China’s Green Total Factor Energy Efficiency Assessment Based on Coordinated Reduction in Pollution and Carbon Emission: From the 11th to the 13th Five-Year Plan
Abstract
1. Introduction
2. Methods and Data
2.1. DEA Model Based on the NDDF
2.2. Global Malmquist–Luenberger Index
2.3. Indicators and Data
2.3.1. Air Pollutant Indicators
2.3.2. CO2 Emission Indicators
2.3.3. Other Input-Output Indicators
3. Results and Discussions
3.1. Undesirable Output Indicator Selection and Comparison
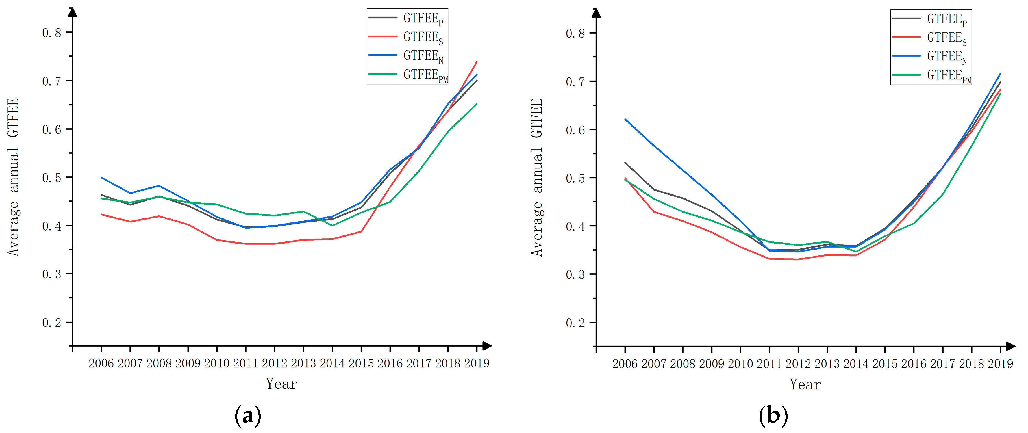
3.2. Global Static GTFEE Analysis
3.3. GML Index and Its Decomposition Analysis
3.4. Analysis of Ranking Changes
4. Conclusions
- When assessing GTFEE, different air pollutant indicators have different inefficiency values. Use of the composite indicator to refer to air pollutants yields more robust results.
- During the study period, the national average annual efficiency level was low (highest value of 0.57 and lowest value of 0.32) and showed a decreasing and then increasing trend. The GTFEE showed a decreasing trend during the 11th Five-Year Plan period, although the energy inefficiency values decreased. The environmental (undesirable outputs) inefficiency values, on the other hand, started to decline only during the 12th Five-Year Plan period and 13th Five-Year Plan period.
- The change in the GML index varies by region, with the eastern and central regions having the lowest GTFEE in 2011, the western region having the lowest value in 2014, and all regions relying mainly on technological progress for efficiency improvements. Average TC tends to be higher in the eastern provinces. Although the provinces in the central region are mostly experiencing technological progress (average TC higher than 1), they are still not at the national average level. In the provinces in the western region are also mostly experiencing technological progress, their efficiency improvement (EC) rate is not as high as that in the eastern and central provinces, and the GTFEE is low in comparison.
- Changes in the ranking of the provinces occurred mainly during the 11th to 12th Five-Year Plan period. The western provinces have not improved as quickly as provinces in the eastern and central regions, resulting in a decline in the ranking of most of the western provinces.
Author Contributions
Funding
Institutional Review Board Statement
Informed Consent Statement
Data Availability Statement
Conflicts of Interest
References
- Kinney, P.L. Interactions of Climate Change, Air Pollution, and Human Health. Curr. Environ. Health Rep. 2018, 5, 179–186. [Google Scholar] [CrossRef] [PubMed]
- Guan, Y.; Shan, Y.; Huang, Q.; Chen, H.; Wang, D.; Hubacek, K. Assessment to China’s Recent Emission Pattern Shifts. Earth’s Future 2021, 9, e2021E–e2241E. [Google Scholar] [CrossRef]
- Ang, B.W.; Mu, A.R.; Zhou, P. Accounting frameworks for tracking energy efficiency trends. Energy Econ. 2010, 32, 1209–1219. [Google Scholar] [CrossRef]
- Shan, Y.; Guan, D.; Zheng, H.; Ou, J.; Li, Y.; Meng, J.; Mi, Z.; Liu, Z.; Zhang, Q. China CO2 emission accounts 1997–2015. Sci. Data 2018, 5, 170201. [Google Scholar] [CrossRef]
- Li, M.; Liu, H.; Geng, G.; Hong, C.; Liu, F.; Song, Y.; Tong, D.; Zheng, B.; Cui, H.; Man, H.; et al. Anthropogenic emission inventories in China: A review. Natl. Sci. Rev. 2017, 4, 834–866. [Google Scholar] [CrossRef]
- Shi, Y.; Xia, Y.; Lu, B.; Liu, N.; Zhang, L.; Li, S.; Li, W. Emission inventory and trends of NOx for China, 2000–2020. J. Zhejiang Univ. A Sci. 2014, 15, 454–464. [Google Scholar] [CrossRef]
- Zhao, B.; Wang, S.X.; Liu, H.; Xu, J.Y.; Fu, K.; Klimont, Z.; Hao, J.M.; He, K.B.; Cofala, J.; Amann, M. NOx emissions in China: Historical trends and future perspectives. Atmos. Chem. Phys. 2013, 13, 9869–9897. [Google Scholar] [CrossRef]
- Zhou, P.; Ang, B.W.; Wang, H. Energy and CO2 emission performance in electricity generation: A non-radial directional distance function approach. Eur. J. Oper. Res. 2012, 221, 625–635. [Google Scholar] [CrossRef]
- Wang, Q.; Su, B.; Sun, J.; Zhou, P.; Zhou, D. Measurement and decomposition of energy-saving and emissions reduction performance in Chinese cities. Appl. Energy 2015, 151, 85–92. [Google Scholar] [CrossRef]
- Li, G.; Gao, D.; Li, Y. Dynamic environmental regulation threshold effect of technical progress on green total factor energy efficiency: Evidence from China. Environ. Sci. Pollut. Res. 2022, 29, 8804–8815. [Google Scholar] [CrossRef]
- Gao, D.; Li, Y.; Li, G. Boosting the green total factor energy efficiency in urban China: Does low-carbon city policy matter? Environ. Sci. Pollut. Res. 2022, 29, 56341–56356. [Google Scholar] [CrossRef] [PubMed]
- Zhang, C.; Luo, H. Analysis of coordination between urban compactness and green total factor energy efficiency: A case study of 35 cities in China. Environ. Sci. Pollut. Res. 2022, 29, 59190–59210. [Google Scholar] [CrossRef]
- Ren, S.; Hao, Y.; Wu, H. The role of outward foreign direct investment (OFDI) on green total factor energy efficiency: Does institutional quality matters? Evidence from China. Resour. Policy 2022, 76, 102587. [Google Scholar] [CrossRef]
- Wang, K.; Yu, S.; Zhang, W. China’s regional energy and environmental efficiency: A DEA window analysis based dynamic evaluation. Math. Comput. Model. 2013, 58, 1117–1127. [Google Scholar] [CrossRef]
- Hou, Y.M.; Iqbal, W.; Shaikh, G.M.; Iqbal, N.; Solangi, Y.A.; Fatima, A. Measuring Energy Efficiency and Environmental Performance: A Case of South Asia. Processes 2019, 7, 325. [Google Scholar] [CrossRef]
- Gokgoz, F.; Erkul, E. Investigating the energy efficiencies of European countries with super efficiency model and super SBM approaches. Energy Effic. 2019, 12, 601–618. [Google Scholar] [CrossRef]
- Suzuki, S.; Nijkamp, P.; Rietveld, P. A target-oriented data envelopment analysis for energy-environment efficiency improvement in Japan. Energy Effic. 2015, 8, 433–446. [Google Scholar] [CrossRef]
- Honma, S.; Hu, J.L. Industry-level total-factor energy efficiency in developed countries: A Japan-centered analysis. Appl. Energy 2014, 119, 67–78. [Google Scholar] [CrossRef]
- Qin, Q.; Li, X.; Li, L.; Zhen, W.; Wei, Y. Air emissions perspective on energy efficiency: An empirical analysis of China’s coastal areas. Appl. Energy 2017, 185, 604–614. [Google Scholar] [CrossRef]
- Hu, J.; Wang, S. Total-factor energy efficiency of regions in China. Energy Policy 2006, 34, 3206–3217. [Google Scholar] [CrossRef]
- Yeh, T.L.; Chen, T.Y.; Lai, P.Y. Incorporating greenhouse gas effects to evaluate energy efficiency in China. Int. J. Sustain. Dev. World Ecol. 2010, 17, 370–376. [Google Scholar] [CrossRef]
- Song, M.; An, Q.; Zhang, W.; Wang, Z.; Wu, J. Environmental efficiency evaluation based on data envelopment analysis: A review. Renew. Sustain. Energy Rev. 2012, 16, 4465–4469. [Google Scholar] [CrossRef]
- Gao, Y.; Zhang, M.; Zheng, J. Accounting and determinants analysis of China’s provincial total factor productivity considering carbon emissions. China Econ. Rev. 2021, 65, 101576. [Google Scholar] [CrossRef]
- Wang, K.; Wei, Y.; Zhang, X. Energy and emissions efficiency patterns of Chinese regions: A multi-directional efficiency analysis. Appl. Energy 2013, 104, 105–116. [Google Scholar] [CrossRef]
- Feng, Y.; Lu, C.; Lin, I.; Lin, J. Dynamic assessment of agro-industrial sector efficiency and productivity changes among G20 nations. Energy Environ. 2021, 34, 958305X–2110560X. [Google Scholar] [CrossRef]
- Zhang, N.; Wei, X. Dynamic total factor carbon emissions performance changes in the Chinese transportation industry. Appl. Energy 2015, 146, 409–420. [Google Scholar] [CrossRef]
- Zhang, N.; Wang, B.; Chen, Z. Carbon emissions reductions and technology gaps in the world’s factory, 1990–2012. Energy Policy 2016, 91, 28–37. [Google Scholar] [CrossRef]
- Fukuyama, H.; Weber, W. A directional slacks-based measure of technical efficiency. Socio-Econ. Plan. Sci. 2009, 43, 274–287. [Google Scholar] [CrossRef]
- Chambers, R.G.; Chung, Y.; Färe, R. Benefit and Distance Functions. J. Econ. Theory 1996, 70, 407–419. [Google Scholar] [CrossRef]
- Chang, T.P.; Hu, J.L. Total-factor energy productivity growth, technical progress, and efficiency change: An empirical study of China. Appl. Energy 2010, 87, 3262–3270. [Google Scholar] [CrossRef]
- Charnes, A.; Cooper, W.W.; Rhodes, E. Measuring the efficiency of decision making units. Eur. J. Oper. Res. 1978, 2, 429–444. [Google Scholar] [CrossRef]
- Banker, R.D.; Cooper, A. Some Models for Estimating Technical and Scale Inefficiencies in Data Envelopment Analysis. Manag. Sci. 1984, 30, 1078–1092. [Google Scholar] [CrossRef]
- Sueyoshi, T.; Goto, M.; Ueno, T. Performance analysis of US coal-fired power plants by measuring three DEA efficiencies. Energy Policy 2010, 38, 1675–1688. [Google Scholar] [CrossRef]
- Tone, K.; Tsutsui, M. An epsilon-based measure of efficiency in DEA—A third pole of technical efficiency. Eur. J. Oper. Res. 2010, 207, 1554–1563. [Google Scholar] [CrossRef]
- Faere, R.; Grosskopf, S.; Lovell, C.A.K.; Pasurka, C. Multilateral Productivity Comparisons When Some Outputs are Undesirable: A Nonparametric Approach. Rev. Econ. Stat. 1989, 71, 90–98. [Google Scholar] [CrossRef]
- Zhang, N.; Kong, F.; Choi, Y.; Zhou, P. The effect of size-control policy on unified energy and carbon efficiency for Chinese fossil fuel power plants. Energy Policy 2014, 70, 193–200. [Google Scholar] [CrossRef]
- Zhang, N.; Zhou, P.; Choi, Y. Energy efficiency, CO2 emission performance and technology gaps in fossil fuel electricity generation in Korea: A meta-frontier non-radial directional distance functionanalysis. Energy Policy 2013, 56, 653–662. [Google Scholar] [CrossRef]
- Zhang, N.; Zhou, P.; Kung, C. Total-factor carbon emission performance of the Chinese transportation industry: A bootstrapped non-radial Malmquist index analysis. Renew. Sustain. Energy Rev. 2015, 41, 584–593. [Google Scholar] [CrossRef]
- Caves, D.W.; Christensen, L.R.; Diewert, W.E. Multilateral Comparisons of Output, Input, and Productivity Using Superlative Index Numbers. Econ. J. 1982, 92, 73–86. [Google Scholar] [CrossRef]
- Chung, Y.H.; Färe, R.; Grosskopf, S. Productivity and Undesirable Outputs: A Directional Distance Function Approach. J. Env. Manag. 1997, 51, 229–240. [Google Scholar] [CrossRef]
- Pastor, J.T.; Lovell, C.A.K. A global Malmquist productivity index. Econ. Lett. 2005, 88, 266–271. [Google Scholar] [CrossRef]
- Zeng, A.; Mao, X.; Hu, T.; Xing, Y.; Gao, Y.; Zhou, J.; Qian, Y. Regional co-control plan for local air pollutants and CO2 reduction: Method and practice. J. Clean Prod. 2017, 140, 1226–1235. [Google Scholar] [CrossRef]
- Mao, X.; Zeng, A.; Hu, T.; Zhou, J.; Xing, Y.; Liu, S. Co-control of Local Air Pollutants and CO2 in the Chinese Iron and Steel Industry. Environ. Sci. Technol. 2013, 47, 12002–12010. [Google Scholar] [CrossRef] [PubMed]
- Mao, X.Q.; Zeng, A.; Hu, T.; Xing, Y.K.; Zhou, J.; Liu, Z.Y. Co-control of local air pollutants and CO2 from the Chinese coal-fired power industry. J. Clean Prod. 2014, 67, 220–227. [Google Scholar] [CrossRef]
- Zhang, Q.; Cai, B.; Wang, M.; Wang, J.; Xing, Y.; Dong, G.; Zhang, Z.; Mao, X. City level CO2 and local air pollutants co-control performance evaluation: A case study of 113 key environmental protection cities in China. Adv. Clim. Chang. Res. 2022, 13, 118–130. [Google Scholar] [CrossRef]
- Yang, X.; Teng, F. The air quality co-benefit of coal control strategy in China. Resour. Conserv. Recycl. 2018, 129, 373–382. [Google Scholar] [CrossRef]
- Alimujiang, A.; Jiang, P. Synergy and co-benefits of reducing CO2 and air pollutant emissions by promoting electric vehicles—A case of Shanghai. Energy Sustain. Dev. 2020, 55, 181–189. [Google Scholar] [CrossRef]
- Liu, Y.; Liao, W.; Lin, X.; Li, L.; Zeng, X. Assessment of Co-benefits of vehicle emission reduction measures for 2015–2020 in the Pearl River Delta region, China. Environ. Pollut. 2017, 223, 62–72. [Google Scholar] [CrossRef]
- Duan, L.; Hu, W.; Deng, D.; Fang, W.; Xiong, M.; Lu, P.; Li, Z.; Zhai, C. Impacts of reducing air pollutants and CO2 emissions in urban road transport through 2035 in Chongqing, China. Environ. Sci. Ecotechnol. 2021, 8, 100125. [Google Scholar] [CrossRef]
- Liu, L.; Liang, Q.; Creutzig, F.; Cheng, N.; Liu, L. Electricity end-use and construction activity are key leverage points for co-controlling greenhouse gases and local pollution in China. Clim. Chang. 2021, 167, 19. [Google Scholar] [CrossRef]
- Shan, Y.; Huang, Q.; Guan, D.; Hubacek, K. China CO2 emission accounts 2016–2017. Sci. Data 2020, 7, 54. [Google Scholar] [CrossRef]
- Shan, Y.; Liu, J.; Liu, Z.; Xu, X.; Shao, S.; Wang, P.; Guan, D. New provincial CO2 emission inventories in China based on apparent energy consumption data and updated emission factors. Appl. Energy 2016, 184, 742–750. [Google Scholar] [CrossRef]
- Shan, H. Reestimating the Capital Stock of China: 1952–2006. J. Quant. Technol. Econ. 2008, 25, 17–31. [Google Scholar]
- Wu, H.; Hao, Y.; Ren, S. How do environmental regulation and environmental decentralization affect green total factor energy efficiency: Evidence from China. Energy Econ. 2020, 91, 104880. [Google Scholar] [CrossRef]
- GB 13223-2011; Emission Standard of Air Pollutants for Thermal Power Plants. Ministry of Ecology and Environment of the People’s Republic of China: Beijing, China, 2011. Available online: https://std.samr.gov.cn/gb/search/gbDetailed?id=71F772D7DD42D3A7E05397BE0A0AB82A (accessed on 5 March 2023).
- GB 26453-2011; Emission Standard of Air Pollutants for Flat Glass Industry. Ministry of Ecology and Environment of the People’s Republic of China: Beijing, China, 2011. Available online: https://std.samr.gov.cn/gb/search/gbDetailed?id=71F772D7D9A1D3A7E05397BE0A0AB82A (accessed on 5 March 2023).
- GB 28662-2012; Emission Standard of Pollutants for Sintering and Pelletizing of Iron and Steel. Ministry of Ecology and Environment of the People’s Republic of China: Beijing, China, 2012. Available online: https://std.samr.gov.cn/gb/search/gbDetailed?id=71F772D800E6D3A7E05397BE0A0AB82A (accessed on 5 March 2023).
- GB 16171-2012; Emission Standard of Pollutants for Coking Chemical Industry. Ministry of Ecology and Environment of the People’s Republic of China: Beijing, China, 2012. Available online: https://std.samr.gov.cn/gb/search/gbDetailed?id=71F772D7E6EED3A7E05397BE0A0AB82A (accessed on 5 March 2023).
- GB 28663-2012; Emission Standard of Air Pollutants for Iron Smelt Industry. Ministry of Ecology and Environment of the People’s Republic of China: Beijing, China, 2012. Available online: https://std.samr.gov.cn/gb/search/gbDetailed?id=71F772D7E154D3A7E05397BE0A0AB82A (accessed on 5 March 2023).
- GB 28664-2012; Emission Standard of Air Pollutants for Steel Smelt Industry. Ministry of Ecology and Environment of the People’s Republic of China: Beijing, China, 2012. Available online: https://std.samr.gov.cn/gb/search/gbDetailed?id=71F772D7E153D3A7E05397BE0A0AB82A (accessed on 5 March 2023).
- GB 28665-2012; Emission Standard of Air Pollutants for Steel Rolling Industry. Ministry of Ecology and Environment of the People’s Republic of China: Beijing, China, 2012. Available online: https://std.samr.gov.cn/gb/search/gbDetailed?id=71F772D7E156D3A7E05397BE0A0AB82A (accessed on 5 March 2023).
- GB 29495-2013; Emission Standard of Air Pollutants for Electronic Glass Industry. Ministry of Ecology and Environment of the People’s Republic of China: Beijing, China, 2013. Available online: https://std.samr.gov.cn/gb/search/gbDetailed?id=71F772D803FFD3A7E05397BE0A0AB82A (accessed on 5 March 2023).
- Hao, Y.; Gai, Z.; Wu, H. How do resource misallocation and government corruption affect green total factor energy efficiency? Evidence from China. Energy Policy 2020, 143, 111562. [Google Scholar] [CrossRef]
- Lin, B.; Du, K. Technology gap and China’s regional energy efficiency: A parametric metafrontier approach. Energy Econ. 2013, 40, 529–536. [Google Scholar] [CrossRef]








| Air Pollutants | Conversion Coefficient | Value |
|---|---|---|
| SO2 | 1/ | |
| NOX | 1/ | |
| PM | 1/ |
| GTFEE | Inputs | Desirable Output | Undesirable Outputs | |||
|---|---|---|---|---|---|---|
| Greenhouse Gas | Air Pollutant | |||||
| GTFEEP | Capital | Labor force | Energy | GDP | CO2 emissions | Air pollution equivalent value |
| GTFEES | Capital | Labor force | Energy | GDP | CO2 emissions | SO2 emissions |
| GTFEEN | Capital | Labor force | Energy | GDP | CO2 emissions | NOX emissions |
| GTFEEPM | Capital | Labor force | Energy | GDP | CO2 emissions | PM emissions |
| Inputs and Outputs | Year | 2006 | 2010 | 2015 | 2019 |
|---|---|---|---|---|---|
| Capital | Mean | 1364.92 | 2921.85 | 6497.86 | 9894.93 |
| (billion RMB) | Std. Dev. | 1046.70 | 1982.08 | 4093.22 | 6453.72 |
| Max | 3901.45 | 8027.84 | 17,276.27 | 25,874.06 | |
| Min | 105.27 | 310.89 | 918.80 | 1531.73 | |
| Labor force | Mean | 24.18 | 25.85 | 27.66 | 27.50 |
| (million people) | Std. Dev. | 16.49 | 17.51 | 18.27 | 18.12 |
| Max | 59.60 | 64.02 | 66.42 | 71.50 | |
| Min | 2.94 | 3.08 | 3.21 | 3.30 | |
| Energy | Mean | 96.85 | 129.84 | 146.92 | 163.11 |
| (million tce) | Std. Dev. | 62.73 | 81.72 | 89.39 | 96.32 |
| Max | 267.59 | 348.08 | 393.32 | 413.90 | |
| Min | 9.20 | 13.59 | 19.16 | 22.64 | |
| GDP | Mean | 735.63 | 1162.98 | 1816.65 | 2380.64 |
| (billion RMB) | Std. Dev. | 610.63 | 954.87 | 1458.49 | 1916.58 |
| Max | 2596.12 | 4078.83 | 6149.18 | 8059.91 | |
| Min | 58.52 | 92.39 | 151.31 | 198.70 | |
| Pollutant emissions | Mean | 1732.29 | 1611.94 | 1534.68 | 756.20 |
| (kilotons of pollutant equivalents) | Std. Dev. | 1012.97 | 889.67 | 898.70 | 435.56 |
| Max | 3793.95 | 3367.36 | 3601.40 | 1617.62 | |
| Min | 97.00 | 96.14 | 137.57 | 69.12 | |
| CO2 | Mean | 206.60 | 286.62 | 327.72 | 362.72 |
| (million tCO2) | Std. Dev. | 141.57 | 191.00 | 210.29 | 243.85 |
| Max | 605.51 | 795.49 | 854.46 | 937.12 | |
| Min | 19.19 | 28.93 | 42.28 | 43.07 | |
| SO2 | Mean | 862.20 | 728.26 | 619.53 | 152.32 |
| (kiloton) | Std. Dev. | 510.46 | 411.50 | 363.32 | 94.74 |
| Max | 1962.00 | 1537.80 | 1525.70 | 352.40 | |
| Min | 24.00 | 28.80 | 32.30 | 1.90 | |
| NOX | Mean | 507.93 | 617.50 | 615.25 | 409.92 |
| (kiloton) | Std. Dev. | 357.84 | 390.20 | 363.76 | 268.95 |
| Max | 1247.00 | 1408.00 | 1423.90 | 1093.30 | |
| Min | 59.00 | 56.00 | 89.50 | 48.70 | |
| PM | Mean | 632.30 | 425.87 | 512.10 | 358.32 |
| (kiloton) | Std. Dev. | 426.48 | 249.17 | 379.05 | 226.50 |
| Max | 1704.00 | 986.00 | 1575.40 | 957.60 | |
| Min | 21.00 | 15.00 | 20.40 | 15.40 |
| Industry | Standard Number | Standard Name |
|---|---|---|
| Thermal Power Plant | GB 13223-2011 | Emission standard of air pollutants for thermal power plants [55] |
| Flat Glass | GB 26453-2011 | Emission standard of air pollutants for flat glass industry [56] |
| Sintering | GB 28662-2012 | Emission standard of pollutants for sintering and pelletizing of iron and steel [57] |
| Coking | GB 16171-2012 | Emission standard of pollutants for coking chemical industry [58] |
| Ironmaking | GB 28663-2012 | Emission standard of air pollutants for iron smelt industry [59] |
| Steelmaking | GB 28664-2012 | Emission standard of air pollutants for steel smelt industry [60] |
| Steel Rolling | GB 28665-2012 | Emission standard of air pollutants for steel rolling industry [61] |
| Electronic Glass | GB 29495-2013 | Emission standard of air pollutants for electronic glass industry [62] |
| Province | Area | GTFEEP Rank | |||
|---|---|---|---|---|---|
| 11th Five-Year Plan | 12th Five-Year Plan | 13th Five-Year Plan | Ranking Changes * | ||
| Beijing | East | 9 | 2 | 2 | 7 |
| Fujian | East | 8 | 8 | 10 | −2 |
| Guangdong | East | 4 | 1 | 7 | −3 |
| Hainan | East | 1 | 5 | 5 | −4 |
| Hebei | East | 23 | 23 | 26 | −3 |
| Jiangsu | East | 13 | 14 | 12 | 1 |
| Liaoning | East | 25 | 24 | 25 | 0 |
| Shandong | East | 19 | 17 | 20 | −1 |
| Shanghai | East | 21 | 6 | 3 | 18 |
| Tianjin | East | 22 | 19 | 6 | 16 |
| Zhejiang | East | 12 | 9 | 15 | −3 |
| East average | 14.3 | 11.6 | 11.9 | 2.4 | |
| Anhui | Central | 2 | 3 | 1 | 1 |
| Henan | Central | 15 | 11 | 4 | 11 |
| Heilongjiang | Central | 20 | 18 | 21 | −1 |
| Hubei | Central | 10 | 12 | 16 | −6 |
| Hunan | Central | 7 | 7 | 14 | −7 |
| Jilin | Central | 27 | 25 | 13 | 14 |
| Jiangxi | Central | 3 | 4 | 8 | −5 |
| Shanxi | Central | 28 | 28 | 27 | 1 |
| Central average | 14.0 | 13.5 | 13.0 | 1.0 | |
| Gansu | West | 11 | 21 | 22 | −11 |
| Guangxi | West | 5 | 13 | 17 | −12 |
| Guizhou | West | 16 | 22 | 23 | −7 |
| Inner Mongolia | West | 30 | 29 | 24 | 6 |
| Ningxia | West | 29 | 30 | 30 | −1 |
| Qinghai | West | 26 | 26 | 28 | −2 |
| Shaanxi | West | 17 | 20 | 19 | −2 |
| Sichuan | West | 6 | 10 | 11 | −5 |
| Xinjiang | West | 24 | 27 | 29 | −5 |
| Yunnan | West | 14 | 15 | 18 | −4 |
| Chongqing | West | 18 | 16 | 9 | 9 |
| West average | 17.8 | 20.8 | 20.9 | −3.1 | |
Disclaimer/Publisher’s Note: The statements, opinions and data contained in all publications are solely those of the individual author(s) and contributor(s) and not of MDPI and/or the editor(s). MDPI and/or the editor(s) disclaim responsibility for any injury to people or property resulting from any ideas, methods, instructions or products referred to in the content. |
© 2023 by the authors. Licensee MDPI, Basel, Switzerland. This article is an open access article distributed under the terms and conditions of the Creative Commons Attribution (CC BY) license (https://creativecommons.org/licenses/by/4.0/).
Share and Cite
Zheng, Z.; Xiao, W.; Cheng, Z. China’s Green Total Factor Energy Efficiency Assessment Based on Coordinated Reduction in Pollution and Carbon Emission: From the 11th to the 13th Five-Year Plan. Sustainability 2023, 15, 7301. https://doi.org/10.3390/su15097301
Zheng Z, Xiao W, Cheng Z. China’s Green Total Factor Energy Efficiency Assessment Based on Coordinated Reduction in Pollution and Carbon Emission: From the 11th to the 13th Five-Year Plan. Sustainability. 2023; 15(9):7301. https://doi.org/10.3390/su15097301
Chicago/Turabian StyleZheng, Zebin, Wenjun Xiao, and Ziye Cheng. 2023. "China’s Green Total Factor Energy Efficiency Assessment Based on Coordinated Reduction in Pollution and Carbon Emission: From the 11th to the 13th Five-Year Plan" Sustainability 15, no. 9: 7301. https://doi.org/10.3390/su15097301
APA StyleZheng, Z., Xiao, W., & Cheng, Z. (2023). China’s Green Total Factor Energy Efficiency Assessment Based on Coordinated Reduction in Pollution and Carbon Emission: From the 11th to the 13th Five-Year Plan. Sustainability, 15(9), 7301. https://doi.org/10.3390/su15097301
