Abstract
Vallesia glabra (Vg) is a species that has been used in traditional medicine due to its secondary metabolites (alkaloids, saponins, flavonoids, phenols, and cardiac glucosides) for the treatment of measles, rheumatism, muscle aches, and eye inflammation. The biosynthesis of magnetite nanoparticles (Fe3O4 NPs) was carried out using an aqueous leaf extract of Vg and was characterized using Fourier transform infrared spectroscopy (FTIR), scanning electron microscopy (SEM), X-ray diffraction (XRD), and X-ray photoelectron spectroscopy (XPS). Afterward, the magnetic adsorbent was tested for its potential to remove cationic dye from aqueous solutions at different pH and adsorbent mass and its reusability after several adsorption/desorption cycles. The XRD pattern and SEM micrographs resulted in an average size of NPs of 12.2 nm. Regarding the removal of MB from an aqueous solution, the kinetic and isotherm adsorption behavior is governed by the pseudo-second-order model and a Langmuir isotherm which describes an ionic exchange and chemisorption process between the positive partial charges of MB and Vg compounds stabilizing Fe3O4 NPs following a thermodynamically favorable process. Therefore, the green synthesis of NPs from Vg leaf extract is considered a sustainable alternative to removing dyes from aqueous solutions.
1. Introduction
One of the major issues resulting in modern society is the availability of drinkable water. By 2050, the United Nations’ World Water Development Report estimates that six billion people will experience a lack of access to safe drinking water [1,2]. Currently, due to the scarcity of clean water sources, the reuse of wastewater in several applications, such as industrial cooling and processing, aquaculture, recreational practices, and irrigation of agricultural soil, has become an interesting option to preserve and increase the source of clean water. However, although wastewater may be recycled, certain parameters, such as heavy metal content, electrical conductivity, pH, and dissolved organic matter concentration after the treatment process, should be evaluated before it is used. Among the several water pollutants, dyes and organic pigments are widely used as color products in different industries. Synthetic dyes are a relatively large group of organic chemicals used daily, and cationic dyes, such as methylene blue (MB), are a class of organic compounds employed by the textile industry for a variety of purposes, such as dyeing cotton, wools, silk, and leather. These processes use a large amount of fresh water and discharge large volumes of effluent, which generally contain a high concentration of natural or synthetic organic dyes [3]. As a result, the chemicals released have negative effects on both human health and the environment [4,5].
Many studies have been conducted worldwide to reduce the potentially harmful effects on humans and the environment caused by the production and application of cationic dyes. Even at parts per billion (ppb) levels, toxic organic dyes in water effluent are extremely harmful and undesirable. Dye removal from wastewaters has been accomplished through various physical and chemical methods [6]. Coagulation, sedimentation, and activated sludge are all examples of traditional methods [7]. Ozonation, membrane separation, electrochemical and ultrasonic techniques, photocatalysis, adsorption, and other advanced methods are also available [8]. The adsorption method is more versatile and efficient than the chemical and physical methods. It has been successfully used for dye removal from contaminated water due to its simplicity of design, wide adaptability, convenience, and ease of operation. In this sense, the recent advancement of nanoscience and nanotechnology offers new opportunities to develop nanoadsorbents with improved adsorption capacity. In particular, these nanomaterials offer the possibility of the efficient removal of organic dyes due to their smaller size and higher adsorptive surface area [9,10,11].
Metal nanoadsorbents have been popular among researchers because of their unique properties of specificity. Higher surface and novel chemical properties are nanoparticles’ two important crucial properties [12]. In recent years, there has been an increase in research based on iron oxide nanoparticles, such as magnetite nanoparticles (Fe3O4 NPs), maghemite nanoparticles (Fe2O3 NPs), and others, for the removal of organic and inorganic contaminants [13,14,15,16]. There are different methods for producing nanoparticles (NPs), including chemical, physical, and biological ones. However, biological methods are more efficient and environmentally beneficial because they do not require hazardous chemicals. The biological approach uses living cells, such as bacteria, algae, and plants or their component derivatives, with plant extract being the most practical. Plant-mediated green synthesis of NPs has gained significant interest more recently due to its advantages over chemical and physical approaches in terms of cost and environmental friendliness. Plant extracts offer a wide range of secondary metabolites, such as alkaloids, flavonoids, glycosides, phenolics, quinones, saponins, steroids, tannins, and terpenoids, which have been reported to play a key role in the biogenic synthesis of metal NPs. There are reports of successful plant-mediated Fe3O4 NP production, such as plantain peel extract [17], leaf extract of Celosia argentea [18], Rhamnus triquetra (RT) leaf extract [19], and leaf extract of Phoenix dactylifera [20]. However, no literature reports are available for synthesizing Fe3O4 NPs using aqueous leaf extract of Vallesia glabra (Vg). This species has been used in traditional medicine for the treatment of measles, rheumatism, muscle aches, and eye inflammation. Its medicinal effects are through its secondary metabolites. Previous phytochemical screening studies showed the presence of alkaloids, terpenoids, polyphenols, and tannins in a methanolic extract of the Vg leaf [21]. These secondary metabolites could be important in the reduction and stabilization process of the synthesis of Fe3O4 NPs.
For the first time, we present a simple and environmentally friendly method for preparing Fe3O4 NPs from the aqueous leaf extract of Vg for the adsorption of the cationic organic dye MB. Furthermore, the ability of as-yielded Fe3O4 NPs to remove the organic dye, MB, from contaminated water was investigated. Finally, adsorption isotherms and kinetic studies were conducted to determine the best adsorption conditions for Fe3O4 NPs to remove MB dye.
2. Materials and Methods
2.1. Materials
The Vg leaves were collected in the southern region of the state of Sonora, Mexico (voucher No. 20390; location: 26°53′56.65″ N, location: 109° 37′56.17″ W) (Moran 2014). Iron (II) chloride (FeCl2, >98%), iron (III) chloride (FeCl3, ≥97%), mercury (II) chloride (HgCl2, ≥99.5%), potassium iodide (KI, ≥99%), nitric acid (HNO3, ≥70%), bismuth (III) nitrate pentahydrate (Bi(NO3)3∙5H2O, >98%), sublimed iodine (I2, ≥99.99%), picric acid (O2N)3C6H2OH, ≥98%), magnesium powder (Mg, ≥99%), zinc powder (Zn, ≥99.9%), sulfuric acid (H2SO4, ≥99.99%), chloroform (CHCl3, ≥99%), glacial acetic acid (CH3CO2H, ≥99.7%), and sodium hydroxide (NaOH, >98%) were procured from Sigma-Aldrich Chemicals, St. Louis, MO, USA. Acetic anhydride ((CH3CO)2O), Fehling’s reagent (CuH2O4S), and Lugol solution were purchased from Merck. All chemicals were used without further purification.
Ultrapure milli-Q grade water (Merck, Darmstadt, Germany) with a resistivity of 18.2 MΩ·cm was used in all experiments.
2.2. Vg Extract Preparation
The collected leaves of Vg were thoroughly washed, allowing the excess water to drain for 6 h. They were then dehydrated in a drying chamber at 100 °C for three days. The next step was to grind the leaves into a fine powder. The leaves’ extract was prepared with 5 g of the powder obtained dissolved in 100 mL of deionized water previously heated to 80 °C on a hot plate with magnetic stirring at 600 RPM for 20 min. The product obtained was filtered through Whatman No. 1 paper for subsequent drying process in an oven at 60 °C for 24 h.
2.3. Phytochemical Screening
Phytochemical screening of plant extracts was performed, as described previously by [21].
2.4. Preparation of Magnetic NP Adsorbent
The synthesis of magnetic NPs was perform following coprecipitation method proposed by Omelyanchik et al. [22], with some modifications. The method consists of mixing a solution of 25 mg of FeCl3 and 10 mg FeCl2 in 95 mL of deionized water in a N2 atmosphere at a temperature of 90 °C with magnetic stirring at 600 RPM for 10 min. Once the time elapsed, 10 mL of ammonium hydroxide was added in the same conditions for 20 min. A solution of 100 mg of Vg extract in 10 mL of deionized water was added to the reaction for 20 min. Finally, it was washed three times with deionized water and left in a drying chamber at 60 °C for 24 h.
2.5. Characterization of Magnetic NPs
2.5.1. Fourier Transform Infrared Spectroscopy (FTIR)
FTIR transmission spectra of magnetic NPs were obtained using a spectrometer model spectrum two, Perkin-Elmer, equipped with a universal ATR (single reflection diamond) accessory. Samples (~5 mg) were placed in a sample holder, and the transmittance spectra were collected in triplicate with a spectral resolution of 4 cm−1 between 500 and 4000 cm−1.
2.5.2. Powder X-ray Diffractometry (XRD)
Powder XRD was used to determine the crystallinity and phase purity of generated NPs. The powder XRD of magnetic NP adsorbent was performed using a powder X-ray diffractometer equipped with Cu Κ (α) radiation (wavelength λ = 0.154187 nm) and operated at a 2θ angular variation from 20 to 80°, in steps of 0.02° for each 2 s.
On the other hand, the crystallite size was estimated based on the results obtained by XRD. The width at half height of the peak (311) was used by applying the Scherrer equation [23] (Equation (1)):
where λ is the wavelength (1.5406 Å), B is the width at half height of the peak with the highest intensity (311) (FWHM), θ is the Bragg angle, and k is Scherrer’s constant (about 0.9 for magnetite).
2.5.3. Vibration Sample Magnetometer (VSM)
The magnetic properties of NPs were investigated using the VSM in the physical property measurements system (PPMS) of Quantum Design. Hysteresis loops were measured under a maximum applied field from ±45 kOe at 10 and 300 K to evaluate the coercive field and saturation magnetization (Ms). Field-cooling (FC) and zero-field-cooling (ZFC) magnetization curves were measured at 300 Oe in the temperature range 10–300 K.
2.5.4. X-ray Photoelectron Spectroscopy (XPS)
XPS was used to evaluate the chemical composition of the NPs. The instrument employed was a Perkin-Elmer PHI 5100 XPS equipped with a standard anode of Mg Kα (1253.6 eV) as X-ray source, and a hemispherical analyzer operated at a constant pass energy of 20 eV.
2.5.5. Scanning Electron Microscopy (SEM)
Particle morphology and size were determined using SEM through a field emission scanning electron microscope (JEOL JSM-7800F, Pleasanton, CA, USA). Nanoparticle size distributions were measured with the software ImageJ (1.51 version, National Institutes of Health (NIH), Bethesda, MD, USA) by analyzing at least 560 particles.
2.6. Batch Sorption Experiments
For each experimental run, Fe3O4 NPs were added to 20 mL of 5 mg L−1 of cationic dye MB solutions. Subsequently, the Fe3O4 NPs with adsorbed dyes were separated from the mixture via a permanent handheld magnet under operational parameters, i.e., pH of MB solution (adjusted with NaOH and HCl at 0.01 M), biosorbent dose (0.002–0.1 g), and the adsorption time (5–60 min) at room temperature. The residual amounts of dye in the solution were determined spectrophotometrically at 665 nm with an Evolution 200 (Thermo-Scientific, Waltham, MA, USA) diode array UV-visible spectrometer. The adsorption capacity (qe) and removal efficiency of the biosorbent at equilibrium were determined using Equations (2) and (3) [24], respectively:
where Co and Ce (mg/L) are the initial and equilibrium MB concentrations in solution, respectively; V (L) is the volume of solution; and m (g) is the weight of dry adsorbents.
where Co is the initial concentration of MB (mg/L), and Ce is the equilibrium concentration of MB (mg/L) in the dye solution.
2.7. Adsorption Isotherm Test
Adsorption isotherms (Langmuir and Freundlich) were applied to explain the equilibrium adsorption characteristics [25]. Equation (4) represents Langmuir’s linear isotherm to determine the adsorption parameters:
where qmax represents the maximum adsorption capacity (mg/g), and KL (L/mg) is Langmuir’s isotherm constant, which shows the binding affinity between MB and absorbent. The separation factor (RL) was calculated using Equation (5):
Equation (6) represents the linear Freundlich’s isotherm:
kf is Freundlich’s constant and is used to measure the adsorption capacity, and 1/n is the adsorption intensity.
2.8. The Kinetic Study of the Adsorption of MB
MB adsorption rates were analyzed using pseudo-first-order and pseudo-second-order kinetic models [26]. The pseudo-first-order is represented in Equation (7):
where qt represents the adsorption capacity (mg/g) at time t, and k1 (min−1) is the equilibrium rate constant.
The pseudo-second order is represented in Equation (8):
where k2 (g mg−1 min−1) is the equilibrium rate constant, and linear coefficient regression (R2) values are used to predict the most suited isotherm and kinetic model for the adsorption process.
2.9. Desorption and Regeneration Studies
The recycling of the adsorbent is one of the fundamental aspects to keep the costs of the process low and open the possibility of recovering the contaminants from the liquid phase. For the adsorption studies following previous studies [27], 10 mg/mL of the adsorbent was mixed with 20 mL of a MB solution at a concentration of 5 mg L−1 for 15 min. For desorption studies, the adsorbent was shaken with 20 mL of a 5% v/v alcohol–acetic acid solution with a contact time of 30 min. After desorption, the adsorbents were rinsed three times with distilled water and reintroduced into solutions containing MB, at a concentration of 5 mg L−1. After each adsorption cycle, the supernatants were collected to determine the MB concentration using UV-Vis spectroscopy. This adsorption/desorption procedure was repeated seven times to test the reusability of the adsorbents.
3. Results and Discussion
3.1. Characterization of Magnetic NPs
Phytochemical qualitative analysis of the aqueous leaf extract of Vg is listed in Table 1. The aqueous leaf extract of Vg contains alkaloids, flavonoids, saponins, and cardiac glucosides, which are responsible for synthesizing by reduction potential and capping the magnetic NP surfaces. The use of biocompatible biological sources (i.e., algae, bacteria, yeast, plants, and fungi) for green synthesis of magnetic NPs is generally regarded as an environmentally friendly method. They contain abundant bioactive chemicals, which play a vital role in reducing Fe+3 and Fe+2 ions [28].
Table 1.
Phytochemistry of the aqueous extract of Vg.
First, metal ions are created by combining the biological component with the iron precursor (reduction). A further nucleation center is then formed, which integrates the nearby nucleation site and sequesters the remaining metal ions. The reaction described above produces NPs as a byproduct. Given the bioactive component’s source and synthesis parameters, it is possible to control the size, growth, and shape of NPs [29].
3.1.1. FTIR Spectroscopy
The magnetic NPs were studied using FTIR analysis to comprehend the surface functional groups in metal surface NPs. Figure 1 shows the spectra obtained corresponding to the extract of Vg and the NPs synthesized (red and black lines, respectively). The IR spectrum of the plant extract shows a high-intensity band at 3295 cm−1 due to the vibrations of the bonds assigned to the OH-functional groups present in the saponins, flavonoids, and cardiac glycosides found in the phytochemical study. Low-intensity stretching was also found at 2925 and 2848 cm−1 relative to the C–H bonds of aromatic compounds, observed in both FTIR spectra. The 1594 cm−1 band corresponds to the C=C vibrations present in the rings of the Vg compounds. In addition, the bands located between 1266 and 1012 cm−1 were assigned to bending C–O bonds and are also on magnetic NP FTIR spectra, suggesting that biomolecules are on the NP surfaces stabilizing them.
Figure 1.
The FTIR spectra of Vg extract and Fe3O4 NPs.
In the FTIR spectrum corresponding to the magnetic NPs, the narrow and high-intensity band at 544 cm−1 corresponds to the vibrations of the Fe–O–Fe bonds characteristic of synthesized NPs. The typical band due to the O–H group of saponins shifted from 3295 to 3415 cm−1, indicating that the O–H group acts as a reducing agent in forming magnetic NPs [30]. In addition, the bands that correspond to the plant extract are present within the FTIR spectra of NPs, and it is possible to suggest that their constituents could act as a stabilizing agent in the NPs, as previously proposed by the literature [31].
3.1.2. SEM
Micrographs were taken with a JEOL JSM-7800F ultra-high resolution field emission scanning electron microscope operated at 2.0 kV. SEM images of synthesized magnetic NPs using aqueous leaf extract of Vg are presented in Figure 2a.
Figure 2.
(a) SEM micrograph of Fe3O4 NPS. (b) The size distribution of the NPs.
In addition to these mentioned characteristics, obtaining a size distribution of the NPs was possible. A total of 560 particles were measured using the Image J software in version 1. 53 (National Institutes of Health (NIH), Bethesda, MD, USA). The results are shown in Figure 2b, which shows a length of diameters between 6 and 21 nm, with a mean of 12.23 nm and a standard deviation of 1.81 nm.
3.1.3. XRD
The phase purity and crystalline nature of magnetic NPs were confirmed using powder XRD. A typical XRD pattern of as-synthesized NPs is shown in Figure 3. Sharp peaks indicate a highly crystalline nature, while broad peaks indicate an ultra-fine and small crystallite size [32].
Figure 3.
The XRD diffractogram of Fe3O4 NPs stabilized with Vg.
In Figure 3, corresponding to the diffraction pattern obtained from the synthesized NPs, narrow peaks are observed at 30.1, 37.2, 43.3, 53.6, 57.1, 62.8, 71.2, and 74.48° that were assigned to the planes (220), (311), (222), (400), (422), (511), (440), (620), and (533), respectively. The crystallographic chart (JCPDS-190629) of Fe3O4 NPs presents a high coincidence with the peaks obtained from the synthesized material. Therefore, it can be confirmed that the synthesized material is Fe3O4 NPs. In addition, the absence of additional peaks from another iron material or phase indicates that the Fe3O4 adsorbent synthesized by extract Vg is mainly composed of a magnetite phase. However, the formation of the maghemite phase in minor amounts is inevitable [33].
The average size of the crystal estimated using XRD is 11 nm (Equation (1)), observing a difference of 1.23 nm with respect to the size distribution obtained using SEM. As in the XRD technique, diffraction only occurs in the crystalline part of the material, this size difference between SEM and XRD may correspond to an amorphous layer of compounds from the Vg extract, which is suggested to be stabilizing the NPs.
3.1.4. XPS
Figure 4 shows the low- and high-resolution spectra of magnetic NPs. The low resolution exhibits the peaks corresponding to Fe 2p, O 1s, and C 1s (Figure 4a). High-resolution spectra were acquired to see the signal features more clearly. Figure 4b presents C 1s and is used to calibrate at 284.5 eV. On the other hand, Figure 4c displays O 1s. The main peak at 529.1 eV was attributed to bonding the metal oxide compound, and the other signal at 530.2 eV might assign the OH-species and 532.5 eV for the C-O bond as adventitious carbon on the surface [34]. The last spectra of Fe 2p are present in Figure 4d. The form of the spectra main peaks for Fe 2p 3/2 and 2p ½ are located at 710 and 723 eV, respectively. However, in deconvolution, we can identify different signals, such as the decomposition of 2p 3/2 and 2p 1/2. Furthermore, a weak signal at 716 eV can be attributed to shake-ups, and this characteristic of magnetite compounds in the photoelectron spectra as fingerprints. The compounds, such as hematite and maghemite [35], manifest shake-ups more intensely than magnetite [36]. Therefore, the form of the high resolution for Fe 2p corresponds to the magnetite (Fe3O4).
Figure 4.
The XPS spectra of Fe3O4 NPs stabilized with Vg.
3.1.5. VSM
Figure 5 shows the magnetization curves at 10 and 300 K for Fe3O4 NPs. As shown in Figure 5a, NPs showed a typical ferromagnetic behavior with low coercivity at 10 K. However, at 300 K, the NPs show a superparamagnetic behavior due to the lack of a hysteresis loop, coercivity, or remanence (Figure 5b) [37]. It is well known that iron oxide nanoparticles exhibit superparamagnetism when they are smaller than the critical size of the magnetic domain size, behaving as a single magnetic domain [38]. Therefore, the superparamagnetic properties of Fe3O4 NPs are due to the crystallite dimensions, which are in the nanometer size range according to the SEM and XRD results. The saturation magnetization was 63.37 emu/g, smaller than the value corresponding to the bulk magnetite (98 emu g−1). However, it should be noted that the saturation value obtained in Fe3O4 NPs is similar to that of our previously reported coprecipitation-synthesized oleic acid-coated Fe3O4 NPs [39]. The decrease in saturation magnetization may be attributed to factors such as the presence of a non-magnetic layer on the NP surfaces, surface spin disorder zero coercivity, and cation distribution [40].
Figure 5.
Magnetization vs. applied magnetic field at 10 (a) and 300 K (b), ZFC and FC (c), and magnetic response (d) for Fe3O4 NPs.
Magnetic NPs exhibit superparamagnetic or ferromagnetic behavior depending on the measurement temperature [35]. The superparamagnetic behavior of NPs is observed at temperatures above the so-called blocking temperature (TB) and corresponds to a state where the energy barrier to dipole moment rotation is much smaller than the thermal fluctuations within the NPs, allowing rapid random changes in their magnetic moments [36]. Figure 5c shows the zero-field-cooling (ZFC) and field-cooling (FC) curves and temperature-dependent magnetization measurements. Typically, the value of TB corresponds to the point where the ZFC and FC magnetization curves merge. The TB obtained for the present Vg-stabilized Fe3O4 NPs was approximately 168 K, very similar to that reported by other groups for Fe3O4 NPs with a particle size of about 11 nm [41].
Figure 5d shows the magnetic response of Fe3O4 NPs subject to an external magnetic field (magnet). As the magnet approaches, the magnetic moments of NPs align in the same direction as the magnetic field generated by the magnet, so the particles move to get deposited near it. Therefore, the particle size with high magnetization values and the magnetization loss after magnet removal are important characteristics that allow its use for environmental purposes, such as the separation of organic pollutants present in wastewater [42].
3.2. MB Removal from Aqueous Media
3.2.1. Effect of pH on MB Adsorption
Adsorbent dose optimization is required to investigate the interactions of the adsorbate with the adsorbent’s binding sites. Furthermore, an ideal adsorbent should be cost-effective and absorb a more significant amount of adsorbate from a solution with a lower dose at different conditions, such as pH, from wastewater.
The initial solution pH is an important factor that affects MB adsorption. With 0.01 g of Fe3O4 NPs, we investigated how pH affected the adsorption of MB using a magnetic adsorbent in the pH range of 3 to 9. As shown in Figure 6b, the sorption capacity of MB increased as the pH increased from 3 to 5, although it increased somewhat as the pH increased from 7 to 9 from 8.5 to 8.8 mg/g. Electrostatic interactions between dyes and adsorbent surface charges mostly regulate this behavior. As MB is a cationic dye (pKa = 5.85), it becomes protonated in the presence of a methylene blue solution when the pH falls below pKa.
Figure 6.
(a) Effect of pH on the adsorption of MB onto the modified nanoparticles. (b) is the sorption amounts of MB (mg/g) at the equilibrium at different pH. n = 3, adsorbent mass = 0.01 g.
A carboxylic acid can create a carboxylic acid proton (H+) when its carboxyl group is protonated at an acidic pH. The pH of the solution and the acid dissociation constant (pKa) of the carboxylic acid determine the amount of carboxyl group protonated. The majority of the molecules of carboxylic acids will be in their protonated state at pH levels below the pKa and in their deprotonated form at pH levels above the pKa. The adsorbent’s adsorptive capacity is reduced due to the protonated MB’s electrostatic attraction to the carboxyl group present on the NP surfaces due to Vg biomolecules stabilizing the adsorbent in solution.
Another explanation for the observations is that an excess of H+ ions at a lower pH caused the surface of the Fe3O4 to become positively charged. These H+ ions effectively competed with the dye cations and inhibited dye uptake. As a result, the pH value can be used to modify the magnetic adsorbent’s adsorption capability. This behavior can be attributed to the surface of the NPs having additional negative charges, which may improve the electrostatic interaction between the NPs and the cationic dye MB. The remaining batch trials were run at pH 7.0 as nearly constant adsorption was seen between pH 7 and 9 (Figure 6a). Similar results were reported earlier for the effect of pH on the adsorption of MB with biosynthesized copper oxide NPs [43,44]. Jain, Wadhawan, and Mehta [44] used biogenic Fe3O4 NPs synthesized from Syzygium aromaticum (clove) for their use in the removal of methylene blue (MB) dye from aqueous solution. They demonstrated MB absorption on the surface of Fe2O3 enhanced from 41 to 91.8 % when the pH of the solution was increased from 2 to 7, which remained almost constant with higher pH values, similar to our observations.
3.2.2. Effect of Adsorbent Dose on Dye Adsorption
At pH 7.0 and room temperature, the effect of the adsorbent dose on the percentage uptake of MB was tested using 20 mL of 5 mg/L dye solution with varying amounts of Fe3O4 NPs (0.002–0.01 g). The adsorption kinetics of the MB onto Fe3O4 NPs is presented in Figure 7. It can be observed that fast adsorption of the MB occurred within the first five minutes, followed by slow adsorption until the adsorbed MB reached the equilibrium value (qe), with the 0.01 g treatment reaching the qe concentration faster (≈20 min).
Figure 7.
Effect of MB concentration (%) for different Fe3O4 NP adsorbent mass.
Percentage adsorption increased from 56.29% at a mass of 0.002 g to 90.1% at a mass of 0.01 g after 60 min, probably due to the increase of surface area in the adsorbate and higher adsorption sites available, leading to a higher percentage and absorption rate.
However, a further increase in the adsorption time showed no noticeable increase in the adsorption efficiency. This behavior may be due to the formation of a monolayer of dye molecules at the external surface of the nanosystem. In contrast, MB adsorption capacity decreased from 26.1, 17.2, 15.5, and 7.2 mg/g, changing the Fe3O4 NP adsorbent from 0.002, 0.004, 0.005, and 0.01 g, as shown in Figure 8, respectively. This decrease in MB adsorption capacity might be attributed to low availability per unit mass of the biosorbent [25,45]. Thakur and Kumar [43] followed a green approach for the biosynthesis of copper oxide–Aloe vera-based NPs using leaf extract of Aloe barbadensis for the adsorption of MB from wastewater. This study observed similar results for the percent removal after increasing the adsorbent dosage from 0.05 to 0.4 g. Up to 98.89% dye removal was observed with an 11.50 mg/g amount adsorbed.
Figure 8.
Effect of absorbent dose on MB (qe) adsorption and % removal by Fe3O4 NPs.
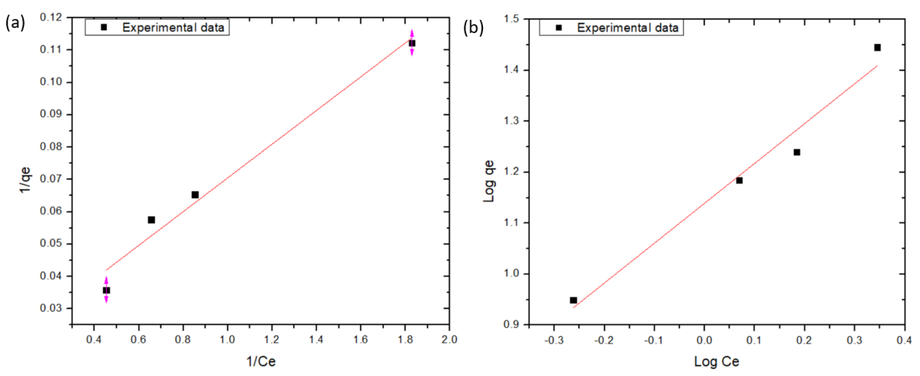
3.3. MB Adsorption Isotherms
Equilibrium isotherm models describe the liquid/solid phase metal ion distribution and are critical for optimizing the adsorbent application. Sorption isotherms can be used to evaluate the sorption capacity of an adsorbent as well as to describe the interaction between adsorbents. The sorption isotherm data were fitted using the Langmuir isotherm model and the Freundlich isotherm model, respectively, to understand the sorption mechanism. The Langmuir isotherm model assumes that sorption is a monolayer, each molecule occupies only one adsorption site, and the adsorbed molecules have no interaction. The Freundlich isotherm model is primarily applied to multilayer sorption but can also be used in physical and chemical adsorption studies [46].
The Langmuir model fitted the adsorption isotherm data better than the Freundlich model, indicating that the sorption process is monolayer sorption, and the adsorbent’s sorption capacity increases with increasing adsorbent concentration (Figure 9). According to the linear Langmuir equation, the adsorption constants for the Langmuir isotherm model parameters, qmax and the Langmuir constant (KL), were calculated as 54.56 mg/g as the adsorption capacity and 0.35 1/mg related to the rate of adsorption, respectively, from the intercept and slope of 1/qe vs. Ce (Table 2). With higher correlation coefficients (R2 = 0.96), the Langmuir model best fits the MB experimental data. The affinity between the sorbent and the sorbate is reflected in the KL. The obtained KL value (0.35) demonstrates a strong binding of MB on Fe3O4 NPs [47]. The separation factor (RL) defines the adsorption favorability. This dimensionless constant can be expressed mathematically by Equation (5). The RL value indicates whether the adsorption process is favorable (0 < RL < 1), unfavorable (RL > 1), irreversible (RL = 0), or linear (RL = 1) [48]. Our study’s RL value (0.36) indicates a favorable adsorption process between the liquid–solid phase.
Figure 9.
(a) Langmuir’s isotherm plots for the sorption of MB and (b) Freundlich’s isotherm plots for the sorption of MB using different Fe3O4 NPs.
Table 2.
Sorption isotherms values for MB adsorption into Fe3O4 adsorbent (n = 3).
According to empirical Equation (6), the Freundlich model for the adsorption isotherm assumes that the adsorbent surface is heterogeneous and that the adsorption capacity relies on the adsorbate concentration. A higher adsorption capacity is indicated by a higher value for the adsorption capacity kf. When the magnitude of 1/n lies between 0 and 1, it indicates favorable adsorption; as its value approaches zero, it indicates increased absorption heterogeneity. The application of the adsorbents and the favorability of the adsorption process with the range of concentration in the studied adsorbent are also predicted by the value of the Freundlich constant 1/n, suggesting a stronger interaction between the adsorbent and the adsorbate [49]. The R2 for the Freundlich model was found to be 0.95 (Table 2), indicating that the Langmuir model was favored over the Freundlich model (R2 = 0.96) for MB adsorption. The Langmuir theory assumes that adsorption occurs at specific sites within the adsorbent [50].
In summary, these results showed that MB adsorption favors the Langmuir model of isotherms onto NP surfaces. This values can be used to compare with other magnetic bioadsorbents synthesized by green approaches. Table 3 shows all the estimated values and Qm values for MB on different adsorbents.
Table 3.
A comparison for the maximum adsorption capacity (qmax) of MB into magnetic bioadsorbents.
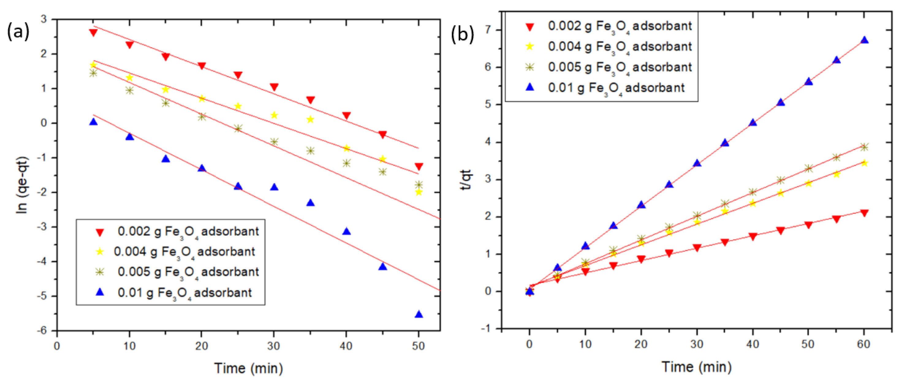
3.4. Kinetics Study of Adsorption
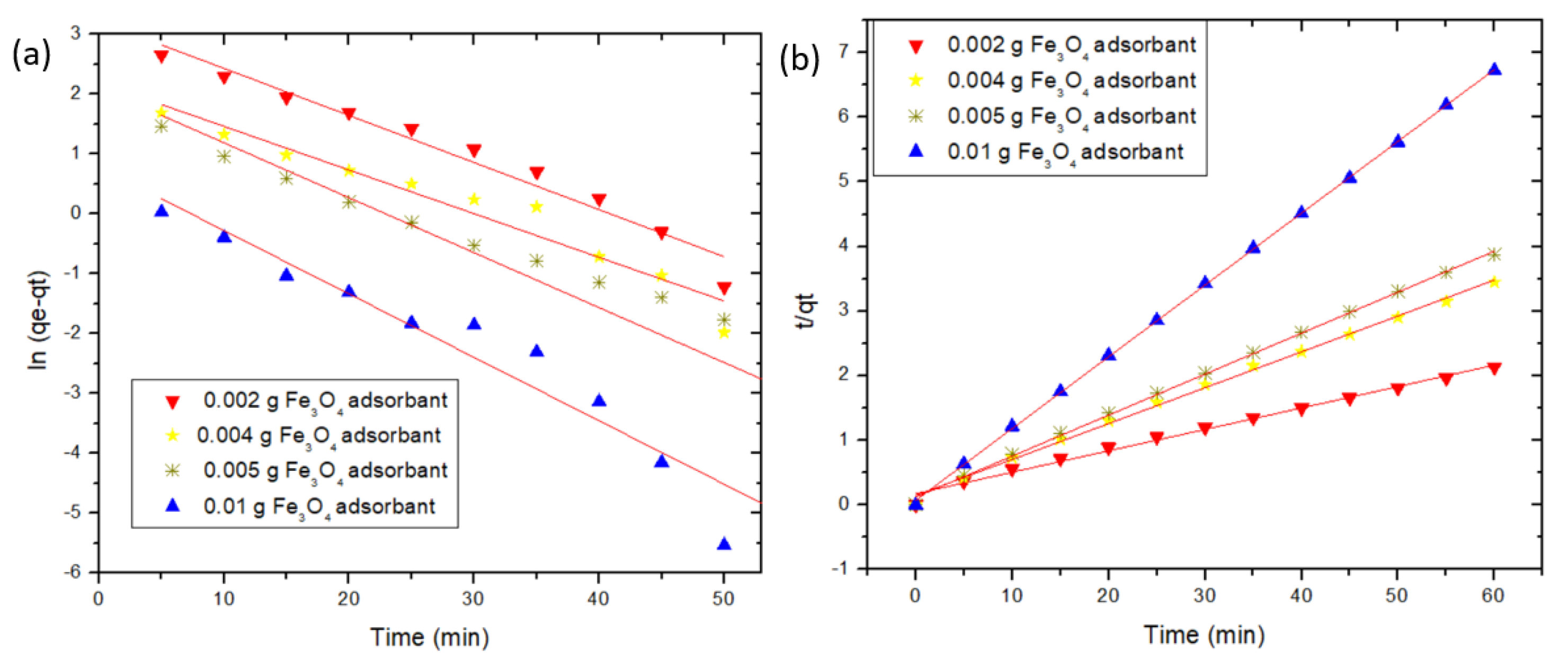
Adsorption kinetics provides valuable information for designing the adsorption process for practical application. Hence, in this study, the adsorption kinetics of MB on synthesized Fe3O4 NPs was conducted at different concentrations of Fe3O4 NP absorbent. Figure 10 shows the adsorption rate of MB onto synthesized Fe3O4 NPs at different initial masses (0.002, 0.004, 0.005, and 0.01 g). As shown in Figure 10, the adsorption process is fast in the first 5 min and gradually reaches equilibrium at the end of 60 min. This fast kinetic behavior indicates that the adsorption process depended upon the available binding sites on the adsorbent for the uptake of MB. The adsorption rate constant (k), which controls the adsorption process onto the Fe3O4 NP adsorbent, was investigated. Experimental kinetic data were plotted using pseudo-first-order (Equation (7)) and pseudo-second-order (Equation (8)) equations to determine the kinetic process of MB sorption.
Figure 10.
(a) Pseudo-first-order kinetic plots for the biosorption of MB onto Fe3O4 adsorbent and (b) pseudo-second-order plots for the biosorption of MB onto Fe3O4 adsorbent.
The first rate constant k1 (min−1) was determined from the slope of the plot of ln (qe-qt) vs. time (Figure 10a). Furthermore, it was obtained that the correlation coefficient values (R2) are 0.96, 0.95, 0.87, and 0.93 for 0.002, 0.004, 0.005, and 0.01 g of absorbent mass, respectively. Moreover, the k1 values increased behavior with increased Fe3O4 NPs mass (1.19 min−1–1.83 min−1) (Table 4). On the other hand, to validate the kinetic adsorption of the MB, the pseudo-second-order kinetic model was also investigated (Figure 10b).
Table 4.
Pseudo-first- and second-order rate constants for MB adsorption at different Fe3O4 NP adsorbent mass.
The slope and intercept of a plot of t/qt vs. t can be used to determine the qe and k2. For all the tested Fe3O4 NP absorbent masses in this plot, the correlation coefficient value (R2) was found to be 0.99. The equilibrium adsorption capacity (qe) experimental values nearly matched the value predicted theoretically (qe2). This result shows that the adsorption process will most likely proceed through the electrostatic interaction of positive MB and the negative surface of synthesized Fe3O4 NPs. This process is known as chemisorption [57]. The adsorption of MB on synthesized Fe3O4 NPs resulted in a pseudo-second-order kinetic model.
3.5. Reusability of the Novel Biosorbent
Adsorption–desorption cycles were performed to validate the reuse of the new adsorbent as it is a crucial factor for wastewater treatment. In this regard, seven cycles of the adsorption–desorption of 5 ppm of MB and 0.01 g/mL of the adsorbent were carried out. The separation of the NPs was carried out using a field magnetic (magnet), while the desorption was carried out with a 5% v/v solution of ethanol and acetic acid. Subsequently, the NPs were washed with deionized water three times and dried at 70 °C for two hours to be used in the next cycle under the same conditions.
Figure 11a shows that the MB removal percentage remains very similar during the seven cycles, obtaining 87% removal in the first cycle and decreasing to 82% in the seventh cycle. In Figure 11b, it is observed how the NPs were reused to eliminate the remaining amount of MB from the same solution after three cycles obtaining, as a result, adsorption of 80% of the pollutant in the first cycle, reaching total adsorption of 93% in the second cycle, and 96% in the third cycle. This result indicates that the new adsorbent is a good candidate for wastewater treatment.
Figure 11.
(a) MB adsorption efficiency after seven adsorption–desorption cycles and (b) cumulative recovery of MB after three cycles.
4. Conclusions
We have provided a straightforward, practical, and affordable method for creating superparamagnetic Fe3O4 NPs using Vg leaf extract. The Fe3O4 NP production and the presence of polyphenolic molecules on the NP surfaces were both confirmed using FTIR spectra. The produced NP SEM pictures revealed their average size of 12.2 nm. The remotion of MB from a simulated textile wastewater industry using magnetic NPs was effective. Due to the magnetic nature (Ms = 63.37 emu/g, coercivity = 0, superparamagnetic), the magnetic nanoabsorbent was easily separable from the aqueous medium after adsorption; therefore, the process was very convenient. These findings demonstrate that MB followed pseudo-second-order kinetics, and the adsorption process was thermodynamically favorable. The MB isotherm adsorption behavior is governed by the pseudo-second-order model and is a Langmuir isotherm, which describes an ionic exchange and chemisorption process between the positive partial charges of MB and Vg compounds stabilizing Fe3O4 NPs. Finally, we can confirm that Fe3O4 NPs synthetized by Vg leaf extract have the potential to remove using specific-site absorption and their reusability capacity, particularly for water remediation containing organic dyes.
Author Contributions
Conceptualization, L.M.-Z., F.C.M.-C. and J.I.; methodology, F.C.M.-C. and J.I.; validation, L.M.-Z., F.C.M.-C., D.E.-B. and J.I.; formal analysis, D.E.-B. and J.I.; investigation L.M.-Z. and F.C.M.-C.; resources, J.I.; writing—original draft preparation, D.E.-B. and J.I.; writing—review and editing, L.M.-Z., F.C.M.-C., F.R.-G., M.M.-G., D.E.-B. and J.I.; visualization, F.R.-G., M.M.-G., D.E.-B. and J.I.; supervision, F.C.M.-C. and J.I.; project administration, J.I.; characterization XRD and VSM of Fe3O4 NPs, H.E.E.-P. All authors have read and agreed to the published version of the manuscript.
Funding
This research received no external funding.
Institutional Review Board Statement
Not applicable.
Informed Consent Statement
Not applicable.
Data Availability Statement
Data sharing not applicable.
Acknowledgments
The authors acknowledge the helpful assistance from the Nanotechnology Laboratories of Universidad de Sonora, URC, for providing materials and instruments for characterization of nanomaterials. L.M.-Z. and F.C.M.C. acknowledge support from CONACyT through a scholarship to pursue PhD studies. C.R. Santillan-Rodriguez for his support in characterization techniques.
Conflicts of Interest
The authors declare no conflict of interest.
References
- Boretti, A.; Rosa, L. Reassessing the projections of the world water development report. NPJ Clean Water 2019, 2, 1–6. [Google Scholar] [CrossRef]
- Palansooriya, K.N.; Yang, Y.; Tsang, Y.F.; Sarkar, B.; Hou, D.; Cao, X.; Meers, E.; Rinklebe, J.; Kim, K.-H.; Ok, Y.S. Occurrence of contaminants in drinking water sources and the potential of biochar for water quality improvement: A review. Crit. Rev. Environ. Sci. Technol. 2020, 50, 549–611. [Google Scholar] [CrossRef]
- Chen, L.; Wang, L.; Wu, X.; Ding, X. A process-level water conservation and pollution control performance evaluation tool of cleaner production technology in textile industry. J. Clean. Prod. 2017, 143, 1137–1143. [Google Scholar] [CrossRef]
- Ferrero, F. Adsorption of Methylene Blue on magnesium silicate: Kinetics, equilibria and comparison with other adsorbents. J. Environ. Sci. 2010, 22, 467–473. [Google Scholar] [CrossRef] [PubMed]
- Piaskowski, K.; Świderska-Dąbrowska, R.; Zarzycki, P.K. Dye removal from water and wastewater using various physical, chemical, and biological processes. J. AOAC Int. 2018, 101, 1371–1384. [Google Scholar] [CrossRef]
- Singh, A.; Pal, D.B.; Mohammad, A.; Alhazmi, A.; Haque, S.; Yoon, T.; Srivastava, N.; Gupta, V.K. Biological remediation technologies for dyes and heavy metals in wastewater treatment: New insight. Bioresour. Technol. 2022, 343, 126154. [Google Scholar] [CrossRef] [PubMed]
- Huang, J.; Cao, Y.; Liu, Z.; Deng, Z.; Wang, W. Application of titanate nanoflowers for dye removal: A comparative study with titanate nanotubes and nanowires. Chem. Eng. J. 2012, 191, 38–44. [Google Scholar] [CrossRef]
- Guo, Y.; Qi, P.; Liu, Y. A review on advanced treatment of pharmaceutical wastewater. In IOP Conference Series: Earth and Environmental Science; IOP Publishing: Bristol, UK, 2017; p. 012025. [Google Scholar]
- Crini, G.; Lichtfouse, E.; Wilson, L.D.; Morin-Crini, N. Conventional and non-conventional adsorbents for wastewater treatment. Environ. Chem. Lett. 2019, 17, 195–213. [Google Scholar] [CrossRef]
- Ramesh, A.; Rama Devi, D.; Mohan Botsa, S.; Basavaiah, K. Facile green synthesis of Fe3O4 nanoparticles using aqueous leaf extract of Zanthoxylum armatum DC. for efficient adsorption of methylene blue. J. Asian Ceram. Soc. 2018, 6, 145–155. [Google Scholar] [CrossRef]
- Jan, H.; Gul, R.; Andleeb, A.; Ullah, S.; Shah, M.; Khanum, M.; Ullah, I.; Hano, C.; Abbasi, B.H. A detailed review on biosynthesis of platinum nanoparticles (PtNPs), their potential antimicrobial and biomedical applications. J. Saudi Chem. Soc. 2021, 25, 101297. [Google Scholar] [CrossRef]
- Salari, M.; Hosseini, H. Application of nanoparticle technology in water and wastewater treatment (overview). Adv. Appl. NanoBio-Technol. 2021, 2, 86–92. [Google Scholar]
- Abid, M.A.; Abid, D.A.; Aziz, W.J.; Rashid, T.M. Iron oxide nanoparticles synthesized using garlic and onion peel extracts rapidly degrade methylene blue dye. Phys. B Condens. Matter 2021, 622, 413277. [Google Scholar] [CrossRef]
- Gutierrez, A.M.; Dziubla, T.D.; Hilt, J.Z. Recent advances on iron oxide magnetic nanoparticles as sorbents of organic pollutants in water and wastewater treatment. Rev. Environ. Health 2017, 32, 111–117. [Google Scholar] [CrossRef] [PubMed]
- Nasseh, N.; Barikbin, B.; Taghavi, L.; Nasseri, M.A. Adsorption of metronidazole antibiotic using a new magnetic nanocomposite from simulated wastewater (isotherm, kinetic and thermodynamic studies). Compos. Part B Eng. 2019, 159, 146–156. [Google Scholar] [CrossRef]
- Shen, Y.; Tang, J.; Nie, Z.; Wang, Y.; Ren, Y.; Zuo, L. Preparation and application of magnetic Fe3O4 nanoparticles for wastewater purification. Sep. Purif. Technol. 2009, 68, 312–319. [Google Scholar] [CrossRef]
- Venkateswarlu, S.; Rao, Y.S.; Balaji, T.; Prathima, B.; Jyothi, N. Biogenic synthesis of Fe3O4 magnetic nanoparticles using plantain peel extract. Mater. Lett. 2013, 100, 241–244. [Google Scholar] [CrossRef]
- Velsankar, K.; Parvathy, G.; Mohandoss, S.; Krishna Kumar, M.; Sudhahar, S. Celosia argentea leaf extract-mediated green synthesized iron oxide nanoparticles for bio-applications. J. Nanostructure Chem. 2022, 12, 625–640. [Google Scholar] [CrossRef]
- Abbasi, B.A.; Iqbal, J.; Zahra, S.A.; Shahbaz, A.; Kanwal, S.; Rabbani, A.; Mahmood, T. Bioinspired synthesis and activity characterization of iron oxide nanoparticles made using Rhamnus Triquetra leaf extract. Mater. Res. Express 2020, 6, 1250e7. [Google Scholar] [CrossRef]
- Abdullah, J.A.A.; Eddine, L.S.; Abderrhmane, B.; Alonso-González, M.; Guerrero, A.; Romero, A. Green synthesis and characterization of iron oxide nanoparticles by pheonix dactylifera leaf extract and evaluation of their antioxidant activity. Sustain. Chem. Pharm. 2020, 17, 100280. [Google Scholar] [CrossRef]
- Moran-Palacio, E.F.; Zamora-Álvarez, L.A.; Stephens-Camacho, N.A.; Yáñez-Farías, G.A.; Virgen-Ortiz, A.; Martínez-Cruz, O.; Rosas-Rodríguez, J.A. Antioxidant capacity, radical scavenging kinetics and phenolic profile of methanol extracts of wild plants of Southern Sonora, Mexico. Trop. J. Pharm. Res. 2014, 13, 1487–1493. [Google Scholar] [CrossRef]
- Omelyanchik, A.; Kamzin, A.; Valiullin, A.; Semenov, V.; Vereshchagin, S.; Volochaev, M.; Dubrovskiy, A.; Sviridova, T.; Kozenkov, I.; Dolan, E. Iron oxide nanoparticles synthesized by a glycine-modified coprecipitation method: Structure and magnetic properties. Colloids Surf. A Physicochem. Eng. Asp. 2022, 647, 129090. [Google Scholar] [CrossRef]
- Patterson, A. The Scherrer formula for X-ray particle size determination. Phys. Rev. 1939, 56, 978. [Google Scholar] [CrossRef]
- Joshi, S.; Garg, V.; Kataria, N.; Kadirvelu, K. Applications of Fe3O4@ AC nanoparticles for dye removal from simulated wastewater. Chemosphere 2019, 236, 124280. [Google Scholar] [CrossRef]
- Ayub, A.; Raza, Z.A.; Majeed, M.I.; Tariq, M.R.; Irfan, A. Development of sustainable magnetic chitosan biosorbent beads for kinetic remediation of arsenic contaminated water. Int. J. Biol. Macromol. 2020, 163, 603–617. [Google Scholar] [CrossRef] [PubMed]
- Ho, Y.-S.; McKay, G. Pseudo-second order model for sorption processes. Process Biochem. 1999, 34, 451–465. [Google Scholar] [CrossRef]
- Boukhalfa, N.; Boutahala, M.; Djebri, N.; Idris, A. Kinetics, thermodynamics, equilibrium isotherms, and reusability studies of cationic dye adsorption by magnetic alginate/oxidized multiwalled carbon nanotubes composites. Int. J. Biol. Macromol. 2019, 123, 539–548. [Google Scholar] [CrossRef]
- Prasad, A.R.; Joseph, A. Synthesis, characterization and investigation of methyl orange dye removal from aqueous solutions using waterborne poly vinyl pyrrolidone (PVP) stabilized poly aniline (PANI) core–shell nanoparticles. RSC Adv. 2017, 7, 20960–20968. [Google Scholar] [CrossRef]
- Vasantharaj, S.; Sathiyavimal, S.; Senthilkumar, P.; LewisOscar, F.; Pugazhendhi, A. Biosynthesis of iron oxide nanoparticles using leaf extract of Ruellia tuberosa: Antimicrobial properties and their applications in photocatalytic degradation. J. Photochem. Photobiol. B Biol. 2019, 192, 74–82. [Google Scholar] [CrossRef]
- Cornell, R.M.; Schwertmann, U. The Iron Oxides: Structure, Properties, Reactions, Occurrences, and Uses; Wiley-VCH: Weinheim, Germany, 2003; Volume 664. [Google Scholar]
- Jaiswal, V. Culture and ethnobotany of Jaintia tribal community of Meghalaya, Northeast India-A mini review. Indian J. Tradit. Knowl. 2010, 9, 38–44. [Google Scholar]
- Yazid, N.A.; Joon, Y.C. Co-precipitation synthesis of magnetic nanoparticles for efficient removal of heavy metal from synthetic wastewater. In AIP Conference Proceedings; AIP Publishing LLC: Long Island, NY, USA, 2019; p. 020019. [Google Scholar]
- Gossuin, Y.; Gillis, P.; Hocq, A.; Vuong, Q.L.; Roch, A. Magnetic resonance relaxation properties of superparamagnetic particles. Wiley Interdiscip. Rev. Nanomed. Nanobiotechnol. 2009, 1, 299–310. [Google Scholar] [CrossRef]
- Maity, D.; Kale, S.; Kaul-Ghanekar, R.; Xue, J.-M.; Ding, J. Studies of magnetite nanoparticles synthesized by thermal decomposition of iron (III) acetylacetonate in tri (ethylene glycol). J. Magn. Magn. Mater. 2009, 321, 3093–3098. [Google Scholar] [CrossRef]
- Ai, Q.; Yuan, Z.; Huang, R.; Yang, C.; Jiang, G.; Xiong, J.; Huang, Z.; Yuan, S. One-pot co-precipitation synthesis of Fe3O4 nanoparticles embedded in 3D carbonaceous matrix as anode for lithium ion batteries. J. Mater. Sci. 2019, 54, 4212–4224. [Google Scholar] [CrossRef]
- Finck, N.; Radulescu, L.; Schild, D.; Rothmeier, M.; Huber, F.; Lützenkirchen, J.; Rabung, T.; Heberling, F.; Schlegel, M.; Dideriksen, K. XAS signatures of Am (III) adsorbed onto magnetite and maghemite. J. Phys. Conf. Ser. 2016, 712, 012085. [Google Scholar] [CrossRef]
- Maldonado-Camargo, L.; Unni, M.; Rinaldi, C. Magnetic characterization of iron oxide nanoparticles for biomedical applications. In Biomedical Nanotechnology; Springer: Berlin/Heidelberg, Germany, 2017; pp. 47–71. [Google Scholar]
- Ganesan, V.; Lahiri, B.; Louis, C.; Philip, J.; Damodaran, S.P. Size-controlled synthesis of superparamagnetic magnetite nanoclusters for heat generation in an alternating magnetic field. J. Mol. Liq. 2019, 281, 315–323. [Google Scholar] [CrossRef]
- Ibarra, J.; Encinas, D.; Blanco, M.; Barbosa, S.; Taboada, P.; Juárez, J.; Valdez, M.A. Co-encapsulation of magnetic nanoparticles and cisplatin within biocompatible polymers as multifunctional nanoplatforms: Synthesis, characterization, and in vitro assays. Mater. Res. Express 2018, 5, 015023. [Google Scholar] [CrossRef]
- Elizondo-Villarreal, N.; Verástegui-Domínguez, L.; Rodríguez-Batista, R.; Gándara-Martínez, E.; Alcorta-García, A.; Martínez-Delgado, D.; Rodríguez-Castellanos, E.A.; Vázquez-Rodríguez, F.; Gómez-Rodríguez, C. Green Synthesis of Magnetic Nanoparticles of Iron Oxide Using Aqueous Extracts of Lemon Peel Waste and Its Application in Anti-Corrosive Coatings. Materials 2022, 15, 8328. [Google Scholar] [CrossRef]
- Chesnel, K.; Trevino, M.; Cai, Y.; Hancock, J.; Smith, S.; Harrison, R. Particle size effects on the magnetic behaviour of 5 to 11 nm Fe3O4 nanoparticles coated with oleic acid. In Journal of Physics: Conference Series; IOP Publishing: Bristol, UK, 2014; p. 012004. [Google Scholar]
- Kobylinska, N.; Klymchuk, D.; Khaynakova, O.; Duplij, V.; Matvieieva, N. Morphology-Controlled Green Synthesis of Magnetic Nanoparticles Using Extracts of ‘Hairy’Roots: Environmental Application and Toxicity Evaluation. Nanomaterials 2022, 12, 4231. [Google Scholar] [CrossRef]
- Thakur, P.; Kumar, V. Kinetics and thermodynamic studies for removal of methylene blue dye by biosynthesize copper oxide nanoparticles and its antibacterial activity. J. Environ. Health Sci. Eng. 2019, 17, 367–376. [Google Scholar]
- Jain, A.; Wadhawan, S.; Mehta, S. Biogenic synthesis of non-toxic iron oxide NPs via Syzygium aromaticum for the removal of methylene blue. Environ. Nanotechnol. Monit. Manag. 2021, 16, 100464. [Google Scholar] [CrossRef]
- Sadare, O.O.; Ayeni, A.O.; Daramola, M.O. Evaluation of adsorption and kinetics of neem leaf powder (Azadirachta indica) as a bio-sorbent for desulfurization of dibenzothiophene (DBT) from synthetic diesel. J. Saudi Chem. Soc. 2022, 26, 101433. [Google Scholar] [CrossRef]
- Majd, M.M.; Kordzadeh-Kermani, V.; Ghalandari, V.; Askari, A.; Sillanpää, M. Adsorption isotherm models: A comprehensive and systematic review (2010−2020). Sci. Total Environ. 2021, 812, 151334. [Google Scholar] [CrossRef] [PubMed]
- Muthukumaran, C.; Sivakumar, V.M.; Thirumarimurugan, M. Adsorption isotherms and kinetic studies of crystal violet dye removal from aqueous solution using surfactant modified magnetic nanoadsorbent. J. Taiwan Inst. Chem. Eng. 2016, 63, 354–362. [Google Scholar] [CrossRef]
- Zhou, Y.-T.; Nie, H.-L.; Branford-White, C.; He, Z.-Y.; Zhu, L.-M. Removal of Cu2+ from aqueous solution by chitosan-coated magnetic nanoparticles modified with α-ketoglutaric acid. J. Colloid Interface Sci. 2009, 330, 29–37. [Google Scholar] [CrossRef] [PubMed]
- Anah, L.; Astrini, N. Isotherm adsorption studies of Ni (II) ion removal from aqueous solutions by modified carboxymethyl cellulose hydrogel. IOP Conf. Ser. Earth Environ. Sci. 2018, 160, 012017. [Google Scholar] [CrossRef]
- Rajabi, H.R.; Arjmand, H.; Hoseini, S.J.; Nasrabadi, H. Surface modified magnetic nanoparticles as efficient and green sorbents: Synthesis, characterization, and application for the removal of anionic dye. J. Magn. Magn. Mater. 2015, 394, 7–13. [Google Scholar] [CrossRef]
- Sharma, A.; Mangla, D.; Choudhry, A.; Sajid, M.; Chaudhry, S.A. Facile synthesis, physico-chemical studies of Ocimum sanctum magnetic nanocomposite and its adsorptive application against Methylene blue. J. Mol. Liq. 2022, 362, 119752. [Google Scholar] [CrossRef]
- Khairy, G.M.; Hesham, A.M.; Jahin, H.E.S.; El-Korashy, S.A.; Awad, Y.M. Green synthesis of a novel eco-friendly hydrochar from Pomegranate peels loaded with iron nanoparticles for the removal of copper ions and methylene blue from aqueous solutions. J. Mol. Liq. 2022, 368, 120722. [Google Scholar] [CrossRef]
- Zenebe, A.; Yimer, A.M.; Kuzhunellil, S.; Demissie, H. Green synthesis of magnetic nanocomposite by Cordia Africana (CA) leave extract for the treatment of Methylene blue contaminated water. Chem. Eng. J. Adv. 2021, 8, 100193. [Google Scholar] [CrossRef]
- Sahu, N.; Rawat, S.; Singh, J.; Karri, R.R.; Lee, S.; Choi, J.-S.; Koduru, J.R. Process optimization and modeling of methylene blue adsorption using zero-valent iron nanoparticles synthesized from sweet lime pulp. Appl. Sci. 2019, 9, 5112. [Google Scholar] [CrossRef]
- Abdelfatah, A.M.; Fawzy, M.; Eltaweil, A.S.; El-Khouly, M.E. Green synthesis of nano-zero-valent iron using ricinus communis seeds extract: Characterization and application in the treatment of methylene blue-polluted water. ACS Omega 2021, 6, 25397–25411. [Google Scholar] [CrossRef]
- Wang, H.; Jia, S.; Wang, H.; Li, B.; Liu, W.; Li, N.; Qiao, J.; Li, C.-Z. A novel-green adsorbent based on betaine-modified magnetic nanoparticles for removal of methyl blue. Sci. Bull. 2017, 62, 319–325. [Google Scholar] [CrossRef] [PubMed]
- Rathi, B.S.; Kumar, P.S. Application of adsorption process for effective removal of emerging contaminants from water and wastewater. Environ. Pollut. 2021, 280, 116995. [Google Scholar] [CrossRef] [PubMed]
Disclaimer/Publisher’s Note: The statements, opinions and data contained in all publications are solely those of the individual author(s) and contributor(s) and not of MDPI and/or the editor(s). MDPI and/or the editor(s) disclaim responsibility for any injury to people or property resulting from any ideas, methods, instructions or products referred to in the content. |
© 2023 by the authors. Licensee MDPI, Basel, Switzerland. This article is an open access article distributed under the terms and conditions of the Creative Commons Attribution (CC BY) license (https://creativecommons.org/licenses/by/4.0/).










