CFD-DEM Modeling of Cryogenic Hydrogen Flow and Heat Transfer in Packed Bed
Abstract
1. Introduction
2. Physical Model and Computational Method
2.1. Governing Equations
2.2. Physical Model
2.3. Meshing
2.4. Model Validation
2.5. Grid Independence Validation
2.6. Data Processing
2.7. Boundary Conditions
3. Results and Discussion
3.1. Velocity and Temperature Contour of Packed Bed
3.2. Radial-Averaged Distribution of Fluid Flow
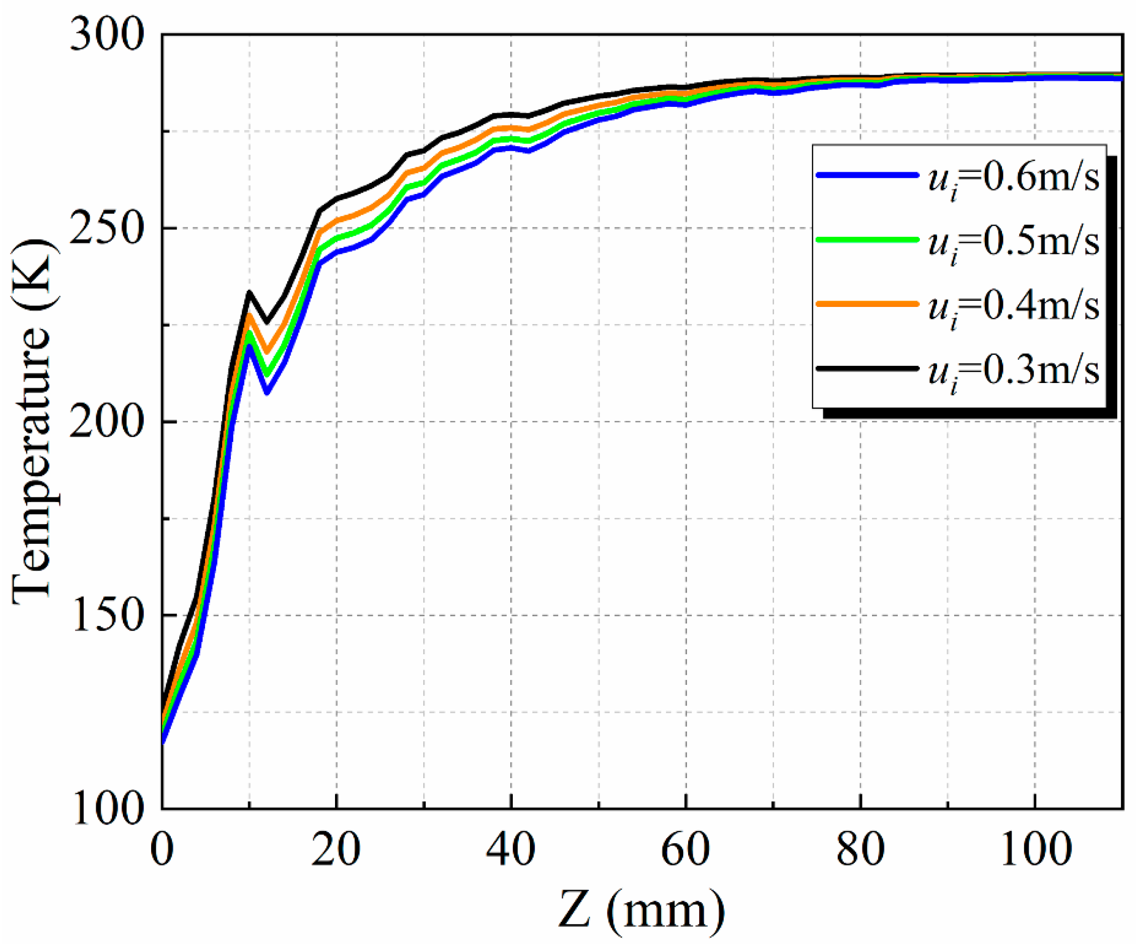
3.3. Axial-Averaged Distribution of Fluid Flow
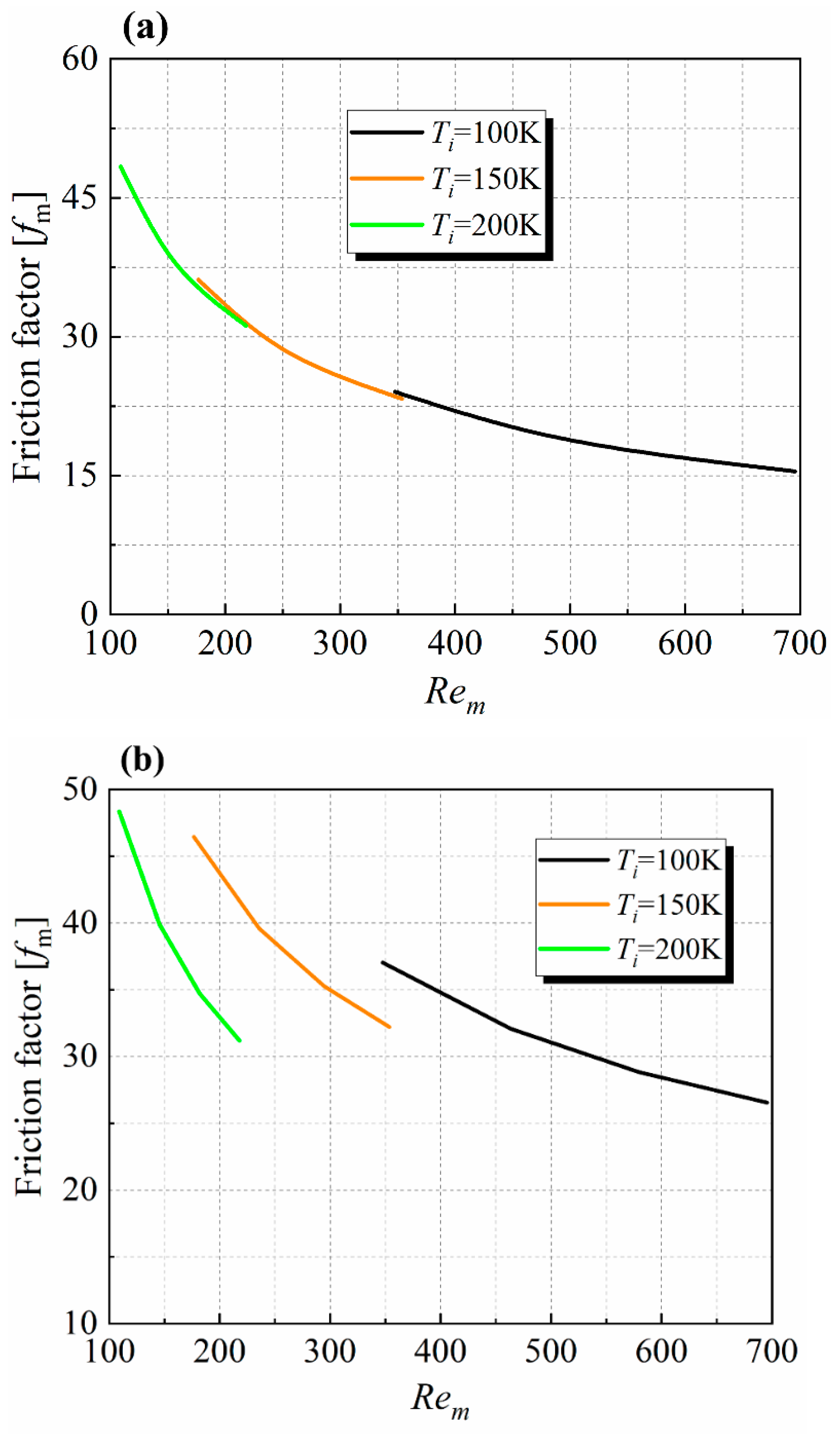
3.4. Friction Factor in Packed Bed
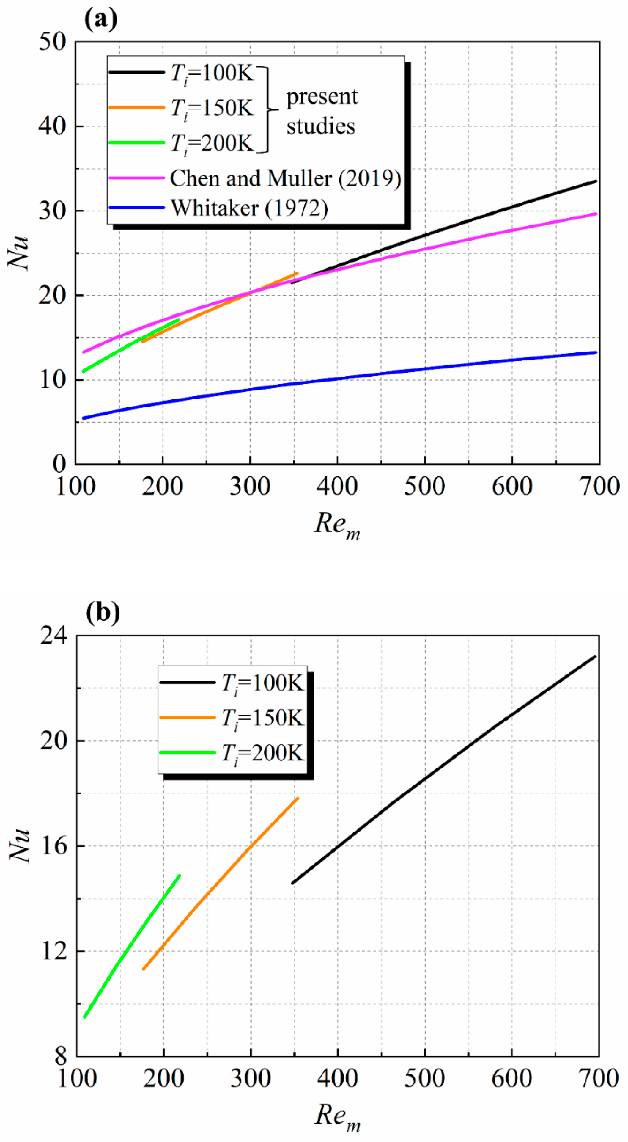
3.5. Nusselt Number in Packed Bed
4. Conclusions
- (1)
- Cryogenic hydrogen flows through the packed bed with the heat transfer between the particles and hydrogen. The temperature and velocity distribution are related to the inlet temperature, inlet velocity, and porosity distribution. In the radial direction, the radial-averaged velocity is proportional to the radial-averaged porosity. Although the porosity at the wall is close to 1, the flow velocity is slow due to wall viscosity. The radial-averaged velocity is slow in the region with a small pore area. The radial-averaged velocity affects the radial-averaged temperature field distribution. When the velocity is high, the heat transfer time between the hydrogen and particles is insufficient, and it causes a reduction in the radial-averaged temperature.
- (2)
- In the axial direction, the axial-averaged velocity is inversely proportional to the radial-averaged porosity in the packed bed. This is because the total flow of the fluid in the axial direction is constant. Larger pores have bigger fluid flow areas, so the velocity is slower. This is different from the radial direction. The temperature of hydrogen continues to increase in the axial direction and reaches the particle temperature at Z = 70 mm. The radial-averaged porosity shows a drop at Z = 10 mm. This occurs between the first layer (dp) and the second layer of the particle (2 dp). This drop causes the local decrease in temperature in the axial direction.
- (3)
- The physical properties of hydrogen, which vary with temperature, significantly affect its heat transfer and flow within a packed bed. In scenarios where hydrogen’s physical properties do not change with temperature, the curves representing the friction coefficient and Nusselt number at different inlet temperatures are determined solely by the Reynolds number. However, when the variation in hydrogen’s physical properties with temperature is taken into account, the friction coefficient and Nusselt number within the packed bed at different inlet temperatures are represented by three separate lines, each indicating values greater than those in the scenario where the physical properties remain constant. Thus, it is imperative to consider the temperature-dependent changes in hydrogen’s physical properties during simulation processes.
- (4)
- Variations in the inlet temperature and velocity significantly influence the friction coefficient and Nusselt number within a packed bed. The friction coefficient decreases as the velocity increases. A greater temperature difference between the particles and hydrogen correlates with a lower friction coefficient, concurrently leading to a more flattened curve of the friction coefficient. Conversely, the Nusselt number increases with an increase in inlet velocity. A larger temperature differential between the particles and hydrogen also results in a higher Nusselt number, manifesting in a flatter trend for the Nusselt number curve.
Author Contributions
Funding
Data Availability Statement
Conflicts of Interest
Nomenclature
| A | area | ε | mean porosity of packed bed |
| C | specific heat [J/(kg∙K)] | λ | thermal conductivity of fluid [W/(m∙K)] |
| D | Packed bed diameter [mm] | μ | kinematic viscosity coefficient [Pa∙s] |
| d | Particle diameter [mm] | ρ | Density (kg/m3) |
| fk | Friction factor | Abbreviations | |
| h | Heat transfer coefficient [W/m2∙K] | CES | Cryogenic energy storage |
| hen, out | Fluid enthalpy at outlet [kJ/kg] | CFD | Computational Fluid Dynamics |
| hen, in | Fluid enthalpy at inlet [kJ/kg] | DEM | Discrete Element Method |
| L | height of packing [mm] | HTF | Heat transfer fluid |
| N | Number of inserted porous blocks | LTE | Local thermal equilibrium |
| Nu | Nusselt number | LTNE | Local thermal non-equilibrium |
| Pr | Prandtl number | REV | Representative elementary volume |
| R | Radius of packed bed | Subscripts | |
| r | Radius of particles | f | fluid |
| Re | Reynolds number [ρud/μ] | i | inlet |
| Rem | modified Reynolds number [ρud/μ(1-ε)] | m | modified |
| T | Temperature [K] | p | Pore-scale |
| u | Velocity [m/s] | ||
| V | volume | ||
| Greek symbols | |||
| ΔP | pressure drop of packed beds [Pa] | ||
| ΔT | temperature difference [K] | ||
References
- Moradi, R.; Groth, K.M. Hydrogen storage and delivery: Review of the state of the art technologies and risk and reliability analysis. Int. J. Hydrogen Energy 2019, 44, 12254–12269. [Google Scholar] [CrossRef]
- Mohammed, A.A.; Sakr, R.Y. Numerical study of encapsulated nanoparticles enhanced phase change material in thermal energy cool storage packed bed system. J. Energy Storage 2023, 68, 107837. [Google Scholar]
- Chai, L.; Liu, J.; Wang, L.; Yue, L.; Yang, L.; Sheng, Y.; Chen, H.; Tan, C. Cryogenic energy storage characteristics of a packed bed at different pressures. Appl. Therm. Eng. 2014, 63, 439–446. [Google Scholar] [CrossRef]
- Tan, H.; Ding, Z.; Wen, N. Numerical study on the thermodynamic performance of a packed bed cryogenic energy storage system. Appl. Therm. Eng. 2022, 214, 118903. [Google Scholar] [CrossRef]
- Gaviño, D.; Cortés, E.; García, J.; Calderón-Vásquez, I.; Cardemil, J.; Estay, D.; Barraza, R. A discrete element approach to model packed bed thermal storage. Appl. Energy 2022, 325, 119821. [Google Scholar] [CrossRef]
- Li, J.; Mason, D.J. A computational investigation of transient heat transfer in pneumatic transport of granular particles. Powder Technol. 2000, 112, 273–282. [Google Scholar] [CrossRef]
- Zhao, Q.; Mao, B.; Zhao, J.; Li, H.; Wei, S.; Bai, X.; Zhang, X.; Zhang, Y. Experimental study on the forced convection heat transfer characteristics of airflow with variable thermophysical parameters in a circular tube. Case Stud. Therm. Eng. 2022, 40, 102495. [Google Scholar] [CrossRef]
- Chen, L.; Wang, C.; Moscardini, M.; Kamlah, M.; Liu, S. A DEM-based heat transfer model for the evaluation of effective thermal conductivity of packed beds filled with stagnant fluid: Thermal contact theory and numerical simulation. Int. J. Heat Mass Transf. 2019, 132, 331–346. [Google Scholar] [CrossRef]
- Govender, N.; Cleary, P.W.; Kiani-Oshtorjani, M.; Wilke, D.N.; Wu, C.Y.; Kureck, H. The effect of particle shape on the packed bed effective thermal conductivity based on DEM with polyhedral particles on the GPU. Chem. Eng. Sci. 2020, 219, 115584. [Google Scholar] [CrossRef]
- Ookawara, S.; Kuroki, M.; Street, D.; Ogawa, K. High-fidelity DEM-CFD modeling of packed bed reactors for process intensification. In Proceedings of the European Congress of Chemical Engineering (ECCE-6), Copenhagen, Denmark, 16–20 September 2007; pp. 16–20. [Google Scholar]
- Tsuji, Y.; Kawaguchi, T.; Tanaka, T. Discrete particle simulation of two-dimensional fluidized bed. Powder Technol. 1993, 77, 79–87. [Google Scholar] [CrossRef]
- Wang, S.; Luo, K.; Yang, S.; Hu, C.; Fan, J. Parallel LES-DEM simulation of dense flows in fluidized beds. Appl. Therm. Eng. 2017, 111, 1523–1535. [Google Scholar] [CrossRef]
- Wang, S.; Luo, K.; Hu, C.; Lin, J.; Fan, J. CFD-DEM simulation of heat transfer in fluidized beds: Model verification, validation, and application. Chem. Eng. Sci. 2019, 197, 280–295. [Google Scholar] [CrossRef]
- Wang, S.; Shen, Y. Particle-scale study of heat and mass transfer in a bubbling fluidised bed. Chem. Eng. Sci. 2021, 240, 116655. [Google Scholar] [CrossRef]
- Wang, S.; Luo, K.; Fan, J. CFD-DEM coupled with thermochemical sub-models for biomass gasification: Validation and sensitivity analysis. Chem. Eng. Sci. 2020, 217, 115550. [Google Scholar] [CrossRef]
- Yu, J.; Wang, S.; Kong, D.; Luo, K.; Fan, J. Coal-fueled chemical looping gasification: A CFD-DEM study. Fuel 2023, 345, 128119. [Google Scholar] [CrossRef]
- Bu, S.S.; Yang, J.; Zhou, M.; Li, S.Y.; Wang, Q.W.; Guo, Z.X. On contact point modifications for forced convective heat transfer analysis in a structured packed bed of spheres. Nucl. Eng. Des. 2014, 270, 21–33. [Google Scholar] [CrossRef]
- Yang, J.; Wang, J.; Bu, S.; Zeng, M.; Wang, Q.; Nakayama, A. Experimental analysis of forced convective heat transfer in novel structured packed beds of particles. Chem. Eng. Sci. 2012, 71, 126–137. [Google Scholar] [CrossRef]
- Alomar, O.R.; Abdulrazzaq, N.M.; Hamdoon, O.M.; Alwan, N.T. Local thermal equilibrium analysis of complete phase change process inside porous diffuser using NanoFluids. Appl. Therm. Eng. 2023, 231, 120911. [Google Scholar] [CrossRef]
- Mohammad, P.; Mohsen, T.; Ankur, J. Local thermal non-equilibrium (LTNE) model for developed flow in porous media with spatially-varying Biot number. Int. J. Heat Mass Transf. 2021, 164, 120538. [Google Scholar]
- Pati, S.; Borah, A.; Boruah, M.P.; Randive, P.R. Critical review on local thermal equilibrium and local thermal non-equilibrium approaches for the analysis of forced convective flow through porous media. Int. Commun. Heat Mass Transf. 2022, 132, 105889. [Google Scholar] [CrossRef]
- Cheng, L.C.; Wong, S.C. Pore-scale numerical simulation and LTNE analysis for fully-developed forced convective heat transfer in packed beds of mono-sized rough spheres covering near-wall and core regions. Int. J. Heat Mass Transf. 2023, 208, 124047. [Google Scholar] [CrossRef]
- Hooman, K.; Li, J.; Dahari, M. Thermal dispersion effects on forced convection in a porous-saturated pipe. Therm. Sci. Eng. Prog. 2017, 2, 64–70. [Google Scholar] [CrossRef]
- Hooman, K.; Ranjbar-Kani, A.A. A perturbation based analysis to investigate forced convection in a porous saturated tube. J. Comput. Appl. Math. 2004, 162, 411–419. [Google Scholar] [CrossRef]
- Mueller, G.E. Numerically packing spheres in cylinders. Powder Technol. 2005, 159, 105–110. [Google Scholar] [CrossRef]
- Mueller, G.E. Radial void fraction distributions in randomly packed fixed beds of uniformly sized spheres in cylindrical containers. Powder Technol. 1992, 72, 269–275. [Google Scholar] [CrossRef]
- Guo, Z.; Sun, Z.; Zhang, N.; Ding, M.; Zhou, Y. Influence of flow guiding conduit on pressure drop and convective heat transfer in packed beds. Int. J. Heat Mass Transf. 2019, 134, 489–502. [Google Scholar] [CrossRef]
- Liu, H.B.; Zhao, C.Y. Effect of Radial Porosity Oscillation on the Thermal Performance of Packed Bed Latent Heat Storage. Engineering 2021, 7, 515–525. [Google Scholar] [CrossRef]
- Fterich, M.; Chouikhi, H.; Sandoval-Torres, S.; Bentaher, H.; Elloumi, A.; Maalej, A. Numerical simulation and experimental characterization of the heat transfer in a PV/T air collector prototype. Case Stud. Therm. Eng. 2021, 27, 101209. [Google Scholar] [CrossRef]
- Hoorijani, H.; Esgandari, B.; Zarghami, R.; Sotudeh-Gharebagh, R.; Mostoufi, N. CFD-DEM simulation of heat transfer in spout-fluid beds. Chem. Eng. Res. Des. 2023, 200, 95–106. [Google Scholar] [CrossRef]
- Guardo, A.; Coussirat, M.; Larrayoz, M.; Recasens, F.; Egusquiza, E. Influence of the turbulence model in CFD modeling of wall-to-fluid heat transfer in packed beds. Chem. Eng. Sci. 2005, 60, 1733–1742. [Google Scholar] [CrossRef]
- Oschmann, T.; Schiemann, M.; Kruggel-Emden, H. Development and verification of a resolved 3D inner particle heat transfer model for the Discrete Element Method (DEM). Powder Technol. 2016, 291, 392–407. [Google Scholar] [CrossRef]
- Jin, L.; Lee, J.; Jeong, S. Investigation on heat transfer in line chill-down process with various cryogenic fluids. Int. J. Heat Mass Transf. 2020, 150, 119204. [Google Scholar] [CrossRef]
- Lin, X.; Wang, L.; Xie, N.; Li, G.; Chen, H. Thermodynamic analysis of the cascaded packed bed cryogenic storage based supercritical air energy storage system. Energy Procedia 2019, 158, 5079–5085. [Google Scholar] [CrossRef]
- Dixon, A.G.; Nijemeisland, M.; Stitt, E.H. Systematic mesh development for 3D CFD simulation of fixed beds: Contact points study. Comput. Chem. Eng. 2013, 48, 135–153. [Google Scholar] [CrossRef]
- Argyropoulos, C.D.; Markatos, N. Recent advances on the numerical modelling of turbulent flows. Appl. Math. Model. 2015, 39, 693–732. [Google Scholar] [CrossRef]
- Lemmon, E.W.; Bell, I.H.; Huber, M.L.; McLinden, M.O. NIST Standard Reference Database 23: Reference Fluid Thermodynamic and Transport Properties-REFPROP, Version 10.0; National Institute of Standards and Technology, Standard Reference Data Program: Gaithersburg, MD, USA, 2018.
- Calis, H.; Nijenhuis, J.; Paikert, B.; Dautzenberg, F.; Bleek, C.v.D. CFD modelling and experimental validation of pressure drop and flow profile in a novel structured catalytic reactor packing. Chem. Eng. Sci. 2001, 56, 1713–1720. [Google Scholar] [CrossRef]
- Eppinger, T.; Seidler, K.; Kraume, M. DEM-CFD simulations of fixed bed reactors with small tube to particle diameter ratios. Chem. Eng. J. 2011, 166, 324–331. [Google Scholar] [CrossRef]
- Guardo, A.; Coussirat, M.; Larrayoz, M.A.; Recasens, F.; Egusquiza, E. CFD flow and heat transfer in nonregular packings for fixed bed equipment design. Ind. Eng. Chem. Res. 2004, 43, 7049–7056. [Google Scholar] [CrossRef]
- Mueller, G.E. A modified packed bed radial porosity correlation. Powder Technol. 2019, 342, 607–612. [Google Scholar] [CrossRef]
- Guo, Z.; Sun, Z.; Zhang, N.; Ding, M. Influence of confining wall on pressure drop and particle-to-fluid heat transfer in packed beds with small D/d ratios under high Reynolds number. Chem. Eng. Sci. 2019, 209, 115200. [Google Scholar] [CrossRef]
- Chen, Y.; Müller, C.R. Lattice Boltzmann simulation of gas-solid heat transfer in random assemblies of spheres: The effect of solids volume fraction on the average Nusselt number for Re ≤ 100. Chem. Eng. J. 2019, 361, 1392–1399. [Google Scholar] [CrossRef]
- Whitaker, S. Forced convection heat transfer correlations for flow in pipes, past flat plates, single cylinders, single spheres, and for flow in packed beds and tube bundles. AIChE J. 1972, 18, 361–371. [Google Scholar] [CrossRef]












| Property Parameter | Unit | Value |
|---|---|---|
| Particle diameter | m | 0.01 |
| Poisson ratio | - | 0.24 |
| Solids Density | kg/m3 | 3750 |
| Shear Modulus | Pa | 1.37 × 109 |
| Coefficient of Restitution | - | 0.5 |
| Coefficient of Static Friction | - | 0.154 |
| Coefficient of Rolling Friction | - | 0.1 |
| specific heat | J/(kg∙K) | 780 |
| Thermal conductivity | W/(m∙K) | 30 |
Disclaimer/Publisher’s Note: The statements, opinions and data contained in all publications are solely those of the individual author(s) and contributor(s) and not of MDPI and/or the editor(s). MDPI and/or the editor(s) disclaim responsibility for any injury to people or property resulting from any ideas, methods, instructions or products referred to in the content. |
© 2024 by the authors. Licensee MDPI, Basel, Switzerland. This article is an open access article distributed under the terms and conditions of the Creative Commons Attribution (CC BY) license (https://creativecommons.org/licenses/by/4.0/).
Share and Cite
Quan, X.; Xia, Y.; Zhang, Q. CFD-DEM Modeling of Cryogenic Hydrogen Flow and Heat Transfer in Packed Bed. Sustainability 2024, 16, 4522. https://doi.org/10.3390/su16114522
Quan X, Xia Y, Zhang Q. CFD-DEM Modeling of Cryogenic Hydrogen Flow and Heat Transfer in Packed Bed. Sustainability. 2024; 16(11):4522. https://doi.org/10.3390/su16114522
Chicago/Turabian StyleQuan, Xin, Yongfang Xia, and Quanchen Zhang. 2024. "CFD-DEM Modeling of Cryogenic Hydrogen Flow and Heat Transfer in Packed Bed" Sustainability 16, no. 11: 4522. https://doi.org/10.3390/su16114522
APA StyleQuan, X., Xia, Y., & Zhang, Q. (2024). CFD-DEM Modeling of Cryogenic Hydrogen Flow and Heat Transfer in Packed Bed. Sustainability, 16(11), 4522. https://doi.org/10.3390/su16114522

