Special Characteristics and Stability Analysis of Bank Slope Deposits with Special Geotechnical Structures in High and Cold Valleys
Abstract
1. Introduction
2. Study Area
2.1. Location of the High and Cold Valleys
2.2. Materials Composition
2.3. Structural Geological Characteristics
3. Case Studies
3.1. Colluvial-Deluvial Deposits
3.1.1. Characteristics of Deposits
- (a)
- The high and cold valley region is characterized by high regional in-situ stress, strong unloading, freezing–thawing, and weathering effects. Broken rock mass has great depth and wide range. The collapse point at the top of the slope has a wide range and high elevation. The collapse volume of colluvial-deluvial deposits is large.
- (b)
- Under tectonic and seismic actions, the rock masses are fractured noticeably and have many small and hidden joints. For this reason, the rock masses tend to be broken and decomposed in the slumping process, which greatly reduces the sizes of deposited rubbles. As shown in Figure 3c, the grain sizes of most rubbles in this deposit are smaller than 50 cm, and the grain sizes of most broken stones in the deposit are within the range of 6 mm–2 cm.
- (c)
- Due to the scouring and leaching effects of streams formed by seasonal rainfall and melting ice and snow at the slope surface, the fine grain content and the degree of cementation in the upper and middle layers of the slope are different. The layer in the RS deposit can be divided into two main types. The first type is a well cemented, fine-grained muddy gravel layer with high silt and clay content. The second type is a poorly cemented broken gravel layer with low silt and clay content. Due to the existence of these two types of layers, multistage colluvial-deluvial deposits contain inclined, rhythmically deposited layers, as shown in Figure 3d. According to the drift exploration statistics, there are 14 inclined, rhythmically deposited layers in the upper section of this deposit.
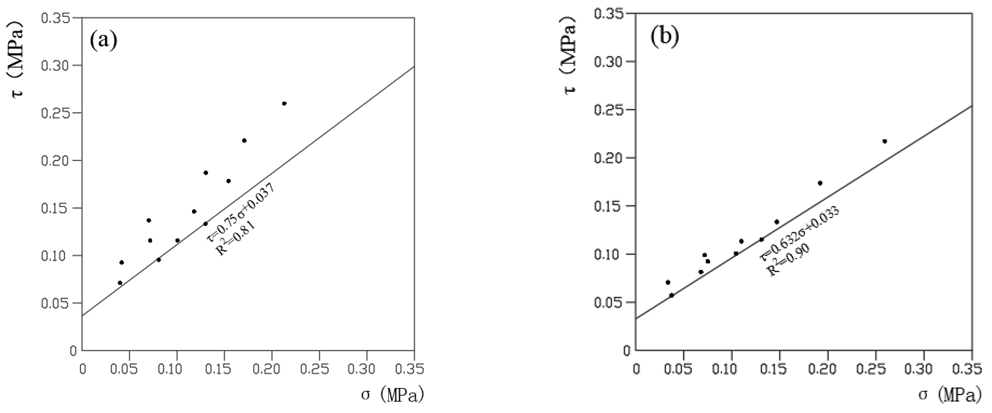
3.1.2. Physical and Mechanical Properties
3.1.3. Stability Analysis
- (a)
- Stability analysis of the deposits before reservoir impoundment
- (b)
- Stability analysis of the deposits after reservoir impoundment
3.2. Terrace Deposits
3.2.1. Characteristics of Deposits
- (a)
- There are many colluvial deposits on both banks of the riverbed in Figure 7c. In addition to sand gravel, there are a large number of rubble or gravel mixed in the riverbed deposits;
- (b)
- As a terrace deposit, colluvial-deluvial gravelly soil accumulates on the riverbed deposits in the later period, forming a typical binary structure, as shown in Figure 7d.
3.2.2. Physical and Mechanical Properties
3.2.3. Stability Analysis
- (a)
- Stability analysis of the deposits before reservoir impoundment
- (b)
- Stability analysis of the deposits after reservoir impoundment
3.3. Early Debris Flow Deposits
3.3.1. Characteristics of Deposits
- (a)
- Debris flow gullies have been developed pervasively. According to the investigation results, among the 51 gullies along the Lancang River section from Mangkang County to Chaya County, there are 15 debris flow gullies, accounting for 29% of the total number of gullies. The reasons can be summarized by the following two aspects. The first is that the upper crust in this region is in the rapid uplift stage. The gullies on both sides of the valleys are steep in general, which creates favorable terrain conditions for the occurrence of debris flows. The second is that broken surface rocks, collapse, dislocation, landslide, and other adverse geological phenomena are developed, providing a rich source of solid materials for the formation of debris flow.
- (b)
- Most debris flow deposits have a large scale. The reasons can be summarized by the following two aspects. The first is that the early glacial deposits from gullies and large-scale slumps provide the necessary source conditions for debris flows. For example, three deposits have been developed on the riverbanks of the Jinsha River near Wangdalong (WDL) Village downstream of Batang County in Sichuan Province, as shown in Figure 11a. The quantity of each deposit is more than 0.1 billion m3. On the right bank of the Lancang River section in RM County of Tibet, No. 12 debris flow deposit is distributed along the riverbank over a distance of 1.4 km and has a maximum width of 0.8 km. The debris flow deposit is fan-shaped and covers the second terrace. Apparently, large-scale slumps have occurred in the source gully, as shown in Figure 11b–d. This large debris flow deposit has even blocked the Lancang River and resulted in the displacement of the river channel to the left. The second is that the melting of ice and snow and glacial lake outburst caused by climate changes provide an adequate water supply for ultra-large-scale debris flows. From the perspective of the deposit-terrace, the WDL and No.12 debris flow deposits have all covered the second terrace, but they have not fully covered the first terrace, indicating that these deposits were formed in the same geological period as the first terrace. The formation geological period of the two deposits is the early Holocene. This phenomenon is highly consistent with the rapid warming during the early-middle Holocene after the Last Glacial Maximum in the southeast of Tibet [29].
3.3.2. Physical and Mechanical Properties
3.3.3. Stability Analysis
- (a)
- Stability analysis of the deposits before reservoir impoundment
- (b)
- Stability analysis of the deposits after reservoir impoundment
3.4. Landside Deposits
3.4.1. Characteristics of Deposits
- (a)
- The bedrock is strongly compressed by the structure, the surface is weathered and unloaded strongly, and earthquakes occur frequently. Therefore, large-scale landslides are common. For example, the No.1 deposit in front of the dam of CB hydropower station has a total volume of 27 million m3, which is a slump deposit formed under early seismic actions. The deposit is composed of broken rock masses, including the broken granite and marble from the hanging wall of the Suwalon-Wangdalong Fault in the Jinsha River fault zone, as shown in Figure 15a. Large quantities of rubbles and huge blocks have blocked the Jinsha River, and damming silts have been deposited in the upper reaches of the river. Afterwards, the deposit was flushed and divided by the river water into two parts on both riverbanks. However, large-scale landslides have also occurred recently. For example, the Baige Landslide, which occurred on the right bank of the Jinsha River in BL Town of JD County in October 2018, has formed an ultra-large-scale landslide deposit with a length of about 1600 m, a maximum width of about 700 m, and a total volume of about 3500 × 104 m3. This landslide deposit has even blocked the Jinsha River, as shown in Figure 15b. The formation mechanism of the deposit is due to the deformation and failure of the melange rock mass in the tectonic suture zone under the continuous action of unloading and gravity.
- (b)
- Ice and snow meltwater are the main causes of large-scale landslides. The high and cold valley region is an area with low rainfall. For example, the average annual rainfall and maximum daily rainfall in the Lancang River valley in Mangkang area are 575 mm and 55 mm, respectively, accounting for only 1/2–1/3 of the average annual rainfall and maximum daily rainfall in inland areas. Therefore, it is difficult for the rainwater to seep into the rock and soil masses at deep levels to create deep underground flows or adequate fissure water pressure, as shown by the Jiasai landslide deposit in Figure 15c. Three deformation zones are divided into the Jiasai landslide deposit. The deformation of each zone is different because the permeability coefficient of the rock and soil is different. However, the probability of occurrence of large-scale landslides will increase significantly when ice and snow meltwater and storm water work together as the temperature rises during the period from April to October each year.
3.4.2. Stability Analysis
- (a)
- Stability analysis of the deposits before reservoir impoundment
- (b)
- Stability analysis of the deposits after reservoir impoundment
4. Discussion
- (a)
- The uplift pressure of the water is unfavorable to the stability of the deposits. When the reservoir water rises, the surface and groundwater levels inside the deposits will be raised as a whole, so that the deposits are partially under the constant water level. This will form the uplift pressure to reduce the weight of the lower sliding bodies, thus reducing the stability of the deposits. As shown in Figure 5b and Figure 19, compared with the stability analysis of the deposits before reservoir impoundment, when the shear strength remains unchanged and only the unit weight of soil mass below the water level is converted to saturated unit weight, the stability factor of the RS colluvial-deluvial deposit decreases from 1.30 to 1.19. Compared with the stability analysis of the deposits after reservoir impoundment, the stability factor of the RS colluvial-deluvial deposit increases from 1.19 to 1.07, as shown in Figure 6a and Figure 19. For calculation of the result of the stability of the RS deposit after the impoundment in Figure 19, only the uplift pressure of the water is considered. Therefore, the stability factor is larger than that in the calculation result in Figure 6. The reason is that for calculating the result of the stability of the RS deposit after the impoundment in Figure 6, the uplift pressure, seepage pressure, hydrostatic pressure and hydrodynamic pressure of the water are considered. These factors cause the anti-sliding force to decrease and the sliding force to increase. The influence factors of the deposits are often realized through the change of groundwater, which will significantly change the stress conditions of the deposits and the physical and mechanical properties of rock and soil mass, thereby reducing the stability of the deposits. The rapid rise of the groundwater level caused by the rise of the reservoir water level will form a large hydrostatic pressure on the potential slip surface. The sliding body at the leading edge of the anti-slide section is submerged by the reservoir water, resulting in an increase in the uplift pressure, while the effective normal stress will be reduced, reducing the anti-slide force at the anti-slide section.
- (b)
- The mechanical properties of soil mass decrease. Microstructure tests of fine particles such as clay and silt show that water immersion will cause slip and tensile deformation between soil particles. Subsequently, the particles are also broken and corroded. These factors reduce the particle size and increase the pore spacing. Therefore, the microstructure of soil mass will be destroyed, and the mechanical properties of the soil will be reduced, especially the cohesion of soil. For coarse particles such as pebbles and gravels, water will reduce the friction between particles, and the friction of soil. The shear strength of the soil will decrease, reducing the stability of the deposit. Therefore, fine-particle soil is more hydrophilic than coarse-particle soil, and the wetting effect of water of the former is stronger. For example, compared with the natural conditions, the f’ value of fine particle soil under saturated conditions decreases by 16%, and the c’ value decreases by 53%. Nevertheless, the f’ value of coarse particle soil decreases by 14%, and the c’ value decreases by 29%, as shown in Table 1.
- (c)
- The seepage pressure of the water is unfavorable to the stability of the deposits. When the reservoir water drops rapidly, the residual groundwater in the soil will seep out, and the seepage pressure will be formed. Finally, the force causing soil deformation is increased, and the stability of the deposit is reduced.
5. Conclusions
- (a)
- The colluvial-deluvial deposits in high and cold valleys are widely distributed on both banks of the river, with the characteristics of large burial depth and large volume. The formation mechanism of the deposit is mainly related to the alternating action of weathering, rainfall, freezing–thawing, and earthquake triggering, so the rock mass produces large deformation. The colluvial-deluvial deposits in the high and cold valley regions have special characteristics. Firstly, the high and cold valley region is characterized by high regional in-situ stress, strong unloading, freezing–thawing, and weathering effects. Secondly, under tectonic and seismic actions, the rock masses are fractured noticeably and have many small and hidden joints. Finally, the layer in the RS deposit mainly includes a well cemented and fine-grained muddy gravel layer with high silt and clay content, and a poorly cemented broken gravel layer with low silt and clay content. For each gravel, the shear strength parameters under saturated conditions are less than those under natural conditions. After reservoir impoundment, the deposit is stable. However, after the reservoir impoundment, the deposit is unstable, and the main form of the deformation of the deposit is progressive creep deformation from the surface to the inside.
- (b)
- The terrace deposits in the high and cold valley region are intermittently distributed, and many relatively independent and concentrated terrace deposits have been formed. The test results reveal that the shear strength parameters c’ and f’ are 37 kPa and 36.9° under natural conditions, while 33 kPa and 32.2° under saturated conditions. For the mode of general slip with the boundary between bedrock and overburden as the bottom slip plane, the stability factor of the deposit before the reservoir impoundment is 3.74, while is 3.19 after the reservoir impoundment. For automatically searched circular slip, the minimum stability factor is 1.08, while it is 1.00 after the reservoir impoundment. Therefore, the deformation and failure mode of the deposit is mainly the bank collapse at the leading edge.
- (c)
- Debris flow gullies have been developed pervasively, and most debris flow deposits have a large scale. The test results reveal that the shear strength parameters c’ and f’ are 32 kPa and 32.2°under natural conditions, while they are 28 kPa and 24.7° under saturated conditions. For the mode of general slip with the boundary between bedrock and overburden as the bottom slip plane, the stability factor of the deposit before the reservoir impoundment is 1.81, while it is 1.55 after the reservoir impoundment. For automatically searched circular slip, the range of the stability factor is 1.53–1.55, while the stability factor is 1.31 after the reservoir impoundment. Therefore, the deformation and failure of the deposit mainly occur in steep local areas.
- (d)
- Due to the weathering of the surface, the unloading strongly, and earthquake frequently, large-scale landslide deposits in the high and cold valley region are common. The Jiasai landslide deposit has been deformed after the impoundment, and its stability factor under natural conditions is only 1.05–1.07. After one month of the reservoir impoundment, tension cracks in the Jiasai deposit are found in the leading edge of the middle and upstream sides. About two months later, tension cracks are also found in the back scarp of the landslide. After about four months of impoundment, the tension cracks have connected, and the width of the cracks is 30–100 cm. The results show that the bank collapse and overall sliding along the early bottom slip surface or the internal penetrating soft layer are the main deformation and failure modes of the landslide after impoundment.
Author Contributions
Funding
Informed Consent Statement
Data Availability Statement
Acknowledgments
Conflicts of Interest
References
- Zhao, B.; Wang, Y.; Li, J.; Wang, J.; Tang, C. Insights into a giant landslide-prone area on the eastern margin of the Tibetan Plateau, China. J. Mt. Sci. 2021, 18, 21–37. [Google Scholar] [CrossRef]
- Zhao, B.; Su, L.; Wang, Y.; Li, W.; Wang, L. Insights into some large-scale landslides along the Sichuan–Tibet railway, China. J. Rock Mech. Geotech. Eng. 2022, in press. [CrossRef]
- Dortch, J.M.; Owen, L.A.; Haneberg, W.C.; Caffee, M.W.; Dietsch, C.; Kamp, U. Nature and timing of large landslides in the Himalaya and Transhimalaya of northern India. Quat. Sci. Rev. 2009, 28, 1037–1054. [Google Scholar] [CrossRef]
- Zeng, Q.; Zhang, L.; Davies, T.; Yuan, G.; Xue, X.; Wei, R.; Yin, Q.; Liao, L. Morphology and inner structure of Luanshibao rock avalanche in Litang, China and its implications for long-runout mechanisms. Eng. Geol. 2019, 260, 105216. [Google Scholar] [CrossRef]
- Ilinca, V. Using morphometrics to distinguish between debris flow, debris flood and flood (Southern Carpathians, Romania). Catena 2021, 197, 104982. [Google Scholar] [CrossRef]
- Gao, R.; Wang, C.; Liang, Z. Comparison of different sampling strategies for debris flow susceptibility mapping: A case study using the centroids of the scarp area, flowing area and accumulation area of debris flow watersheds. J. Mt. Sci. 2021, 18, 1476–1488. [Google Scholar] [CrossRef]
- Sun, X.; Chen, J.; Bao, Y.; Han, X.; Zhan, J.; Peng, W. Landslide Susceptibility Mapping Using Logistic Regression Analysis along the Jinsha River and Its Tributaries Close to Derong and Deqin County, Southwestern China. ISPRS Int. J. Geo-Inf. 2018, 7, 438. [Google Scholar] [CrossRef]
- Guo, X.; Ge, Y.; Zhan, M.; Yan, H. Failure process of a lateral slope deposit and its effect on debris flood formation. Bull. Eng. Geol. Environ. 2022, 81, 324. [Google Scholar] [CrossRef]
- Lin, J.; Zhu, G.; Wei, J.; Jiang, F.; Wang, M.; Huang, Y. Mulching effects on erosion from steep slopes and sediment particle size distributions of gully colluvial deposits. Catena 2018, 160, 57–67. [Google Scholar] [CrossRef]
- Wen, T.; Tang, H.; Huang, L.; Wang, Y.; Ma, J. Energy evolution: A new perspective on the failure mechanism of purplish-red mudstones from the Three Gorges Reservoir area, China. Eng. Geol. 2020, 264, 105350. [Google Scholar] [CrossRef]
- Fang, K.; Tang, H.; Li, C.; Su, X.; An, P.; Sun, S. Centrifuge modelling of landslides and landslide hazard mitigation: A review. Geosci. Front. 2023, 14, 101493. [Google Scholar] [CrossRef]
- Liu, S.L.; Wang, L.Q.; Zhang, W.G.; He, Y.W.; Samui, P. A comprehensive review of machine learning-based methods in landslide susceptibility mapping. Geol. J. 2023. [Google Scholar] [CrossRef]
- Wang, L.Q.; Xiao, T.; Liu, S.L.; Zhang, W.G.; Yang, B.B.; Chen, L.C. Quantification of model uncertainty and variability for landslide displacement prediction based on Monte Carlo simulation. Gondwana Res. 2023. [Google Scholar] [CrossRef]
- Jiang, F.S.; Huang, Y.H.; Wang, M.K.; Lin, J.S.; Zhao, G.; Ge, H.L. Effects of Rainfall Intensity and Slope Gradient on Steep Colluvial Deposit Erosion in Southeast China. Soil Sci. Soc. Am. J. 2014, 78, 1741–1752. [Google Scholar] [CrossRef]
- Wen, T.; Hu, Z.; Tang, H. The field survey and deformation characteristics of exit slope of Qingshuigou tunnel in the southwest of China. Arab. J. Geosci. 2022, 15, 1096. [Google Scholar] [CrossRef]
- Jia, W.; Wen, T.; Li, D.; Guo, W.; Quan, Z.; Wang, Y.; Huang, D.; Hu, M. Landslide Displacement Prediction of Shuping Landslide Combining PSO and LSSVM Model. Water 2023, 15, 612. [Google Scholar] [CrossRef]
- Zhang, W.G.; He, Y.W.; Wang, L.Q.; Liu, S.L.; Meng, X.Y. Landslide Susceptibility Mapping Using Random Forest and Extreme Gradient Boosting: A Case Study of Fengjie, Chongqing. Geol. J. 2023. [Google Scholar] [CrossRef]
- Jiang, F.; Huang, Y.; Wang, M.K.; Lin, J.; Zhao, G.; Ge, H.; Ji, X. Sediment selective behaviors of colluvial deposit materials on steep slopes and under heavy rainfall conditions in southeastern China. J. Soil Water Conserv. 2018, 73, 133. [Google Scholar] [CrossRef]
- Zhang, Y.; Chen, N.; Liu, M.; Wang, T.; Deng, M.; Wu, K.; Khanal, B.R. Debris flows originating from colluvium deposits in hollow regions during a heavy storm process in Taining, southeastern China. Landslides 2020, 17, 335–347. [Google Scholar] [CrossRef]
- Vandenberghe, J.; Vanacker, V. Towards a system approach in the study of river catchments. Geomorphology 2008, 3, 173–175. [Google Scholar] [CrossRef]
- Wen, Z.; Chen, D.; Guo, L.; Pan, B.; Hu, X.; Li, Q.; Ji, X.; Yang, J. Response of terrace deposit thickness to climate change and tectonic deformation: An example of the Liyuan River in the Northeast Tibetan Plateau. Terr. Nova 2022, 34, 37–46. [Google Scholar] [CrossRef]
- Gao, H.; Li, Z.; Liu, F.; Wu, Y.; Li, P.; Zhao, X.; Li, F.; Guo, J.; Liu, C.; Pan, B.; et al. Terrace formation and river valley development along the lower Taohe River in central China. Geomorphology 2020, 348, 106885. [Google Scholar] [CrossRef]
- Pan, B.; Su, H.; Hu, Z.; Hu, X.; Gao, H.; Li, J.; Kirby, E. Evaluating the role of climate and tectonics during non-steady incision of the Yellow River: Evidence from a 1.24Ma terrace record near Lanzhou, China. Quat. Sci. Rev. 2009, 28, 3281–3290. [Google Scholar] [CrossRef]
- Chen, J.; Dai, F.; Yao, X. Holocene debris-flow deposits and their implications on the climate in the upper Jinsha River valley, China. Geomorphology 2008, 93, 493–500. [Google Scholar] [CrossRef]
- Tang, C.; Rengers, N.; van Asch, T.W.J.; Yang, Y.H.; Wang, G.F. Triggering conditions and depositional characteristics of a disastrous debris flow event in Zhouqu city, Gansu Province, northwestern China. Nat. Hazards Earth Syst. Sci. 2011, 11, 2903–2912. [Google Scholar] [CrossRef]
- Tang, C.; van Asch, T.W.J.; Chang, M.; Chen, G.Q.; Zhao, X.H.; Huang, X.C. Catastrophic debris flows on 13 August 2010 in the Qingping area, southwestern China: The combined effects of a strong earthquake and subsequent rainstorms. Geomorphology 2012, 139–140, 559–576. [Google Scholar] [CrossRef]
- Chen, X.; Cui, Y. The formation of the Wulipo landslide and the resulting debris flow in Dujiangyan City, China. J. Mt. Sci. 2017, 14, 1100–1112. [Google Scholar] [CrossRef]
- Aucelli, P.P.C.; Casciello, E.; Cesarano, M.; Perriello Zampelli, S.; Rosskopf, C.M. A deep, stratigraphically and structurally controlled landslide: The case of Mount La Civita (Molise, Italy). Landslides 2013, 10, 645–656. [Google Scholar] [CrossRef]
- Thanh, L.N.; De Smedt, F. Slope stability analysis using a physically based model: A case study from A Luoi district in Thua Thien-Hue Province, Vietnam. Landslides 2014, 11, 897–907. [Google Scholar] [CrossRef]





















| Parameters | Broken Gravels | Fine-Grain Muddy Gravels | Sandy Gravels | |||
|---|---|---|---|---|---|---|
| Natural Condition | Saturated Condition | Natural Condition | Saturated Condition | Natural Condition | Saturated Condition | |
| c’ (kPa) | 49 | 35 | 76 | 36 | 49 | 36 |
| f’ (°) | 36.1 | 32.2 | 36.5 | 31.8 | 32.2 | 23.3 |
| Gravel content | 10% | - | 3% | - | - | - |
| Fine grain content | 2% | - | 10% | - | - | - |
| Parameters | Broken Gravels | Fine-Grain Muddy Gravels | Sandy Gravels | Terrace Deposits | Early Debris Flow Deposits |
|---|---|---|---|---|---|
| c’ (kPa) | 44 | 59 | 39 | 38 | 49 |
| f’ (°) | 35.8 | 35.3 | 30.5 | 36.5 | 31.4 |
Disclaimer/Publisher’s Note: The statements, opinions and data contained in all publications are solely those of the individual author(s) and contributor(s) and not of MDPI and/or the editor(s). MDPI and/or the editor(s) disclaim responsibility for any injury to people or property resulting from any ideas, methods, instructions or products referred to in the content. |
© 2023 by the authors. Licensee MDPI, Basel, Switzerland. This article is an open access article distributed under the terms and conditions of the Creative Commons Attribution (CC BY) license (https://creativecommons.org/licenses/by/4.0/).
Share and Cite
Wu, S.; Hu, D.; Wen, T. Special Characteristics and Stability Analysis of Bank Slope Deposits with Special Geotechnical Structures in High and Cold Valleys. Sustainability 2023, 15, 6090. https://doi.org/10.3390/su15076090
Wu S, Hu D, Wen T. Special Characteristics and Stability Analysis of Bank Slope Deposits with Special Geotechnical Structures in High and Cold Valleys. Sustainability. 2023; 15(7):6090. https://doi.org/10.3390/su15076090
Chicago/Turabian StyleWu, Shuyu, Daru Hu, and Tao Wen. 2023. "Special Characteristics and Stability Analysis of Bank Slope Deposits with Special Geotechnical Structures in High and Cold Valleys" Sustainability 15, no. 7: 6090. https://doi.org/10.3390/su15076090
APA StyleWu, S., Hu, D., & Wen, T. (2023). Special Characteristics and Stability Analysis of Bank Slope Deposits with Special Geotechnical Structures in High and Cold Valleys. Sustainability, 15(7), 6090. https://doi.org/10.3390/su15076090

