Next Article in Journal
The Non-Linear Effect of Dual Environmental Regulation on Urban Green Total Factor Productivity: Evidence from 284 Cities in China
Previous Article in Journal
More Than 30 Years of PVC Recycling—Need for Regulation
 
 
Font Type:
Arial Georgia Verdana
Font Size:
Aa Aa Aa
Line Spacing:
Column Width:
Background:
Article

Analyzing Coupling Coordination of Pollution and Carbon Reduction with High-Quality Economic Development: A Case Study of China’s Yangtze River Economic Belt

1
School of Economics and Management, Nanchang University, Nanchang 330031, China
2
College of City Construction, Jiangxi Normal University, Nanchang 330022, China
*
Author to whom correspondence should be addressed.
Sustainability 2024, 16(12), 4892; https://doi.org/10.3390/su16124892
Submission received: 8 May 2024 / Revised: 5 June 2024 / Accepted: 5 June 2024 / Published: 7 June 2024

Abstract

Promoting the synergy of pollution and carbon reduction (PCR), as well as accelerating high-quality economic development (HQED), are the two major tasks of China’s current economic development. Thus, it is crucial to achieve a deep integration between PCR and HQED. We first construct the indicator system of PCR and HQED, and use the entropy method to assign weights to the indicator system. The coupling coordination model often portrays the level of coordinated development between systems. We apply this model to measure the synergistic relationship between PCR and HQED in 108 cities of the Yangtze River Economic Belt (YREB) in China from 2006 to 2021.We further analyze its spatial-temporal characteristics, regional differences, and convergence. The results reveal that the coupling coordination degree (CCD) between PCR and HQED in the YREB increases from 0.4234 in 2006 to 0.5832 in 2021. A higher CCD reflects a better coordinated developmental relationship between the two subsystems, and the relationship between the PCR and HQED shifts from on the verge of being uncoordinated to barely coordinated. Meanwhile, the CCD of the YREB shows a trend of decreasing downstream, midstream, and upstream, with significant spatial positive autocorrelation characteristics. Moreover, the overall differences in the CCD of the YREB from 2006 to 2021 show a fluctuating trend, with larger contributions of inter-regional differences and intra-regional differences. The convergence model reflects whether there is a tendency for the coupling coordination differences to narrow. Finally, the model indicates that there is no σ convergence but exists β convergence in the CCD of the YREB. Convergence is fastest in the downstream, followed by the midstream, and slowest in the upstream. The study reveals that the CCD of the YREB is increasing and has significant positive spatial correlation characteristics. It could utilize inter-city synergies, implement integrated strategies, and promote synergies between PCR and HQED in accordance with local conditions. Our findings provide empirical evidence and policy references for effectively promoting the deep integration of PCR with HQED.

1. Introduction

To promote sustainable development, countries around the world typically promote the coordination of ecological environment (eco-environment) as well as economic development [1,2]. As the world’s largest developing country, China has serious challenges in both aspects [3]. In the field of environmental preservation, China confronts two key challenges: reducing environmental pollution and lowering carbon emissions. In terms of environmental pollution, according to Ministry of Ecology and Environment data, China’s average PM2.5 concentration in 2023 is 30 micrograms per cubic meter, which is significantly higher than the World Health Organization’s target limit of 5 micrograms per cubic meter. The average ozone concentration is 144 micrograms per cubic meter, which is 44 percent above the World Health Organization’s limit of 100 micrograms per cubic meter. In terms of carbon emissions, International Energy Agency data indicate that China’s carbon dioxide (CO2) emissions reach 12.6 billion metric tons in 2023, an increase of 565 million metric tons from 2022, which is the largest increase in CO2 emissions in the world. Meanwhile, China’s per capita CO2 emissions are also 15% higher than developed economies. Pollutants and CO2 have the same root, source and process [4]. Therefore, we need to evaluate the comprehensive performance of pollutants and CO2 in a unified framework. China regards the coordinated promotion of pollution and carbon reduction (PCR) as an inevitable choice for a comprehensive green transformation of economic and social development. At the same time, the economy of China has shifted from a stage of high-speed growth to high-quality development [5]. High-quality economic development (HQED) implies that the goal of economic development is to turn from a single growth rate dimension to a multidimensional benefits dimension. The improvement of economic development quality is manifested in the general improvement of economic growth fundamentals, economic growth structure optimization and upgrading, as well as the sustained enhancement of economic growth results [6]. In this context, accelerating the deep integration of PCR and HQED has the practical relevance of achieving a multi-benefit situation in terms of environmental, climate, and economic benefits [7].
In theory, the relationship between PCR and HQED is neither mutually exclusive or antagonistic, but rather an interdependent and mutually beneficial union. On the one hand, PCR has a reversed transmission effect on the HQED. Green development contributes to the formation of green productivity, forcing the overall transformation and upgrading of the economic system. Thereby facilitating the realization of high-quality development in which human beings live in harmony with nature [8]. On the other hand, HQED is supportive of PCR. Green development is an inevitable requirement for HQED, and the development oriented towards HQED inevitably focuses on green development, which can contribute to the realization of PCR [9]. On the basis of the previous analysis, this study intends to examine the deep integration relationship between PCR and HQED from a quantitative perspective.
Specifically, this study analyzes 108 cities in China’s Yangtze River Economic Belt (YREB) during 2006–2021. On the one hand, in practice, the Yangtze River waterway ranks first in the world in terms of cargo volume on inland waterways. The YREB region is densely populated with cities, covering 11 provinces and municipalities along the river, with more than 40% of China’s population size and gross domestic product. Rich in freshwater and mineral resources, the YREB is an important industrial development site and one of the regions with the greatest potential for economic growth in China. The YREB is facing serious ecological and environmental conditions, and the task of industrial transformation and upgrading is arduous. The development of the YREB is beneficial to narrow the development gap between the East, the Middle and the West, and to build a two-way opening by land and sea. It is a green development that prioritizes ecology and is one of China’s three major strategies. The development of the YREB is related to the overall development of China. On the other hand, in theory, the existing literature provides some assessments of the ecological performance and the economic development performance of the YREB [10,11]. Therefore, we choose the YREB as the object of this study, because it is the pioneer demonstration belt of ecological civilization construction and the main force leading China’s economic high-quality development [12]. Our accurate scientific grasping of YREB can be a reference for other places.
This study measures and analyzes the coupled coordination between PCR and QED in the YREB using the coupling coordination degree (CCD) model. In order to analyze the dynamic evolution and spatial distribution characteristics of the CCD, this study uses the kernel density estimation method and the spatial autocorrelation method to determine whether there is a spatial autocorrelation between the CCD of PCR and HQED. On this basis, this study utilizes the Dagum Gini coefficient method to explore the sources and magnitudes of regional differences in the CCD of PCR with HQED. Finally, this study conducts convergence analysis, using σ convergence, absolute β convergence and conditional β convergence studies to analyze the evolution of the coordination gap between the coupling of PCR and HQED in the YREB as a whole and in the three major regions.
The following four main findings are obtained in this study: First, the CCD between PCR and HQED in the YREB gradually increased from 0.4234 in 2006 to 0.5832 in 2021, and the relationship between the two subsystems shifted from on the verge of being uncoordinated to barely coordinated. The CCD in the upstream region grew from 0.4056 in 2006 to 0.5371 in 2021, with a 1.89% average yearly rise rate. The CCD in the midstream region grew from 0.4109 to 0.5643, with a 2.14% average yearly rise rate. At the same time, the downstream area has the greatest CCD, increasing from 0.4479 to 0.6346, with a 2.35% average yearly rise rate. Second, the kernel density indicates that the CCD between PCR and HQED keeps jumping from low level to high level, with increasing absolute difference and a significant positive spatial autocorrelation characteristic. Third, in terms of regional differences, the Dagum Gini coefficient results show a fluctuating trend in the overall differences in the CCD of the YREB during the sample period. The contribution of inter-regional and intra-regional differences is greater. The mean contribution of inter-regional variation is 38.63%, the mean contribution of intra-regional variation is 30.77%, and the mean contribution of trans variation intensity is 30.59%. Fourth, there is no σ convergence in the CCD of PCR and HQED in the YREB. However, there is β convergence, with the rate of convergence decreasing for the downstream, middle stream, and upstream in this order.
First, in terms of research topics, existing literature on the relationship between eco-environment preservation and economic development has conducted research and quantitative measurements [13,14]. However, focusing on China’s practice, eco-environment preservation no longer focuses on reducing pollutants. Rather, it should take into account the dual objective task of decreasing pollution and greenhouse gas emissions, accelerating the promotion of PCR. Similarly, economic development has also shifted from the pursuit of scale and speed to the benefits and quality, which means solidly promoting HQED [15]. Focusing on the new background of environmental pollution and economic development, this paper provides a quantitative assessment of the synergistic relationship between PCR and HQED. This paper is an effective expansion of the existing literature with more innovative and contemporary research.
Second, in terms of research substance, this paper comprehensively depicts the coupling relationship between PCR and HQED from the perspectives of basic measurement, spatial-temporal characterization, regional difference assessment and convergence. Specifically, this study takes the YREB as a case study, and employs the coupling coordination model on the basis of constructing the indicator systems, firstly measuring the level of the CCD and analyzing its change characteristics. On this basis, the characteristics of CCD dynamic evolution, and spatial autocorrelation are analyzed by kernel density estimation method and spatial autocorrelation method. This study further analyzes the sources and magnitude of regional differences in CCD by using the Dagum Gini coefficient method. Finally, the convergence studies are used to analyze the evolution of coupled coordination gaps. By quantitatively depicting its full view, this study can effectively provide a reference for PCR and HQED.
The remaining parts of the study are organized as follows: The literature review is in Section 2. Section 3 is the theoretical analysis. Section 4 presents the research design. Results and analysis are presented in Section 5. Finally, Section 6 contains conclusions and related policy implications. Figure 1 shows the research framework of the study.

2. Literature Review

2.1. Literature on Evaluation and Measurement of PCR

Environmental pollution and carbon emissions have the same root, source, and process characteristics, so PCR targets are highly consistent, with excellent synergistic effects [16]. By means of ridge linear regression, Liang et al. [17] find that each 1% increase of nitrogen oxides and sulfur dioxide, CO2 increased by 0.86%. From a synergy perspective, Xie et al. [18] quantitatively assesses the marginal abatement cost, and find that the cost of joint abatement of air pollution and CO2 is reduced by 57.86% and 79.97%, respectively, with synergy benefits increasing by 68.77%. Adopting the Multi-resolution emission inventory model for climate and air pollution research, Xian et al. [19] figure out that both carbon and air pollutant abatement policies have a synergistic effect on PCR based on data from 30 provinces in China during 2006–2020.
Further, taking sulfur dioxide, nitrogen oxides, total suspended particulate, and CO2 as measures, Mao et al. [20] construct the equivalent emission index of air pollutants, and find that synergistic emission reductions of air pollution and greenhouse gases have linear cumulative benefits. And Li et al. [21] examines 285 cities in China during 2005–2018, and find that the carbon emissions trading reduces urban CO2, particulate matter 2.5, and sulfur dioxide by 9.8%, 11.7%, and 9.7%, respectively. On this basis, as the Greenhouse Gas and Air Pollution Interactions and Synergies model-China model is a combination of the Greenhouse Gas and Air Pollution Interactions and Synergies model and China’s economic development, which accurately simulates the release of six greenhouse gases and six air pollutants in China, Lu et al. [22] finds the highest synergistic benefits of particulate matter 2.5 with CO2 in the Beijing-Tianjin-Hebei region, based on the Greenhouse Gas and Air Pollution Interactions and Synergies model-China model. Similarly, Zheng et al. [23] find that sulfur dioxide will be well controlled in the Yangtze River Delta region by 2030 based on this model, while particulate matter 2.5 is steadily decreasing in Jiangsu and Shanghai. In addition, based on the equivalent emission index of air pollutants, Jiang et al. [24] examine the power sector in Yunnan, Shanghai, Jiangsu and Zhejiang, which find that technological emission reduction has a better synergistic effect on PCR than structural. However, Feng et al. [25] adopt an accounting model to measure synergistic effect of PCR and spatial difference from 2016 to 2021, discovering a decrease in the coordination of PCR in the Yangtze River Delta region.
In terms of spatial correlation, He et al. [26] conduct a global spatial autocorrelation test for the YREB, and find that the global CO2 emissions in the YREB from 2010–2019 have a significant positive spatial autocorrelation, where cities with high CO2 emissions are adjacent to each other, focusing to the coupling coordination of CO2 and pollutants. With coupled coordination model and spatial auto-correlation analysis, Xu et al. [27] figure out that the CCD of CO2 emissions and environmental pollution in the Yangtze River Delta region exhibits a significant positive spatial correlation during the period of 2011–2019. Similarly, using CCD model, Chen et al. [10] find that the coupled synergy of PCR has a significant spatial positive correlation based on panel data of 108 cities in the YREB from 2006–2019.

2.2. Literature on Performance Evaluation of HQED

The concept of HQED is complex and contains multiple dimensions, which is difficult to be described by a single indicator. Therefore, the present literature mostly constructs a HQED indicator system to assess its quality. On the basis of the new development principle, some studies construct an indicator system from the five perspectives of innovation, coordination, openness, green and sharing to measure and analyze HQED [28,29]. Meanwhile, many scholars propose various methods of constructing a HQED indicator system. For example, Luo and Qu [30] set up an index system for HQED on the basis of five subsystems: economic, social, ecological, openness and coordination. And using the entropy method to measure HQED at the provincial level in China, it is found that the score of HQED of each province ranges from 0.244 to 0.737. Within that, Beijing scores the highest and Xinjiang province scores the lowest, the level of HQED is inclined from the east to the mid-west.
Concerning the city level as the more micro scale, Pan et al. [31] establish a HQED indicator system to assess the level at the 301 prefectural-level administrative districts in China, based on five perspectives: innovation efficiency, environmental impacts, economic development, people’s livelihoods, and ecological services. The findings show that the provincial centers such as Wuhan, Xi’an, and Changsha all have high levels of HQED. In contrast, the Yellow River Basin, Northeast China, and Yunnan-Guangzhou regions are concentrated areas with lagging economic development. Chen and Wang [32] construct an indicator system for HQED with innovation capacity, people’s lives, economic vigor, green growth, and coordinated development as the primary indicators. On this basis, principal component analysis is utilized to assess the HQED index in 233 Chinese cities during 2003–2016, revealing that cities in the western region have lower scores than the eastern region. Zhou et al. [33] construct an indicator system for measuring the HQED with five first-level indicators, including industrial structure, district structure, people’s livelihood, technological innovation, and green development. Using principal component analysis to measuring the level of HQED, the conclusions reveal that the index increases at an average yearly increase of 3.2%, from 0.327 in 2010 to 0.433 in 2019 in China’s Yangtze River Delta region.
In terms of spatial correlation, according to Liu and Zhou [11], the results of kernel density figure show that during the period of 2003–2020, the spatial distribution of the high-quality urban development degree of the whole YREB shows convergence, and the development of intercity is more coordinated. Moran’s index indicates a significant positive spatial correlation characteristic. Meanwhile, Feng et al. [34] use the global Moran’s index test to find that the harmonious interactions among the economic, social and environmental systems of the cities in the YREB show a significant positive correlation from 2010 to 2020, and the spatial dependence gradually increases.

2.3. Literature on the Synergistic Effect of Eco-Environmental Preservation and Economic Development

A common goal of nations worldwide is to find ways to coordinate the preservation of the environment and economic growth. This is also a hot issue in the research field of environmental economics. Current literature mostly constructs the index system of eco-environment and economic development, using the CCD model to measure and analyze. Wu et al. [35] figure out that the eco-environment and the socio-economic system in 16 provinces of China are in high coupled coordination, Tibet is in medium, and 13 provinces are in low coupling coordination. On the basis of the CCD model, Shi et al. [13] apply the geographically time-weighted regression method to assess the ecological and economic development levels of 17 areas of tropical and subtropical zones in China during 2003–2016. It is found that the eastern region is mainly of the economic-ecological synchronous type. The economically undeveloped regions in the middle and west are mainly in the lagging economic development type. The majority of East China’s economically developed regions demonstrate the lag type of ecological development.
From more micro perspective, some scholars investigate the coupling coordination relation between economic development and urban eco-environment. Ma et al. [36] construct a subsystem of environmental pollution and economic growth, calculating the CCD of 350 prefectural-level cities in China. It is found that the CCD is still low in most prefecture-level cities, and a spatial correlation exists between the structure of industrial sectors and coupling coordination. Chen et al. [37] set up an indicator system of PCR and HQED, finding that the CCD of the three city clusters in Yangtze River Delta, Beijing-Tianjin-Hebei, and Pearl River Delta regions of China all show a fluctuating upward trend from 2010 to 2019. The CCD all reach above 0.8 by 2019, but the difference between cities is more obvious. Liu et al. [14] find that the Yellow River Basin’s CCD of eco-environment and economic growth grows from 0.6161 in 2008 to 0.6340 in 2017. Cities with a high CCD show a tendency to expand from the lower reaches to the upper reaches and the inland areas. Moreover, Huang and Li [38] analyze 55 countries’ levels of eco-environment and economic development from the international perspective, which find a high CCD in Europe and East Asia, as well as a low CCD in Central Asia, Africa and West Asia.

2.4. Research Gap

From the above literature review, it can be seen that the relationship between economic development and environmental pollution is an eternal topic and always in the spotlight. From the above literature review, it can be seen that the existing literature mostly carries out unilateral measurement of economic development or environmental pollution, and the indicators of environmental pollution are mostly single pollution indicators [18,21]. Few studies have integrated environmental pollution and economic development into a unified framework to examine performance levels [14,37]. Based on the data of 108 cities in the YREB in China from 2006 to 2021, this study investigates environmental pollution from the perspective of PCR, and economic development from the theme of the era of HQED, exploring the coupling coordination relationship between both, in order to fill the gaps in the relevant literature.

3. Theoretical Analysis

Theoretically, the relationship between PCR and HQED is mutual influence, promotion and integration. In the new stage of development, the Chinese economy places a long-term emphasis on speed over quality. Facing the current challenges of “triple pressure” of demand contraction, supply shocks and weakening expectations. In addition, the cultivation of China’s driving force mechanism is still dominated by traditional investment, and the support of new driving force is insufficient. Therefore, the first challenge China faces is to realize the organic unity between the improvement of economic development quality and economic growth, which is to realize high-quality economic development. At the same time, China faces carbon peaking and carbon neutrality targets [39], however, CO2 emissions account for 33.6% of total global carbon emissions in 2023. In terms of pollutant emissions, a total of 126 cities in China exceed air quality standards in 2022, with ecological quality in urgent need of improvement. Therefore, the second challenge is to realize the goal of PCR [40]. Facing the dual challenges of PCR and HQED at the same time, it is necessary to promote deeply integrated and synergistic development [41].
The deep integration of PCR and HQED is supported in theoretical mechanism. Specifically, there are five synergies, which are aim synergy, thread synergy, regional synergy, measure synergy and policy synergy. First, in terms of aim synergy, PCR and HQED are key initiatives to boost healthy and durable long-term development of China’s economy. The Chinese government proposes HQED as a top priority for building a modernized country in all aspects. Promoting the greening and lower carbonization of economic society is a key aspect of achieving it. Second, in terms of thread synergy, it is a common practice in many countries worldwide to adhere to the winning combination of eco-efficiency and economic efficiency. The same is the way China’s green development path is taking place at present [42]. Therefore, we apply the CCD model to measure its coupling coordination, which can better integrate the promotion of PCR and HQED. Third, in terms of regional synergy, PCR is supposed to be integrated with HQED into regional development strategies. This is because for the future sustainability of any region, these two major goals have to be achieved [43]. The spatial -temporal characterization of the CCD we carried out is conducive to a better implementation of regional synergy strategies. Fourth, in terms of measure synergy, effective measures to PCR are conducive to forming green productivity and providing internal support for HQED. Meanwhile, green development is the inevitable requirement for HQED. Development oriented towards HQED will inevitably emphasize sustainable development as well, which can contribute to the realization of PCR [44]. Fifth, in terms of policy coordination. A policy system for a comprehensive green transformation of the economy and society can harmonize the goals of PCR with HQED, and the two goals can be mutually supportive of each other.
In practice, the Fourth Forum on the YREB pointed out that promoting the HQED of the YREB fundamentally depends on a high-quality ecological environment. It is necessary to strengthen synergies and enhance the coupled development of ecological environmental protection and economic and social development. Jiangyin Municipal Government of Jiangsu Province has shut down 667 polluting enterprises and rectified 1709 polluting enterprises in the Lingang Development Zone, while importing a number of new energy projects. Take a green development path while insisting on HQED. Nantong Haimen Science and Technology Zone in Jiangsu Province has taken the initiative to adjust its development orientation by playing the location advantage of being close to Shanghai Zhangjiang Science and Technology City. The chemical and printing and dyeing industries mainly in the industrial zone adjusted for the creation of innovation and entrepreneurship ecosystem, attracting more than 150 various types of high-tech enterprises to move in. At the same time as environmental protection, economic transformation and upgrading as well as high-quality development have been realized.
In general, the achievement of PCR is the inherent requirement and inevitable choice to boost HQED. Meanwhile, the realization of HQED can effectively provide the economic foundation and external guarantee for PCR. Figure 2 shows the theoretical framework of the coupling coordination relationship between PCR and HQED.

4. Research Design

4.1. Research Methods

The core objective of this study is to accurately measure and deeply analyze the coordination relationship between PCR and HQED. Therefore, in the choice of methodology, we draw extensively on existing relevant studies and select the most widely used and representative methods. Specifically, we sequentially measure PCR and HQED, analyze spatial-temporal characteristics, as well as analyze regional differences and convergence.
First, we construct the indicator system of PCR and HQED respectively. In terms of measuring coupling coordination, referring to Nie and Lee [16], we use the coupling coordination model to the CCD. Second, we analyze the spatial -temporal characteristics of the coupling coordination degree. Specifically, with reference to Liu and Zhou [11], the kernel density estimation method is used to analyze the characteristics of its dynamic evolution, and the spatial autocorrelation method is used to analyze its spatial autocorrelation [45]. Immediately following, with reference to Hu et al. [46], we explore regional differences, applying the Dagum Gini coefficient method to the sources and magnitude of the differences in the degree of coupling coordination. Finally, referring to Wen et al. [47], we explore convergence. The σ convergence and β convergence are utilized to investigate and analyze the evolution of the coordination gap between the coupling of PCR and HQED in the YREB as a whole and in the three major regions.

4.2. Index System Construction

This study establishes a synthesis assessment index system to scientifically evaluate the subsystems of PCR and HQED. In the subsystem of PCR, pollution reduction and carbon reduction are constructed as primary indicators, with reference to the existing literature [16,48]. Secondary indicators of pollution reduction include industrial pollution and air pollution [49,50], while total carbon dioxide emissions and carbon emission intensity constitute the secondary indicators of carbon reduction [47]. In the subsystem of HQED, according to Mlachila et al. [6], we construct indicators for measurement from three dimensions: fundamentals, structures and outcomes of economic growth. where growth efficiency and growth dynamics make up the foundations of economic growth [51]. The economic growth structure consists of the structures of the four components: industrial, fiscal, financial and balance of payments. Living standards, income distribution, energy consumption, and food security constitute economic growth outcomes. Table 1 lists the measurement system.

4.3. Research Sample and Data Source

This study focuses on the Chinese YREB, with a sample examination period from 2006 to 2021. The data for the study are mainly from China Urban Statistical Yearbook, China Urban Construction Statistical Yearbook, CEIC database and research bulletins of provinces and cities. Two considerations are taken into account while selecting the time span: First, in 2006, the phrase “environmentally friendly society” was included for the first time in the Outline of the 11th Five-Year Plan for National Economic and Social Development, a document on economic and social development. This indicates that 2006 is a crucial time in China’s efforts to preserve its eco-environment, so this study chooses it as the beginning of the research. Second, the China Urban Statistical Yearbook 2023 has not yet been released. Therefore, setting 2021 as the endpoint of the study ensures that the data can be obtained completely, while balancing the timeliness and cutting-edge nature of the study to the greatest extent possible. The Yangtze River Economic Belt spans China’s eastern, central and western regions, passing through nine provinces and two municipalities in the Yangtze River basin. The upper reaches include four provinces and cities of Chongqing, Sichuan, Guizhou and Yunnan, the middle reaches include three provinces of Jiangxi, Hubei and Hunan, and the lower reaches include four provinces and cities of Shanghai, Jiangsu, Zhejiang and Anhui. The research area is shown in Figure 3.

4.4. Method

4.4.1. Entropy Weight Method

Based on the indicator system established above, the study measures the data collected from 108 cities in the YREB on PCR and HQED through the entropy weighting method. The measurements of the two systems are also organized and analyzed separately. The entropy weight method is one of the commonly used empowerment methods in academia for conducting related research [30]. By calculating the weights of secondary indicators by virtue of this method, it can eliminate the impact of subjective factors and make estimations more objective. Considering diverse data types of the selected indicators, this study standardizes the raw data by means of min-max, which is expressed by the formula:
z t i j = x t i j min x j max x j min x j , P o s i t i v e   i n d i c a t o r z t i j = max x j x t i j max x j min x j , N e g a t i v e   i n d i c a t o r
where, t denotes the year, i is the city in the YREB, and j is the indicator. x t i j denotes the original value of the jth indicator for city i in year t, max x j and min x j denote the maximum and minimum values of the jth indicator, respectively, and z t i j denotes the standardized value.
The entropy E j   can be denoted as follows:
E j = 1 ln n × t t = 1 T i = 1 n z t i j t = 1 T i = 1 n z t i j ln z t i j t = 1 T i = 1 n z t i j
where T and n denote the quantity of years and cities in the sample, respectively, which in turn allows for the determination of the weights w j for each indicator:
w j = 1 E j j = 1 m 1 E j
Finally, the level of PCR and HQED can be expressed as:
P C R i t = j = 1 m w j × z t i j H Q E D i t = j = 1 m w j × z t i j
The magnitudes of PCR and HQED are between 0 and 1, with higher values indicating better results.

4.4.2. Coupling Coordination Degree Model

The concept of coupling originated in physics and refers to the phenomenon of multiple systems interacting and influencing each other. The coupling degree is used to characterize the level of coordinated development between systems, and is a measure of the orderliness of development between different subsystems.
PCR and HQED are two mutually reinforcing and coordinated subsystems. Based on this, the CCD model is constructed to reflect the degree of interaction between the systems of PCR and HQED, as well as the status of the coordination level. The formulas are as follows:
C i t = 2 × P C R i t × H Q E D i t P C R i t + H Q E D i t
where C i t means the coupling degree, its value range is 0–1, and the larger value represents the higher coordination degree.
D i t = C i t × T i t
D i t is the CCD of the system of PCR and HQED, with a value range of 0–1. The closer the value is to 1, the higher is the coupling coordination level of the two systems, and the lower is the opposite.
T i t = α P C R i t + β H Q E D i t
T i t is the development degree. α and β are the system weights of PCR and HQED, respectively, and α +   β = 1. Considering that both subsystems are evenly vital, the values of α and β are both 0.5 in this paper. Table 2 presents the classification standards for CCD.

4.4.3. Kernel Density Estimation Method

Kernel density estimation method is a nonparametric estimation method, which can describe the change of CCD by appropriate kernel function, and has the characteristics of strong robustness and weak model dependence. It is widely used to assess the dynamics of distributional patterns [45], and can characterize the dynamic evolution of CCD between PCR and HQED. A rightward shift of the kernel density distribution curve indicates increasing CCD, a widening of the width of the distribution curve indicates a widening of the CCD difference, and a single peak demonstrates the presence of single polarization. The form of kernel density estimation method is listed as:
f x = 1 N h i = 1 N K X i x h
where, N denotes the quantity of observations and h represents the bandwidth. We use the Stata.17 software for plotting, using the default bandwidth. K denotes the kernel function. X i and x are the observations and the mean of the observations, respectively.

4.4.4. Spatial Autocorrelation Analysis Method

Existing literature confirmed the strong spatial correlation of environmental performance and economic development among the YREB. The global Moran’s I is used to test for the presence of spatial autocorrelation in the region. In order to verify whether spatial autocorrelation exists in the coupling coordination between PCR and HQED, we use the Moran scatterplot and global Moran’s I for examination. The calculation form of the Moran index is listed as below:
I = n i = 1 n j = 1 n w i j y i y ¯ y j y ¯ i = 1 n j = 1 n w i j × i = 1 n y i y ¯ 2
where y i and y j denote the CCD of the subsystems of PCR and HQED in the YREB in city i and city j, respectively. y   ¯ denotes the mean value of CCD and w i j   is the spatial weight matrix. Moran’s|values range from −1 to 1, and when I > 0, it shows a spatially positively autocorrelated agglomeration. This means that cities with a high CCD between PCR and HQED tend to cluster together, and cities with a low CCD between PCR and HQED tend to cluster together. When I = 0, it presents a random distribution state and there is no spatial autocorrelation, when I < 0, it presents a differential phenomenon of negative spatial autocorrelation. Cities with high value of CCD between PCR and HQED are clustered with cities with low value of CCD. Moran scatterplot further reveals the spatial agglomeration characteristics of CCD.

4.4.5. Dagum Gini Coefficient Method

The traditional Gini coefficient for exponential decomposition is too restrictive in its constraints, and does not take into account the problem of differences between subgroups. The Dagum Gini coefficient overcomes the limitation of the traditional Gini coefficient that there is no cross-over between subgroup samples, and can effectively reveal the sources of regional differences. Therefore, the Dagum Gini coefficient is applied to effectively access the source and magnitude of inter-regional distinctions in the CCD of PCR and HQED.
The Dagum Gini coefficient method not only analyzes the overall differences and regional differences, but also decomposes the overall differences. Decompose it into intra-regional and inter-regional variations, as well as identify the contribution of each component. Therefore, we provide specific explanations according to the sections of overall differences, intra-regional differences, inter-regional differences and contribution. The basic calculation formula is:
G = j = 1 k m = 1 k i = 1 n j r = 1 n m Y j i Y m r n 2 2 Y ¯
where G indicates the overall Gini coefficient, n indicates the quantity of cities, k denotes the quantity of regions. j and m indicate diverse regions. i and r indicate diverse cities. Y ¯ indicates the overall mean value of the CCD of PCR and HQED for n cities. Y j i ( Y m r ) is the CCD of the i(r) city in the j(m) region. n j and   n m   represent the number of cities contained in the j and m regions, respectively.
G j j denotes the Gini coefficient within the j region, calculated as:
G j j = i = 1 n j r = 1 n j Y j i Y j r n j 2 2 Y j ¯
Similarly, the Gini coefficient G j m between the j and the m regions can be calculated by:
G j m = i = 1 n j r = 1 n m Y j i Y m r n j n m Y j ¯ + Y m ¯
The decomposition formula for the Dagum Gini coefficient is:
G w = j = 1 k G j j P j S j
G n b = j = 2 k m = 1 j 1 G j m P j S m + P m S j D j m
G t = j = 2 k m = 1 j 1 G j m P j S m + P m S j 1 D j m
D j m = d j m P j m j m
where G w   and   G n b indicate the contribution of intra-regional and inter-regional differences to the Gini coefficient, respectively. G t   indicates the contribution of trans variation intensity to the Gini coefficient. Moreover, P j   =   n j / n , S j = n j Y j / n Y ¯ ,     d j m   represents the mathematical expectation of the sum concerning the expectations of all Y j m Y m r > 0 samples in regions j and m. Similarly, p j m   denotes the mathematical expectation of the sum concerning the expectations of all Y m r Y j i > 0 samples in regions j and m, and j m   =   d j m + P j m . Finally, the overall Gini coefficient G satisfies G =   G w + G n b + G t .

4.4.6. Convergence Model

In order to investigate whether there is a decreasing trend in the difference of CCD between the PCR and HQED in the YREB. Based on analyzing the CCD and spatial-temporal characteristics of PCR and HQED, this study examines the convergence characteristics of the CCD through σ convergence and β convergence.
(1) σ convergence model. σ convergence in this study means that the deviation of the CCD level between PCR and HQED of different cities from the average level is gradually decreasing. It mainly compares the changes in the logarithmic standard deviation of the CCD between PCR and HQED, and then determines whether there is a σ convergence of the CCD. If the logarithmic standard deviation decreases annually, there is σ convergence, otherwise there is not. The σ convergence model is formulated as:
σ i t = 1 n i = 1 n ln C C D i t 1 n i = 1 n ln C C D i t 2
where, ln C C D i t represents the logarithmic value of the CCD between PCR and HQED of the i city in year t. σ i t   represents the σ convergence coefficient of the CCD between PCR and HQED.
(2) β convergence model. β convergence means that cities with a low CCD between PCR and HQED will gradually catch up with cities with a high CCD over time, and reach a convergence state with the same CCD. The β convergence can be subdivided into the absolute β convergence model and the conditional β convergence model. Absolute β convergence removes the interference of external factors, and conditional β convergence is the convergence state of the coupling coordinated development of PCR and HQED under the interference of external factors. The formulas are as below:
ln C C D i , t + 1 ln C C D i t = α + β ln C C D i t + μ i + η t + ε i t
ln C C D i , t + 1 ln C C D i t = α + β ln C C D i t + γ C i t + μ i + η t + ε i t
Equations (18) and (19) denote the absolute   β convergence model and conditional   β   convergence model, respectively. where i denotes cities and t represents years, respectively. ln C C D i , t + 1 ln C C D i t represents growth rates of the CCD concerning PCR and HQED of city i in year t. C is a series of control variables.   μ i and η t denote city-fixed and time-fixed effects, respectively. ε i t denotes the random interference term. β indicates the convergence coefficient, and β convergence is considered to exist if the coefficient β < 0 is significant.
Considering the existing studies [52,53], five variables are controlled in this study in conditional β convergence. They are the level of economic development, size of government, population density, human capital, and environmental regulation. where the level of economic development is reflected by the natural logarithm of real GDP (constant price in 2006), and the size of the government is expressed as the ratio of general government budget expenditures to GDP Population density is expressed as the number of people per unit area. Meanwhile, human capital is expressed in terms of the number concerning undergraduates per 10,000 people, and environmental regulation is expressed in terms of the frequency concerning environment-related words in The Report on the Work of the Government.

5. Results

This study analyzes the coupling relationship between PCR and HQED in terms of basic measures, spatial -temporal characterization, regional differences and convergence. Specifically, the measurement results show that the CCD between PCR and HQED in the YREB grows from 0.4234 in 2006 to 0.5832 in 2021, where the downstream region has a higher CCD value than the midstream and upstream. In the spatial-temporal characterization, the kernel density estimation results show CCD is increasing, the absolute difference increases, and the spatial autocorrelation analysis results show CCD has a significant spatial positive autocorrelation character. In the regional difference analysis, the results of Dagum Gini coefficient method show that the overall difference in the CCD of the YREB during the sample period shows a fluctuating trend, with larger contributions from inter-regional differences and intra-regional differences. Convergence results show that there is no σ convergence in the CCD, but there is β convergence, and the rate of convergence decreases for downstream, midstream, and upstream in order.

5.1. Measurement Results of CCD

5.1.1. The Overall Measuring Results of CCD

Table 3 illustrates the PCR index and the HQED index of the YREB from 2006 to 2021, as well as the CCD of these two subsystems. As observed from the overall results, between 2006 and 2021, the average value for PCR in YREB cities increased from 0.5359 to 0.7905, with a 2.62% yearly average rise rate. The average value of HQED in cities in the YREB grew from 0.0672 to 0.1666, with a yearly average rise rate of 6.24%. At the same time, the coupling degree between PCR and HQED in the YREB overall grew from 0.6139 in 2006 to 0.7134 in 2021, with a 1.01% yearly rise rate. This indicates that the interaction between the two subsystems is increasing. The CCD between PCR and HQED in the YREB grew from 0.4234 in 2006 to 0.5832 in 2021, evolving from at the edge of being uncoordinated to barely coordinated, with a 2.16% yearly rise rate. Therefore, the YREB has achieved partial success in coupling the coordination of PCR with HQED.

5.1.2. The Regional Level Analysis

Figure 4 illustrates the regional measurement results of the CCD. Dividing the YREB into the upstream, midstream and downstream regions, the upstream provinces include Chongqing, Sichuan, Guizhou, and Yunnan. Jiangxi, Hunan and Hubei provinces in the midstream area. The downstream region includes Shanghai, Jiangsu, Zhejiang and Anhui provinces. The CCD between PCR and HQED in the upstream region of the YREB grew from 0.4056 in 2006 to 0.5371 in 2021, with a 1.89% average yearly rise rate. The CCD of PCR and HQED in the midstream region grew from 0.4109 to 0.5643, with a 2.14% average yearly rise rate. At the same time, the CCD of PCR and HQED in the downstream region grew from 0.4479 to 0.6346, with a 2.35% average yearly rise rate. The comparison reveals that the downstream area has a higher CCD than the upstream and midstream areas, with an increasing gap. This is mainly because the downstream region is situated in the eastern part of China, with flat terrain, excellent transportation facilities, high economic development levels, sufficient human capital, as well as a more mature development of green science and technology.

5.1.3. The City Level Analysis

This study selects the index of CCD between PCR and HQED of cities in the YREB in 2006, 2011, 2016, and 2021, and graphically analyzes the differences and its spatial distribution. Figure 5 shows the specific results. In 2006, the downstream region had the darkest coupling coordination color block, and the Shanghai and Zhejiang provinces had the best coupling coordination. A total of 39 cities in Jiangsu, Hunan, Jiangxi, Hubei, Anhui, Sichuan, and Yunnan Provinces have a CCD between 0.3 and 0.4, indicating a slightly uncoordinated coupling of PCR with HQED. Sichuan Province has 13 slightly uncoordinated cities, which accounted for one-third of the total. In 2011, city development became more coordinated, with only eight slightly uncoordinated cities remaining in Anhui, Hubei, and Sichuan provinces. The number of cities with CCD types that are coordinated increased from 11 in 2006 to 27 in 2011. The CCD of cities in the YREB increased significantly in 2016, while 53 of the 108 cities have reached the CCD index of coordinated. Among them, 37 cities were barely coordinated, 15 cities were slightly coordinated, and Shanghai’s coordination index had reached moderately coordination. In 2021, the cities in the YREB showed significant coupling coordination ability between PCR and HQED, while 100 of the 108 cities reached the CCD index of coordinated. Within this group, 71 cities were barely coordinated, 17 cities had a slightly coordinated index, and 10 cities were moderately coordinated. The coordination indices of Shanghai and Nanjing were higher than 0.8, which had reached well coordination. The CCD indices of Zhaotong and Lincang in Yunnan Province and Guang’an in Sichuan Province were 0.4767, 0.4806, and 0.4894, respectively, which need to be improved.

5.2. Spatial–Temporal Characteristics of the CCD

5.2.1. Kernel Density Estimation

The CCD kernel density curves are illustrated in Figure 6. The kernel density curves of the YREB overall and the upper, middle, and lower reaches of the belt exhibit a clear rightward trend, reflecting the dynamic process of CCD jumping continuously from the low to the high level. This indicates that substantial progress in coupling coordination of PCR with HQED has been achieved in different river basins. At the same time, the falling height and widening width of the major peak on the kernel density curve for the YREB as a whole demonstrate that the total disparity in CCD is growing. In terms of the upstream and downstream division, in the upstream area, the width of the major peak gets narrower and later wider, illustrating a trend of increasing and later decreasing absolute difference in CCD in the upstream. The width of the major peak in the midstream area keeps getting wider and wider, illustrating that the total disparity in CCD is increasing. The lower height and widening width of the major peak in the downstream area indicate an increasing absolute difference in CCD.

5.2.2. Spatial Autocorrelation Analysis

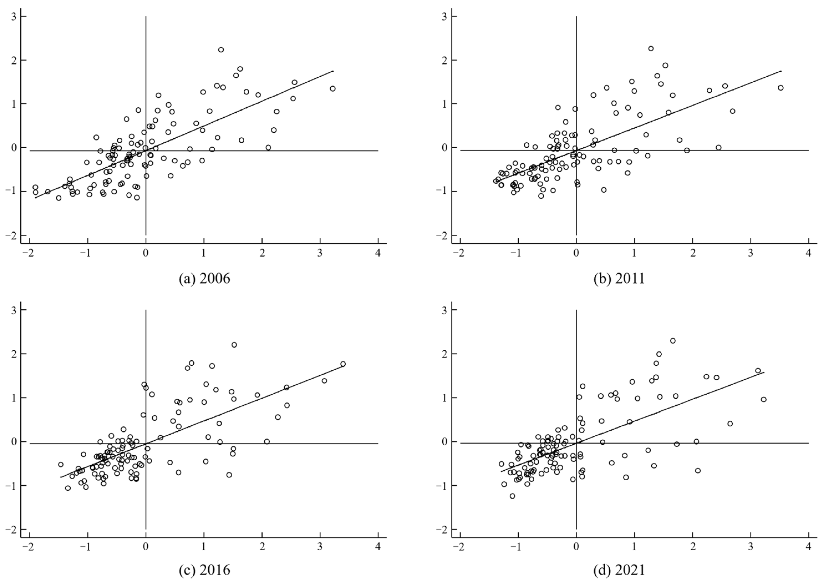
To further reflect the spatial autocorrelation between PCR and HQED, this study measures the CCD of the YREB during 2006–2021 by Moran’s I. Table 4 illustrates the results. From Table 4, Moran’s I are all significantly positive, indicating the CCD presents a significant positive spatial autocorrelation.
We further plot the Moran scatterplot as illustrated in Figure 7. According to Figure 7, it can be seen that most of the cities in the YREB are in quadrants one and three, with the overall performance of “high-high” and “low-low” types of distribution, showing a significant positive spatial autocorrelation. This outcome demonstrates again the spatially positive autocorrelation characteristic of CCD.

5.3. Regional Differences of the CCD

5.3.1. Analysis of Overall Variances

The overall differences are demonstrated in Figure 8. The overall CCD Gini coefficient from 2006–2021 ranges from 0.0584 to 0.0763, with an average value of 0.0696. In terms of trends, the overall Gini coefficient indicates an increasing tendency until 2010, and a sharp decrease in 2020, with a relatively flat trend in the remaining years. This result indicates that the overall variation in CCD in the YREB has improved since 2011.The 2020 Central Finance and Economy Commission proposed the YREB to connect to “The Belt and the Road”. Three major urban clusters synergize their efforts to improve the eco-environment while realizing HQED. This could lead to a reduction in the overall variance of CCD in the YREB in 2020.

5.3.2. Intra-Regional Variances Analysis

Figure 9 describes the intra-regional variances between the upper, middle, and lower reaches of the YREB. The Gini coefficients in descending order are downstream, upstream, and midstream, which indicates that the intra-regional variances in the midstream are consistently lower than the downstream and upstream areas. The Gini coefficients of the midstream and downstream regions are relatively stable, while the upstream region shows a downward trend, indicating a gradual decrease in the intra-regional variances in the upstream area. The coupling coordination level of Shanghai and Nanjing has reached well-coordinated, and the coupling coordination level of Huainan and Fuyang is at the edge of being uncoordinated, so the downstream area has the largest intra-regional differences. The midstream region is Hunan, Hubei and Jiangxi provinces, the level of coupling coordination is mostly in barely coordinated, so the midstream region has the smallest intra-regional differences.

5.3.3. Inter-Regional Differences Analysis

Figure 10 describes the outcomes of inter-regional variances in the YREB. The inter-regional variation in upstream-midstream CCD is consistently lower than upstream-downstream and midstream-downstream in the 2006–2021 period. The inter-regional variances in the midstream-downstream CCD are larger than the upstream-downstream area in 2014 and 2015, and lower than the upstream-downstream region in the remaining years. The lower reaches of the Yangtze River are located on the east coast of China, with flat terrain, convenient transportation and a high level of economic development. It has sufficient human capital and mature green technology development, and there are many cities with a high degree of coupling coordination. The upper reaches of the Yangtze River have not yet fundamentally changed the path dependence of the economic growth mode, the quality of economic development has not yet been improved to a high degree, and the conversion rate of green advantages is not high, so there are large inter-regional differences with the lower reaches of the Yangtze River.

5.3.4. Analyzing the Contribution to Overall Variance

Figure 11 describes the overall variance contribution. The overall variances in CCD in the YREB mainly come from inter-regional differences, contributing between 31.18% and 51.14%, with a mean value of 38.63%. It is followed by intra-regional variance, with contributions ranging from 29.14% to 31.7% and a mean value of 30.77%. The least contribution of trans variation intensity ranges from 19.71% to 37.25%, with a mean value of 30.59%.

5.4. Convergence of the CCD

5.4.1. σ Convergence of the CCD

Table 5 presents the results of σ convergence for the CCD of the YREB. In overall terms, there is no tendency for the σ convergence coefficients to decrease annually, thus indicating no σ convergence. The σ convergence coefficients of the upper, middle, and lower reaches of the YREB are not decreasing annually, so there is no σ convergence in all regions of the upper, middle, and lower reaches.

5.4.2. β Convergence of the CCD

The results of the absolute β convergence of CCD in the YREB are described in Table 6. In Table 6, the coefficients of β convergence are all significantly negative, thus absolute β convergence exists in the YREB as a whole, as well as in the upper, middle, and lower reaches. Specifically, the order of magnitude of the absolute value of the β convergence coefficient is downstream, midstream, and upstream. This indicates that the speed of convergence in each region is ranked downstream over midstream over upstream.
Table 7 describes the outcomes of conditional β convergence. With several controllable variables introduced, such as the degree of economic development, the β convergence coefficients of the model remain notably negative. This demonstrates that conditional β convergence exists in the YREB overall and in the upper, middle, and lower reaches. In terms of the rate of convergence, the downstream region has the greatest rate of convergence, followed by the midstream region, and finally the upstream region. Compared to the absolute β convergence coefficient, the conditional β convergence coefficient is large in the upstream and downstream regions, indicating that the conditional β convergence rate is faster. Meanwhile, the absolute value of the conditional β convergence coefficient is smaller in the midstream region, and its conditional β convergence rate is slower than the absolute β convergence rate. In the overall view of the whole YREB, conditional β convergence is also slower than the absolute β convergence rate.

6. Conclusions and Discussion

6.1. Research Findings

This study takes 108 cities in the YREB from 2006 to 2021 as examples to measure and deeply analyze the coupling coordination of PCR and HQED. This study draws the following three conclusions: First, according to the measurement results, the overall coupling coordination between PCR and HQED of the YREB during the sample period is low but increasing. It grows from 0.4234 in 2006 to 0.5832 in 2021, transforming from at the edge of being uncoordinated to barely coordinated, with an annual growth rate of 2.16%. Regionally, CCD levels are higher in the lower reaches than in the upper and middle reaches. Second, the results of the spatial-temporal characterization show that spatially the CCD regional differences are expanding, showing positive spatial agglomeration characteristics. Specifically, kernel density estimates confirm that the increasing coupling coordination is accompanied by widening differences. The Dagum Gini coefficients show that the overall difference comes mainly from inter-regional variation, followed by intra-regional variation, with the least contribution from trans variation intensity. The spatial autocorrelation analysis shows that the CCD of the Yangtze River Economic Belt has significant spatial positive autocorrelation characteristics. Third, the convergence results show that there is no σ convergence, but there is β convergence in the YREB. The results of the regional convergence model show that the order of convergence rate is downstream larger than midstream than upstream.

6.2. Theoretical Contributions

First, based on previous literature on eco-environment and economic development, we measure economic development from the perspective of HQED, as well as the performance of eco-environmental protection from the perspective of PCR. This study systematically analyzes the coupling between PCR and HQED, and expands theoretical research on economic development and ecological environmental protection.
Second, this study provides empirical evidence of synergy between PCR and HQED. This study uses the data of 108 cities in the YREB from 2006 to 2021, adopting the entropy weight method to measure the indicators of PCR and HQED. The coupling coordination model measures the CCD of the two subsystems, and analyzes the spatial temporal features of the CCD in the YREB with kernel density estimation and spatial autocorrelation assessment. Finally, the regional differences in the CCD of the YREB are examined by the Dagum Gini coefficient method, and the convergence characteristics of CCD are verified by σ and β convergence models.

6.3. Practical Implications

The implications of this study hold significant value for policymakers and local governments.
First, the measurements in this study find that although CCD has realized an increase over the sample period, the overall level of coordination is low. In order to enhance CCD, it is necessary to strengthen the top-level design of synergistic governance between PCR and HQED. Specifically, the relevant legal and regulatory systems should be improved, and accountability for ecological damage should be implemented. The Yangtze River Protection Law of the People’s Republic of China, as implemented, provides a strong rule of law guarantee for the green development of the YREB. The Yangtze River basin is rich in water resources and forests, and effective measures should be taken to rationally use and protect the basin’s ecological resources. For example, Zhejiang Province launched the construction of 23 low-carbon pilot counties to promote green and low-carbon transformation. The existing pollution adhere to the treatment and repair, the implementation of urban sewage and garbage, chemical pollution, agricultural pollution, ship pollution and mining pollution and other pollution control “4 + 1” project, and promote the industrial zone “zero sewage discharge area” construction. It has taken the lead in building a province with “zero landfill” for primary garbage and solving the problems of chemical pollution, agricultural pollution and ship pollution in the Yangtze River. The green transformation and upgrading of industry are important tools in PCR [54]. The transformation and upgrading of traditional industries in the YREB should be accelerated. Developing green technologies and products and developing the economy while protecting the green ecology of the Yangtze River.
Second, the results of spatial-temporal characteristics show that the regional differences in CCD in the YREB are expanding, and there is a significant positive spatial correlation characteristic. It should focus on the implementation of integration strategies [55,56]. Upstream areas are constrained by urban agglomeration and scale, with weak inter-city linkages and marginalization of peripheral cities, resulting in stagnation of the rational flow of resources and factors between cities at different levels [57]. The linkage advantage of adjacent cities should be taken to achieve eco-environmental protection and narrow the gap with the downstream region. For example, the General Plan for the Integrated Development Pilot Area of Suining-Tongnan-Sichuan-Chongqing Adjacent Areas was issued in 2021.
Upstream-downstream has the largest inter-regional CCD differences, so in terms of economic development, capital, technology, and labor-intensive industries should be transferred from the lower reaches of the Yangtze River to the middle and upper reaches to narrow the economic gap. It should also focus on the integration of the entire YREB, breaking down regional constraints in the upstream, midstream and downstream, and taking advantage of the Yangtze River waterways to promote transportation [58]. To promote the integration of PCR and HQED among cities through the sharing of information, systems and experiences. Strengthening communication and cooperation between cities, cities with high CCD to drive cities with low synergistic development, and realizing the integration strategy of the YREB.
Finally, the convergence results show different rates of convergence across regions, with CCD converging to a steady state first in the downstream region. Therefore, in order to narrow the synergistic governance gap between cities and accelerate the rate of convergence, each region should formulate measures related to PCR and HQED according to local conditions. Upstream regions such as Sichuan, Chongqing and Yunnan Provinces should gradually phase out backward industries with high energy consumption and pollution, encourage green technological innovation, and reduce pollutant and CO2 emissions. For example, Chongqing Municipality has carried out flue gas denitrification and ultra-low-pollution-emission retrofits for industrial enterprises to promote green, low-carbon and high-quality economic development. Midstream regions such as Hunan and Hubei provinces should undertake the capital and green industries of downstream regions well, focusing on the degree of social and economic matching with natural environmental factors to narrow the gap with downstream regions. Downstream areas such as Anhui, Shanghai and Jiangsu provinces should optimize their energy structure, establish new power systems and encourage green consumption and travel. Give full advantage to scientific research and human resources, promote the green development of industries, develop high-tech and strategic emerging industries, as well as focus on the opening-up system. Promoting the demonstration zone of green and integrated ecological development of the Yangtze River Delta to reduce environmental pollution problems. Cities promote PCR and HQED in accordance with local conditions, thereby narrowing the gap and realizing the coupling coordination of the entire YREB.

6.4. Limitations

On the one hand, we use the entropy weight method, but there are many methods other than it, such as the PCA method, which can be used in the future to make the paper more robust through the cross-validation of multiple methods. On the other hand, the object we chose to study is China’s Yangtze River Economic Belt region, and we are not in a position to present substantive evidence for the rest of China and the rest of the world.

Author Contributions

Conceptualization, C.N., R.L. and Y.F.; methodology, C.N.; software, Y.F.; validation, C.N.; formal analysis, R.L.; investigation, R.L. and Y.F.; resources, Y.F.; data curation, C.N.; writing—original draft preparation, R.L.; writing—review and editing, C.N. and Y.F.; visualization, C.N.; supervision, R.L.; project administration, Y.F.; funding acquisition, R.L. All authors have read and agreed to the published version of the manuscript.

Funding

The work was supported by the National College Students’ Innovation and Entrepreneurship Training Program “Research on the Spatial-temporal Characteristics, Driving Factors and Efficiency Enhancement Strategies of the Coordinative Evolution of Pollution and Carbon Reduction with High-quality Economic Development” [Grant Number: 202310403009]; and Jiangxi Normal University Yangtze River Economic Belt High Quality Development Topic Project “Deep Integration of Pollution Reduction and Carbon Reduction in the Yangtze River Economic Belt with High Quality Economic Development: Empirical Measurement, Dynamic Evolution, and Improvement Path”.

Institutional Review Board Statement

Not applicable.

Informed Consent Statement

Not applicable.

Data Availability Statement

The datasets used in the current study are available from the corresponding author upon reasonable request.

Conflicts of Interest

The authors declare no conflicts of interest.

Abbreviations

Eco-environmentEcological environment
CO2Carbon dioxide
PCRPollution and carbon reduction
HQEDHigh-quality economic development
YREBYangtze River Economic Belt
CCDCoupling coordination degree

References

  1. Udeagha, M.C.; Ngepah, N. Striving towards environmental sustainability in the BRICS economies: The combined influence of fiscal decentralization and environmental innovation. Int. J. Sustain. Dev. World Ecol. 2023, 30, 111–125. [Google Scholar] [CrossRef]
  2. Nie, C.; Ye, S.; Feng, Y. Place-based policy and urban green technology innovation: Evidence from the revitalization of old revolutionary base areas in China. Econ. Anal. Policy 2024, 81, 1257–1272. [Google Scholar] [CrossRef]
  3. Zhang, T.; Zhao, F. A study on the relationships among green finance, environmental pollution and economic development. Energy Strategy Rev. 2024, 51, 101290. [Google Scholar] [CrossRef]
  4. Zha, Q.; Liu, Z.; Wang, J. Spatial pattern and driving factors of synergistic governance efficiency in pollution reduction and carbon reduction in Chinese cities. Ecol. Indic. 2023, 156, 111198. [Google Scholar] [CrossRef]
  5. Feng, Y.; Nie, C. The effect of government informatization construction on corporate digital technology innovation: New evidence from China. Bus. Ethics Environ. Responsib. 2024, 33, 1–20. [Google Scholar] [CrossRef]
  6. Mlachila, M.; Tapsoba, R.; Tapsoba, S.J. A quality of growth index for developing countries: A proposal. Soc. Indic. Res. 2017, 134, 675–710. [Google Scholar] [CrossRef]
  7. Liu, C.; Sun, W.; Li, P.; Zhang, L.; Li, M. Differential characteristics of carbon emission efficiency and coordinated emission reduction pathways under different stages of economic development: Evidence from the Yangtze River Delta, China. J. Environ. Manag. 2023, 330, 117018. [Google Scholar] [CrossRef] [PubMed]
  8. Wang, F.; Wu, M.; Wang, J. Can increasing economic complexity improve China’s green development efficiency? Energy Econ. 2023, 117, 106443. [Google Scholar] [CrossRef]
  9. Zhang, H.; Wang, Y.; Wang, C.; Yang, J.; Yang, S. Coupling analysis of environment and economy based on the changes of ecosystem service value. Ecol. Indic. 2022, 144, 109524. [Google Scholar] [CrossRef]
  10. Chen, S.; Tan, Z.; Mu, S.; Wang, J.; Chen, Y.; He, X. Synergy level of pollution and carbon reduction in the Yangtze River Economic Belt: Spatial-temporal evolution characteristics and driving factors. Sustain. Cities Soc. 2023, 98, 104859. [Google Scholar] [CrossRef]
  11. Liu, T.; Zhou, B. Evaluation and obstacle factors of high-quality development in coastal cities along the Yangtze River. Ocean Coast. Manag. 2023, 244, 106818. [Google Scholar] [CrossRef]
  12. Tang, Z.; Sun, G.; Fu, M.; Wen, C.; Plenković-Moraj, A. Research on the industrial energy eco-efficiency evolution characteristics of the Yangtze River Economic Belt in the temporal and spatial dimension, China. Int. J. Environ. Res. Public Health 2020, 17, 268. [Google Scholar] [CrossRef] [PubMed]
  13. Shi, T.; Yang, S.; Zhang, W.; Zhou, Q. Coupling coordination degree measurement and spatiotemporal heterogeneity between economic development and ecological environment—Empirical evidence from tropical and subtropical regions of China. J. Clean. Prod. 2020, 244, 118739. [Google Scholar] [CrossRef]
  14. Liu, K.; Qiao, Y.; Shi, T.; Zhou, Q. Study on coupling coordination and spatiotemporal heterogeneity between economic development and ecological environment of cities along the Yellow River Basin. Environ. Sci. Pollut. Res. 2021, 28, 6898–6912. [Google Scholar] [CrossRef]
  15. Li, Y.; Hu, W.; Jiang, Y. How does air pollution affect capital allocation efficiency? Ecol. Indic. 2024, 158, 111617. [Google Scholar] [CrossRef]
  16. Nie, C.; Lee, C.C. Synergy of pollution control and carbon reduction in China: Spatial–temporal characteristics, regional differences, and convergence. Environ. Impact Assess. Rev. 2023, 101, 107110. [Google Scholar] [CrossRef]
  17. Liang, S.; Zhang, J.; Cai, B.; Wang, K.; Zhang, S.; Li, Y. How to perceive and map the synergy between CO2 and air pollutants: Observation, measurement, and validation from a case study of China. J. Environ. Manag. 2024, 351, 119825. [Google Scholar] [CrossRef] [PubMed]
  18. Xie, P.; Duan, Z.; Wei, T.; Pan, H. Spatial disparities and sources analysis of co-benefits between air pollution and carbon reduction in China. J. Environ. Manag. 2024, 354, 120433. [Google Scholar] [CrossRef]
  19. Xian, B.; Xu, Y.; Chen, W.; Wang, Y.; Qiu, L. Co-benefits of policies to reduce air pollution and carbon emissions in China. Environ. Impact Assess. Rev. 2024, 104, 107301. [Google Scholar] [CrossRef]
  20. Mao, X.; Zeng, A.; Hu, T.; Xing, Y.K.; Liu, S.Q. Study of coordinate control effect assessment of technological measures for emissions reduction. China Popul. Resour. Environ. 2011, 21, 1–7. [Google Scholar]
  21. Li, C.; Han, J.; Tan, Y. Synergistic effects of a carbon emissions trading scheme on carbon emissions and air pollution: The case of China. Integr. Environ. Assess. Manag. 2023, 17, 268. [Google Scholar] [CrossRef]
  22. Lu, Z.; Huang, L.; Liu, J.; Zhou, Y.; Chen, M.; Hu, J. Carbon dioxide mitigation co-benefit analysis of energy-related measures in the Air Pollution Prevention and Control Action Plan in the Jing-Jin-Ji region of China. Resour. Conserv. Recycl. X 2019, 1, 100006. [Google Scholar] [CrossRef]
  23. Zheng, J.; Jiang, P.; Qiao, W.; Zhu, Y.; Kennedy, E. Analysis of air pollution reduction and climate change mitigation in the industry sector of Yangtze River Delta in China. J. Clean. Prod. 2016, 114, 314–322. [Google Scholar] [CrossRef]
  24. Jiang, P.; Khishgee, S.; Alimujiang, A.; Dong, H. Cost-effective approaches for reducing carbon and air pollution emissions in the power industry in China. J. Environ. Manag. 2020, 264, 110452. [Google Scholar] [CrossRef] [PubMed]
  25. Feng, P.; Lu, T.; Yu, Y.; Gao, R.; Ni, T. Effects measurement and spatial differentiation in synergy between pollution and carbon reduction in national urban agglomerations. PLoS ONE 2023, 18, e0289801. [Google Scholar] [CrossRef] [PubMed]
  26. He, X.; Guan, D.; Yang, X.; Zhou, L.; Gao, W. Quantifying the Trends and Affecting Factors of CO2 Emissions under Different Urban Development Patterns: An Econometric Study on the Yangtze River Economic Belt in China. Sustain. Cities Soc. 2024, 107, 105443. [Google Scholar] [CrossRef]
  27. Xu, Y.; Liu, Z.; Walker, T.R.; Adams, M.; Dong, H. Spatio-temporal patterns and spillover effects of synergy on carbon dioxide emission and pollution reductions in the Yangtze River Delta region in China. Sustain. Cities Soc. 2024, 107, 105419. [Google Scholar] [CrossRef]
  28. Zheng, H.; He, Y. How does industrial co-agglomeration affect high-quality economic development? Evidence from Chengdu-Chongqing Economic Circle in China. J. Clean. Prod. 2022, 371, 133485. [Google Scholar] [CrossRef]
  29. Song, M.; Tao, W.; Shen, Z. Improving high-quality development with environmental regulation and industrial structure in China. J. Clean. Prod. 2022, 366, 132997. [Google Scholar] [CrossRef]
  30. Luo, H.; Qu, X. Export Trade, Absorptive Capacity, and High-Quality Economic Development in China. Systems 2023, 11, 54. [Google Scholar] [CrossRef]
  31. Pan, W.; Wang, J.; Lu, Z.; Liu, Y.; Li, Y. High-quality development in China: Measurement system, spatial pattern, and improvement paths. Habitat Int. 2021, 118, 102458. [Google Scholar] [CrossRef]
  32. Chen, M.; Wang, H. Import technology sophistication and high-quality economic development: Evidence from city-level data of China. Econ. Res.-Ekon. Istraživanja 2022, 35, 1106–1141. [Google Scholar] [CrossRef]
  33. Zhou, Z.J.; Yao, Y.; Zhu, J.M. The impact of inclusive finance on high-quality economic development of the Yangtze River delta in China. Math. Probl. Eng. 2022, 2022, 3393734. [Google Scholar] [CrossRef]
  34. Feng, Y.; Sun, M.; Pan, Y.; Zhang, C. Fostering inclusive green growth in China: Identifying the impact of the regional integration strategy of Yangtze River Economic Belt. J. Environ. Manag. 2024, 358, 120952. [Google Scholar] [CrossRef]
  35. Wu, W.; Wang, W.; Zhang, M. Using China’s provincial panel data exploring the interaction between Socio-economic and Eco-environment system. Ecol. Complex. 2020, 44, 100873. [Google Scholar] [CrossRef]
  36. Ma, L.; Jin, F.; Song, Z.; Liu, Y. Spatial coupling analysis of regional economic development and environmental pollution in China. J. Geogr. Sci. 2013, 23, 525–537. [Google Scholar] [CrossRef]
  37. Chen, X.; Di, Q.; Jia, W.; Hou, Z. Spatial correlation network of pollution and carbon emission reductions coupled with high-quality economic development in three Chinese urban agglomerations. Sustain. Cities Soc. 2023, 94, 104552. [Google Scholar] [CrossRef]
  38. Huang, J.; Li, F. Coupling coordination degree measurement and spatial distribution between economic development and ecological environment of countries along the belt and road. Pol. J. Environ. Stud. 2021, 30, 3615–3626. [Google Scholar] [CrossRef]
  39. Sun, L.L.; Cui, H.J.; Ge, Q.S. Will China achieve its 2060 carbon neutral commitment from the provincial perspective? Adv. Clim. Chang. Res. 2022, 13, 169–178. [Google Scholar] [CrossRef]
  40. Luo, D.; Liang, L.; Wang, Z.; Chen, L.; Zhang, F. Exploration of coupling effects in the Economy–Society–Environment system in urban areas: Case study of the Yangtze River Delta Urban Agglomeration. Ecol. Indic. 2021, 128, 107858. [Google Scholar] [CrossRef]
  41. Weng, Q.; Lian, H.; Qin, Q. Spatial disparities of the coupling coordinated development among the economy, environment and society across China’s regions. Ecol. Indic. 2022, 143, 109364. [Google Scholar] [CrossRef]
  42. Deng, C.; Li, H.; Peng, D.; Liu, L.; Zhu, Q.; Li, C. Modelling the coupling evolution of the water environment and social economic system using PSO-SVM in the Yangtze River Economic Belt, China. Ecol. Indic. 2021, 129, 108012. [Google Scholar] [CrossRef]
  43. Liu, J.; Tian, Y.; Huang, K.; Yi, T. Spatial-temporal differentiation of the coupling coordinated development of regional energy-economy-ecology system: A case study of the Yangtze River Economic Belt. Ecol. Indic. 2021, 124, 107394. [Google Scholar] [CrossRef]
  44. Li, X.; Li, S.; Li, C.; Shi, J.; Wang, N. The impact of high-quality development on ecological footprint: An empirical research based on STIRPAT model. Ecol. Indic. 2023, 154, 110881. [Google Scholar] [CrossRef]
  45. Huo, J.; Huang, S. Spatio-temporal characteristics and influencing factors of urban shrinkage in county level of Heilongjiang Province, Northeast China. Heliyon 2023, 9, E21436. [Google Scholar] [CrossRef] [PubMed]
  46. Hu, Y.; Zhang, R.; Wu, J.; Qie, X.; Liu, H. Evaluation of sustainable development efficiency in Chinese provinces-based on closed-loop feedback three-stage dynamic network slack-based measure model. Process Saf. Environ. Prot. 2023, 178, 919–932. [Google Scholar] [CrossRef]
  47. Wen, H.; Liang, W.; Lee, C.C. China’s progress toward sustainable development in pursuit of carbon neutrality: Regional differences and dynamic evolution. Environ. Impact Assess. Rev. 2023, 98, 106959. [Google Scholar] [CrossRef]
  48. Feng, Y.; Nie, C. Re-examining the effect of China’s new-energy demonstration cities construction policy on environmental pollution: A perspective of pollutant emission intensity control. J. Environ. Plan. Manag. 2022, 65, 2333–2361. [Google Scholar] [CrossRef]
  49. Lv, C.; Fan, J.; Lee, C.C. Can green credit policies improve corporate green production efficiency? J. Clean. Prod. 2023, 397, 136573. [Google Scholar] [CrossRef]
  50. Greenstone, M.; He, G.; Jia, R.; Liu, T. Can technology solve the principal-agent problem? Evidence from China’s war on air pollution. Am. Econ. Rev. Insights 2022, 4, 54–70. [Google Scholar] [CrossRef]
  51. Bian, D.; Zhang, M.; Kong, L.; Huang, B.; Hu, D. Analysis of Regional Social–Economic Spatial Pattern and Evolution along the Beijing–Hangzhou Grand Canal. Sustainability 2024, 16, 1527. [Google Scholar] [CrossRef]
  52. Nie, C.; Li, R.; Feng, Y.; Chen, Z. The impact of China’s energy saving and emission reduction demonstration city policy on urban green technology innovation. Sci. Rep. 2023, 13, 15168. [Google Scholar] [CrossRef] [PubMed]
  53. Du, X. Can environmental regulation promote high-quality economic development? Evidence from China. Econ. Anal. Policy 2023, 80, 1762–1771. [Google Scholar] [CrossRef]
  54. Chen, D.; Lu, X.; Liu, X.; Wang, X. Measurement of the eco-environmental effects of urban sprawl: Theoretical mechanism and spatiotemporal differentiation. Ecol. Indic. 2019, 105, 6–15. [Google Scholar] [CrossRef]
  55. Li, Y.; Chen, D.; Tao, X.; Peng, X.; Lu, X.; Zhu, Z. Spatio–Temporal Patterns and Driving Mechanisms of Urban Land High-Quality Use: Evidence from the Pearl River Delta Urban Agglomeration. Land 2024, 13, 277. [Google Scholar] [CrossRef]
  56. Hu, W.; Li, Z.; Chen, D.; Zhu, Z.; Peng, X.; Liu, Y.; Zhao, K. Unlocking the potential of collaborative innovation to narrow the inter-city urban land green use efficiency gap: Empirical study on 19 urban agglomerations in China. Environ. Impact Assess. Rev. 2024, 104, 107341. [Google Scholar] [CrossRef]
  57. Chen, D.; Hu, W.; Li, Y.; Zhang, C.; Lu, X.; Cheng, H. Exploring the temporal and spatial effects of city size on regional economic integration: Evidence from the Yangtze River Economic Belt in China. Land Use Policy 2023, 132, 106770. [Google Scholar] [CrossRef]
  58. Ge, K.; Zou, S.; Ke, S.; Chen, D. Does urban agglomeration promote urban land green use efficiency? Take the Yangtze River Economic Zone of China as an example. Sustainability 2021, 13, 10527. [Google Scholar] [CrossRef]
Figure 1. The research framework for the integration of PCR with HQED.
Figure 1. The research framework for the integration of PCR with HQED.
Sustainability 16 04892 g001
Figure 2. The theoretical framework for the integration of PCR with HQED.
Figure 2. The theoretical framework for the integration of PCR with HQED.
Sustainability 16 04892 g002
Figure 3. China’s Yangtze River Economic Belt.
Figure 3. China’s Yangtze River Economic Belt.
Sustainability 16 04892 g003
Figure 4. CCD measurement results at the regional level.
Figure 4. CCD measurement results at the regional level.
Sustainability 16 04892 g004
Figure 5. CCD measurement results at the city level.
Figure 5. CCD measurement results at the city level.
Sustainability 16 04892 g005
Figure 6. Kernel density distribution.
Figure 6. Kernel density distribution.
Sustainability 16 04892 g006
Figure 7. Moran scatterplot of the CCD.
Figure 7. Moran scatterplot of the CCD.
Sustainability 16 04892 g007
Figure 8. Overall differences of the CCD.
Figure 8. Overall differences of the CCD.
Sustainability 16 04892 g008
Figure 9. Analysis of intra-regional variances in the CCD.
Figure 9. Analysis of intra-regional variances in the CCD.
Sustainability 16 04892 g009
Figure 10. Inter-regional variances analysis of the CCD.
Figure 10. Inter-regional variances analysis of the CCD.
Sustainability 16 04892 g010
Figure 11. Contribution of the overall variances.
Figure 11. Contribution of the overall variances.
Sustainability 16 04892 g011
Table 1. Measurement system construction for PCR and HQED.
Table 1. Measurement system construction for PCR and HQED.
SubsystemsPrimary IndicatorsSecondary IndicatorsTertiary IndicatorsUnitsTypes
PCRPollution reductionIndustrial pollutionIndustrial wastewater dischargeTen thousand tons
Industrial sulphur dioxide emissionsTon
Industrial smoke and dust emissionsTon
Air pollutionAnnual average concentration of PM2.5Micrograms/m3
Carbon reductionTotal carbon emissionTotal CO2 emissionsTen thousand tons
Carbon emission intensityCO2 emission intensityTon/ten thousand yuan
HQEDEconomic growth fundamentalsGrowth efficiencyTotal factor productivity+
Labor productivityTen thousand yuan+
Capital output ratio+
Growth dynamicsPer capita fiscal expenditure on science and technologyYuan+
Patent authorizations per 10,000 peoplePiece+
Economic growth structuresIndustrial structureRatio of tertiary to secondary industry value added%+
Fiscal structureFiscal revenues to fiscal expenditure ratio%+
Financial structureRatio of deposit and loan balances of financial institutions to GDP%+
Balance of payments structureRatio of total exports and imports to GDP%+
Economic growth outcomesLiving standardsRegistered urban unemployment rate%
Per capita fiscal expenditure on educationYuan+
Number of medical beds per 1000 peopleSheet+
Total number of public library books per capitaVolume+
Income distributionRatio of disposable income per capita for urban and rural residents
Energy consumptionConsumption of electricity per unit of GDPKilowatt-hours/ten thousand yuan
Food securityGrain production per capitaTon+
Note: “+” indicates the positive indicator, “−” indicates the negative indicator.
Table 2. CCD classification standards.
Table 2. CCD classification standards.
CCD Value RangeGradeTypes
0–0.11Utmost uncoordinated
0.1–0.22Highly uncoordinated
0.2–0.33Moderately uncoordinated
0.3–0.44Slightly uncoordinated
0.4–0.55At the edge of being uncoordinated
0.5–0.66Barely coordinated
0.6–0.77Slightly coordinated
0.7–0.88Moderately coordinated
0.8–0.99Well-coordinated
0.9–1.010Excellent coordination
Table 3. The overall measurement results of CCD.
Table 3. The overall measurement results of CCD.
YearPCRHQEDCTD
20060.5359 0.0672 0.6139 0.3016 0.4234
20070.5172 0.0737 0.6411 0.2955 0.4276
20080.5301 0.0772 0.6440 0.3036 0.4359
20090.5488 0.0814 0.6476 0.3151 0.4463
20100.5333 0.0882 0.6752 0.3107 0.4512
20110.5633 0.0948 0.6744 0.3291 0.4663
20120.5879 0.1032 0.6828 0.3455 0.4822
20130.5532 0.1072 0.7089 0.3302 0.4785
20140.5418 0.1120 0.7258 0.3269 0.4807
20150.5784 0.1235 0.7266 0.3509 0.5004
20160.6213 0.1316 0.7220 0.3764 0.5183
20170.6352 0.1354 0.7221 0.3853 0.5240
20180.6913 0.1409 0.7104 0.4161 0.5411
20190.7185 0.1476 0.7118 0.4331 0.5530
20200.7876 0.1502 0.7088 0.4689 0.5751
20210.7905 0.1666 0.7134 0.4786 0.5832
Table 4. Moran’s I of the CCD.
Table 4. Moran’s I of the CCD.
YearMoran’sz-Valuep-Value
20060.570 8.612 0.000
20070.533 8.360 0.000
20080.522 7.914 0.000
20090.534 8.095 0.000
20100.596 8.999 0.000
20110.519 7.869 0.000
20120.533 8.078 0.000
20130.514 7.780 0.000
20140.524 7.926 0.000
20150.515 7.795 0.000
20160.525 7.961 0.000
20170.525 7.973 0.000
20180.515 7.816 0.000
20190.498 7.556 0.000
20200.516 7.795 0.000
20210.505 7.667 0.000
Table 5. σ convergence results.
Table 5. σ convergence results.
YearWhole SampleUpstreamMidstreamDownstream
20060.1238 0.1311 0.0583 0.1419
20070.1269 0.1147 0.0696 0.1587
20080.1170 0.1112 0.0691 0.1382
20090.1146 0.1031 0.0664 0.1376
20100.1339 0.1223 0.0777 0.1599
20110.1219 0.1052 0.0776 0.1442
20120.1206 0.1056 0.0647 0.1366
20130.1213 0.1092 0.0739 0.1460
20140.1205 0.1050 0.0764 0.1478
20150.1219 0.1053 0.0810 0.1326
20160.1264 0.1025 0.0677 0.1454
20170.1354 0.0895 0.0761 0.1723
20180.1265 0.0854 0.0762 0.1564
20190.1277 0.0859 0.0840 0.1541
20200.1036 0.0734 0.0670 0.1173
20210.1322 0.0899 0.0824 0.1498
Table 6. Absolute β convergence results.
Table 6. Absolute β convergence results.
(1)(2)(3)(4)
Whole SampleUpstreamMidstreamDownstream
β−0.4410 ***−0.2822 ***−0.4211 ***−0.6007 ***
(0.0420)(0.0276)(0.0804)(0.0588)
City FE
Year FE
N1620465540615
R20.34480.37560.45620.5203
Note: Robust standard errors in parentheses, *** p < 0.01.
Table 7. Conditional β convergence results.
Table 7. Conditional β convergence results.
(1)(2)(3)(4)
Whole SampleUpstreamMidstreamDownstream
β−0.4305 ***−0.3043 ***−0.4155 ***−0.6109 ***
(0.0435)(0.0428)(0.0822)(0.0538)
lnGDP−0.0366 *−0.0077−0.02430.1106 ***
(0.0219)(0.0333)(0.0716)(0.0358)
GOV0.0466 ***0.02090.00630.0363 ***
(0.0146)(0.0210)(0.0869)(0.0095)
POPDEN−0.6650 ***−0.9327−0.2334−0.4762 ***
(0.1570)(1.0556)(0.3668)(0.1159)
HC0.00000.00000.00010.0001 **
(0.0000)(0.0000)(0.0001)(0.0001)
ER0.00200.0046 **−0.0016−0.0032
(0.0019)(0.0021)(0.0034)(0.0030)
City FE
Year FE
N1620465540615
R20.36830.39620.46390.5704
Note: Robust standard errors in parentheses, * p < 0.1, ** p < 0.05, *** p < 0.01.
Disclaimer/Publisher’s Note: The statements, opinions and data contained in all publications are solely those of the individual author(s) and contributor(s) and not of MDPI and/or the editor(s). MDPI and/or the editor(s) disclaim responsibility for any injury to people or property resulting from any ideas, methods, instructions or products referred to in the content.

Share and Cite

MDPI and ACS Style

Nie, C.; Li, R.; Feng, Y. Analyzing Coupling Coordination of Pollution and Carbon Reduction with High-Quality Economic Development: A Case Study of China’s Yangtze River Economic Belt. Sustainability 2024, 16, 4892. https://doi.org/10.3390/su16124892

AMA Style

Nie C, Li R, Feng Y. Analyzing Coupling Coordination of Pollution and Carbon Reduction with High-Quality Economic Development: A Case Study of China’s Yangtze River Economic Belt. Sustainability. 2024; 16(12):4892. https://doi.org/10.3390/su16124892

Chicago/Turabian Style

Nie, Changfei, Ruyi Li, and Yuan Feng. 2024. "Analyzing Coupling Coordination of Pollution and Carbon Reduction with High-Quality Economic Development: A Case Study of China’s Yangtze River Economic Belt" Sustainability 16, no. 12: 4892. https://doi.org/10.3390/su16124892

APA Style

Nie, C., Li, R., & Feng, Y. (2024). Analyzing Coupling Coordination of Pollution and Carbon Reduction with High-Quality Economic Development: A Case Study of China’s Yangtze River Economic Belt. Sustainability, 16(12), 4892. https://doi.org/10.3390/su16124892

Note that from the first issue of 2016, this journal uses article numbers instead of page numbers. See further details here.

Article Metrics

Back to TopTop