Sustainable Intensification of Cropping Systems under Conservation Agriculture Practices: Impact on Yield, Productivity and Profitability of Wheat
Abstract
1. Introduction
2. Material Methods
2.1. Experiment Site
2.2. Experimental Treatments and Design
2.3. Agronomic Management of Crops
2.4. Details of Biometric Observations of Wheat
2.4.1. Plant Height, Tillers, and Biomass Accumulation
2.4.2. Yield Attributes (Effective Tillers, Number of Grains/Spike, Spike Length, Number of Filled Grains/Spike and Thousand Grain Weight)
2.4.3. Crop Harvest, Yield Estimation, and Economics
2.5. Irrigation Water Management and Measurement of Soil Moisture
2.6. Statistical Analysis
3. Results
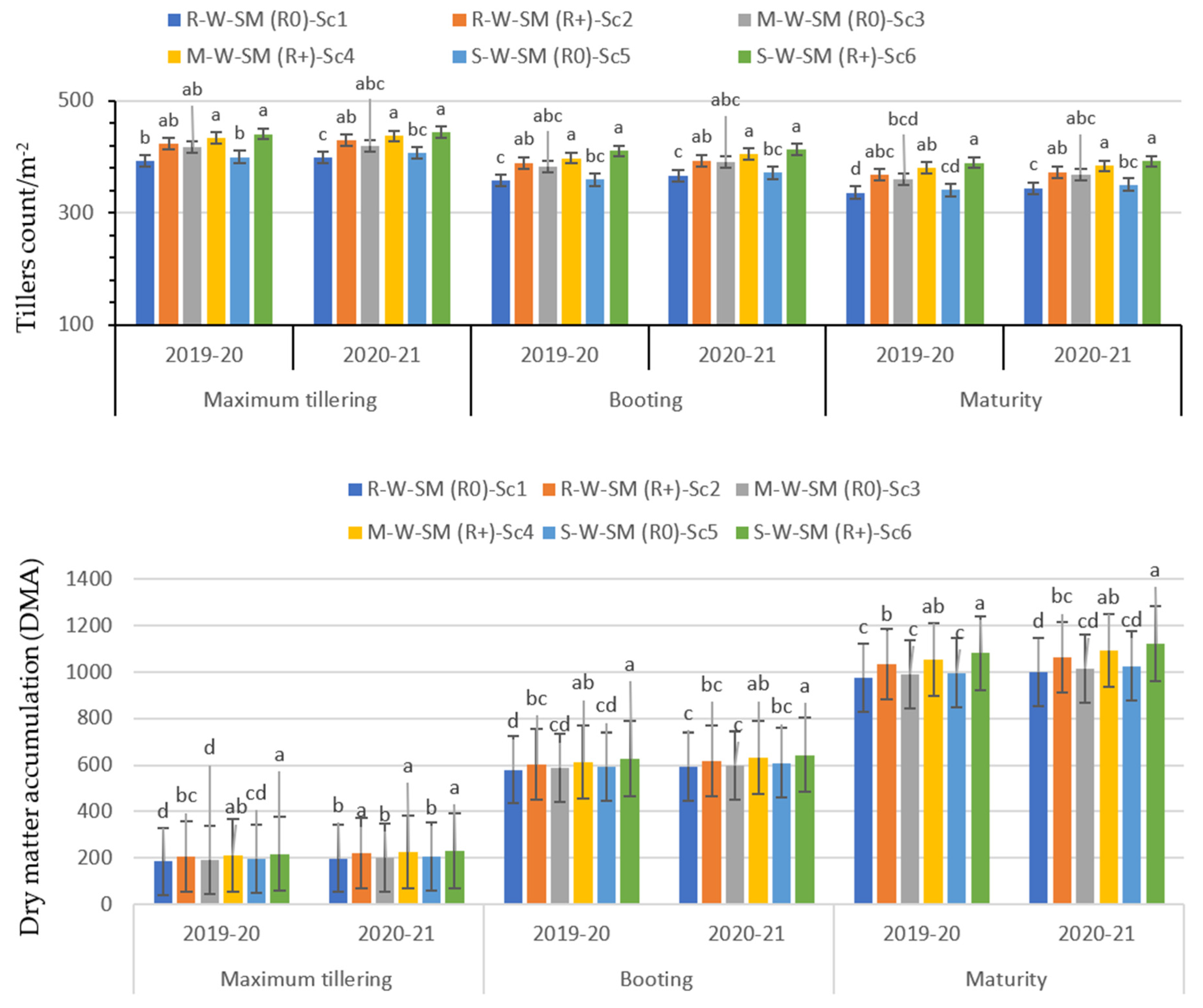
3.1. Effect of Sustainable Intensification of Cropping Systems (SICP) under Conservation Agriculture Practices on Growth Attributes
3.2. Effect of SICP on Yield Parameters of Wheat
3.3. Effect of SICP on Crop Productivity
3.4. Effect of SICP on Irrigation Water Applied and Irrigation Water Productivity (IWP) of Wheat
3.5. Effect of SICP on Economics Profitability of Wheat
3.6. Effect of SICP on Nutrient Uptake by Grain and Straw of Wheat
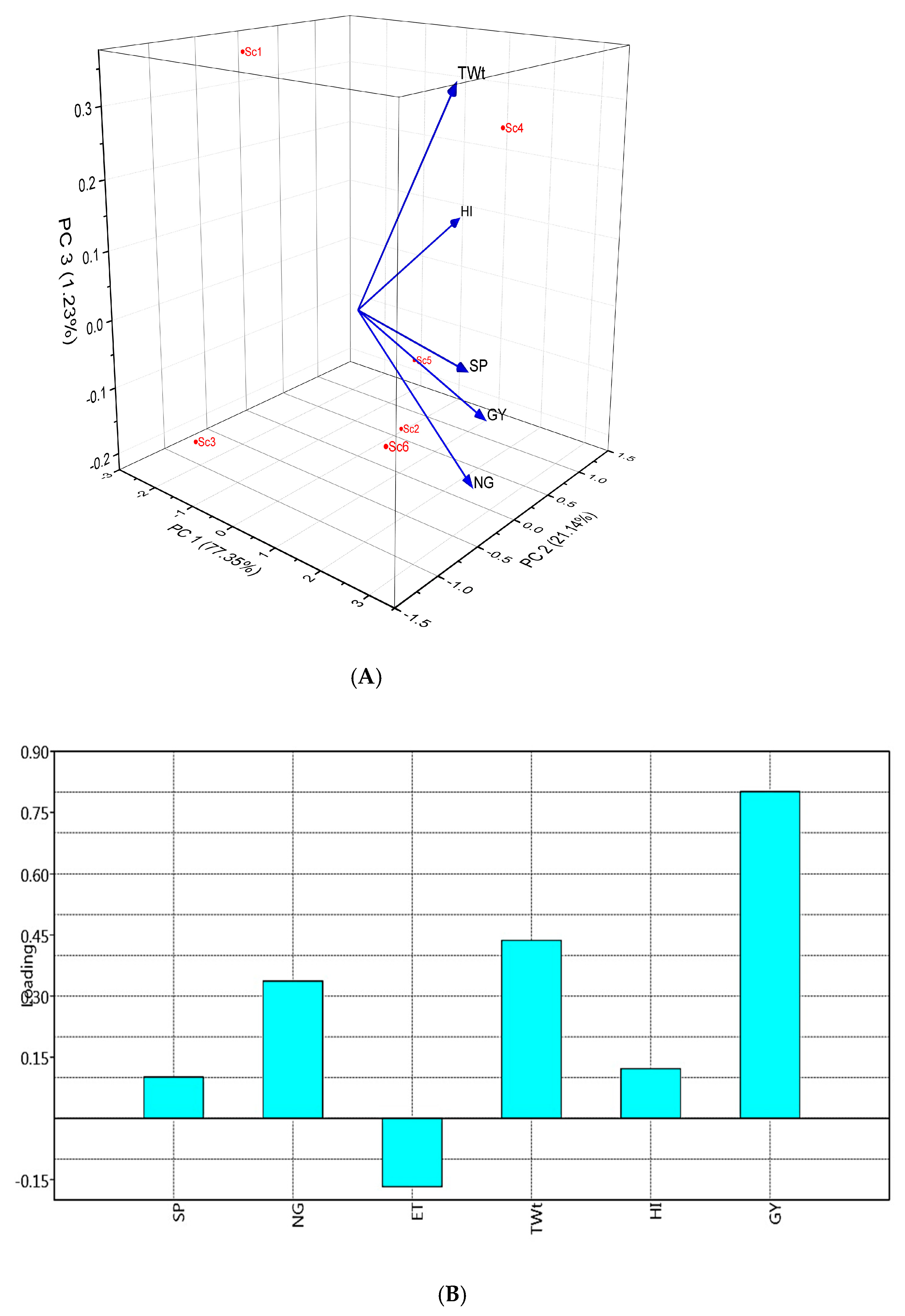
3.7. Principal Component Analysis (PCA)
3.8. Total System Productivity Based on Rice Equivalent Yield
4. Discussion
4.1. Effect of SICP on Growth Attributes
4.2. Effect of SICP on Yield Attributes
4.3. Effect on Irrigation Water Applied and Irrigation WP
4.4. Effect on Crop Productivity and Economic Profitability of Wheat
4.5. Effect on Nutrient Uptake
4.6. Principal Component Analysis (PCA)
4.7. Effect on System Productivity
5. Conclusions
Author Contributions
Funding
Institutional Review Board Statement
Informed Consent Statement
Data Availability Statement
Acknowledgments
Conflicts of Interest
References
- Gupta, R.; Seth, A. A review of resource conserving technologies for sustainable management of the rice-wheat cropping systems of the Indo-Gangetic plains (IGP). Crop Prot. 2007, 26, 436–447. [Google Scholar] [CrossRef]
- Ladha, J.K.; Pathak, H.; Tirol-Padre, A.; Dawe, D.; Gupta, R.K. Productivity trends in intensive rice-wheat cropping systems in Asia. In Improving the Productivity and Sustainability of Rice-Wheat Systems: Issues and Impacts; Ladha, J.K., Hill, J.E., Duxbury, J.M., Gupta, R.K., Buresh, R.J., Eds.; American Society of Agronomy: Madison, WI, USA, 2003; Volume 65, pp. 45–76. [Google Scholar]
- Hira, G.S. Water management in northern states and the food security of India. J. Crop Improv. 2009, 23, 136–157. [Google Scholar] [CrossRef]
- Rodell, M.; Velicogna, I.; Famiglietti, J.S. Satellite-based estimates of groundwater depletion in India. Nature 2009, 460, 999–1002. [Google Scholar] [CrossRef] [PubMed]
- Bijay-Singh; Shan, Y.H.; Johnson-Beebout, S.E.; Yadvinder-Singh; Buresh, R.J.; Donald, L.S. Crop residue management for lowland rice-based cropping systems in Asia. Adv. Agron. 2008, 98, 117–199. [Google Scholar]
- Kumar, A.; Sharma, D.K.; Sharma, H.C. Response of wheat (Triticum aestivum) to irrigation and nitrogen in sodic soils. Ind. J. Agron. 1995, 40, 38–42. [Google Scholar]
- Bouman, B.A.M.; Peng, S.B.; Castañeda, A.R.; Visperas, R.M. Yield and water use of irrigated tropical aerobic rice systems. Agric. Water Manag. 2005, 74, 87–105. [Google Scholar] [CrossRef]
- Yadvinder-Singh; Sidhu, H.S.; Manpreet-Singh; Humphreys, E.; Kukal, S.S.; Brar, N.K. Straw mulch, irrigation water and fertiliser N management effects on yield, water use and N use efficiency of wheat sown after rice. In Permanent Beds and Rice-Residue Management for Rice–Wheat Systems in the Indo-Gangetic Plain, Proceedings of a Workshop Held at PAU, Ludhiana, India, 7–9 September 2006; ACIAR Proceedings No. 127; Humphreys, E., Roth, C.H., Eds.; Australian Centre for International Agricultural Research: Canberra, ACT, Australia, 2008; pp. 171–181. [Google Scholar]
- Kumar, A.; Saini, K.S. Conservation agriculture effects on root traits, productivity and profitability of rice in Rice-Wheat-Summer moong cropping system. AMA-Agric. Mech. Asia Afr. Lat. Am. 2022, 53, 5245–5254. [Google Scholar]
- Sidhu, H.S.; Singh, M.; Humphreys, E.; Singh, Y.; Singh, B.; Dhillon, S.S.; Blackwel, J.; Bector, V.; Singh, M.; Singh, S. The Happy seeder enables direct drilling of wheat into rice stubble. Aust. J. Exp. Agric. 2007, 47, 844–854. [Google Scholar] [CrossRef]
- Li, F.M.; Wang, P.; Wang, J.; Xu, Z.J. Effects of irrigation before sowing and plastic film mulching on yield and water uptake of spring wheat in semi-arid Loess Plateau of China. Agric. Water Manag. 2004, 67, 77–88. [Google Scholar] [CrossRef]
- Balwinder-Singh; Humphreys, E.; Eberbacha, P.L.; Katupitiya, A.; Yadvinder-Singh; Kukal, S.S. Growth, yield and water productivity of zero till wheat as affected by rice straw mulch and irrigation schedule. Field Crops Res. 2011, 121, 209–225. [Google Scholar] [CrossRef]
- Chakraborty, D.; Garg, R.N.; Tomar, R.K.; Singh, R.; Sharma, S.K.; Singh, R.K.; Trivedi, S.M.; Mittal, R.B.; Sharma, P.K.; Kamble, K.H. Synthetic and organic mulching and nitrogen effect on winter wheat (Triticum aestivum) in a semi-arid environment. Agric. Water Manag. 2010, 97, 738–748. [Google Scholar] [CrossRef]
- Gathala, M.K.; Kumar, V.; Sharma, P.C.; Saharawat, Y.S.; Jat, H.S.; Singh, M.; Kumar, A.; Jat, M.L.; Humphreys, E.; Sharma, D.K.; et al. Optimizing intensive cereal-based cropping systems addressing current and future drivers of agricultural change in the North-Western Indo-Gangetic Plains of India. Agric. Ecosyst. Environ. 2013, 177, 85–97. [Google Scholar] [CrossRef]
- Jat, H.S.; Gurbachan, S.; Singh, R.; Choudhary, M.; Jat, M.L.; Gathala, M.K.; Sharma, D.K. Management influence on maize-wheat system performance, water productivity and soil biology. Soil Use Manag. 2015, 31, 534–543. [Google Scholar] [CrossRef]
- SAS Institute Inc. SAS/STAT® 9.4 Interface to North Carolina State University-SFA-T: Reference; SAS Institute Inc.: Cary, NC, USA, 2013. [Google Scholar]
- Bera, T.S.; Sharma, S.; Thind, H.S.; Singh, Y.; Sidhu, H.S.; Jat, M.L. Soil biochemical changes at different wheat growth stages in response to conservation agriculture practices in rice-wheat system of north-western India. Soil Res. 2017, 56, 91–104. [Google Scholar] [CrossRef]
- Gupta, D.K.; Bhatiaa, A.; Kumar, A.; Das, T.K.; Jain, N.; Tomar, R.; Sandeep, K.M.; Fagodiy, R.K.; Dubey, R.; Pathak, H. Mitigation of greenhouse gas emission from rice-wheat system of the Indo-Gangetic plains: Through tillage, irrigation and fertilizer management. Agric. Ecosyst. Environ. 2016, 230, 1–9. [Google Scholar] [CrossRef]
- Saharawat, Y.S.; Singh, B.; Malik, R.K.; Ladha, J.K.; Gathala, M.; Jat, M.L.; Kumar, V. Evaluation of alternative tillage and crop establishment methods in a rice-wheat rotation in North Western IGP. Field Crops Res. 2010, 116, 260–267. [Google Scholar] [CrossRef]
- Gathala, M.K.; Ladha, J.K.; Saharawat, Y.S.; Kumar, V.; Kumar, V.; Sharma, P.K. Effect of tillage and crop establishment methods on physical properties of a medium-textured soil under a seven-year rice-wheat rotation. Soil Sci. Soc. Am. J. 2011, 75, 1851–1862. [Google Scholar] [CrossRef]
- Ram, H. Micro-Environment and Productivity of Maize-Wheat and Soybean-Wheat Sequences in Relation to Tillage and Planting Systems. Ph.D. Dissertation, Punjab Agricultural University, Ludiana, Punjab, India, 2006. [Google Scholar]
- Kumar, V.; Saharawa, Y.S.; Gathala, M.K.; Jat, A.S.; Singh, S.K.; Chaudhary, N.; Jat, M.L. Effect of different tillage and seeding methods on energy use efficiency and productivity of wheat in Indo-Gangetic plains. Field Crops Res. 2013, 142, 1–8. [Google Scholar] [CrossRef]
- Kumar, A.; Saini, K.S.; Rolaniya, L.K.; Singh, L.K.; Kaushik, P. Root System Architecture and Symbiotic Parameters of Summer Mung Bean (Vigna radiata) under Different Conservation Agriculture Practices. Sustainability 2022, 14, 3901. [Google Scholar] [CrossRef]
- Reddy, A.S.; Bhardwaj, R.B.L. Effect of nitrogen and phosphorus on growth and yield of wheat under limited and adequate irrigation. Indian J. Agron. 1984, 29, 505–509. [Google Scholar]
- Erenstein, O.; Laxmi, V. Zero tillage impacts in India’s R-W systems: A review. Soil Tillage Res. 2008, 100, 1–14. [Google Scholar] [CrossRef]
- Sidhu, H.S.; Singh, M.; Singh, Y.; Blackwell, J.; Lohan, S.K.; Humphreys, E.; Jat, M.L.; Singh, V.; Singh, S. Development and evaluation of the Turbo Happy Seeder for sowing wheat into heavy rice residues in NW India. Field Crops Res. 2015, 184, 201–212. [Google Scholar] [CrossRef]
- Ram, H.; Singh, Y.; Saini, K.S.; Kler, D.S.; Timsina, J.; Humphreys, E. Tillage and planting methods effects on yield, water use efficiency and profitability of soybean–wheat system on a loamy sand soil. Exp. Agric. 2013, 48, 1–19. [Google Scholar]
- Sidhu, H.S.; Jat, M.L.; Singh, Y.; Sidhu, R.K.; Gupta, N.; Singh, P.; Singh, P.; Jat, H.S.; Gerard, B. Sub-surface drip fertigation with conservation agriculture in a rice-wheat system: A breakthrough for addressing water and nitrogen use efficiency. Agric. Water Manag. 2019, 216, 273–283. [Google Scholar] [CrossRef]
- Kakraliya, S.K.; Sutaliya, J.M.; Singh, L.K.; Singh, I.; Jat, H.S.; Jat, M.L. Developing portfolios of climate smart agriculture practices for a rice-wheat cropping system in Western Indo-Gangetic plains of South Asia. In Proceedings of the 4th International Agronomy Congress, New Delhi, India, 22–26 November 2016; Volume 1, pp. 88–89. [Google Scholar]
- Aryal, J.P.; Sapkota, T.B.; Stirling, C.M.; Jat, M.L.; Jat, H.S.; Rai, M.; Mittal, S.; Sutaliya, J.M. Conservation agriculture-based wheat production better copes with extreme climate events than conventional tillage-based systems: A case of untimely excess rainfall in Haryana, India. Agric. Ecosyst. Environ. 2016, 233, 325–335. [Google Scholar] [CrossRef]
- Jat, R.K.; Sapkota, T.B.; Singh, R.G.; Jat, M.L.; Kumar, M.; Gupta, R.K. Seven years of conservation agriculture in a rice–wheat rotation of Eastern Gangetic Plains of South Asia: Yield trends and economic profitability. Field Crop Res. 2014, 164, 199–210. [Google Scholar] [CrossRef]
- Farooq, M.; Nawaz, A. Weed dynamics and productivity of wheat in conventional and conservation rice-based cropping systems. Soil Tillage Res. 2014, 141, 1–9. [Google Scholar] [CrossRef]
- Saharawat, Y.S.; Ladha, J.K.; Pathak, H.; Gathala, M.; Chaudhary, N.; Jat, M.L. Simulation of resource-conserving technologies on productivity, income and greenhouse gas (GHG) emission in rice-wheat system. J. Soil Sci. Environ. 2012, 3, 9–22. [Google Scholar]
- Busari, M.A.; Kukal, S.S.; Kaur, A.; Bhatt, R.; Dulazi, A.A. Conservation tillage impacts on soil, crop and the environment. Int. Soil Water Conser. Res. 2015, 3, 119–129. [Google Scholar] [CrossRef]
- Malik, R.K.; Yadav, A.; Singh, S. Resource conservation technologies for maintaining health of natural resources in ricewheat cropping system. In Proceedings of the Workshop on Sustaining Agriculture: Problems and Prospects, November 2004; Punjab Agricultural University: Ludhiana, India, 2004; pp. 9–11. [Google Scholar]
- Sayre, K.D.; Moreno-Ramos, O.H. Applications of Raised-Bed Planting Systems to Wheat; International Wheat Special Report; CIMMYT: Mexico City, Mexico, 1997; Volume 31, p. 28. [Google Scholar]
- Bijarniya, D.; Parihar, C.M.; Jat, R.K.; Kalvania, K.; Kakraliya, S.K.; Jat, M.L. Portfolios of climate smart agriculture practices in smallholder Rice-Wheat systemof eastern Indo-Gangetic Plains-crop productivity, Resource Use Efficiency and Environmental Foot Prints. Agronomy 2020, 10, 1561. [Google Scholar] [CrossRef]
- Sapkota, T.B.; Majumdar, K.; Jat, M.L.; Kumara, A.; Bishnoi, D.K.; McDonaldd, A.J.; Pampolino, M. Precision nutrient management in conservation agriculture based wheat production of Northwest India: Profitability, nutrient use efficiency and environmental footprint. Field Crops Res. 2014, 155, 233–244. [Google Scholar] [CrossRef]
- Seema, S.; Singh, D.K.; Pandey, P.C. Productivity and economic of aerobic rice and soil bulk density under conservation tillage. Am. Int. J. Res. Form. Appl. Nat. Sci. 2015, 9, 36–40. [Google Scholar]
- Choudhary, K.M. Diversification with Sustainable Intensification Options for Cereal Systems of Western Indo-Gangetic Plains through Conservation Agriculture and Water Management. Ph.D. Thesis, Department of Agronomy, CCS HAU, Hisar, India, 2016. [Google Scholar]
- Jat, M.L.; Gathala, M.K.; Ladha, J.K.; Saharawat, Y.S.; Jat, A.S.; Kumar, V.; Sharma, S.K.; Kumar, V.; Gupta, R. Evaluation of precision land leveling and double zerotill systems in the rice–wheat rotation: Water use productivity, profitability and soil physical properties. Soil Tillage Res. 2009, 105, 112–121. [Google Scholar] [CrossRef]
- Choudhary, R.; Singh, P.; Sidhu, H.S.; Nandal, D.P.; Jat, H.S.; Singh, Y.; Jat, M.L. Evaluation of tillage and crop establishment methods integrated with relay seeding of wheat and Mungbean for sustainable intensification of cotton-wheat system in South Asia. Field Crops Res. 2016, 199, 31–41. [Google Scholar] [CrossRef]
- Jat, R.K.; Bijarniya, D.; Kakraliya, S.K.; Sapkota, T.S.; Kakraliya, M.; Jat, M.L. Precision Nutrient Rates and Placement in Conservation Maize-Wheat System: Effects on Crop Productivity, Profitability, Nutrient-Use Efficiency, and Environmental Footprints. Agronomy 2021, 11, 2320. [Google Scholar] [CrossRef]
- Gora, M.K.; Kumar, S.; Jat, H.S.; Kakraliya, S.K.; Choudhary, M.; Dhaka, A.K.; Jat, R.D.; Kakraliya, M.; Sharma, P.C.; Jat, M.L. Scalable diversifcation options delivers sustainable and nutritious food in Indo-Gangetic plains. Sci. Rep. 2022, 12, 14371. [Google Scholar] [CrossRef]




| Scenario | Cropping System | Residue Management Kharif/Rabi/Zaid | Irrigation Management | Nutrient Requirement |
|---|---|---|---|---|
| R/M/SWSM | ||||
| R-W-SM (R0)-Sc1 | Farmers’ practice puddled transplanted rice (PTR) —conventional—till wheat—summer moong | All residues removed | Recommended Practice | Farmers’ fertilizer practice |
| R-W-SM (R+)-Sc2 | Partial CA puddled transplanted rice—Happy Seeder wheat—zero-till summer moong (ZT) | 20–25% wheat residue—100% SM residue—100% rice residue | 20 ± 1 kpa 40 ± 1 kpa 40 ± 1 kpa | 80%RDF + N management with green seeker |
| M-W-SM (R0)-Sc3 | Farmers’ practice fresh-bed maize (FB) —conventional-till wheat—summer moong | All residues removed | Recommended Practice | State fertilizer recommended practice |
| M-W-SM (R+)-Sc4 | Full CA permanent-bed maize (PB) —permanent-bed wheat (PB) —permanent-bed summer moong (PB) | 20–25% wheat residue—100% SM residue—50–60% maize residue | 50 ± 1 kpa 40 ± 1 kpa 40 ± 1 kpa | 80%RDF + N management with green seeker |
| S-W-SM (R0)-Sc5 | Farmers’ practice fresh-bed soybean (FB) —conventional-till wheat (CT) —summer moong | All residues removed | Recommended Practice | State fertilizer recommendedpractice |
| S-W-SM (R+)-Sc6 | Full CA permanent—bed soybean (PB) —permanent-bed wheat(PB) —permanent-bed summer moong (PB) | 20–25% wheat residue—100% SM residue—100% soybean | 50 ± 1 kpa 40 ± 1 kpa 40 ± 1 kpa | 80%RDF + N management with green seeker |
| Scenario | Spike Length (cm) | Number of Grains/Spike | Effective Tillers (m−2) | 1000 Grain wt. (g) | Harvest Index (%) | |||||
|---|---|---|---|---|---|---|---|---|---|---|
| 2019–20 | 2020–21 | 2019–20 | 2020–21 | 2019–20 | 2020–21 | 2019–20 | 2020–21 | 2019–20 | 2020–21 | |
| R-W-SM (R0)-Sc1 | 8.9b | 9.2c | 46.0b | 47.0b | 321.3d | 329.2c | 38.6c | 39.9b | 38.6 | 39.0 |
| R-W-SM (R+)-Sc2 | 9.4ab | 9.7bc | 47.2ab | 49.0ab | 344.2bcd | 358.1ab | 39.1bc | 40.7b | 38.8 | 39.3 |
| M-W-SM (R0)-Sc3 | 9.2b | 9.4c | 47.7ab | 48.0ab | 335.5ab | 353.9abc | 38.7c | 40.0b | 38.9 | 38.7 |
| M-W-SM (R+)-Sc4 | 9.9a | 10.2ab | 48.5a | 50.5a | 353.4abc | 368.5a | 40.3b | 43.8a | 37.7 | 39.4 |
| S-W-SM (R0)-Sc5 | 9.2b | 9.5c | 48.7a | 48.6ab | 325.9cd | 335.4bc | 39.0bc | 39.8b | 39.2 | 39.5 |
| S-W-SM (R+)-Sc6 | 10.0a | 10.4a | 49.2a | 51.0a | 370.5a | 377.4a | 42.6a | 44.6a | 38.5 | 38.8 |
| Scenario | Grain Yield (q ha−1) | IWP (kg Grain m−3) | Net Return (Rs. ha−1) | B:C Ratio | ||||
|---|---|---|---|---|---|---|---|---|
| 2019–20 | 2020–21 | 2019–20 | 2020–21 | 2019–20 | 2020–21 | 2019–20 | 2020–21 | |
| R-W-SM (R0)-Sc1 | 47.4b | 48.9c | 1.26d | 1.08c | 72,565 | 80,247 | 1.84 | 1.93 |
| R-W-SM (R+)-Sc2 | 50.3ab | 52.7ab | 1.67c | 1.40b | 75,956 | 86,614 | 2.18 | 2.40 |
| M-W-SM (R0)-Sc3 | 48.3b | 49.2c | 1.28d | 1.09c | 74,282 | 81,045 | 1.88 | 1.95 |
| M-W-SM (R+)-Sc4 | 50.1ab | 54.7a | 2.50b | 2.19a | 76,284 | 91,331 | 2.19 | 2.53 |
| S-W-SM (R0)-Sc5 | 49.5b | 51.5bc | 1.24d | 1.14c | 76,852 | 86,015 | 1.95 | 2.07 |
| S-W-SM (R+)-Sc6 | 52.8a | 55.4a | 2.64a | 2.21a | 81,624 | 93,408 | 2.35 | 2.59 |
| Scenario | Nitrogen Uptake (kg ha−1) | Phosphorus Uptake (kg ha−1) | Potassium Uptake (kg ha−1) | |||||||||
|---|---|---|---|---|---|---|---|---|---|---|---|---|
| Grain | Straw | Grain | Straw | Grain | Straw | |||||||
| 2019–20 | 2020–21 | 2019–20 | 2020–21 | 2019–20 | 2020–21 | 2019–20 | 2020–21 | 2019–20 | 2020–21 | 2019–20 | 2020–21 | |
| R-W-SM (R0)-Sc1 | 80.9d | 84.24c | 35.5e | 35.2d | 16.3c | 17.1e | 3.9d | 4.1d | 20.9c | 22.0de | 122.3d | 124.9d |
| R-W-SM (R+)-Sc2 | 87.5ab | 91.75b | 41.2c | 39.0c | 17.8b | 18.9c | 4.3c | 4.5c | 22.7b | 25.3c | 129.1bc | 133.9c |
| M-W-SM (R0)-Sc3 | 82.2cd | 84.1c | 37.1de | 36.5d | 16.1c | 16.7e | 4.0d | 4.2d | 19.8d | 21.2e | 122.0d | 124.3d |
| M-W-SM (R+)-Sc4 | 87.2b | 96.4a | 43.7b | 42.2b | 18.0b | 20.8b | 4.6b | 4.9b | 23.1b | 27.4b | 135.3ab | 140.9b |
| S-W-SM (R0)-Sc5 | 85.8bc | 89.7b | 38.4d | 38.5c | 16.4c | 18.0d | 3.9d | 4.1d | 22.8b | 22.7d | 122.9cd | 126.6d |
| S-W-Sm (R+)-Sc6 | 91.7a | 98.2a | 45.5a | 44.5a | 20.1a | 22.2a | 4.9a | 5.2a | 25.3a | 28.8a | 139.9a | 148.3a |
Disclaimer/Publisher’s Note: The statements, opinions and data contained in all publications are solely those of the individual author(s) and contributor(s) and not of MDPI and/or the editor(s). MDPI and/or the editor(s) disclaim responsibility for any injury to people or property resulting from any ideas, methods, instructions or products referred to in the content. |
© 2023 by the authors. Licensee MDPI, Basel, Switzerland. This article is an open access article distributed under the terms and conditions of the Creative Commons Attribution (CC BY) license (https://creativecommons.org/licenses/by/4.0/).
Share and Cite
Kumar, A.; Saini, K.S.; Dasila, H.; Kumar, R.; Devi, K.; Bisht, Y.S.; Yadav, M.; Kothiyal, S.; Chilwal, A.; Maithani, D.; et al. Sustainable Intensification of Cropping Systems under Conservation Agriculture Practices: Impact on Yield, Productivity and Profitability of Wheat. Sustainability 2023, 15, 7468. https://doi.org/10.3390/su15097468
Kumar A, Saini KS, Dasila H, Kumar R, Devi K, Bisht YS, Yadav M, Kothiyal S, Chilwal A, Maithani D, et al. Sustainable Intensification of Cropping Systems under Conservation Agriculture Practices: Impact on Yield, Productivity and Profitability of Wheat. Sustainability. 2023; 15(9):7468. https://doi.org/10.3390/su15097468
Chicago/Turabian StyleKumar, Arun, Kulvir Singh Saini, Hemant Dasila, Rakesh Kumar, Kavita Devi, Yashpal Singh Bisht, Manish Yadav, Shivani Kothiyal, Aaradhana Chilwal, Damini Maithani, and et al. 2023. "Sustainable Intensification of Cropping Systems under Conservation Agriculture Practices: Impact on Yield, Productivity and Profitability of Wheat" Sustainability 15, no. 9: 7468. https://doi.org/10.3390/su15097468
APA StyleKumar, A., Saini, K. S., Dasila, H., Kumar, R., Devi, K., Bisht, Y. S., Yadav, M., Kothiyal, S., Chilwal, A., Maithani, D., & Kaushik, P. (2023). Sustainable Intensification of Cropping Systems under Conservation Agriculture Practices: Impact on Yield, Productivity and Profitability of Wheat. Sustainability, 15(9), 7468. https://doi.org/10.3390/su15097468

