Optimal Fertilization Strategies for Winter Wheat Based on Yield Increase and Nitrogen Reduction on the North China Plain
Abstract
1. Introduction
2. Materials and Methods
2.1. Experimental Site
2.2. Experimental Design
2.3. Sampling and Measurements
2.4. Environmental Cost and Economic Benefit Calculation
2.5. Statistical Analysis
3. Results
3.1. Yield
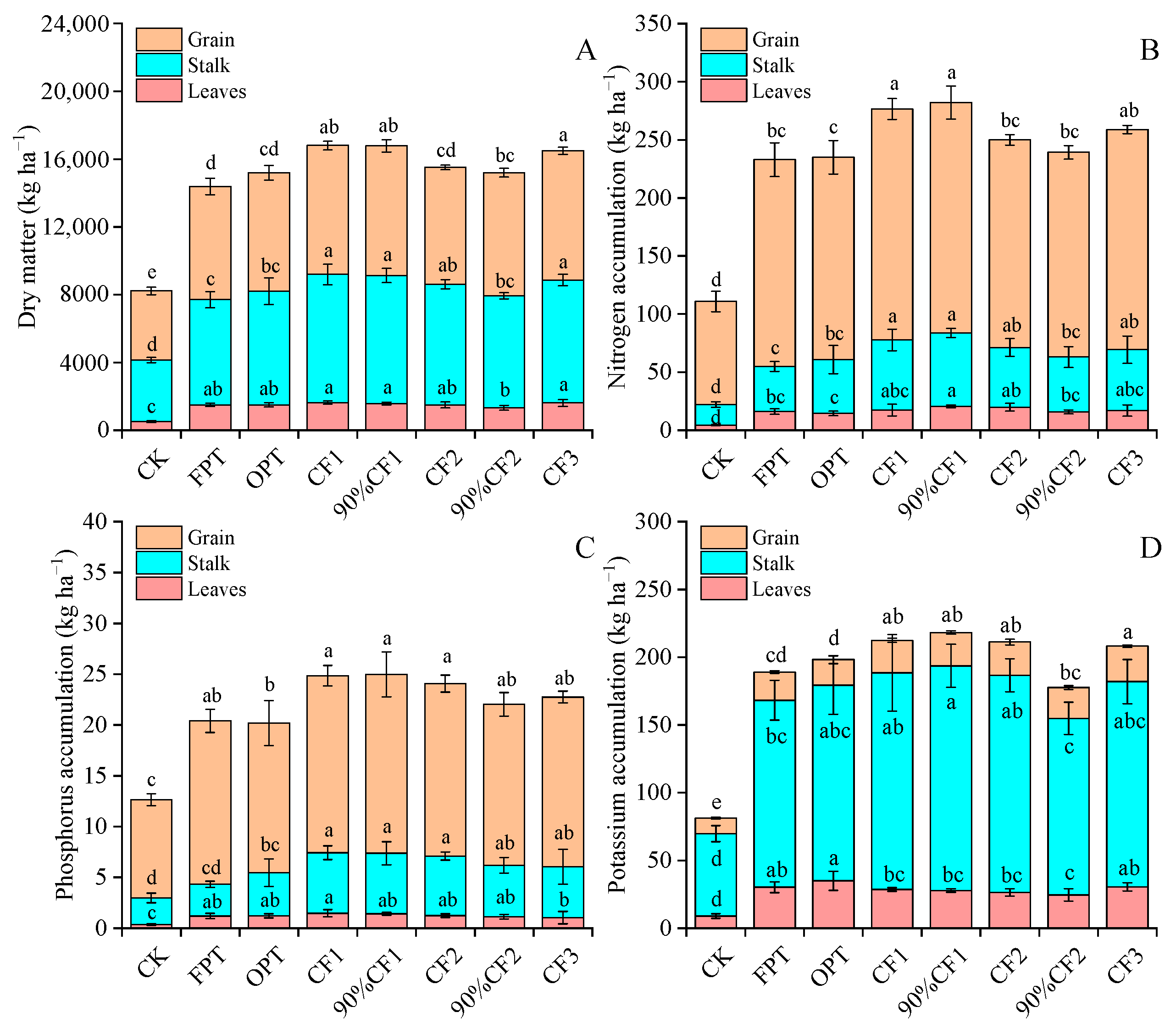
3.2. Nutrient Accumulation and Use Efficiency
3.3. Economic Benefit and Reactive Nitrogen Loss
4. Discussion
4.1. Yield Components
4.2. The Different Fertilization Strategies Affect Nutrient Accumulation and Utilization
4.3. The Different Fertilization Strategies Affect Active Nitrogen Loss
5. Conclusions
Supplementary Materials
Author Contributions
Funding
Institutional Review Board Statement
Informed Consent Statement
Data Availability Statement
Conflicts of Interest
References
- King, T.; Cole, M.; Farber, J.M.; Eisenbrand, G.; Zabaras, D.; Fox, E.M.; Hill, J.P. Food safety for food security: Relationship between global megatrends and developments in food safety. Trends Food Sci. Technol. 2017, 68, 160–175. [Google Scholar] [CrossRef]
- Jiao, X.; Lyu, Y.; Wu, X.; Li, H.; Cheng, L.; Zhang, C.; Yuan, L.; Jiang, R.; Jiang, B.; Rengel, Z.; et al. Grain production versus resource and environmental costs: Towards increasing sustainability of nutrient use in China. J. Exp. Bot. 2016, 67, 4935–4949. [Google Scholar] [CrossRef] [PubMed]
- Elser, J.J.; Elser, T.J.; Carpenter, S.R.; Brock, W.A. Regime shift in fertilizer commodities indicates more turbulence ahead for food security. PLoS ONE 2014, 9, e93998. [Google Scholar] [CrossRef] [PubMed]
- Tilman, D.; Cassman, K.G.; Matson, P.A.; Naylor, R.; Polasky, S. Agricultural sustainability and intensive production practices. Nature 2002, 418, 671–677. [Google Scholar] [CrossRef]
- Cui, Z.; Dou, Z.; Chen, X.; Ju, X.; Zhang, F. Managing Agricultural Nutrients for Food Security in China: Past, Present, and Future. Agron. J. 2014, 106, 191–198. [Google Scholar] [CrossRef]
- Losacco, D.; Ancona, V.; De Paola, D.; Tumolo, M.; Massarelli, C.; Gatto, A.; Uricchio, V.F. Development of Ecological Strategies for the Recovery of the Main Nitrogen Agricultural Pollutants: A Review on Environmental Sustainability in Agroecosystems. Sustainability 2021, 13, 7163. [Google Scholar] [CrossRef]
- Wang, Y.; Lu, Y. Evaluating the potential health and economic effects of nitrogen fertilizer application in grain production systems of China. J. Clean. Prod. 2020, 264, 121635. [Google Scholar] [CrossRef]
- Ju, X.; Gu, B.; Wu, Y.; Galloway, J.N. Reducing China’s fertilizer use by increasing farm size. Glob. Environ. Chang. 2016, 41, 26–32. [Google Scholar] [CrossRef]
- National Bureau of Statistics of China (NBSC). Available online: http://www.stats.gov.cn/ (accessed on 9 March 2022).
- Ju, X.; Xing, G.; Chen, X.; Zhang, S.; Zhang, L.; Liu, X.; Cui, Z.; Yin, B.; Christie, P.; Zhu, Z.; et al. Reducing environmental risk by improving N management in intensive Chinese agricultural systems. Proc. Natl. Acad. Sci. USA 2009, 106, 3041–3046. [Google Scholar] [CrossRef]
- Liu, H.; Wang, Z.; Yu, R.; Li, F.; Li, K.; Cao, H.; Yang, N.; Li, M.; Dai, J.; Zan, Y.; et al. Optimal nitrogen input for higher efficiency and lower environmental impacts of winter wheat production in China. Agric. Ecosyst. Environ. 2016, 224, 1–11. [Google Scholar] [CrossRef]
- Li, Q.; Han, Y.; Deng, S.; Li, G.; Zhang, Z. High yield of typical wheat-maize rotation in north Henan Plain analysis on potential of regional fertilizer saving. J. Triticeae Crop. 2018, 38, 1216–1221. [Google Scholar]
- Ma, J.; He, P.; Xu, X.; He, W.; Liu, Y.; Yang, F.; Chen, F.; Li, S.; Tu, S.; Jin, J.; et al. Temporal and spatial changes in soil available phosphorus in China (1990–2012). Field Crops Res. 2016, 192, 13–20. [Google Scholar] [CrossRef]
- Cui, Z.; Zhang, H.; Chen, X.; Zhang, C.; Ma, W.; Huang, C.; Zhang, W.; Mi, G.; Miao, Y.; Li, X.; et al. Pursuing sustainable productivity with millions of smallholder farmers. Nature 2018, 555, 363–366. [Google Scholar] [CrossRef] [PubMed]
- Yang, X.; Lu, Y.; Ding, Y.; Yin, X.; Raza, S.; Tong, Y.A. Optimising nitrogen fertilisation: A key to improving nitrogen-use efficiency and minimising nitrate leaching losses in an intensive wheat/maize rotation (2008–2014). Field Crops Res. 2017, 206, 1–10. [Google Scholar] [CrossRef]
- Li, Z.; Cui, S.; Zhang, Q.; Xu, G.; Feng, Q.; Chen, C.; Li, Y. Optimizing Wheat Yield, Water, and Nitrogen Use Efficiency With Water and Nitrogen Inputs in China: A Synthesis and Life Cycle Assessment. Front. Plant Sci. 2022, 13, 930484. [Google Scholar] [CrossRef] [PubMed]
- Xu, X.; He, P.; Chuan, L.; Liu, X.; Liu, Y.; Zhang, J.; Huang, X.; Qiu, S.; Zhao, S.; Zhou, W. Regional distribution of wheat yield and chemical fertilizer requirements in China. J. Integr. Agric. 2021, 20, 2772–2780. [Google Scholar] [CrossRef]
- Chuan, L.; He, P.; Pampolino, M.F.; Johnston, A.M.; Jin, J.; Xu, X.; Zhao, S.; Qiu, S.; Zhou, W. Establishing a scientific basis for fertilizer recommendations for wheat in China: Yield response and agronomic efficiency. Field Crops Res. 2013, 140, 1–8. [Google Scholar] [CrossRef]
- Ravier, C.; Meynard, J.M.; Cohan, J.P.; Gate, P.; Jeuffroy, M.H. Early nitrogen deficiencies favor high yield, grain protein content and N use efficiency in wheat. Eur. J. Agron. 2017, 89, 16–24. [Google Scholar] [CrossRef]
- Lu, D.; Yue, S.; Lu, F.; Cui, Z.; Liu, Z.; Zou, C.; Chen, X. Integrated crop-N system management to establish high wheat yield population. Field Crops Res. 2016, 191, 66–74. [Google Scholar] [CrossRef]
- Zhao, X.; AN, Z.; Chen, M.; Wang, C.; Guo, X.; Cui, Z. Analysis on yield difference and limiting factors of winter wheat in Quzhou county. J. Triticeae Crop. 2019, 39, 1368–1376. [Google Scholar]
- Duan, J.; Shao, Y.; He, L.; Li, X.; Hou, G.; Li, S.; Feng, W.; Zhu, Y.; Wang, Y.; Xie, Y. Optimizing nitrogen management to achieve high yield, high nitrogen efficiency and low nitrogen emission in winter wheat. Sci. Total Environ. 2019, 697, 134088. [Google Scholar] [CrossRef] [PubMed]
- Khan, A.; Lu, G.; Ayaz, M.; Zhang, H.; Wang, R.; Lv, F.; Yang, X.; Sun, B.; Zhang, S. Phosphorus efficiency, soil phosphorus dynamics and critical phosphorus level under long-term fertilization for single and double cropping systems. Agric. Ecosyst. Environ. 2018, 256, 1–11. [Google Scholar] [CrossRef]
- Chen, X.X.; Zhang, W.; Liang, X.Y.; Liu, Y.M.; Xu, S.J.; Zhao, Q.Y.; Du, Y.F.; Zhang, L.; Chen, X.P.; Zou, C.Q. Physiological and developmental traits associated with the grain yield of winter wheat as affected by phosphorus fertilizer management. Sci. Rep. 2019, 9, 16580. [Google Scholar] [CrossRef] [PubMed]
- Lu, D.; Li, C.; Sokolwski, E.; Magen, H.; Chen, X.; Wang, H.; Zhou, J. Crop yield and soil available potassium changes as affected by potassium rate in rice–wheat systems. Field Crops Res. 2017, 214, 38–44. [Google Scholar] [CrossRef]
- Yang, W.; Gong, T.; Wang, J.; Li, G.; Liu, Y.; Zhen, J.; Ning, M.; Yue, D.; Du, Z.; Chen, G. Effects of Compound Microbial Fertilizer on Soil Characteristics and Yield of Wheat (Triticum aestivum L.). J. Soil Sci. Plant Nutr. 2020, 20, 2740–2748. [Google Scholar] [CrossRef]
- Shi, R.; Liu, Z.; Li, Y.; Jiang, T.; Xu, M.; Li, J.; Xu, R. Mechanisms for increasing soil resistance to acidification by long-term manure application. Soil Tillage Res. 2019, 185, 77–84. [Google Scholar] [CrossRef]
- Mao, X.; Yang, Y.; Guan, P.; Geng, L.; Ma, L.; Di, H.; Liu, W.; Li, B. Remediation of organic amendments on soil salinization: Focusing on the relationship between soil salts and microbial communities. Ecotoxicol. Environ. Saf. 2022, 239, 113616. [Google Scholar] [CrossRef]
- Zheng, W.; Liu, Z.; Zhang, M.; Shi, Y.; Zhu, Q.; Sun, Y.; Zhou, H.; Li, C.; Yang, Y.; Geng, J. Improving crop yields, nitrogen use efficiencies, and profits by using mixtures of coated controlled-released and uncoated urea in a wheat-maize system. Field Crops Res. 2017, 205, 106–115. [Google Scholar] [CrossRef]
- Liu, Z.; Wang, S. Detecting Changes of Wheat Vegetative Growth and Their Response to Climate Change Over the North China Plain. IEEE J. Sel. Top. Appl. Earth Obs. Remote Sens. 2018, 11, 4630–4636. [Google Scholar] [CrossRef]
- Tang, Q.; Zhang, C. Data Processing System (DPS) software with experimental design, statistical analysis and data mining developed for use in entomological research. Insect Sci. 2013, 20, 254–260. [Google Scholar] [CrossRef]
- Cui, Z.; Zhang, F.; Chen, X.; Dou, Z.; Li, J. In-season nitrogen management strategy for winter wheat: Maximizing yields, minimizing environmental impact in an over-fertilization context. Field Crops Res. 2010, 116, 140–146. [Google Scholar] [CrossRef]
- Zhang, J.; He, P.; Xu, X.; Ding, W.; Ullah, S.; Wang, Y.; Jia, L.; Cui, R.; Wang, H.; Zhou, W. Nutrient Expert Improves Nitrogen Efficiency and Environmental Benefits for Winter Wheat in China. Agron. J. 2018, 110, 696–706. [Google Scholar] [CrossRef]
- Chen, Y.; Zhang, Z.; Tao, F.; Wang, P.; Wei, X. Spatio-temporal patterns of winter wheat yield potential and yield gap during the past three decades in North China. Field Crops Res. 2017, 206, 11–20. [Google Scholar] [CrossRef]
- Fan, M.; Shen, J.; Yuan, L.; Jiang, R.; Chen, X.; Davies, W.J.; Zhang, F. Improving crop productivity and resource use efficiency to ensure food security and environmental quality in China. J. Exp. Bot. 2012, 63, 13–24. [Google Scholar] [CrossRef]
- Lu, D.; Lu, F.; Yan, P.; Cui, Z.; Chen, X. Elucidating population establishment associated with N management and cultivars for wheat production in China. Field Crops Res. 2014, 163, 81–89. [Google Scholar] [CrossRef]
- Miralles, D.J.; Richards, R.A.; Slafer, G.A. Duration of the stem elongation period influences the number of fertile florets in wheat and barley. Funct. Plant Biol. 2000, 27, 931–940. [Google Scholar] [CrossRef]
- Peltonen-Sainio, P.; Kangas, A.; Salo, Y.; Jauhiainen, L. Grain number dominates grain weight in temperate cereal yield determination: Evidence based on 30 years of multi-location trials. Field Crops Res. 2007, 100, 179–188. [Google Scholar] [CrossRef]
- Simane, B.; Peacock, J.M.; Struik, P.C. Differences in developmental plasticity and growth rate among drought-resistant and susceptible cultivars of durum wheat (Triticum turgidum L. var. durum). Plant Soil 1993, 157, 155–166. [Google Scholar] [CrossRef]
- Duan, J.; Wu, Y.; Zhou, Y.; Ren, X.; Shao, Y.; Feng, W.; Zhu, Y.; Wang, Y.; Guo, T. Grain number responses to pre-anthesis dry matter and nitrogen in improving wheat yield in the Huang-Huai Plain. Sci. Rep. 2018, 8, 7126. [Google Scholar] [CrossRef]
- Yin, X.; Struik, P.C.; Kropff, M.J. Role of crop physiology in predicting gene-to-phenotype relationships. Trends Plant Sci. 2004, 9, 426–432. [Google Scholar] [CrossRef] [PubMed]
- Kong, L.; Xie, Y.; Hu, L.; Feng, B.; Li, S. Remobilization of vegetative nitrogen to developing grain in wheat (Triticum aestivum L.). Field Crops Res. 2016, 196, 134–144. [Google Scholar] [CrossRef]
- Tian, Z.; Liu, X.; Gu, S.; Yu, J.; Zhang, L.; Zhang, W.; Jiang, D.; Cao, W.; Dai, T. Postponed and reduced basal nitrogen application improves nitrogen use efficiency and plant growth of winter wheat. J. Integr. Agric. 2018, 17, 2648–2661. [Google Scholar] [CrossRef]
- Peng, Y.; Niu, J.; Peng, Z.; Zhang, F.; Li, C. Shoot growth potential drives N uptake in maize plants and correlates with root growth in the soil. Field Crops Res. 2010, 115, 85–93. [Google Scholar] [CrossRef]
- Hartmann, T.E.; Yue, S.; Schulz, R.; He, X.; Chen, X.; Zhang, F.; Müller, T. Yield and N use efficiency of a maize–wheat cropping system as affected by different fertilizer management strategies in a farmer’s field of the North China Plain. Field Crops Res. 2015, 174, 30–39. [Google Scholar] [CrossRef]
- Liang, H.; Zhang, X.; Han, J.; Liao, Y.; Liu, Y.; Wen, X. Integrated N management improves nitrogen use efficiency and economics in a winter wheat–summer maize multiple-cropping system. Nutr. Cycl. Agroecosystems 2019, 115, 313–329. [Google Scholar] [CrossRef]
- Xu, X.; Ma, F.; Zhou, J.; Du, C. Control-released urea improved agricultural production efficiency and reduced the ecological and environmental impact in rice-wheat rotation system: A life-cycle perspective. Field Crops Res. 2022, 278, 108445. [Google Scholar] [CrossRef]
- Oliveira Silva, A.; Ciampitti, I.A.; Slafer, G.A.; Lollato, R.P. Nitrogen utilization efficiency in wheat: A global perspective. Eur. J. Agron. 2020, 114, 126008. [Google Scholar] [CrossRef]
- Santillano-Cázares, J.; Núñez-Ramírez, F.; Ruíz-Alvarado, C.; Cárdenas-Castañeda, M.; Ortiz-Monasterio, I. Assessment of Fertilizer Management Strategies Aiming to Increase Nitrogen Use Efficiency of Wheat Grown Under Conservation Agriculture. Agronomy 2018, 8, 304. [Google Scholar] [CrossRef]
- Yu, X.; Keitel, C.; Dijkstra, F.A. Global analysis of phosphorus fertilizer use efficiency in cereal crops. Glob. Food Secur. 2021, 29, 100545. [Google Scholar] [CrossRef]
- Lopez-Arredondo, D.L.; Leyva-Gonzalez, M.A.; Gonzalez-Morales, S.I.; Lopez-Bucio, J.; Herrera-Estrella, L. Phosphate nutrition: Improving low-phosphate tolerance in crops. Annu. Rev. Plant Biol. 2014, 65, 95–123. [Google Scholar] [CrossRef]
- Xu, X.; He, P.; Wei, J.; Cui, R.; Sun, J.; Qiu, S.; Zhao, S.; Zhou, W. Use of Controlled-Release Urea to Improve Yield, Nitrogen Utilization, and Economic Return and Reduce Nitrogen Loss in Wheat-Maize Crop Rotations. Agronomy 2021, 11, 723. [Google Scholar] [CrossRef]
- Liu, J.; Zhu, G.; Shi, G.; Yi, W.; Xiao, Q. Assessment of Yield and Nitrogen Utilization of the Mixed CRU and Urea in Wheat–Maize Production in a 5-Year Field Trial. Sustainability 2022, 14, 14943. [Google Scholar] [CrossRef]
- Yaseen, M.; Aziz, M.Z.; Manzoor, A.; Naveed, M.; Hamid, Y.; Noor, S.; Khalid, M.A. Promoting Growth, Yield, and Phosphorus-Use Efficiency of Crops in Maize–Wheat Cropping System by Using Polymer-Coated Diammonium Phosphate. Commun. Soil Sci. Plant Anal. 2017, 48, 646–655. [Google Scholar] [CrossRef]
- Schroder, J.L.; Zhang, H.; Girma, K.; Raun, W.R.; Penn, C.J.; Payton, M.E. Soil Acidification from Long-Term Use of Nitrogen Fertilizers on Winter Wheat. Soil Sci. Soc. Am. J. 2011, 75, 957–964. [Google Scholar] [CrossRef]
- Ma, Q.; Yu, W.; Jiang, C.; Zhou, H.; Xu, Y. The influences of mineral fertilization and crop sequence on sustainability of corn production in northeastern China. Agric. Ecosyst. Environ. 2012, 158, 110–117. [Google Scholar] [CrossRef]
- Cui, Z.; Chen, X.; Zhang, F. Current nitrogen management status and measures to improve the intensive wheat-maize system in China. Ambio 2010, 39, 376–384. [Google Scholar] [CrossRef]
- Ying, H.; Ye, Y.; Cui, Z.; Chen, X. Managing nitrogen for sustainable wheat production. J. Clean. Prod. 2017, 162, 1308–1316. [Google Scholar] [CrossRef]
- Wang, Z.; Yin, Y.; Wang, Y.; Tian, X.; Ying, H.; Zhang, Q.; Xue, Y.; Oenema, O.; Li, S.; Zhou, F.; et al. Integrating crop redistribution and improved management towards meeting China’s food demand with lower environmental costs. Nat. Food 2022, 3, 1031–1039. [Google Scholar] [CrossRef]
- Cui, Z.; Yue, S.; Wang, G.; Zhang, F.; Chen, X. In-season root-zone N management for mitigating greenhouse gas emission and reactive N losses in intensive wheat production. Environ. Sci. Technol. 2013, 47, 6015–6022. [Google Scholar] [CrossRef]
- Zhang, L.; Liang, Z.; Hu, Y.; Schmidhalter, U.; Zhang, W.; Ruan, S.; Chen, X. Integrated assessment of agronomic, environmental and ecosystem economic benefits of blending use of controlled-release and common urea in wheat production. J. Clean. Prod. 2021, 287, 125572. [Google Scholar] [CrossRef]


| Treatment | Before Planting (kg ha−1) | At Stem Elongation Stage (kg ha−1) | Total (kg ha−1) | ||||||
|---|---|---|---|---|---|---|---|---|---|
| N | P2O5 | K2O | N | P2O5 | K2O | N | P2O5 | K2O | |
| CK | 0 | 0 | 0 | 0 | 0 | 0 | 0 | 0 | 0 |
| FPT | 114 | 134 | 40 | 170 | 0 | 0 | 284 | 134 | 40 |
| OPT | 108 | 120 | 48 | 108 | 0 | 0 | 216 | 120 | 48 |
| CF1 | 108 | 120 | 48 | 108 | 0 | 0 | 216 | 120 | 48 |
| 90%CF1 | 97 | 108 | 43.2 | 97.2 | 0 | 0 | 194.2 | 108 | 43.2 |
| CF2 | 108 | 120 | 48 | 108 | 0 | 0 | 216 | 120 | 48 |
| 90%CF2 | 97 | 108 | 43.2 | 97.2 | 0 | 0 | 194.2 | 108 | 43.2 |
| CF3 | 90 | 78 | 30 | 126 | 0 | 0 | 216 | 78 | 30 |
| Treatments | Yield | Spike Number | Grain Number | 1000 Grain |
|---|---|---|---|---|
| (kg ha−1) | (104 ha−1) | Per Spike | Weight (g) | |
| CK | 5933 c | 308 d | 23.0 e | 39.6 b |
| FPT | 7654 b | 527 c | 29.2 cd | 42.0 ab |
| OPT | 7824 ab | 597 b | 31.1 ab | 42.6 ab |
| CF1 | 8210 a | 671 a | 30.0 bc | 41.0 ab |
| 90%CF1 | 8067 ab | 641 a | 30.5 bc | 41.0 ab |
| CF2 | 8077 ab | 597 b | 29.4 bcd | 41.7 ab |
| 90%CF2 | 7907 ab | 538 c | 27.8 d | 42.6 a |
| CF3 | 8299 a | 534 c | 32.5 a | 42.7 a |
| Treatments | PFPN | NupE | NutE | PFPP | PupE | PutE | PFPK | KupE | KutE |
|---|---|---|---|---|---|---|---|---|---|
| FPT | 26.95 f | 0.82 e | 33.07 a | 57.12 f | 0.15 d | 376.31 ab | 191.36 a | 4.73 ab | 40.87 ab |
| OPT | 35.72 e | 1.07 d | 33.53 a | 65.20 e | 0.17 cd | 393.98 a | 162.99 e | 4.13 b | 39.88 ab |
| CF1 | 38.01 c | 1.28 b | 29.74 bc | 68.42 cd | 0.21 ab | 330.95 c | 171.04 cd | 4.42 ab | 39.22 ab |
| 90%CF1 | 41.50 a | 1.45 a | 28.68 c | 74.69 a | 0.23 a | 324.34 c | 186.73 b | 5.05 a | 37.12 b |
| CF2 | 36.88 d | 1.14 cd | 32.35 ab | 67.30 d | 0.20 b | 335.98 bc | 168.26 d | 4.40 b | 38.37 b |
| 90%CF2 | 40.68 b | 1.23 bc | 33.08 a | 73.22 b | 0.20 b | 360.74 abc | 183.04 b | 4.11 b | 44.72 a |
| CF3 | 38.42 c | 1.20 bc | 32.14 ab | 69.16 c | 0.19 bc | 367.84 abc | 172.89 c | 4.33 b | 40.17 ab |
| Treatments | Total Output Value | Total Input Cost | Net Benefit |
|---|---|---|---|
| (CNY ha−1) | (CNY ha−1) | (CNY ha−1) | |
| CK | 13,646 | 4690 | 8956 |
| FPT | 17,605 | 7471 | 10,134 |
| OPT | 17,994 | 7090 | 10,904 |
| CF1 | 18,883 | 7750 | 11,133 |
| 90%CF1 | 18,553 | 7444 | 11,109 |
| CF2 | 18,576 | 7750 | 10,826 |
| 90%CF2 | 18,187 | 7444 | 10,743 |
| CF3 | 19,088 | 7810 | 11,278 |
Disclaimer/Publisher’s Note: The statements, opinions and data contained in all publications are solely those of the individual author(s) and contributor(s) and not of MDPI and/or the editor(s). MDPI and/or the editor(s) disclaim responsibility for any injury to people or property resulting from any ideas, methods, instructions or products referred to in the content. |
© 2023 by the authors. Licensee MDPI, Basel, Switzerland. This article is an open access article distributed under the terms and conditions of the Creative Commons Attribution (CC BY) license (https://creativecommons.org/licenses/by/4.0/).
Share and Cite
Jiang, X.; Li, J.; An, Z.; Liang, J.; Tian, X.; Chen, Y.; Sun, Y.; Li, Y. Optimal Fertilization Strategies for Winter Wheat Based on Yield Increase and Nitrogen Reduction on the North China Plain. Sustainability 2023, 15, 4199. https://doi.org/10.3390/su15054199
Jiang X, Li J, An Z, Liang J, Tian X, Chen Y, Sun Y, Li Y. Optimal Fertilization Strategies for Winter Wheat Based on Yield Increase and Nitrogen Reduction on the North China Plain. Sustainability. 2023; 15(5):4199. https://doi.org/10.3390/su15054199
Chicago/Turabian StyleJiang, Xiaoqin, Jiuzhou Li, Zhichao An, Jun Liang, Xiaohong Tian, Yanling Chen, Yaping Sun, and Yun Li. 2023. "Optimal Fertilization Strategies for Winter Wheat Based on Yield Increase and Nitrogen Reduction on the North China Plain" Sustainability 15, no. 5: 4199. https://doi.org/10.3390/su15054199
APA StyleJiang, X., Li, J., An, Z., Liang, J., Tian, X., Chen, Y., Sun, Y., & Li, Y. (2023). Optimal Fertilization Strategies for Winter Wheat Based on Yield Increase and Nitrogen Reduction on the North China Plain. Sustainability, 15(5), 4199. https://doi.org/10.3390/su15054199
