Prediction of Gender-Biased Perceptions of Learners and Teachers Using Machine Learning
Abstract
1. Introduction
- How is gender portrayed in the text books, and what are the perceptions of teachers and learners regarding gender depiction?
- To what extent does AI-assisted gender-portrayal prediction vary according to different themes?
- An analysis of the two text books taught at intermediate level to discern gender portrayal in these text books.
- An investigation of the perceptions of teachers and learners regarding gender portrayal in the English text books.
- A comprehension and discussion of the AI-assisted gender-portrayal predictions as perceived by the teachers and learners.
- A reflection on the implications of the integration of human–AI analytical disparities around gender inequality.
2. Literature Review
3. Materials and Methods
3.1. Methodology
3.2. Data Collection
3.3. Data Description
3.4. Data Labeling and Train–Test Split
3.5. AI/ML Training and Evaluation
3.5.1. Support Vector Machine
3.5.2. Logistic Regression
3.5.3. Decision Trees
3.5.4. Random Forest
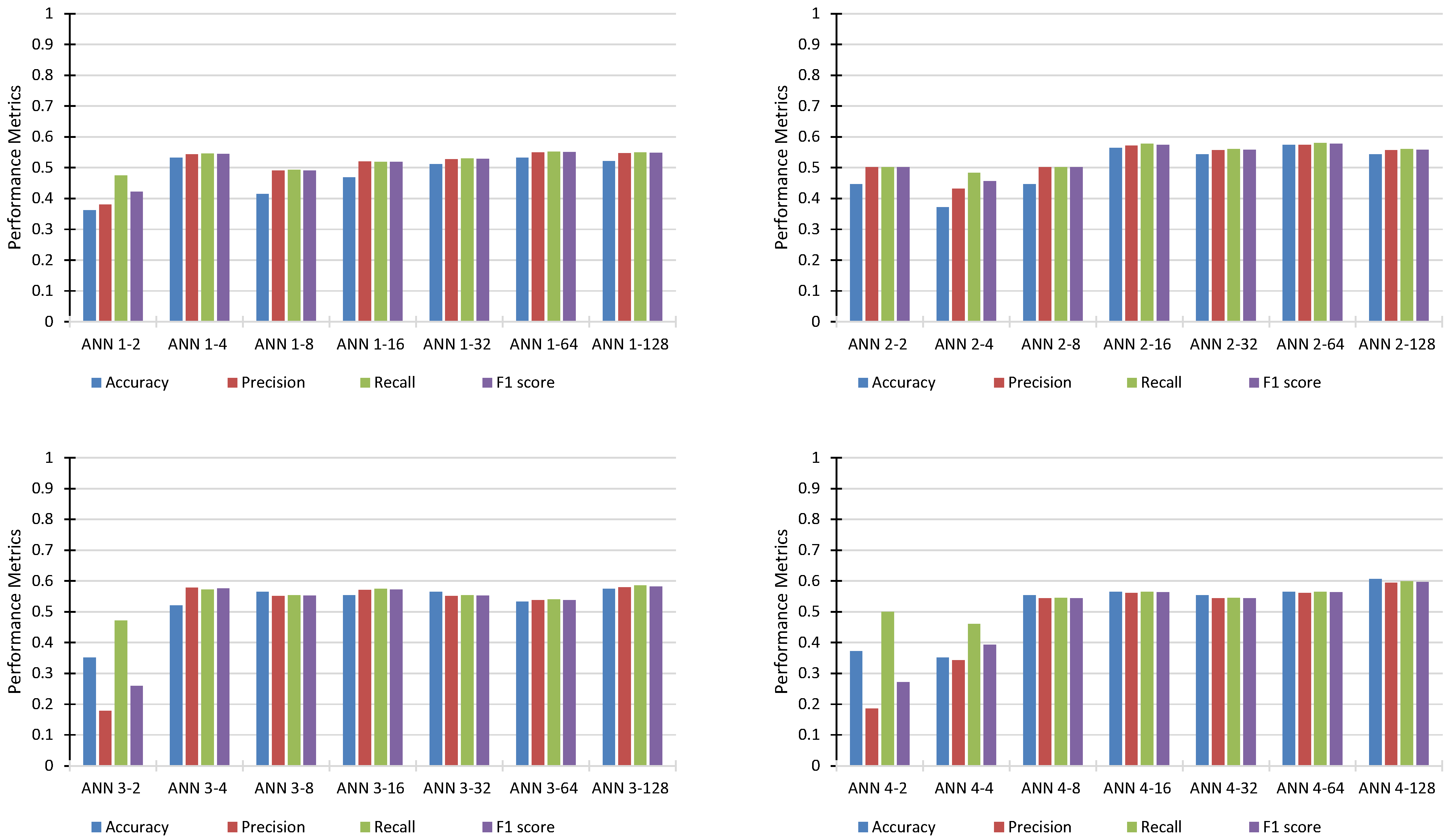
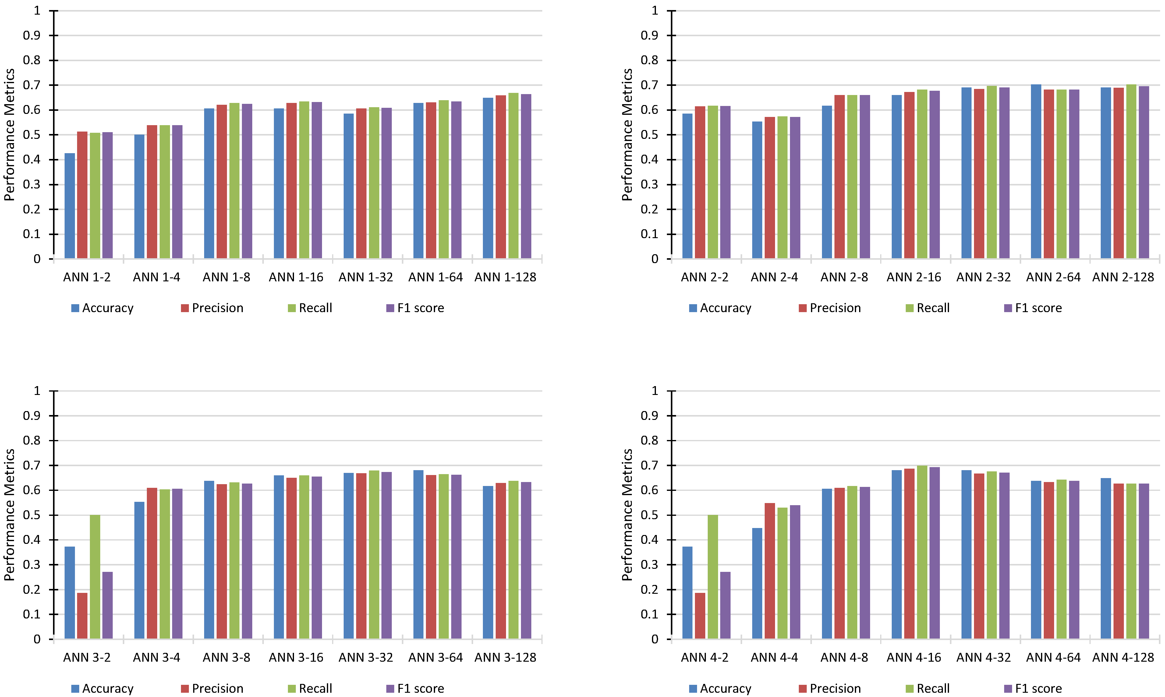
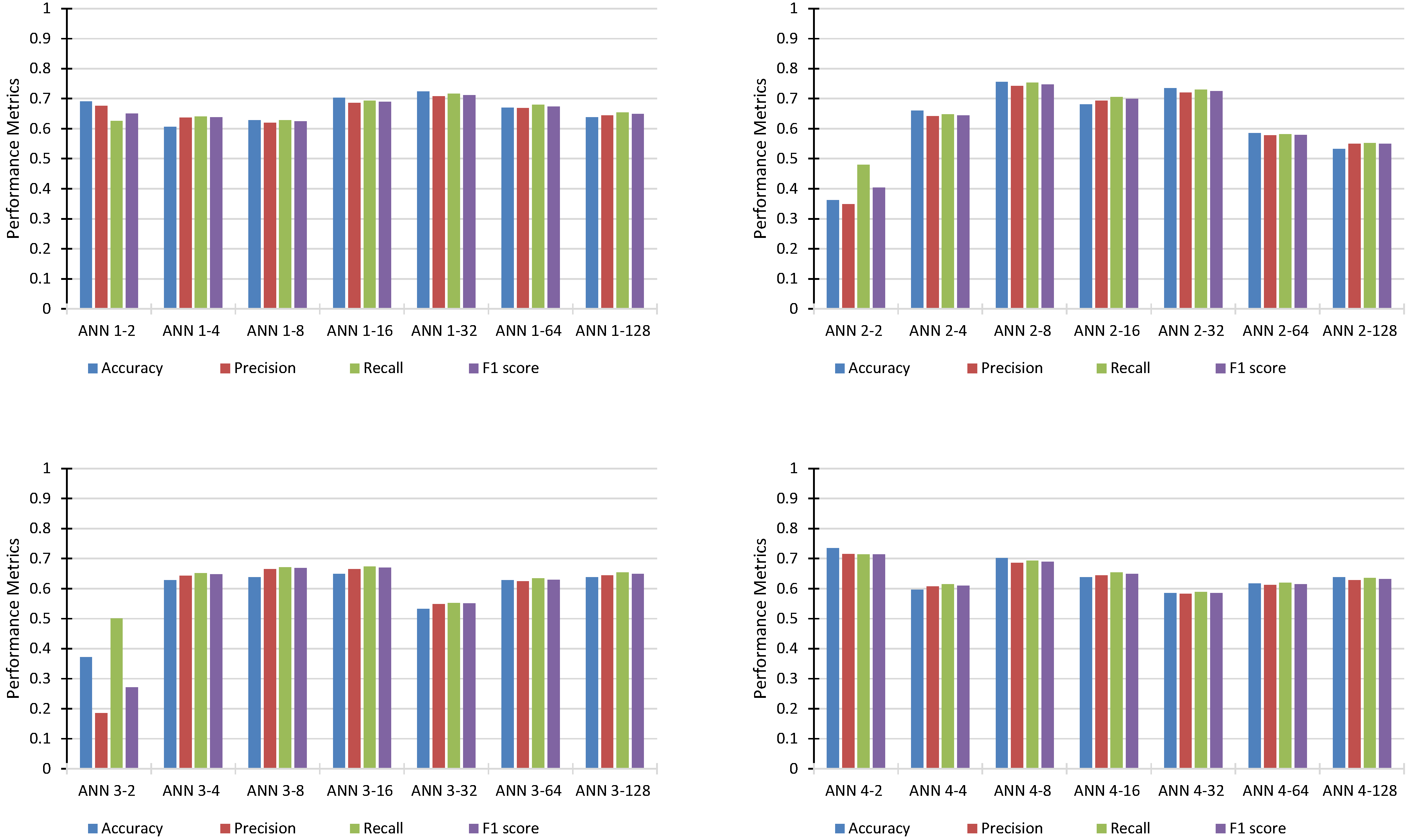
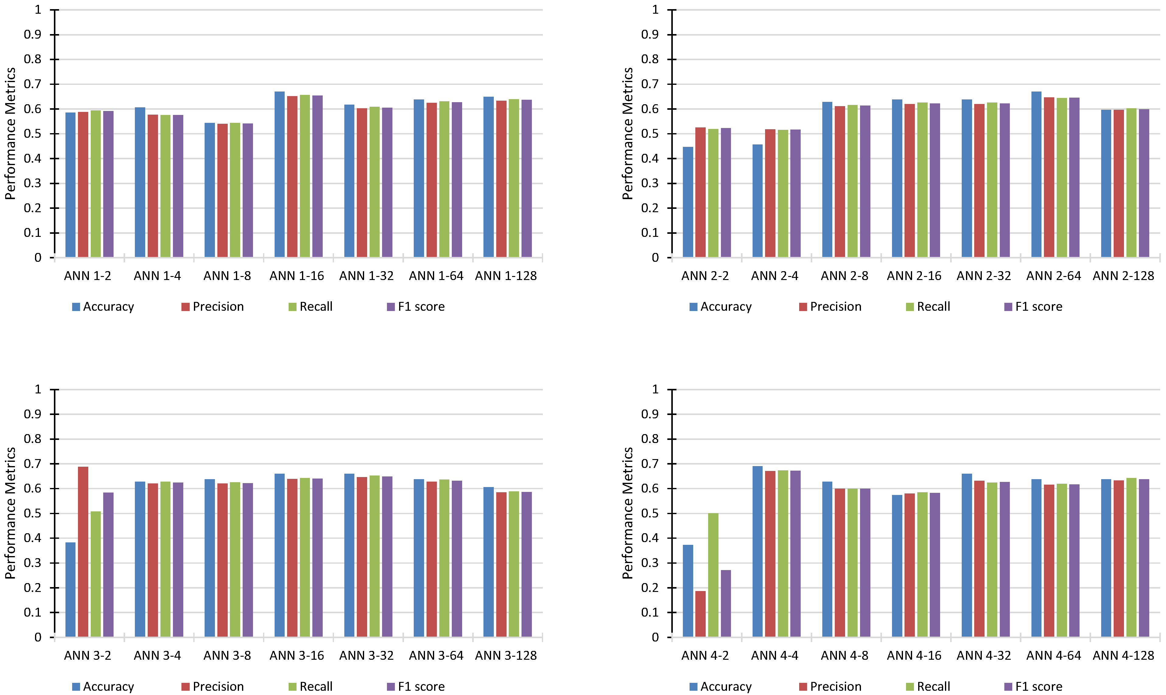
3.5.5. Artificial Neural Network
3.6. Performance Metrics
4. Experimental Results
4.1. Analysis of Text Books
- Presence of male and female characters in the books. For this category, all the books were thoroughly read. The number of male and female characters were counted. Their frequencies and percentages are presented in a table.
- Allocation of different roles in the books. For this category, the frequency of main, supporting and minor characters was analyzed.
- Use of nouns for males and female characters. For this category, an analysis of nouns used for male and female characters was carried out.
4.2. Emphasis on Male Characters
4.3. Females in Traditional Roles
4.4. Male Preference
4.5. Societal Beliefs
4.6. Equal Participation
4.7. All Items
5. Conclusions
Author Contributions
Funding
Informed Consent Statement
Conflicts of Interest
References
- van Noordt, C.; Misuraca, G. Exploratory insights on artificial intelligence for government in Europe. Soc. Sci. Comput. Rev. 2022, 40, 426–444. [Google Scholar] [CrossRef]
- Huo, W.; Zheng, G.; Yan, J.; Sun, L.; Han, L. Interacting with medical artificial intelligence: Integrating self-responsibility attribution, human–computer trust, and personality. Comput. Hum. Behav. 2022, 132, 107253. [Google Scholar] [CrossRef]
- Langer, M.; Landers, R.N. The future of artificial intelligence at work: A review on effects of decision automation and augmentation on workers targeted by algorithms and third-party observers. Comput. Hum. Behav. 2021, 123, 106878. [Google Scholar] [CrossRef]
- Campion, A.; Gasco-Hernandez, M.; Jankin Mikhaylov, S.; Esteve, M. Overcoming the challenges of collaboratively adopting artificial intelligence in the public sector. Soc. Sci. Comput. Rev. 2022, 40, 462–477. [Google Scholar] [CrossRef]
- Bostrom, N. Superintelligence: Paths, Dangers, Strategies; Oxford University Press: Oxford, UK, 2014. [Google Scholar]
- West, M.; Kraut, R.; Ei Chew, H. EQUALS y Unesco—2019—I’d Blush If I Could: Closing Gender Divides in Digital Skills through Education; UNESCO: Paris, France, 2019; 144p. [Google Scholar]
- Mirza, M. Gender Analysis of School Curriculum and Text Books; UNESCO: Islamabad, Pakistan, 2004; p. 78. [Google Scholar]
- Hameed, A. A Gender-Based Study of English Textbooks Produced by Punjab Textbook Board and Oxford University Press for Elementary Level; Oxford University Press: Oxford, UK, 2012. [Google Scholar]
- Saira Farooq Shah, B. Gender Inclusion: A Neglected Aspect of the English Textbooks in Pakistan. Int. J. Soc. Sci. Educ. 2012, 3, 2223–4934. [Google Scholar]
- Sunderland, J. New understandings of gender and language classroom research: Texts, teacher talk and student talk. Lang. Teach. Res. 2000, 4, 149–173. [Google Scholar] [CrossRef]
- Straw, I.; Callison-Burch, C. Artificial Intelligence in mental health and the biases of language based models. PLoS ONE 2020, 15, e0240376. [Google Scholar] [CrossRef] [PubMed]
- Samothrakis, S. Artificial Intelligence inspired methods for the allocation of common goods and services. PLoS ONE 2021, 16, e0257399. [Google Scholar] [CrossRef]
- Cristina, O.P.; Jorge, P.B.; Eva, R.L.; Mario, A.O. From wearable to insideable: Is ethical judgment key to the acceptance of human capacity-enhancing intelligent technologies? Comput. Hum. Behav. 2021, 114, 106559. [Google Scholar] [CrossRef]
- United Nations. Sustainable Development Goals; United Nations: New York, NY, USA, 2015. [Google Scholar]
- van de Gevel, A.J.W.; Noussair, C.N. The Nexus between Artificial Intelligence and Economics; Springer: Berlin/Heidelberg, Germany, 2012; pp. 1–110. [Google Scholar] [CrossRef]
- Drydakis, N. Mobile applications aiming to facilitate immigrants’ societal integration and overall level of integration, health and mental health. Does artificial intelligence enhance outcomes? Comput. Hum. Behav. 2021, 117, 106661. [Google Scholar] [CrossRef]
- Dahlin, E. Mind the gap! On the future of AI research. Humanit. Soc. Sci. Commun. 2021, 8, 1–4. [Google Scholar] [CrossRef]
- Wall, D.P.; Dally, R.; Luyster, R.; Jung, J.Y.; DeLuca, T.F. Use of artificial intelligence to shorten the behavioral diagnosis of autism. PLoS ONE 2012, 7, e43855. [Google Scholar] [CrossRef]
- Chang, T.S.; Coen, M.H.; La Rue, A.; Jonaitis, E.; Koscik, R.L.; Hermann, B.; Sager, M.A. Machine learning amplifies the effect of parental family history of Alzheimer’s disease on list learning strategy. J. Int. Neuropsychol. Soc. 2012, 18, 428–439. [Google Scholar] [CrossRef] [PubMed]
- Miller, D.D.; Brown, E.W. Artificial Intelligence in Medical Practice: The Question to the Answer? Am. J. Med. 2018, 131, 129–133. [Google Scholar] [CrossRef]
- Efremova, N.; West, D.; Zausaev, D. AI-Based Evaluation of the SDGs: The Case of Crop Detection with Earth Observation Data. SSRN Electron. J. 2019. [Google Scholar] [CrossRef]
- Xiong, W.; Chen, S.; Okumus, B.; Fan, F. Gender stereotyping and its impact on perceived emotional leadership in the hospitality industry: A mixed-methods study. Tour. Manag. 2022, 90, 104476. [Google Scholar] [CrossRef]
- Greenwald, A.G.; Banaji, M.R. Implicit social cognition: Attitudes, self-esteem, and stereotypes. Psychol. Rev. 1995, 102, 4. [Google Scholar] [CrossRef]
- Amodio, D.M. The neuroscience of prejudice and stereotyping. Nat. Rev. Neurosci. 2014, 15, 670–682. [Google Scholar] [CrossRef] [PubMed]
- Abrams, D.; Hogg, M.A. Comments on the motivational status of self-esteem in social identity and intergroup discrimination. Eur. J. Soc. Psychol. 1988, 18, 317–334. [Google Scholar] [CrossRef]
- Rudman, L.A.; Greenwald, A.G.; McGhee, D.E. Implicit self-concept and evaluative implicit gender stereotypes: Self and ingroup share desirable traits. Pers. Soc. Psychol. Bull. 2001, 27, 1164–1178. [Google Scholar] [CrossRef]
- Hyde, J.S. The gender similarities hypothesis. Am. Psychol. 2005, 60, 581–592. [Google Scholar] [CrossRef] [PubMed]
- Guimond, S. Psychological Similarities and Differences between Women and Men across Cultures. Soc. Pers. Psychol. Compass 2008, 2, 494–510. [Google Scholar] [CrossRef]
- European Commission. She Figures 2015; Directorate-General for Research and Innovation, European Commission: Brussels, Belgium, 2015; p. 224. Available online: https://data.europa.eu/doi/10.2777/064694 (accessed on 1 December 2020).
- Ritz, S.A.; Antle, D.M.; Côté, J.; Deroy, K.; Fraleigh, N.; Messing, K.; Parent, L.; St-Pierre, J.; Vaillancourt, C.; Mergler, D. First steps for integrating sex and gender considerations into basic experimental biomedical research. FASEB J. 2014, 28, 4–13. [Google Scholar] [CrossRef]
- Danell, R.; Hjerm, M. Career prospects for female university researchers have not improved. Scientometrics 2013, 94, 999–1006. [Google Scholar] [CrossRef]
- European Commission. Promoting Gender Equality in Research and Innovation—European Commission; European Commission: Brussels, Belgium, 2014; pp. 1–2. [Google Scholar]
- Cho, A.H.; Johnson, S.A.; Schuman, C.E.; Adler, J.M.; Gonzalez, O.; Graves, S.J.; Huebner, J.R.; Blaine Marchant, D.; Rifai, S.W.; Skinner, I.; et al. Women are underrepresented on the editorial boards of journals in environmental biology and natural resource management. PeerJ 2014, 2014, e542. [Google Scholar] [CrossRef]
- Shen, H. Inequality quantified: Mind the gender gap. Nature 2013, 494, 22–24. [Google Scholar] [CrossRef]
- Ley, T.J.; Hamilton, B.H. Sociology: The gender gap in NIH grant applications. Science 2008, 322, 1472–1474. [Google Scholar] [CrossRef]
- Panisch, L.S.; Smith, T.E.; Carter, T.E.; Osteen, P.J. Gender comparisons of Israeli social work faculty using h-index scores. J. Appl. Res. High. Educ. 2017, 9, 439–447. [Google Scholar] [CrossRef]
- Roussel, S.; Boissy, A.; Montigny, D.; Hemsworth, P.H.; Duvaux-Ponter, C. Gender-specific effects of prenatal stress on emotional reactivity and stress physiology of goat kids. Horm. Behav. 2005, 47, 256–266. [Google Scholar] [CrossRef]
- Miller, C. Words and Women; Princeton University Press: Princeton, NJ, USA, 1997. [Google Scholar]
- Bai, J. Cultural and Pragmatic Studies of Gender Language; Hunan Education Press: Changsha, China, 2007. [Google Scholar]
- Zakka, Z.M.; Azlan, N.; Ahmad, B. Gender Bias in Primary School Mathematics Textbooks in Nigeria. Am. J. Educ. Sci. 2015, 1, 223–228. [Google Scholar]
- Bahman, M.; Rahimi, A. Gender representation in EFL materials: An analysis of English textbooks of Iranian high schools. Procedia Soc. Behav. Sci. 2010, 9, 273–277. [Google Scholar] [CrossRef]
- Orfan, S.N. High school English textbooks promote gender inequality in Afghanistan. Pedagog. Cult. Soc. 2021, 1–16. [Google Scholar] [CrossRef]
- Hamdan, S. English-language textbooks reflect gender bias: A case study in Jordan. Adv. Gend. Educ. 2010, 2, 22–26. [Google Scholar]
- Gharbavi, A.; Mousavi, S.A. A Content Analysis of Textbooks: Investigating Gender Bias as a Social Prominence in Iranian High School English Textbooks. Eng. Linguist. Res. 2012, 1, 42–49. [Google Scholar] [CrossRef]
- Stockdale, D.A. Gender representation in an EFL textbook. Bull. Niigata Inst. Technol. 2006, 13, 900–906. [Google Scholar]
- Nagatomo, D.H. Identity, Gender and Teaching English in Japan; Multilingual Matters: Bristol, UK, 2016; pp. 1–237. [Google Scholar] [CrossRef]
- Porreca, K.L. Sexism in Current ESL Textbooks. TESOL Q. 1984, 18, 705. [Google Scholar] [CrossRef]
- Vahdatinejad, S. A teacher’s survey on portrayal of sexism in the images of Iranian EFL school textbooks. People Int. J. Soc. Sci. 2018, 4, 268–287. [Google Scholar] [CrossRef]
- Cortes, C. Support-vector network. Mach. Learn. 1995, 20, 1–25. [Google Scholar] [CrossRef]
- Tolles, J.; Meurer, W.J. Logistic regression: Relating patient characteristics to outcomes. JAMA J. Am. Med. Assoc. 2016, 316, 533–534. [Google Scholar] [CrossRef]
- Ben-Gal, I.; Dana, A.; Shkolnik, N.; Singer, G. Efficient construction of decision trees by the dual information distance method. Qual. Technol. Quant. Manag. 2014, 11, 133–147. [Google Scholar] [CrossRef]
- Ho, T.K. The random subspace method for constructing decision forests. IEEE Trans. Pattern Anal. Mach. Intell. 1998, 20, 832–844. [Google Scholar] [CrossRef]
- Cireşan, D.C.; Meier, U.; Gambardella, L.M.; Schmidhuber, J. Deep, big, simple neural nets for handwritten digit recognition. Neural Comput. 2010, 22, 3207–3220. [Google Scholar] [CrossRef]
- Hasan, F. An Analysis of Gender Representation in English Textbooks Used in Jordanian Schools and an Exploration of Jordanian Teachers’ Beliefs about Gender Stereotypes. Ph.D. Thesis, Texas A&M University, College Station, TX, USA, 2015. [Google Scholar]
- Lee, J.F.K.; Collins, P. Gender Representation in Hong Kong English Textbooks. In Proceedings of the 2nd International Conference on Gender Equity Education in the Asian-Pacific Region: Challenges and Possibilities in Gender Equity Education, Hong Kong, China, 22–24 June 2006; Volume 1, pp. 1–40. [Google Scholar]
- Mahmood, T.; Kausar, G. Female Teachers’ Perceptions of Gender Bias in Pakistani English Textbooks. Asian Women 2019, 35, 109–126. [Google Scholar] [CrossRef]
- Md Mukitul Islam, K.; Niaz Asadullah, M. Gender stereotypes and education: A comparative content analysis of Malaysian, Indonesian, Pakistani and Bangladeshi school textbooks. PLoS ONE 2019, 13, e0190807. [Google Scholar] [CrossRef]
- Anwar, M. Images of Male and Female Roles in School and College Textbooks; Women’s Division: Tokyo, Japan, 1982. [Google Scholar]
- Qaiser, S.A.; Jabeen, F. Portrayal of Women’s Issues in PTV Drama Serials: An Overview. Bodhi Interdiscip. J. 1970, 2, 211–218. [Google Scholar] [CrossRef]







| Sr. | Themes of Inquiry | Description |
|---|---|---|
| 1. | Emphasis on male character | Representation of more male characters and as higher being in the text books |
| 2. | Females in traditional roles | Presentation of females in traditional roles in society |
| 3. | Male preference | Preference of males over females in society |
| 4. | Societal beliefs | Reinforcement of the societal belief that women are not entitled to social privileges |
| 5. | Equal participation | Men participating equally to females in society |
| Respondent Group | Number of Respondents | Gender | Age | |
|---|---|---|---|---|
| Male | Female | (In Years) | ||
| Teachers | 10 | 5 | 5 | 25–60 |
| Students | 460 | 230 | 230 | 16–19 |
| Books | No. of Female Characters | Percentage of Female Characters | No. of Male Characters | Percentage of Male Characters |
|---|---|---|---|---|
| Book 1 | 16 | 25 | 47 | 75 |
| Book 2 | 10 | 14 | 61 | 86 |
| Total | 26 | 20 | 108 | 80 |
| Roles | Number of Females in Book 1 | Percentage of Females in Book 1 | No. of Males in Book 1 | Percentage of Male in Book 1 |
|---|---|---|---|---|
| Main | 9 | 29 | 22 | 71 |
| Supporting | 2 | 25 | 6 | 75 |
| Minor | 7 | 29 | 17 | 71 |
| Total | 18 | 29 | 45 | 71 |
| Roles | Number of Females in Book 2 | Percentage of Females in Book 2 | No. of Males in Book 2 | Percentage of Male in Book 2 |
|---|---|---|---|---|
| Main | 4 | 20 | 16 | 80 |
| Supporting | 0 | 0 | 3 | 100 |
| Minor | 5 | 31 | 11 | 69 |
| Total | 9 | 23 | 30 | 77 |
| Nouns | Nouns for Females | Frequency of the Nouns for Females | Nouns for Males | Frequency of the Noun for Males |
|---|---|---|---|---|
| Book 1 | Woman | 00 | Man | 37 |
| Wife | 04 | Husband | 00 | |
| Mother | 14 | Father | 50 | |
| Grandmother | 06 | Grandfather | 27 | |
| Sister | 11 | Brother | 16 | |
| Daughter | 01 | Son | 02 | |
| Book 2 | Woman | 34 | Man | 45 |
| Wife | 22 | Husband | 28 | |
| Mother | 05 | Father | 36 | |
| Grandmother | 00 | Grandfather | 00 | |
| Sister | 31 | Brother | 04 | |
| Daughter | 42 | Son | 03 |
| Method | Accuracy | Precision | Recall | F1 Score |
|---|---|---|---|---|
| SVM (Linear) | 0.415 | 0.498 | 0.499 | 0.498 |
| SVM (RBF) | 0.585 | 0.568 | 0.571 | 0.569 |
| Logistic regression | 0.426 | 0.47 | 0.473 | 0.471 |
| Decision tree | 0.638 | 0.624 | 0.631 | 0.627 |
| Random forest (estimators = 3) | 0.585 | 0.558 | 0.559 | 0.558 |
| Random forest (estimators = 5) | 0.649 | 0.626 | 0.627 | 0.626 |
| Random forest (estimators = 8) | 0.574 | 0.569 | 0.574 | 0.571 |
| Random forest (estimators = 10) | 0.628 | 0.62 | 0.628 | 0.624 |
| Random forest (estimators = 15) | 0.606 | 0.594 | 0.599 | 0.596 |
| ANN (layers = 4, neurons = 128) | 0.606 | 0.594 | 0.599 | 0.596 |
| Method | Accuracy | Precision | Recall | F1 Score |
|---|---|---|---|---|
| SVM (Linear) | 0.723 | 0.723 | 0.739 | 0.731 |
| SVM (RBF) | 0.745 | 0.728 | 0.733 | 0.73 |
| Logestic regression | 0.755 | 0.748 | 0.764 | 0.756 |
| Decision tree | 0.777 | 0.765 | 0.746 | 0.755 |
| Random forest (estimators = 3) | 0.745 | 0.727 | 0.721 | 0.724 |
| Random forest (estimators = 5) | 0.734 | 0.72 | 0.73 | 0.725 |
| Random forest (estimators = 8) | 0.745 | 0.728 | 0.733 | 0.73 |
| Random forest (estimators = 10) | 0.777 | 0.762 | 0.77 | 0.766 |
| Random forest (estimators = 15) | 0.766 | 0.754 | 0.767 | 0.76 |
| ANN (layers = 1, neurons = 16) | 0.787 | 0.782 | 0.801 | 0.791 |
| Method | Accuracy | Precision | Recall | F1 Score |
|---|---|---|---|---|
| SVM (Linear) | 0.457 | 0.526 | 0.521 | 0.523 |
| SVM (RBF) | 0.628 | 0.62 | 0.628 | 0.624 |
| Logestic regression | 0.606 | 0.615 | 0.623 | 0.619 |
| Decision tree | 0.681 | 0.667 | 0.676 | 0.671 |
| Random forest (estimators = 3) | 0.66 | 0.646 | 0.653 | 0.649 |
| Random forest (estimators = 5) | 0.681 | 0.657 | 0.653 | 0.655 |
| Random forest (estimators = 8) | 0.723 | 0.71 | 0.675 | 0.692 |
| Random forest (estimators = 10) | 0.649 | 0.626 | 0.627 | 0.626 |
| Random forest (estimators = 15) | 0.691 | 0.671 | 0.673 | 0.672 |
| ANN (layers = 2, neurons = 64) | 0.702 | 0.681 | 0.681 | 0.681 |
| Method | Accuracy | Precision | Recall | F1 Score |
|---|---|---|---|---|
| SVM (Linear) | 0.766 | 0.764 | 0.721 | 0.742 |
| SVM (RBF) | 0.713 | 0.698 | 0.707 | 0.702 |
| Logestic regression | 0.723 | 0.703 | 0.698 | 0.7 |
| Decision tree | 0.638 | 0.628 | 0.636 | 0.632 |
| Random forest (estimators = 3) | 0.67 | 0.668 | 0.679 | 0.673 |
| Random forest (estimators = 5) | 0.617 | 0.623 | 0.631 | 0.627 |
| Random forest (estimators = 8) | 0.681 | 0.676 | 0.688 | 0.682 |
| Random forest (estimators = 10) | 0.67 | 0.668 | 0.679 | 0.673 |
| Random forest (estimators = 15) | 0.649 | 0.646 | 0.656 | 0.651 |
| ANN (layers = 2, neurons = 8) | 0.755 | 0.742 | 0.753 | 0.747 |
| Method | Accuracy | Precision | Recall | F1 Score |
|---|---|---|---|---|
| SVM (Linear) | 0.574 | 0.592 | 0.597 | 0.594 |
| SVM (RBF) | 0.67 | 0.651 | 0.656 | 0.653 |
| Logistic regression | 0.649 | 0.633 | 0.639 | 0.636 |
| Decision tree | 0.638 | 0.607 | 0.601 | 0.604 |
| Random forest (estimators = 3) | 0.638 | 0.624 | 0.631 | 0.627 |
| Random forest (estimators = 5) | 0.638 | 0.613 | 0.613 | 0.613 |
| Random forest (estimators = 8) | 0.628 | 0.607 | 0.61 | 0.608 |
| Random forest (estimators = 10) | 0.67 | 0.648 | 0.65 | 0.649 |
| Random forest (estimators = 15) | 0.66 | 0.646 | 0.653 | 0.649 |
| ANN (layers = 2, neurons = 64) | 0.67 | 0.646 | 0.644 | 0.645 |
| Method | Accuracy | Precision | Recall | F1 Score |
|---|---|---|---|---|
| SVM (Linear) | 0.777 | 0.761 | 0.758 | 0.759 |
| SVM (RBF) | 0.809 | 0.795 | 0.807 | 0.801 |
| Logestic regression | 0.745 | 0.728 | 0.733 | 0.73 |
| Decision tree | 0.787 | 0.773 | 0.767 | 0.77 |
| Random forest (estimators = 3) | 0.766 | 0.75 | 0.744 | 0.747 |
| Random forest (estimators = 5) | 0.798 | 0.784 | 0.787 | 0.785 |
| Random forest (estimators = 8) | 0.83 | 0.829 | 0.8 | 0.814 |
| Random forest (estimators = 10) | 0.787 | 0.779 | 0.755 | 0.767 |
| Random forest (estimators = 15) | 0.84 | 0.83 | 0.826 | 0.828 |
| ANN (layers = 4, neurons = 32) | 0.872 | 0.867 | 0.858 | 0.862 |
Disclaimer/Publisher’s Note: The statements, opinions and data contained in all publications are solely those of the individual author(s) and contributor(s) and not of MDPI and/or the editor(s). MDPI and/or the editor(s) disclaim responsibility for any injury to people or property resulting from any ideas, methods, instructions or products referred to in the content. |
© 2023 by the authors. Licensee MDPI, Basel, Switzerland. This article is an open access article distributed under the terms and conditions of the Creative Commons Attribution (CC BY) license (https://creativecommons.org/licenses/by/4.0/).
Share and Cite
Kausar, G.; Saleem, S.; Subhan, F.; Suud, M.M.; Alam, M.; Uddin, M.I. Prediction of Gender-Biased Perceptions of Learners and Teachers Using Machine Learning. Sustainability 2023, 15, 6241. https://doi.org/10.3390/su15076241
Kausar G, Saleem S, Subhan F, Suud MM, Alam M, Uddin MI. Prediction of Gender-Biased Perceptions of Learners and Teachers Using Machine Learning. Sustainability. 2023; 15(7):6241. https://doi.org/10.3390/su15076241
Chicago/Turabian StyleKausar, Ghazala, Sajid Saleem, Fazli Subhan, Mazliham Mohd Suud, Mansoor Alam, and M. Irfan Uddin. 2023. "Prediction of Gender-Biased Perceptions of Learners and Teachers Using Machine Learning" Sustainability 15, no. 7: 6241. https://doi.org/10.3390/su15076241
APA StyleKausar, G., Saleem, S., Subhan, F., Suud, M. M., Alam, M., & Uddin, M. I. (2023). Prediction of Gender-Biased Perceptions of Learners and Teachers Using Machine Learning. Sustainability, 15(7), 6241. https://doi.org/10.3390/su15076241

