Analysis and Optimization of an Expansion Energy-Absorbing Anti-Crawler for Rail Vehicles
Abstract
1. Introduction
2. Experimental Testing and Finite Element Simulation
2.1. Expansion Energy-Absorbing Anti-Crawler
2.2. Experimental Test
2.3. Building the Finite Element Model
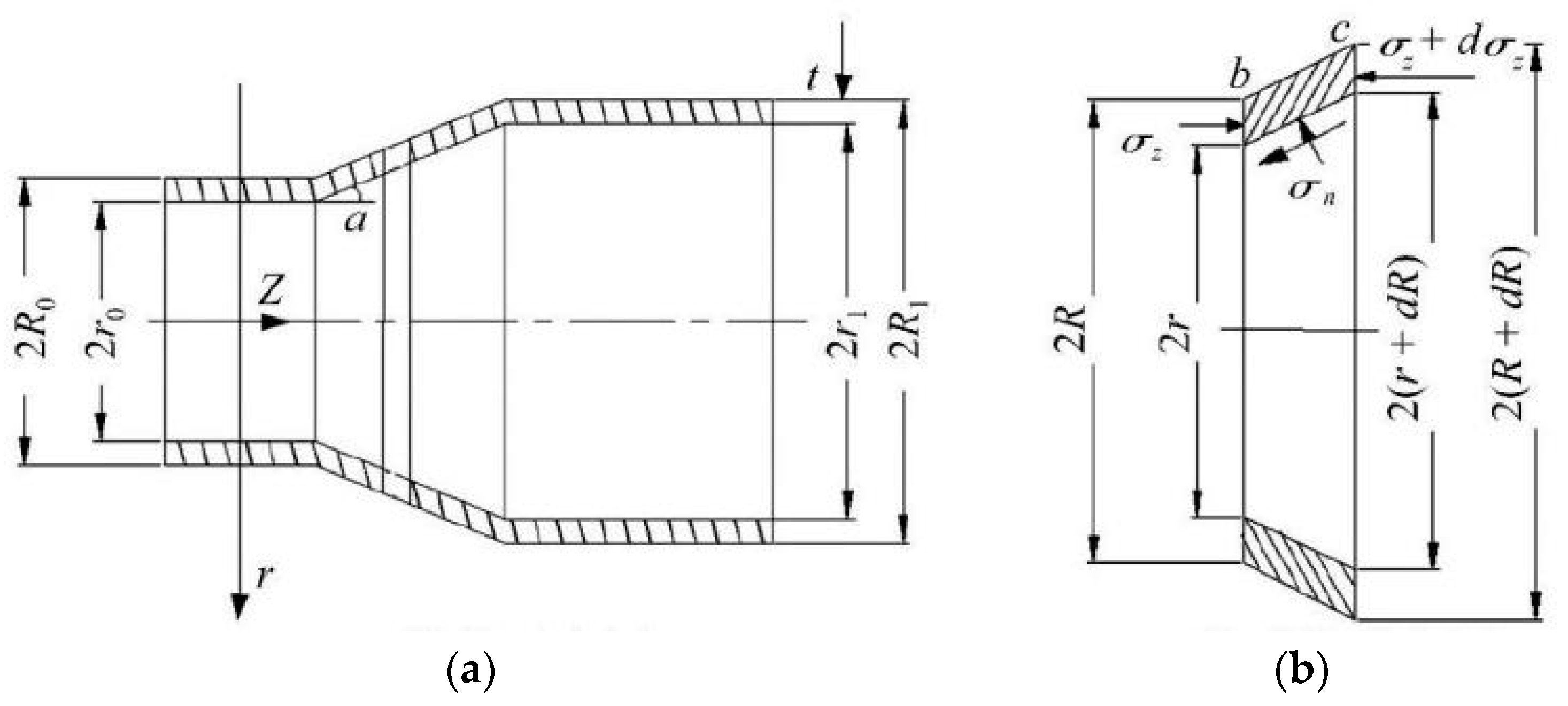
- (1)
- Theoretical analysis of energy absorption characteristics
- (2)
- Finite element model
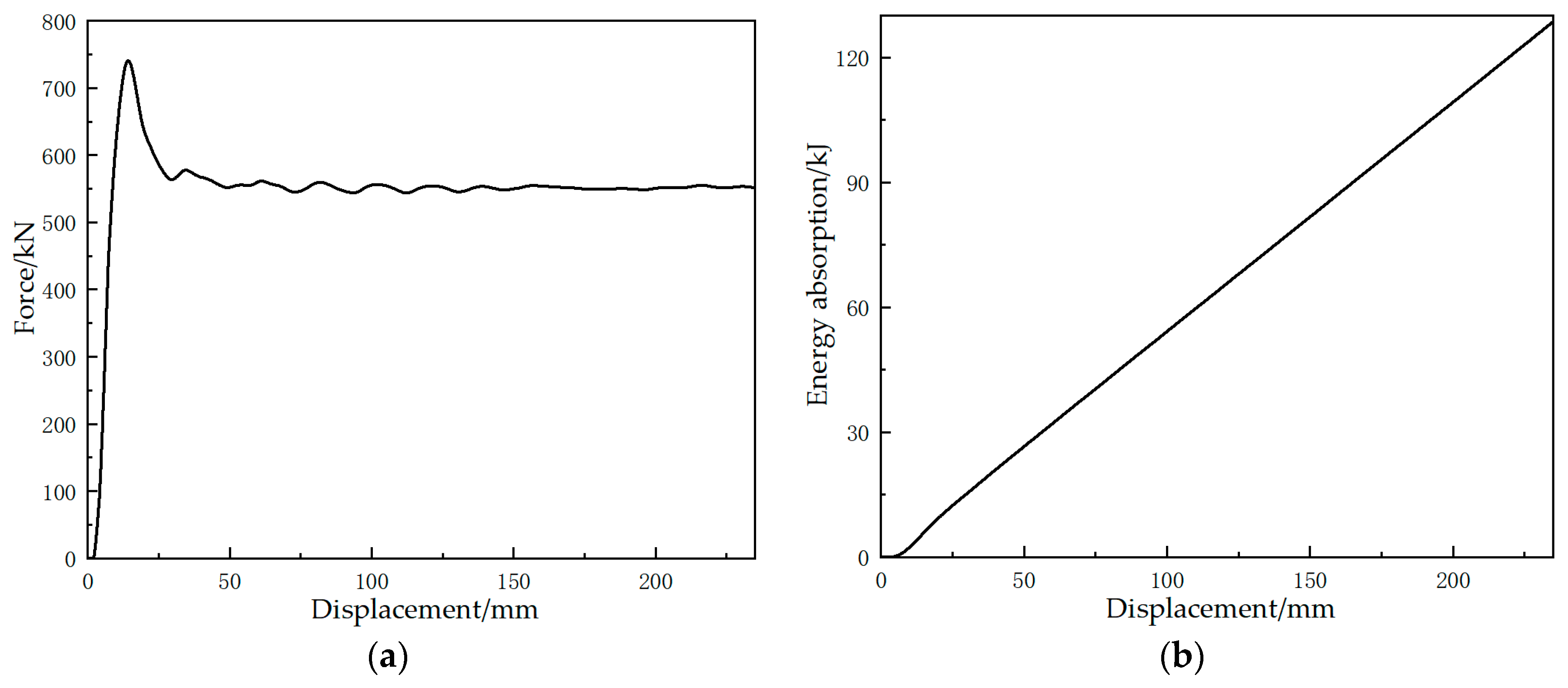
2.4. Validation of the FE Mode
3. Approximate Model and Factorial Analysis
3.1. Design of Experiments (DOE)
3.1.1. Variables and Responses
3.1.2. Sampling Design
3.2. Main Effects
3.3. Approximate Model
3.4. Error Analysis of the Approximate Model
4. Optimization
4.1. Description of Optimization Problem
4.2. Optimization Algorithm
4.3. Results and Discussion
5. Conclusions
Author Contributions
Funding
Institutional Review Board Statement
Informed Consent Statement
Data Availability Statement
Acknowledgments
Conflicts of Interest
Abbreviations
| Abbreviation | Description |
| T | expansion tube thickness |
| B | matrix constructed by the input value of DOE |
| D | distance from the optimal solution (knee point) to the ideal point (utopia point) |
| E | Young’s modulus |
| EA | energy absorption |
| Eh | strain hardening modulus |
| E1 | initial kinetic energy of the overall specimen, |
| E2 | kinetic energy of the overall specimen after the expansion anti-crawler has finished absorbing energy |
| Favg | average force |
| F(a) | instantaneous crashing force function |
| Fi | normalized value of point i |
| fi | optimized value of point i |
| fik | objective function k corresponding to the Pareto solution |
| fmax | maximum value in the optimized value |
| fmin | minimum value in the optimized value |
| f(y) | equation for the linear effect of the independent variable y on the response f(y) |
| K | plane deformation resistance |
| L | length of the expansion tube of the expansion energy-absorbing device |
| M | overall specimen |
| M1 | mass of the expansion energy-absorbing anti-crawler |
| m | number of objective functions |
| N | number of runs and n is the number of design variables |
| Nc | number of star points |
| 2n | number of center points |
| 2n | number of factorial points |
| R0 | outer diameter |
| R1 | outer diameter after the expansion deformation |
| r0 | inner diameter |
| r1 | inner diameter after the expansion deformation |
| S | combination parameter of the friction coefficient between the inner wall of the expansion tube and the cone head and the cone angle α of the cone head of the expansion energy absorption structure |
| SEA | specific energy absorption |
| t | wall thickness |
| v1 | initial velocity of collision |
| v2 | velocity of the overall specimen after the expansion anti-crawler has finished absorbing energy |
| W | weighting factor corresponding to each sampling point |
| x1 and x2 | displacement of the anti-climber at the beginning and end of the collision, respectively |
| y | equation for the linear effect of the independent variable y |
| corresponding predicted | |
| average values of the response for each sampling point | |
| α | slope angle of conical mandrel |
| γ | regression coefficient vector |
| μ | friction coefficient |
| ν | Poisson’s ratio |
| ρ | density |
| τ | action stroke of the expansion tube of the expansion energy-absorbing device |
| σm | radial compressive stress |
| corresponding yield stress of the material | |
| σx | axial compressive stress |
| σy | yield stress |
| σγ | denotes the circumferential compressive stress |
| combined stress of the radial compressive stress σm and the friction stress of the circular primitive body | |
| distance between a star point and the center of the design space |
References
- Chen, Z.; Zhai, W.; Cai, C.; Sun, Y. Safety threshold of high-speed railway pier settlement based on train-track-bridge dynamic interaction. Sci. China Technol. Sci. 2015, 58, 202–210. [Google Scholar] [CrossRef]
- Fang, J.G.; Gao, Y.K.; Sun, G.Y.; Zhang, Y.T.; Li, Q. Crashworthiness design of foam-filled bitubal structures with uncertainty. Int. J. Non-Linear Mech. 2014, 67, 120–132. [Google Scholar] [CrossRef]
- Xiao, Z.; Fang, J.G.; Sun, G.Y.; Li, Q. Crashworthiness design for functionally graded foam-filled bumper beam. Adv. Eng. Softw. 2015, 85, 81–95. [Google Scholar] [CrossRef]
- He, Q.; Ma, D.W.; Zhang, Z.D.; Yao, L. Mean compressive stress constitutive equation and crashworthiness optimization design of three novel honeycombs under axial compression. Int. J. Mech. Sci. 2015, 99, 274–287. [Google Scholar] [CrossRef]
- Ko, Y.; Ahn, K.; Huh, H.; Choi, W.; Jung, H.; Kwon, T. Evaluation of crash energy absorption capacity of a tearing tube. Exp. Appl. Mech. 2010, 6, 647–654. [Google Scholar] [CrossRef]
- Jahromi, A.G.; Hatami, H. Energy absorption performance on multilayer expanded metal tubes under axial impact. Thin-Walled Struct. 2017, 116, 1–11. [Google Scholar] [CrossRef]
- Hatami, H.; Rad, M.S.; Jahromi, A.G. A theoretical analysis of the energy absorption response of expanded metal tubes under impact loads. Int. J. Impact Eng. 2017, 109, 224–239. [Google Scholar] [CrossRef]
- Nouri, M.D.; Hatami, H.; Jahromi, A.G. Experimental and numerical investigation of expanded metal tube absorber under axial impact loading. Struct. Eng. Mech. 2015, 54, 1245–1266. [Google Scholar] [CrossRef]
- Hatami, H.; Nouri, M.D. Experimental and numerical investigation of lattice-walled cylindrical shell under low axial impact velocities. Lat. Am. J. Solids Struct. 2015, 12, 1950–1971. [Google Scholar] [CrossRef]
- Yang, J.; Luo, M.; Hua, Y.; Lu, G. Energy absorption of expansion tubes using a conical–cylindrical die: Experiments and numerical simulation. Int. J. Mech. Sci. 2010, 52, 716–725. [Google Scholar] [CrossRef]
- Qi, C.; Yang, S.; Dong, F. Crushing analysis and multiobjective crashworthiness optimization of tapered square tubes under oblique impact loading. Thin-Walled Struct. 2012, 59, 103–119. [Google Scholar] [CrossRef]
- Guillow, S.R.; Lu, G.; Grzebieta, R.H. Quasi-static axial compression of thin-walled circular aluminium tubes. Int. J. Mech. Sci. 2001, 43, 2103–2123. [Google Scholar] [CrossRef]
- Reddy, T.Y. Guist and Marble revisited—On the natural knuckle radius in tube inversion. Int. J. Mech. Sci. 1992, 34, 761–768. [Google Scholar] [CrossRef]
- Reid, S.R.; Harrigan, J.J. Transient effects in the quasi-static and dynamic internal inversion and nosing of metal tubes. Int. J. Mech. Sci. 1998, 40, 263–280. [Google Scholar] [CrossRef]
- Shakeri, M.; Salehghaffari, S.; Mirzaeifar, R. Expansion of circular tubes by rigid tubes as impact energy absorbers: Experimental and theoretical investigation. Int. J. Crashworthiness 2007, 12, 493–501. [Google Scholar] [CrossRef]
- Yan, J.; Yao, S.; Xu, P.; Peng, Y.; Shao, H.; Zhao, S. Theoretical prediction and numerical studies of expanding circular tubes as energy absorbers. Int. J. Mech. Sci. 2016, 105, 206–214. [Google Scholar] [CrossRef]
- Al-Abri, O.S.; Pervez, T. Structural behavior of solid expandable tubular undergoes radial expansion process–analytical, numerical, and experimental approaches. Int. J. Solids Struct. 2013, 50, 2980–2994. [Google Scholar] [CrossRef]
- Seibi, A.C.; Barsoum, I.; Molki, A. Experimental and numerical study of expanded aluminum and steel tubes. Procedia Eng. 2011, 10, 3049–3055. [Google Scholar] [CrossRef]
- Yao, S.; Li, Z.; Yan, J.; Xu, P.; Peng, Y. Analysis and parameters optimization of an expanding energy-absorbing structure for a rail vehicle coupler. Thin-Walled Struct. 2018, 125, 129–139. [Google Scholar] [CrossRef]
- Zhang, B.; Zhao, H. Optistruct-based anti-crawler structure optimization design. Railr. Cars 2011, 28, 52–56. [Google Scholar] [CrossRef]
- Gao, G.; Guan, W.; Li, J.; Dong, H.; Zou, X.; Chen, W. Experimental investigation of an active–passive integration energy absorber for railway vehicles. Thin-Walled Struct. 2017, 117, 89–97. [Google Scholar] [CrossRef]
- Ihsan, M.N.; Santosa, S.P.; Gunawan, L.; Budiwantoro, B. Design and optimization of anti-climber device for light rail transit crash energy management system. Int. J. Crashworthiness 2022. [Google Scholar] [CrossRef]
- Guan, W.; Gao, G. Crashworthiness analysis of shrink circular tube energy absorbers with anti-climbers under multiple loading cases. Mech. Adv. Mater. Struct. 2022. [Google Scholar] [CrossRef]
- Wang, W.; Jiang, J.; Wang, Q. The simulation study for energy-absorbing properties of the railway vehicle’s anti-climber with different vertical offsets. Appl. Mech. Mater. 2013, 300–301, 160–165. [Google Scholar] [CrossRef]
- Gao, G.; Shu, K.; Guan, W.; Yu, Y. Crashworthiness analysis of shrink circular tube energy absorbers with an anti-clamber for trains. J. Railw. Sci. Eng. 2022, 19, 520–527. [Google Scholar] [CrossRef]
- Zhou, H.; Mei, M.; Zhang, J.; Tu, H. Investigations on the vertical buckling of railway vehicle’s anti-climber. Int. J. Crashworthiness 2019, 26, 171–181. [Google Scholar] [CrossRef]
- Yang, J.; Tang, Z.; He, F.; Zhang, Y.; Yu, Y. Energy absorption and anti-impact properties of mine diameter-expanding energy absorption components. J. Vib. Shock. 2015, 34, 134–138. [Google Scholar] [CrossRef]
- Paz, J.; Diaz, J.; Romera, L.; Costas, M. Crushing analysis and multi-objective crashworthiness optimization of GFRP honeycomb-filled energy absorption devices. Finite Elem. Anal. Des. 2014, 91, 30–39. [Google Scholar] [CrossRef]
- Oudjene, M.; Ben-Ayed, L.; Delamézière, A.; Batoz, J.L. Shape optimization of clinching tools using the response surface methodology with Moving Least-Square approximation. J. Mater. Process. Tech. 2009, 209, 289–296. [Google Scholar] [CrossRef]



















| Component | Parameters | Value |
|---|---|---|
| Deformable tube | Inner radius r (mm) | 65 |
| Section length (mm) | 395 | |
| Thickness T (mm) | 6 | |
| Conical mandrel | Maximum outer radius R (mm) | 69 |
| Slope angle α (°) | 15 |
| Design Variable | Full Factorial Design | |
|---|---|---|
| Deformable Tube | Levels | Values |
| μ | 5 | 0.04, 0.08, 0.12, 0.16, 0.20 |
| α (°) | 4 | 10, 15, 20, 25 |
| T (mm) | 7 | 5, 5.5, 6, 6.5, 7, 7.5, 8 |
| T (mm) | μ | α (°) | Favg_FEM (kN) | Favg_MLSM (kN) | Absolute Percent Error (%) |
|---|---|---|---|---|---|
| 5.5 | 0.08 | 25 | 497.31048 | 503.27124 | −1.19859 |
| 5.5 | 0.12 | 15 | 511.79283 | 506.32325 | 1.068709 |
| 5.5 | 0.20 | 15 | 532.98385 | 540.25486 | −1.36420 |
| 6 | 0.08 | 15 | 537.10716 | 531.59944 | 1.025441 |
| 6 | 0.20 | 15 | 597.39303 | 590.07693 | 1.224670 |
| 6 | 0.12 | 10 | 523.17761 | 517.16446 | 1.149351 |
| 6 | 0.16 | 10 | 543.37462 | 537.62911 | 1.057375 |
| 6.5 | 0.12 | 25 | 657.29042 | 648.74385 | 1.300273 |
| 6.5 | 0.16 | 15 | 626.80114 | 618.91920 | 1.257487 |
| 7 | 0.08 | 10 | 560.73874 | 566.19429 | 0.972922 |
| 7.5 | 0.20 | 20 | 742.31293 | 751.85391 | −1.28530 |
| 8 | 0.12 | 15 | 746.70081 | 737.75697 | 1.197779 |
| 8 | 0.20 | 15 | 787.34132 | 779.52082 | 0.993282 |
| T (mm) | μ | α (°) | SEA_FEM (kJ/kg) | SEA_MLSM (kJ/kg) | Absolute Percent Error (%) |
|---|---|---|---|---|---|
| 5 | 0.16 | 15 | 22.38567 | 24.13961 | −7.83512 |
| 5.5 | 0.16 | 25 | 31.56900 | 33.34095 | −5.61293 |
| 5.5 | 0.16 | 10 | 20.63010 | 22.14823 | −7.35877 |
| 6 | 0.20 | 15 | 32.44049 | 30.74795 | 5.217536 |
| 6 | 0.12 | 10 | 24.91362 | 23.64514 | 5.091509 |
| 6 | 0.20 | 10 | 28.75704 | 27.03364 | 5.99296 |
| 7.5 | 0.16 | 25 | 33.30909 | 35.80779 | −7.50158 |
| 7.5 | 0.20 | 15 | 25.71904 | 27.03243 | −5.10669 |
| 7.5 | 0.20 | 10 | 21.74631 | 23.24845 | −6.90756 |
| 8 | 0.12 | 25 | 33.22336 | 35.08246 | −5.59577 |
| 8 | 0.16 | 25 | 42.95868 | 39.07978 | 9.029371 |
| 8 | 0.12 | 20 | 28.57145 | 30.23943 | −5.83794 |
| 8 | 0.12 | 15 | 25.00158 | 26.32633 | −5.29867 |
| 8 | 0.16 | 15 | 32.47899 | 29.82837 | 8.16103 |
| 8 | 0.12 | 10 | 20.53628 | 21.96152 | −6.94012 |
| 8 | 0.16 | 10 | 27.36283 | 25.33468 | 7.412065 |
| Objective | Favg | SEA |
|---|---|---|
| R2 | 0.999235 | 0.961405 |
| RAAE | 0.004232 | 0.027534 |
| Maximum Iterations | Minimum Number of Iterations | Population Size | Mutation Rate | Elite Size/% | Constraint Violation Law Rate/% | Nondominance Number of Points |
|---|---|---|---|---|---|---|
| 50 | 25 | 70 | 0.01 | 10 | 0.1 | 500 |
| Favg/(kN) | SEA/(kJ/kg) | |
|---|---|---|
| Predicted | 602.99 | 37.01 |
| Numerical | 595.98 | 36.52 |
| Error | 1.2% | 1.3% |
| T (mm) | μ | α (°) | Favg/(kN) | SEA/(kJ/kg) | |
|---|---|---|---|---|---|
| Initial values | 6 | 0.1 | 15 | 558.24 | 27.73 |
| Optimum values | 5.76 | 0.178 | 25 | 595.98 | 36.52 |
Disclaimer/Publisher’s Note: The statements, opinions and data contained in all publications are solely those of the individual author(s) and contributor(s) and not of MDPI and/or the editor(s). MDPI and/or the editor(s) disclaim responsibility for any injury to people or property resulting from any ideas, methods, instructions or products referred to in the content. |
© 2023 by the authors. Licensee MDPI, Basel, Switzerland. This article is an open access article distributed under the terms and conditions of the Creative Commons Attribution (CC BY) license (https://creativecommons.org/licenses/by/4.0/).
Share and Cite
Zhao, Z.; Xu, P. Analysis and Optimization of an Expansion Energy-Absorbing Anti-Crawler for Rail Vehicles. Sustainability 2023, 15, 6288. https://doi.org/10.3390/su15076288
Zhao Z, Xu P. Analysis and Optimization of an Expansion Energy-Absorbing Anti-Crawler for Rail Vehicles. Sustainability. 2023; 15(7):6288. https://doi.org/10.3390/su15076288
Chicago/Turabian StyleZhao, Zelong, and Ping Xu. 2023. "Analysis and Optimization of an Expansion Energy-Absorbing Anti-Crawler for Rail Vehicles" Sustainability 15, no. 7: 6288. https://doi.org/10.3390/su15076288
APA StyleZhao, Z., & Xu, P. (2023). Analysis and Optimization of an Expansion Energy-Absorbing Anti-Crawler for Rail Vehicles. Sustainability, 15(7), 6288. https://doi.org/10.3390/su15076288

