Abstract
Urban–rural coordination development is a key factor in achieving sustainable development. The research sample consisted of panel data for 30 provinces in China for the period from 2011 to 2020. Our aim was to investigate whether and how the digital economy affects coordinated urban–rural development by using a panel data model, a spatial Durbin model (SDM), and a mediating effects model. The results indicate that (1) the growth of the digital economy has increased the level of coordinated urban–rural development directly and indirectly; (2) the coordinated development of urban and rural areas and the spatial distribution of the digital economy are highly correlated, with eastern regions generally experiencing a high level of agglomeration and central and western regions having a low level of agglomeration; (3) the digital economy can promote coordinated urban–rural development by reducing the income gap between urban and rural areas; and (4) the direct and the spatial promotion effects of digital economy development on coordinated urban–rural development appear to be stronger in the eastern region, insignificant in the central region, and to have a significant direct inhibition, as well as a significant spatial spillover effect, in the western region. This study provides a reference for China and other developing countries similar to China on how to promote coordinated urban and rural development in the development process of the digital economy.
1. Introduction
China’s urban–rural structure has undergone tremendous changes since the mid-1980s, and since 2003, the government has implemented sustainability policies for coordinated urban–rural development [1]. China has now achieved its goal of poverty alleviation, and the inequity between urban and rural development has been dramatically reduced. However, the imbalance between urban and rural development still exists in some remote regions [2]. Urban-biased policies and the urban–rural dual system are the primary causes of the urban–rural gap [3]. There are three main representative theories on the development of urban–rural relationships [4]: the urban–rural connection theory is represented by the urban–rural integration of utopian socialism and Marxism, the Lewis–Ranis–Fei model represents the urban–rural dual structure, and the Desakota model and the regional network model represent the urban–rural coordinated development [5,6]. Fostering urban–rural interdependence is seen as an effort to support sustainable urban–rural and regional growth [7,8].
With the development of next-generation technologies such as mobile internet, cloud computing, big data, the Internet of Things, blockchain, and artificial intelligence, China’s economy is driven toward high-quality development by the broad and rapidly expanding digital economy. According to the “White Paper on China’s Digital Economy Growth”, published by the China Academy of Information and Communication Technology (CAICT) in 2022, the Chinese government is committed to fostering the expansion of its digital economy. Since 2012, the Chinese digital economy’s average annual growth rate has been 15.9%, significantly higher than the average annual growth rate of China’s GDP over the same period. In 2021, the digital economy reached CNY 45.5 trillion, representing a nominal gain of 16.2% annually. The widespread use of digital technologies has triggered an economic revolution and brought new ways of practising production, and the digitisation of economic systems is becoming increasingly important. From the point of view of technological progress, digitalisation causes economic activities to have increasing marginal returns, breaking the law of decreasing returns for each additional unit of a factor input after the input of that factor reaches a critical point in the industrial economy. From the perspective of production organisation, digitalisation can significantly reduce transaction costs. The transparency of the network and the openness of information in the digital era have greatly reduced the marginal costs of market transactions; boundaries of enterprises are shrinking, transactions and cooperation between enterprises are becoming more frequent, and flat production organisation forms have emerged, reducing the cost burden of enterprises. From the perspective of resource allocation, in the digital economy, the problem of market failure is alleviated to a certain extent, and the role of market regulation is enhanced. From the perspective of the division of labour, the antagonism between urban and rural relations is diminishing. With the proliferation of information and communication technologies, the high-value-added segments of the industrial chain, such as research, development, and sales, are gradually moving closer to technology-intensive cities, while the low-value-added segments, such as production and processing, are moving to labour-intensive townships. In this process, cities and townships brought into play their comparative advantages and deepened their collaborative relationship, changing the dichotomy between the urban economy of industrial production and the agricultural economy of smallholder production and forming a new pattern of mutually beneficial and complementary urban–rural division of labour [9]. The growth of the digital economy will have a profound impact on reshaping the new urban–rural relationship, achieving balanced development in urban and rural areas and changing the pattern of income distribution between urban and rural areas [10]. Therefore, the attention of numerous scholars has been drawn to how to effectively promote coordinated urban–rural development with digital economic growth. Most scholars study the impact of the digital economy on coordinated urban–rural development from the perspective of the gap between urban–rural income and consumption. Some scholars have noted the importance of digitisation in the public sector and that digital public platforms can provide better and equal access to public services across different sectors, which can reduce divisions and inequalities between countries, the private and public sectors, and urban and rural areas [11,12]. However, the academic community has yet to determine whether the expansion of the digital economy would enable the “digital dividend” and thus promote coordinated urban–rural development or whether it would worsen the “digital divide” and, in that way, inhibit coordinated urban–rural development [13]; their findings are still highly controversial.
The following are possible contributions of this study: (1) the impact of the digital economy on the coordinated development of urban and rural areas and its mechanism of action are explored from the perspective of narrowing the urban–rural gap in the context of the rural revitalisation strategy; (2) China’s innovative evaluation index system of digital economy level is constructed from four dimensions: digital economy infrastructure (DIS) support, digital economy innovation and entrepreneurship (DIE) level, digital talent pool (DTP), and digital technology services (DTS); and (3) the impact of the digital economy on coordinated urban–rural development is examined from the perspective of the spatial spillover effect, and this examination also combines the direct and the spatial heterogeneity to further improve and complement the existing research.
The study is arranged as follows. Section 2 is a literature review, Section 3 introduces the logical mechanism and research hypotheses, Section 4 describes the data and methods, Section 5 provides the empirical results, Section 6 provides conclusions, and Section 7 provides policy recommendations and limitations. The research framework is shown in Figure 1.
Figure 1.
Research framework.
2. Literature Review
China’s fast-rising digital economy has recently emerged as the “new engine” of the economic and social revolution. This has caused the research in this area to exponentially expand. Most of the relevant literature on the digital economy has observed it from three different perspectives—theory, mechanism, and realisation. This scope of literature has brought us a more extensive understanding of how the digital economy affects high-quality development [14,15], a circular and sustainable economy [16,17], green innovation [18,19], the transformation and upgrading of industrial structure [20,21], and total factor productivity [22]. Digitalisation brings opportunities as well as challenges, and digital technologies have contributed to a shift in household financial models and have required financial institutions to accelerate the pace of innovation to adapt to the changing environment [23]. Digitalisation has enhanced the international competitiveness of businesses and has had a positive impact on the economies of countries at all levels of development [24,25]. However, the digitalisation of the economy has also triggered intense market competition and unfair practices [26], which require governments to adopt scientific policies to address these issues. At present, there are primarily three distinct viewpoints when attempting to precisely observe the digital economy’s influence on the coordinated growth of urban and rural areas.
From the first viewpoint, the sharing aspect of the digital economy can support the sensible allocation of resources between urban and rural areas, narrowing the income gap between urban and rural inhabitants and promoting coordinated urban–rural development [27]. This viewpoint is supported by the fact that the digital economy directly decreases the urban–rural gap through the impact it has on market integration [28], as well as through the modular division of the labour effect. What is more, the agglomeration economy indirectly reduces the urban–rural gap via workforce reallocation and the agglomeration effect [29]. What has also been stated in the context of this viewpoint is that even though the digital economy has surpassed its original time and space limitations, it has still yielded the expansion of employment opportunities [30]. The digital economy’s spillover effects have generated a significant number of jobs suited for the skill levels of farmers while parallelly raising their incomes, and, thereby, enhancing the market resource allocation efficiency. Based on their empirical research, Zhou (2022) came to the conclusion that [31], with the reform of the household registration system and the construction of transport infrastructure, the two-way flow of the urban and the rural factors can extend the optimal allocation effect that the digital economy has on urban and rural incomes and further promote the development of the digital economy itself.
From the second viewpoint, digital technology will restrict coordinated urban and rural development. The “digital divide” between the urban and rural areas can nowadays be characterised by the vast difference in their digital infrastructure and their populations’ digital literacy. On the one side, the digital industry is more concentrated in the urban areas where economic activities normally take place due to the digital infrastructure’s higher quality and its higher level of advancement. On the other side, the average education level of the rural inhabitants falls behind that of the residents of the urban areas [32,33]. As an additional point, digital literacy, digital information absorption, and digital knowledge digestion skills are not particularly strong among rural inhabitants either. It should be noted as well that Jun (2017) found that digitisation and the information revolution have not lessened the gap between the rich and the poor as was anticipated [34], but they have rather resulted in the widening of the urban–rural income gap, recognised via the Matthew effect. Based on the empirical tests that they have conducted, Yaping (2019) found that [35], although the Internet’s high efficiency has reduced the cost of searching and acquiring information, and even though it has increased income levels, due to the disparity in the farmers’ levels of Internet application, the reduced cost of searching the Internet is not significant in the rural areas, and this further widens the income gap between the urban and rural regions.
According to the third viewpoint, the effect of the digital economy on the urban–rural development gap follows an inverted U-shaped pattern [36]. In other words, the digital economy has altered the traditional labour market’s growth pattern, and it has further optimised the structure of income distribution. China’s digital economy is still undergoing rapid development, while some simple and mechanised jobs have disappeared because of digital technologies such as artificial intelligence and many low-skilled jobs have been created, giving low-skilled and middle-skilled workers more employment opportunities and allowing rural labourers to earn higher wages. This has in turn reduced the urban–rural wage gap and further decreased the income disparity between them. Looking from a long-term standpoint, however, further development of the digital economy can lead to the opposite result in the future [37]. More specifically, the level of knowledge and the technical skills that will be required in the future will increase together with digital improvement, which will then leave the low-skilled labourers to face the double risk of losing employment opportunities due to possibly being substituted by artificial intelligence or their insufficient levels of digital literacy. Subsequently, this leads to a reduction in employment options for low-skilled rural labourers and the majority of the farmers who do not meet the job skill requirements and who will once again find themselves unemployed [38].
In summary, the existing literature has deeply studied the relationship between the digital economy and coordinated urban–rural development, thus providing a solid foundation for our study. However, there are still shortcomings in terms of the research content and perspective. First, most of the existing research focuses on the definition and measurement of the digital economy or coordinated urban–rural development, while studies of the combination of these two concepts are lacking. Second, research on the impact of the digital economy on coordinated urban–rural development and its mechanisms has yet to be established and improved. Third, existing research has only examined the regional heterogeneity of the direct effects of the digital economy on coordinated urban–rural development, ignoring the regional heterogeneity of the spatial effects of the digital economy on coordinated urban–rural development.
To fill the gaps in current studies, we aim to combine the digital economy and coordinated urban–rural development and investigate the influence of the relationship between them, with the objective of providing empirical support for one of the three different conclusions mentioned above. Additionally, it is hoped that our research from a spatial perspective will lead to a different conclusion from that obtained in existing studies. Therefore, this study uses panel data of 30 Chinese provinces from 2011 to 2020 to systematically explore the spatial impact, action mechanism, and heterogeneity of the digital economy impacts on coordinated urban–rural development. This is achieved by constructing a spatial Durbin model (SDM) and a mediating effects model and by proposing scientific and targeted policy recommendations.
3. Theoretical Analysis and Research Hypothesis
3.1. The Direct Effect of the Digital Economy on the Coordination of the Urban and Rural Development
The mechanism by which the digital economy facilitates coordinated urban–rural development manifests itself in the three following ways.
Firstly, the digital economy significantly improves the farmers’ ability to collect and access information, lowering their cost of learning and knowledge sharing and thus contributing to the optimisation and the upgrading of rural industries. Put differently, the digital economy, with its technology, has significantly decreased the economic and social transaction costs for businesses, individuals, and the public sector by reducing the cost of information search [39].
Secondly, the digital economy allows rural areas to have equal access to an increasing quantity of high-quality public service resources. Digital technology is a catalyst not only for economic transformation but also for social transformation as well. It provides significant social benefits, particularly in terms of facilitating access to basic services, such as financial services and education. Furthermore, the digital economy addresses the lack of traditional service provision in underdeveloped rural areas, and it fosters the coordination and rapid improvement of the public service levels in both urban and rural areas [40].
Thirdly, the digital economy can increase the rural population’s consumption capacity and income. The knowledge-sharing characteristics of the digital economy allow it to maximize resource allocation and efficiency optimisation and offer consumers a greater product choice and cheaper access to goods of identical quality [41]. When it comes to the role of the digital economy in agricultural development, digital agriculture can effectively reduce the wealth gap between urban and rural residents and, at the same time, increase the farmers’ disposable income, thereby contributing to the improvement of their overall social welfare level [42]. Taking all of this into consideration, the following hypothesis is proposed:
H1.
The growth of the digital economy has had an impact on the increase in the degree of urban and rural development coordination.
3.2. Digital Economy’s Spatial Spillover Effects on Coordinated Urban–Rural Development
According to the first law of geography, geographical objects or attributes are interrelated and dependent on one another in terms of their spatial distribution. Analogously, there is agglomeration, random and regular distribution [43], and spatial spillover and spatial dependence within the digital economy sphere as well. The primary manifestations of the digital economy’s spillover effects are knowledge spillover and human capital spillover. When it comes to knowledge spillover, rural areas have surpassed the traditional methods of acquiring and learning information through education and technical training. Instead, they now construct digital villages. Using digital technologies, such as the Internet and augmented virtual reality, farmers can acquire and gain knowledge more quickly and easily now, and, in that way, they are allowing for a gradual shift in the mentality and cognitive level of the rural communities.
When it comes to human capital spillover, the development of the digital economy has resulted in the creation of a substantial number of job opportunities. Farmers have improved their professional level and their abilities due to the knowledge spillover effect. They also have the opportunity, through the Internet, to obtain a great amount of information concerning the jobs that match their abilities, which has in turn increased the efficiency of the resource allocation market and facilitated the flow of human capital.
The second manifestation of the spatial dependence of the digital economy’s development is the imperfect construction of new digital infrastructure and the spatial disparities in its distribution [44]. By constructing a virtual space, governments and businesses, as well as cities and rural areas, can engage in cross-regional cooperation, production, and operation with the costs of coordination and management being reduced. Consequently, this leads to resource sharing and complementary advantages being established between regions and between cities and rural areas [45]. Previous research has indicated that the impact of the digital economy on coordinated regional development has a spatial effect [46]. In other words, the development of the digital economy in an area can stimulate the region’s coordinated regional development and the regional development of the province’s adjacent regions. What is more, the digital economy has significant spatial spillover effects on the other elements included in the achievement of coordinated urban–rural development, such as urban–rural economic integration and rural revitalisation [47,48].
In addition, due to China’s vast size, significant differences in economic resources and other factors have been found to exist between different regions. The digital economy and the urban and rural development in each region may exhibit distinctive characteristics, which then may result in disparate effects of the digital economy on coordinated urban and rural development in different regions.
Considering the preceding analysis, the following research hypothesis is proposed:
H2.
Through the effect of the spatial spillover, the digital economy can boost the level of coordinated urban–rural development in neighbouring regions.
H3.
The impact of the digital economy on coordinated regional development is regionally heterogeneous.
3.3. Mediating Mechanisms for the Effects of the Digital Economy on Coordinated Urban and Rural Development
The growth of the digital economy has reduced the income gap between urban and rural residents primarily through the following mechanisms. First, digital technology has empowered industries, which is conducive to adjusting the structure of the agricultural industry, extending the industrial, value, and income chains, and thus increasing the income of rural residents [49]. Second, there is a gap in Internet penetration, digital technology application, and e-commerce development between urban and rural areas. Most rural areas can use the “latecomer advantage” to fully implement the digital economy dividend and to close the income gap with urban residents [50]. Thirdly, the application of the Internet and big data in agriculture can reduce agricultural production costs, increase access to information, and promote the coordinated development of the entire industrial chain (production, processing, and marketing of agricultural products). It can also lead to the development of services related to agriculture such as recreation and tourism, which can increase the income levels of rural residents [51]. Fourthly, the development of the digital economy can create numerous employment opportunities in rural areas, thereby expanding the employment base and enhancing the employment quality and income levels of locals [52].
H4.
Development of the digital economy promotes coordinated urban–rural development by narrowing the income gap between urban and rural areas.
4. Methodology and Design
4.1. Methodology
This study uses a panel data model, a spatial econometric model, and a mediating effects model to investigate the impact and mechanisms of the digital economy on the detection of urban–rural coordination.
Firstly, a panel data model is used to verify whether the digital economy has an impact on coordinated urban–rural development and whether the effect is positive or negative, thereby providing a basis for subsequent spatial econometric analysis.
Second, a spatial econometric model is used to verify whether there is a spatial spillover effect of the digital economy on urban–rural coordination and whether the effect is positive or negative, as well as to further explore the regional heterogeneity of direct and spatial effects.
Third, a mediating effects model is used to verify whether the digital economy can promote coordinated urban–rural development by reducing the urban–rural income gap.
Finally, robustness analysis was conducted using three methods, i.e., 1% tail-shrinking on the core explanatory variables, replacement of the core variables, and replacement of the spatial matrix, in order to ensure the reliability and stability of the study results.
4.2. Variable Selection and Description
4.2.1. Measuring the Level of the Coordinated Urban and Rural Development
The coordinated urban–rural development’s spatial distribution by province in China in 2011 and 2020 is depicted in Figure 2. Currently, the Gini coefficient (Gini) and the urban–rural binary contrast index (Duci) are seen as the most important indicators of the coordinated development of urban and rural areas. The Gini coefficient is applicable to the evaluation of the overall income gap, but it is, at the same time, insensitive to the income structure differences between urban and rural areas. The urban–rural dichotomy index is used in explaining and analysing the dichotomous economic structure from the perspective of the economic development process of transforming an agricultural economy into a modern industrial economy. It is more suitable for measuring the degree of coordinated urban–rural development.
Figure 2.
Levels of coordinated urban–rural development in Chinese provinces in 2011 and 2020. (a) is the level of coordinated urban–rural development in Chinese provinces in 2011, (b) is the level of coordinated urban–rural development in Chinese provinces in 2020.
In this paper, we integrate the urban–rural dichotomy contrast index and the proportion of one output value into the evaluation index system of the coordinated urban–rural development level. We also calculate the current final level of coordinated urban–rural development using principal component analysis (PCA). The urban–rural dichotomy contrast index is calculated as shown in the following Equation (1):
where Duci stands for the rural–urban dichotomy index, G represents the gross regional production, and G1 represents the non-agricultural sector output (the secondary and the tertiary sectors). L stands for total employment, and L1 stands for non-agricultural sector employment.
4.2.2. Measuring the Level of Development of the Digital Economy
There is still no universal agreement on how to measure and evaluate the development level of the digital economy. Scholars primarily evaluate the state of the digital economy in terms of Internet development and digital infrastructure and applications [18,53], failing to consider the importance of digital talent and innovation in the development of the digital economy. In this paper, we develop a regional digital economy measurement index system for China based on four dimensions: (1) digital economy infrastructure support (DIS), (2) level of digital economy innovation and entrepreneurship (DIE), (3) the digital talent pool (DTP), and (4) the digital technology services (DTS). Included are the length of optical fibre cables, the Internet penetration rate, the mobile phone penetration rate, the number of Internet broadband interfaces, the number of Internet domain names, information transmission, computer services, fixed asset investment in the software industry, the number of new enterprises, the attraction of inward investment and venture capital, the number of patents, and the number of patent applications. Using the entropy method, we determined the level of the digital economy. The spatial distribution of digital economy levels by province in China in 2011 and 2020 is shown in Figure 3.
Figure 3.
Levels of China’s provincial digital economy in 2011 and 2020. (a) is the level of China’s provincial digital economy in 2011, (b) is the level of China’s provincial digital economy in 2020.
4.2.3. Measuring the Urban–Rural Income Gap
This study uses the Thiel index to measure the urban–rural income gap. The Theil index takes population changes into account, and it is more sensitive to the income changes in both the high- and the low-income groups positioned at the two ends of the dispersion.
4.2.4. Selection of the Control Variables
Based on the selections of the control variables given in the literature [54,55,56,57], and to ensure the reliability of the measurement results, we controlled four variables. The first one was the people’s livelihood fiscal expenditure, expressed as the proportion of the expenditure on education, health care, housing, social security, and employment in the fiscal budget. The second one represented the years of education per capita, expressed as the average sum of the years of education of the educated population regional groups, calculated via the method shown in Equation (2). The third one was the level of financial development, expressed as the ratio of total deposits and loans to GDP. The fourth and final control variable was the fiscal expenditure on science and technology, expressed as the proportion of GDP in fiscal science and technology expenditures. Table 1 displays the names and the abbreviations of the primary variables.
Table 1.
Variable selection and description.
4.3. Data Sources and Descriptive Statistics
Using panel data from 30 provinces (municipalities directly under the Central Government and autonomous regions) from 2011 to 2020, this paper empirically examines the impact of China’s digital economy on the coordinated growth of urban and rural areas. Hong Kong, Macao, Taiwan, and Tibet were omitted from the analysis due to insufficient and excessively missing data for some regions in those areas. The data regarding the digital economy and the coordinated development of urban and rural areas are derived from the “China Statistical Yearbook” published from 2012 to 2021. China’s Digital Economy Innovation and Entrepreneurship Index, published by the Center for Enterprise Research at Peking University, provides access to variable data, including the number of new enterprises, foreign investment, venture capital, patents granted, trademark registrations, and software copyright registrations. The descriptive statistics of the variables are given in Table 2.
Table 2.
Descriptive statistics of variables.
4.4. Model Setting
4.4.1. Panel Data Model
To test the validity of the research hypotheses, we first needed to develop the following fundamental model for the empirical examination of the direct impact mechanism that the digital economy has on coordinated urban–rural development:
where i stands for the province code, t is time, Urds represents the level of the coordinated urban–rural development, Diec is the level of digital economy development, vector Z stands for a series of the control variables, μ represents the individual fixed effects of provinces that do not vary over time, δ represents the time fixed effects, and ε stands for the random disturbance term.
4.4.2. Spatial Econometric Model
Secondly, based on model (3), to discuss the spatial spillover effects of the digital economy on the coordinated development of urban and rural areas, we have used the SDM, the spatial autoregression model (SAR), and the spatial error model (SEM) for testing. The specific employed models are given below.
where ρ represents the autoregressive regression coefficient, W is the spatial weight matrix, and and stand for the spatial interaction terms of the core explanatory and the control variables, respectively. The connotations of Equations (5) and (6) are consistent with Equation (4).
4.4.3. Mediating Effect Model
The digital economy can impact coordinated urban–rural development by affecting the income gap between urban and rural residents. For the empirical analysis, a model of the mediating effect is developed, as shown in the Equations below:
where M represents the mediating variable, indicating the urban–rural income gap (Urig).
4.5. Setting of the Spatial Weighting Matrix
To determine the distance between the provinces, we have utilised the two spatial weight matrices given below. The Equation (9) is the adjacency matrix, which is relatively easy to construct. If there is a common boundary between two different provinces, then the final value is 1; otherwise, it is 0. The Equation (10) is the economic distance matrix, which represents the difference in the level of economic development between provinces, expressed as the absolute value of the subtraction of each province’s GDP. These two weighting matrices are set as follows:
and represent the difference in economic income (GDP) between province i and province j, respectively, and the other symbols have the same connotation as in Equation (4).
5. Empirical Testing and Analysis
5.1. Baseline Regression Analysis
Table 3 displays the effects of the digital economy on the coordinated development of urban and rural areas in each region. The findings of the Hausman test suggest that a fixed-effects model is preferable to a random-effects model. In light of this, the fixed-effects model was also utilised to estimate the parameters of this study. Model (1) displays the baseline regression results without the inclusion of control variables, while models (2) through (5) display the baseline regression results with the increasing inclusion of control factors. The estimated coefficient of the digital economy development level (Diec) on the urban–rural coordination development level (Urds) was found to be significantly more positive with or without the inclusion of the control variables, while the size of the decidable coefficient R2 remains largely consistent. This suggests that, as the digital economy develops, the level of urban–rural coordination development in each region increases too. These results support H1.
Table 3.
Baseline regression results.
5.2. Spatial Correlation Analysis
5.2.1. Global Spatial Correlation Analysis
The spatial analysis requires the existence of a spatial correlation between the research variables. Primarily, Moran’s I index and the Geary index are utilised to determine whether a spatial correlation exists. In this study, Moran’s I index was used to analyse the spatial association between the digital economy (Diec) level and the level of urban–rural development coordination (Urds). Table 4 displays the results of this experiment. Moran’s I index of the digital economy and the coordinated urban–rural development were considered positive at the 1% level, and the two exhibit spatial clustering phenomena, satisfying the requirements for spatial model analysis.
Table 4.
Global Moran Index.
5.2.2. Local Spatial Correlation Analysis
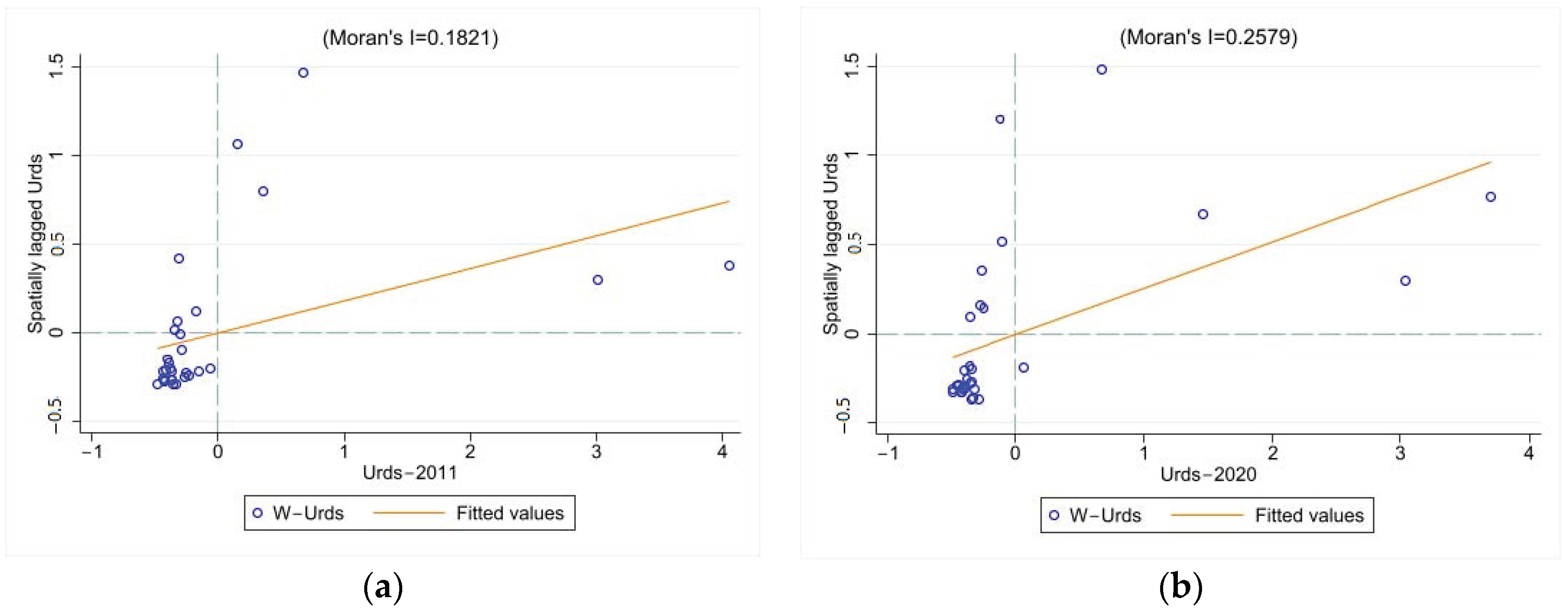
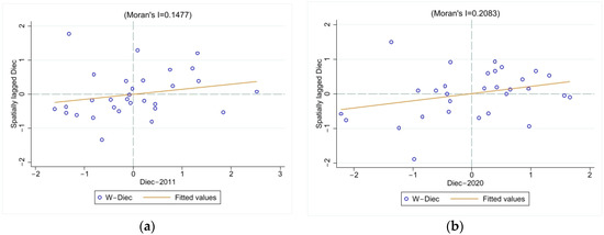
The local Moran index offers a more precise depiction of the spatial correlation between the regions, and it also investigates the local spatial aggregation of the explored variables. In our study, the local Moran index was computed for each year from the sample, under the adjacency matrix. The results demonstrated a spatial association between the digital economy (Diec) and coordinated urban–rural growth (Urds). Figure 4 and Figure 5 depict 2011 and 2020 Moran scatter plots for the digital economy and coordinated urban–rural development, respectively. As depicted in Figure 4, as the digital economy’s level increased, many provinces fell into the first and third quadrants, with spatial spillover and diffusion effects gradually increasing. Most provinces were located in the first and third quadrants of Figure 5, demonstrating a spatial correlation between coordinated urban and rural development. We can conclude from the preceding study that there has been a significant spatial association between the digital economy and urban–rural development.
Figure 4.
Moran’s scatter plot of the digital economy levels in 2011 and 2020. (a) is the Moran’s scatter plot of the digital economy level in 2011, (b) is the Moran’s scatter plot of the digital econ-omy level in 2020.
Figure 5.
Moran’s scatter plot of the level of urban–rural coordination in 2011 and 2020. (a) is the Moran’s scatter plot of the level of urban–rural coordination in 2011, (b) is the Moran’s scatter plot of the level of urban–rural coordination in 2020.
5.3. Analysis of the Spatial Econometric Estimation
In this study, we have employed the test idea of Elhorst (2015) [58], but we have also selected a suitable spatial econometric model using the four steps explained below.
Firstly, the Lagrange multiplier (LM) test results indicated that the choice of either the SEM or the SAR model was appropriate. Thus, the SDM that included both was to be selected. Secondly, the likelihood ratio (LR) test results indicated that the original hypothesis did not hold, indicating that the SDM model could not be degraded to the SAR model or the SEM model. Finally, the Hausman test results indicated that the choice of the fixed-effects model was more suitable for the estimation than the random-effects model. The estimation results for the spatial Durbin, spatial lag, and the SEM, under the adjacency matrix, are given in Table 5.
Table 5.
Regression results of the spatial model.
To further examine the spatial spillover effects of the digital economy on coordinated urban–rural development, the effects of the explanatory variables of one region on the explained variables of the same and other regions were decomposed using the partial differential interpretation method into direct effects, indirect effects, and total effects [59]. The results are shown in Table 5.
Table 5 displays the results of the fixed-effects spatial models, which reveal that the signs and the numerical magnitudes of the regression coefficients of the variables in the SDM, SAR, and SEM models were found to be essentially consistent, with the results being highly credible. This empirical analysis reveals that all factors of the digital economy have had a considerable positive impact on the level of coordinated urban–rural development in neighbouring regions. This then indicates that the digital economy did in fact promote the level of coordinated urban–rural development in the neighbouring regions through the spatial spillover effects, thus providing support for H2. As far as explanatory variables go, the direct effect, indirect effect (the spatial spillover effect), and the total effect of the digital economy (Diec) all had a significant positive effect, indicating that the digital economy not only increased the coordinated urban–rural development level in the region but also improved it in neighbouring regions. This finding offers additional support for H2.
5.4. Further Research: Regional Heterogeneity
5.4.1. Regional Heterogeneity of the Direct Effects
Using the statistical system as well as the classification standards most recently released by the National Bureau of Statistics as a guide, in this study, we have also divided China’s 30 provinces (the municipalities directly under the Central Government and the autonomous regions) into three major regions: the eastern, the central, and the western regions. The regressions for each region used the SDM to experimentally examine regional variability in the digital economy’s direct effects and spatial spillover effects on China’s coordinated growth of urban and rural areas. Table 6 shows that the digital economy positively influences eastern and central regions’ coordinated urban–rural growth. On the other hand, a negative coefficient was found for its effect in the western region. In other words, these results indicate that the digital economy did significantly promote coordinated urban–rural development in the eastern region and that it did significantly inhibit this development in the western region, thereby providing support for H3. Due to the small sample size, the promotion effect in the central region was not found to be statistically significant.
Table 6.
Regional heterogeneity test.
5.4.2. Regional Heterogeneity of the Spatial Effects
If the regional heterogeneity is analysed from the perspective of the direct effects alone, the results could be biased. Table 6 additionally includes the spatial spillover effects, which should be employed in further investigations of the regional heterogeneity and the digital economy, in relation to the coordinated urban–rural development from a spatial spillover perspective. Table 6 further demonstrates that, at the national level, the spatial spillover effects of the digital economy on coordinated urban–rural development were significantly positive.
From the combined effects, the digital economy was shown to have a significant positive effect on the coordinated urban–rural development level in the eastern region through the direct and spatial spillover effects. In the central region, however, the direct and the spatial spillover effects of the digital economy on the coordinated urban–rural development level were not found to be significant, but they rather exhibited a general tendency to improve it. Finally, in the western region, the direct and the spatial promotion effects were also not significant, even though they showed a general tendency to increase. Additionally, in the western region, the direct and the spatial promotion effects of the digital economy were more pronounced, but they did exhibit two opposing effects: direct inhibition and spatial promotion.
Possible explanations for the differences between the direct and the spatial spillover effects include the fact that the spatial spillover effects exhibit different regional trends due to the factors such as network structure, knowledge gaps and absorptive capacity, and economic and policy environments. The central and the western regions are still in the initial development stage of the digital economy due to a lack of digital infrastructure, digital talents, and other resources, while the eastern regions have developed the digital economy earlier and consequently have a higher degree of development and aggregation level than the central regions, allowing them to reap the benefits of the digital economy.
5.5. The Mediating Effect of the Digital Economy on Coordinated Urban–Rural Development
Following Fritz and MacKinnon’s research (2007) [60], a mechanism analysis was first conducted to investigate the impact of the digital economy on the income gap between urban and rural residents. Model (1) in Table 7 shows regression estimates from a fixed-effects model. The results demonstrate that the digital economy reduces the urban–rural income gap. This study also employed the mediating effects model to empirically investigate the relationship between digital economy development and coordinated urban–rural development by examining the income gap between urban and rural areas. Combining the regression results of models (2) and (3) in Table 7, the estimated coefficients of the core explanatory variables and the mediating variables were found to be significant at the 1% level, and therefore, no further Sobel test was required. Furthermore, there is a mediating effect with the income gap between urban and rural residents (Urig) as the mediating variable, which supports H4.
Table 7.
Mediation effect test.
5.6. Robustness Tests
To ensure the consistency and stability of the empirical results, we used the following three methods. The results of applying a 1% tail-shrinking to the core explanatory variables are shown in model (1) of Table 8, and they represent the firstly employed method. The second method that was employed included replacing the core explanatory variables and reconstructing the digital economy level for the regression, in accordance with Tao’s (2020) research [61], and the regression results of model (2) are presented in Table 8. The third employed method included the replacement of the spatial weight matrix with an economic distance matrix. The resulting model (3) is presented in Table 8 as well. The estimation results of all the models shown in Table 8 indicate that the core explanatory variables are significantly positive, though with different levels of confidence, except for variations in the estimated values. This shows that the found empirical results are more robust.
Table 8.
Robustness tests.
6. Conclusions
The rapid growth of the digital economy has made it a key factor in the high-quality development of China’s economy, with digitalisation and artificial intelligence seen as the future economic development trend. Based on the balanced panel data obtained for 30 provinces (the municipalities directly under the Central Government and the autonomous regions) in China for the period from 2011 to 2020, this paper deals with the effect of the digital economy on coordinated urban–rural development, using a combination of panel fixed-effects models, the mediating effects model, and the SDM. Conclusions that can be drawn based on the results of our analysis are discussed below.
First, the results of the benchmark regression indicate that the development of the digital economy has significantly reduced the dual economic structure of urban and rural areas and that it has fostered the growth of coordinated urban–rural development. Second, the results of the SDM stipulate that the existence of a significant positive spatial spillover effect of the digital economy on coordinated urban–rural development is present and that the found results were still significant under the transformation of the economic distance matrix. These results are found to be highly robust. Third, the digital economy affects urban–rural coordinated development by reducing the urban–rural income gap. Fourth, the results of the heterogeneity test point out that the positive impact of the digital economy on coordinated urban–rural development is robust as well. Finally, the results of the heterogeneity test show that the impact of the digital economy on coordinated regional development is regionally heterogeneous, where the digital economy has a significant positive effect on urban and rural development in the eastern region, a non-significant positive effect in the central region, and a significant inhibiting effect in the western region. In terms of the spatial spillover effects, the digital economy has exhibited a positive spillover effect on the coordinated development of the urban and rural areas in the eastern region, whereas it has no promotion effect on the central and western regions. In summary, the digital economy innovation dividend was found to be significantly higher in the eastern region than in the central and western regions.
7. Policy Recommendations and Limitations
7.1. Policy Recommendations
In response to these findings, the following policy recommendations are presented:
- (1)
- The simultaneous development of the digital economy in urban and rural areas should be promoted. Moreover, what should also be promoted is the integrated development of the urban and rural areas, and the digital economy’s dividends should be fully released. To further explain, firstly, the application of digital technology in rural areas needs to be strengthened, parallel with the act of active promotion of the application of new agricultural development models based on artificial intelligence, the Internet of Things, big data, and 5G technology. What also needs to be empowered is the development of digital villages with digital technology. Secondly, what should be accelerated is the construction of an intelligent agricultural production system, the integration of agricultural and rural data, the development of the existing agricultural information service platforms, and the enhancement of agricultural information service capabilities. This should serve to establish modern agriculture in the countryside with strong and enduring competitive advantages. Thirdly, investment in the education and training of farmers should be increased, with an emphasis put on the development of their digital literacy and vocational skills, as farmers’ wages and incomes are significantly influenced by their level of knowledge and proficiency. Finally, increasing the knowledge and skills of farmers will narrow the gap between the labour skill endowment of the urban and the rural workforce. This will thereby enhance their employment competitiveness and ensure the stability and sustainability of employment for rural residents.
- (2)
- Given the heterogeneity of the digital economy development between regions, cities, and rural areas and groups, it seems to be necessary to formulate differentiated and hierarchical digital economy development strategies. Firstly, we should promote the construction of the “East is Digital, West is Digital” and “Broadband China” projects, as well as the construction and the layout of rural digital infrastructure. Secondly, the “New Infrastructure” program should increase their investment in rural areas and thusly gradually improve the digital infrastructure environment and the digital technology penetration rate in rural areas. In turn, this will reduce the cost of searching and absorbing information in rural areas and additionally narrow the “digital divide”. What needs to be carried out, thirdly, for the coordinated development of the urban and rural areas is to stimulate the endogenous momentum of the digital transformation of the traditional industries, promote the stable development of the digital economy, and further consolidate the dividend effect caused by digital technology. To do this, the government should play its role of guidance and support, thus leading the digital transformation of the traditional industries in a reasonable manner, as well as providing certain financial and tax policy support.
- (3)
- Another segment that asks for action is the full utilisation of the digital economy’s spatial spillover effect on the coordinated development of the urban and rural areas, as well as the information radiation-driven effect of the relatively developed digital economies in the surrounding areas. We should promote the rationalisation of the layout of the digital economy industry together with the even distribution of digital resources. We should also direct the spatial concentration of the digital economy to rural areas, alleviate the contradiction between the resources, the environment, and the development in rural areas, and, at last, narrow the “digital divide” between the urban and rural areas. In that way, we would be promoting the coordinated development of the urban and rural areas. What should be strengthened is cross-regional exchanges and cooperation, where governments should actively build cross-regional cooperation platforms, promote and support inter-regional cooperation and exchanges, and, in that way, create a good environment for cooperation and innovation. Governments should finally promote the reasonable flow of talents, capital, and other elements across the regions to be able to build sharing practices of urban and rural resources and propel the development of underdeveloped rural areas more effectively.
7.2. Limitations and Prospects
This study includes the digital economy and coordinated urban–rural development in the research framework, examines the impact and mechanism of the digital economy on coordinated urban–rural development from the perspective of urban–rural income disparity as well as spatial spillover, and puts forward policy recommendations for promoting coordinated urban–rural development. However, there are several limitations of the study.
First, there are many factors affecting coordinated urban–rural development, and this study measures the level of coordinated urban–rural development from the perspective of economic structure, which may not provide a comprehensive measure of urban and rural development.
Second, the sample used in this study is based on provincial-level data, which may bias the results to a certain extent due to the small sample size; using prefectural or county-level data would be more detailed and accurate.
Finally, this study has only looked at the current coordinated urban–rural development of the digital economy, and the driving effect of the digital economy on urban–rural development in the long term may yield different results.
Future studies could use more refined measures of coordinated urban–rural development and more detailed data and methods such as dynamic modelling to explore the long-term effects of the digital economy on urban–rural development.
Author Contributions
Conceptualisation and writing, Y.C. and D.Z.; review and editing, Y.C.; methodology, D.Z. All authors have read and agreed to the published version of the manuscript.
Funding
This research was funded by the National Natural Science Foundation of China (grant no. 72164002, 71762003).
Institutional Review Board Statement
Not applicable.
Informed Consent Statement
Not applicable.
Data Availability Statement
The data presented in this study are available on request from the corresponding author.
Acknowledgments
The authors are grateful to the editors and the anonymous referees for their constructive and thorough comments, which contributed to the improvement of this study.
Conflicts of Interest
The authors declare no conflict of interest.
References
- Chen, C.; LeGates, R.; Zhao, M.; Fang, C. The changing rural-urban divide in China’s megacities. Cities 2018, 81, 81–90. [Google Scholar] [CrossRef]
- Fan, J.; Zhao, H.; Guo, R. The New Trend and Coping Strategies of Regional Development Gap in China. Econ. Geogr. 2022, 42, 1–11. [Google Scholar]
- Liu, Y.; Zang, Y.; Yang, Y. China’s rural revitalization and development: Theory, technology and management. J. Geogr. Sci. 2020, 30, 1923–1942. [Google Scholar] [CrossRef]
- Wang, H.; Chen, L. Review on the development theories of rural and urban areas in West. Econ. Geogr. 2006, 26, 463–468. [Google Scholar]
- Lysgard, H.K. The assemblage of culture-led policies in small towns and rural communities. Geoforum 2019, 101, 10–17. [Google Scholar] [CrossRef]
- Ma, L.; Liu, S.; Fang, F.; Che, X.; Chen, M. Evaluation of urban-rural difference and integration based on quality of life. Sustain. Cities Soc. 2020, 54, 101877. [Google Scholar] [CrossRef]
- Yang, Y.; Bao, W.; Wang, Y.; Liu, Y. Measurement of urban-rural integration level and its spatial differentiation in China in the new century. Habitat Int. 2021, 117, 102420. [Google Scholar] [CrossRef]
- Caffyn, A.; Dahlstrom, M. Urban-rural interdependencies: Joining up policy in practice. Reg. Stud. 2005, 39, 283–296. [Google Scholar] [CrossRef]
- Shunan, W.; Jiansheng, C. The Techno-Economic Paradigm of the Digital Economy. Shanghai J. Econ. 2019, 38, 80–94. [Google Scholar]
- Leng, X. Digital revolution and rural family income: Evidence from China. J. Rural Stud. 2022, 94, 336–343. [Google Scholar] [CrossRef]
- Marino, A.; Pariso, P. Digital government platforms: Issues and actions in Europe during pandemic time. Entrep. Sustain. Issues 2021, 9, 462. [Google Scholar] [CrossRef]
- Marino, A.; Pariso, P.; Picariello, M. Transition towards the artificial intelligence via re-engineering of digital platforms: Comparing European Member States. Entrep. Sustain. Issues 2022, 9, 350. [Google Scholar] [CrossRef] [PubMed]
- Bauer, J.M. The Internet and income inequality: Socio-economic challenges in a hyperconnected society. Telecommun. Policy 2018, 42, 333–343. [Google Scholar] [CrossRef]
- Ding, C.; Liu, C.; Zheng, C.; Li, F. Digital Economy, Technological Innovation and High-Quality Economic Development: Based on Spatial Effect and Mediation Effect. Sustainability 2022, 14, 216. [Google Scholar] [CrossRef]
- Ma, D.; Zhu, Q. Innovation in emerging economies: Research on the digital economy driving high-quality green development. J. Bus. Res. 2022, 145, 801–813. [Google Scholar] [CrossRef]
- Kristoffersen, E.; Blomsma, F.; Mikalef, P.; Li, J. The smart circular economy: A digital-enabled circular strategies framework for manufacturing companies. J. Bus. Res. 2020, 120, 241–261. [Google Scholar] [CrossRef]
- Liu, Q.; Trevisan, A.H.; Yang, M.; Mascarenhas, J. A framework of digital technologies for the circular economy: Digital functions and mechanisms. Bus. Strategy Environ. 2022, 31, 2171–2192. [Google Scholar] [CrossRef]
- Wang, X.; Sun, X.; Zhang, H.; Xue, C. Digital Economy Development and Urban Green Innovation CA-Pability: Based on Panel Data of 274 Prefecture-Level Cities in China. Sustainability 2022, 14, 2921. [Google Scholar] [CrossRef]
- Zhang, J.; Lyu, Y.; Li, Y.; Geng, Y. Digital economy: An innovation driving factor for low-carbon development. Environ. Impact Assess. Rev. 2022, 96, 106822. [Google Scholar] [CrossRef]
- Guan, H.; Guo, B.; Zhang, J. Study on the Impact of the Digital Economy on the Upgrading of Industrial Structures-Empirical Analysis Based on Cities in China. Sustainability 2022, 14, 11378. [Google Scholar] [CrossRef]
- Liu, Y.; Yang, Y.; Li, H.; Zhong, K. Digital Economy Development, Industrial Structure Upgrading and Green Total Factor Productivity: Empirical Evidence from China’s Cities. Int. J. Environ. Res. Public Health 2022, 19, 2414. [Google Scholar] [CrossRef] [PubMed]
- Zhavoronok, A.; Popelo, O.; Shchur, R.; Ostrovska, N.; Kordzaia, N. The role of digital technologies in the transformation of regional models of households’ financial behavior in the conditions of the national innovative economy development. Ing. Syst. D’inf. 2022, 27, 613–620. [Google Scholar] [CrossRef]
- Popelo, O.; Tulchynska, S.; Krasovska, G.; Kostiunik, O.; Raicheva, L.; Mykhalchenko, O. The Impact of the National Economy Digitalization on the Efficiency of the Logistics Activities Management of the Enterprise in the Conditions of Intensifying International Competition. J. Theor. Appl. Inf. Technol. 2023, 101, 123–134. [Google Scholar]
- Myovella, G.; Karacuka, M.; Haucap, J. Digitalization and economic growth: A comparative analysis of Sub-Saharan Africa and OECD economies. Telecommun. Policy 2020, 44, 101856. [Google Scholar] [CrossRef]
- de Silva, I. Tackling the Challenges Raised by the Digitalization of the Economy: Recent Experiences of the French Competition Authority. Antitrust Bull. 2019, 64, 3–10. [Google Scholar] [CrossRef]
- Pan, W.; Xie, T.; Wang, Z.; Ma, L. Digital economy: An innovation driver for total factor productivity. J. Bus. Res. 2022, 139, 303–311. [Google Scholar] [CrossRef]
- Zhao, H.; Zheng, X.; Yang, L. Does digital inclusive finance narrow the urban-rural income gap through primary distribution and redistribution? Sustainability 2022, 14, 2120. [Google Scholar] [CrossRef]
- Athique, A. Integrated commodities in the digital economy. Media Cult. Soc. 2020, 42, 554–570. [Google Scholar] [CrossRef]
- He, J.; Peng, J.; Zeng, G. The Spatiality of the Creative Digital Economy: Local Amenities to the Spatial Agglomeration of Creative E-Freelancers in China. J. Knowl. Econ. 2022, 13, 1–22. [Google Scholar] [CrossRef]
- Rani, U.; Furrer, M. Digital labour platforms and new forms of flexible work in developing countries: Algorithmic management of work and workers. Compet. Chang. 2021, 25, 212–236. [Google Scholar] [CrossRef]
- Zhou, C.; Zhang, D.; Chen, Y. Theoretical framework and research prospect of the impact of China’s digital economic development on population. Front. Earth Sci. 2022, 10, 988608. [Google Scholar] [CrossRef]
- Karar, H. Algorithmic Capitalism and the Digital Divide in Sub-Saharan Africa. J. Dev. Soc. 2019, 35, 514–537. [Google Scholar] [CrossRef]
- Sujarwoto, S.; Tampubolon, G. Spatial inequality and the Internet divide in Indonesia 2010–2012. Telecommun. Policy 2016, 40, 602–616. [Google Scholar] [CrossRef]
- Jun, L. An empirical study on the urban-rural digital divide that continues to widen the urban-rural income gap. Stat. Decis. 2017, 33, 119–121. [Google Scholar]
- Yaping, H.; Canning, X. The impact of the Internet on the urban-rural income gap:A test based on Chinese facts. Econ. Surv. 2019, 36, 25–32. [Google Scholar]
- Fan, Y.; Xu, H.; Ma, L. Characteristics and Mechanism Analysis of the Influence of Digital Economy on the Income Gap between Urban and Rural Residents. China Soft Sci. 2022, 37, 181–192. [Google Scholar]
- Jiang, Q.; Li, Y.; Si, H. Digital Economy Development and the Urban-Rural Income Gap: Intensifying or Reducing. Land 2022, 11, 1980. [Google Scholar] [CrossRef]
- Wolcott, E.L. Employment inequality: Why do the low-skilled work less now? J. Monet. Econ. 2021, 118, 161–177. [Google Scholar] [CrossRef]
- Deichmann, U.; Goyal, A.; Mishra, D. Will digital technologies transform agriculture in developing countries? Agric. Econ. 2016, 47, 21–33. [Google Scholar] [CrossRef]
- Islamutdinov, V.F. Institutional change within the context of digital economy. J. Inst. Stud. 2020, 12, 142–156. [Google Scholar] [CrossRef]
- Chen, W.; Wang, Q.; Zhou, H. Digital Rural Construction and Farmers’ Income Growth: Theoretical Mechanism and Micro Experience Based on Data from China. Sustainability 2022, 14, 11679. [Google Scholar] [CrossRef]
- Pfeiffer, J.; Gabriel, A.; Gandorfer, M. Understanding the public attitudinal acceptance of digital farming technologies: A nationwide survey in Germany. Agric. Hum. Values 2021, 38, 107–128. [Google Scholar] [CrossRef]
- Tobler, W.R. A computer movie simulating urban growth in the Detroit region. Econ. Geogr. 1970, 46 (Suppl. S1), 234–240. [Google Scholar] [CrossRef]
- Cong, X.; Wang, S.; Wang, L.; Saparauskas, J.; Gorecki, J.; Skibniewski, M.J. Allocation Efficiency Measurement and Spatio-Temporal Differences Analysis of Digital Infrastructure: The Case of China’s Shandong Province. Systems 2022, 10, 205. [Google Scholar] [CrossRef]
- Zhou, A. Digital infrastructure and economic growth—Evidence for China. J. Infrastruct. Policy Dev. 2022, 6, 1397. [Google Scholar] [CrossRef]
- Li, Z.; Liu, Y. Research on the Spatial Distribution Pattern and Influencing Factors of Digital Economy Development in China. IEEE Access 2021, 9, 63094–63106. [Google Scholar] [CrossRef]
- Du, M.; Huang, Y.; Dong, H.; Zhou, X.; Wang, Y. The measurement, sources of variation, and factors influencing the coupled and coordinated development of rural revitalization and digital economy in China. PLoS ONE 2022, 17, e0277910. [Google Scholar] [CrossRef] [PubMed]
- Li, Z.; Liu, C.; Chen, X. Power of Digital Economy to Drive Urban-Rural Integration: Intrinsic Mechanism and Spatial Effect, from Perspective of Multidimensional Integration. Int. J. Environ. Res. Public Health 2022, 19, 15459. [Google Scholar] [CrossRef]
- Li, Y.X.; Li, Z.X. Digital economy development and urban-rural income gap in the context of rural revitalization. Financ. Econ. 2022, 43, 60–67+96. [Google Scholar]
- Yin, Z.H.; Choi, C.H. Does e-commerce narrow the urban-rural income gap? Evidence from Chinese provinces. Internet Res. 2022, 32, 1427–1452. [Google Scholar] [CrossRef]
- Nanna, L. The digital economy, the urban-rural income gap and economic development resilience. J. Tech. Econ. Manag. 2022, 43, 10–14. [Google Scholar]
- Jun, W.; Huatang, X. Does the growth of the digital economy narrow the income gap between urban and rural residents? Reform Econ. Syst. 2021, 39, 56–61. [Google Scholar]
- Ma, Q.; Tariq, M.; Mahmood, H.; Khan, Z. The nexus between digital economy and carbon dioxide emissions in China: The moderating role of investments in research and development. Technol. Soc. 2022, 68, 101910. [Google Scholar] [CrossRef]
- He, L.; Zhang, X.L. The distribution effect of urbanization: Theoretical deduction and evidence from China. Habitat Int. 2022, 123, 102544. [Google Scholar] [CrossRef]
- Guo, S.L.; Wang, B.B.; Zhou, K.; Wang, H.; Zeng, Q.P.; Xu, D.D. Impact of Fiscal Expenditure on Farmers’ Livelihood Capital in the Ethnic Minority Mountainous Region of Sichuan, China. Agriculture 2022, 12, 881. [Google Scholar] [CrossRef]
- Le, H.T.; Booth, A.L. Inequality in V ietnamese Urban–Rural Living Standards, 1993–2006. Rev. Income Wealth 2014, 60, 862–886. [Google Scholar]
- Su, C.W.; Song, Y.; Ma, Y.T.; Tao, R. Is financial development narrowing the urban-rural income gap? A cross-regional study of China. Pap. Reg. Sci. 2019, 98, 1779–1800. [Google Scholar] [CrossRef]
- Halleck Vega, S.; Elhorst, J.P. The SLX model. J. Reg. Sci. 2015, 55, 339–363. [Google Scholar] [CrossRef]
- LeSage, J.; Pace, R.K. Introduction to Spatial Econometrics; Chapman and Hall/CRC: Boca Raton, FL, USA, 2009. [Google Scholar]
- Fritz, M.S.; MacKinnon, D.P. Required sample size to detect the mediated effect. Psychol. Sci. 2007, 18, 233–239. [Google Scholar] [CrossRef]
- Tao, Z.; Zhi, Z.; Shangkun, L. Digital Economy, Entrepreneurial Activity and High Quality Development-Empirical Evidence from Chinese Cities. J. Manag. World 2020, 36, 65–76. [Google Scholar]
Disclaimer/Publisher’s Note: The statements, opinions and data contained in all publications are solely those of the individual author(s) and contributor(s) and not of MDPI and/or the editor(s). MDPI and/or the editor(s) disclaim responsibility for any injury to people or property resulting from any ideas, methods, instructions or products referred to in the content. |
© 2023 by the authors. Licensee MDPI, Basel, Switzerland. This article is an open access article distributed under the terms and conditions of the Creative Commons Attribution (CC BY) license (https://creativecommons.org/licenses/by/4.0/).




