Effects of Formula Fertilizer and Biochar on Cadmium and Plumbum Absorption in Maize (Zea mays L.)
Abstract
1. Introduction
2. Materials and Methods
2.1. Materials for Test
2.2. Overview of the Test Area
2.3. Test Design and Sample Treatment
2.4. Sample Treatment
2.5. Sample Determination
- BCF = plant concentration (mg·kg−1)/soil concentration of this element (mg·kg−1);
- TF = plant concentration of this element (mg·kg−1)/another plant concentration of this element (mg·kg−1);
- Total yield (CNY·hm−2) = rice yield (kg·hm−2) × unit price of rice (CNY·kg−1);
- ROI = total output revenue obtained/total input cost.
2.6. Analysis Methods
3. Results and analysis
3.1. Effects of Different Treatments on Agronomic Traits of Maize
3.2. Effects of Different Treatments on Heavy Metal Absorption, Enrichment and Transport in Maize
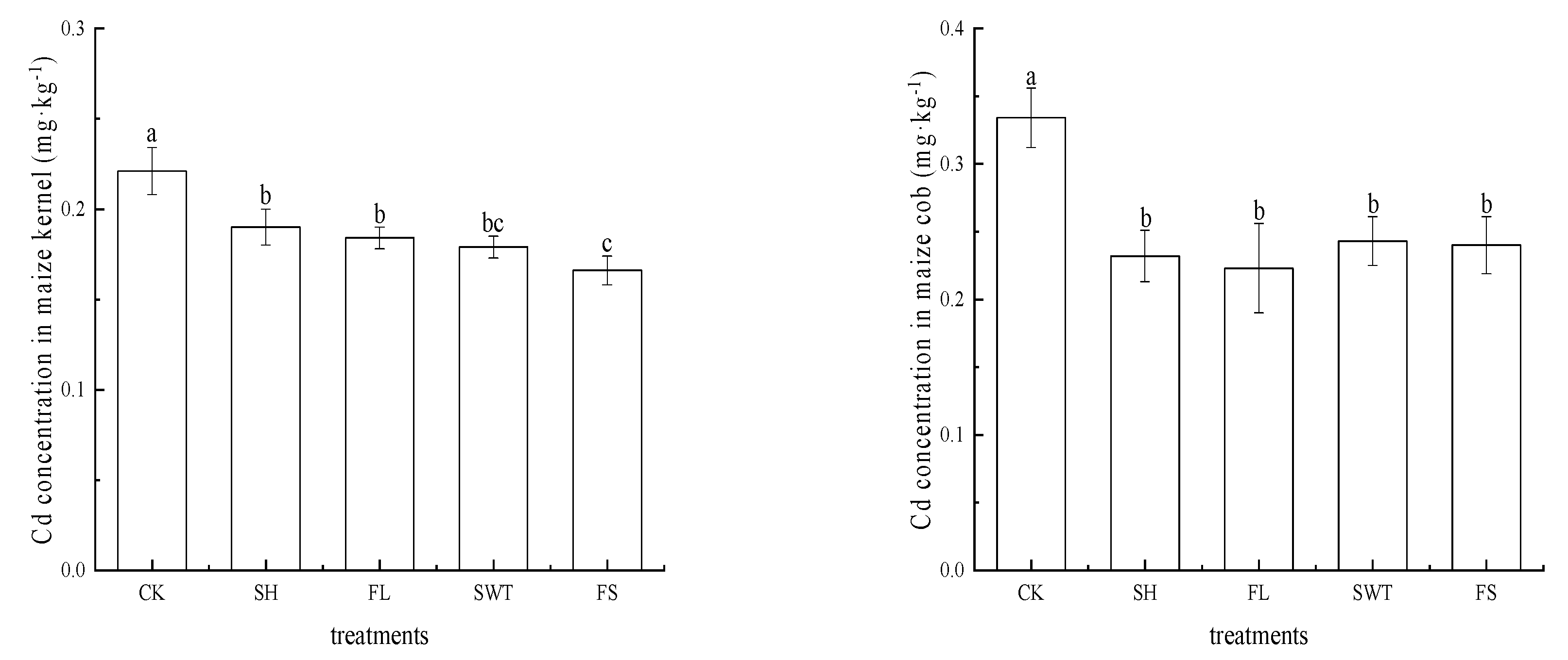
3.2.1. Differences in Heavy Metal Cd Concentration in Different Parts of Maize
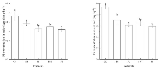
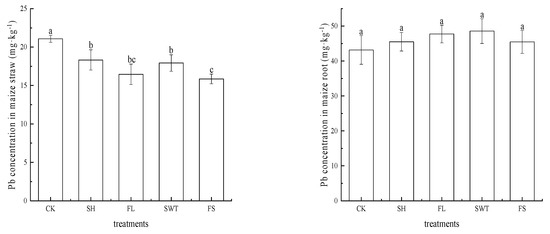
3.2.2. Difference of Heavy Metal Pb Concentration in Different Parts of Maize
3.2.3. Differences of Cd Absorption and Enrichment in Different Parts of Maize
3.2.4. Differences of Pb Absorption and Enrichment in Different Parts of Maize
3.2.5. Differences of Cd Transport in Different Parts of Maize
3.2.6. Differences of Pb Transport in Different Parts of Maize
3.3. Effects of Different Treatments on the Available State and Chemical Morphology of Cadmium and Plumbum in Soil
3.3.1. Effects of Different Treatments on Soil pH
3.3.2. Effects of Different Treatments on the DTPA-Cd and DTPA-Pb in Soil
3.3.3. Effects of Different Treatments on the Chemical Morphology of Soil Cd
3.3.4. Effects of Different Treatments on Chemical Morphology of Soil Pb
3.4. Effects of Different Treatments on Soil Organic Matter and Nitrogen, Phosphorus and Potassium Concentrations
3.5. Economic Benefit Analysis of Different Treatments
4. Discussion
4.1. Enrichment, Absorption and Transport of Cd and Pb in Different Parts of Maize by Different Treatments
4.2. Effects of Different Treatments on Soil pH and Available Cadmium and Plumbum
4.3. Effects of Different Treatments on Chemical Forms of Cadmium and Plumbum in Soil
5. Conclusions
Author Contributions
Funding
Institutional Review Board Statement
Informed Consent Statement
Data Availability Statement
Conflicts of Interest
References
- Seneviratne, M.; Rajakaruna, N.; Rizwan, M.; Madawala, H.M.S.P.; Ok, Y.S.; Vithanage, M. Heavy metal-induced oxidative stress on seed germination and seedling development: A critical review. Environ. Geochem. Health 2020, 41, 1813–1831. [Google Scholar] [CrossRef]
- Arshad, M.; Naqvi, N.; Gul, I.; Yaqoob, K.; Bilal, M.; Kallerhoff, J. Lead plumbum phytoextraction by Pelargonium hortorum: Comparative assessment of EDTA and DIPA for Pb mobility and toxicity. Sci. Total Environ. 2020, 748, 141496. [Google Scholar] [CrossRef] [PubMed]
- Fu, F.; Wang, Q. Removal of heavy metal ions from wastewaters: A review. J. Environ. Manag. 2011, 92, 407–418. [Google Scholar] [CrossRef] [PubMed]
- Niu, L.; Yang, F.; Xu, C.; Yang, H.; Liu, W. Status of metal accumulation in farmland soils across China: From distribution to risk assessment. Environ. Pollut. 2013, 176, 55–62. [Google Scholar] [CrossRef] [PubMed]
- Ali, I.; Ali, R.; Alothman, Z.A.; Ali, J.; Habila, M.A. Assessment of toxic metals in wheat crops grown on selected soils, rigated by diferent water sources. Arab. J. Chem. 2012, 9, 1555–1562. [Google Scholar]
- Kamran, M.; Malik, Z.; Parveen, A.; Zong, Y.; Abbasi, G.H.; Rafiq, M.T.; Shaaban, M.; Mustafa, A.; Bashir, S.; Rafay, M.; et al. Biochar alleviates Cd phytotoxicity by minimizing bioavailability and oxidative stress in pak choi (Brassica chinensis L.) cultivated in Cd-polluted soil. J. Environ. Manag. 2019, 250, 109500. [Google Scholar] [CrossRef] [PubMed]
- Park, J.H.; Ok, Y.S.; Kim, S.H.; Cho, J.S.; Heo, J.S.; Delaune, R.D.; Seo, D.C. Competitive adsorption of heavy metals onto sesame straw biochar in aqueous solutions. Chemosphere 2016, 142, 77–83. [Google Scholar] [CrossRef]
- Wang, R.Z.; Huang, D.L.; Liu, Y.G.; Zhang, C.; Lai, C.; Wang, X.; Zeng, G.-M.; Zhang, Q.; Gong, X.; Xu, P. Synergistic removal of copper and tetracycline from aqueous solution by steam-activated bamboo-derived biochar. J. Hazard. Mater. 2020, 384, 121470. [Google Scholar] [CrossRef] [PubMed]
- Zhang, C.; Shan, B.; Tang, W.; Zhu, Y. Comparison of cadmium and plumbum sorption by Phyllostachys pubescensbiochar produced under a low-oxygen pyrolysis atmosphere. Bioresour. Technol. 2017, 238, 352–360. [Google Scholar] [CrossRef]
- Gao, L.Y.; Deng, J.H.; Huang, G.F.; Li, K.; Cai, K.Z.; Liu, Y.; Huang, F. Relative distribution of Cd2+adsorption mechanisms on biochars derived from rice straw and sewage sludge. Bioresour. Technol. 2019, 272, 114–122. [Google Scholar] [CrossRef]
- Wang, R.Z.; Huang, D.L.; Liu, Y.G.; Zhang, C.; Lai, C.; Zeng, G.M.; Cheng, M.; Gong, X.; Wan, J.; Luo, H. Investigating the adsorption behavior and the relative distribution of Cd2+sorption mechanisms on biochars by different feedstock. Bioresour. Technol. 2018, 261, 265–271. [Google Scholar] [CrossRef]
- GB/T 23739-2009; Soil Quality—Analysis of Available Lead and Cadmium Contents in Soils—Atomic Absorption Spectrometry. General Administration of Quality Supervision, Inspection and Quarantine of the People’s Republic of China, Standardization Administration of China: Beijing, China, 2019.
- GB 5009.268-2016; National Food Safety Standard—Determination of Calcium, Iron, Zinc, Sodium, Potassium, Magnesium, Copper and Manganese in Foods for Infants and Young Children, Milk and Milk Products. National Health and Family Planning Commission of the PRC, State Food and Drug Administration: Beijing, China, 2016.
- Pueyo, M.; Mateu, J.; Rigol, A.; Vidal, M.; López-Sánchez, J.F.; Rauret, G. Use of the modified BCR three-step sequential extraction procedure for the study of trace element dynamics in contaminated soils. Environ. Pollut. 2008, 152, 330–341. [Google Scholar] [CrossRef]
- GB 2762-2022; National Food Safety Standard Maximum Levels of Contaminants in Foods. State Administration for Market Regulation, National Health Commission: Beijing, China, 2022.
- Van Herwijnen, R.; Hutchings, T.R.; Al-Tabbaa, A.; Moffat, A.J.; Johns, M.L.; Ouki, S.K. Remediation of metal contaminated soil with mineral-amended composts. Environ. Pollut. 2007, 150, 347–354. [Google Scholar] [CrossRef]
- Jing, F.; Chen, C.; Chen, X.; Liu, W.; Wen, X.; Hu, S.; Yang, Z.; Guo, B.; Xu, Y.; Yu, Q. Effects of wheat straw derived biochar on cadmium availability in a paddy soil and its accumulationin rice. Environ. Pollut. 2020, 257, 113592. [Google Scholar] [CrossRef] [PubMed]
- Park, J.H.; Wang, J.J.; Kim, S.H.; Kang, S.W.; Jeong, C.Y.; Jeon, J.R.; Park Cho, J.-S.; Delaune, R.D.; Seo, D.-C. Cadmium adsorption characteristics of biochars derived using various pine tree residues and pyrolysis temperatures. J. Colloid Interface Sci. 2019, 553, 298–307. [Google Scholar] [CrossRef] [PubMed]
- Zhang, J.Y.; Zhou, H.; Gu, J.F.; Huang, F.; Yang, W.J.; Wang, S.L.; Yuan, T.Y.; Liao, B.H. Effects of nano-Fe3O4-modified biochar on iron plaque formation and Cd accumulation in rice(Oryza sativa L.). Environ. Pollut. 2020, 260, 113970. [Google Scholar] [CrossRef] [PubMed]
- GB 2762-2017; National Food Safety Standard Maximum Levels of Contaminants in Foods. State Administration for Market Regulation, National Health Commission: Beijing, China, 2017.
- Chao, D.Y.; Baraniecka, P.; Danku, J.; Koprivova, A.; Lahner, B.; Luo, H.; Yakubova, E.; Dilkes, B.; Kopriva, S.; Salt, D.E. Variation in Sulfur and Selenium Accumulation Is Controlled by Naturally Occurring Isoforms of the Key Sulfur Assimilation Enzyme ADENOSINE 5’-PHOSPHOSULFATE REDUCTASE2 across the Arabidopsis Species Range. Plant Physiol. 2014, 166, 1593–1608. [Google Scholar] [CrossRef] [PubMed]
- Chen, S.; Xu, M.; Ma, Y.; Yang, J. Evaluation of different phosphate amendments on availability of metals in contaminated soil. Ecotoxicol. Environ. Saf. 2007, 67, 278–285. [Google Scholar] [CrossRef]
- Gray, C.W.; Dunham, S.J.; Dennis, P.G.; Zhao, F.J.; McGrath, S.P. Field evaluation of in situ remediation of a heavy metal contaminated soil using lime and redmud. Environ. Pollut. 2006, 142, 530–539. [Google Scholar] [CrossRef]
- Zheng, R.; Chen, Z.; Cai, C.; Tie, B.; Liu, X.; Reid, B.J.; Huang, Q.; Lei, M.; Sun, G.; Baltrėnaitė, E. Mitigating heavy metal accumulation into rice(Oryza sativa L.)using biochar amendment: A field experiment in Hunan, China. Environ. Sci. Pollut. Res. 2015, 22, 11097–11108. [Google Scholar] [CrossRef]
- Deng, J.; Liu, Y.; Liu, S.; Zeng, G.; Tan, X.; Huang, B.; Tang, X.; Wang, S.; Hua, Q.; Yan, Z. Competitive adsorption of Pb (II), Cd (II) and Cu (II) onto chitosan-pyromellitic dianhydride modified biochar. J. Colloid Interface Sci. 2017, 506, 355–364. [Google Scholar] [CrossRef] [PubMed]
- Liang, Y.; Cao, X.; Zhao, L.; Arellano, E. Biochar-and phosphate-induced immobilization of heavy metals in contaminated soil and water: Implication on simultaneous remediation of contaminated soil and groundwater. Environ. Sci. Pollut. Res. 2014, 21, 4665–4674. [Google Scholar] [CrossRef] [PubMed]
- Qiu, Q.; Wang, Y.; Yang, Z.; Yuan, J. Effects of phosphorus supplied in soil on subcellular distribution and chemical forms of cadmium in two Chinese flowering cabbage (Brassica parachinensis L.) cultivars differing in cadmium accumulation. Food Chem. Toxicol. Int. J. Publ. Br. Ind. Biol. Res. Assoc. 2011, 49, 2260–2267. [Google Scholar] [CrossRef] [PubMed]
- Wang, Y.M.; Chen, T.C.; Yeh, K.J.; Shue, M.F. Stabilizatio of an elevated heavy metal contaminated site. J. Hazard. Mater. 2001, 88, 63–74. [Google Scholar] [CrossRef] [PubMed]
- Li, L.; Xing, W.; Xiang, G.Q.; Yang, L.; Zhang, H.; Zhang, J. Immobilization of Pb and Cd in a lead smelting polluted soil with different amendments. Acta Sci. Circumst. 2012, 32, 1717–1724. [Google Scholar]
- Yuan, Z.W.; Wang, L.; Lan, T.; Ji, Y.; Zhao, H.Z. Water quality assessment and source identification of water pollution in the Banchengzi reservoir, Beijing, China. Desalination Water Treat. 2016, 57, 29240–29253. [Google Scholar] [CrossRef]
- Xu, Z.; Yu, G.; Zhang, X.; Ge, J.; He, N.; Wang, Q.; Wang, D. The variations in soil microbial communities, enzyme activities and their relationships with soil organic matter decomposition along the northern slope of Changbai mountain. Appl. Soil Ecol. 2015, 86, 19–29. [Google Scholar] [CrossRef]
- Nenmann, D.; Nieden, U.Z. Silicon and heavy metal tolerance of higher plants. Phytochemistry 2001, 56, 685–692. [Google Scholar] [CrossRef]
- Zhang, S.; Deng, Y.; Fu, S.; Xu, M.; Zhu, P.; Liang, Y.; Yin, H.; Jiang, H.; Bai, L.; Liu, X.; et al. Reduction mechanism of Cd accumulation in rice grain by Chinese milk vetch residue: Insight into microbial community. Ecotoxicol. Environ. Saf. 2020, 202, 110908. [Google Scholar] [CrossRef]
- Mohamed, I.; Ahamadou, B.; Li, M.; Gong, C.; Cai, P.; Liang, W.; Huang, Q. Fractionation of copper and cadmium and their binding with soil organic matter in a contaminated soil amended with organic materials. J. Soils Sediments 2010, 10, 973–982. [Google Scholar] [CrossRef]
- Zhu, Y.G.; Chen, S.B.; Yang, J.C. Effects of soil amendments on lead uptake by two vegetable crops from a lead-contaminated soil from Anhui, China. Environ. Int. 2004, 30, 351–356. [Google Scholar] [CrossRef] [PubMed]
- Yin, B.; Zhou, L.; Yin, B.; Chen, L. Effects of organic amendments on rice (Oryza sativa L.) growth and uptake of heavy metals in contaminated soil. J. Soils Sediments 2016, 16, 537–546. [Google Scholar] [CrossRef]
- Song, Z.W.; Zhu, P.; Gao, H.J.; Peng, C.; Deng, A.X.; Zheng, C.Y.; Mannaf, M.A.; Islam, M.N.; Zhang, W.J. Effects of long-term fertilization on soil organic carbon content and aggregate composition under continuous maize cropping in Northeast China. J. Agric. Sci. 2015, 153, 236–244. [Google Scholar] [CrossRef]
- Liang, B.; Lehmann, J.; Sohi, S.P.; Thies, J.E.; O’Neill, B.; Trujillo, L.; Gaunt, J.; Solomon, D.; Grossman, J.; Neves, E.G.; et al. Black carbon affects the cycling of non-black carbon in soil. Org. Geochem. 2010, 41, 206–213. [Google Scholar] [CrossRef]








| Material Type | Cd | Hg | As | Pb | Cr |
|---|---|---|---|---|---|
| Compound fertilizer | 0.18 | 0.01 | 11.7 | 16.8 | 15.0 |
| Formula fertilizer | 0.05 | 0.01 | 8.69 | 17.7 | 11.2 |
| Biochar | 0.37 | 0.10 | 2.95 | 41.3 | 13.1 |
| Lime | 0.52 | 0.02 | 18.1 | 37.2 | 14.7 |
| Treatment | Remediation Material | Rates (t·hm−2) | Remarks |
|---|---|---|---|
| CK | - | - | Conventional fertilization |
| SH | Lime | 2.25 | Conventional fertilization |
| FL | Formula fertilizer | 0.45 | No base fertilizer |
| SWT | Biochar | 0.30 | Base fertilizer reduced by 10% |
| FS | Formula fertilizer + Biochar | 0.45 + 0.03 | No base fertilizer |
| Treatments | Biomass (g·Plant−1) | Yield (t·hm−2) | Plant Height (cm) | Leaf Length (cm) | Leaf Width (cm) | |||
|---|---|---|---|---|---|---|---|---|
| Root | Straw | Core | Kernel | |||||
| CK | 5.252 ± 0.226 b | 44.73 ± 1.882 a | 27.40 ± 0.812 a | 153.6 ± 4.057 b | 9.220 ± 0.245 b | 231.4 ± 20.18 a | 71.27 ± 5.908 a | 8.933 ± 0.379 a |
| SH | 5.516 ± 0.164 ab | 45.28 ± 3.055 a | 29.54 ± 1.827 a | 163.3 ± 7.581 ab | 9.800 ± 0.456 ab | 212.0 ± 17.66 a | 80.33 ± 13.34 a | 9.300 ± 0.900 a |
| FL | 5.666 ± 0.233 a | 46.10 ± 3.436 a | 29.62 ± 2.047 a | 165.6 ± 4.302 ab | 9.940 ± 0.261 ab | 215.1 ± 12.42 a | 80.23 ± 15.58 a | 8.733 ± 0.808 a |
| SWT | 5.519 ± 0.053 ab | 46.64 ± 2.536 a | 28.71 ± 1.471 a | 170.8 ± 7.946 a | 10.25 ± 0.479a | 225.3 ± 15.93 a | 87.33 ± 15.58 a | 9.167 ± 0.874 a |
| FS | 5.563 ± 0.079 ab | 46.00 ± 3.540 a | 29.01 ± 1.159 a | 176.7 ± 10.42 a | 10.60 ± 0.623 a | 217.4 ± 17.78 a | 81.00 ± 14.28 a | 8.100 ± 0.436a |
| Treatments | Soil Cd (mg·kg−1) | BCF Maize Cd | |||
|---|---|---|---|---|---|
| Kernel | Cob | Straw | Root | ||
| CK | 2.354 ± 0.082 a | 0.094 ± 0.008 a | 0.142 ± 0.015 a | 0.364 ± 0.017 a | 0.303 ± 0.001 a |
| SH | 2.286 ± 0.095 a | 0.083 ± 0.005 b | 0.102 ± 0.010 b | 0.289 ± 0.030 bc | 0.344 ± 0.040 a |
| FL | 2.321 ± 0.096 a | 0.080 ± 0.002 bc | 0.096 ± 0.012 b | 0.260 ± 0.023 c | 0.344 ± 0.026 a |
| SWT | 2.327 ± 0.106 a | 0.077 ± 0.002 bc | 0.105 ± 0.012 b | 0.300 ± 0.021 bc | 0.349 ± 0.008 a |
| FS | 2.269 ± 0.111 a | 0.073 ± 0.004 c | 0.106 ± 0.012 b | 0.310 ± 0.025 b | 0.350 ± 0.026 a |
| Treatments | Soil Pb (mg·kg−1) | BCF Maize Pb | |||
|---|---|---|---|---|---|
| Kernel | Cob | Straw | Root | ||
| CK | 82.92 ± 2.118 a | 0.003 ± 0.000 a | 0.011 ± 0.000 a | 0.254 ± 0.011 a | 0.520 ± 0.049 a |
| SH | 84.69 ± 2.548 a | 0.002 ± 0.000 a | 0.008 ± 0.001 b | 0.217 ± 0.020 b | 0.538 ± 0.034 a |
| FL | 83.16 ± 2.524 a | 0.002 ± 0.000 a | 0.007 ± 0.000 c | 0.198 ± 0.013 bc | 0.575 ± 0.048 a |
| SWT | 83.81 ± 2.283 a | 0.002 ± 0.000 a | 0.008 ± 0.001 b | 0.214 ± 0.008 b | 0.579 ± 0.040 a |
| FS | 85.16 ± 1.525 a | 0.002 ± 0.000 a | 0.007 ± 0.000 c | 0.186 ± 0.011 c | 0.534 ± 0.036 a |
| Treatments | TF Maize Cd | |||
|---|---|---|---|---|
| Kernel-Core | Core-Straw | Straw-Root | Kernel-Root | |
| CK | 0.662 ± 0.037 a | 0.390 ± 0.025 a | 1.203 ± 0.056 a | 0.310 ± 0.026 a |
| SH | 0.825 ± 0.111 a | 0.354 ± 0.054 a | 0.842 ± 0.048 bc | 0.243 ± 0.023 b |
| FL | 0.834 ± 0.115 a | 0.373 ± 0.058 a | 0.755 ± 0.010 c | 0.231 ± 0.018 b |
| SWT | 0.739 ± 0.065 a | 0.349 ± 0.014 a | 0.860 ± 0.067 b | 0.221 ± 0.009 b |
| FS | 0.694 ± 0.089 a | 0.342 ± 0.012 a | 0.886 ± 0.049 b | 0.210 ± 0.024 b |
| Treatments | TF Maize Pb | |||
|---|---|---|---|---|
| Kernel–Cob | Cob–Straw | Straw–Root | Kernel–Root | |
| CK | 0.248 ± 0.019 a | 0.044 ± 0.002 a | 0.492 ± 0.059 a | 0.006 ± 0.001 a |
| SH | 0.273 ± 0.040 a | 0.038 ± 0.004 ab | 0.405 ± 0.051 ab | 0.004 ± 0.000 b |
| FL | 0.268 ± 0.009 a | 0.037 ± 0.003 b | 0.346 ± 0.043 b | 0.003 ± 0.001 b |
| SWT | 0.269 ± 0.013 a | 0.036 ± 0.003 b | 0.370 ± 0.033 b | 0.004 ± 0.001 b |
| FS | 0.269 ± 0.017 a | 0.038 ± 0.003 b | 0.350 ± 0.032 b | 0.004 ± 0.001 b |
| Treatments | Organic Matter (g·kg−1) | Total N (g·kg−1) | Alkali- Hydrolyzed N (mg·kg−1/) | Available P (mg·kg−1) | Available K (mg·kg−1) |
|---|---|---|---|---|---|
| CK | 16.69 ± 1.826 c | 1.053 ± 0.035 c | 76.90 ± 1.779 c | 14.11 ± 1.546 c | 122.7 ± 6.048 c |
| SH | 17.87 ± 1.100 bc | 1.173 ± 0.032 b | 79.78 ± 2.235 c | 17.77 ± 1.222 b | 132.2 ± 0.577 b |
| FL | 18.74 ± 0.817 bc | 1.203 ± 0.035 b | 81.20 ± 3.490 bc | 17.27 ± 0.887 b | 140.5 ± 2.291 a |
| SWT | 20.44 ± 0.580 ab | 1.240 ± 0.026 ab | 85.49 ± 2.870 ab | 19.93 ± 1.658 ab | 147.5 ± 3.279 a |
| FS | 22.11 ± 2.320 a | 1.287 ± 0.021 a | 87.04 ± 1.375 a | 21.51 ± 1.201 a | 144.0 ± 1.803 a |
| Treatments | Input (CNY·hm−2) | Total Input (CNY·hm−2) | Total Output (CNY·hm−2) | Input-Output Ratio | ||
|---|---|---|---|---|---|---|
| Conditioner | Fertilizer | Other | ||||
| CK | 0 | 1215 | 9500 | 10,715 | 5877 ± 438 d | 0.548 ± 0.041 c |
| SH | 2250 | 1215 | 9500 | 12,965 | 16,426 ± 1364 b | 1.267 ± 0.106 b |
| FL | 1350 | 0 | 9500 | 10,850 | 18,961 ± 774 ab | 1.747 ± 0.072 a |
| SWT | 10,200 | 1094 | 9500 | 20,794 | 9956 ± 1430 c | 0.479 ± 0.069 c |
| FS | 2370 | 0 | 9500 | 11,870 | 19,933 ± 1876 a | 1.679 ± 0.158 a |
Disclaimer/Publisher’s Note: The statements, opinions and data contained in all publications are solely those of the individual author(s) and contributor(s) and not of MDPI and/or the editor(s). MDPI and/or the editor(s) disclaim responsibility for any injury to people or property resulting from any ideas, methods, instructions or products referred to in the content. |
© 2023 by the authors. Licensee MDPI, Basel, Switzerland. This article is an open access article distributed under the terms and conditions of the Creative Commons Attribution (CC BY) license (https://creativecommons.org/licenses/by/4.0/).
Share and Cite
Ma, Z.; Tao, R.; Hu, J.; Cao, C.; Hu, Z.; Chen, Y.; Hu, H.; Ma, Y. Effects of Formula Fertilizer and Biochar on Cadmium and Plumbum Absorption in Maize (Zea mays L.). Sustainability 2023, 15, 4696. https://doi.org/10.3390/su15064696
Ma Z, Tao R, Hu J, Cao C, Hu Z, Chen Y, Hu H, Ma Y. Effects of Formula Fertilizer and Biochar on Cadmium and Plumbum Absorption in Maize (Zea mays L.). Sustainability. 2023; 15(6):4696. https://doi.org/10.3390/su15064696
Chicago/Turabian StyleMa, Zhongwen, Ronghao Tao, Jingyi Hu, Chi Cao, Zhaoyun Hu, Yong Chen, Hongxiang Hu, and Youhua Ma. 2023. "Effects of Formula Fertilizer and Biochar on Cadmium and Plumbum Absorption in Maize (Zea mays L.)" Sustainability 15, no. 6: 4696. https://doi.org/10.3390/su15064696
APA StyleMa, Z., Tao, R., Hu, J., Cao, C., Hu, Z., Chen, Y., Hu, H., & Ma, Y. (2023). Effects of Formula Fertilizer and Biochar on Cadmium and Plumbum Absorption in Maize (Zea mays L.). Sustainability, 15(6), 4696. https://doi.org/10.3390/su15064696

