The Smell of Sustainability: Understanding Consumers’ Acceptability of Recycled Plastic Packaging with an Off-Odor
Abstract
1. Introduction
1.1. The Role of Consumers’ Acceptability and Willingness to Buy
1.2. Packaging Design for Sustainability
1.2.1. Odor Perception of PCR Packaging
1.2.2. The Effect of Sustainability Claims
1.2.3. Color Perception of PCR Packaging
1.3. The Influence of Environmental Concern and Motivation
2. Materials and Methods
2.1. Participants
2.2. Stimuli
2.3. Procedure
3. Results
3.1. Agreement between Participants
3.2. Correlation between Attributes’ Ratings
3.3. Three-Way Mixed ANOVA Creamy PCR
3.3.1. Effect on Acceptability and Willingness to Buy
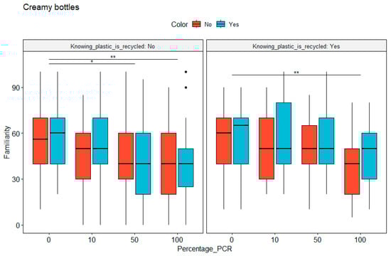
3.3.2. Effect on Odor Perception: Pleasantness, Familiarity, and Intensity
3.4. Three-Way Mixed ANOVA Grey PCR
3.4.1. Effect on Acceptability and Willingness to Buy
3.4.2. Effect on Odor Perception: Pleasantness, Familiarity, and Intensity
3.5. Packaging Odor Qualities as Predictors of Acceptability and Willingness to Buy
3.6. Moderation Analysis
3.7. Open-Ended Questions
4. Discussion
4.1. The Effect of the Percentage of PCR and Odor Qualities
4.2. The Effect of Color
4.3. The Effect of the Environmental Claim
4.4. The Effect of Environmental Concern and Motivation
5. Conclusions
Author Contributions
Funding
Institutional Review Board Statement
Informed Consent Statement
Data Availability Statement
Conflicts of Interest
References
- Plastics—The Facts. 2022. Available online: https://plasticseurope.org/knowledge-hub/plastics-the-facts-2022/ (accessed on 30 November 2023).
- World Economic Forum, Ellen MacArthur Foundation and McKinsey & Company, The New Plastics Economy: Rethinking the Future of Plastics. 2016. Available online: https://www.ellenmacarthurfoundation.org/the-new-plastics-economy-rethinking-the-future-of-plastics (accessed on 30 November 2023).
- The Circular Economy for Plastics. A European Overview. Available online: https://plasticseurope.org/wp-content/uploads/2022/06/PlasticsEurope-CircularityReport-2022_2804-Light.pdf (accessed on 29 November 2023).
- Garcia, D.G.; Kipnis, E.; Vasileiou, E.; Solomon, A. Consumption in the Circular Economy: Learning from Our Mistakes. Sustainability 2021, 13, 601. [Google Scholar] [CrossRef]
- Mobley, A.S.; Painter, T.S.; Untch, E.M.; Unnava, H.R. Consumer Evaluation of Recycled Products. Psychol. Mark. 1995, 12, 165–176. [Google Scholar] [CrossRef]
- Polyportis, A.; Mugge, R.; Magnier, L. Consumer Acceptance of Products Made from Recycled Materials: A Scoping Review. Resour. Conserv. Recycl. 2022, 186, 106533. [Google Scholar] [CrossRef]
- Granato, G.; Fischer, A.R.H.; van Trijp, H.C.M. The Price of Sustainability: How Consumers Trade-off Conventional Packaging Benefits Against Sustainability. J. Clean. Prod. 2022, 365, 132739. [Google Scholar] [CrossRef]
- Magnier, L.; Crié, D. Communicating Packaging Eco-friendliness: An Exploration of Consumers’ Perceptions of Eco-designed Packaging. Int. J. Retail Distrib. Manag. 2015, 43, 350–366. [Google Scholar] [CrossRef]
- Olson, E.L. It’s Not Easy Being Green: The Effects of Attribute Trade-offs on Green Product Preference and Choice. J. Acad. Mark. Sci. 2013, 41, 171–184. [Google Scholar] [CrossRef]
- Steenis, N.D.; van der Lans, I.A.; van Herpen, E.; van Trijp, H.C. Effects of Sustainable Design Strategies on Consumer Preferences for Redesigned Packaging. J. Clean. Prod. 2018, 205, 854–865. [Google Scholar] [CrossRef]
- Magnier, L.; Mugge, R.; Schoormans, J. Turning Ocean Garbage into Products—Consumers’ Evaluations of Products Made of Recycled Ocean Plastic. J. Clean. Prod. 2019, 215, 84–98. [Google Scholar] [CrossRef]
- Fischer, A.R.H.; Reinders, M.J. Consumer Acceptance of Novel Foods. In Innovation Strategies in the Food Industry (Second Edition). Tools for Implementation; Galanakis, C.M., Ed.; Academic Press: Cambridge, MA, USA, 2022; pp. 307–333. [Google Scholar] [CrossRef]
- Ronteltap, A.; Fischer, A.R.H.; Tobi, H. Societal Response to Nanotechnology: Converging Technologies–Converging Societal Response Research? J. Nanoparticle Res. 2011, 13, 4399–4410. [Google Scholar] [CrossRef]
- Siegrist, M. The Influence of Trust and Perceptions of Risks and Benefits on the Acceptance of Gene Technology. Risk Anal. 2000, 20, 195–204. [Google Scholar] [CrossRef]
- Love, J. Product acceptability evaluation. In Quality Attributes and their Measurement in Meat, Poultry and Fish Products. Advances in Meat Research; Pearson, A.M., Dutson, T.R., Eds.; Springer: Boston, MA, USA, 1994; Volume 9, pp. 337–358. [Google Scholar] [CrossRef]
- Cela, N.; Giorgione, V.; Fassio, F.; Torri, L. Impact of Circular Economy Information on Sensory Acceptability, Purchase Intention and Perceived Value of Upcycled Foods by Young Consumers. Food Res. Int. 2024, 175, 113765. [Google Scholar] [CrossRef] [PubMed]
- Kuang, L.; Burgess, B.; Cuite, C.L.; Tepper, B.J.; Hallman, W.K. Sensory Acceptability and Willingness to Buy Foods Presented as Having Benefits Achieved Through the Use of Nanotechnology. Food Qual. Prefer. 2020, 83, 103922. [Google Scholar] [CrossRef]
- Sanjuán-López, A.I.; Philippidis, G.; Resano-Ezcaray, H. How Useful is Acceptability to Explain Economic Value? An Application on the Introduction of Innovative Saffron Products into Commercial Markets. Food Qual. Prefer. 2011, 22, 255–263. [Google Scholar] [CrossRef]
- Gao, J.; Wang, J.; Wang, J. The Impact of Pro-environmental Preference on Consumers’ Perceived Well-being: The Mediating Role of Self-determination Need Satisfaction. Sustainability 2020, 12, 436. [Google Scholar] [CrossRef]
- Meijer, S.; de Koeijer, B.; Alves da Motta Filho, M. Design for and From Recycling: Towards a Designer Guide for Plastic Packaging. In Proceedings of the 30th IAPRI Member Conference, East Lansing, MI, USA, 15–17 June 2021. [Google Scholar]
- Ding, Q.; Zhu, H. The Key to Solving Plastic Packaging Wastes: Design for Recycling and Recycling Technology. Polymers 2023, 15, 1485. [Google Scholar] [CrossRef] [PubMed]
- Seier, M.; Roitner, J.; Archodoulaki, V.-M.; Jones, M.P. Design from Recycling: Overcoming Barriers in Regranulate Use in a Circular Economy. Resour. Conserv. Recycl. 2023, 196, 107052. [Google Scholar] [CrossRef]
- Bledzki, A.K.; Kessler, A.; Lieser, J. Odor reduction on plastics and its measurement. Polym. Test. 1999, 18, 63–71. [Google Scholar] [CrossRef]
- Lok, B.; Buettner, A.; Denk, P.; Ortner, E.; Fell, T. Exploring Odor Minimization in Post-Consumer Plastic Packaging Waste Through the Use of Probiotic Bacteria. Sustainability 2020, 12, 9432. [Google Scholar] [CrossRef]
- The Usage of Recycled Plastics Materials by Plastics Converters in Europe—A Qualitative European Industry Survey—Second Edition. Available online: https://www.ahpi.gr/wp-content/uploads/2019/01/PCE-Report-2nd-EuPC-Survey-on-the-Use-of-rPM-by-European-Plastics-Converters-v.1_compressed.pdf (accessed on 28 November 2023).
- Strangl, M.; Schlummer, M.; Maeurer, A.; Buettner, A. Comparison of the Odorant Composition of Post-consumer High-density Polyethylene Waste with Corresponding Recycled and Virgin Pellets by Combined Instrumental and Sensory Analysis. J. Clean. Prod. 2018, 181, 599–607. [Google Scholar] [CrossRef]
- Cabanes, A.; Strangl, M.; Ortner, E.; Fullana, A.; Buettner, A. Odorant Composition of Post-consumer LDPE Bags Originating from Different Collection Systems. Waste Manag. 2020, 104, 228–238. [Google Scholar] [CrossRef]
- Cabanes, A.; Valdés, F.J.; Fullana, A. A review on VOCs from Recycled Plastics. Sustain. Mater. Technol. 2020, 25, e00179. [Google Scholar] [CrossRef]
- Roosen, M.; Harinck, L.; Ügdüler, S.; De Somer, T.; Hucks, A.-G.; Belé, T.G.A.; Buettner, A.; Ragaert, K.; van Geemb, K.M.; Dumoulin, A.; et al. Deodorization of Post-consumer Plastic Waste Fractions: A Comparison of Different Washing Media. Sci. Total Environ. 2022, 812, 152467. [Google Scholar] [CrossRef] [PubMed]
- Strangl, M.; Ortner, E.; Buettner, A. Evaluation of the Efficiency of Odor Removal from Recycled HDPE Using a Modified Recycling Process. Resour. Conserv. Recycl. 2019, 146, 89–97. [Google Scholar] [CrossRef]
- Strangl, M.; Ortner, E.; Fell, T.; Ginzinger, T.; Buettner, A. Odor Characterization Along the Recycling Process of Post-consumer Plastic Film Fractions. J. Clean. Prod. 2020, 260, 121104. [Google Scholar] [CrossRef]
- Krishna, A.; Schwarz, N. Sensory Marketing, Embodiment, and Grounded Cognition: A Review and Introduction. J. Consum. Psychol. 2014, 24, 159–168. [Google Scholar] [CrossRef]
- Krishna, A. An Integrative Review of Sensory Marketing: Engaging the Senses to Affect Perception. J. Consum. Psychol. 2012, 22, 332–351. [Google Scholar] [CrossRef]
- Biswas, D.; Szocs, C. The Smell of Healthy Choices: Cross-modal Sensory Compensation Effects of Ambient Scent on Food Purchases. J. Mark. Res. 2019, 56, 123–141. [Google Scholar] [CrossRef]
- Lwin, M.O.; Morrin, M.; Chong, C.S.T.; Goh, S.X. Odor Semantics and Visual Cues: What We Smell Impacts Where We Look, What We Remember, and What We Want to Buy. J. Behav. Decis. Mak. 2016, 29, 336–350. [Google Scholar] [CrossRef]
- Madzharov, A.V.; Block, L.G.; Morrin, M. The Cool Scent of Power: Effects of Ambient Scent on Consumer Preferences and Choice Behavior. J. Mark. 2015, 79, 83–96. [Google Scholar] [CrossRef]
- Spence, C. Using Ambient Scent to Enhance Well-being in the Multisensory Built Environment. Front. Psychol. 2020, 11, 598859. [Google Scholar] [CrossRef]
- Krishna, A.; Cian, L.; Aydınoğlu, N.Z. Sensory Aspects of Package Design. J. Retail. 2017, 93, 43–54. [Google Scholar] [CrossRef]
- Tangeland, L.; Schulte, K.Ø.; Boks, C. Tactile Qualities of Materials in Consumer Product Packaging. In Proceedings of the DS 50, Proceedings of Nord Design 2008 Conference, Tallinn, Estonia, 21–23 August 2008. [Google Scholar]
- Ye, N.; Morrin, M.; Kampfer, K. From Glossy to Greasy: The Impact of Learned Associations on Perceptions of Food Healthfulness. J. Consum. Psychol. 2020, 30, 96–124. [Google Scholar] [CrossRef]
- Herbes, C.; Beuthner, C.; Ramme, I. How Green is Your Packaging—A Comparative International Study of Cues Consumers Use to Recognize Environmentally Friendly Packaging. Int. J. Consum. Stud. 2020, 44, 258–271. [Google Scholar] [CrossRef]
- Ketelsen, M.; Janssen, M.; Hamm, U. Consumers’ Response to Environmentally-friendly Food Packaging—A Systematic Review. J. Clean. Prod. 2020, 254, 120123. [Google Scholar] [CrossRef]
- Nguyen, T.; Parker, L.; Brennan, L.-M.; Lockrey, S. A Consumer Definition of Eco-friendly Packaging. J. Clean. Prod. 2020, 252, 119792. [Google Scholar] [CrossRef]
- Testa, F.; Iovino, R.; Iraldo, F. The Circular Economy and Consumer Behaviour: The Mediating Role of Information Seeking in Buying Circular Packaging. Bus. Strategy Environ. 2020, 29, 3435–3448. [Google Scholar] [CrossRef]
- Boesen, S.; Bey, N.; Niero, M. Environmental Sustainability of Liquid Food Packaging: Is There a Gap Between Danish Consumers’ Perception and Learnings from Life Cycle Assessment? J. Clean. Prod. 2019, 210, 1193–1206. [Google Scholar] [CrossRef]
- Steenis, N.D.; van Herpen, E.; van der Lans, I.A.; Ligthart, T.N.; van Trijp, H.C.M. Consumer Response to Packaging Design: The Role of Packaging Materials and Graphics in Sustainability Perceptions and Product Evaluations. J. Clean. Prod. 2017, 162, 286–298. [Google Scholar] [CrossRef]
- Moisander, J. Motivational Complexity of Green Consumerism. Int. J. Consum. Stud. 2007, 31, 404–409. [Google Scholar] [CrossRef]
- Filho, W.L.; Barbir, J.; Abubakar, I.R.; Paço, A.; Stasiskiene, Z.; Hornbogen, M.; Christin Fendt, M.T.; Voronova, V.; Klõga, M. Consumer Attitudes and Concerns with Bioplastics Use: An International Study. PLoS ONE 2022, 17, e0266918. [Google Scholar] [CrossRef]
- Koenig-Lewis, N.; Palmer, A.; Dermody, J.; Urbye, A. Consumers’ Evaluations of Ecological Packaging—Rational and Emotional Approaches. J. Environ. Psychol. 2014, 37, 94–105. [Google Scholar] [CrossRef]
- Sijtsema, S.J.; Onwezen, M.C.; Reinders, M.J.; Dagevos, H.; Partanen, A.; Meeusen, M. Consumer Perception of Bio-based Products—An Exploratory Study in 5 European Countries. NJAS Wagening. J. Life Sci. 2016, 77, 61–69. [Google Scholar] [CrossRef]
- Zwicker, M.V.; Brick, C.; Gruter, G.-J.M.; van Harreveld, F. (Not) Doing the Right Things for the Wrong Reasons: An Investigation of Consumer Attitudes, Perceptions, and Willingness to Pay for Bio-based Plastics. Sustainability 2021, 13, 6819. [Google Scholar] [CrossRef]
- Dörnyei, K.R.; Bauer, A.-S.; Krauter, V.; Herbes, C. (Not) Communicating the Environmental Friendliness of Food Packaging to Consumers—An Attribute- and Cue-based Concept and its Application. Foods 2022, 11, 1371. [Google Scholar] [CrossRef]
- Spence, C.; Puccinelli, N.M.; Grewal, D.; Roggeveen, A.L. Store Atmospherics: A Multisensory Perspective. Psychol. Mark. 2014, 31, 472–488. [Google Scholar] [CrossRef]
- Weinrich, R.; Spiller, A. Developing Food Labelling Strategies: Multi-level Labelling. J. Clean. Prod. 2016, 137, 1138–1148. [Google Scholar] [CrossRef]
- Magnier, L.; Schoormans, J. Consumer Reactions to Sustainable Packaging: The Interplay of Visual Appearance, Verbal Claim and Environmental Concern. J. Environ. Psychol. 2015, 44, 53–62. [Google Scholar] [CrossRef]
- Garber, L.; Hyatt, E.; Boya, Ü. The mediating effects of the appearance of nondurable consumer goods and their packaging on consumer behavior. In Product Experience; Schifferstein, H.N.J., Hekkert, P., Eds.; Elsevier: Amsterdam, The Netherlands, 2008; pp. 581–602. [Google Scholar]
- Jin, C.; Yoon, M.; Lee, J. The Influence of Brand Color Identity on Brand Association and Loyalty. J. Prod. Brand Manag. 2019, 28, 50–62. [Google Scholar] [CrossRef]
- Swasty, W.; Mustafa, M. Color on Food Packaging as Brand Visibility and Value Creation: A Systematic Review. GATR-Glob. J. Bus. Soc. Sci. Rev. 2022, 10, 267–284. [Google Scholar] [CrossRef]
- Barchiesi, M.A.; Castellan, S.; Costa, R. In the Eye of the Beholder: Communicating CSR Through Color in Packaging Design. J. Mark. Commun. 2018, 24, 720–733. [Google Scholar] [CrossRef]
- Festila, A.; Chrysochou, P. Implicit Communication of Food Product Healthfulness Through Package Design: A Content Analysis. J. Consum. Behav. 2018, 17, 461–476. [Google Scholar] [CrossRef]
- Pereira, C. The Meaning of Colors in Food Packaging: A Study of Industrialized Products Sold in Brazil. Color Res. Appl. 2021, 46, 566–574. [Google Scholar] [CrossRef]
- Spence, C.; Velasco, C. Packaging color and its multiple roles. In Multisensory Packaging; Velasco, C., Spence, C., Eds.; Palgrave Macmillan: Cham, Switzerland, 2019; pp. 21–48. [Google Scholar] [CrossRef]
- Spence, C.; Velasco, C. On the Multiple Effects of Packaging Color on Consumer Behaviour and Product Experience in the ‘Food and Beverage’ and ‘Home and Personal Care’ Categories. Food Qual. Prefer. 2018, 68, 226–237. [Google Scholar] [CrossRef]
- Spence, C. Olfactory-color Crossmodal Correspondences in Art, Science, and Design. Cogn. Res. Princ. Implic. 2020, 5, 52. [Google Scholar] [CrossRef] [PubMed]
- Churchill, A.; Meyners, M.; Griffiths, L.; Bailey, P. The Cross-modal Effect of Fragrance in Shampoo: Modifying the Perceived Feel of Both Product and Hair During and After Washing. Food Qual. Prefer. 2009, 20, 320–328. [Google Scholar] [CrossRef]
- Wang, X.; Gu, Y.; Xin, H.; Qiu, P.; Wang, J. The Role of Product Cues and Regulatory Focus in the Consumers’ Response to Green Products: The Mediation Effects of Green Attitudes. Front. Psychol. 2022, 13, 918248. [Google Scholar] [CrossRef]
- Fransson, N.; Gärling, T. Environmental Concern: Conceptual Definitions, Measurement Methods, and Research Findings. J. Environ. Psychol. 1999, 19, 369–382. [Google Scholar] [CrossRef]
- Pelletier, L.G.; Tuson, K.M.; Green-Demers, I.; Noels, K.; Beaton, A.M. Why Are You Doing Things for the Environment? The Motivation Toward the Environment Scale (MTES). J. Appl. Soc. Psychol. 1998, 28, 437–468. [Google Scholar] [CrossRef]
- Bamberg, S. How Does Environmental Concern Influence Specific Environmentally Related Behaviors? A New Answer to an Old Question. J. Environ. Psychol. 2003, 23, 21–32. [Google Scholar] [CrossRef]
- Kumar, B.; Manrai, A.K.; Manrai, L.A. Purchasing Behaviour for Environmentally Sustainable Products: A Conceptual Framework and Empirical Study. J. Retail. Consum. Serv. 2017, 34, 1–9. [Google Scholar] [CrossRef]
- Newton, J.D.; Tsarenko, Y.; Ferraro, C.; Sands, S. Environmental Concern and Environmental Purchase Intentions: The Mediating Role of Learning Strategy. J. Bus. Res. 2015, 68, 1974–1981. [Google Scholar] [CrossRef]
- Riskos, K.; Dekoulou, P.; Mylona, N.; Tsourvakas, G. Ecolabels and the Attitude–Behavior Relationship Towards Green Product Purchase: A Multiple Mediation Model. Sustainability 2021, 13, 6867. [Google Scholar] [CrossRef]
- Gacula, M., Jr.; Rutenbeck, S. Sample Size in Consumer Test and Descriptive Analysis. J. Sens. Stud. 2006, 21, 129–145. [Google Scholar] [CrossRef]
- Faul, F.; Erdfelder, E.; Lang, A.G.; Buchner, A. G*Power 3: A Flexible Statistical Power Analysis Program for the Social, Behavioral, and Biomedical Sciences. Behav. Res. Methods 2007, 39, 175–191. [Google Scholar] [CrossRef] [PubMed]
- Hummel, T.; Pfetzing, U.; Lötsch, J. A Short Olfactory Test Based on the Identification of Three Odors. J. Neurol. 2010, 257, 1316–1321. [Google Scholar] [CrossRef] [PubMed]
- Ishihara, S. Ishihara’s Tests for Color Deficiency; Kanehara Trading Inc.: Tokyo, Japan, 2004. [Google Scholar]
- Steiner, P.M.; Atzmüller, C.; Su, D. Designing Valid and Reliable Vignette Experiments for Survey Research: A Case Study on the Fair Gender Income Gap. J. Methods Meas. Soc. Sci. 2017, 7, 52–94. [Google Scholar] [CrossRef]
- Sass, W.; Pauw, J.B.-D.; Donche, V.; Petegem, P.V. “Why (Should) I Do Something for the Environment?” Profiles of Flemish Adolescents’ Motivation Toward the Environment. Sustainability 2018, 10, 2579. [Google Scholar] [CrossRef]
- Kilbourne, W.; Pickett, G. How Materialism Affects Environmental Beliefs, Concern, and Environmentally Responsible Behavior. J. Bus. Res. 2008, 61, 885–893. [Google Scholar] [CrossRef]
- Gamer, M.; Lemon, J.; Fellows, I.; Singh, P. irr: Various Coefficients of Interrater Reliability and Agreement (R Package Version 0.84) [Computer Software]. 2012. Available online: http://CRAN.R-project.org/package=irr (accessed on 8 May 2024).
- McGraw, K.O.; Wong, S.P. Forming Inferences About Some Intraclass Correlation Coefficients. Psychol. Methods 1996, 1, 30–46. [Google Scholar] [CrossRef]
- Landis, J.R.; Koch, G.G. The Measurement of Observer Agreement for Categorical Data. Biometrics 1977, 33, 159–174. [Google Scholar] [CrossRef]
- Hayes, A.F. Introduction to Mediation, Moderation and Conditional Process Analysis. A Regression-Based Approach, 2nd ed.; The Guilford Press: New York, NY, USA, 2018. [Google Scholar]
- Granato, G.; Fischer, A.R.H.; van Trijp, H.C.M. A Meaningful Reminder on Sustainability: When Explicit and Implicit Packaging Cues Meet. J. Environ. Psychol. 2022, 79, 101724. [Google Scholar] [CrossRef]
- Krah, S.; Todorovic, T.; Magnier, L. Designing for Packaging Sustainability. The Effects of Appearance and a Better Eco-label on Consumers’ Evaluations and Choice. In Proceedings of the 22nd International Conference on Engineering Design (ICED19), Delft, The Netherlands, 5–8 August 2019. [Google Scholar] [CrossRef]
- Hallez, L.; Vansteenbeeck, H.; Boen, F.; Smits, T. Persuasive Packaging? The Impact of Packaging Color and Claims on Young Consumers’ Perceptions of Product Healthiness, Sustainability and Tastiness. Appetite 2023, 182, 106433. [Google Scholar] [CrossRef] [PubMed]
- Lignou, S.; Oloyede, O.O. Consumer Acceptability and Sensory Profile of Sustainable Paper-based Packaging. Foods 2021, 10, 990. [Google Scholar] [CrossRef] [PubMed]
- Ruokamo, E.; Räisänen, M.; Kauppi, S. Consumer Preferences for Recycled Plastics: Observations from a Citizen Survey. J. Clean. Prod. 2022, 379, 134720. [Google Scholar] [CrossRef]
- Stevenson, R.J. An Initial Evaluation of the Functions of Human Olfaction. Chem. Senses 2010, 35, 3–20. [Google Scholar] [CrossRef] [PubMed]
- Keller, A. Attention and Olfactory Consciousness. Front. Psychol. 2011, 2, 16962. [Google Scholar] [CrossRef] [PubMed]
- Köster, E.P.; Møller, P.; Mojet, J. A “Misfit” Theory of Spontaneous Conscious Odor Perception (MITSCOP): Reflections on the Role and Function of Odor Memory in Everyday Life. Front. Psychol. 2014, 5, 64. [Google Scholar] [CrossRef] [PubMed]
- Smeets, M.A.M.; Dijksterhuis, G.B. Smelly Primes—When Olfactory Primes Do or Do Not Work. Front. Psychol. 2014, 5, 70949. [Google Scholar] [CrossRef] [PubMed]
- Ranganath, C.; Rainer, G. Neural Mechanisms for Detecting and Remembering Novel Events. Nat. Rev. Neurosci. 2003, 4, 193–202. [Google Scholar] [CrossRef]
- Baxter, W.; Aurisicchio, M.; Childs, P. Contaminated Interaction: Another Barrier to Circular Material Flows. J. Ind. Ecol. 2017, 21, 507–516. [Google Scholar] [CrossRef]
- Hamzaoui Essoussi, L.; Linton, J.D. New or Recycled Products: How Much Are Consumers Willing to Pay? J. Consum. Mark. 2010, 27, 458–468. [Google Scholar] [CrossRef]
- Meng, M.D.; Leary, R.B. It Might Be Ethical, But I Won’t Buy It: Perceived Contamination of, and Disgust Towards, Clothing Made from Recycled Plastic Bottles. Psychol. Mark. 2021, 38, 298–312. [Google Scholar] [CrossRef]
- Wallner, T.S.; Magnier, L.; Mugge, R. Do Consumers Mind Contamination by Previous Users? A Choice-Based Conjoint Analysis to Explore Strategies that Improve Consumers’ Choice for Refurbished Products. Resour. Conserv. Recycl. 2022, 177, 105998. [Google Scholar] [CrossRef]
- Talavera, M.; Sasse, A.M. Gathering Consumer Terminology Using Focus Groups—An Example with Beauty Care. J. Sens. Stud. 2019, 34, e12533. [Google Scholar] [CrossRef]
- Liu, Y.; Toet, A.; Krone, T.; van Stokkum, R.; Eijsman, S.; van Erp, J.B.F. A Network Model of Affective Odor Perception. PLoS ONE 2020, 15, e0236468. [Google Scholar] [CrossRef]
- Ayabe-Kanamura, S.; Schicker, I.; Laska, M.; Hudson, R.; Distel, H.; Kobayakawa, T.; Saito, S. Differences in Perception of Everyday Odors: A Japanese-German Cross-cultural Study. Chem. Senses 1998, 23, 31–38. [Google Scholar] [CrossRef] [PubMed]
- Bensafi, M.; Rouby, C.; Farget, V.; Bertrand, B.; Vigouroux, M.; Holley, A. Autonomic Nervous System Responses to Odors: The Role of Pleasantness and Arousal. Chem. Senses 2002, 27, 703–709. [Google Scholar] [CrossRef] [PubMed]
- Distel, H.; Hudson, R. Judgement of Odor Intensity Is Influenced by Subjects’ Knowledge of the Odor Source. Chem. Senses 2001, 26, 247–251. [Google Scholar] [CrossRef] [PubMed]
- Mingo, S.A.; Stevenson, R.J. Phenomenological Differences Between Familiar and Unfamiliar Odors. Perception 2007, 36, 931–947. [Google Scholar] [CrossRef]
- Distel, H.; Ayabe-Kanamura, S.; Martínez-Gómez, M.; Schicker, I.; Kobayakawa, T.; Saito, S.; Hudson, R. Perception of Everyday Odors—Correlation between Intensity, Familiarity and Strength of Hedonic Judgement. Chem. Senses 1999, 24, 191–199. [Google Scholar] [CrossRef]
- Engen, T. The Effect of Expectation on Judgments of Odor. Acta Psychol. 1972, 36, 450–458. [Google Scholar] [CrossRef]
- Herz, R.S. The Effect of Verbal Context on Olfactory Perception. J. Exp. Psychol. Gen. 2003, 132, 595–606. [Google Scholar] [CrossRef] [PubMed]
- Herz, R.S.; von Clef, J. The Influence of Verbal Labeling on the Perception of Odors: Evidence for Olfactory Illusions? Perception 2001, 30, 381–391. [Google Scholar] [CrossRef] [PubMed]
- Seo, H.-S.; Buschhüter, D.; Hummel, T. Contextual Influences on the Relationship between Familiarity and Hedonicity of Odors. J. Food Sci. 2008, 73, S273–S278. [Google Scholar] [CrossRef]
- Deliza, R.; MacFie, H.J.H. The Generation of Sensory Expectation by External Cues and its Effect on Sensory Perception and Hedonic Ratings: A Review. J. Sens. Stud. 1996, 11, 103–128. [Google Scholar] [CrossRef]
- Jeesan, S.A.; Seo, H.-S. Color-induced Aroma Illusion: Color Cues Can Modulate Consumer Perception, Acceptance, and Emotional Responses Toward Cooked Rice. Foods 2020, 9, 1845. [Google Scholar] [CrossRef] [PubMed]
- Shankar, M.; Simons, C.; Shiv, B.; Mcclure, S.; Levitan, C.; Spence, C. An Expectations-based Approach to Explaining the Cross-modal Influence of Color on Orthonasal Olfactory Identification: The Influence of the Degree of Discrepancy. Atten. Percept. Psychophys. 2010, 72, 1981–1993. [Google Scholar] [CrossRef] [PubMed]
- Yeomans, M.R.; Boakes, S. That Smells Filling: Effects of Pairings of Odors with Sweetness and Thickness on Odor Perception and Expected Satiety. Food Qual. Prefer. 2016, 54, 128–136. [Google Scholar] [CrossRef]
- Zellner, D.A. Color–odor Interactions: A Review and Model. Chemosens. Percept. 2013, 6, 155–169. [Google Scholar] [CrossRef]
- Zellner, D.A.; Bartoli, A.M.; Eckard, R. Influence of Color on Odor Identification and Liking Ratings. Am. J. Psychol. 1991, 104, 547–561. [Google Scholar] [CrossRef]
- Barkat, S.; Thomas-Danguin, T.; Bensafi, M.; Rouby, C.; Sicard, G. Odor and Color of Cosmetic Products: Correlations between Subjective Judgement and Autonomous Nervous System Response. Int. J. Cosmet. Sci. 2003, 25, 273–283. [Google Scholar] [CrossRef] [PubMed]
- Schifferstein, H.N.J.; Tanudjaja, I. Visualising Fragrances Through Colors: The Mediating Role of Emotions. Perception 2004, 33, 1249–1266. [Google Scholar] [CrossRef] [PubMed]
- Schifferstein, H.N.J.; Howell, B.F. Using Color–odor Correspondences for Fragrance Packaging Design. Food Qual. Prefer. 2015, 46, 17–25. [Google Scholar] [CrossRef]
- Dam, T.C. The Effect of Brand Identification and Brand Trust on Brand Commitment and Brand Loyalty at Shopping Malls. Int. J. Adv. Sci. Technol. 2020, 29, 695–706. [Google Scholar]
- Rather, R.A.; Tehseen, S.; Itoo, M.H.; Parrey, S.H. Customer Brand Identification, Affective Commitment, Customer Satisfaction, and Brand Trust as Antecedents of Customer Behavioral Intention of Loyalty: An Empirical Study in the Hospitality Sector. J. Glob. Sch. Mark. Sci. 2019, 29, 196–217. [Google Scholar] [CrossRef]
- Tuškej, U.; Golob, U.; Podnar, K. The Role of Consumer–brand Identification in Building Brand Relationships. J. Bus. Res. 2013, 66, 53–59. [Google Scholar] [CrossRef]
- Bałdowska-Witos, P.; Tomporowski, A.; Bieliński, M. Using the LCA Method to Develop the Production of Pigment for Processing Plastics. Materials 2023, 16, 5524. [Google Scholar] [CrossRef]
- Hahladakis, J.N.; Iacovidou, E. Closing the Loop on Plastic Packaging Materials: What Is Quality and How Does it Affect Their Circularity? Sci. Total Environ. 2018, 630, 1394–1400. [Google Scholar] [CrossRef]
- Levitan, C.A.; Ren, J.; Woods, A.T.; Boesveldt, S.; Chan, J.S.; McKenzie, K.J.; Dodson, M.; Levin, J.A.; Leong, C.X.R.; van den Bosch, J.J.F. Cross-cultural color-odor associations. PLoS ONE 2014, 9, e101651. [Google Scholar] [CrossRef]
- Petersson McIntyre, M. Gender by Design: Performativity and Consumer Packaging. Des. Cult. 2018, 10, 337–358. [Google Scholar] [CrossRef]
- Funk, D.; Oly Ndubisi, N. Color and Product Choice: A Study of Gender Roles. Manag. Res. News 2006, 29, 41–52. [Google Scholar] [CrossRef]
- McNeill, L.S.; Douglas, K. Retailing Masculinity: Gender Expectations and Social Image of Male Grooming Products in New Zealand. J. Retail. Consum. Serv. 2011, 18, 448–454. [Google Scholar] [CrossRef]
- van Tilburg, M.; Lieven, T.; Herrmann, A.; Townsend, C. Beyond “Pink It and Shrink It” Perceived Product Gender, Aesthetics, and Product Evaluation. Psychol. Mark. 2015, 32, 422–437. [Google Scholar] [CrossRef]
- García-Madariaga, J.; Blasco López, M.-F.; Moya Burgos, I.; Recuero Virto, N. Do Isolated Packaging Variables Influence Consumers’ Attention and Preferences? Physiol. Behav. 2019, 200, 96–103. [Google Scholar] [CrossRef] [PubMed]
- Gil-Pérez, I.; Rebollar, R.; Lidón, I. Without Words: The Effects of Packaging Imagery on Consumer Perception and Response. Curr. Opin. Food Sci. 2020, 35, 69–77. [Google Scholar] [CrossRef]
- Pieters, R.; Wedel, M. Attention Capture and Transfer in Advertising: Brand, Pictorial, and Text-size Effects. J. Mark. 2004, 68, 36–50. [Google Scholar] [CrossRef]
- Underwood, R.L.; Klein, N.M. Packaging as Brand Communication: Effects of Product Pictures on Consumers Responses to the Package and Brand. J. Mark. Theory Pract. 2002, 10, 58–68. [Google Scholar] [CrossRef]
- Talati, Z.; Pettigrew, S.; Dixon, H.; Neal, B.; Ball, K.; Hughes, C. Do Health Claims and Front-of-Pack Labels Lead to a Positivity Bias in Unhealthy Foods? Nutrients 2016, 8, 787. [Google Scholar] [CrossRef] [PubMed]
- Tracey, T.J.G.; Tao, T. Response Latency in Interest Assessment: An Added Tool? J. Vocat. Behav. 2018, 108, 121–131. [Google Scholar] [CrossRef]
- Atkinson, L.; Rosenthal, S. Signaling the Green Sell: The Influence of Eco-label Source, Argument Specificity, and Product Involvement on Consumer Trust. J. Advert. 2014, 43, 33–45. [Google Scholar] [CrossRef]
- Polyportis, A.; Magnier, L.; Mugge, R. Guidelines to Foster Consumer Acceptance of Products Made from Recycled Plastics. Circ. Econ. Sustain. 2023, 3, 939–952. [Google Scholar] [CrossRef]
- Arboleda, A.M.; Alonso, J.C. Design Awareness and Purchase Intention: An Item Response Theory Approach. Acad. Rev. Latinoam. Adm. 2014, 27, 138–155. [Google Scholar] [CrossRef]
- Pinho, M.; Gomes, S. What Role Does Sustainable Behavior and Environmental Awareness from Civil Society Play in the Planet’s Sustainable Transition? Resources 2023, 12, 42. [Google Scholar] [CrossRef]
- van Birgelen, M.; Semeijn, J.; Keicher, M. Packaging and Proenvironmental Consumption Behavior: Investigating Purchase and Disposal Decisions for Beverages. Environ. Behav. 2009, 41, 125–146. [Google Scholar] [CrossRef]
- Chang, C. Feeling Ambivalent About Going Green: Implications for Green Advertising Processing. J. Advert. 2011, 40, 19–31. [Google Scholar] [CrossRef]
- Memon, M.A.; Cheah, J.; Ramayah, T.; Ting, H.; Chuah, F.; Cham, T.H. Moderation Analysis: Issues and Guidelines. J. Appl. Struct. Equ. Model. 2019, 3, 1–11. [Google Scholar] [CrossRef]
- Bloodhart, B.; Swim, J.K. Sustainability and Consumption: What is Gender Got to Do with It? J. Soc. Issues 2020, 76, 101–113. [Google Scholar] [CrossRef]
- Wang, W.; Mo, T.; Wang, Y. Better Self and Better Us: Exploring the Individual and Collective Motivations for China’s Generation Z Consumers to Reduce Plastic Pollution. Resour. Conserv. Recycl. 2022, 179, 106111. [Google Scholar] [CrossRef]
- Kim, N.; Lee, K. Environmental Consciousness, Purchase Intention, and Actual Purchase Behavior of Eco-friendly Products: The Moderating Impact of Situational Context. Int. J. Environ. Res. Public Health 2023, 20, 5312. [Google Scholar] [CrossRef]
- Torres-Moraga, E.; Vidal-Buitano, A. The Role of Motivations in the Construction of Patronage Intention of Innovative Green Products. Acad. Rev. Latinoam. Adm. 2022, 35, 183–203. [Google Scholar] [CrossRef]
- Hermann, E. Psychological Targeting: Nudge or Boost to Foster Mindful and Sustainable Consumption? AI Soc. 2023, 38, 961–962. [Google Scholar] [CrossRef]
- Hertwig, R.; Grüne-Yanoff, T. Nudging and Boosting: Steering or Empowering Good Decisions. Perspect. Psychol. Sci. 2017, 12, 973–986. [Google Scholar] [CrossRef] [PubMed]
- Nguyen, X.H.; Tran, H.L.; Nguyen, Q.H.; Luu, T.; Dinh, H.; Vu, H.T. Factors Influencing the Consumer’s Intention to Buy Fashion Products Made by Recycled Plastic Waste. Manag. Sci. Lett. 2020, 10, 3613–3622. [Google Scholar] [CrossRef]
- Herrmann, C.; Rhein, S.; Sträter, K.F. Consumers’ Sustainability-Related Perception of and Willingness-to-Pay for Food Packaging Alternatives. Resour. Conserv. Recycl. 2022, 181, 106219. [Google Scholar] [CrossRef]
- Sokolova, T.; Krishna, A.; Döring, T. Paper Meets Plastic: The Perceived Environmental Friendliness of Product Packaging. J. Consum. Res. 2023, 50, 468–491. [Google Scholar] [CrossRef]











| Attributes | ICC | F Value | 95% C.I. |
|---|---|---|---|
| Acceptability | 0.9 | F(15, 705) = 9.8 *** | 0.81–0.96 |
| Willingness to buy | 0.91 | F(15, 705) = 11.3 *** | 0.84–0.96 |
| Pleasantness | 0.93 | F(15, 705) = 13.9 *** | 0.87–0.97 |
| Intensity | 0.8 | F(15, 705) = 4.9 *** | 0.62–0.92 |
| Familiarity | 0.78 | F(15, 705) = 4.7 *** | 0.6–0.9 |
Disclaimer/Publisher’s Note: The statements, opinions and data contained in all publications are solely those of the individual author(s) and contributor(s) and not of MDPI and/or the editor(s). MDPI and/or the editor(s) disclaim responsibility for any injury to people or property resulting from any ideas, methods, instructions or products referred to in the content. |
© 2024 by the authors. Licensee MDPI, Basel, Switzerland. This article is an open access article distributed under the terms and conditions of the Creative Commons Attribution (CC BY) license (https://creativecommons.org/licenses/by/4.0/).
Share and Cite
Di Cicco, F.; Loos, M.; Vos, I.; Gibson, R.; Naidoo, Y.; Gifford, S.; Smeets, M.A.M. The Smell of Sustainability: Understanding Consumers’ Acceptability of Recycled Plastic Packaging with an Off-Odor. Sustainability 2024, 16, 4896. https://doi.org/10.3390/su16124896
Di Cicco F, Loos M, Vos I, Gibson R, Naidoo Y, Gifford S, Smeets MAM. The Smell of Sustainability: Understanding Consumers’ Acceptability of Recycled Plastic Packaging with an Off-Odor. Sustainability. 2024; 16(12):4896. https://doi.org/10.3390/su16124896
Chicago/Turabian StyleDi Cicco, Francesca, Maike Loos, Isa Vos, Rebecca Gibson, Yuvesveri Naidoo, Susan Gifford, and Monique A. M. Smeets. 2024. "The Smell of Sustainability: Understanding Consumers’ Acceptability of Recycled Plastic Packaging with an Off-Odor" Sustainability 16, no. 12: 4896. https://doi.org/10.3390/su16124896
APA StyleDi Cicco, F., Loos, M., Vos, I., Gibson, R., Naidoo, Y., Gifford, S., & Smeets, M. A. M. (2024). The Smell of Sustainability: Understanding Consumers’ Acceptability of Recycled Plastic Packaging with an Off-Odor. Sustainability, 16(12), 4896. https://doi.org/10.3390/su16124896

