Enhancement of System and Environmental Performance of High Solids Anaerobic Digestion of Lignocellulosic Banana Waste by Biochar Addition
Abstract
1. Introduction
2. Materials and Methods
2.1. Substrate, Inoculum, and Biochar Preparation
2.2. Batch High Solids Anaerobic Digestion Experiments
2.3. Semi-Continuous High Solids Anaerobic Digestion Experiments
2.4. Analytical Methods
2.5. Life Cycle Assessment
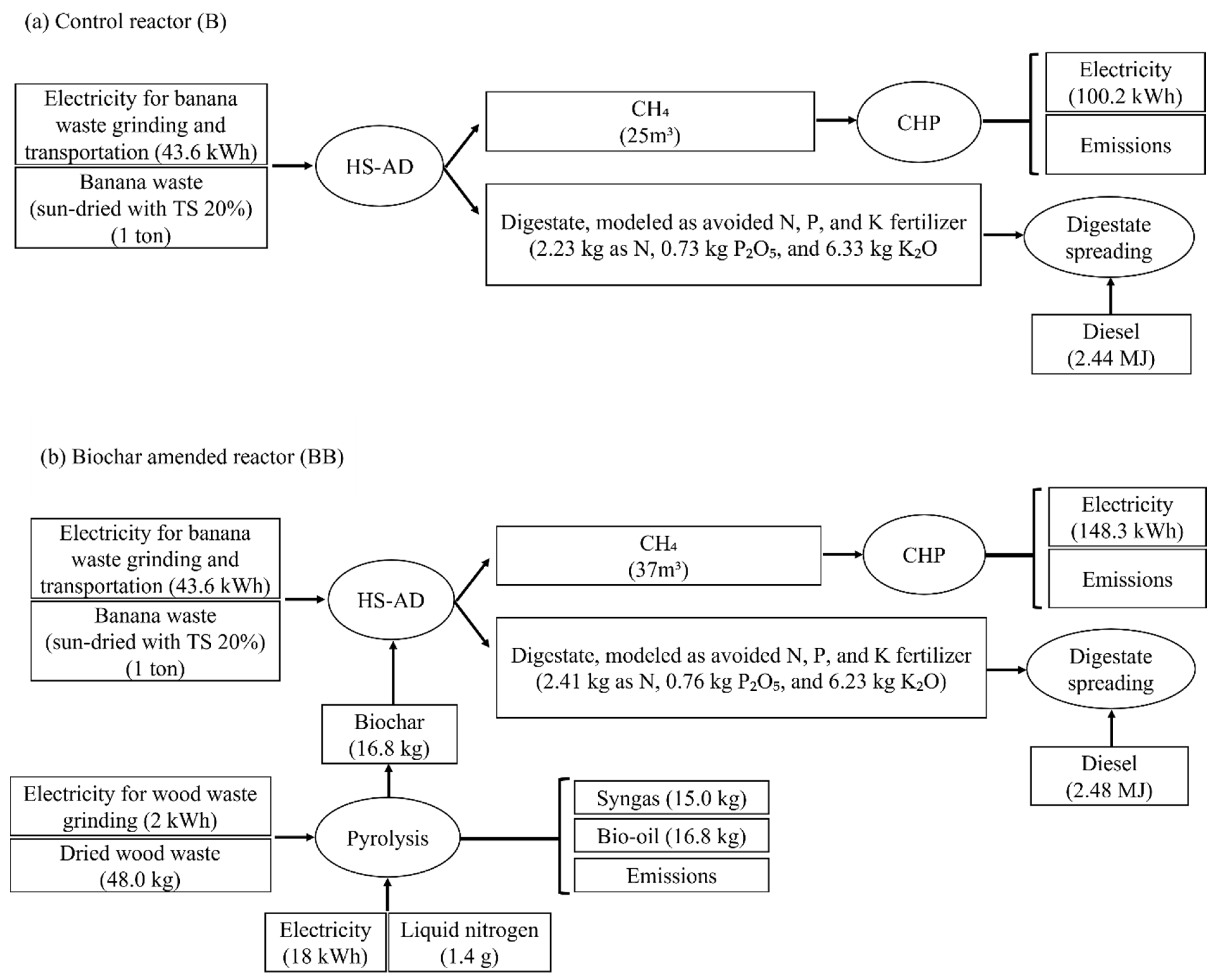
2.5.1. Goal and System Boundary
2.5.2. LCA Inventory
3. Results and Discussion
3.1. Batch High Solids Anaerobic Digestion Experiments
3.1.1. Methane Production from Biochar
3.1.2. Methane Production with Varying Biochar Dosages
3.2. Semi-Continuous HS-AD Experiments
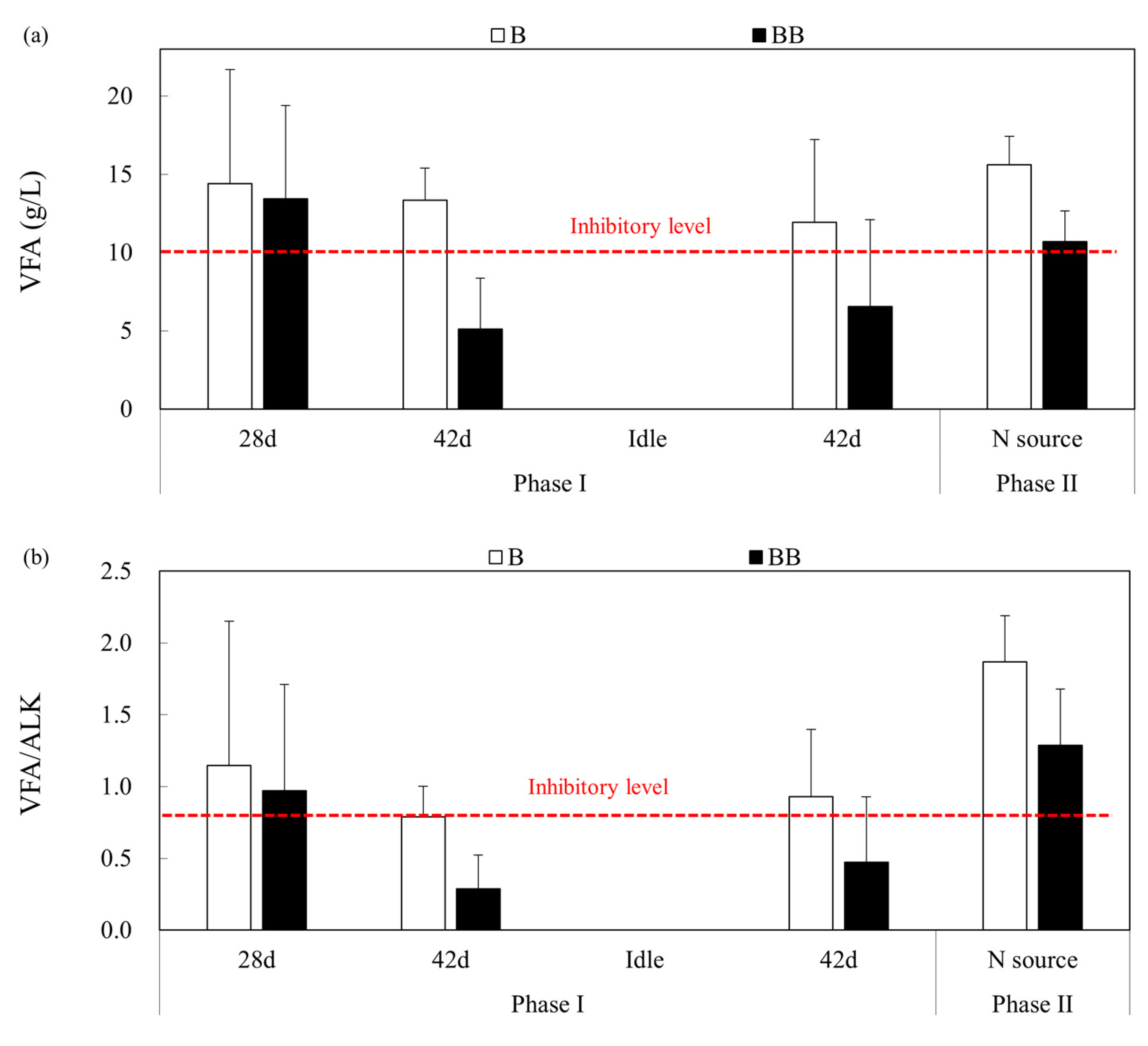
3.2.1. Methane Yield and Chemical Analysis
3.2.2. Digestate Quality
| SRT (d) | Digestate | pH | WHC (g/g) | CEC (cmol/kg) | Nutrient Content (%) | ||
|---|---|---|---|---|---|---|---|
| TN | TP | TK | |||||
| 42 | B0 digestate | 10.7 ± 0.01 | 3.8 ± 0.22 | 38 ± 0.8 | 1.71 | 0.44 | 3.73 |
| B10 digestate | 10.7 ± 0.00 | 4.4 ± 0.10 * | 37 ± 2.2 | 1.81 | 0.42 | 3.23 | |
| 35 | B0 digestate | 10.8 ± 0.00 | 4.0 ± 0.06 | 30 ± 0.1 | 1.99 | 0.29 | 4.69 |
| B10 digestate | 10.7 ± 0.00 | 4.3 ± 0.18 | 29 ± 0.6 | 2.01 | 0.28 | 4.32 | |
| 28 | B0 digestate | 10.9 ± 0.00 | 3.9 ± 0.17 | 29 ± 1.1 | 2.38 | 0.31 | 4.61 |
| B10 digestate | 10.8 ± 0.00 | 4.0 ± 0.26 | 26 ± 0.3 * | 2.11 | 0.31 | 4.69 | |
| Bio-fertilizer [64] | NA | NA | NA | 1.60 | 2.55 | 1.90 | |
3.3. Life Cycle Environmental Impacts
4. Conclusions
Author Contributions
Funding
Institutional Review Board Statement
Informed Consent Statement
Data Availability Statement
Acknowledgments
Conflicts of Interest
Appendix A






| Banana Peel | Banana Stem | Banana Leaf | Dewatered Sludge | |||
|---|---|---|---|---|---|---|
| TS (%) | 12 ± 0.3 | 9 ± 0.3 | 27 ± 3.7 | 19 ± 0.2 | ||
| VS (%) | 10 ± 0.4 | 8 ± 0.3 | 24 ± 3.3 | 13 ± 0.1 | ||
| VS/TS | 0.82 | 0.89 | 0.89 | 0.72 | ||
| Biochar | ||||||
| Particle size | Bulk density | Electrical conductivity | pH | Cation exchange capacity | Surface area | Pore volume |
| 0.15–3 mm | 0.09 g/cm3 | 50.7 µS/cm | 9.4 | 3 cmol/kg | 467 m2/g | 0.029 cc/g |
| Biochar Dosage (By Dry Mass) | Temperature (°C) | S/I (VS Basis) | TS (%) | Banana Waste (g VS) | |
|---|---|---|---|---|---|
| 1 | 10% | 35 | NA | 20 | 0 |
| 2 | 0 | 35 | 1:1 | 20 | 7 |
| 10% | |||||
| 30% | |||||
| 3 | 0 | 35 | 1:1 | 20 | 7 |
| 2.5% | |||||
| 5% | |||||
| 7.5% | |||||
| 10% |
| Process | ||||
|---|---|---|---|---|
| Biochar production | Input | |||
| Wood waste (dry) (ton) | 2.86 | |||
| Pretreatment/grinding | Electricity (kWh) a | 124.7 | ||
| Pyrolysis | Electricity (kWh) b | 1080 | ||
| Liquid nitrogen (g) c | 81 | |||
| Output | ||||
| Biochar (ton) d | 1.00 | |||
| Syngas (ton) d | 0.89 | |||
| Bio-oil (ton) d | 1.00 | |||
| Air emissions e | CO2 (kg) | 111 | ||
| CH4 (kg) | 12.2 | |||
| H2 (kg) | 0.1 | |||
| N2O (kg) | 0.025 | |||
| NOx (kg) | 0.0102 | |||
| SO2 (kg) | 0.120 | |||
| SOx (kg) | 0.099 | |||
| NMVOC (kg) | 0.124 | |||
| CO2 (kg) f | 629 | |||
| HS-AD | Control | Biochar-amended | ||
| Input | ||||
| Banana waste (dry with TS 20%) | 1 | 1 | ||
| Pretreatment and transportation | Electricity (kWh) g | 43.6 | 43.6 | |
| Biochar (kg) | 0 | 16.8 | ||
| Output | ||||
| CH4 (m3) | 25 | 37 | ||
| Digestate, modeled as avoided N fertilizer as N (kg) | 2.23 | 2.41 | ||
| Digestate, modeled as avoided P fertilizer as P2O5 (kg) | 0.73 | 0.76 | ||
| Digestate, modeled as avoided K fertilizer as K2O (kg) | 6.33 | 6.23 | ||
| CHP | Control | Biochar-amended | ||
| Input | ||||
| CH4 (m3) | 25 | 37 | ||
| Output | ||||
| Electricity (kWh) | 100.2 | 148.3 | ||
| NOx (g) | 186.9 | 276.5 | ||
| UHC (g) | 308.0 | 455.9 | ||
| NMVOC (g) | 9.3 | 13.7 | ||
| CH4 (g) | 401.5 | 594.1 | ||
| CO (g) | 286.8 | 424.4 | ||
| N2O (g) | 1.5 | 2.2 | ||
| SO2 (g) | 17.6 | 26.0 | ||
| Emissions h | Formaldehyde (g) | 8.0 | 11.9 | |
| Acetaldehyde (g) | 0.1 | 0.2 | ||
| Acrolein (g) | 9.3 × 10−4 | 1.4× 10−3 | ||
| Propanal (g) | 2.1 × 10−2 | 3.1 × 10−2 | ||
| Acetone (g) | 2.1 × 10−2 | 3.1 × 10−2 | ||
| Butanal (g) | 9.3 × 10−4 | 1.4 × 10−3 | ||
| Pentanal (g) | 9.3 × 10−4 | 1.4 × 10−3 | ||
| Hexanal (g) | 9.3 × 10−4 | 1.4 × 10−3 | ||
| Benzaldehyde (g) | 1.2 × 10−2 | 1.8 × 10−2 | ||
| PAH (g) | 3.9 × 10−6 | 5.7 × 10−6 | ||
| Naphthalene (g) | 4.2 × 10−3 | 6.3 × 10−3 | ||
| HCB (g) | 1.8 × 10−7 | 2.6 × 10−7 | ||
| PCB (g) | 1.8 × 10−10 | 2.6 × 10−10 | ||
| Fertilizer spread | Control | Biochar-amended | ||
| Input | ||||
| diesel (MJ) i | 2.44 | 2.48 | ||
References
- Nada, A.; El-Gendy, A.; Mohamed, S. Banana leaves as adsorbents for removal of metal ions from waste water. Carbohydr. Polym. 2010, 82, 1025–1030. [Google Scholar] [CrossRef]
- Li, C.; Liu, G.; Nges, I.A.; Deng, L.; Nistor, M.; Liu, J. Fresh banana pseudo-stems as a tropical lignocellulosic feedstock for methane production. Energy Sustain. Soc. 2016, 6, 27. [Google Scholar] [CrossRef]
- Fatmawati, A.; Gunawan, K.Y.; Hadiwijaya, F.A. Hydrolysis of alkaline pretreated banana peel. In Proceedings of the International Conference on Informatics, Technology and Engineering 2017, Bali, Indonesia, 24–25 August 2017; IOP Conference Series: Materials Science and Engineering. IOP Publishing: Bristol, UK, 2017; p. 012011. [Google Scholar]
- Ahmad, T.; Danish, M. Prospects of banana waste utilization in wastewater treatment: A review. J. Environ. Manag. 2018, 206, 330–348. [Google Scholar] [CrossRef]
- Khan, M.T.; Brulé, M.; Maurer, C.; Argyropoulos, D.; Müller, J.; Oechsner, H. Batch anaerobic digestion of banana waste-energy potential and modelling of methane production kinetics. Agric. Eng. Int. CIGR J. 2016, 18, 110–128. [Google Scholar]
- Kalia, V.; Sonakya, V.; Raizada, N. Anaerobic digestion of banana stem waste. Bioresour. Technol. 2000, 73, 191–193. [Google Scholar] [CrossRef]
- Paritosh, K.; Pareek, N.; Chawade, A.; Vivekanand, V. Prioritization of solid concentration and temperature for solid state anaerobic digestion of pearl millet straw employing multi-criteria assessment tool. Sci. Rep. 2019, 9, 11902. [Google Scholar] [CrossRef]
- Abbassi-Guendouz, A.; Brockmann, D.; Trably, E.; Dumas, C.; Delgenès, J.-P.; Steyer, J.-P.; Escudié, R. Total solids content drives high solid anaerobic digestion via mass transfer limitation. Bioresour. Technol. 2012, 111, 55–61. [Google Scholar] [CrossRef]
- Bardiya, N.; Somayaji, D.; Khanna, S. Biomethanation of banana peel and pineapple waste. Bioresour. Technol. 1996, 58, 73–76. [Google Scholar] [CrossRef]
- Gautam, K.; Pareek, A.; Sharma, D.K. A method to utilize waste nutrient sources in aqueous extracts for enhancement of biomass and lipid content in potential green algal species for biodiesel production. J. Bioprocess. Biotech. 2015, 5, 1. [Google Scholar] [CrossRef]
- Blume, E.; Reichert, J.M. Banana leaf and glucose mineralization and soil organic matter in microhabitats of banana plantations under long-term pesticide use. Environ. Toxicol. Chem. 2015, 34, 1232–1238. [Google Scholar] [CrossRef]
- Liu, L.; Kong, J.; Cui, H.; Zhang, J.; Wang, F.; Cai, Z.; Huang, X. Relationships of decomposability and C/N ratio in different types of organic matter with suppression of Fusarium oxysporum and microbial communities during reductive soil disinfestation. Biol. Control 2016, 101, 103–113. [Google Scholar] [CrossRef]
- Divyabharathi, R.; Angeeswaran, R.; Jagadeeshkumar, K.; Pugalendhi, S. Characterization and batch anaerobic digestion study of banana wastes. Int. J. Curr. Microbiol. Appl. Sci. 2017, 6, 2307–2315. [Google Scholar] [CrossRef]
- Faozi, K.; Yudono, P.; Indradewa, D.; Maas, A. Banana stem bokashi and its effect to increase soybean yield (Glycine max L. Merrill) in coastal sands area. Agrotechnology 2018, 7, 2. [Google Scholar] [CrossRef]
- Estevez, M.M.; Linjordet, R.; Morken, J. Effects of steam explosion and co-digestion in the methane production from Salix by mesophilic batch assays. Bioresour. Technol. 2012, 104, 749–756. [Google Scholar] [CrossRef]
- Luo, C.; Lü, F.; Shao, L.; He, P. Application of eco-compatible biochar in anaerobic digestion to relieve acid stress and promote the selective colonization of functional microbes. Water Res. 2015, 68, 710–718. [Google Scholar] [CrossRef]
- Baek, G.; Kim, J.; Kim, J.; Lee, C.J.E. Role and potential of direct interspecies electron transfer in anaerobic digestion. Energies 2018, 11, 107. [Google Scholar] [CrossRef]
- Jiang, Q.; Chen, Y.; Yu, S.; Zhu, R.; Zhong, C.; Zou, H.; Gu, L.; He, Q. Effects of citrus peel biochar on anaerobic co-digestion of food waste and sewage sludge and its direct interspecies electron transfer pathway study. Chem. Eng. J. 2020, 398, 125643. [Google Scholar] [CrossRef]
- Lee, E.; Oliveira, D.S.B.L.; Oliveira, L.S.B.L.; Jimenez, E.; Kim, Y.; Wang, M.; Ergas, S.J.; Zhang, Q. Comparative environmental and economic life cycle assessment of high solids anaerobic co-digestion for biosolids and organic waste management. Water Res. 2020, 171, 115443. [Google Scholar] [CrossRef]
- Shen, X.; Kommalapati, R.R.; Huque, Z. The comparative life cycle assessment of power generation from lignocellulosic biomass. Sustainability 2015, 7, 12974–12987. [Google Scholar] [CrossRef]
- Li, H.; Feng, K. Life cycle assessment of the environmental impacts and energy efficiency of an integration of sludge anaerobic digestion and pyrolysis. J. Clean. Prod. 2018, 195, 476–485. [Google Scholar] [CrossRef]
- Gunaseelan, V.N. Biochemical methane potential of fruits and vegetable solid waste feedstocks. Biomass Bioenergy 2004, 26, 389–399. [Google Scholar] [CrossRef]
- Holliger, C.; Alves, M.; Andrade, D.; Angelidaki, I.; Astals, S.; Baier, U.; Bougrier, C.; Buffière, P.; Carballa, M.; De Wilde, V.; et al. Towards a standardization of biomethane potential tests. Water Sci. Technol. 2016, 74, 2515–2522. [Google Scholar] [CrossRef]
- Joseph, S.; Cowie, A.L.; Van Zwieten, L.; Bolan, N.; Budai, A.; Buss, W.; Cayuela, M.L.; Graber, E.R.; Ippolito, J.A.; Kuzyakov, Y.; et al. How biochar works, and when it doesn’t: A review of mechanisms controlling soil and plant responses to biochar. GCB Bioenergy 2021, 13, 1731–1764. [Google Scholar] [CrossRef]
- Gurwick, N.P.; Moore, L.A.; Kelly, C.; Elias, P. A systematic review of biochar research, with a focus on its stability in situ and its promise as a climate mitigation strategy. PLoS ONE 2013, 8, e75932. [Google Scholar] [CrossRef]
- Lee, E.; Bittencourt, P.; Casimir, L.; Jimenez, E.; Wang, M.; Zhang, Q.; Ergas, S.J. Biogas production from high solids anaerobic co-digestion of food waste, yard waste and waste activated sludge. Waste Manag. 2019, 95, 432–439. [Google Scholar] [CrossRef]
- Liu, T.; Sung, S. Ammonia inhibition on thermophilic aceticlastic methanogens. Water Sci. Technol. 2002, 45, 113–120. [Google Scholar] [CrossRef]
- Demirel, B.; Scherer, P. Trace element requirements of agricultural biogas digesters during biological conversion of renewable biomass to methane. Biomass Bioenergy 2011, 35, 992–998. [Google Scholar] [CrossRef]
- Rice, E.W.; Baird, R.B.; Eaton, A.D.; Clesceri, L.S. Standard Methods for the Examination of Water and Wastewater; American Public Health Association: Washington, DC, USA, 2012; Volume 10. [Google Scholar]
- Chapman, H. Cation-exchange capacity. Methods Soil Anal. Part 2 Chem. Microbiol. Prop. 1965, 9, 891–901. [Google Scholar]
- Werner, W.J.; Sanderman, J.; Melillo, J.M. Decreased soil organic matter in a long-term soil warming experiment lowers soil water holding capacity and affects soil thermal and hydrological buffering. J. Geophys. Res. Biogeosciences 2020, 125, e2019JG005158. [Google Scholar] [CrossRef]
- Naroznova, I.; Møller, J.; Scheutz, C. Global warming potential of material fractions occurring in source-separated organic household waste treated by anaerobic digestion or incineration under different framework conditions. Waste Manag. 2016, 58, 397–407. [Google Scholar] [CrossRef]
- Nielsen, M.; Nielsen, O.-K.; Thomsen, M. Emissions from Decentralised CHP Plants 2007-Energinet. dk Environmental Project no. 07/1882. Project Report 5-Emission Factors and Emission Inventory for Decentralised CHP Production; Aarhus University, National Environmental Research Institute, Department of Policy Analysis: Aarhus, Denmark, 2010.
- Zhang, J.; Tian, H.; Wang, X.; Tong, Y.W. Effects of activated carbon on mesophilic and thermophilic anaerobic digestion of food waste: Process performance and life cycle assessment. Chem. Eng. J. 2020, 399, 125757. [Google Scholar] [CrossRef]
- Homagain, K.; Shahi, C.; Luckai, N.; Sharma, M. Life cycle environmental impact assessment of biochar-based bioenergy production and utilization in Northwestern Ontario, Canada. J. For. Res. 2015, 26, 799–809. [Google Scholar] [CrossRef]
- Muñoz, E.; Curaqueo, G.; Cea, M.; Vera, L.; Navia, R. Environmental hotspots in the life cycle of a biochar-soil system. J. Clean. Prod. 2017, 158, 1–7. [Google Scholar] [CrossRef]
- Spokas, K.A.; Cantrell, K.B.; Novak, J.M.; Archer, D.W.; Ippolito, J.A.; Collins, H.P.; Boateng, A.A.; Lima, I.M.; Lamb, M.C.; McAloon, A.J.; et al. Biochar: A synthesis of its agronomic impact beyond carbon sequestration. J. Environ. Qual. 2012, 41, 973–989. [Google Scholar] [CrossRef]
- Llorach-Massana, P.; Lopez-Capel, E.; Peña, J.; Rieradevall, J.; Montero, J.I.; Puy, N. Technical feasibility and carbon footprint of biochar co-production with tomato plant residue. Waste Manag. 2017, 67, 121–130. [Google Scholar] [CrossRef] [PubMed]
- Li, X.; Wang, R.; Shao, C.; Li, D.; Bai, S.; Hou, N.; Zhao, X. Biochar and Hydrochar from Agricultural Residues for Soil Conditioning: Life Cycle Assessment and Microbially Mediated C and N Cycles. ACS Sustain. Chem. Eng. 2022, 10, 3574–3583. [Google Scholar] [CrossRef]
- Field, J.L.; Keske, C.M.; Birch, G.L.; DeFoort, M.W.; Cotrufo, M.F. Distributed biochar and bioenergy coproduction: A regionally specific case study of environmental benefits and economic impacts. Gcb Bioenergy 2013, 5, 177–191. [Google Scholar] [CrossRef]
- Richard, E.N. Pre-treatment of banana leaves with alkaline banana winery bottle-washing wastewater to improve the anaerobic digestion process. Biomass-Convers. Biorefinery 2022. [Google Scholar] [CrossRef]
- Obuya, B.; Waita, S.; Otieno, C. Biogas from Different Parts of a Banana Plant: A Case Study of the Banana Plant from Kisii County. J. Energy Res. Rev. 2020, 6, 1–10. [Google Scholar] [CrossRef]
- Pan, S.; Chi, Y.; Zhou, L.; Li, Z.; Du, L.; Wei, Y. Evaluation of squeezing pretreatment for improving methane production from fresh banana pseudo-stems. Waste Manag. 2020, 102, 900–908. [Google Scholar] [CrossRef]
- Jokhio, I.; Qureshi, S.S.; Sahito, A.R.; Lashari, I.A.; Mubarak, N.; Tripathi, M.; Al-Mohaimeed, A.M. Enhanced bio-methane and bio-hydrogen production using banana plant waste and sewage sludge through anaerobic co-digestion. Int. J. Hydrogen Energy 2022. [Google Scholar] [CrossRef]
- Zhang, C.; Li, J.; Liu, C.; Liu, X.; Wang, J.; Li, S.; Fan, G.; Zhang, L. Alkaline pretreatment for enhancement of biogas production from banana stem and swine manure by anaerobic codigestion. Bioresour. Technol. 2013, 149, 353–358. [Google Scholar] [CrossRef] [PubMed]
- Zhang, M.; Li, J.; Wang, Y.; Yang, C. Impacts of different biochar types on the anaerobic digestion of sewage sludge. RSC Adv. 2019, 9, 42375–42386. [Google Scholar] [CrossRef]
- Khan, M.A.; Ngo, H.H.; Guo, W.; Liu, Y.; Nghiem, L.D.; Chang, S.W.; Nguyen, D.D.; Zhang, S.; Luo, G.; Jia, H. Optimization of hydraulic retention time and organic loading rate for volatile fatty acid production from low strength wastewater in an anaerobic membrane bioreactor. Bioresour. Technol. 2019, 271, 100–108. [Google Scholar] [CrossRef] [PubMed]
- Chaiprapat, S.; Laklam, T. Enhancing digestion efficiency of POME in anaerobic sequencing batch reactor with ozonation pretreatment and cycle time reduction. Bioresour. Technol. 2011, 102, 4061–4068. [Google Scholar] [CrossRef]
- Hinds, G.R.; Lens, P.N.; Zhang, Q.; Ergas, S.J. Microbial biomethane production from municipal solid waste using high solids anaerobic digestion. In Microbial Fuels; CRC Press: Boca Raton, FL, USA, 2017; pp. 153–188. [Google Scholar]
- Ambaye, T.G.; Rene, E.R.; Dupont, C.; Wongrod, S.; Van Hullebusch, E.D. Anaerobic digestion of fruit waste mixed with sewage sludge digestate biochar: Influence on biomethane production. Front. Energy Res. 2020, 8, 31. [Google Scholar] [CrossRef]
- Kinyua, M.N.; Cunningham, J.; Ergas, S.J. Effect of solids retention time on the bioavailability of organic carbon in anaerobically digested swine waste. Bioresour. Technol. 2014, 162, 14–20. [Google Scholar] [CrossRef]
- Yang, X. Biochar Amended Biological Systems for Enhanced Landfill Leachate and Lignocellulosic Banana Waste Treatment. Ph.D. Thesis, University of South Florida, Tampa, FL, USA, 2022. [Google Scholar]
- Indren, M.; Birzer, C.H.; Kidd, S.P.; Medwell, P.R. Effect of total solids content on anaerobic digestion of poultry litter with biochar. J. Environ. Manag. 2020, 255, 109744. [Google Scholar] [CrossRef]
- Wang, G.; Li, Q.; Gao, X.; Wang, X.C. Synergetic promotion of syntrophic methane production from anaerobic digestion of complex organic wastes by biochar: Performance and associated mechanisms. Bioresour. Technol. 2018, 250, 812–820. [Google Scholar] [CrossRef]
- Mumme, J.; Srocke, F.; Heeg, K.; Werner, M. Use of biochars in anaerobic digestion. Bioresour. Technol. 2014, 164, 189–197. [Google Scholar] [CrossRef]
- Shen, Y.; Linville, J.L.; Ignacio-de Leon, P.A.A.; Schoene, R.P.; Urgun-Demirtas, M. Towards a sustainable paradigm of waste-to-energy process: Enhanced anaerobic digestion of sludge with woody biochar. J. Clean. Prod. 2016, 135, 1054–1064. [Google Scholar] [CrossRef]
- Vengadaramana, A.; Jashothan, P. Effect of organic fertilizers on the water holding capacity of soil in different terrains of Jaffna peninsula in Sri Lanka. J. Nat. Prod. Plant Resour 2012, 2, 500–503. [Google Scholar]
- Santos, R.V.; Mendes, M.A.; Alexandre, C.; Carrott, M.R.; Rodrigues, A.; Ferreira, A.F. Assessment of Biomass and Biochar of Maritime Pine as a Porous Medium for Water Retention in Soils. Energies 2022, 15, 5882. [Google Scholar] [CrossRef]
- Yu, O.-Y.; Raichle, B.; Sink, S. Impact of biochar on the water holding capacity of loamy sand soil. Int. J. Energy Environ. Eng. 2013, 4, 44. [Google Scholar] [CrossRef]
- Loh, S.K.; James, S.; Ngatiman, M.; Cheong, K.Y.; Choo, Y.M.; Lim, W.S. Enhancement of palm oil refinery waste–Spent bleaching earth (SBE) into bio organic fertilizer and their effects on crop biomass growth. Ind. Crops Prod. 2013, 49, 775–781. [Google Scholar] [CrossRef]
- Kalemelawa, F.; Nishihara, E.; Endo, T.; Ahmad, Z.; Yeasmin, R.; Tenywa, M.M.; Yamamoto, S. An evaluation of aerobic and anaerobic composting of banana peels treated with different inoculums for soil nutrient replenishment. Bioresour. Technol. 2012, 126, 375–382. [Google Scholar] [CrossRef]
- Gawad, N. Effect of organic compost tea and humic acid to reduce dose of NPK fertigation of banana plants cv. “Grand Nain”. Egypt J. Hort 2016, 43, 195–210. [Google Scholar]
- Twyford, I.T.; Walmsley, D. The mineral composition of the Robusta banana plant IV. The application of fertilizers for high yields. Plant Soil 1974, 41, 493–508. [Google Scholar] [CrossRef]
- Nabel, M.; Temperton, V.M.; Poorter, H.; Lücke, A.; Jablonowski, N.D. Energizing marginal soils–The establishment of the energy crop Sida hermaphrodita as dependent on digestate fertilization, NPK, and legume intercropping. Biomass Bioenergy 2016, 87, 9–16. [Google Scholar] [CrossRef]
- Leonard, M.D.; Michaelides, E.E.; Michaelides, D.N. Energy storage needs for the substitution of fossil fuel power plants with renewables. Renew. Energy 2020, 145, 951–962. [Google Scholar] [CrossRef]
- Woolf, D.; Amonette, J.E.; Street-Perrott, F.A.; Lehmann, J.; Joseph, S. Sustainable biochar to mitigate global climate change. Nat. Commun. 2010, 1, 56. [Google Scholar] [CrossRef] [PubMed]
- Sarfraz, R.; Hussain, A.; Sabir, A.; Ben Fekih, I.; Ditta, A.; Xing, S. Role of biochar and plant growth promoting rhizobacteria to enhance soil carbon sequestration—A review. Environ. Monit. Assess. 2019, 191, 251. [Google Scholar] [CrossRef] [PubMed]
- Liu, S.; Zhang, Y.; Zong, Y.; Hu, Z.; Wu, S.; Zhou, J.; Jin, Y.; Zou, J. Response of soil carbon dioxide fluxes, soil organic carbon and microbial biomass carbon to biochar amendment: A meta-analysis. Gcb Bioenergy 2016, 8, 392–406. [Google Scholar] [CrossRef]
- Gaete-Morales, C.; Gallego-Schmid, A.; Stamford, L.; Azapagic, A. Life cycle environmental impacts of electricity from fossil fuels in Chile over a ten-year period. J. Clean. Prod. 2019, 232, 1499–1512. [Google Scholar] [CrossRef]
- Castillo, L.E.; Martínez, E.; Ruepert, C.; Savage, C.; Gilek, M.; Pinnock, M.; Solis, E.J. Water quality and macroinvertebrate community response following pesticide applications in a banana plantation, Limon, Costa Rica. Sci. Total Environ. 2006, 367, 418–432. [Google Scholar] [CrossRef]





| Day 0 | Day 7 | Day 30 | Day 112 | |||
|---|---|---|---|---|---|---|
| B0 | pH | 8.76 ± 0.007 | 8.59 ± 0.050 | 8.69 ± 0.007 | 8.94 ± 0.099 | |
| VFA (mg/L) | 2421 ± 33 | 13,608 ± 679 | 1204 ± 22 | 1269 ± 11 | ||
| ALK (mg/L) | 16,470 ± 219 | 14,506 ± 361 | 17,396 ± 64 | 19,149 ± 511 | ||
| VFA/ALK | 0.15 ± 0.000 | 0.94 ± 0.023 | 0.07 ± 0.001 | 0.07 ± 0.001 | ||
| sCOD (mg/L) | 20,170 ± 495 | 22,760 ± 1213 | 8032 ± 375 | 7583 ± 195 | ||
| TAN (mg/L) | 1407 ± 93 | 1375 ± 9 | 1514 ± 82 | 578 ± 0.04 | ||
| VSR (%) | 19.1 ± 0.67 | |||||
| B10 | pH | 8.83 ± 0.028 | 8.53 ± 0.007 | 8.68 ± 0.021 | 8.84 ± 0.014 | |
| VFA (mg/L) | 2858 ± 300 | 8106 ± 344 ** | 1292 ± 5 | 1083 ± 21 ** | ||
| ALK (mg/L) | 17,606 ± 1829 | 14,757 ± 343 ** | 19,556 ± 62 *** | 19,425 ± 106 | ||
| VFA/ALK | 0.16 ± 0.000 | 0.55 ± 0.011 *** | 0.07 ± 0.000 | 0.06 ± 0.001 | ||
| sCOD (mg/L) | 23,610 ± 2117 | 12,105 ± 78 ** | 8925 ± 10 | 6030 ± 127 *** | ||
| TAN (mg/L) | 1558 ± 5 | 690 ± 8 *** | 1492 ± 15 | 606 ± 2 | ||
| VSR (%) | 26.5 ± 0.33 *** | |||||
| B30 | pH | 8.88 ± 0.001 ** | 8.60 ± 0.007 | 8.77 ± 0.014 ** | 8.91 ± 0.035 | |
| VFA (mg/L) | 1914 ± 140 * | 7119 ± 176 ** | 1016 ± 13 ** | 804 ± 68 ** | ||
| ALK (mg/L) | 17,325 ± 1167 | 13,684 ± 188 * | 18,638 ± 250* | 18,750 ± 20 | ||
| VFA/ALK | 0.11 ± 0.001 *** | 0.52 ± 0.079 ** | 0.05 ± 0.000 | 0.04 ± 0.004 * | ||
| sCOD (mg/L) | 14,905 ± 1633 * | 10,728 ± 225 ** | 7408 ± 499 * | 4335 ± 64 *** | ||
| TAN (mg/L) | 1522 ± 11 | 629 ± 6 *** | 1362 ± 32 | 613 ± 2 | ||
| VSR (%) | 20.9 ± 0.64 | |||||
Disclaimer/Publisher’s Note: The statements, opinions and data contained in all publications are solely those of the individual author(s) and contributor(s) and not of MDPI and/or the editor(s). MDPI and/or the editor(s) disclaim responsibility for any injury to people or property resulting from any ideas, methods, instructions or products referred to in the content. |
© 2023 by the authors. Licensee MDPI, Basel, Switzerland. This article is an open access article distributed under the terms and conditions of the Creative Commons Attribution (CC BY) license (https://creativecommons.org/licenses/by/4.0/).
Share and Cite
Yang, X.; Zhang, Q.; Ergas, S.J. Enhancement of System and Environmental Performance of High Solids Anaerobic Digestion of Lignocellulosic Banana Waste by Biochar Addition. Sustainability 2023, 15, 6832. https://doi.org/10.3390/su15086832
Yang X, Zhang Q, Ergas SJ. Enhancement of System and Environmental Performance of High Solids Anaerobic Digestion of Lignocellulosic Banana Waste by Biochar Addition. Sustainability. 2023; 15(8):6832. https://doi.org/10.3390/su15086832
Chicago/Turabian StyleYang, Xia, Qiong Zhang, and Sarina J. Ergas. 2023. "Enhancement of System and Environmental Performance of High Solids Anaerobic Digestion of Lignocellulosic Banana Waste by Biochar Addition" Sustainability 15, no. 8: 6832. https://doi.org/10.3390/su15086832
APA StyleYang, X., Zhang, Q., & Ergas, S. J. (2023). Enhancement of System and Environmental Performance of High Solids Anaerobic Digestion of Lignocellulosic Banana Waste by Biochar Addition. Sustainability, 15(8), 6832. https://doi.org/10.3390/su15086832

