Framework and Perception Survey of Tourism Accessibility Concerning Regional Airports Based on Nexus Thinking: An Empirical Study in Ganzi Prefecture, China
Abstract
1. Introduction
2. Related Literature
2.1. Tourism Accessibility
2.2. Tourist Perception
3. Materials and Methods
3.1. Study Area
3.2. Data Sources
3.2.1. Statistical Data
3.2.2. Text Data
3.2.3. Geographical Data
3.2.4. Questionnaire Data
3.3. Tourism Accessibility Analysis Framework and Measurement Method
- Knowledge: understanding of geographical location and related attributes;
- Involvement degree: to construct the spatial connection between people and places;
- Practice: implement movement among places.
3.3.1. Deconstruction of Accessibility Dimensions: A Textual Analysis of OTA Reviews
3.3.2. Basic Conditions of Access: An Analysis of Traffic Accessibility
4. Survey of Tourists’ Perceptions of Accessibility
4.1. Survey Area and Sample Point Setting
4.2. Descriptive Statistical Analysis of Survey Results
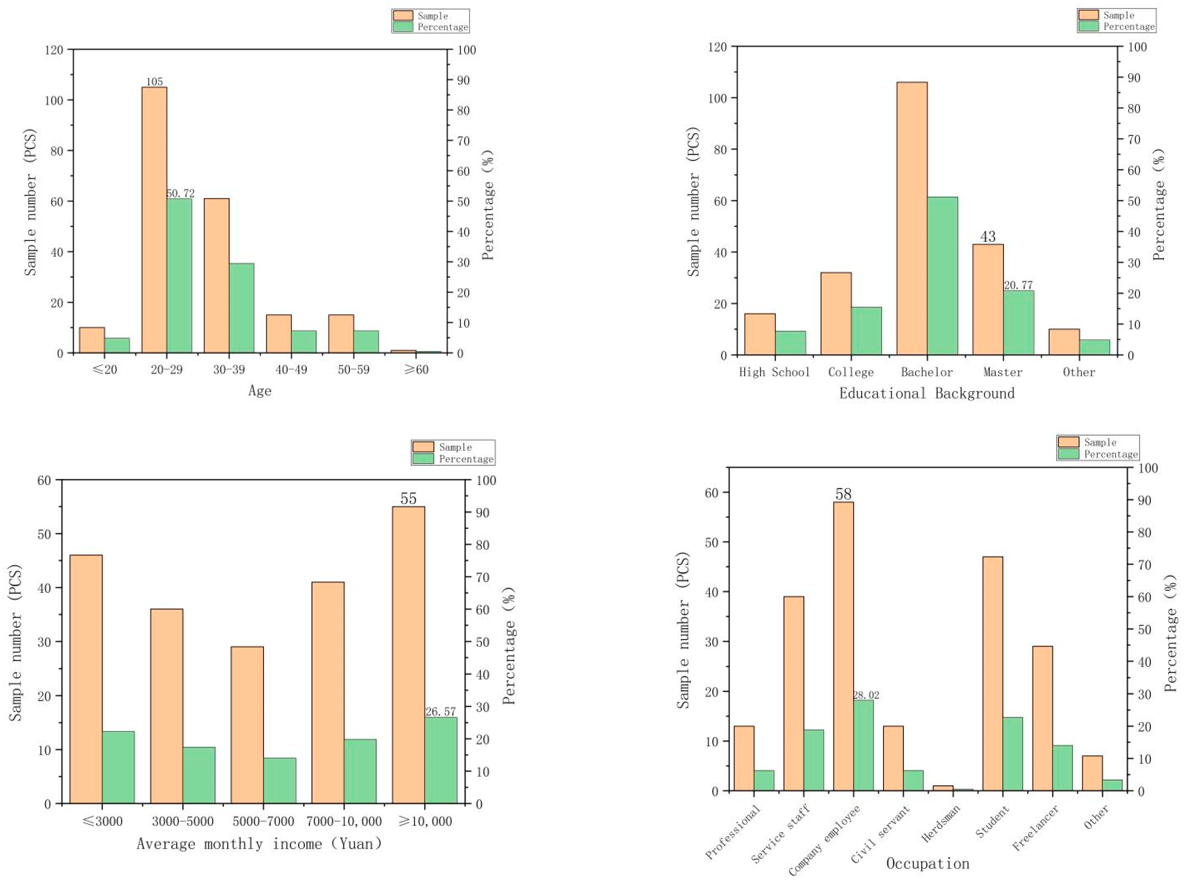
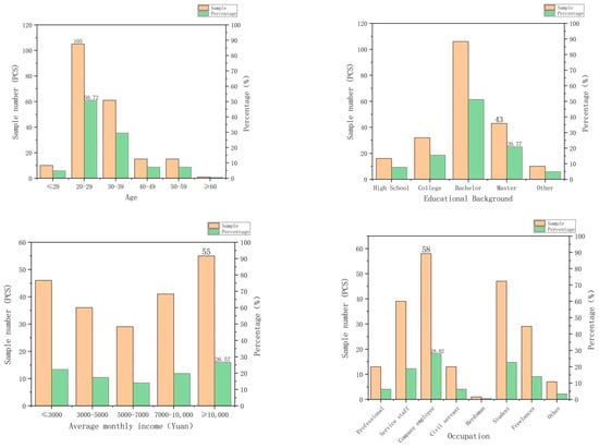
4.2.1. Sociological Characteristics of the Samples
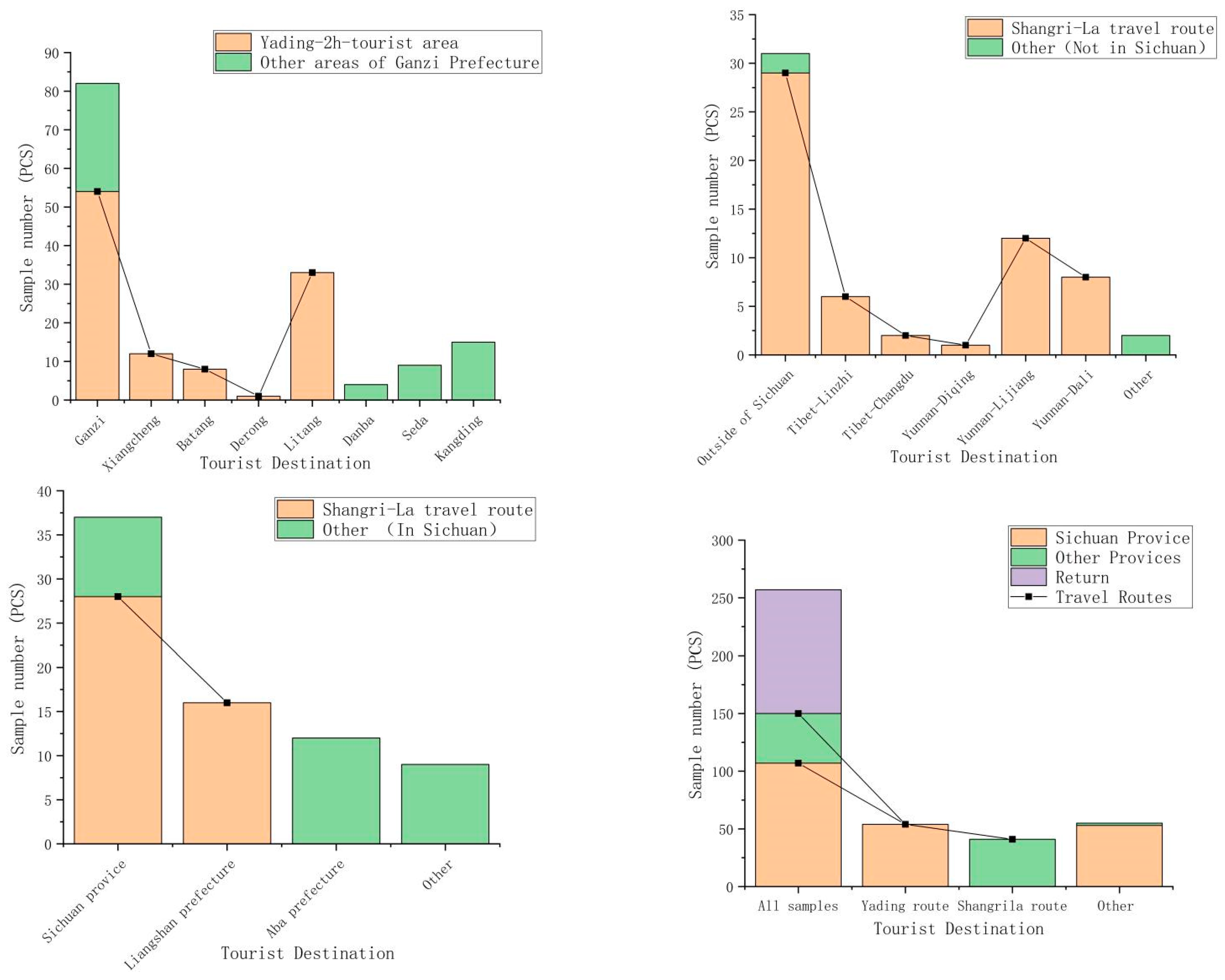
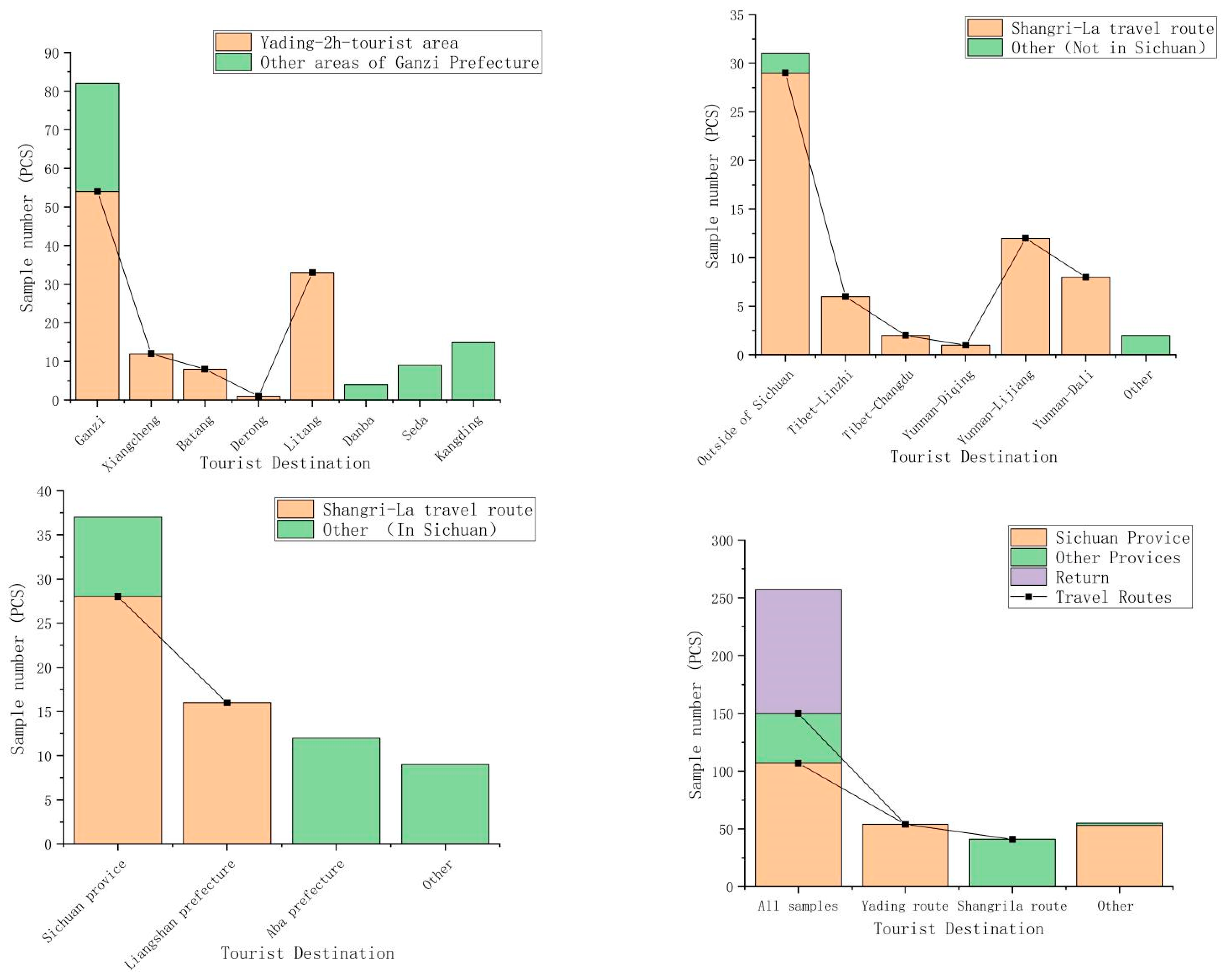
4.2.2. Travel Itinerary Information Analysis
4.3. Analysis of Influencing Factors for Tourism Accessibility
5. Results and Discussions
5.1. Accessibility Analysis Framework
5.2. Perceptions of Tourism Accessibility
5.2.1. Knowledge
5.2.2. Involvement
5.2.3. Practice
6. Conclusions
6.1. Deconstruction of Tourism Accessibility: Perceptual Dimensions, and Influencing Factors
- The concept of tourism accessibility can be divided into two parts: individual spatial capacity and facility transportation accessibility. Additionally, the accessibility of regional airport tourism can be further divided into four dimensions: individual spatial ability of knowledge, involvement, practice, and subjective perception of accessibility. Knowledge refers to the location and attributes of the airport, involvement indicates the level of tourists’ interest, practice represents the concrete moving process of tourists, and subjective dimension indicates whether aviation is the priority travel choice for tourists [57].
- The factors influencing the accessibility of regional airports mainly include individual, facility, service, and place. Individuals refer to the influence of tourists’ demand, ability, and experience expectation. It aims to show that the influence level of accessibility not only includes the objective conditions of transportation accessibility, but also is affected by economic, social, cultural, and other aspects. Based on these assumptions, when the tourism space regulation is stable and orderly, the influencing factors from the four aspects should be equal. In terms of the survey results, passengers’ perceptions of individuals, facilities, services, and places account for a similar proportion. However, concerning one specific aspect, there is still a requirement for adjustment. For example, the airport needs to provide more improved information services to strengthen “acceptance of alteration”.
6.2. Analysis of Spatial Relationship: Spatial Form, Attribute, and Orientation
- As far as social relations are concerned, the airport can be regarded as the obligatory point of passage (OPP) to regulate the behaviors of the actor [59], which is accompanied by the actor–network theory (ANT) [60]. In terms of relational space, relational and procedural thinking believe that there is not only the stable prescription space of Euclidean, but also a topological space in which social spatial relationship changes. The perception of accessibility represents the invariable material form in the subjectivity space and the multidimensional attributes of the flow space.
- In terms of accessibility, the analysis of influencing factors at the “place” level confirms that there is “dialogue” between the tourist and destinations. The analysis of the perceived dimensions and elements of relational subjects expands and maintains the presentation of residents’ self-awareness in tourism space [61]. Additionally, with the perception of local community residents as the variable in the flow space, it is believed that the evaluation of airport tourism accessibility is affected by the destination social environment and the attitude of local residents.
6.3. The Boundary of Airport Tourism Space: Duality of Security and Entertainment
Author Contributions
Funding
Institutional Review Board Statement
Informed Consent Statement
Data Availability Statement
Conflicts of Interest
References
- Yu, J.; Zuo, X.; Yao, X.J. Shangri-la: Where to seek the dream. Maps 2005, 10–15. Available online: https://kns.cnki.net/kcms2/article/abstract?v=3uoqIhG8C44YLTlOAiTRKgchrJ08w1e7F1IFNsBV5UvbKtAEQ_ww7fwCp5ZzxKL2Idb6FtNn6eNq7IHzNdhbStpUS4bzJRzL&uniplatform=NZKPT (accessed on 5 March 2023). (In Chinese).
- Zhang, X.; Chen, L.; Zhou, C. Study on dispatch, release and operation control of Daocheng Yading Route. Air Trans. Bus. 2018, 395, 61–65. Available online: https://kns.cnki.net/kcms2/article/abstract?v=3uoqIhG8C44YLTlOAiTRKibYlV5Vjs7i0kJR0HYBJ80QN9L51zrPzLdJynDHoDIjPCdHWaxrgLQRdER7gUQHwzrJ_elHaT1&uniplatform=NZKPT (accessed on 5 March 2023). (In Chinese).
- Cui, T.; Du, Q.; Zhang, Y. Effects of Regional Airports on Local Accessibility and Equilibrium of Economic Patterns. Econ. Geogr. 2020, 40, 32–39. (In Chinese) [Google Scholar] [CrossRef]
- Halpern, N.; Graham, A. Airport Route Development: A Survey of Current Practice. Tour. Manag. 2015, 46, 213–221. [Google Scholar] [CrossRef]
- Papatheodorou, A. A Review of Research into Air Transport and Tourism. Ann. Tour. Res. 2021, 87, 103151. [Google Scholar] [CrossRef]
- Godfrey, R. Maps of Meaning: An Introduction to Cultural Geography. Geogr. Rev. 1989, 80, 446. [Google Scholar] [CrossRef]
- Jackson, P. Geography and the Cultural Turn. Scott. Geogr. Mag. 1997, 113, 186–188. [Google Scholar] [CrossRef]
- Thrift, N. Intensities of Feeling: Towards a Spatial Politics of Affect. Geogr. Ann. Ser. B Hum. Geogr. 2004, 86, 57–78. [Google Scholar] [CrossRef]
- Lorimer, H. Cultural Geography: The Busyness of Being ‘more-than-Representational’. Prog. Hum. Geogr. 2005, 29, 83–94. [Google Scholar] [CrossRef]
- Jackson, P. New Directions in Cultural Geography Revisited. Area 2016, 48, 367–370. [Google Scholar] [CrossRef]
- Leck, H.; Conway, D.; Bradshaw, M.; Rees, J. Tracing the Water–Energy–Food Nexus: Description, Theory and Practice. Geogr. Compass 2015, 9, 445–460. [Google Scholar] [CrossRef]
- Rees, J. Geography and the Nexus: Presidential Address and Record of the Royal Geographical Society (with IBG) AGM 2013: Presidential Address and Record of the RGS-IBG AGM 2013. Geogr. J. 2013, 179, 279–282. [Google Scholar] [CrossRef]
- Dahlmann, F.; Bullock, G. Nexus Thinking in Business: Analysing Corporate Responses to Interconnected Global Sustainability Challenges. Environ. Sci. Policy 2020, 107, 90–98. [Google Scholar] [CrossRef]
- Schwanen, T. Thinking Complex Interconnections: Transition, Nexus and Geography. Trans. Inst. Br. Geogr. 2018, 43, 262–283. [Google Scholar] [CrossRef]
- Estoque, R.C. Complexity and Diversity of Nexuses: A Review of the Nexus Approach in the Sustainability Context. Sci. Total Environ. 2023, 854, 158612. [Google Scholar] [CrossRef] [PubMed]
- Gössling, S.; Peeters, P.; Hall, C.M.; Ceron, J.-P.; Dubois, G.; Lehmann, L.V.; Scott, D. Tourism and Water Use: Supply, Demand, and Security. An International Review. Tour. Manag. 2012, 33, 1–15. [Google Scholar] [CrossRef]
- Lee, L.-C.; Wang, Y.; Zuo, J. The Nexus of Water-Energy-Food in China’s Tourism Industry. Resour. Conserv. Recycl. 2021, 164, 105157. [Google Scholar] [CrossRef] [PubMed]
- Purwanto, A.; Sušnik, J.; Suryadi, F.X.; de Fraiture, C. Water-Energy-Food Nexus: Critical Review, Practical Applications, and Prospects for Future Research. Sustainability 2021, 13, 1919. [Google Scholar] [CrossRef]
- Seraphin, H.; Gowreesunkar, V.; Zaman, M.; Bourliataux-Lajoinie, S. Community Based Festivals as a Tool to Tackle Tourismphobia and Antitourism Movements. J. Hosp. Tour. Manag. 2019, 39, 219–223. [Google Scholar] [CrossRef]
- Poletan Jugović, T.; Komadina, Ž.; Sirotić, M. Affirmation of Passenger Traffic Flows on the Danube Corridor–Perspective of River Cruise Tourism. Pomorstvo 2020, 34, 111–120. [Google Scholar] [CrossRef]
- Li, L.H.; Zhou, J.; Lei, R.R. Workation perspective: New thoughts on sustainable and high-quality development of mountain tourism. J. Chin. Ecotourism 2022, 12, 905–922. (In Chinese) [Google Scholar] [CrossRef]
- Hansen, W.G. How Accessibility Shapes Land Use. J. Am. Inst. Plan. 1959, 25, 73–76. [Google Scholar] [CrossRef]
- Wang, L.; Zhang, J.; Cao, J.; Wu, T.; Cai, Y.; Yang, Q. A Study on the Evaluation of the Accessibility of A Tourist Destination from the Perspectives of Tourists’ Perception—A Case Study of Jiuzhaigou Nature Reserve. Hum. Geogr. 2010, 25, 144–148. (In Chinese) [Google Scholar] [CrossRef]
- Zhou, S.Y.; Jiang, M.M. Convenience and Justice: Accessibility of the Assisted Living Residences for Aged People. J. PKU 2002, 1, 21–25. (In Chinese) [Google Scholar] [CrossRef]
- Lv, D.Y.; Liu, S. Study on the Influencing Factors of Scenic Area Accessibility: A Case study of Qipan Mountain Scenic Area i-n Shenyang. North Econ. 2007, 20, 29–30. Available online: https://kns.cnki.net/kcms2/article/abstract?v=3uoqIhG8C44YLTlOAiTRKgchrJ08w1e7aLpFYbsPrqGAjAz0sWrB2ntX79h3AQI77t71oNmTCfjKwAsI0IHX5PzAKjlNQMPr&uniplatform=NZKPT (accessed on 5 March 2023). (In Chinese).
- He, Y.; Yang, X.J. A Study of the Evaluation of the Accessibility Factors in the Tourist City Tourists’ Expectancy Based: Taking Xi’an as Example. Hum. Geogr. 2007, 4, 59–63. Available online: https://kns.cnki.net/kcms2/article/abstract?v=3uoqIhG8C44YLTlOAiTRKgchrJ08w1e7aLpFYbsPrqHiy3MLVQS4aveUZccl-DEUHbjtR7e8PvypYFZmT0kRFjLI9im69qT3&uniplatform=NZKPT (accessed on 5 March 2023). (In Chinese).
- Liu, H.X. Hunan Normal University. 2019. Available online: https://kns.cnki.net/kcms2/article/abstract?v=3uoqIhG8C475KOm_zrgu4lQARvep2SAkOsSuGHvNoCRcTRpJSuXuqW1SYKWme5-zIRyTTBYHFPF3M9lnBtXcyDg8BrhAj5rc&uniplatform=NZKPT (accessed on 5 March 2023). (In Chinese).
- Benjamin, S.; Bottone, E.; Lee, M. Beyond Accessibility: Exploring the Representation of People with Disabilities in Tourism Promotional Materials. J. Sustain. Tour. 2021, 29, 295–313. [Google Scholar] [CrossRef]
- Kuklina, M.; Dirin, D.; Filippova, V.; Savvinova, A.; Trufanov, A.; Krasnoshtanova, N.; Bogdanov, V.; Kobylkin, D.; Fedorova, A.; Itegelova, A.; et al. Transport Accessibility and Tourism Development Prospects of Indigenous Communities of Siberia. Sustainability 2022, 14, 1750. [Google Scholar] [CrossRef]
- Monterrubio, C.; Andriotis, K.; Rodríguez-Muñoz, G. Residents’ Perceptions of Airport Construction Impacts: A Negativity Bias Approach. Tour. Manag. 2020, 77, 103983. [Google Scholar] [CrossRef]
- Pot, F.J.; van Wee, B.; Tillema, T. Perceived Accessibility: What It Is and Why It Differs from Calculated Accessibility Measures Based on Spatial Data. J. Transp. Geogr. 2021, 94, 103090. [Google Scholar] [CrossRef]
- Jensen, G.; Iwarsson, S.; Ståhl, A. Theoretical Understanding and Methodological Challenges in Accessibility Assessments, Focusing the Environmental Component: An Example from Travel Chains in Urban Public Bus Transport. Disabil. Rehabil. 2002, 24, 231–242. [Google Scholar] [CrossRef]
- Martin, J.C.; Marrero-Rodríguez, J.R.; Moreira, P.; Román, C.; Santana, A. How Access Transport Mode to a World Heritage City Affects Visitors’ Experienced Quality. Tour. Econ. 2016, 22, 207–226. [Google Scholar] [CrossRef]
- Aulet, S.; Duda, T. Tourism Accessibility and Its Impact on the Spiritual Sustainability of Sacred Sites. Sustainability 2020, 12, 9695. [Google Scholar] [CrossRef]
- Bernsdorf, K.A.; Lau, C.J.; Andreasen, A.H.; Toft, U.; Lykke, M.; Glümer, C. Accessibility of Fast Food Outlets Is Associated with Fast Food Intake. A Study Cap. Reg. Denmark. Health Place 2017, 48, 102–110. [Google Scholar] [CrossRef]
- Apollo, M.; Rettinger, R. Mountaineering in Cuba: Improvement of True Accessibility as an Opportunity for Regional Devel-opment of Communities Outside the Tourism Enclaves. Curr. Issues Tour. 2019, 22, 1797–1804. [Google Scholar] [CrossRef]
- Masiero, L.; Hrankai, R. Modeling Tourist Accessibility to Peripheral Attractions. Ann. Tour. Res. 2022, 92, 103343. [Google Scholar] [CrossRef]
- Golledge, R.; Stimson, R. Spatial Behavior: A Geographic Perspective. Econ. Geogr. 1998, 74, 83–85. [Google Scholar] [CrossRef]
- Varley, P.; Schilar, H.; Rickly, J.M. Tourism Non-Places: Bending Airports and Wildscapes. Ann. Tour. Res. 2020, 80, 102791. [Google Scholar] [CrossRef]
- Le, T.H.; Arcodia, C.; Novais, M.A.; Kralj, A. Proposing a Systematic Approach for Integrating Traditional Research Methods into Machine Learning in Text Analytics in Tourism and Hospitality. Curr. Issues Tour. 2021, 24, 1640–1655. [Google Scholar] [CrossRef]
- Lu, H. Research on Foreign Tourists’ Perception of Tourism Image of Shaolin Temple on the Basis of Network Text Analysis. Int. J. Eng. Technol. 2022, 14, 66–69. [Google Scholar] [CrossRef]
- Chen, M. Perception of Leisure Agricultural Tourism Image Based on Wed Text Analysis: Case of Yearning Tea Plantation. E3S Web Conf. 2021, 235, 02013. [Google Scholar] [CrossRef]
- You, Y. Research on Purchase Decision-Making Behavior of Leisure Agricultural Tourists Based on Computer Network Text Analysis. J. Phys. Conf. Ser. 2020, 1648, 042001. [Google Scholar] [CrossRef]
- Wang, Y. Wildlife Tourism Experience Based on Web Text Analysis. J. Phys. Conf. Ser. 2020, 1574, 012144. [Google Scholar] [CrossRef]
- Shi, T.; Li, J.Y.; Li, Y.; Yin, H.Y. Analysis of urban park accessibility in Shenyang City. Chin. J. Ecol. 2016, 35, 1345–1350. (In Chinese) [Google Scholar] [CrossRef]
- Luo, J.G.; Zhang, B.; Liu, S.M. Relationship between Traffic Accessibility and Tourism Economic Contact of Guangdong-Hong Kong-Marco Greater Bay Area. Econ. Geogr. 2020, 40, 213–220. (In Chinese) [Google Scholar] [CrossRef]
- Páez, A.; Anjum, Z.; Dickson-Anderson, S.E.; Schuster-Wallace, C.J.; Martín Ramos, B.; Higgins, C.D. Comparing Distance, Time, and Metabolic Energy Cost Functions for Walking Accessibility in Infrastructure-Poor Regions. J. Transp. Geogr. 2020, 82, 102564. [Google Scholar] [CrossRef]
- Tong, D.; Sun, Y.Y.; Xie, M.M. Evaluation of green space accessibility based on improved Gaussian two-step floating catchme-nt area method: A case study of Shenzhen City. Prog. Geogr. 2021, 40, 1113–1126. (In Chinese) [Google Scholar] [CrossRef]
- Hao, J.; Zhang, L.; Ji, X.; Wu, X.; Liu, L. Investigating the Accessibility between Civil Airports and Tourist Locations in Tourist Cities in Yunnan Province, China. Sustainability 2020, 12, 3963. [Google Scholar] [CrossRef]
- Wattanacharoensil, W.; Schuckert, M.; Graham, A. An Airport Experience Framework from a Tourism Perspective. Transp. Rev. 2016, 36, 318–340. [Google Scholar] [CrossRef]
- Wu, C. How Aviation Deregulation Promotes International Tourism in Northeast Asia: A Case of the Charter Market in Japan. J. Air Transp. Manag. 2016, 57, 260–271. [Google Scholar] [CrossRef]
- Adey, P. ‘May I Have Your Attention’: Airport Geographies of Spectatorship, Position, and (Im)Mobility. Environ. Plan. Soc. Space 2007, 25, 515–536. [Google Scholar] [CrossRef]
- Adey, P. Airports, Mobility and the Calculative Architecture of Affective Control. Geoforum 2008, 39, 438–451. [Google Scholar] [CrossRef]
- AlKahtani, S.J.H.; Xia, J.C.; Veenendaaland, B.; Caulfield, C.; Hughes, M. Building a Conceptual Framework for Determining Individual Differences of Accessibility to Tourist Attractions. Tour. Manag. Perspect. 2015, 16, 28–42. [Google Scholar] [CrossRef]
- Kasim, K.O.; Winter, S.R.; Liu, D.; Keebler, J.R.; Spence, T.B. Passengers’ Perceptions on the Use of Biometrics at Airports: A Statistical Model of the Extended Theory of Planned Behavior. Technol. Soc. 2021, 67, 101806. [Google Scholar] [CrossRef]
- Li, D.; Wang, Y.Q.; You, Y.N.; Chen, Y.T. Tourism Involvement, destination image and willingness to revisit: A moderated intermedi-ary role model. J. CCNU (Nat. Sci.) 2022, 56, 871–881. (In Chinese) [Google Scholar] [CrossRef]
- Spencer, D.M. Airport Stops and Flights on Small Airplanes as Inhibitors of Tourism-Related Air Travel: A Case Study. Tour. Manag. 2009, 30, 838–846. [Google Scholar] [CrossRef]
- Bogicevic, V.; Yang, W.; Cobanoglu, C.; Bilgihan, A.; Bujisic, M. Traveler Anxiety and Enjoyment: The Effect of Airport Environment on Traveler’s Emotions. J. Air Transp. Manag. 2016, 57, 122–129. [Google Scholar] [CrossRef]
- Kumar, V.; Tissenbaum, M. Supporting Collaborative Classroom Networks through Technology: An Actor Network Theory Approach to Understanding Social Behaviours and Design. Br. J. Educ. Technol. 2022, 53, 1549–1570. [Google Scholar] [CrossRef]
- Li, L.H.; Fu, D.F.; Liu, R. Spatial Turn of Tourism Studies: A Review on Tourism Studies from the Perspective of the Actor-network Theory. Tour. Tribune. 2014, 29, 107–115. (In Chinese) [Google Scholar] [CrossRef]
- Waitt, G.; Harada, T. Towards a Relational Spatial Mobility Justice of Disability as Territory. Mobilities 2023, 18, 115–131. [Google Scholar] [CrossRef]
- Adey, P. Airports and Air-Mindedness: Spacing, Timing and Using the Liverpool Airport, 1929–1939. Soc. Cult. Geogr. 2006, 7, 343–363. [Google Scholar] [CrossRef]
- Thrift, N. Lifeworld Inc—And What to Do about It. Environ. Plan. Soc. Space 2011, 29, 5–26. [Google Scholar] [CrossRef]












| Data Sources | Main Content | Start Time | Number of Comments | Word Count |
|---|---|---|---|---|
| Ctrip | travel agency services | 2015 | 58 | 3932 |
| Qunar | 2015 | 5 | 191 | |
| Fliggy | travel ticketing | 2017 | 10 | 270 |
| Umetrip | air travel information | 2017 | 87 | 4287 |
| VariFlight | 2018 | 52 | 2280 | |
| DianPing | travel service | 2013 | 267 | 35,093 |
| Total | 479 | 46,053 | ||
| Dimension | Quantity | Proportion (%) | Frequency | Proportion (%) | |
|---|---|---|---|---|---|
| Spatial ability | knowledge | 304 | 31.32 | 3689 | 46.82 |
| involvement | 495 | 50.98 | 2792 | 35.44 | |
| practice | 172 | 17.70 | 1397 | 17.74 | |
| total | 971 | 100 | 7878 | 100 | |
| Level | Design Speed (km/h) | Actual Speed (km/h) | Time Cost (min/km) |
|---|---|---|---|
| highway | 120, 100, 80 | 100 | 0.60 |
| Ⅰ | 100, 80, 60 | 80 | 0.75 |
| Ⅱ | 80, 60 | 60 | 1.00 |
| Ⅲ | 40, 30 | 40 | 1.50 |
| Ⅳ | 30, 20 | 20 | 3.00 |
| unrated | NA | 15 | 5.00 |
| No. | Influencing Element | Sample Size | Minimum | Maximum | Mean Value | Mean Square Error |
|---|---|---|---|---|---|---|
| individual (A1) | ||||||
| A1-1 | travel demand | 207 | 1 | 10 | 7.65 | 1.70 |
| A1-2 | acceptance of alteration | 207 | 1 | 10 | 6.97 | 1.64 |
| A1-3 | experience expectations | 207 | 1 | 10 | 7.84 | 1.79 |
| facility (A2) | ||||||
| A2-1 | terminal environment | 207 | 1 | 10 | 7.70 | 1.78 |
| A2-2 | airfield construction | 207 | 1 | 10 | 8.25 | 1.86 |
| A2-3 | personnel and commodity | 207 | 1 | 10 | 7.03 | 1.90 |
| service (A3) | ||||||
| A3-1 | cabin and ground service | 207 | 1 | 10 | 7.99 | 1.76 |
| A3-2 | information and supporting services | 207 | 1 | 10 | 7.86 | 1.92 |
| A3-3 | non-aviation consumption | 207 | 1 | 10 | 7.79 | 1.89 |
| place (A4) | ||||||
| A4-1 | social and culture | 207 | 1 | 10 | 8.31 | 1.63 |
| A4-2 | tourist reception service | 207 | 1 | 10 | 7.89 | 1.83 |
| A4-3 | tourist destination image | 207 | 1 | 10 | 7.95 | 1.56 |
| A1-1 | A1-2 | A1-3 | A2-1 | A2-2 | A2-3 | A3-1 | A3-2 | A3-3 | A4-1 | A4-2 | A4-3 | |
|---|---|---|---|---|---|---|---|---|---|---|---|---|
| A1-1 | 1 | 0.244 | 0.631 | 0.651 | 0.454 | 0.586 | 0.558 | 0.500 | 0.623 | 0.484 | 0.526 | 0.602 |
| A1-2 | 0.244 | 1 | 0.133 | 0.219 | 0.122 | 0.240 | 0.234 | 0.265 | 0.243 | 0.118 | 0.158 | 0.183 |
| A1-3 | 0.631 | 0.133 | 1 | 0.556 | 0.613 | 0.458 | 0.671 | 0.562 | 0.604 | 0.642 | 0.687 | 0.644 |
| A2-1 | 0.651 | 0.219 | 0.556 | 1 | 0.454 | 0.616 | 0.717 | 0.634 | 0.771 | 0.450 | 0.596 | 0.564 |
| A2-2 | 0.454 | 0.122 | 0.613 | 0.454 | 1 | 0.391 | 0.593 | 0.507 | 0.537 | 0.587 | 0.590 | 0.605 |
| A2-3 | 0.586 | 0.240 | 0.458 | 0.616 | 0.391 | 1 | 0.514 | 0.361 | 0.583 | 0.360 | 0.427 | 0.534 |
| A3-1 | 0.558 | 0.234 | 0.671 | 0.717 | 0.593 | 0.514 | 1 | 0.758 | 0.741 | 0.585 | 0.661 | 0.591 |
| A3-2 | 0.500 | 0.265 | 0.562 | 0.634 | 0.507 | 0.361 | 0.758 | 1 | 0.668 | 0.448 | 0.589 | 0.418 |
| A3-3 | 0.623 | 0.243 | 0.604 | 0.771 | 0.537 | 0.583 | 0.741 | 0.668 | 1 | 0.517 | 0.695 | 0.626 |
| A4-1 | 0.484 | 0.118 | 0.642 | 0.450 | 0.587 | 0.360 | 0.585 | 0.448 | 0.517 | 1 | 0.578 | 0.732 |
| A4-2 | 0.526 | 0.158 | 0.687 | 0.596 | 0.590 | 0.427 | 0.661 | 0.589 | 0.695 | 0.578 | 1 | 0.619 |
| A4-3 | 0.602 | 0.183 | 0.644 | 0.564 | 0.605 | 0.534 | 0.591 | 0.418 | 0.626 | 0.732 | 0.619 | 1 |
| KMO measure of sampling adequacy | 0.927 | |
| Bartlett’s test of sphericity | pseudo chi-square | 1685.425 |
| df | 66 | |
| sig. | 0.000 | |
| Name | Component 1 | Component 2 | Common Factor Variance |
|---|---|---|---|
| Characteristic Value | 6.864 | 1.092 | |
| Variance Interpretation Rate | 57.197% | 9.098% | |
| X1 | 0.767 | 0.146 | 0.609 |
| X2 | 0.289 | 0.724 | 0.608 |
| X3 | 0.817 | −0.228 | 0.720 |
| X4 | 0.816 | 0.237 | 0.721 |
| X5 | 0.727 | −0.306 | 0.622 |
| X6 | 0.671 | 0.287 | 0.532 |
| X7 | 0.861 | 0.047 | 0.744 |
| X8 | 0.753 | 0.155 | 0.590 |
| X9 | 0.859 | 0.143 | 0.758 |
| X10 | 0.734 | −0.382 | 0.685 |
| X11 | 0.809 | −0.155 | 0.678 |
| X12 | 0.801 | −0.213 | 0.687 |
| On this basis, the paper finally puts forward an analytical framework for tourism accessibility, including four influencing factors: individual, facility, service, and place, together with perception dimensions of knowledge, involvement, and practice in the tourism–airport–destination connection, as shown in the table: Node | Tourist (OT) | Regional Airport (FA) | Destination (TD) | |
| Factor | individual (A1) | facility (A2) | service (A3) | place (A4) |
| travel demand | terminal environment | cabin and ground service | social and culture | |
| acceptance of alteration | airfield construction | information and supporting services | tourist reception service | |
| experience expectations | personnel and commodity | non-aviation consumption | tourist destination image | |
| Dimension | spatial ability (B1) | |||
| knowledge | involvement | practice | ||
| accessibility to tourism transportation (B2) | ||||
| subjective dimension of accessibility | ||||
| Condition | Daocheng County tourist attractions and accessibility to Yading Airport | |||
Disclaimer/Publisher’s Note: The statements, opinions and data contained in all publications are solely those of the individual author(s) and contributor(s) and not of MDPI and/or the editor(s). MDPI and/or the editor(s) disclaim responsibility for any injury to people or property resulting from any ideas, methods, instructions or products referred to in the content. |
© 2023 by the authors. Licensee MDPI, Basel, Switzerland. This article is an open access article distributed under the terms and conditions of the Creative Commons Attribution (CC BY) license (https://creativecommons.org/licenses/by/4.0/).
Share and Cite
Zhou, J.; Li, L.; Lei, R. Framework and Perception Survey of Tourism Accessibility Concerning Regional Airports Based on Nexus Thinking: An Empirical Study in Ganzi Prefecture, China. Sustainability 2023, 15, 6239. https://doi.org/10.3390/su15076239
Zhou J, Li L, Lei R. Framework and Perception Survey of Tourism Accessibility Concerning Regional Airports Based on Nexus Thinking: An Empirical Study in Ganzi Prefecture, China. Sustainability. 2023; 15(7):6239. https://doi.org/10.3390/su15076239
Chicago/Turabian StyleZhou, Jin, Lihua Li, and Ruoran Lei. 2023. "Framework and Perception Survey of Tourism Accessibility Concerning Regional Airports Based on Nexus Thinking: An Empirical Study in Ganzi Prefecture, China" Sustainability 15, no. 7: 6239. https://doi.org/10.3390/su15076239
APA StyleZhou, J., Li, L., & Lei, R. (2023). Framework and Perception Survey of Tourism Accessibility Concerning Regional Airports Based on Nexus Thinking: An Empirical Study in Ganzi Prefecture, China. Sustainability, 15(7), 6239. https://doi.org/10.3390/su15076239

