Walking for Sustainable Cities: Factors Affecting Users’ Willingness to Walk
Abstract
1. Introduction
2. Materials and Methods
Analytical Methods
- ➢
- Retention of most of the information in the data: PCA aims to retain as much information as possible from the original data while reducing the dimensionality of the problem, thus minimizing the loss of relevant information.
- ➢
- Speed of calculation: PCA is relatively fast compared to other dimension reduction methods, such as linear discriminant analysis (LDA) or factor analysis. This makes PCA suitable for working with large amounts of data.
- ➢
- Ease of interpretation: PCA provides a visual representation of the data in a new coordinate system in which the dimensions are ordered according to their importance. This makes it possible to visualize the relationships between variables and identify hidden patterns in the data.
- ➢
- Reduction of correlation: PCA is able to reduce the correlations between variables, simplifying the problem and making it easier to understand the data.
- ➢
- Ability to test complex causal models: Path analysis allows researchers to test complex models that include multiple variables and pathways. This allows researchers to investigate the direct and indirect effects of variables on each other, which can be useful for understanding the underlying mechanisms of complex phenomena.
- ➢
- Ability to handle multiple dependent variables: Path analysis can be used to simultaneously analyze multiple dependent. This is particularly useful in situations where there are multiple outcomes of interest that are interrelated.
- ➢
- Allows for the inclusion of measurement error: Path analysis can account for measurement error in the variables being studied. This is important because measurement error can lead to biased estimates of the relationships between variables.
- ➢
- Provides a visual representation of the relationships between variables: Path analysis produces a diagram that shows the relationships between variables in the model. This can be useful for communicating the results of the analysis to others and for generating new hypotheses for future research.
- ➢
- Can be used to test alternative hypotheses: Path analysis allows researchers to test alternative hypotheses about the relationships between variables. This can be useful for exploring different theoretical perspectives and comparing the fit of different models to the data.
3. Results
3.1. Principal Component Analysis
- The first was formed by variables that have a high positive weight with respect to PC2 and a low weight with respect to PC3. This cluster contained V14, V16, V17, V18, V19, V20, and V25.
- The second was formed by variables that had a high negative weight with respect to PC2 and a low weight with respect to PC3. This cluster contained V9, V10, V11, V12, and V13.
- The third was formed by variables that had a high positive weight with respect to PC3 and a low weight with respect to PC2. This cluster contained V15, V21, V22, V23, and V24.
- The fourth was formed by variables that had a high negative weight with respect to PC3 and a low weight with respect to PC2. This cluster contained V1, V2, V3, V4, V5, V6, V7, and V8.
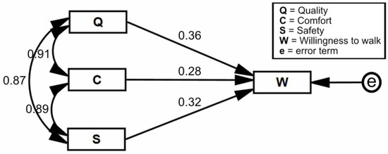
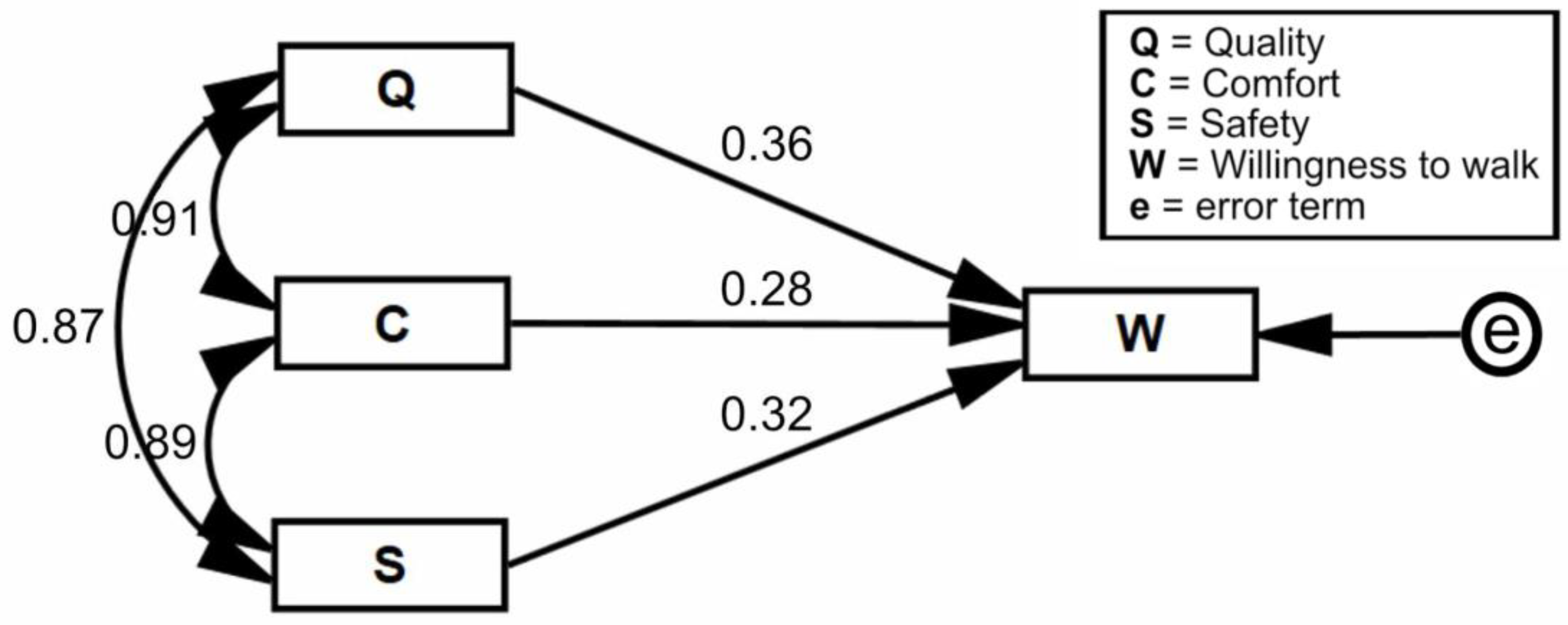
3.2. Path Analysis
4. Discussion
5. Conclusions
Author Contributions
Funding
Institutional Review Board Statement
Informed Consent Statement
Data Availability Statement
Conflicts of Interest
References
- Larranaga, A.M.; Arellana, J.; Rizzi, L.I.; Strambi, O.; Cybis, H.B.B. Using best–worst scaling to identify barriers to walkability: A study of Porto Alegre, Brazil. Transportation 2019, 46, 2347–2379. [Google Scholar] [CrossRef]
- Majumdar, B.B.; Sahu, P.K.; Patil, M.; Vendotti, N. Pedestrian Satisfaction-Based Methodology for Prioritization of Critical Sidewalk and Crosswalk Attributes Influencing Walkability. J. Urban Plann. Dev. 2021, 147, 04021032. [Google Scholar] [CrossRef]
- Bornioli, A.; Parkhurst, G.; Morgan, P.L. Affective experiences of built environments and the promotion of urban walking. Transp. Res. Part. A Policy Pract. 2019, 123, 200–215. [Google Scholar] [CrossRef]
- Glebova, E.; Desbordes, M. Smart sports in smart cities. In Smart Cities and Tourism: Co-Creating Experiences, Challenges and Opportunities; Chapter 4; Goodfellow Publishers: Oxford, UK, 2022; p. 60. [Google Scholar] [CrossRef]
- Distefano, N.; Leonardi, S. Experimental investigation of the effect of speed bumps in sequence on noise emission level from motor vehicles. Noise Control Eng. J. 2015, 63, 582–597. [Google Scholar] [CrossRef]
- Montella, A.; Chiaradonna, S.; Claudi de Saint Mihiel, A.; Lovegrove, G.; Nunziante, P.; Rella Riccardi, M. Sustainable Complete Streets Design Criteria and Case Study in Naples, Italy. Sustainability 2022, 14, 13142. [Google Scholar] [CrossRef]
- Kim, S.; Park, S.; Lee, J.S. Meso- or micro-scale? Environmental factors influencing pedestrian satisfaction. Transp. Res. D Trans. Environ. 2014, 30, 10–20. [Google Scholar] [CrossRef]
- Lee, E.; Dean, J. Perceptions of walkability and determinants of walking behaviour among urban seniors in Toronto, Canada. J. Transp. Health 2018, 9, 309–320. [Google Scholar] [CrossRef]
- McCormack, G.R.; Friedenreich, C.M.; Giles-Corti, B.; Doyle-Baker, P.K.; Shiell, A. Do motivation-related cognitions explain the relationship between perceptions of urban form and neighborhood walking? J. Phys. Act Health 2013, 10, 961–973. [Google Scholar] [CrossRef]
- Ewing, R.; Handy, S. Measuring the unmeasurable: Urban design qualities related to walkability. J. Urban Des. 2009, 14, 65–84. [Google Scholar] [CrossRef]
- Bruner, J.S. Acts of Meaning; Harvard University Press: Cambridge, MA, USA, 1990. [Google Scholar]
- Van der Vlugt, A.L.; Curl, A.; Scheiner, J. The influence of travel attitudes on perceived walking accessibility and walking behaviour. Travel Behav. Soc. 2022, 27, 47–56. [Google Scholar] [CrossRef]
- Otsuka, N.; Wittowsky, D.; Damerau, M.; Gerten, C. Walkability assessment for urban areas around railway stations along the rhine-alpine corridor. J. Transp. Geogr. 2021, 93, 103081. [Google Scholar] [CrossRef]
- Villaveces, A.; Nieto, L.A.; Ortega, D.; Ríos, J.F.; Medina, J.J.; Gutiérrez, M.I.; Rodríguez, D. Pedestrians’ perceptions of walkability and safety in relation to the built environment in Cali, Colombia, 2009–2010. Inj. Prev. 2012, 18, 291–297. [Google Scholar] [CrossRef] [PubMed]
- Ferrer, S.; Ruiz, T. The impact of the built environment on the decision to walk for short trips: Evidence from two Spanish cities. Transp. Policy 2018, 67, 111–120. [Google Scholar] [CrossRef]
- Sdoukopoulos, A.; Verani, E.; Nikolaidou, A.; Gavanas, N.; Pitsiava-Latinopoulou, M.; Mikiki, F.; Mademli, E.; Pallas, C. Development and implementation of walkability audits in Greek medium-sized cities: The case of the Serres’ city centre. Transp. Res. Proc. 2017, 24, 337–344. [Google Scholar] [CrossRef]
- Singh, R. Factors affecting walkability of neighborhoods. Procedia Soc. Behav. Sci. 2016, 216, 643–654. [Google Scholar] [CrossRef]
- Shamsuddin, S.; Bilyamin, S.F.I. Factors Influencing the Walkability Characteristics of Kuala Lumpur City Centre. Int. J. Eng. Technol. Manag. Appl. Sci. 2012, 3, 1–21. [Google Scholar]
- Metha, V. Walkable streets: Pedestrian behavior, perceptions and attitudes. J. Urban. Intern. Res. Place. Urb. Sust. 2008, 1, 217–245. [Google Scholar] [CrossRef]
- Lee, J.; Kim, D.; Park, J. A Machine Learning and Computer Vision Study of the Environmental Characteristics of Streetscapes That Affect Pedestrian Satisfaction. Sustainability 2022, 14, 5730. [Google Scholar] [CrossRef]
- Fan, J.; Han, F.; Liu, H. Challenges of Big Data Analysis. Natl. Sci. Rev. 2014, 1, 293–314. [Google Scholar] [CrossRef] [PubMed]
- Jolliffe, I.T.; Cadima, J. Principal component analysis: A review and recent developments. Phil. Trans. R. Soc. A 2016, 375, 1–16. [Google Scholar] [CrossRef]
- Carver, A.; Salmon, J.; Campbell, K.; Baur, L.; Garnett, S.; Crawford, D. How do perceptions of local neighborhood relate to adolescents’ walking and cycling? Am. J. Health Promot. 2005, 20, 139–147. [Google Scholar] [CrossRef] [PubMed]
- Fairchild, A.J.; Mac Kinnon, D.P. A General Model for Testing Mediation and Moderation Effects. Prev. Sci. 2009, 10, 87–99. [Google Scholar] [CrossRef] [PubMed]
- Distefano, N.; Leonardi, S.; Pulvirenti, G. Home-school Travel: Analysis of Factors Affecting Italian Parents’ Mode Choice. Civ. Eng. Archit. 2019, 7, 75–87. [Google Scholar] [CrossRef]
- Shrestha, N. Factor Analysis as a Tool for Survey Analysis. Am. J. Appl. Math. 2021, 9, 4–11. [Google Scholar] [CrossRef]
- Boukarta, S.; Berezowska-Azzag, E. The influence of build environment and socio-economic factors on commuting energy demand: A path analysis-based approach. Quaest. Geogr. 2022, 41, 19–39. [Google Scholar] [CrossRef]
- Fonseca, F.; Fernandes, E.; Ramos, R. Walkable Cities: Using the Smart Pedestrian Net Method for Evaluating a Pedestrian Network in Guimarães, Portugal. Sustainability 2022, 14, 10306. [Google Scholar] [CrossRef]
- Vallejo-Borda, J.A.; Ortiz-Ramirez, H.A.; Rodriguez-Valencia, A.; Hurtubia, R.; de D. Ortúzar, J. Forecasting the Quality of Service of Bogota’s Sidewalks from Pedestrian Perceptions: An Ordered Probit MIMIC Approach. Transp. Res. Rec. 2020, 2674, 205–216. [Google Scholar] [CrossRef]
- Distefano, N.; Leonardi, S. Evaluation of the Effectiveness of Traffic Calming Measures by SPEIR Methodology: Framework and Case Studies. Sustainability 2022, 14, 7325. [Google Scholar] [CrossRef]
- Distefano, N.; Leonardi, S. Evaluation of the Benefits of Traffic Calming on Vehicle Speed Reduction. Civ. Eng. Archit. 2019, 7, 200–214. [Google Scholar] [CrossRef]
- Kweon, B.S.; Rosenblatt-Naderi, J.; Ellis, C.D.; Shin, W.H.; Danies, B.H. The Effects of Pedestrian Environments on Walking Behaviors and Perception of Pedestrian Safety. Sustainability 2021, 13, 8728. [Google Scholar] [CrossRef]
- Rella Riccardi, M.; Galante, F.; Scarano, A.; Montella, A. Econometric and Machine Learning Methods to Identify Pedestrian Crash Patterns. Sustainability 2022, 14, 15471. [Google Scholar] [CrossRef]
- Øvstedal, L.; Ryeng, E.O. Understanding pedestrian comfort in European cities: How to improve walking conditions? In Proceedings of the European Transport Conference Proceedings 2002, Cambridge, UK, 28 March 2002; Association for European Transport: Henley-In-Arden, UK. [Google Scholar]
- Asadi-Shekari, Z.; Moeinaddini, M.; Aghaabbasi, M.; Cools, M.; Zaly Shah, M. Exploring effective micro-level items for evaluating inclusive walking facilities on urban streets. Sustain. Cities Soc. 2019, 49, 101563. [Google Scholar] [CrossRef]
- Johansson, M.; Laureshyn, A.; Nilsson, M. Video Analysis of Pedestrian Movement (VAPM) under Different Lighting Conditions—Method Exploration. Energies 2020, 13, 4141. [Google Scholar] [CrossRef]
- Ertin, D.G.; Karakaya, A.B.; Ozyavuz, M. Edirne Saraclar street pedestrian comfort analysis. J. Environ. Prot. Ecol. 2018, 19, 738–751. [Google Scholar]
- Moura, F.; Cambra, P.; Gonçalves, A.B. Measuring walkability for distinct pedestrian groups with a participatory assessment method: A case study in Lisbon. Landsc. Urban Plan. 2017, 157, 282–296. [Google Scholar] [CrossRef]
- Basu, R.; Sevtsuk, A. How do street attributes affect willingness-to-walk? City-wide pedestrian route choice analysis using big data from Boston and San Francisco. Transp. Res. Part. A Policy Pract. 2022, 163, 1–19. [Google Scholar] [CrossRef]
- Sousa, N.; J Monteiro, J.; Natividade-Jesus, E.; Coutinho-Rodrigues, J. The impact of geometric and land use elements on the perceived pleasantness of urban layouts. Environ. Plan. B Urban Anal. City Sci. 2023, 50, 740–756. [Google Scholar] [CrossRef]
- Calafiore, A. Measuring beauty in urban settings. In Proceedings of the GISRUK 2020 Proceedings, Cambridge, UK, 21–23 June 2020; pp. 1–9. [Google Scholar]
- Alfonzo, M.A. To walk or not to walk? The hierarchy of walking needs. Environ. Behav. 2005, 37, 808–836. [Google Scholar] [CrossRef]
- Bellizzi, M.G.; Forciniti, C.; Mazzulla, G. A Stated Preference Survey for Evaluating Young Pedestrians’ Preferences on Walkways. Sustainability 2021, 13, 12434. [Google Scholar] [CrossRef]
- Mateo-Babiano, I. Pedestrian’s needs matter: Examining Manila’s walking environment. Transp. Policy 2016, 45, 107–115. [Google Scholar] [CrossRef]
- Wolek, M.; Suchanek, M.; Czuba, T. Factors influencing walking trips. Evidence from Gdynia, Poland. PLoS ONE 2021, 16, e0254949. [Google Scholar] [CrossRef] [PubMed]
- Van Wee, B. Accessible accessibility research challenges. J. Transp. Geogr. 2016, 51, 16. [Google Scholar] [CrossRef]
- Clifton, K.J.; Singleton, P.A.; Muhs, C.D.; Schneider, R.J. Representing pedestrian activity in travel demand models: Framework and application. J. Transp. Geogr. 2016, 52, 111–122. [Google Scholar] [CrossRef]
- Nicolosi, V.; Augeri, M.G.; Leonardi, S.; Distefano, N. Cross-Asset Resource Allocation and the Impact on Road Network Performance. Transp. Res. Proc. 2023, 69, 799–806. [Google Scholar] [CrossRef]
- Vallejo-Borda, J.A.; Cantillo, C.; Rodriguez-Valencia, A. A perception-based cognitive map of the pedestrian perceived quality of service on urban sidewalks. Transp. Res. F Traffic Psychol. Behav. 2020, 73, 107–118. [Google Scholar] [CrossRef]
- Eboli, L.; Forciniti, C.; Mazzulla, G.; Bellizzi, M.G. Establishing Performance Criteria for Evaluating Pedestrian Environments. Sustainability 2023, 15, 3523. [Google Scholar] [CrossRef]
- Canale, S.; Distefano, N.; Leonardi, S. Comparative analysis of pedestrian accident risk at unsignalized intersection. Bjrbe 2015, 10, 283–292. [Google Scholar] [CrossRef]








| Factor | |
|---|---|
| V1 | Continuity of the sidewalk |
| V2 | Sidewalk width |
| V3 | Good condition of the sidewalk surface |
| V4 | Reduced slope of the path |
| V5 | Absence of fixed obstacles (trees, poles, etc.) |
| V6 | Absence of obstacles and obstructions (parked vehicles, merchandise from shops, etc.) |
| V7 | Absence of driveways |
| V8 | Cleanliness of the pedestrian path |
| V9 | Presence of protection from atmospheric agents (trees, porches, etc.) |
| V10 | Presence of benches or seats |
| V11 | High perception of security |
| V12 | Ease of getting to a public transport stop |
| V13 | Good artificial lighting system of the path |
| V14 | Not excessive width of the carriageway |
| V15 | Low flows of vehicular traffic |
| V16 | Presence of speed limits for vehicular flows |
| V17 | Presence of traffic-calming measures on the carriageway |
| V18 | Presence of a bike lane adjacent to the pedestrian path |
| V19 | Presence of a parking lane adjacent to the pedestrian path |
| V20 | Absence of large parking areas |
| V21 | Ease of crossing at intersections |
| V22 | Ease of crossing out of intersections |
| V23 | Presence of commercial activities (bars, shops, etc.) |
| V24 | High artistic/landscape value of the streetscape |
| V25 | Presence of other pedestrians |
| KMO and Bartlett’s Tests | ||
|---|---|---|
| KMO of Sampling Adequacy | 0.872 | |
| Bartlett’s Test of Sphericity | Approx. Chi-Square | 2203.336 |
| df | 300 | |
| Sig. | 0 | |
| Component | Initial Eigenvalues | Extraction Sums of Squared Loadings | ||||
|---|---|---|---|---|---|---|
| Total | % of Variance | Cumulative % | Total | % of Variance | Cumulative % | |
| 1 | 6.821 | 32.283 | 32.283 | 6.821 | 32.283 | 32.283 |
| 2 | 1.94 | 14.76 | 47.043 | 1.94 | 14.76 | 47.043 |
| 3 | 1.737 | 9.948 | 56.991 | 1.737 | 9.948 | 56.991 |
| 4 | 1.336 | 6.998 | 63.989 | 1.336 | 6.998 | 63.989 |
| 5 | 1.094 | 5.03 | 69.019 | 1.094 | 5.03 | 69.019 |
| 6 | 1.007 | 3.684 | 72.703 | 1.007 | 3.684 | 72.703 |
| 7 | 0.966 | 3.422 | 76.125 | |||
| 8 | 0.917 | 3.325 | 79.45 | |||
| 9 | 0.875 | 3.158 | 82.608 | |||
| 10 | 0.818 | 2.828 | 85.436 | |||
| 11 | 0.742 | 2.624 | 88.06 | |||
| 12 | 0.725 | 2.455 | 90.515 | |||
| 13 | 0.649 | 2.177 | 92.692 | |||
| 14 | 0.624 | 1.951 | 94.643 | |||
| 15 | 0.598 | 1.864 | 96.507 | |||
| 16 | 0.559 | 1.711 | 98.218 | |||
| 17 | 0.363 | 1.352 | 99.57 | |||
| 18 | 0.196 | 0.43 | 100 | |||
| Principal Component | ||||||
|---|---|---|---|---|---|---|
| PC1 | PC2 | PC3 | PC4 | PC5 | PC6 | |
| V1 | 0.599 | −0.096 | −0.409 | 0.38 | −0.013 | 0.111 |
| V2 | 0.672 | −0.207 | −0.463 | 0.297 | −0.064 | 0.023 |
| V3 | 0.62 | −0.282 | −0.338 | 0.39 | −0.132 | −0.051 |
| V4 | 0.411 | 0.205 | −0.328 | 0.084 | 0.347 | 0.05 |
| V5 | 0.633 | −0.123 | −0.238 | −0.248 | 0.013 | 0.025 |
| V6 | 0.573 | 0.005 | −0.326 | −0.212 | −0.172 | 0.061 |
| V7 | 0.446 | 0.286 | −0.261 | −0.296 | 0.209 | −0.262 |
| V8 | 0.631 | −0.135 | −0.1 | −0.204 | −0.243 | 0.136 |
| V9 | 0.56 | −0.257 | 0.089 | −0.414 | −0.072 | −0.113 |
| V10 | 0.512 | −0.091 | 0.112 | −0.332 | −0.205 | 0.399 |
| V11 | 0.559 | −0.405 | 0.124 | −0.128 | 0.35 | −0.097 |
| V12 | 0.581 | −0.173 | 0.129 | −0.21 | 0.035 | 0.158 |
| V13 | 0.541 | −0.446 | 0.243 | −0.048 | 0.056 | 0.027 |
| V14 | 0.487 | 0.434 | −0.113 | −0.04 | 0.172 | −0.04 |
| V15 | 0.536 | −0.002 | 0.206 | 0.188 | 0.192 | −0.12 |
| V16 | 0.539 | 0.123 | 0.037 | −0.175 | 0.004 | −0.515 |
| V17 | 0.538 | 0.335 | 0.148 | −0.047 | −0.296 | −0.355 |
| V18 | 0.354 | 0.536 | 0.09 | −0.065 | −0.188 | 0.321 |
| V19 | 0.449 | 0.501 | 0.174 | 0.037 | −0.288 | 0.117 |
| V20 | 0.356 | 0.432 | −0.099 | 0.106 | 0.329 | 0.276 |
| V21 | 0.476 | −0.06 | 0.305 | 0.353 | −0.196 | −0.06 |
| V22 | 0.504 | 0.036 | 0.333 | 0.323 | −0.203 | −0.121 |
| V23 | 0.419 | −0.01 | 0.361 | −0.007 | 0.369 | 0.223 |
| V24 | 0.443 | −0.18 | 0.497 | 0.183 | 0.088 | 0.107 |
| V25 | 0.449 | 0.325 | 0.267 | 0.123 | 0.201 | −0.105 |
| S | C | Q | W | |
|---|---|---|---|---|
| S | 1.000 | |||
| C | 0.891 | 1.000 | ||
| Q | 0.872 | 0.909 | 1.000 | |
| W | 0.879 | 0.888 | 0.890 | 1.000 |
Disclaimer/Publisher’s Note: The statements, opinions and data contained in all publications are solely those of the individual author(s) and contributor(s) and not of MDPI and/or the editor(s). MDPI and/or the editor(s) disclaim responsibility for any injury to people or property resulting from any ideas, methods, instructions or products referred to in the content. |
© 2023 by the authors. Licensee MDPI, Basel, Switzerland. This article is an open access article distributed under the terms and conditions of the Creative Commons Attribution (CC BY) license (https://creativecommons.org/licenses/by/4.0/).
Share and Cite
Distefano, N.; Leonardi, S.; Liotta, N.G. Walking for Sustainable Cities: Factors Affecting Users’ Willingness to Walk. Sustainability 2023, 15, 5684. https://doi.org/10.3390/su15075684
Distefano N, Leonardi S, Liotta NG. Walking for Sustainable Cities: Factors Affecting Users’ Willingness to Walk. Sustainability. 2023; 15(7):5684. https://doi.org/10.3390/su15075684
Chicago/Turabian StyleDistefano, Natalia, Salvatore Leonardi, and Nilda Georgina Liotta. 2023. "Walking for Sustainable Cities: Factors Affecting Users’ Willingness to Walk" Sustainability 15, no. 7: 5684. https://doi.org/10.3390/su15075684
APA StyleDistefano, N., Leonardi, S., & Liotta, N. G. (2023). Walking for Sustainable Cities: Factors Affecting Users’ Willingness to Walk. Sustainability, 15(7), 5684. https://doi.org/10.3390/su15075684

