Nutrient Sequestration by Two Aquatic Macrophytes on Artificial Floating Islands in a Constructed Wetland
Abstract
1. Introduction
2. Materials and Methods
2.1. Description of the Study Site
2.2. AFI Construction
2.3. Plant Species Selection
2.4. AFI Setup
2.5. Sampling Procedure
2.6. Data Analysis
3. Results and Discussion
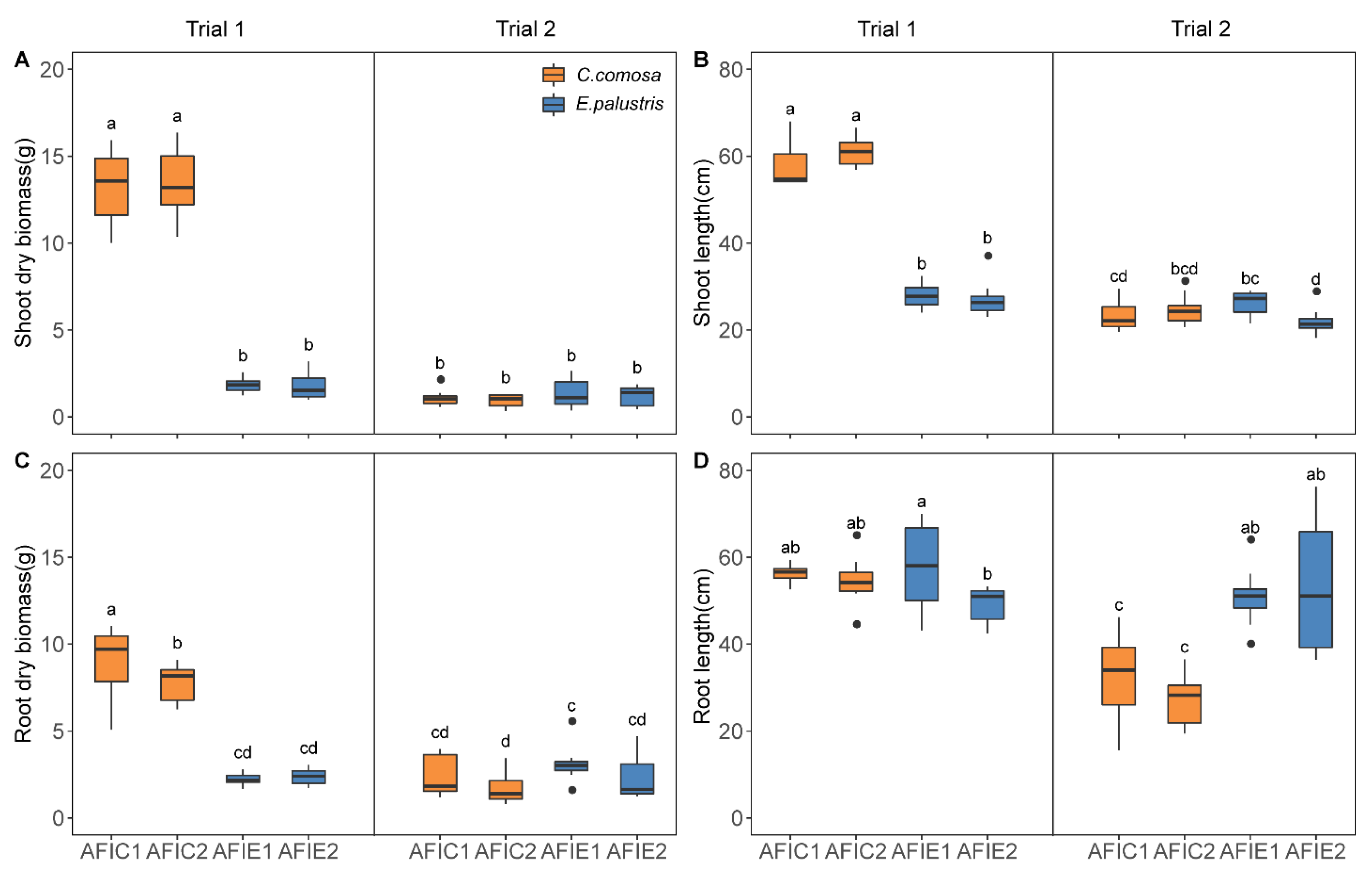
3.1. General Trends in Plant Growth
3.2. Biomass Accumulation in Field Experiments
3.3. Nutrient Storage in Field Experiments
3.4. Biomass Accumulation in Mesocosm Experiments
4. Conclusions
Author Contributions
Funding
Institutional Review Board Statement
Informed Consent Statement
Data Availability Statement
Acknowledgments
Conflicts of Interest
Appendix A



References
- Wang, H.; Bouwman, A.F.; Van Gils, J.; Vilmin, L.; Beusen, A.H.W.; Wang, J.; Liu, X.; Yu, Z.; Ran, X. Hindcasting Harmful Algal Bloom Risk Due to Land-Based Nutrient Pollution in the Eastern Chinese Coastal Seas. Water Res. 2023, 231, 119669. [Google Scholar] [CrossRef] [PubMed]
- Glibert, P.M.; Beusen, A.H.W.; Harrison, J.A.; Dürr, H.H.; Bouwman, A.F.; Laruelle, G.G. Changing Land-, Sea-, and Airscapes: Sources of Nutrient Pollution Affecting Habitat Suitability for Harmful Algae. In Global Ecology and Oceanography of Harmful Algal Blooms; Glibert, P.M., Berdalet, E., Burford, M.A., Pitcher, G.C., Zhou, M., Eds.; Ecological Studies; Springer International Publishing: Cha, Switzerland, 2018; pp. 53–76. [Google Scholar]
- Hautier, Y.; Seabloom, E.W.; Borer, E.T.; Adler, P.B.; Harpole, W.S.; Hillebrand, H.; Lind, E.M.; MacDougall, A.S.; Stevens, C.J.; Bakker, J.D.; et al. Eutrophication weakens stabilizing effects of diversity in natural grasslands. Nature 2014, 508, 7497. [Google Scholar] [CrossRef] [PubMed]
- Ansari, A.A.; Singh Gill, S.; Lanza, G.R.; Rast, W. (Eds.) Eutrophication: Causes, Consequences and Control; Springer: Berlin/Heidelberg, Germany, 2011. [Google Scholar] [CrossRef]
- de Jonge, V.N.; Elliott, M.; Orive, E. Causes, historical development, effects and future challenges of a common environmental problem: Eutrophication. In Nutrients and Eutrophication in Estuaries and Coastal Waters: Proceedings of the 31st Symposium of the Estuarine and Coastal Sciences Association (ECSA), held in Bilbao, Spain, 3–7 July 2000; Orive, E., Elliott, M., de Jonge, V.N., Eds.; Springer: Berlin/Heidelberg, Germany, 2002; pp. 1–19. [Google Scholar] [CrossRef]
- USEPA. National Nutrient Strategy. Available online: https://www.epa.gov/nutrient-policy-data/national-nutrient-strategy (accessed on 4 February 2023).
- USEPA. Algal Toxin Risk Assessment and Management Strategic Plan for Drinking Water. Available online: https://www.epa.gov/ground-water-and-drinking-water/algal-toxin-risk-assessment-and-management-strategic-plan-drinking (accessed on 4 February 2023).
- USEPA. The Harmful Algal Bloom and Hypoxia Research and Control Amendments Act (HABHRCA). Available online: https://www.epa.gov/cyanohabs/harmful-algal-bloom-and-hypoxia-research-and-control-amendments-act-habhrca (accessed on 4 February 2023).
- Yu, S.; Miao, C.; Song, H.; Huang, Y.; Chen, W.; He, X. Efficiency of Nitrogen and Phosphorus Removal by Six Macrophytes from Eutrophic Water. Int. J. Phytoremediation 2019, 21, 643–651. [Google Scholar] [CrossRef] [PubMed]
- Rezania, S.; Park, J.; Rupani, P.F.; Darajeh, N.; Xu, X.; Shahrokhishahraki, R. Phytoremediation potential and control of Phragmites australis as a green phytomass: An overview. Environ. Sci. Pollut. Res. 2019, 26, 7428–7441. [Google Scholar] [CrossRef]
- Rezania, S.; Ponraj, M.; Talaiekhozani, A.; Mohamad, S.E.; Din, M.F.M.; Taib, S.M.; Sabbagh, F.; Sairan, F.M. Perspectives of phytoremediation using water hyacinth for removal of heavy metals, organic and inorganic pollutants in wastewater. J. Environ. Manag. 2015, 163, 125–133. [Google Scholar] [CrossRef]
- Lu, Q.; He, Z.L.; Graetz, D.A.; Stoffella, P.J.; Yang, X. Phytoremediation to remove nutrients and improve eutrophic stormwaters using water lettuce (Pistia stratiotes L.). Environ. Sci. Pollut. Res. 2008, 17, 84–96. [Google Scholar] [CrossRef]
- Chang, Y.; Cui, H.; Huang, M.; He, Y. Artificial Floating Islands for Water Quality Improvement. Environ. Rev. 2017, 25, 350–357. [Google Scholar] [CrossRef]
- Samal, K.; Kar, S.; Trivedi, S. Ecological Floating Bed (EFB) for Decontamination of Polluted Water Bodies: Design, Mechanism and Performance. J. Environ. Manag. 2019, 251, 109550. [Google Scholar] [CrossRef]
- Pavlineri, N.; Skoulikidis, N.T.; Tsihrintzis, V.A. Constructed Floating Wetlands: A review of research, design, operation and management aspects, and data meta-analysis. Chem. Eng. J. 2017, 308, 1120–1132. [Google Scholar] [CrossRef]
- Afzal, M.; Arslan, M.; Müller, J.A.; Shabir, G.; Islam, E.; Tahseen, R.; Anwar-ul-Haq, M.; Hashmat, A.J.; Iqbal, S.; Khan, Q.M. Floating Treatment Wetlands as a Suitable Option for Large-Scale Wastewater Treatment. Nat. Sustain. 2019, 2, 863–871. [Google Scholar] [CrossRef]
- Wang, X.; Luo, B.; Wang, L.; Zhao, Y.; Wang, Q.; Li, D.; Gu, B.; Min, Y.; Chang, S.X.; Ge, Y.; et al. Plant Diversity Improves the Effluent Quality and Stability of Floating Constructed Wetlands under Increased Ammonium/Nitrate Ratio in Influent. J. Environ. Manag. 2020, 266, 110607. [Google Scholar] [CrossRef]
- Walker, C.; Tondera, K.; Lucke, T. Stormwater Treatment Evaluation of a Constructed Floating Wetland after Two Years Operation in an Urban Catchment. Sustainability 2017, 9, 1687. [Google Scholar] [CrossRef]
- Yeh, N.; Yeh, P.; Chang, Y.-H. Artificial floating islands for environmental improvement. Renew. Sustain. Energy Rev. 2015, 47, 616–622. [Google Scholar] [CrossRef]
- Olguín, E.J.; Sánchez-Galván, G.; Melo, F.J.; Hernández, V.J.; González-Portela, R.E. Long-term assessment at field scale of Floating Treatment Wetlands for improvement of water quality and provision of ecosystem services in a eutrophic urban pond. Sci. Total. Environ. 2017, 584–585, 561–571. [Google Scholar] [CrossRef] [PubMed]
- Mack, J.J. Characteristic Ohio Plant Species for Wetland Restoration Projects v. 1.0. Ohio EPA Technical Report WET/2007-1; Ohio Environmental Protection Agency, Wetland Ecology Group, Division of Surface Water: Columbus, Ohio, 2007.
- Hausman, C.E.; Eysenbach, S.R.; Reinier, J.E.; Breth, M.F. Landscaping for Biodiversity with Ohio Native Plants: A Species Guide for Plantings; Cleveland Metroparks Technical Report 2017/NR-02; Division of Natural Resources, Cleveland Metroparks: Parma, Ohio, 2017. [Google Scholar]
- DeBusk, T.A.; Peterson, J.E.; Ramesh Reddy, K. Use of Aquatic and Terrestrial Plants for Removing Phosphorus from Dairy Wastewaters. Ecol. Eng. 1995, 5, 371–390. [Google Scholar] [CrossRef]
- Fraser, L.H.; Carty, S.M.; Steer, D. A Test of Four Plant Species to Reduce Total Nitrogen and Total Phosphorus from Soil Leachate in Subsurface Wetland Microcosms. Bioresour. Technol. 2004, 94, 185–192. [Google Scholar] [CrossRef]
- Picard, C.R.; Fraser, L.H.; Steer, D. The Interacting Effects of Temperature and Plant Community Type on Nutrient Removal in Wetland Microcosms. Bioresour. Technol. 2005, 96, 1039–1047. [Google Scholar] [CrossRef]
- Kearney, M.A.; Zhu, W. Growth of Three Wetland Plant Species under Single and Multi-Pollutant Wastewater Conditions. Ecol. Eng. 2012, 47, 214–220. [Google Scholar] [CrossRef]
- SOP #1502; Standard Operating Procedures for Handling Potentially High Hazard Environmental Samples. U.S. EPA Contract EP-W-09-031. SERAS—Scientific Engineering Response and Analytical Services: Edison, NJ, USA, 1994.
- Tharp, R.; Westhelle, K.; Hurley, S. Macrophyte Performance in Floating Treatment Wetlands on a Suburban Stormwater Pond: Implications for Cold Climate Conditions. Ecol. Eng. 2019, 136, 152–159. [Google Scholar] [CrossRef]
- Hill, J.O.; Simpson, R.J.; Moore, A.D.; Chapman, D.F. Morphology and Response of Roots of Pasture Species to Phosphorus and Nitrogen Nutrition. Plant Soil 2006, 286, 7. [Google Scholar] [CrossRef]
- Ryser, P. The Mysterious Root Length. Plant Soil 2006, 286, 1–6. [Google Scholar] [CrossRef]
- Plants Profile for Eleocharis palustris (Common spikerush). Available online: https://plants.usda.gov/home/plantProfile?symbol=ELPA3 (accessed on 4 February 2023).
- Plants Profile for Carex comosa (Longhair sedge). Available online: https://plants.usda.gov/home/plantProfile?symbol=CACO8 (accessed on 4 February 2023).
- Boerner, G.; Costa, O.S., Jr. Environmental controls on the geochemistry of a constructed wetland. In Proceedings of the Joint Meeting of the Northeastern/North-Central Sections of the Geological Society of America, Pittsburgh, PA, USA, 20–22 March 2011. [Google Scholar]
- Vymazal, J. Removal of Nutrients in Various Types of Constructed Wetlands. Sci. Total Environ. 2007, 380, 48–65. [Google Scholar] [CrossRef] [PubMed]
- Sim, C.H.; Yusoff, M.K.; Shutes, B.; Ho, S.C.; Mansor, M. Nutrient Removal in a Pilot and Full Scale Constructed Wetland, Putrajaya City, Malaysia. J. Environ. Manag. 2008, 88, 307–317. [Google Scholar] [CrossRef] [PubMed]
- Chen, C.; Wang, F.; Hong, Y.; Liu, R.; Luo, L. The Biomass Accumulation and Nutrient Storage of Five Plant Species in an In-Situ Phytoremediation Experiment in the Ningxia Irrigation Area. Sci. Rep. 2019, 9, 11365. [Google Scholar] [CrossRef]
- Wang, C.-Y.; Sample, D.J.; Day, S.D.; Grizzard, T.J. Floating Treatment Wetland Nutrient Removal through Vegetation Harvest and Observations from a Field Study. Ecol. Eng. 2015, 78, 15–26. [Google Scholar] [CrossRef]
- Ge, Z.; Feng, C.; Wang, X.; Zhang, J. Seasonal Applicability of Three Vegetation Constructed Floating Treatment Wetlands for Nutrient Removal and Harvesting Strategy in Urban Stormwater Retention Ponds. Int. Biodeterior. Biodegrad. 2016, 112, 80–87. [Google Scholar] [CrossRef]
- Zhou, H.; Li, X.; Xu, G.; Yu, H. Overview of Strategies for Enhanced Treatment of Municipal/Domestic Wastewater at Low Temperature. Sci. Total Environ. 2018, 643, 225–237. [Google Scholar] [CrossRef] [PubMed]
- Stewart, F.M.; Mulholland, T.; Cunningham, A.B.; Kania, B.G.; Osterlund, M.T. Floating islands as an alternative to constructed wetlands for treatment of excess nutrients from agricultural and municipal wastes—Results of laboratory-scale tests. L. Contam. Reclam. 2008, 16, 25–33. [Google Scholar] [CrossRef]
- Zhu, L.; Li, Z.; Ketola, T. Biomass Accumulations and Nutrient Uptake of Plants Cultivated on Artificial Floating Beds in China’s Rural Area. Ecol. Eng. 2011, 37, 1460–1466. [Google Scholar] [CrossRef]
- Fox, L.J.; Struik, P.C.; Appleton, B.L.; Rule, J.H. Nitrogen Phytoremediation by Water Hyacinth (Eichhornia Crassipes (Mart.) Solms). Water Air Soil Pollut. 2008, 194, 199–207. [Google Scholar] [CrossRef]
- Wang, C.-Y.; Sample, D.J.; Bell, C. Vegetation effects on floating treatment wetland nutrient removal and harvesting strategies in urban stormwater ponds. Sci. Total. Environ. 2014, 499, 384–393. [Google Scholar] [CrossRef]
- Ruiz, M.; Velasco, J. Nutrient Bioaccumulation in Phragmites Australis: Management Tool for Reduction of Pollution in the Mar Menor. Water Air Soil Pollut. 2009, 205, 173. [Google Scholar] [CrossRef]
- McAndrew, B.; Ahn, C.; Spooner, J. Nitrogen and Sediment Capture of a Floating Treatment Wetland on an Urban Stormwater Retention Pond—The Case of the Rain Project. Sustainability 2016, 8, 972. [Google Scholar] [CrossRef]
- Keizer-Vlek, H.E.; Verdonschot, P.F.M.; Verdonschot, R.C.M.; Dekkers, D. The Contribution of Plant Uptake to Nutrient Removal by Floating Treatment Wetlands. Ecol. Eng. 2014, 73, 684–690. [Google Scholar] [CrossRef]
- Wang, Y.; Sun, B.; Gao, X.; Li, N. Development and Evaluation of a Process-Based Model to Assess Nutrient Removal in Floating Treatment Wetlands. Sci. Total Environ. 2019, 694, 133633. [Google Scholar] [CrossRef]
- Headley, T.R.; Tanner, C.C. Floating Treatment Wetlands: An Innovative Option for Stormwater Quality Applications. In Proceedings of the 11th International Conference on Wetland Systems for Water Pollution Control, Indore, India, 1–7 November 2008. [Google Scholar]
- Wang, C.-Y.; Sample, D.J. Assessment of the Nutrient Removal Effectiveness of Floating Treatment Wetlands Applied to Urban Retention Ponds. J. Environ. Manag. 2014, 137, 23–35. [Google Scholar] [CrossRef] [PubMed]
- Jarvie, H.P.; Pallett, D.W.; Schäfer, S.M.; Macrae, M.L.; Bowes, M.J.; Farrand, P.; Warwick, A.C.; King, S.M.; Williams, R.J.; Armstrong, L.; et al. Biogeochemical and Climate Drivers of Wetland Phosphorus and Nitrogen Release: Implications for Nutrient Legacies and Eutrophication Risk. J. Environ. Qual. 2020, 49, 1703–1716. [Google Scholar] [CrossRef] [PubMed]






Disclaimer/Publisher’s Note: The statements, opinions and data contained in all publications are solely those of the individual author(s) and contributor(s) and not of MDPI and/or the editor(s). MDPI and/or the editor(s) disclaim responsibility for any injury to people or property resulting from any ideas, methods, instructions or products referred to in the content. |
© 2023 by the authors. Licensee MDPI, Basel, Switzerland. This article is an open access article distributed under the terms and conditions of the Creative Commons Attribution (CC BY) license (https://creativecommons.org/licenses/by/4.0/).
Share and Cite
Chen, Z.; Costa, O.S., Jr. Nutrient Sequestration by Two Aquatic Macrophytes on Artificial Floating Islands in a Constructed Wetland. Sustainability 2023, 15, 6553. https://doi.org/10.3390/su15086553
Chen Z, Costa OS Jr. Nutrient Sequestration by Two Aquatic Macrophytes on Artificial Floating Islands in a Constructed Wetland. Sustainability. 2023; 15(8):6553. https://doi.org/10.3390/su15086553
Chicago/Turabian StyleChen, Zhaozhe, and Ozeas S. Costa, Jr. 2023. "Nutrient Sequestration by Two Aquatic Macrophytes on Artificial Floating Islands in a Constructed Wetland" Sustainability 15, no. 8: 6553. https://doi.org/10.3390/su15086553
APA StyleChen, Z., & Costa, O. S., Jr. (2023). Nutrient Sequestration by Two Aquatic Macrophytes on Artificial Floating Islands in a Constructed Wetland. Sustainability, 15(8), 6553. https://doi.org/10.3390/su15086553

