Wine Quality Control Parameters and Effects of Regional Climate Variation on Sustainable Production
Abstract
1. Introduction
2. Materials and Methods
2.1. Statistical Discrimination of Dry White Wines According to Geographical Origin
2.2. Analysis of Covariance by Each Dependent Variable
3. Results
3.1. Geographical Discrimination of Dry White Wines for the Two Different Regions
3.2. ANCOVA Results for Each of the Dependent Variables
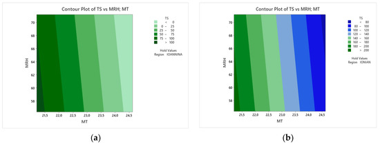
3.2.1. Total Alcoholic Strength
3.2.2. Actual Alcoholic Strength
3.2.3. Total Acidity
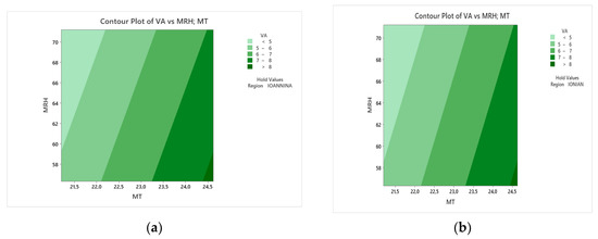
3.2.4. Volatile Acidity
3.2.5. Residual Sugars
3.2.6. Total Sulfite
4. Conclusions
Author Contributions
Funding
Institutional Review Board Statement
Informed Consent Statement
Data Availability Statement
Acknowledgments
Conflicts of Interest
References
- Markopoulos, T. Common Agricultural Policy and Local Economy and Development in the Region of Eastern Macedonia–Thrace (Greece). J. Eng. Sci. Technol. Rev. 2019, 15, 185–223. [Google Scholar] [CrossRef]
- Tahon, C.; Batt, P.J. An Exploratory Study of the Sustainable Practices Used at Each Level of the Bordeaux Wine Value Chain. Sustainability 2021, 13, 9760. [Google Scholar] [CrossRef]
- Maicas, S.; Mateo, J.J. Sustainability of Wine Production. Sustainability 2020, 12, 559. [Google Scholar] [CrossRef]
- Brankov, T.; Markopoulos, T.; Kontakos, S. Long-term trends in food consumption: Comparison between Serbia and Greece. Econ. Agric. 2019, 66. [Google Scholar] [CrossRef]
- Rapsomanikis, S.; Kastrinakis, E. Basic Principles of Air Anti-Pollution Technology; TZIOLAS Publications: Thessaloniki, Greece, 2008; (In Greek). ISBN 978-960-418-169-8. [Google Scholar]
- European Environment Agency. Climate change is one of the biggest challenges of our times. 2022. Available online: https://www.eea.europa.eu/themes/climate/climate-change-is-one-of (accessed on 19 September 2022).
- Smith, P.; Olesen, J.E. Synergies between mitigation of, and adaptation to, climate change in agriculture. J. Agric. Sci. 2010, 148, 543–552. [Google Scholar] [CrossRef]
- Bisson, L.F.; Waterhouse, A.L.; Ebeler, S.E.; Walker, M.A.; Lapsley, J.T. The present and future of the international wine industry. Nature 2002, 418, 696–699. [Google Scholar] [CrossRef]
- Koufos, G.C.; Mavromatis, T.; Koundouras, S.; Jones, G.V. Response of viticulture-related climatic indices and zoning to historical and future climate conditions in Greece: Response of viticulture-related climatic indices and zoning in greece. Int. J. Climatol. 2018, 38, 2097–2111. [Google Scholar] [CrossRef]
- Jones, G.; Reid, R.; Vilks, A. Climate, Grapes, and Wine: Structure and Suitability in a Variable and Changing Climate. In The Geography of Wine; Dougherty, P.H., Ed.; Springer: Dordrecht, The Netherlands, 2012; pp. 109–133. [Google Scholar]
- Fraga, H.; Malheiro, A.C.; Moutinho-Pereira, J.; Santos, J.A. Climate factors driving wine production in the Portuguese Minho region. Agric. For. Meteorol. 2014, 185, 26–36. [Google Scholar] [CrossRef]
- Ashenfelter, O.; Ashmore, D.; Lalonde, R. Bordeaux Wine Vintage Quality and the Weather. CHANCE 1995, 8, 7–14. [Google Scholar] [CrossRef]
- Jones, G.; Davis, R.E. Climate Influences on Grapevine Phenology, Grape Composition, and Wine Production and Quality for Bordeaux, France. Am. J. Enol. Vitic. 2000, 51, 249. [Google Scholar] [CrossRef]
- Grifoni, D.; Mancini, M.; Maracchi, G.; Orlandini, S.; Zipoli, G. Analysis of Italian Wine Quality Using Freely Available Meteorological Information. Am. J. Enol. Vitic. 2006, 57, 339. [Google Scholar] [CrossRef]
- Marta, D.; Grifoni, D.; Mancini, M.; Storchi, P.; Zipoli, G.; Orlandini, S. Analysis of the relationships between climate variability and grapevine phenology in the Nobile di Montepulciano wine production area. J. Agric. Sci. 2010, 148, 657–666. [Google Scholar] [CrossRef]
- Koundouras, S.; Marinos, V.; Gkoulioti, A.; Kotseridis, Y.; Van Leeuwen, C. Influence of Vineyard Location and Vine Water Status on Fruit Maturation of Nonirrigated Cv. Agiorgitiko (Vitis vinifera L.). Effects on Wine Phenolic and Aroma Components. J. Agric. Food Chem. 2006, 54, 5077–5086. [Google Scholar] [CrossRef] [PubMed]
- Shanmuganathan, S.; Sallis, P.; Narayanan, A. Data Mining Techniques for Modelling Seasonal Climate Effects on Grapevine Yield and Wine Quality. In Proceedings of the 2nd International Conference on Computational Intelligence, Communication Systems and Networks, Liverpool, UK, 28–30 July 2010; pp. 84–89. [Google Scholar] [CrossRef]
- Jones, G.; Webb, L.B. Climate Change, Viticulture, and Wine: Challenges and Opportunities. J. Wine Res. 2010, 21, 103–106. [Google Scholar] [CrossRef]
- Mozell, M.R.; Thach, L. The impact of climate change on the global wine industry: Challenges & solutions. Wine Econ. Policy 2014, 3, 81–89. [Google Scholar] [CrossRef]
- Touzard, J.M.; Ollat, N. Long-term adaptation to climate change in viticulture and enology: The Laccave project. J. Int. Des Sci. Vigne Vin. 2017, pp. 1–7. Available online: https://www.researchgate.net/publication/262915289_Long-term_adaptation_to_climate_change_in_viticulture_and_enology_the_Laccave_project (accessed on 19 September 2022).
- Cook, B.I.; Wolkovich, E.M. Climate change decouples drought from early wine grape harvests in France. Nat. Clim. Chang. 2016, 6, 715–719. [Google Scholar] [CrossRef]
- Mira de Orduña, R. Climate change associated effects on grape and wine quality and production. Food Res. Int. 2010, 43, 1844–1855. [Google Scholar] [CrossRef]
- Chevet, J.M.; Lecocq, S.; Visser, M. Climate, Grapevine Phenology, Wine Production, and Prices: Pauillac (1800–2009). Am. Econ. Rev. 2011, 101, 142–146. [Google Scholar] [CrossRef]
- Navrátilová, M.; Beranová, M.; Severová, L.; Šrédl, K.; Svoboda, R.; Abrhám, J. The Impact of Climate Change on the Sugar Content of Grapes and the Sustainability of their Production in the Czech Republic. Sustainability 2021, 13, 222. [Google Scholar] [CrossRef]
- Jones, G.; White, M.A.; Cooper, O.R.; Storchmann, K. Climate Change and Global Wine Quality. Clim. Change 2005, 73, 319–343. [Google Scholar] [CrossRef]
- Seneviratne, S.I.; Lüthi, D.; Litschi, M.; Schär, C. Land–atmosphere coupling and climate change in Europe. Nature 2006, 443, 205–209. [Google Scholar] [CrossRef]
- Jones, G.; Goodrich, G. Influence of climate variability on wine regions in the western USA and on wine quality in the Napa Valley. Clim. Res. 2008, 35, 241–254. [Google Scholar] [CrossRef]
- Ramirez, C.D. Wine Quality, Wine Prices, and the Weather: Is Napa ‘Different’? J. Wine Econ. 2008, 3, 114–131. [Google Scholar] [CrossRef]
- Van Leeuwen, C.; Darriet, P. The Impact of Climate Change on Viticulture and Wine Quality. J. Wine Econ. 2016, 11, 150–167. [Google Scholar] [CrossRef]
- Duchêne, E.; Huard, F.; Dumas, V.; Schneider, C.; Merdinoglu, D. The challenge of adapting grapevine varieties to climate change. Clim. Res. 2010, 41, 193–204. [Google Scholar] [CrossRef]
- Storchmann, K. English weather and Rhine wine quality: An ordered probit model. J. Wine Res. 2005, 16, 105–120. [Google Scholar] [CrossRef]
- Ramos, Μ.; Jones, G.; Martínez-Casasnovas, J. Structure and trends in climate parameters affecting winegrape production in northeast Spain. Clim. Res. 2008, 38, 1–15. [Google Scholar] [CrossRef]
- Makra, L.; Vitányi, B.; Gál, J.; Mika, A.; Matyasovszky, I.; Hirsch, T. Wine Quantity and Quality Variations in Relation to Climatic Factors in the Tokaj (Hungary) Winegrowing Region. Am. J. Enol. Vitic. 2009, 60, 312. [Google Scholar] [CrossRef]
- Webb, L.; Whetton, P.; Barlow, E. Climate change and wine grape quality in Australia. Clim. Res. 2008, 36, 99–111. [Google Scholar] [CrossRef]
- Pons, A.; Allamy, L.; Schüttler, A.; Rauhut, D.; Thibon, C.; Darriet, P. What is the expected impact of climate change on wine aroma compounds and their precursors in grape? OENO One 2017, 51, 141–146. [Google Scholar] [CrossRef]
- Francis, I.L.; Newton, J.L. Determining wine aroma from compositional data. Aust. J. Grape Wine Res. 2005, 11, 114–126. [Google Scholar] [CrossRef]
- Markopoulos, T. On Macedonian and Thracian Greek Wines. J. Eng. Sci. Technol. Rev. 2020, 13, 37–68. [Google Scholar] [CrossRef]
- Chiriacò, M.V.; Belli, C.; Chiti, T.; Trotta, C.; Sabbatini, S. The potential carbon neutrality of sustainable viticulture showed through a comprehensive assessment of the greenhouse gas (GHG) budget of wine production. J. Clean. Prod. 2019, 225, 435–450. [Google Scholar] [CrossRef]
- Mancuso, T.; Arfo, S.; Di Mauro, M.; Matarazzo, A.; Froio, A.P.; Scuderi, A. Application of SOSTAIN to Wine Sector in Sicily as Sustainability Management Tool. J. Biomed. Res. Environ. Sci. 2022, 3, 302–306. [Google Scholar] [CrossRef]
- Longbottom, M.L.; Petrie, P.R. Role of vineyard practices in generating and mitigating greenhouse gas emissions. Aust. J. Grape Wine Res. 2015, 21, 522–536. [Google Scholar] [CrossRef]
- Mariani, A.; Vastola, A. Sustainable winegrowing: Current perspectives. Int. J. Wine Res. 2015, 7, 37–48. [Google Scholar] [CrossRef]
- International organization of Vine. Resolution OIV-CST 431-2011—General Principles of the OIV Greenhouse Gas Accounting Protocol for the Vine and Wine Sector—Certified in conformity Montpellier, 2011. Available online: https://www.oiv.int/public/medias/2107/oiv-cst-431-2011-en.pdf (accessed on 9 November 2022).
- CSWA: Vineyard Management Practices and Carbon Footprints. 2009. Available online: https://www.sustainablewinegrowing.org/docs/Vineyards%20and%20GHGs%20Handout%20Final%20-%20May%202009.pdf (accessed on 9 August 2022).
- CSWA: California Vineyard Greenhouse Gas Emissions, 2019. Available online: https://www.sustainablewinegrowing.org/docs/CSWA%20GHG%20Report_Final.pdf (accessed on 10 August 2022).
- Field, A. Discovering Statistics Using SPSS, 4th ed.; SAGE: London, UK, 2009. [Google Scholar]
- Montgomery, D. Design and Analysis of Experiments, 8th ed.; John Wiley and Sons: New York, NY, USA, 2013. [Google Scholar]
- Kleinbaum, G.D.; Kupper, L.L.; Muller, E.K.; Nizam, A. Applied Regression Analysis and Other Multivariate Methods, 3rd ed.; Duxbury Press: Pacific Grove, CA, USA, 1998. [Google Scholar]
- Broccardo, L.; Zicari, A. Sustainability as a driver for value creation: A business model analysis of small and medium entreprisesin the Italian wine sector. J. Clean. Prod. 2020, 259, 120852. [Google Scholar] [CrossRef]












| F | p-Value | |
|---|---|---|
| Total alcoholic strength | 7.469 | <0.001 |
| Actual alcoholic strength | 7.348 | <0.001 |
| Total acidity | 3.125 | <0.001 |
| Volatile acidity | 3.355 | <0.001 |
| Total sulfite | 43.425 | <0.001 |
| Residual sugars | 5.954 | <0.001 |
| Regional Unit | Predicted Group Membership | Total | |||
|---|---|---|---|---|---|
| Ioannina | Ionian Islands | ||||
| Original | Count | Ioannina | 40 | 1 | 41 |
| Ionian Islands | 3 | 4 | 7 | ||
| % | Ioannina | 97.6 | 2.4 | 1000 | |
| Ionian Islands | 42.9 | 57.1 | 1000 | ||
| Cross-validated | Count | Ioannina | 39 | 2 | 41 |
| Ionian Islands | 5 | 2 | 7 | ||
| % | Ioannina | 95.1 | 4.9 | 1000 | |
| Ionian Islands | 71.4 | 28.6 | 1000 | ||
Disclaimer/Publisher’s Note: The statements, opinions and data contained in all publications are solely those of the individual author(s) and contributor(s) and not of MDPI and/or the editor(s). MDPI and/or the editor(s) disclaim responsibility for any injury to people or property resulting from any ideas, methods, instructions or products referred to in the content. |
© 2023 by the authors. Licensee MDPI, Basel, Switzerland. This article is an open access article distributed under the terms and conditions of the Creative Commons Attribution (CC BY) license (https://creativecommons.org/licenses/by/4.0/).
Share and Cite
Markopoulos, T.; Stougiannidou, D.; Kontakos, S.; Staboulis, C. Wine Quality Control Parameters and Effects of Regional Climate Variation on Sustainable Production. Sustainability 2023, 15, 3512. https://doi.org/10.3390/su15043512
Markopoulos T, Stougiannidou D, Kontakos S, Staboulis C. Wine Quality Control Parameters and Effects of Regional Climate Variation on Sustainable Production. Sustainability. 2023; 15(4):3512. https://doi.org/10.3390/su15043512
Chicago/Turabian StyleMarkopoulos, Theodoros, Dimitra Stougiannidou, Stavros Kontakos, and Christos Staboulis. 2023. "Wine Quality Control Parameters and Effects of Regional Climate Variation on Sustainable Production" Sustainability 15, no. 4: 3512. https://doi.org/10.3390/su15043512
APA StyleMarkopoulos, T., Stougiannidou, D., Kontakos, S., & Staboulis, C. (2023). Wine Quality Control Parameters and Effects of Regional Climate Variation on Sustainable Production. Sustainability, 15(4), 3512. https://doi.org/10.3390/su15043512

