Comparative Study on the Leaching Characteristics of Cd Passivated in Soils under Continuous Simulated Acid Rain
Abstract
1. Introduction
2. Materials and Methods
2.1. Materials
2.1.1. Soils and Stabilizers
2.1.2. Eluents
2.2. Methods
2.2.1. Leaching and the Collection of Leachates
2.2.2. The Analysis of the Fraction of Cd in the Soils
3. Results and Discussion
3.1. The Leached Cd from the Soils with Cd Immobilized by Activated Carbon
3.2. The Leached Cd from the Soil with Cd Immobilized by Calcium Superphosphate
3.3. Comparison of Total Leached Cd
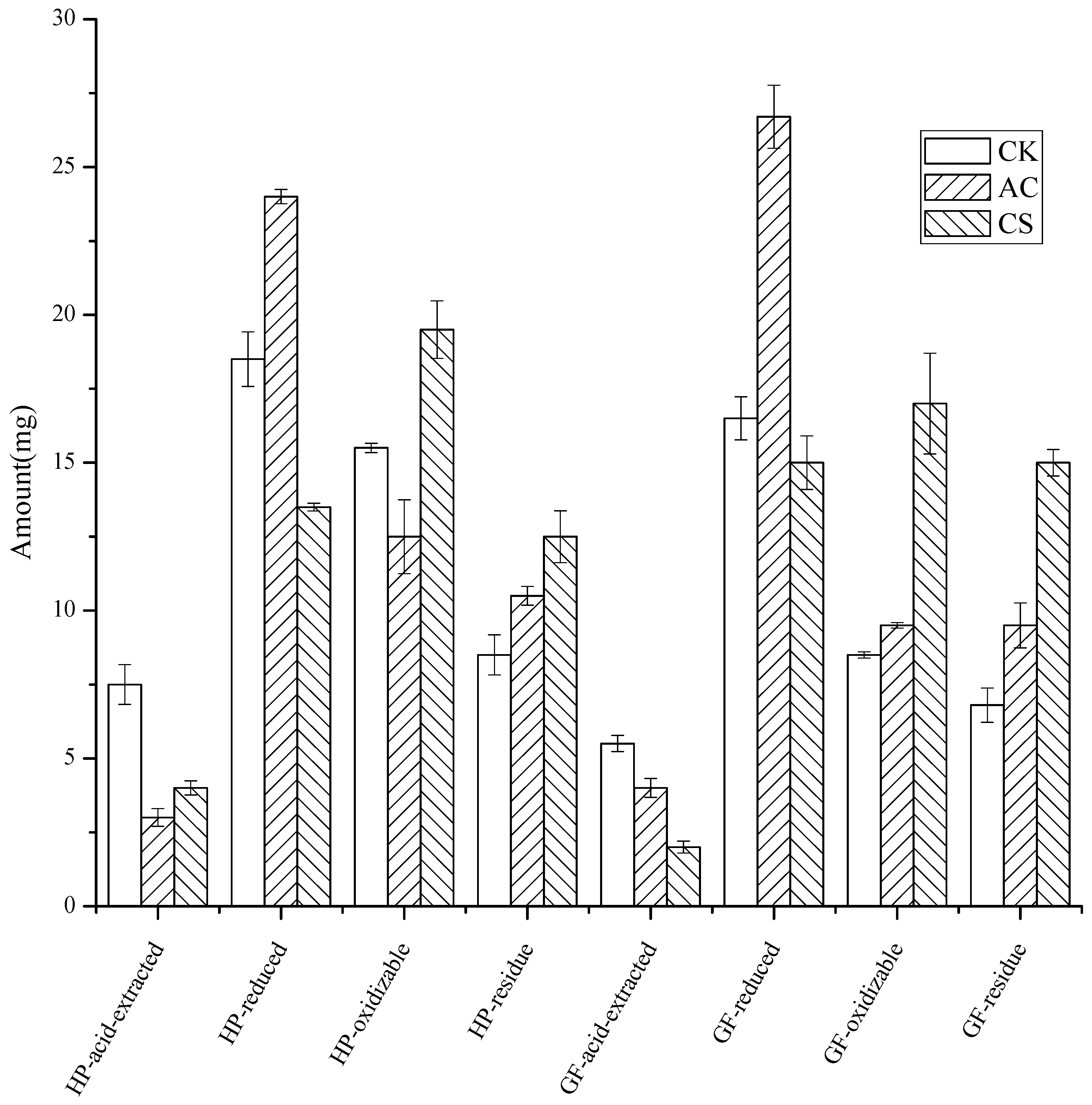
3.4. The Fraction of Cd in the Soils after the Leaching
4. Conclusions
Author Contributions
Funding
Institutional Review Board Statement
Informed Consent Statement
Data Availability Statement
Acknowledgments
Conflicts of Interest
References
- Bhattacharyya, R.; Ghosh, B.N.; Mishra, P.K.; Mandal, B.; Rao, C.S.; Sarkar, D.; Das, K.; Anil, K.S.; Lalitha, M.; Hati, K.M.; et al. Soil degradation in India: Challenges and potential solutions. Sustainability 2015, 7, 3528–3570. [Google Scholar] [CrossRef]
- Zhai, X.; Li, Z.; Huang, B.; Luo, N.; Huang, M.; Zhang, Q.; Zeng, G. Remediation of multiple heavy metal-contaminated soil through the combination of soil washing and in situ immobilization. Sci. Total Environ. 2018, 635, 92–99. [Google Scholar] [CrossRef] [PubMed]
- Peng, J.Y.; Zhang, S.; Han, Y.; Bate, B.; Ke, H.; Chen, Y. Soil heavy metal pollution of industrial legacies in China and health risk assessment. Sci. Total Environ. 2022, 816, 151632. [Google Scholar] [CrossRef]
- Ren, S.; Song, C.; Ye, S.; Cheng, C.; Gao, P. The spatiotemporal variation in heavy metals in China’s farmland soil over the past 20 years: A meta-analysis. Sci. Total Environ. 2022, 806, 150322. [Google Scholar] [CrossRef] [PubMed]
- Wang, M.; Liu, R.; Chen, W.; Peng, C.; Markert, B. Effects of urbanization on heavy metal accumulation in surface soils, Beijing. J. Environ. Sci. 2018, 64, 328–334. [Google Scholar] [CrossRef]
- Sun, R.; Gao, Y.; Yang, Y. Leaching of heavy metals from lead-zinc mine tailings and the subsequent migration and transformation characteristics in paddy soil. Chemosphere 2022, 291, 132792. [Google Scholar] [CrossRef]
- Chowdhury, A.; Naz, A.; Maiti, S.K. Bioaccumulation of potentially toxic elements in three mangrove species and human health risk due to their ethnobotanical uses. Environ. Sci. Pollut. Res. 2021, 28, 33042–33059. [Google Scholar] [CrossRef]
- Suhani, I.; Sahab, S.; Srivastava, V.; Singh, R.P. Impact of cadmium pollution on food safety and human health. Curr. Opin. Toxicol. 2021, 27, 1–7. [Google Scholar] [CrossRef]
- Yang, B.; Cao, Y.; Ren, J.; Wang, M.; Luo, H.; Li, F. Water incubation-induced fluctuating release of heavy metals in two smelter-contaminated soils. J. Environ. Sci. 2019, 82, 14–23. [Google Scholar] [CrossRef] [PubMed]
- Song, P.; Xu, D.; Yue, J.; Ma, Y.; Dong, S.; Feng, J. Recent advances in soil remediation technology for heavy metal contaminated sites: A critical review. Sci. Total Environ. 2022, 838, 156417. [Google Scholar] [CrossRef]
- Cai, C.; Zhao, M.; Yu, Z.; Rong, H.; Zhang, C. Utilization of nanomaterials for in-situ remediation of heavy metal(loid) contaminated sediments: A review. Sci. Total Environ. 2019, 662, 205–217. [Google Scholar] [CrossRef]
- Oladoye, P.O.; Olowe, O.M.; Asemoloye, M.D. Phytoremediation technology and food security impacts of heavy metal contaminated soils: A review of literature. Chemosphere 2022, 288, 132555. [Google Scholar] [CrossRef] [PubMed]
- Hamid, Y.; Tang, L.; Yaseen, M.; Hussain, B.; Zehra, A.; Aziz, M.; He, Z.; Yang, X. Comparative efficacy of organic and inorganic amendments for cadmium and lead immobilization in contaminated soil under rice-wheat cropping system. Chemosphere 2019, 214, 259–268. [Google Scholar] [CrossRef]
- Yang, X.; Zhang, Y.; Jia, J.; Zhang, X. Soil Reclamation Models by Soil Water Infiltration for Refuse Dumps in Opencast Mining Area of Northern China. Sustainability 2022, 14, 15929. [Google Scholar] [CrossRef]
- Ge, X.; Wang, L.; Zhang, W.; Putnis, C.V. Molecular Understanding of Humic Acid-Limited Phosphate Precipitation and Transformation. Environ. Sci. Technol. 2020, 54, 207–215. [Google Scholar] [CrossRef]
- Huang, G.; Gao, R.; You, J.; Zhu, J.; Fu, Q.; Hu, H. Oxalic acid activated phosphate rock and bone meal to immobilize Cu and Pb in mine soils. Ecotoxicol. Environ. Saf. 2019, 174, 401–407. [Google Scholar] [CrossRef] [PubMed]
- Hu, C.; Wei, M.; Chen, J.; Liu, H.; Kou, M. Comparative study of the adsorption /immobilization of Cu by turmeric residues after microbial and chemical extraction. Sci. Total Environ. 2019, 691, 1082–1088. [Google Scholar] [CrossRef] [PubMed]
- Lin, H.; Wang, Z.; Liu, C.; Dong, Y. Technologies for removing heavy metal from contaminated soils on farmland: A review. Chemosphere 2022, 305, 135457. [Google Scholar] [CrossRef]
- Malik, K.M.; Khan, K.S.; Rukh, S.; Khan, A.; Akbar, S.; Billah, M.; Bashir, S.; Danish, S.; Alwahibi, M.S.; Elshika, M.S.; et al. Immobilization of Cd, Pb and Zn through organic amendments in wastewater irrigated soils. Sustainability 2021, 13, 2392. [Google Scholar] [CrossRef]
- Wang, G.; Tariq, M.; Liang, W.; Wan, J.; Peng, C.; Zhang, W.; Cao, X.; Lou, Z. A comparative and modeled approach for three biochar materials in simultaneously preventing the migration and reducing the bioaccessibility of heavy metals in soil: Revealing immobilization mechanisms. Environ. Pollut. 2022, 309, 119792. [Google Scholar] [CrossRef]
- Ko, M.; Jeon, Y.; Kim, K. Novel application of xanthan gum-based biopolymer for heavy metal immobilization in soil. J. Environ. Chem. Eng. 2022, 10, 108240. [Google Scholar] [CrossRef]
- Mohan, D.; Singh, K.P. Single- and multi-component adsorption of cadmium and zinc using activated carbon derived from bagasse—An agricultural waste. Water Res. 2002, 36, 2304–2318. [Google Scholar] [CrossRef] [PubMed]
- Que, W.; Zhou, Y.; Liu, Y.; Wen, J.; Tan, X.; Liu, S.; Jiang, L. Appraising the effect of in-situ remediation of heavy metal contaminated sediment by biochar and activated carbon on Cu immobilization and microbial community. Ecol. Eng. 2019, 127, 519–526. [Google Scholar] [CrossRef]
- Derakhshan-Nejad, Z.; Rezania, S.; Jung, M.C.; Al-Ghamdi, A.A.; Mustafa, A.E.Z.M.A.; Elshikh, M.S. Effects of fine fractions of soil organic, semi-organic, and inorganic amendments on the mitigation of heavy metal(loid)s leaching and bioavailability in a post-mining area. Chemosphere 2021, 271, 129538. [Google Scholar] [CrossRef]
- Gao, R.; Zhu, P.; Guo, G.; Hu, H.; Zhu, J.; Fu, Q. Efficiency of several leaching reagents on removal of Cu, Pb, Cd, and Zn from highly contaminated paddy soil. Environ. Sci. Pollut. Res. 2016, 23, 23271–23280. [Google Scholar] [CrossRef] [PubMed]
- Wang, P.; Sun, Z.; Hu, Y.; Cheng, H. Leaching of heavy metals from abandoned mine tailings brought by precipitation and the associated environmental impact. Sci. Total Environ. 2019, 695, 133893. [Google Scholar] [CrossRef] [PubMed]
- He, R.; Zhang, S.; Zhang, X.; Zhang, Z.; Zhao, Y.; Ding, H. Copper slag: The leaching behavior of heavy metals and its applicability as a supplementary cementitious material. J. Environ. Chem. Eng. 2021, 9, 105132. [Google Scholar] [CrossRef]
- Ning, Y.; Zhang, X.; Li, B.; Wang, Y.; Guo, J. Distribution of Cd and Cu fractions in Chinese soils and their relationships with soil pH: A meta-analysis. Sustainability 2019, 11, 337. [Google Scholar] [CrossRef]
- Li, J.; Jia, C.; Lu, Y.; Tang, S.; Shim, H. Multivariate analysis of heavy metal leaching from urban soils following simulated acid rain. Microchem. J. 2015, 122, 89–95. [Google Scholar] [CrossRef]
- Du, Y.J.; Wei, M.L.; Reddy, K.R.; Liu, Z.P.; Jin, F. Effect of acid rain pH on leaching behavior of cement stabilized lead-contaminated soil. J. Hazard. Mater. 2014, 271, 131–140. [Google Scholar] [CrossRef]
- Gee, G.W.; Bauder, J.W. Particle-size analysis. In Methods of Soil Analysis, Part 1, Physical and Mineralogical Methods; Klute, A., Ed.; ASA/SSSA: Madison, WI, USA, 1986. [Google Scholar]
- Nelson, D.W.; Sommers, L.E. Total carbon, organic carbon, and organic matter: Laboratory methods. In Methods of Soil Analysis, Part 3, Chemical Methods; Sparks, D.L., Ed.; ASA/SSSA: Madison, WI, USA, 1996; pp. 961–1010. [Google Scholar]
- Sumner, M.E.; Miller, W.P. Cation and exchange capacity and exchange coefficients. In Methods of Soil Analysis, Part 3, Chemical Methods; Sparks, D.L., Ed.; ASA/SSSA: Madison, WI, USA, 1996; pp. 1201–1231. [Google Scholar]
- Zhai, P.; Zhang, X.; Wan, H.; Pan, X. Trends in total precipitation and frequency of daily precipitation extremes over China. J. Clim. 2005, 18, 1096–1108. [Google Scholar] [CrossRef]
- Borthakur, A.; Chhour, K.L.; Gayle, H.L.; Prehn, S.R.; Stenstrom, M.K.; Mohanty, S.K. Natural aging of expanded shale, clay, and slate (ESCS) amendment with heavy metals in stormwater increases its antibacterial properties: Implications on biofilter design. J. Hazard. Mater. 2022, 429, 128309. [Google Scholar] [CrossRef]
- Quevauviller, P.; Rauret, G.; López-Sánchez, R.J.F.R.; Muntau, A.U.H. Certification of trace metal extractable contents in a sediment reference material (CRM 601) following a three-step sequential extraction procedure. Sci. Total Environ. 1997, 205, 223–234. [Google Scholar] [CrossRef]
- Jiang, L.; Sun, H.; Peng, T.; Ding, W.; Liu, B.; Liu, Q. Comprehensive evaluation of environmental availability, pollution level and leaching heavy metals behavior in non-ferrous metal tailings. J. Environ. Manag. 2021, 290, 112639. [Google Scholar] [CrossRef] [PubMed]
- Li, C.; Wang, J.; Jiang, Y.; Bai, Y.; Cheng, L. The evolution of different dissolved organic matter components and release characteristics of heavy metals in leaching process from sewage sludge under simulated rain. Environ. Sci. Pollut. Res. 2022, 29, 86651–86664. [Google Scholar] [CrossRef]
- Wei, M.; Li, Y.; Yu, B.; Liu, L.; Xue, Q.; Du, Y. Assessment of semi-dynamic leaching characteristics of lead and zinc from stabilized contaminated soil using sustainable phosphate-based binder after carbonation. J. Clean. Prod. 2022, 332, 130126. [Google Scholar] [CrossRef]
- Cui, J.; Luo, C.; Tang, C.; Chan, T.; Li, X. Speciation and leaching of trace metal contaminants from e-waste contaminated soils. J. Hazard. Mater. 2017, 329, 150–158. [Google Scholar] [CrossRef]
- Hashimoto, Y.; Matsufuru, H.; Sato, T. Attenuation of lead leachability in shooting range soils using poultry waste amendments in combination with indigenous plant species. Chemosphere 2008, 73, 643–649. [Google Scholar] [CrossRef] [PubMed]





| Soil | pH | Clay Content (<0.01 mm, %) | OM (g/kg) | Cation Exchange Capacity (cmol/kg) | Initial Concentration of Cd (mg/kg) |
|---|---|---|---|---|---|
| HP | 5.8 | 54.8 | 39.5 | 8.5 | 0.268 |
| GF | 7.5 | 69.1 | 19.8 | 14.5 | 0.102 |
Disclaimer/Publisher’s Note: The statements, opinions and data contained in all publications are solely those of the individual author(s) and contributor(s) and not of MDPI and/or the editor(s). MDPI and/or the editor(s) disclaim responsibility for any injury to people or property resulting from any ideas, methods, instructions or products referred to in the content. |
© 2023 by the authors. Licensee MDPI, Basel, Switzerland. This article is an open access article distributed under the terms and conditions of the Creative Commons Attribution (CC BY) license (https://creativecommons.org/licenses/by/4.0/).
Share and Cite
Hu, C.; Dai, Y.; Hu, H.; Li, C.; Chen, K.; Tang, Y. Comparative Study on the Leaching Characteristics of Cd Passivated in Soils under Continuous Simulated Acid Rain. Sustainability 2023, 15, 6286. https://doi.org/10.3390/su15076286
Hu C, Dai Y, Hu H, Li C, Chen K, Tang Y. Comparative Study on the Leaching Characteristics of Cd Passivated in Soils under Continuous Simulated Acid Rain. Sustainability. 2023; 15(7):6286. https://doi.org/10.3390/su15076286
Chicago/Turabian StyleHu, Chao, Yujun Dai, Hongqing Hu, Changchun Li, Kailiang Chen, and Yafang Tang. 2023. "Comparative Study on the Leaching Characteristics of Cd Passivated in Soils under Continuous Simulated Acid Rain" Sustainability 15, no. 7: 6286. https://doi.org/10.3390/su15076286
APA StyleHu, C., Dai, Y., Hu, H., Li, C., Chen, K., & Tang, Y. (2023). Comparative Study on the Leaching Characteristics of Cd Passivated in Soils under Continuous Simulated Acid Rain. Sustainability, 15(7), 6286. https://doi.org/10.3390/su15076286

