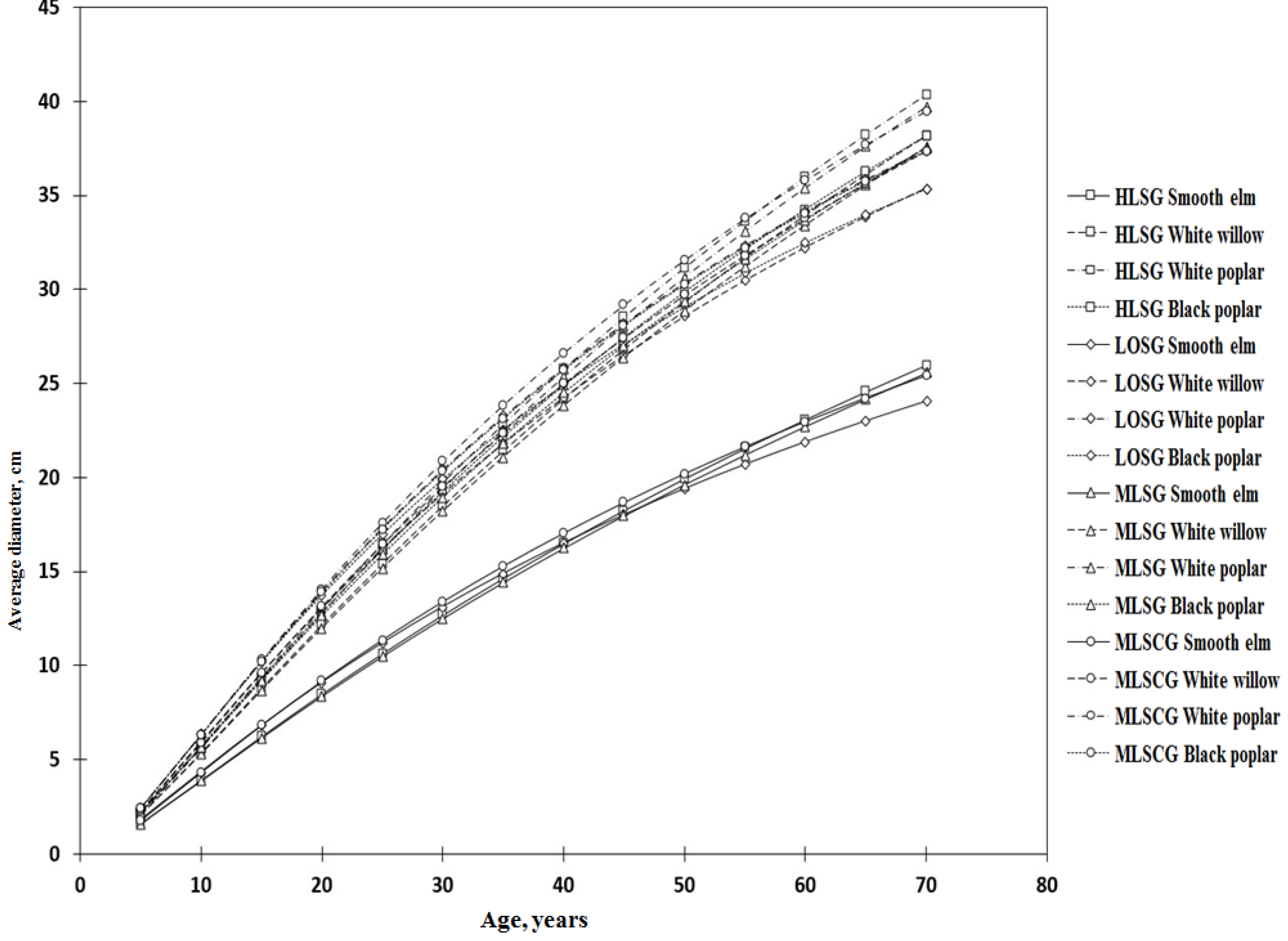
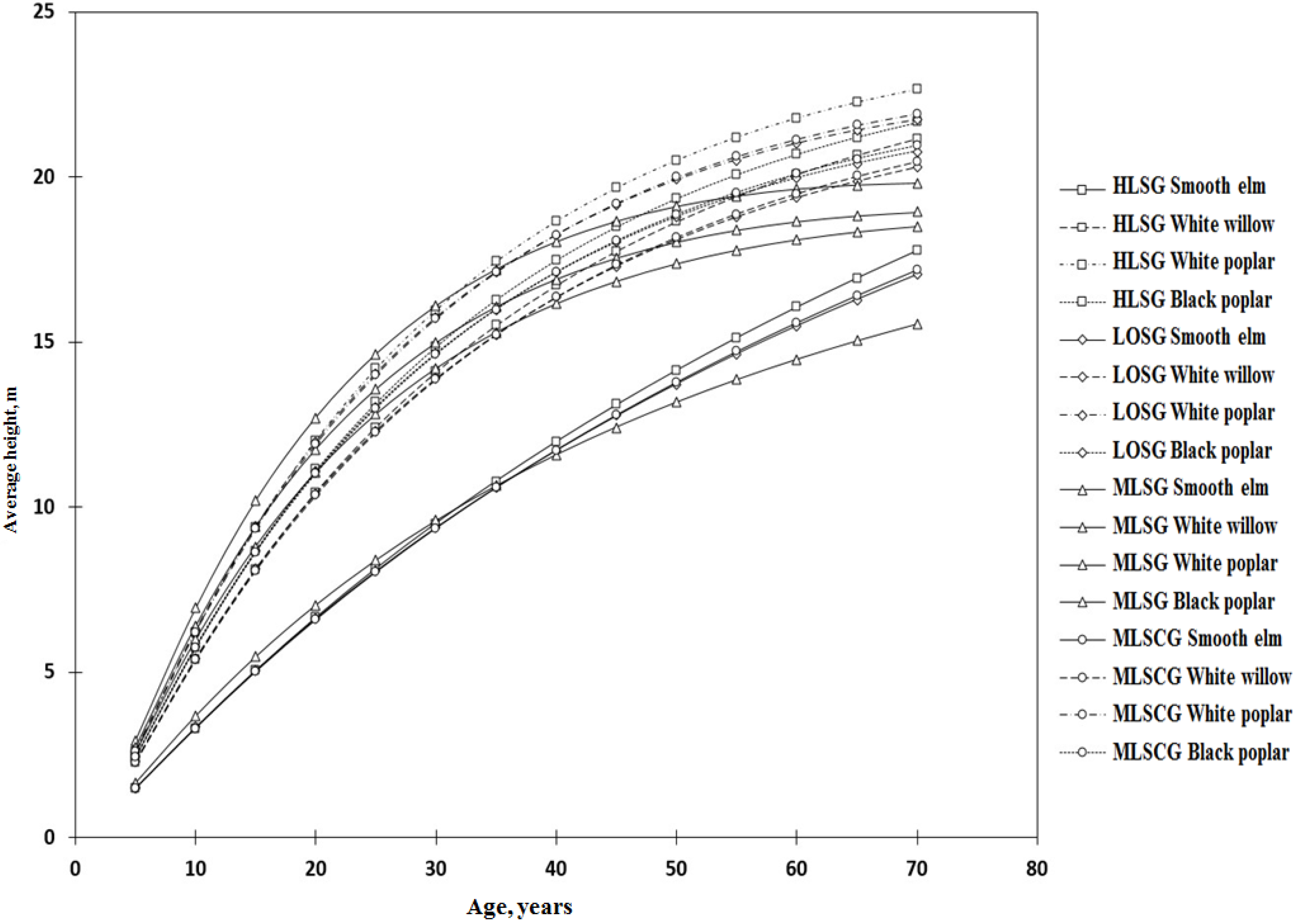
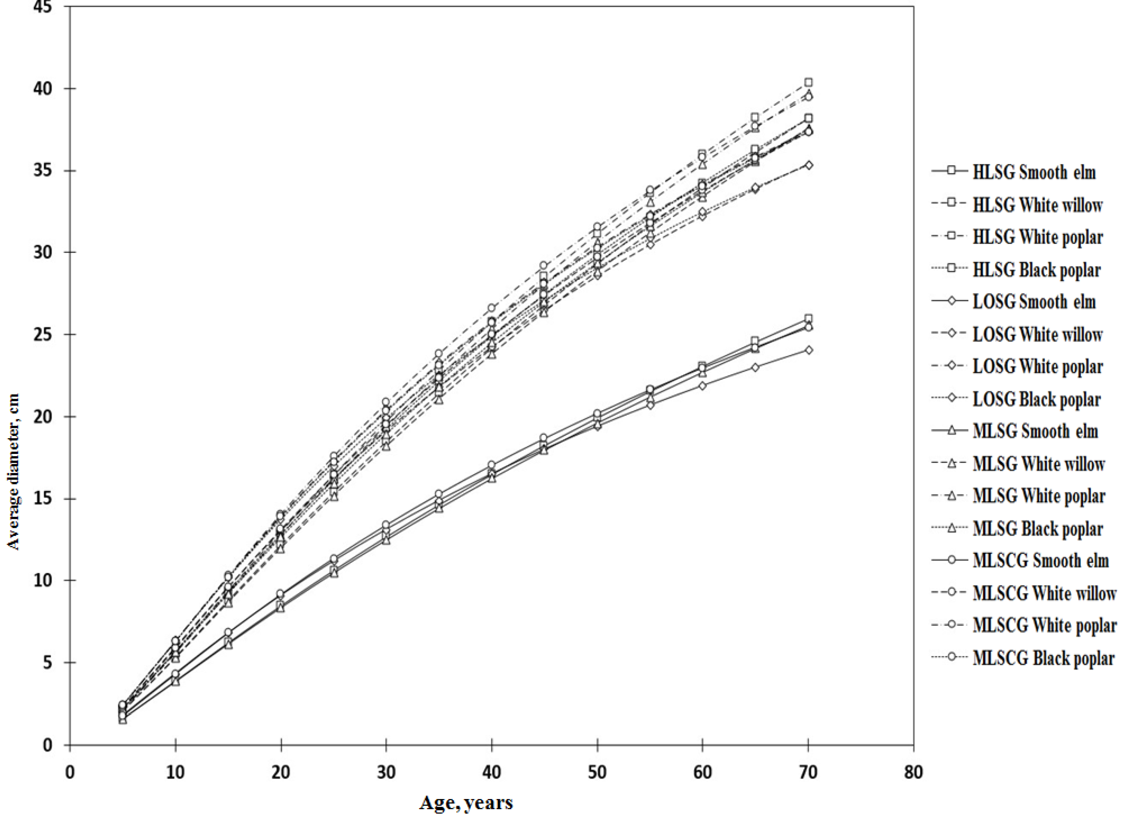
The obtained values of the coefficients of determination (R2 = 0.983–0.990) and other statistical parameters of the equations indicate the high reliability of the models. Averaged by species and by groups of forest types, the regression lines for the growth of the average heights and average diameters of forest stands are shown in Figure 6 and Figure 7.
The regression lines related to smooth elm are significantly lower than those of other forest-forming species, regardless of the group of forest types. The low ecological resistance of this tree species to pathogenic diseases and insect pests significantly worsens the sanitary condition of trees, which must first be cut down when caring for plantings.
To determine the range of variation in average heights, Equation (6) was obtained, and to determine the range of the average diameters, Equations (10) and (11) were used.
H m i n cp = e x p ( 0.8883 + 1.21605 l n H cp cp + l n H cp cp ( 0.07897 X 1 0.25315 X 2 0.14635 X 3 )
R2 = 0.870; ES = ±22.0%; t > t05 = 1.96; F = 63.5 when p < 0.05
H m a x cp = e x p ( 1.06077 + 0.68393 l n H cp cp + l n H cp cp ( 0.09182 X 1 + 0.11500 X 2 + + 0.11904 X 3 )
R2 = 0.954; ES = ±10.0; t > t05 = 1.96; F = 199.3 when p < 0.05
The regression model of the range of variation in the average diameters of tree stands for the coded forest-forming species is represented by a general expression:
D m i n cp ,   D m a x cp = exp a 0 + a 1 l n D cp cp + l n D cp cp i = 1 n b i X i
where:
D m i n cp , D m a x c p minimum and maximum values of average diameters of tree stands of constituent tree species, cm;
D c p c p —statistical average value of the average diameter of tree stands, cm.
D m i n cp = e x p ( 1.38969 + 1.3666 l n D cp cp + l n D cp cp ( 0.09540 X 1 0.16327 X 2 0.15484 X 3 )
R2 = 0.946; ES = ±21.0%; t > t05 = 1.96; F = 172.3 when p < 0.05
D m a x cp = e x p ( 1.01252 + 0.74166 l n D cp cp + l n D cp cp ( 0.10983 X 1 + 0.11872 X 2 + + 0.10846 X 3 )
R2 = 0.977; ES = ±9.0%; t > t05 = 1.96; F = 411.5 when p < 0.05
The statistical parameters of the equations indicate a high degree of reliability of the maximum values of the average heights and diameters obtained from them.

3.3. Three-Level Models of Forest Growth Progress

Thus, three-level species-forest typological models of growth progress in terms of the average height (12) and average diameter (13) of tree stands are represented by regressions of the form:
H s r = exp ( 0.49901 + 1.37916 l n A 0.02418 ln 3 A + l n A 1.08091 X 1 2.06770 X 2                                 + ln 2 A 0.45443 X 1 + 0.82467 X 2 + ln 3 A 0.05289 X 1 0.09499 X 2                                 + l n A ( 0.14381 Z 1 + 0.25777 Z 2                                 + 0.13315 Z 3 ) + ln 2 A 0.08487 Z 1 0.11657 Z 2 0.08193 Z 3                                 + ln 3 A 0.01177 Z 1 + + 0.01177 Z 2 + 0.01177 Z 3                                 + l n A + 0.20737 F 1 + 0.14947 F 2 + ln 2 A 0.10770 F 1 0.07742 F 2                                 + ln 3 A 0.01294 F 1 + 0.009918 F 2 )
R2 = 0.984; ES = ±9.0%; t > t05 = 1.96; F = 1268.6 when p < 0.05
D s r = exp ( 0.86401 + 1.52981 l n A 0.01960 ln 3 A + l n A 1.05469 X 1 2.64443 X 2                                 + ln 2 A + 0.41629 X 1 + 1.08970 X 2 + ln 3 A 0.04596 X 1 0.12416 X 2                                 + l n A ( 0.25823 Z 1 + 0.12435 Z 2                                 + 0.23508 Z 3 ) + ln 2 A 0.11628 Z 1 0.08138 Z 2 0.10777 Z 3                                 + ln 3 A 0.01233 Z 1 + 0.01233 Z 2 + 0.01233 Z 3                                 + l n A + 0.14797 F 1 + 0.16575 F 2 + ln 2 A 0.08109 F 1 0.08880 F 2                                 + ln 3 A 0.01093 F 1 + 0.01098 F 2 )
R2 = 0.997; ES = ±5.5%; t > t05 = 1.96; F = 6679.9 when p < 0.05
A graphical interpretation of the three-level models clearly shows the discrepancy in the growth rates of tree species both among themselves and in groups of forest types for each level of the average heights and diameters of the tree stands (Figure 8 and Figure 9). Each level shows how productive different tree species are in different types of growing conditions.
A graphical interpretation of the three-level models of age-related changes in average heights and average diameters clearly shows the discrepancy in the growth rates of tree species both among themselves and in groups of forest types for each level of the average heights and diameters of tree stands. A graphic comparison of the actual and theoretical values of average heights and a presentation of the multidimensional patterns of changes in the average height of forest stands allows us to compare the obtained growth curves with the general grading scale related to tree species of rapid growth (poplar, white willow and white acacia), RSRIFFM [2].

3.4. Forest Typological Models of the Growth of Forest Stands by Classes of Average Heights (H30)

Thus, the model of the relationship between the average height of black poplar stands and age for a conditionally given gradation of average height levels at the base age of 30 years is represented by a regression equation of the form:
H c p = exp ( 0.49901 + 0.44530 l n A 0.08061 ln 2 A 0.00211 ln 3 A 1.73172 l n A l n H 30 + 0.65722 l n A l n 2 H 30                                               + 1.02238 ln 2 A l n H 30 0.32601 ln 2 A l n 2 H 30 0.12548 ln 3 A l n H 30 + 0.03904 ln 3 A l n 2 H 30 )
R2 = 1.0
The functionally derived model of average heights (14) with a given gradation of 1 m at 30 years of age is shown in Figure 10. Along with forest typological curves of classes of average heights, the figure shows curves corresponding to the RSRIFFM bonitet scale [2] for tree species of rapid growth (poplar, white willow and white acacia). Bonitet characterizes the growth and potential productivity of plantings of a certain species, age and height for given growing conditions. A comparison of the regression lines with the curves of average heights constructed according to the data of the quality scale indicates the possibility of using the quality scale only in the highest-quality classes. From the figure, you can see that the forest typological curves of the middle height classes coincide with the quality scales Ib, I and III and the quality scale can only be used in the highest quality classes.
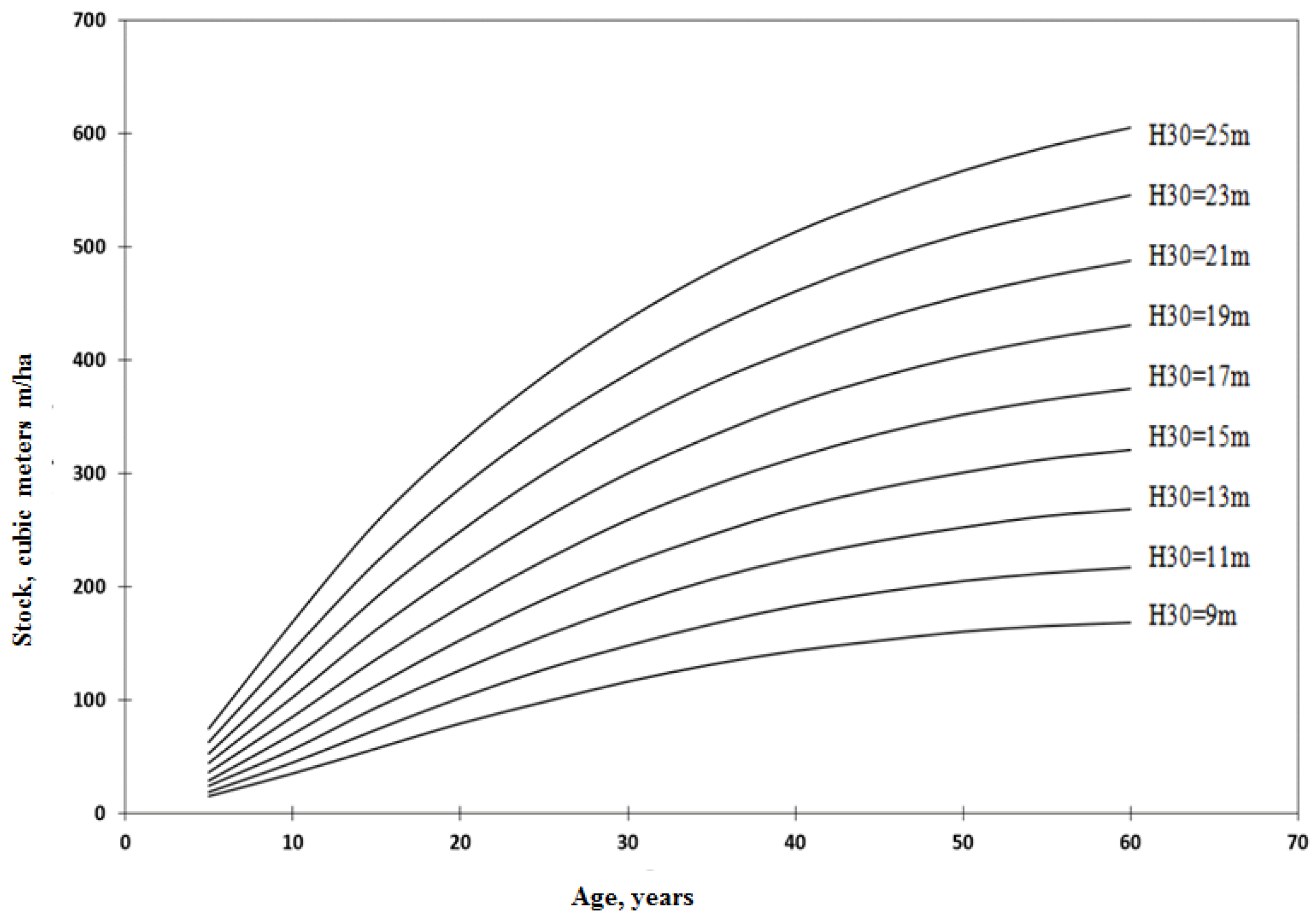
In the floodplain of the Ural River, there were mainly plantations of average productivity levels at which the values of the quality scale do not coincide with the forest typological curves of classes of average heights (H30). The relationship between the productivity of forest elements and their average height is well known. The final indicators of forest stand productivity were the available stock and the stock of dying trees, which together characterize the overall productivity (productivity). The stock of available forest stands (M, m3/ha) is determined, as a rule, by three indicators: the average height (H, m), relative completeness (C), and the share of the tree species in the forest stand (Ds). Graphically, the age-related change in the stock of pure-composition, closed stands of black poplar in the group of forest types characterizing the sedge forests of the middle levels of the central floodplain is shown in Figure 11 and Figure 12. The inventory regression equation obtained in the data of standard tables has the form:
M = exp 0.39351 + 1.16608 l n H + 0.0399 ln 2 H + 0.9999 l n C + + 0.9999 l n D s
The maximum potential and theoretically calculated productivity of fully mature black poplar stands at the age of cutting when H30 = 25 m can reach 500 cubic meters per hectare. To transition from available stock to total productivity, a direct reduction coefficient (1.3215), derived from the work of A.Z. Shvidenko and others [8], was used. This coefficient allows for an approximate relationship between the total productivity of the stand, considering decay, and the stock of the full stand according to the equation: MOP = 1.3215 × M. Figure 12 (bottom) shows a comparison of graphs of changes in the stock and total productivity of pure and maximally full black poplar stands. Figure 13 (top) shows the culminating curves of the current and average change in the stock of full plantations, as well as the age of quantitative maturity corresponding to the intersection of the curves for the maximum (H30 = 25 m) and minimum (H30 = 9 m) class of the average height of stands, respectively, at 17 and 27 years. The curves of the total current increase in stock for the same classes of average heights are shown in Figure 13 and Figure 14. With a class of average heights H30= 25 m at the age of the culmination of the current growth—10 years—the maximum annual productivity of closed tree stands can reach 25 cubic meters, m/ha, and the minimum at H30 = 9 m at the age of 15 years is 6 cubic meters, m/ha.
The presented methodological solutions and the obtained results of modeling the course of growth of tree stands using the example of floodplain forests of the Urals made it possible to significantly supplement the theory of the course of growth with new results that take into account the diversity of environmental conditions, the species and the spatial structure of plantings. The resulting models and new normative and reference materials on growth and productivity indicators allow us to continue scientific and practical work on optimizing the use of wood when caring for forests, ensuring its environmental sustainability. To date, forestry organizations and scientists of our region are raising the problem of the state of the floodplain forests of the Ural River and are trying to find solutions to it.

4. Discussion

The modeling of growth patterns of the whole diversity of forest-forming species of stands in landscape-ecological groups of forest types of the Ural River floodplain is an urgent theoretical and practical task facing foresters of the Republic of Kazakhstan.
The analytical review of the literature sources allowed us to note the increasing interest to the problem of modeling the growth and productivity of forest plantations due to the introduction of modern computer technologies and data analysis methods into the scientific process. According to the accepted classification and methodology of statistical modeling [13], growth models are divided into a class of linear models obtained by the least-squares method and nonlinear models obtained by the nonlinear estimation of the equation parameters. Of particular interest are statistical methods of multivariate modeling using regression analysis, including independent predictors along with numerical values of qualitative variables. It is most appropriate to obtain a multivariate least-squares regression of growth by combining the combination of stand age with qualitative predictors expressed by dummy variables such as the names of forest-forming species and the names of the forest-type groups. In this case, it was necessary to form the structure of regression models of a linear type, allowing to display the dependence of the morphometric indices of growth on the whole complex of quantitative and qualitative variables.
This article details the methodology for the development of growth models of forest-forming species of stands growing in the conditions of groups of forest types, representing the forest formation dominated by black poplar—black poplars (folk name Osokorniki). Forest-forming rocks for building growth models were represented by smooth elm (Ulmus laevis), white willow (Salix alba), white poplar (Populus alba) and black poplar (Populus nigra). In accordance with the objective and working hypothesis, the methodology of multivariate growth modeling was divided into four stages. Each stage included a logical list of tasks, the order of solving which allowed obtaining the results of modeling the stand growth taking into account the names of tree species and their growing conditions. Draper Smith’s textbook on regression analysis was used in the development of the methodology. The essence of the technique is to form a structure of regression equations of a general type, including age as the main indicator characterizing the growth process and dummy variables coding qualitative attributes. It should be noted that models describing the growth process can be of two kinds. The first type of model describes a synchronized change in growth rates for different characteristics of a qualitative variable. In our case, these are names of forest-forming species and names of forest-type groups. But, as a rule, in nature, the synchrony of changes in the growth of objects is not manifested because each forest-forming species has its own growth energy, different from others. Therefore, to show the asynchrony of the growth curves of stand morphometric traits, the product of age and the qualitative predictor encoded by the dummy variable in the corresponding matrices was added to the general form of the equation.
The essence of the first stage is to obtain regression models of changes with age in the average statistical indices of the average height and average diameter of four forest-forming species in four landscape-ecological groups of forest types. Consun’s growth function was used in conjunction with the specified qualitative variables to construct growth models. Multiple regression analysis provided array-averaged data for the construction of growth regression lines characterized by the following parameters: for average statistical stand heights (R2H = 0.983; ESH = ±6.3%) and for average statistical stand diameters (R2D = 0.990; ESD = ±6.8%). The second stage of the methodology was devoted to modeling the change with the age of the maximum and minimum values of average heights and diameters as a function of the average stand heights and diameters obtained in the first stage of modeling. The change with the age of the regression line boundaries was estimated from the growth model data of the mean values of heights and diameters and dummy variables encoding names of forest-forming species. The asynchrony of the marginal growth curves is provided as a result of the product of the mean statistical values of the morphometric growth curves by dummy variables encoding the names of forest-forming tree species. The final regression equations of the maximum and minimum values of the mean heights and diameters were characterized by the following statistical parameters: R2Hmin = 0.946, R2Hmax= 0.954, R2Dmin = 0.870, R2Dmax = 0.977, and the errors of the equations (ESmax = ±22.0%, ESHmax = ±10.0%, ESDmin = ±21.0% and ESDmax = ±9.0%). Thus, the fulfillment of the first and second stages of the methodology allowed us to obtain data for three levels of changes in growth indices: for average statistical values for the data set, as well as for the limit values of the range of variation of the average heights and average diameters of the stands. The obtained data set allowed the construction of a three-level regression model of the general type, including qualitative predictors along with age: three levels of average heights and average diameters, four groups of forest types and three forest-forming tree species, coded by dummy variables. The processing of the data set by multiple regression analysis allowed us to obtain statistical growth models with the following parameters: for the average height (R2 = 0.984; ES = ±9.0%) and for the average diameter (R2 = 0.997; ES = ±5.5%). The presence of these qualitative variables in multivariate growth models in combination with stand age, while observing the rule of the asynchrony of the growth curves, allowed us to proceed to the fourth stage of modeling. The fourth step involves detailing growth models for a particular tree species growing in a particular group of forest types. To demonstrate the detailed modeling of the growth and productivity of stands and to draw up practical standards, the dominant species—black poplar (Populus nigra)—growing in the group of forest types (folk name Osokorniki) of the middle level of the central floodplain, was selected.
In the fourth step, we obtain gradient growth curves with a given level of the average stand height at a certain age. In our case, it is 30 years. The model of average stand height growth is functional (R2 = 1.0), as all data for its construction were obtained in the third stage of modeling. The known range of the limit values obtained from the third stage of modeling allowed us to order the changes in the mean heights into eight classes of mean heights with a two-meter gradation in a 30-year stand from 9 m to 25 m. The availability of a regional model of the dependence of the stock of closed stands of black poplar on the average height (Hsr) with statistical parameters (R2 = 1.0) allowed us to proceed to the estimation of stand productivity. Thus, the theoretical model of stand growth by 2 m forest-typological classes of average heights at 30 years of age allowed us to solve the problems of modeling stand productivity in the whole range of stock variation. The graphical interpretation of age-related changes in the stock of closed stands of black poplar by 2 m classes of average height in the group of forest types Osokorniki of the central floodplain (Figure 4 from top) indicates the possibility of compiling similar models and taxation norms for other groups of forest types.
As a result, the lines of age-related changes in total stand productivity were obtained for the whole growth period. A comparison of the dynamics of available stand stock and total productivity is presented in Figure 4 below. The presence of the regression lines M and OD made it possible to calculate the values of the current change in the stock of the existing stand (Figure 5, top) and the total current growth taking into account the falling off (Figure 5, bottom) and to obtain the necessary data for the development of an optimization program of thinning in accordance with the methodology proposed by V.K. Khlyustov [13]. Thus, the methodology of the step-by-step modeling of growth and productivity indicators of forest stands allowed us to digitize normative and reference materials for the whole variety of tree species and groups of forest types by forest-typological classes of average heights with a 2 m gradation in 30-year stands. The developed methodology of the multidimensional modeling of the growth and productivity of forest plantations has practical realization, connected with further development of information and reference systems of forest taxation norms for forest inventory, as well as with the development of programs for the optimization of forest maintenance cuttings. The described methodological solutions and the obtained results of modeling the growth and productivity of stands on the example of floodplain forests of the West Kazakhstan part of the Ural River basin allowed us to significantly supplement the growth theory with new results, taking into account the diversity of the ecological conditions of the places of growth of forest-forming species

5. Conclusions

The conducted scientific research allows us to draw the following main conclusions:
The growth of average heights and diameters of forest elements is successfully described by asynchronous forest-typological and species–species regressions, combining the synergy of the growth function with binary variables encoding groups of forest types and tree species. The determination coefficients R2H = 0.983 and R2D = 0.990 and equation errors ESN = ±6.3% and ESD = ±6.8% indicate the reliability of the models.
The average maximum and minimum heights and average maximum and minimum diameters of the forest elements are closely related to the average statistical values for the massif in the context of forest-forming tree species. The determination indicators of equations (R2Hmin = 0.946, R2Hmax = 0.954, R2Dmin = 0.870 and R2Dmax = 0.977) and errors of equations ESHmin = ±22.0%, ESHmax = ±10.0%, ESDmin = ±21.0% and ESDmax = ±9.0% indicate a reliable determination of the maximum values of the average heights and average diameters of tree stands.
The three-level models of growth progress make it possible to assess changes in the taxation indicators of forest stands with an age over the entire range of the forest conditions, species and spatial structure. Model accuracy indicators for the average heights (R2 = 0.984; ES = ±9.0%) and average diameters (R2 = 0.997; ES = ±5.5%) indicate a high degree of reliability of the modeling results.
Based on the models of the limiting values of the average height and average diameter, forest typological scales of classes of average heights and diameters with a given gradation at 30 years of age of the forest stands for individual tree species were constructed. Using the example of sedge gardens at the middle levels of the central floodplain, tables of growth progress were constructed for the closed stands of black poplar.
The introduction into the statistical models of the taxation indicators of forest typological classes of average heights (H30) and a relative average diameter (Drel30) makes it possible to construct tables of growth progress and tables of the stock of forest stands with different densities. The function of the stock model M = f(H30, Hav, Drel30) allows us to build a regression with the determination index R2 = 0.998 and the error ESM = ±3.4%.

Author Contributions

Conceptualization, M.E. and V.K.; methodology, M.E.; software, M.E.; validation, V.K. and M.E.; formal analysis, M.E.; investigation, M.E.; resources, V.K.; data curation, V.K.; writing—original draft preparation; writing—review and editing, Y.D.; visualization; supervision, Y.D.; project administration; funding acquisition, M.E. All authors have read and agreed to the published version of the manuscript.

Funding

Scientific project for grant funding “Zhas galym” with the individual registration number AP13268730.

Institutional Review Board Statement

Not applicable.

Informed Consent Statement

Not applicable.

Data Availability Statement

No new data were created or analyzed in this study. Data sharing is not applicable to this article.

Conflicts of Interest

The authors declare no conflicts of interest.

References

  1. Levacovič, A. Analytische Form des Wachstumsgesetzes. Glas. Za Šumske Pokuse 1935, 4, 189–253. [Google Scholar]
  2. Zagreev, V.V.; Sukhikh, V.I.; Shvidenko, A.Z. All-Union Standards for Forest Taxation; Kolos: Moscow, Russia, 1992; p. 495. [Google Scholar]
  3. Tkachenko, A.; Grynova, M.; Zhdanova-Nedilko, O.; Primakova, V. Makarenko studies as a resource for training modern educational managers. Sources Pedagog. Ski. 2021, 27, 228–234. [Google Scholar] [CrossRef]
  4. Zeide, B.B. Standardization of Growth Series of the Main Taxation Indicators; Forestry: Moscow, Russia, 1968; No. 10; pp. 54–57. [Google Scholar]
  5. Zagreev, V.V. Geographical Patterns of Growth and Productivity of Stands; Forest Industry: Moscow, Russia, 1978; p. 240. [Google Scholar]
  6. Keviste, A.K. Forest Growth Functions; Estonian Agricultural Academy: Tartu, Estonian, 1988; p. 171. [Google Scholar]
  7. Demakov, Y.P. Variability and Classification of Tree Growth Curves in Ontogenesis; Lesnoy Zhurnal; IVOZ: Arkhangelsk, Russia, 2002; No. 4; pp. 32–36. [Google Scholar]
  8. Shvidenko, A.Z.; Shchepashchenko, D.G.; Nilson, S. The Second Edition, Supplemented; Moscow. 2008, p. 886. Available online: https://www.researchgate.net/profile/Dmitry-Schepaschenko/publication/241703708_Tables_and_models_of_growth_and_productivity_of_forests_of_major_forest_forming_species_of_Northern_Eurasia_standard_and_reference_materials/links/00b7d51cac7c2cb0d1000000/Tables-and-models-of-growth-and-productivity-of-forests-of-major-forest-forming-species-of-Northern-Eurasia-standard-and-reference-materials.pdf (accessed on 6 June 2008).
  9. Demakov, Y.P.; Isaev, A.V. Patterns of Siberian Fir Growth in Floodplain Ecotopes of the Reserve; Scientific Works of the State Nature Reserve “Bolshaya Kokshaga”. Yoshkar-Ola: PSTU. 2015, pp. 157–183. Available online: https://cyberleninka.ru/article/n/izmenchivost-i-klassifikatsiya-form-krivyh-hoda-rosta-dereviev-v-ontogeneze/viewer (accessed on 10 January 2015).
  10. Demakov, Y.P.; Mukhortov, D.I.; Krasnov, V.G. Forest Cultures. Methodology of Scientific Research; under the General Editorship of Yu.P. Demakov.—Yoshkar-Ola: Volga State Technological University. 2021, p. 188. Available online: https://znanium.ru/catalog/document?id=397582 (accessed on 2 July 2021).
  11. Demakov, Y.P. The Results of Long-Term Experiments on the Creation and Cultivation of Pine Crops in the Republic of Mari-El: Monograph; Yu.P. Demakov.—Yoshkar-Ola: Volga Region State Technological University. 2022, p. 242. Available online: https://znanium.ru/catalog/document?id=424636 (accessed on 5 January 2022).
  12. Usoltsev, V.A. Phytomass of Forests of Northern Eurasia: Standards and Elements of Geography; Ural Branch of the Russian Academy of Sciences: Yekaterinburg, Russia, 2002; p. 762. [Google Scholar]
  13. Khlyustov, V.K. Integrated Assessment and Management of Forest Resources: Models-Standards-Technologies; Publishing House of the Russian State Agricultural Academy Named after K.A.Timiryazev: Moscow, Russia, 2015; Book I; p. 399. [Google Scholar]
  14. Weiskittel, A.R.; Kershaw, J.A.; Vanclay, J.K.; Hann, D.W. Forest Growth and Yield Modeling; Wiley-Blackwell: Chichester, UK, 2011. [Google Scholar]
  15. Burkhart, H.E.; Tomé, M. Modeling Forest Stand Development. In Modeling Forest Trees and Stands; Springer: Dordrecht, The Netherlands, 2012; pp. 233–244. ISBN 978-90-481-3170-9. [Google Scholar]
  16. Andrés, H. Dynamic Stand Model for Eucalyptus globulus (L.) in Uruguay. Agrociencia Urug. 2018, 22, 63–80. [Google Scholar] [CrossRef]
  17. Nunifu, T.K. Compatible diameter and height increment models for lodgepole pine, trembling aspen, and white spruce. Can. J. For. Res. 2009, 39, 180–192. [Google Scholar] [CrossRef]
  18. Davidian, M. Nonlinear Models for Repeated Measurement Data; Routledge: Abingdon-on-Thames, UK, 2017; p. 360. [Google Scholar]
  19. McCullagh, P. Generalized Linear Models; CRC Press: Boca Raton, FL, USA, 2019; p. 532. [Google Scholar]
  20. Khlyustov, V.K. Growth of Stands and Forest Management, St. Petersburg, LTA.-2015. VNIPIEI Lesprom 06.05.1992, No.2842-lb 92, p. 495. Available online: http://elib.timacad.ru/dl/local/234.pdf/info (accessed on 15 December 2015).
  21. Razin, G.S. Studying and Modeling the Growth of Stands of Various Numbers of Trees (on the Example of Spruce Forests of the Perm Region): Methodological Recommendations. L.: LenNIILH. 1977, p. 43. Available online: http://www.psu.ru/files/docs/ob-universitete/smi/nauchnyj-zhurnal/biologiya/2011_2.pdf (accessed on 2 September 2011).
  22. Razin, G.S.; Rogozin, M.V. On the growth of stands. Dogmatism in forest taxation. Bulletin of the Perm University. The series “Biology”. Perm 2009, 10, 9–38. Available online: https://cyberleninka.ru/article/n/o-hode-rosta-drevostoev-dogmatizm-v-lesnoy-taksatsii (accessed on 6 June 2009).
  23. Rogozin, M.V.; Razin, G.S. Forest Crops of the Teploukhovs in the Stroganov Estate in the Urals: History, Patterns of Development, Selection of Spruce; Perm State Research University: Perm, Russia, 2012; p. 210. [Google Scholar]
  24. Demakov, Y.P. Mathematical models of the growth of pine crops for various types of forests of the Mari Volga region. Bull. Kazan State Agrar. Univ. 2007, 2, 83–91. [Google Scholar]
  25. Khlyustov, V.K. Integrated Assessment and Management of Forest Resources; Models-Standards-Technologies; Publishing House of the Russian State Agricultural Academy Named after K.A. Timiryazev: Moscow, Russia, 2015; Book II; p. 449. [Google Scholar]
  26. Tokarev, A.D. Types of Floodplain Forests of the Ural River; Kazakh Scientific Research Institute of Forestry and Agroforestry: Alma–Ata, Kazakhstan, 1975; Volume 9, pp. 266–278. [Google Scholar]
  27. Biryukov, V.N. Groups of Forest Types; Kazakh Scientific Research Institute of Forestry and Agroforestry: Almaty, Kazakhstan, 1982; p. 44. [Google Scholar]
  28. Draper, N.; Smith, G. Applied Regression Analysis; Statistics: Moscow, Russia, 1973; p. 392. [Google Scholar]
Figure 1. Geographical Placement of Research Objects in the Ural River Basin.
Figure 1. Geographical Placement of Research Objects in the Ural River Basin.
Sustainability 16 04989 g001
Figure 2. The change in the coefficient of variation of the average diameter of stands of black poplar with age by groups of forest types.
Figure 2. The change in the coefficient of variation of the average diameter of stands of black poplar with age by groups of forest types.
Sustainability 16 04989 g002
Figure 3. The change in the accuracy of determining the average diameter with the age of stands of black poplar by groups of forest types.
Figure 3. The change in the accuracy of determining the average diameter with the age of stands of black poplar by groups of forest types.
Sustainability 16 04989 g003
Figure 4. The change in the coefficient of variation of the average height of stands with the age of black poplar by groups of forest types.
Figure 4. The change in the coefficient of variation of the average height of stands with the age of black poplar by groups of forest types.
Sustainability 16 04989 g004
Figure 5. The change in the accuracy of determining the average height of stands with the age of black poplar by groups of forest types.
Figure 5. The change in the accuracy of determining the average height of stands with the age of black poplar by groups of forest types.
Sustainability 16 04989 g005
Figure 6. Changes with age in the averaged average height.
Figure 6. Changes with age in the averaged average height.
Sustainability 16 04989 g006
Figure 7. Changes with age in the average diameter (bottom) of forest-forming species of tree stands by groups of forest types.
Figure 7. Changes with age in the average diameter (bottom) of forest-forming species of tree stands by groups of forest types.
Sustainability 16 04989 g007
Figure 8. Changes with age in three levels of average height of three tree species in four forest-type groups.
Figure 8. Changes with age in three levels of average height of three tree species in four forest-type groups.
Sustainability 16 04989 g008
Figure 9. Changes with age in three levels of average diameter of three tree species in four forest-type groups.
Figure 9. Changes with age in three levels of average diameter of three tree species in four forest-type groups.
Sustainability 16 04989 g009
Figure 10. Changes with age in the average height of black poplar stands by average height classes in the MLSCG group of forest types.
Figure 10. Changes with age in the average height of black poplar stands by average height classes in the MLSCG group of forest types.
Sustainability 16 04989 g010
Figure 11. Changes with age in the stock (top) of pure, closed stands of black poplar by average height classes (H30) in the MLSCG group of forest types.
Figure 11. Changes with age in the stock (top) of pure, closed stands of black poplar by average height classes (H30) in the MLSCG group of forest types.
Sustainability 16 04989 g011
Figure 12. Changes with age in the total productivity (bottom) of pure, closed stands of black poplar by average height classes (H30) in the MLSCG group of forest types.
Figure 12. Changes with age in the total productivity (bottom) of pure, closed stands of black poplar by average height classes (H30) in the MLSCG group of forest types.
Sustainability 16 04989 g012
Figure 13. Age dependency of current and average changes in stock of fully mature black poplar stands, with a mention of the age of quantitative maturity.
Figure 13. Age dependency of current and average changes in stock of fully mature black poplar stands, with a mention of the age of quantitative maturity.
Sustainability 16 04989 g013
Figure 14. Age dependency of total current growth and average change in stock, considering decay, of fully mature black poplar stands, indicating the age of quantitative maturity.
Figure 14. Age dependency of total current growth and average change in stock, considering decay, of fully mature black poplar stands, indicating the age of quantitative maturity.
Sustainability 16 04989 g014
Table 1. The number of objects for conducting statistical data analysis.
Table 1. The number of objects for conducting statistical data analysis.
Forest Vegetation FormationA Group of Forest TypesPlantings for Measuring Taxation, UnitsNumber of Test Areas, UnitsTrees Measured, Pieces
DiameterHeight
Black poplars
(the popular name Osokorniki)
HLSG—high level near the riverbed50---
LOSG—the low level of the area near the central floodplain4348180953
MLSG—the average level near the riverbed in the floodplain12814711,109648
MLSCG—the average level of the central floodplain5874810,128228
Total235210323,046929
Table 2. Coding matrix for groups of forest types and tree species of forest vegetation formation—black poplar stand.
Table 2. Coding matrix for groups of forest types and tree species of forest vegetation formation—black poplar stand.
Forest Type Group (Xi)Tree SpeciesFalse Block Variables
X1X2X3Z1Z2Z3
High-level Black poplar stand near the riverbed (HLSG)Ulmus laevis000000
Salix alba (Z1)000100
Populus alba (Z2)000010
Populus nigra (Z3)000001
Lowland Black poplar stand of the central floodplain (near oxbow) (LOSG) (X1)Ulmus laevis100000
Salix alba (Z1)100100
Populus alba (Z2)100010
Populus nigra (Z3)100001
Middle-level Black poplar stand of the riverine floodplain (MLSG) (X2)Ulmus laevis010000
Salix alba (Z1)010100
Populus alba (Z2)010010
Populus nigra (Z3)010001
Middle-level Black poplar stand of the central floodplain (OCЦ) (X3)Ulmus laevis001000
Salix alba (Z1)001100
Populus alba (Z2)001010
Populus nigra (Z3)001001
Table 3. Matrix for coding productivity levels, groups of forest types and tree species of the forest vegetation formation—black poplars.
Table 3. Matrix for coding productivity levels, groups of forest types and tree species of the forest vegetation formation—black poplars.
Productivity Level (Xi)Forest-Type Group (Zi)Tree Species
(Fi)
False Block Variables
X1X2Z1Z2Z3F1F2
Level I—higherHLSGWW0000000
WP (F1)0000010
BP (F2)0000001
LOSG (Z1)WW0010000
WP (F1)0010010
BP (F2)0010001
MLSG (Z2)WW0001000
WP (F1)0001010
BP (F2)0001001
MLSCG (Z3)WW0000100
WP (F1)0000110
BP (F2)0000101
Level II—middle (X1)HLSGWW1000000
WP (F1)1000010
BP (F2)1000001
LOSG (Z1)WW1010000
WP (F1)1010010
BP (F2)1010001
MLSG (Z2)WW1001000
WP (F1)1001010
BP (F2)1001001
MLSCG (Z3)WW1000100
WP (F1)1000110
BP (F2)1000101
Level III—lower (X2)HLSGWW0100000
WP (F1)0100010
BP (F2)0100001
LOSG (Z1)WW0110000
WP (F1)0110010
BP (F2)0110001
MLSG (Z2)WW0101000
WP (F1)0101010
BP (F2)0101001
MLSCG (Z3)WW0100100
WP (F1)0100110
BP (F2)0100101
Table 4. Matrix of binary variables coding tree species in models of limiting values of average heights and diameters of tree stands.
Table 4. Matrix of binary variables coding tree species in models of limiting values of average heights and diameters of tree stands.
Tree SpeciesFalse Block Variables
Ulmus laevis000
Salix alba100
Populus alba010
Populus nigra001
Disclaimer/Publisher’s Note: The statements, opinions and data contained in all publications are solely those of the individual author(s) and contributor(s) and not of MDPI and/or the editor(s). MDPI and/or the editor(s) disclaim responsibility for any injury to people or property resulting from any ideas, methods, instructions or products referred to in the content.

Share and Cite

MDPI and ACS Style

Elekesheva, M.; Khlyustov, V.; Dulatbay, Y. Ecological Aspects and Methodology for Assessing the Forests of the Ural Floodplain. Sustainability 2024, 16, 4989. https://doi.org/10.3390/su16124989

AMA Style

Elekesheva M, Khlyustov V, Dulatbay Y. Ecological Aspects and Methodology for Assessing the Forests of the Ural Floodplain. Sustainability. 2024; 16(12):4989. https://doi.org/10.3390/su16124989

Chicago/Turabian Style

Elekesheva, Mira, Vitaly Khlyustov, and Yerassyl Dulatbay. 2024. "Ecological Aspects and Methodology for Assessing the Forests of the Ural Floodplain" Sustainability 16, no. 12: 4989. https://doi.org/10.3390/su16124989

APA Style

Elekesheva, M., Khlyustov, V., & Dulatbay, Y. (2024). Ecological Aspects and Methodology for Assessing the Forests of the Ural Floodplain. Sustainability, 16(12), 4989. https://doi.org/10.3390/su16124989

Note that from the first issue of 2016, this journal uses article numbers instead of page numbers. See further details here.

Article Metrics

Back to TopTop