Investigation of Viscoelastic Properties of Polymer-Modified Asphalt at Low Temperature Based on Gray Relational Analysis
Abstract
1. Introduction
2. Material and Methods
2.1. Materials
2.2. Test Methods
2.3. Flowchart
3. Results and Discussions
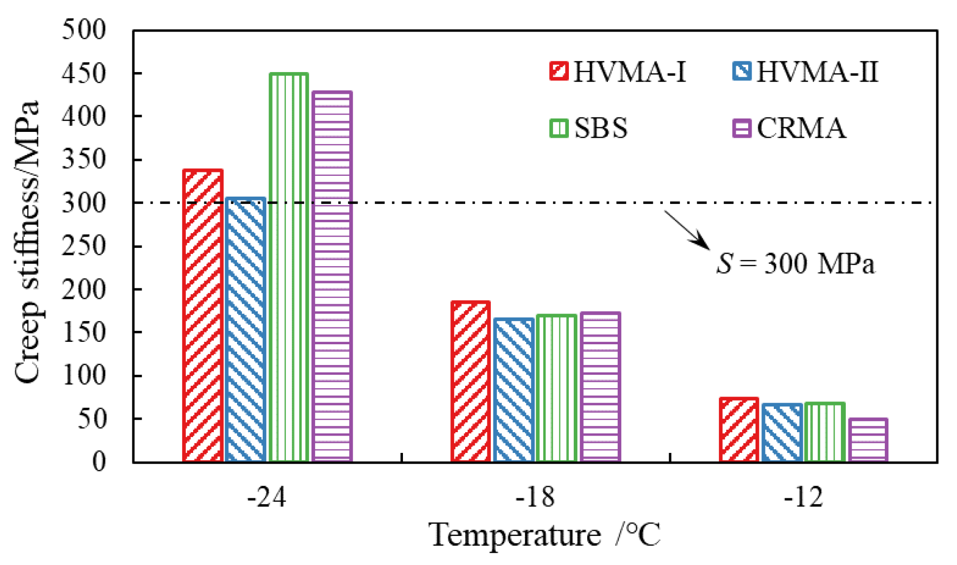
3.1. Creep Stiffness and Creep Rate
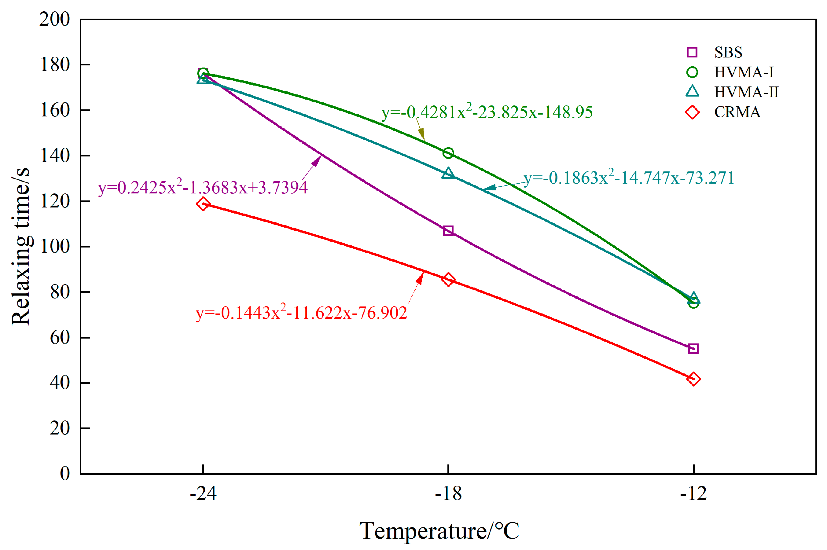
3.2. Low-Temperature Continuous Classification Temperature
3.3. ΔTC
3.4. m/S
3.5. Burgers Model
3.6. Low-Temperature Bending Test of PAM
3.7. Gray Relational Analysis
4. Conclusions
Author Contributions
Funding
Institutional Review Board Statement
Informed Consent Statement
Data Availability Statement
Conflicts of Interest
References
- Lu, R.; Jiang, W.; Xiao, J.J.; Yuan, D.D.; Li, Y.P.; Hou, Y.K.; Liu, C.C. Evaluation of moisture migration characteristics of permeable asphalt pavement: Field research. J. Environ. Manag. 2023, 330, 117176. [Google Scholar] [CrossRef] [PubMed]
- Cai, J.; Wen, Y.; Wang, D.; Li, R.; Zhang, J.; Pei, J.; Xie, J. Investigation on the cohesion and adhesion behavior of high-viscosity asphalt binders by bonding tensile testing apparatus. Constr. Build. Mater. 2020, 261, 120011. [Google Scholar] [CrossRef]
- Büchler, S.; Falchetto, A.C.; Walther, A.; Riccardi, C.; Wang, D.; Wistuba, M.P. Wearing course mixtures prepared with high reclaimed asphalt pavement content modified by rejuvenators. Transp. Res. Rec. 2018, 2672, 96–106. [Google Scholar] [CrossRef]
- Fang, C.; Li, T.; Zheng, C.; Jiang, D. Research Advances in Polymer Modified Asphalt. Mater. Rev. 2006, 20, 55–57. [Google Scholar]
- Yan, K.Z.; You, L.Y.; Wang, D.C. High-Temperature Performance of Polymer-Modified Asphalt Mixes: Preliminary Evaluation of the Usefulness of Standard Technical Index in Polymer-Modified Asphalt. Polymers 2019, 11, 1404. [Google Scholar] [CrossRef]
- Wegan, V. The Structure of Polymer Modified Binders and Corresponding Asphalt Mixtures. In Proceedings of the 74th Annual Meeting on Asphalt Paving Technology, Chicago, IL, USA, 8–10 March 1999; pp. 64–88. [Google Scholar]
- Rivera, C.; Caro, S.; Arambula-Mercado, E.; Sanchez, D.B.; Karki, P. Comparative evaluation of ageing effects on the properties of regular and highly polymer modified asphalt binders. Constr. Build. Mater. 2021, 302, 124163. [Google Scholar] [CrossRef]
- Zhang, F.; Hu, C.B. Preparation and Properties of High Viscosity Modified Asphalt. Polym. Compos. 2017, 38, 936–946. [Google Scholar] [CrossRef]
- Yuan, D.; Jiang, W.; Sha, A.; Xiao, J.; Wu, W.; Wang, T. Technology method and functional characteristics of road thermoelectric generator system based on Seebeck effect. Appl. Energy 2023, 331, 120459. [Google Scholar] [CrossRef]
- Li, L.M.; Guo, Z.Y.; Ran, L.F.; Zhang, J.W. Study on Low-Temperature Cracking Performance of Asphalt under Heat and Light Together Conditions. Materials 2020, 13, 1541. [Google Scholar] [CrossRef]
- Guo, X.-x.; Zhang, C.; Cui, B.-x.; Wang, D.; Tsai, J. Analysis of impact of transverse slope on hydroplaning risk level. Procedia-Soc. Behav. Sci. 2013, 96, 2310–2319. [Google Scholar] [CrossRef]
- Jin, D.Z.; Boateng, K.A.; Ge, D.D.; Che, T.K.; Yin, L.; Harrall, W.; You, Z.P. A case study of the comparison between rubberized and polymer modified asphalt on heavy traffic pavement in wet and freeze environment. Case Stud. Constr. Mater. 2023, 18, e01847. [Google Scholar] [CrossRef]
- Kong, L.; Ren, D.Y.; Zhou, S.X.; He, Z.Y.; Ai, C.F.; Yan, C.Q. Evaluating the evolution of fiber-reinforced emulsified asphalt cold-recycled mixture damage using digital image correlation. Int. J. Pavement Eng. 2023, 24, 2176495. [Google Scholar] [CrossRef]
- Yu, J.Y.; Zhang, H.L.; Sun, P.; Zhao, S.F. Laboratory performances of nano-particles/polymer modified asphalt mixtures developed for the region with hot summer and cold winter and field evaluation. Road Mater. Pavement Des. 2020, 21, 1529–1544. [Google Scholar] [CrossRef]
- Behnia, B.; Buttlar, W.; Reis, H. Evaluation of Low-Temperature Cracking Performance of Asphalt Pavements Using Acoustic Emission: A Review. Appl. Sci. 2018, 8, 306. [Google Scholar] [CrossRef]
- Jiang, W.; Yuan, D.; Shan, J.; Ye, W.; Lu, H.; Sha, A. Experimental study of the performance of porous ultra-thin asphalt overlay. Int. J. Pavement Eng. 2022, 23, 2049–2061. [Google Scholar] [CrossRef]
- Pirmohammad, S.; Ayatollahi, M. Asphalt concrete resistance against fracture at low temperatures under different modes of loading. Cold Reg. Sci. Technol. 2015, 110, 149–159. [Google Scholar] [CrossRef]
- Wang, T.; Xiao, F.; Amirkhanian, S.; Huang, W.; Zheng, M. A review on low temperature performances of rubberized asphalt materials. Constr. Build. Mater. 2017, 145, 483–505. [Google Scholar] [CrossRef]
- Du, Z.Y.; Jiang, C.S.; Yuan, J.; Xiao, F.P.; Wang, J.G. Low temperature performance characteristics of polyethylene modified asphalts—A review. Constr. Build. Mater. 2020, 264, 120704. [Google Scholar] [CrossRef]
- Ma, H.; Zhou, C.; Feng, D.; Sun, L. Influence of Fine Aggregate Content on Low-Temperature Cracking of Asphalt Pavements. J. Test. Eval. 2017, 45, 835–842. [Google Scholar] [CrossRef]
- Li, Z.S.; Tan, Y.Q. Low-Temperature Cracking Analysis of Asphalt Pavement. In Proceedings of the 3rd International Conference on Civil Engineering, Architecture and Building Materials (CEABM 2013), Jinan, China, 24–26 May 2013; pp. 1625–1628. [Google Scholar]
- Hasan, M.A.; Tarefder, R.A. Laboratory Investigation of Low-Temperature Performance of the SBS Modified Mixtures. In Proceedings of the International Conference on Airfield and Highway Pavements, Chicago, IL, USA, 21–24 July 2019; pp. 109–113. [Google Scholar]
- Yuan, D.; Jiang, W.; Sha, A.; Xiao, J.; Shan, J.; Wang, D. Energy output and pavement performance of road thermoelectric generator system. Renew. Energy 2022, 201, 22–33. [Google Scholar] [CrossRef]
- Bai, M. Investigation of low-temperature properties of recycling of aged SBS modified asphalt binder. Constr. Build. Mater. 2017, 150, 766–773. [Google Scholar] [CrossRef]
- Chen, Q.; Wang, C.; Yu, S.; Song, Z.; Fu, H.; An, T. Low-temperature mechanical properties of polyurethane-modified waterborne epoxy resin for pavement coating. Int. J. Pavement Eng. 2022, 1–13. [Google Scholar] [CrossRef]
- Moon, K.H.; Falchetto, A.C.; Marasteanu, M.O. Investigation of limiting criteria for low temperature cracking of asphalt mixture. KSCE J. Civ. Eng. 2014, 18, 172–181. [Google Scholar] [CrossRef]
- Moon, K.H.; Falchetto, A.C.; Hu, J.W. Investigation of asphalt binder and asphalt mixture low temperature creep properties using semi mechanical and analogical models. Constr. Build. Mater. 2014, 53, 568–583. [Google Scholar] [CrossRef]
- Liu, Y.Q.; Fan, X.H.; Zhang, H.Z. Development and Evaluation of the Hard-Grade Asphalt. J. Mater. Civ. Eng. 2010, 22, 800–805. [Google Scholar]
- Wang, C.; Zhang, H.; Castorena, C.; Zhang, J.X.; Kim, Y.R. Identifying fatigue failure in asphalt binder time sweep tests. Constr. Build. Mater. 2016, 121, 535–546. [Google Scholar] [CrossRef]
- Zhang, J.; Huang, W.; Lu, Q.; Guan, W. Low Temperature Performance of TB Crumb Rubber Composite SBS Modified Asphalt and Mixture. J. Build. Mater. 2021, 24, 131–136. [Google Scholar]
- Zhou, J.; Chen, X.H.; Xu, G.; Zhang, H.Y. Evaluation on low temperature characteristics of SBS/CR modified asphalt binder under different aging conditions. In Proceedings of the 4th International Conference on Civil Engineering and Materials Science (ICCEMS 2019), Bangkok, Thailand, 17–19 May 2019; Volume 652. [Google Scholar]
- Zheng, W.H.; Yang, Y.; Chen, Y.; Yu, Y.; Hossiney, N.; Tebaldi, G. Low temperature performance evaluation of asphalt binders and mastics based on relaxation characteristics. Mater. Struct. 2022, 55, 7. [Google Scholar] [CrossRef]
- Wang, L.; Wei, J.; Zhang, Y. Evaluation on low temperature performance of paving asphalt using bending beam rheometer. J. China Univ. Pet. Ed. Nat. Sci. 2009, 33, 150–153. [Google Scholar]
- Sun, Z.; Xu, H.; Tan, Y.; Lv, H.; Assogba, O.C. Low-temperature performance of asphalt mixture based on statistical analysis of winter temperature extremes: A case study of Harbin China. Constr. Build. Mater. 2019, 208, 258–268. [Google Scholar] [CrossRef]
- Dong, W.; Guan, W.; Huang, W. Low Temperature Performance Analysis of SBS Modified Asphalt under Different Aging Process. J. Build. Mater. 2018, 21, 268–274. [Google Scholar]
- Wei, J.; Huang, M.; Zhou, Y.; Li, P.; Yu, F.; Ju, H.; Shi, S. Research of Low-Temperature Performance of Polyphosphoric Acid-Modified Asphalt. Materials 2022, 16, 111. [Google Scholar] [CrossRef]
- Wu, G.; Zhang, H.; Sun, J.; Yu, T. Comparative analysis on rheological characteristics of different modified asphalt based on DSR and BBR evaluation. J. Eng. Des. Technol. 2021. ahead-of-print. [Google Scholar] [CrossRef]
- Yan, K.; Wang, D. Low Temperature Performance Index of Polymer Modified Asphalt. J. Build. Mater. 2020, 23, 479–484. [Google Scholar]
- Gu, F.; Xu, B.; Wang, K. Low temperature performance and evaluation indexes of foamed warm mixed crumb rubber modified asphalt. J. Henan Univ. Sci. Technol. Nat. Sci. 2016, 37, 69–72. [Google Scholar]
- Huang, W.D.; Tang, N.P. Characterizing SBS modified asphalt with sulfur using multiple stress creep recovery test. Constr. Build. Mater. 2015, 93, 514–521. [Google Scholar] [CrossRef]
- Xu, J.; Yang, E.; Wang, S.; Li, S. Study on Low Temperature Performance Evaluation Indicator of Sasobit Warm Mix Asphalt. J. Highw. Transp. Res. Dev. 2020, 37, 8. [Google Scholar]
- Geng, H.; Li, L.H.; Han, H. Viscosity criteria and methodology for estimating the optimum compaction temperatures of polymer modified asphalt binders in hot mix asphalt design. Constr. Build. Mater. 2016, 128, 308–314. [Google Scholar] [CrossRef]
- Hui, G.; Bo, X. Research on Climatic Influencing Factors of Low Temperature Cracking Index of Asphalt Pavement in Cold Area. IOP Conf. Ser. Earth Environ. Sci. 2021, 651, 042032. [Google Scholar]
- Rodríguez-Alloza, A.M.; Gallego, J.; Pérez, I. Study of the effect of four warm mix asphalt additives on bitumen modified with 15% crumb rubber. Constr. Build. Mater. 2013, 43, 300–308. [Google Scholar] [CrossRef]
- Guo, M.; Liu, H.; Jiao, Y.; Mo, L.; Tan, Y.; Wang, D.; Liang, M. Effect of WMA-RAP technology on pavement performance of asphalt mixture: A state-of-the-art review. J. Clean. Prod. 2020, 266, 121704. [Google Scholar] [CrossRef]
- Chen, Z.; Wang, T.; Pei, J.; Amirkhanian, S.; Xiao, F.; Ye, Q.; Fan, Z. Low temperature and fatigue characteristics of treated crumb rubber modified asphalt after a long term aging procedure. J. Clean. Prod. 2019, 234, 1262–1274. [Google Scholar] [CrossRef]
- ASTM D 7643-10; Standard Test Method for Determining the Continuous Grade of Asphalt Binder. ASTM International: West Conshohocken, PA, USA, 2012.
- Christensen, D.; Mensching, D.; Rowe, G.; Anderson, R.M.; Hanz, A.; Reinke, G.; Anderson, D. Past, Present, and Future of Asphalt Binder Rheological Parameters: Synopsis of 2017 Technical Session 307 at the 96th Annual Meeting of the Transportation Research Board; Transportation Research Circular; Transportation Research Board: Washington, DC, USA, 2019; Volume E-C241. [Google Scholar]
- Fan, X.; Lu, W.; Lv, S.; He, F. Improvement of low-temperature performance of Buton rock asphalt composite modified asphalt by adding styrene-butadiene rubber. Materials 2019, 12, 2358. [Google Scholar] [CrossRef] [PubMed]
- Lin, P.; Huang, W.; Tang, N.; Xiao, F.; Li, Y. Understanding the low temperature properties of Terminal Blend hybrid asphalt through chemical and thermal analysis methods. Constr. Build. Mater. 2018, 169, 543–552. [Google Scholar] [CrossRef]
- Haghshenas, H.F.; Rea, R.; Reinke, G.; Zaumanis, M.; Fini, E. Relationship between colloidal index and chemo-rheological properties of asphalt binders modified by various recycling agents. Constr. Build. Mater. 2022, 318, 126161. [Google Scholar] [CrossRef]
- Kumar, R.; Katyal, P.; Kumar, K. Effect of End Milling Process Parameters and Corrosion Behaviour of ZE41A Magnesium Alloy using Taguchi Based GRA. Biointerface Res. Appl. Chem. 2023, 13, 3. [Google Scholar]
- Ou, L.; Zhu, H.; Xu, Y.; Chen, R.; Yang, X. Gray correlation entropy analysis of zero shear viscosity and high-temperature rheological parameters of phosphogypsum-modified asphalt. Case Stud. Constr. Mater. 2022, 17, e01448. [Google Scholar] [CrossRef]
- Tan, Y.; Fu, Y.; Ji, L.; Zhang, L. Low-temperature evaluation index of rubber asphalt. J. Harbin Inst. Technol. 2016, 48, 66–70. [Google Scholar]












| Type | Penetration (25 °C, 5 s, 100 g)/(0.1 mm) | Softening Point/°C | Ductility (5 °C)/cm | Dynamic Viscosity (60 °C)/(Pa·s) | Perfomance Grade |
|---|---|---|---|---|---|
| SK-90 | 97.1 | 47.4 | 9.7 | 140.3 | / |
| HVMA-Ⅰ | 51.1 | 84.3 | 64.3 | 38,696.9 | PG64-22 |
| HVMA-Ⅱ | 54.6 | 85.9 | 59.9 | 20,425.1 | PG64-22 |
| SBS | 64.0 | 94.2 | 45.7 | 14,169.2 | PG58-22 |
| CRMA | 51.1 | 63.2 | 13.3 | 3177.7 | PG52-22 |
| Sieve Size/mm | 16 | 13.2 | 9.5 | 4.75 | 2.36 | 1.18 | 0.6 | 0.3 | 0.15 | 0.075 |
| Passing Ratio (by pass)/% | 100.0 | 92.3 | 70.4 | 18.9 | 15.9 | 13.0 | 11.1 | 8.2 | 6.7 | 4.6 |
| Type | HVMA-Ⅰ | HVMA-Ⅱ | SBS | CRMA |
|---|---|---|---|---|
| εB/με | 3281.5 | 3498.8 | 3547.9 | 3956.1 |
| E(S) | E(m) | E(TC) | E(ΔTC) | E(m/S) | ||
|---|---|---|---|---|---|---|
| 0.9957 | 0.9982 | 0.9997 | 0.9329 | 0.9996 | 0.9592 | 0.9838 |
Disclaimer/Publisher’s Note: The statements, opinions and data contained in all publications are solely those of the individual author(s) and contributor(s) and not of MDPI and/or the editor(s). MDPI and/or the editor(s) disclaim responsibility for any injury to people or property resulting from any ideas, methods, instructions or products referred to in the content. |
© 2023 by the authors. Licensee MDPI, Basel, Switzerland. This article is an open access article distributed under the terms and conditions of the Creative Commons Attribution (CC BY) license (https://creativecommons.org/licenses/by/4.0/).
Share and Cite
Huang, Z.; Lu, R.; Fu, Z.; Li, J.; Li, P.; Wang, D.; Wei, B.; Zhu, W.; Wang, Z.; Wang, X. Investigation of Viscoelastic Properties of Polymer-Modified Asphalt at Low Temperature Based on Gray Relational Analysis. Sustainability 2023, 15, 6858. https://doi.org/10.3390/su15086858
Huang Z, Lu R, Fu Z, Li J, Li P, Wang D, Wei B, Zhu W, Wang Z, Wang X. Investigation of Viscoelastic Properties of Polymer-Modified Asphalt at Low Temperature Based on Gray Relational Analysis. Sustainability. 2023; 15(8):6858. https://doi.org/10.3390/su15086858
Chicago/Turabian StyleHuang, Zhongcai, Rong Lu, Zhiyu Fu, Jingxiao Li, Pengfei Li, Di Wang, Ben Wei, Weining Zhu, Zujian Wang, and Xinyu Wang. 2023. "Investigation of Viscoelastic Properties of Polymer-Modified Asphalt at Low Temperature Based on Gray Relational Analysis" Sustainability 15, no. 8: 6858. https://doi.org/10.3390/su15086858
APA StyleHuang, Z., Lu, R., Fu, Z., Li, J., Li, P., Wang, D., Wei, B., Zhu, W., Wang, Z., & Wang, X. (2023). Investigation of Viscoelastic Properties of Polymer-Modified Asphalt at Low Temperature Based on Gray Relational Analysis. Sustainability, 15(8), 6858. https://doi.org/10.3390/su15086858

