Next Article in Journal
Research on Profit Allocation of Agricultural Products Co-Delivery Based on Modified Interval Shapley Value
Previous Article in Journal
Potential Baseball Fan Engagement: The Determinants of a New Television Audience in the Chinese Professional Baseball League during the COVID-19 Pandemic
 
 
Font Type:
Arial Georgia Verdana
Font Size:
Aa Aa Aa
Line Spacing:
Column Width:
Background:
Article

Pricing Decision of Three-Level Agricultural Supply Chain Based on Blockchain Traceability and Altruistic Preference

1
Business School, Shandong University of Technology, Zibo 255000, China
2
National Demonstration Center for Experimental Modern Circulation Education, Shanghai Business School, Shanghai 201400, China
*
Author to whom correspondence should be addressed.
Sustainability 2023, 15(4), 3304; https://doi.org/10.3390/su15043304
Submission received: 19 December 2022 / Revised: 4 February 2023 / Accepted: 9 February 2023 / Published: 10 February 2023
(This article belongs to the Section Economic and Business Aspects of Sustainability)

Abstract

:
The traceability of blockchain is crucial to the quality and safety of agricultural products, primarily when bacterial contamination occurs in the agricultural supply chain. To gain a deeper understanding of the impacts on the quality and safety of agricultural products, we built a three-level agricultural supply chain model comprising one retailer, one manufacturer, and one supplier. We aimed to explore the impact of blockchain traceability and retailers’ altruistic preference on pricing decisions and channel member profit, and to then examine the motivation of enterprises to participate in blockchain technology. Our study showed that: (1) blockchain technology has the potential to improve the prices and profits of supply chain members without considering the cost of blockchain; and (2) blockchain technology has the potential to improve the retailer’s price when the unit variable cost of blockchain is higher than a certain threshold. It can also reduce the manufacturer’s price and the supplier’s output. However, the excessive cost of blockchain can also aggravate the double marginalization effect of the supply chain. When both the unit variable cost and the fixed input cost of the blockchain are low, each enterprise has the incentive to participate in the blockchain. (3) In the scenario of the altruistically-preferred retailer, when the blockchain variable cost is lower than a certain threshold, the retailer’s altruistic preferences can improve the manufacturer’s and supplier’s profit, but it will reduce the retailer’s profit.

1. Introduction

In practice, scandals with regard to product quality are not infrequent to witness. Product recalls due to quality-related issues are widely observed in the agricultural industry [1,2]. However, when such incidents of bacterial pollution occur, it is difficult to find the pollution source, and determining who will bear the pollution cost is also an important issue that leads to losses. The traceability of blockchain can effectively solve this problem [3]. In commercial practice, some companies have already applied blockchain technology to production and sales linkages, such as China Wuchang Rice Co., Ltd., and China’s well-known manufacturer COFCO (China Oil Food Corporation) [4]. Nevertheless, the cost of deploying blockchain technology is expensive [5]. In reality, the retailer will have altruistic preferences to motivate the manufacturer to deploy blockchain technology [6,7]. Based on the above background, this paper explores the influence of blockchain traceability and member altruistic awareness on enterprises when the bacterial contamination of agricultural products occurs. There are three main types of literature closely related to this paper: research on pricing decisions in agricultural supply chains, research on supply chain profit considering altruistic preferences, and analysis of supply chain traceability based on blockchain technology.
Some scholars have studied the pricing decisions of the agricultural supply chain. Ma et al. [8] discussed the pricing strategy and coordination mechanism of a three-level cold chain supply chain under quota and transaction supervision. By establishing an optimization model of the fresh food supply chain, Wang and Zhao [9] explored cold chain investment and optimal pricing decisions. Liu et al. [10] probed supermarkets’ preservation technology investment and fresh food pricing in an imperfectly competitive market environment. Chen et al. [11] constructed four dynamic pricing models for different price adjustment frequencies and analyzed the impact of menu costs on dynamic pricing decisions. Based on three commercial procurement strategies, Dey et al. [12] studied the retailer’s strategic decision and the manufacturer’s investment decision under the two-period supply chain framework. Ye et al. [13] analyzed the impact of the uncertainty of the yield and demand of fresh agricultural products and the degree of risk aversion of farmers on the optimal production and pricing decisions of members of the contract farming supply chain. Liu et al. [14] probed the procurement and pricing decisions of perishable goods in a two-echelon supply chain under price-sensitive demand. The above literature mainly focuses on agricultural supply chains’ pricing decisions and profit research. However, few kinds of literature consider the situation of altruistic preference while studying the pricing decision and profit of the agricultural supply chain.
Indeed, there has been a large volume of literature focused on the altruistic preference behavior of supply chain members. However, current literature on altruistic preferences focuses on industrial supply chains and dual-channel supply chains. Loch et al. [6] studied the impact of altruistic preferences on the decision-making mechanism and performance of single-channel and dual-channel supply chains through experiments. By constructing a green dual-channel supply chain considering manufacturer fairness concerns and altruistic preferences, Ge et al. [15] analyzed the impact of consumer channel preferences and environmental awareness on different channel pricing strategies. Wang et al. [16] investigated changes in profits and recycling over time in e-commerce closed-loop supply chains under altruistic preferences and reward-penalty mechanisms. Fan et al. [17] established the Stackelberg and Nash game models from the perspective of static and dynamic games, respectively. They explored the influence of retailers’ altruistic and consumers’ low-carbon preferences on the optimal decision and profit of the low-carbon supply chain. Ge and Hu [18] considered the impact of altruistic behavior on the closed-loop supply chain. Some scholars have considered corporate altruistic preferences when exploring green supply chains. Huang et al. [19] introduced altruistic preference into the three-level supply chain to search supply chain members’ optimal green degree and pricing decisions. Rong et al. [20] analyzed the impact of manufacturers’ altruistic preferences and government subsidies on cross-country green supply chains under dynamic strategies. The above literature studies the impact of corporate altruistic preferences on industrial supply chains and dual-channel supply chains. However, few kinds of literature explore the impact of corporate altruistic preferences on the agricultural supply chain.
Some scholars apply blockchain technology to supply chains and investigate the impact of blockchain traceability on pricing decisions and the profits of channel members. For instance, Behnke and Janssen [21] explored the boundary conditions for the traceability of information shared by actors in a dairy supply chain. Lin et al. [22] linked food safety issues with blockchain technology based on empirical analysis to study the influencing factors of Chinese consumers’ intention to use blockchain food traceability systems. Fan et al. [23] discussed the conditions for manufacturers to implement blockchain, considering consumers’ traceability intentions and blockchain cost sharing. Hastig and Sodhi et al. [24] pointed out that the degree of supply chain coordination and operational management are critical factors in successful blockchain traceability under the dual-chain integration model. Feng et al. [25] probed how blockchain technology solves the problem of food traceability by combing the characteristics and functions of blockchain technology. Cui et al. [3] studied how blockchain traceability affects quality contracts in an agricultural supply chain consisting of two suppliers and one retailer. Niu et al. [26] pointed out that the traceability system based on blockchain technology can minimize the total pollutants caused by agricultural product pollution and improve environmental and economic sustainability. The above literature mainly explores the impact of blockchain technology on the supply chain. However, few kinds of literature consider the effect of blockchain technology and members’ altruistic preferences on supply chain pricing decisions and profits. However, the aforementioned literature differs from our work, as none of them considers blockchain traceability’s effect and the member’s altruistic preferences on supply chain pricing decisions and profits.
To summarize the main differences between this paper and the related literature, the most related studies are summarized in Table 1.
Table 1 shows the difference between this paper and the existing literature. Some literature has explored the combination of blockchain technology and a three-level supply chain. However, there is a theoretical gap in the existing literature on how blockchain traceability and corporate altruistic preferences affect the interaction between this supplier, this manufacturer, and this retailer, which prompts us to ask the following research questions: How do blockchain traceability and corporate altruistic preferences affect the profits of this supplier, this manufacturer, this retailer and the overall efficiency of the supply chain?
Unlike the previous competitive supply chain [27], we mainly study the single-channel supply chain. Our supply chain consists of one supplier, manufacturer, and retailer. The quality of products produced by the supplier and the manufacturer is not guaranteed. They are considered prone to bacterial contamination. Once bacterial contamination occurs, the retailer can find the upstream manufacturer. In contrast, the upstream manufacturer cannot determine where the contaminated products come from and can only bear the cost of pollution. After the manufacturer adopts the blockchain system and the retailer and the supplier participate in this blockchain, the manufacturer is capable of finding out the original record and tracing the time and place when the bacteria pollution crisis happens. Thus, the responsible members come out and afford the pollution cost. In addition, considering the cost that the manufacturer needs to bear and the profit gap between members, we also consider the retailer’s altruistic preference.
Our work is the first to combine blockchain technology with altruistic preference. By using the method of game theory, we systematically discuss the influence of blockchain technology and the retailer’s altruism on the pricing decision and profit of the agricultural supply chain when bacterial contamination occurs in the agricultural supply chain. In particular, we find that when the unit variable cost and fixed input cost of the blockchain are higher than their respective thresholds, the double marginalization effect of the supply chain will be aggravated. Our research findings provide a scientific reference for whether enterprises in the agricultural supply chain adopt blockchain technology and how enterprises make decisions and provide insights into whether the agricultural supply chain adopts blockchain technology.

2. Problem Description and Assumptions

2.1. Problem Description

We combined the example of COFCO (a prominent China manufacturer) applying blockchain to monitor food production, using blockchain technology in the three-level agricultural product supply chain, which considers the occurrence of bacterial pollution during the production or processing of agricultural products. Blockchain traceability can be traced back to every link in production [28], but deploying blockchain is expensive. We do not consider the cost of blockchain and probe the impact of blockchain traceability on corporate pricing decisions and profits. Although the adoption of blockchain technology will enhance the retailer’s corporate brand image [26], the manufacturer and the supplier still need to bear the cost of pollution. Therefore, considering that the retailer has an altruistic consciousness, we investigate the impact of blockchain traceability and the retailer’s altruistic consciousness on each enterprise’s pricing decision and profit. Furthermore, expensive blockchain costs are one of the factors that companies must consider when participating in blockchain technology. In this paper, we establish a three-level agricultural supply chain that consists of a supplier (s), a manufacturer (m), and a retailer (r). The retailer is the leader of the game, and the manufacturer and the supplier are the followers of the game. Figure 1 illustrates the supply chain structure. Five game models are built to study the pricing and profit: scenario NN (without considering blockchain traceability), scenario UN (considering blockchain traceability without blockchain cost), scenario NF (without blockchain cost and the retailer has altruistic preferences), scenario UU (considering the blockchain with cost), and scenario NU (with blockchain cost and the retailer having altruistic preferences).

2.2. Symbol Definitions and Assumptions

The mathematical symbols used in this paper are summarized as shown in Table 2, where d = { NN ,   UN ,   NF ,   UU ,   NU } .
For the research questions, this paper makes the following assumptions.
Assumption 1.
We assume that the optimal production quantity set by the supplier is q a , which is sold to the downstream manufacturer without unnecessary waste and ignores the loss generated in the process of transportation and production. Suppose that a unit of raw materials can produce Z unit product, Z is a non-negative random variable, the distribution function is G ( h ) , the probability density function is g ( h ) , and the mean value of Z is E ( Z ) = z ( z > 0 ). The output of the manufacturer is z q a , which means q b = z q a (see, e.g., Giriet al. [29]).
Assumption 2.
The quality of agricultural products is unreliable because bacterial pollution may happen. We assume that the proportion of the supplier’s qualified agricultural products is X ( 0 , 1 ) and the proportion of the manufacturer’s qualified agricultural products is Y ( 0 , 1 ) . X and Y are random variables. In this paper, we take Ε ( X ) = x , and Ε ( Y ) = y , where 0 < x < 1 ,   0 < y < 1 .
Assumption 3.
Due to adopting blockchain, the supply chain can recall the polluted products in a timely manner. Consumers would trust the retailer more, and the market potential would increase. (see, e.g., Niuet al.[26];Chenet al.[30]). Therefore, the inverse demand function without blockchain is
p ( q b ) = a yq b
And the inverse demand function with blockchain is
p ( q b ) = ( 1 + λ ) a yq b
where λ represents the brand image improvement.
Assumption 4.
The manufacturer’s production cost function is a quadratic function, denoted by k q b 2 2 (where k is the cost coefficient of the quadratic function), and the supplier’s production cost function is k q a 2 2 (see, e.g., Niuet al.[26];Alizamiret al.[31]).
Assumption 5.
It is assumed that product pollution cannot come from the downstream retailer. When bacterial pollution incidents occur, the retailer can directly find the upstream manufacturer to bear the responsibility for pollution (see, e.g., Dong et al. [32]).

3. Model Construction and Solution

3.1. Model Construction without Considering Blockchain (NN)

In scenario NN, when a product is contaminated with bacteria, the retailer can directly find a responsible upstream manufacturer and thus does not have to bear the cost of contamination. However, it is difficult and costly to find where the polluted products come from. The manufacturer has to recall the polluted agricultural products and afford the loss alone. Because of not considering blockchain technology and the high cost to the manufacturer to find pollution sources, the manufacturers bear the total cost of pollution. Hence, the manufacturer pays the supplier according to the number of purchases. The supplier was not affected by bacterial contamination. Thus, the profit functions of a retailer, manufacturer, and supplier are (see, e.g., Niu et al. [26]):
M a x   E ( π s N N ( q a ) ) = w 1 q a k q a 2 2
M a x   E ( π m N N ( w 1 ) ) = w 2 y q b w 1 q a k q b 2 2
M a x   E ( π r N N ( w 2 ) ) = p y q b w 2 y q b
In scenario NN, the decision sequence in the NN scenario is as follows:
(1)
In the first stage, the retailer announces the procurement price for the agricultural products w2 to the manufacturer;
(2)
In the second stage, the manufacturer sets the procurement price for the agricultural products w2 to the supplier;
(3)
In the third stage, the supplier determines the production quantities qa.
Next, we solve the games by backward induction and present the equilibrium outcomes for the decision-maker in scenario NN.
Theorem 1.
In scenario NN, the optimal wholesale prices set by the manufacturer and the retailer are: w 1 N N * = a k y z 2 ( y 2 z 2 + k ( 2 + z 2 ) ) , w 2 N N * = a k ( 2 + z 2 ) 2 ( y 2 z 2 + k ( 2 + z 2 ) ) , the optimal production quantity set by the supplier is:   q a N N * = a y z 2 ( y 2 z 2 + k ( 2 + z 2 ) ) , the manufacturer’s optimal output is: q b N N * = a y z 2 2 ( y 2 z 2 + k ( 2 + z 2 ) ) , the optimal retail price in the market is: p N N * = a ( 4 k + 2 k z 2 + y 2 z 2 ) 2 ( 2 k + k z 2 + y 2 z 2 ) , The total profits of the retailer, the manufacturer, the supplier, and supply chains are: E ( π r N N * ) = a 2 y 2 z 2 8 k + 4 k z 2 + 4 y 2 z 2 , E ( π m N N * ) = a 2 k y 2 z 2 ( 2 + z 2 ) 8 ( y 2 z 2 + k ( 2 + z 2 ) ) 2 , E ( π s N N * ) = a 2 k y 2 z 2 8 ( y 2 z 2 + k ( 2 + z 2 ) ) 2 , E ( π t N N * ) = a 2 y 2 z 2 ( 2 y 2 z 2 + k ( 7 + 3 z 2 ) ) 8 ( y 2 z 2 + k ( 2 + z 2 ) ) 2 .

3.2. Model Construction Considering Blockchain (UN)

In scenario UN, blockchain traceability enables the supply chain to rapidly trace the source of bacterial contamination. When bacteria pollution occurs, the upstream manufacturer can find the responsible members who need to absorb the pollution cost by tracing the historical information in the blockchain system. First of all, without considering the cost of blockchain, the three supply chain parties’ profit functions are (see, e.g., Niu et al. [26]):
M a x   E ( π s U N ( q a ) ) = w 1 x q a k q a 2 2
M a x   E ( π m U N ( w 1 ) ) = w 2 y q b w 1 x q a k q b 2 2
M a x   E ( π r U N ( w 2 ) ) = p y q b w 2 y q b
The decision sequence is the same as that of the scenario without blockchain. Theorem 2 can be obtained according to the reverse-order solution method.
Theorem 2.
In scenario UN, the optimal wholesale prices set by the manufacturer and the retailer are: w 1 U N * = a k y z ( 1 + λ ) 2 x ( y 2 z 2 + k ( 2 + z 2 ) ) , w 2 U N * = a k ( 2 + z 2 ) ( 1 + λ ) 2 ( y 2 z 2 + k ( 2 + z 2 ) ) , the optimal production quantity set by the supplier is:   q a U N * = a y z ( 1 + λ ) 2 ( y 2 z 2 + k ( 2 + z 2 ) ) , the manufacturer’s optimal output is: q b U N * = a y z 2 ( 1 + λ ) 2 ( y 2 z 2 + k ( 2 + z 2 ) ) , the optimal retail price in the market is: p U N * = a ( 4 k + 2 k z 2 + y 2 z 2 ) ( 1 + λ ) 2 ( 2 k + k z 2 + y 2 z 2 ) , the total profits of the retailer, the manufacturer, the supplier, and supply chains are: E ( π r U N * ) = a 2 y 2 z 2 ( 1 + λ ) 2 4 ( y 2 z 2 + k ( 2 + z 2 ) ) , E ( π m U N * ) = a 2 k y 2 z 2 ( 2 + z 2 ) ( 1 + λ ) 2 8 ( y 2 z 2 + k ( 2 + z 2 ) ) 2 , E ( π s U N * ) = a 2 k y 2 z 2 ( 1 + λ ) 2 8 ( y 2 z 2 + k ( 2 + z 2 ) ) 2 , E ( π t U N * ) = a 2 y 2 z 2 ( 2 y 2 z 2 + k ( 7 + 3 z 2 ) ) ( 1 + λ ) 2 8 ( y 2 z 2 + k ( 2 + z 2 ) ) 2 .

3.3. Model Construction with Altruistic Preference (NF)

In scenario NF, the supply chain uses blockchain technology regardless of blockchain cost and the retailer has altruistic preferences. Leaders often benefit the most in the supply chain. For the healthy and sustainable development of the supply chain, the leader of the supply chain usually considers the interests of the followers. In this paper, because the retailer benefits most, the dominant retailer will be more considerate of the interests of the manufacturer. Thus, the retailer will rebate a portion of the profit to the manufacturer, increasing the manufacturer’s enthusiasm for cooperation. In line with Charness and Rabin [33] and Loch and Wu [6], the retailer’s utility function is expressed as:
M a x   E ( u r N F ( w 2 ) ) = π r U N ( w 2 ) + γ π m U N ( w 1 )
In scenario NF, the retailer will consider the manufacturer’s profit to some extent while considering its profit. The decision sequence and method in the NF scenario are the same as those in the absence of altruistic preference. According to the reverse order solution method, the optimal solution can be obtained as shown in Theorem 3.
Theorem 3.
In scenario NF, the optimal wholesale prices set by the manufacturer and the retailer are: w 1 N F * = a k y z ( 1 + λ ) x ( 2 y 2 z 2 k ( 2 + γ ) ( 2 + z 2 ) ) , w 2 N F * = a k ( 2 + z 2 ) ( 1 + λ ) 2 y 2 z 2 k ( 2 + γ ) ( 2 + z 2 ) , the optimal production quantity set by the supplier is: q a N F * = a y z ( 1 + λ ) 2 y 2 z 2 k ( 2 + γ ) ( 2 + z 2 ) , the manufacturer’s optimal output is: q b N F * = a y z 2 ( 1 + λ ) 2 y 2 z 2 k ( 2 + γ ) ( 2 + z 2 ) , the optimal retail price in the market is: p N F * = a ( 4 k 2 k γ + 2 k z 2 + y 2 z 2 k γ z 2 ) ( 1 + λ ) 4 k 2 k γ + 2 k z 2 + 2 y 2 z 2 k γ z 2 , the total profits of the retailer, the manufacturer, the supplier, and supply chains are: E ( π r N F * ) = a 2 y 2 z 2 ( y 2 z 2 k ( 1 + γ ) ( 2 + z 2 ) ) ( 1 + λ ) 2 ( 2 y 2 z 2 + k ( 2 + γ ) ( 2 + z 2 ) ) 2 , E ( π m N F * ) = a 2 k y 2 z 2 ( 2 + z 2 ) ( 1 + λ ) 2 2 ( 2 y 2 z 2 + k ( 2 + γ ) ( 2 + z 2 ) ) 2 , E ( π s N F * ) = a 2 k y 2 z 2 ( 1 + λ ) 2 2 ( 2 y 2 z 2 + k ( 2 + γ ) ( 2 + z 2 ) ) 2 , E ( π t N F * ) = a 2 y 2 z 2 ( 2 y 2 z 2 + k ( 7 + 3 z 2 2 γ ( 2 + z 2 ) ) ) ( 1 + λ ) 2 2 ( 2 y 2 z 2 + k ( 2 + γ ) ( 2 + z 2 ) ) 2 .

4. Equilibrium Analysis

In this section, we analyze the equilibrium outcomes in three scenarios. Note that, due to the unreliable quality, all decisions are made based on expectations. The detailed solving process can be found in the Appendix A. By comparing the expected equilibrium outcomes of three scenarios, we get the following proposition and result.

4.1. Impact of Blockchain Technology on Optimal Decisions in Agricultural Supply Chain

Proposition 1 shows that compared with the supply chain not considering blockchain, the wholesale price, the retail price and the optimal yield are higher when the supply chain considers blockchain. This finding shows that blockchain technology can improve a company’s price without the blockchain cost. This is because the traceability of the blockchain will improve the retailer’s brand image, increasing consumer trust, and the retail market price will rise. Even if the price is higher, consumers are willing to pay a higher price to buy products. Therefore, the retailer determines a relatively higher procurement price to stimulate the suppliers’ production. Meantime, the manufacturer encourages the supplier to increase production by increasing the wholesale price, and the optimal production of the supplier will also increase.
Proposition 1.
w 2 U N * > w 2 N N * , w 1 U N * > w 1 N N * , p U N * > p N N * , q a U N * > q a N N * .
Proposition 2 shows that compared with the supply chain not considering blockchain, the retailer’s profit, the manufacturer’s profit, the supplier’s profit, and the total profit of the supply chain are higher when the supply chain considers blockchain. We can see that blockchain technology can increase the retailer’s profit, the manufacturer’s profit, the supplier’s profit, and the total profit of the supply chain without the blockchain cost. Combining the conclusions of Proposition 1, we find that after considering the blockchain, the enterprise improves the pricing decision and optimal production volume, and the retail price of the market also increases. Therefore, the retailer makes more of a profit. When the supply chain adopts blockchain, the manufacturer’s and supplier’s profits also increase. This is because the traceability of the blockchain reduces the losses caused by product pollution by the manufacturer and supplier to a certain extent. In addition, by enhancing the brand image of enterprises, the manufacturer and the supplier will also benefit. Without considering the cost of blockchain, enterprises benefit more when the supply chain uses blockchain technology. In this scenario, companies are motivated to participate in blockchain technology. Compared with the supply chain without blockchain technology, the supply chain using blockchain technology can improve the total profit of the supply chain, which also shows that blockchain technology can effectively reduce the double marginalization effect of the supply chain.
Proposition 2.
E ( π r U N * ) > E ( π r N N * ) , E ( π m U N * ) > E ( π m N N * ) , E ( π s U N * ) > E ( π s N N * ) , E ( π t U N * ) > E ( π t N N * ) .

4.2. Impact of Relevant Parameters on Pricing Decisions and Profits of the Agricultural Supply Chain

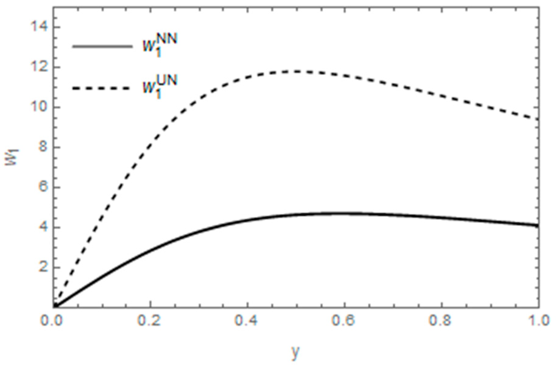
Property 1 shows that when the quadratic coefficient of the production cost is small, with the improvement of the manufacturer’s product quality, the wholesale price for the supplier increases first and then decreases. When the quadratic coefficient of production cost is large, the wholesale price for the supplier increases gradually with the improvement of product quality. This finding shows that whether blockchain technology is adopted or not, the supplier’s wholesale price is affected by the production cost’s quadratic coefficient and the manufacturer’s product quality. The manufacturer should consider the production cost and the quality of their products when making pricing decisions.
Property 1.
(1) When k ( 0 , z 2 2 + z 2 ) and   y ( 0 , 2 k + k z 2 z 2 ) , w 1 N N * y > 0 , w 1 U N * y > 0 ; (2) When k ( 0 , z 2 2 + z 2 ) and y [ 2 k + k z 2 z 2 , 1 ) , w 1 N N * y 0 , w 1 U N * y 0 ; (3) When k ( z 2 2 + z 2 , ) , w 1 N N * y > 0 , w 1 U N * y > 0 .
Property 2 shows that as the manufacturer’s product quality improves, the retailer’s profit gradually increases. When the quadratic coefficient of the production cost is small, the profits of the manufacturer and the supplier increase first and then decrease with the improvement of product quality. When the quadratic coefficient of production cost is large, the profits of the manufacturer and the supplier increase gradually with the improvement of product quality. This finding shows that whether blockchain technology is adopted or not, the retailer’s profit is always affected by the manufacturer’s product quality. The higher the qualification rate of the product produced by the manufacturer, the greater the benefit to the retailer. Similarly, the profit of the manufacturer and the supplier is affected by the quadratic coefficient of production cost and the quality of the manufacturer’s products. When the production cost of the manufacturer and the supplier is high, the manufacturer and the supplier can gain increased profits only through the manufacturer’s constant improving of product quality. When the production cost to the manufacturer and the supplier is low, the production scale of the enterprise is large, and the product quality of the manufacturer only reaches a certain threshold, the manufacturer and the supplier obtain the highest income. Therefore, the manufacturer and the supplier should fully consider the influence of the manufacturer’s product quality and their respective production costs when making decisions.
Property 2.
(1) E ( π r N N * ) y > 0 , E ( π r U N * ) y > 0 ; (2) when k ( 0 , z 2 2 + z 2 ) and y ( 0 , 2 k + k z 2 z 2 ) , E ( π m N N * ) y > 0 , E ( π m U N * ) y > 0 , E ( π s N N * ) y > 0 , E ( π s U N * ) y > 0 ; when k ( 0 , z 2 2 + z 2 ) and y [ 2 k + k z 2 z 2 , 1 ) , E ( π m N N * ) y 0 , E ( π m U N * ) y 0 , E ( π s N N * ) y 0 , E ( π s U N * ) y 0 ; when k ( z 2 2 + z 2 , ) , E ( π m N N * ) y > 0 , E ( π m U N * ) y > 0 , E ( π s N N * ) y > 0 , E ( π s U N * ) y > 0 .
Property 3 shows that whether blockchain technology is adopted or not, a retailer’s profit is always double that of a manufacturer, and a manufacturer’s profit is always double that of a supplier. This finding shows that downstream enterprises in the supply chain always benefit more than upstream enterprises whether blockchain technology is adopted. This is because the dominant retailer can obtain greater profit through a strong pricing position. For the manufacturer, without adopting blockchain technology, although they bear the cost of pollution, the manufacturer also has pricing power which can be based on factors such as their revenue and product quality. In bacterial contamination, the supplier receives a lower wholesale price and the upstream supplier still benefits the least. When blockchain technology is used, the pollution cost can be allocated to the responsible party without blockchain costs, so the manufacturer’s profit is always higher than the supplier’s profit, and the retailer’s profit is always higher than the manufacturer’s profit, with a large profit gap. In reality, decision makers are usually not completely rational. When the profit gap between the game leader and the follower is large, the leader of the supply chain tends to consider the interests of the follower for the healthy and sustainable development of the supply chain.
Property 3.
E ( π r N N * ) E ( π m N N * ) > 2 , E ( π m N N * ) E ( π s N N * ) > 2 ; E ( π r U N * ) E ( π m U N * ) > 2 , E ( π m U N * ) E ( π s U N * ) > 2 .

4.3. Impact of Altruistic Preference on Pricing Decisions and Profits of Agricultural Supply Chain

Proposition 3 shows that, compared with the retailer without altruistic preference, the wholesale price and the optimal output are higher in the retailer’s altruistic preference, and the retail price is lower in the retailer’s altruistic preference. Proposition 3 shows that when the retailer has altruistic preferences, the interests of the manufacturer are taken into account, and are mainly reflected in the wholesale price provided by the retailer upstream to the manufacturer. The retailer makes profits for the manufacturer by raising the wholesale price. The manufacturer gains more by raising the wholesale price to stimulate the supplier to increase production. The supplier raises the optimal output under the incentive of the manufacturer’s wholesale price, the number of products flowing into the market increases, and the retail price of the product decreases.
Proposition 3.
w 2 N F * > w 2 U N * , w 1 N F * > w 1 U N * , q a N F * > q a U N * , p N F * < p U N * .
Proposition 4 shows that, compared with the retailer without altruistic preference, the manufacturer’s profit, the supplier’s profit, and the total profit of the supply chain are higher in the retailer’s altruistic preference, and the retailer’s profit is lower in the retailer’s altruistic preference. This conclusion shows that when the retailer has altruistic preferences, the manufacturer and the supplier will benefit. Although the retailer will lose some profit, the total profit of the supply chain will increase. Combining the conclusions of Proposition 3, we find that when the retailer has altruistic preferences, the wholesale price and production will have increased. Therefore, the manufacturer and the supplier will be more profitable. Although the retailer’s altruism reduces the retailer’s profit, the total profit of the supply chain increases.
Proposition 4.
E ( π r N F * ) < E ( π r U N * ) , E ( π m N F * ) > E ( π m U N * ) , E ( π s N F * ) > E ( π s U N * ) , E ( π t N F * ) > E ( π t U N * ) .
Wang et al. [34] revealed that the retailer’s altruistic preference helps to improve the manufacturer’s profit and system efficiency, but reduces the retailer’s profit. This observation concurs with Wang et al. [34], and this paper finds that when the dominant retailer has an altruistic preference, the retailer’s altruistic preference can improve the profit of the manufacturer and the supplier as well as the overall profit of the supply chain.
Property 4.
E ( π r N F * ) γ < 0 , E ( π m N F * ) γ > 0 , E ( π s N F * ) γ > 0 , ( E ( π r N F * ) E ( π r U N * ) ) γ < 0 , ( E ( π m N F * ) E ( π m U N * ) ) γ > 0 , ( E ( π s N F * ) E ( π s U N * ) ) γ > 0 .
Property 4 shows that as the altruistic coefficient increases, the profit of the retailer decreases, and the profit of the manufacturer and supplier increases. With the increase of the altruistic coefficient, the profit gap between the retailer, the manufacturer and the supplier with altruistic preference and the retailer, the manufacturer and the supplier without altruistic preference increases gradually. This conclusion also shows that the stronger the retailer’s altruistic consciousness, the lower the retailer’s profit, the higher the profit of the manufacturer and the supplier. The profit of the retailer, this manufacturer and the supplier is related to the strength of the retailer’s sense of altruism. The stronger the retailer’s altruistic consciousness is, the more beneficial it is to the manufacturer and the supplier.

5. Extensions

In this section, we will further explore the impact of the blockchain cost on the pricing decisions and profits of supply chain members.

5.1. Model Construction Considering Blockchain Cost (UU)

According to Niu et al. [26] and Giovanni [35], deploying a blockchain system is very costly and includes both the fixed input cost and the unit variable cost for blockchain. When bacterial contamination occurs in the agricultural supply chain, the retailer can directly find the responsible upstream manufacturer. However, this manufacturer and this supplier produce and process agricultural products. Once bacterial contamination occurs, the manufacturer cannot determine whether the pollution comes from its own company or the upstream supplier, so he has to bear all of the pollution costs. Therefore, the manufacturer is motivated to deploy the blockchain. This paper considers the scenario where the manufacturer deploys the blockchain technology, and the retailer and the supplier use the blockchain technology for free (UU). The profit function for the manufacturer is as follows.
M a x   E ( π m U U ( w 1 ) ) = w 2 y q b w 1 x q a k q b 2 2 c l c t q b
Since the supplier and the retailer do not bear the cost of deploying the blockchain, their profit function is consistent with that without considering the blockchain cost (Equations (6) and (8)).
The game sequence is the same as without blockchain. According to the inverse solution method, Theorem 4 can be obtained.
Theorem 4.
In scenario UU, the optimal wholesale prices set by the manufacturer and the retailer are: w 2 U U * = a k y ( 2 + z 2 ) ( 1 + λ ) + ( 2 y 2 z 2 + k ( 2 + z 2 ) ) c t 2 ( y 3 z 2 + k y ( 2 + z 2 ) ) , w 1 U U * = k z ( a y ( 1 + λ ) c t ) 2 x ( y 2 z 2 + k ( 2 + z 2 ) ) , the optimal production quantity set by the supplier is: q a U U * = z ( a y ( 1 + λ ) c t ) 2 ( y 2 z 2 + k ( 2 + z 2 ) ) , the manufacturer’s optimal output is: q b U U * = z 2 ( a y ( 1 + λ ) c t ) 2 ( y 2 z 2 + k ( 2 + z 2 ) ) , the optimal retail price in the market is: p U U * = a ( y 2 z 2 + 2 k ( 2 + z 2 ) ) ( 1 + λ ) + y z 2 c t 2 ( y 2 z 2 + k ( 2 + z 2 ) ) , the total profits of the retailer, the manufacturer, the supplier, and supply chains are: E ( π r U U * ) = z 2 ( a y ( 1 + λ ) + c t ) 2 4 ( y 2 z 2 + k ( 2 + z 2 ) ) , E ( π m U U * ) = c l + k z 2 ( 2 + z 2 ) ( a y ( 1 + λ ) + c t ) 2 8 ( y 2 z 2 + k ( 2 + z 2 ) ) 2 , E ( π s U U * ) = k z 2 ( a y ( 1 + λ ) + c t ) 2 8 ( y 2 z 2 + k ( 2 + z 2 ) ) 2 , E ( π t U U * ) = c l + z 2 ( 7 k + ( 3 k + 2 y 2 ) z 2 ) ( a y ( 1 + λ ) + c t ) 2 8 ( 2 k + ( k + y 2 ) z 2 ) 2 .
Proposition 5.
w 2 U U * > w 2 N N * , p U U * > p N N * .
Proposition 5 shows that compared with the supply chain not considering blockchain, the manufacturer’s wholesale price and the retail price are higher when the supply chain blockchain cost is considered. Although considering the blockchain cost, this retail price and the manufacturer’s wholesale price are still higher when using blockchain technology. This is because blockchain technology can enhance the brand image of enterprises and increase consumer trust. Therefore, consumers are willing to pay higher retail prices, and the retailer’s profit will increase. The retailer will set a higher wholesale price for the manufacturer, which is consistent with not considering the blockchain cost.
Proposition 6.
(1) when c t ( 0 , a y a x y + a y λ ] , w 1 U U * w 1 N N * ; when c t ( a y a x y + a y λ , a y + a y λ ) , w 1 U U * < w 1 N N * ; (2) when c t ( 0 , a y λ ] , q a U U * q a N N * ; when c t ( a y λ , a y ( 1 + λ ) ) , q a U U * < q a N N * .
Proposition 6 shows that when the unit variable cost of the blockchain is low, compared with the supply chain without blockchain, the supplier’s wholesale price and optimal output are higher when the blockchain cost is considered. When the unit variable cost of the blockchain is high, compared with the supply chain without blockchain, the supplier’s wholesale price and optimal output are lower when the blockchain cost is considered. Proposition 6 reveals that the manufacturer will consider the impact of the unit variable cost of the blockchain when making pricing decisions. When the unit variable cost of the blockchain is high, the manufacturer’s cost also increases, and the manufacturer sets a lower wholesale price based on maximizing its revenue. Similarly, the supplier formulates lower production based on its revenue maximization. When the unit variable cost of the blockchain is low, the manufacturer sets a higher wholesale price to encourage the supplier to increase production. The supplier is motivated by the manufacturer to produce more qualified products.
Proposition 7.
(1) when c t ( 0 , a y λ ] , E ( π r U U * ) E ( π r N N * ) , E ( π s U U * ) E ( π s N N * ) ; (2) when c t ( a y λ , a y ( 1 + λ ) ) , E ( π r U U * ) < E ( π r N N * ) , E ( π s U U * ) < E ( π s N N * ) .
Proposition 7 shows that when the unit variable cost of the blockchain is low, compared with the supply chain without blockchain, the profits of the retailer and the supplier are higher when the blockchain cost is considered. When the unit variable cost of the blockchain is high, compared with the supply chain without blockchain, the retailer’s profit and the supplier’s profit are lower when the blockchain cost is considered. This conclusion also shows that the profit of the retailer and supplier is affected by the unit variable cost of blockchain. When the unit variable cost of the blockchain is high, the profit of the retailer and the supplier will be reduced. This means that the retailer and the supplier indirectly bear the cost of the blockchain. Proposition 7 reveals that a sufficiently high unit variable cost of blockchain will damage the profits of the retailer and the supplier.
Proposition 8.
(1) when c t ( 0 , a y λ ) and c l ( 0 , k z 2 ( 2 + z 2 ) ( a 2 y 2 λ ( 2 + λ ) 2 a y ( 1 + λ ) c t + c t 2 ) 8 ( y 2 z 2 + k ( 2 + z 2 ) ) 2 ] , E ( π m U U * ) E ( π m N N * ) ; (2) when c t [ a y λ , a y ( 1 + λ ) ) and c l ( 0 , k z 2 ( 2 + z 2 ) ( a 2 y 2 λ ( 2 + λ ) 2 a y ( 1 + λ ) c t + c t 2 ) 8 ( y 2 z 2 + k ( 2 + z 2 ) ) 2 ) , E ( π m U U * ) < E ( π m N N * ) ; (3) when c t ( 0 , a y ( 1 + λ ) ] , and c l ( k z 2 ( 2 + z 2 ) ( a 2 y 2 λ ( 2 + λ ) 2 a y ( 1 + λ ) c t + c t 2 ) 8 ( y 2 z 2 + k ( 2 + z 2 ) ) 2 , k z 2 ( 2 + z 2 ) ( a y ( 1 + λ ) + c t ) 2 8 ( y 2 z 2 + k ( 2 + z 2 ) ) 2 ) , E ( π m U U * ) < E ( π m N N * ) .
Proposition 8 shows that when the unit variable cost and fixed input cost of the blockchain are low, compared with the supply chain without blockchain, the manufacturer’s profit is higher when the blockchain cost is considered. When the unit variable cost and fixed input cost of the blockchain are high, compared with the supply chain without blockchain, the manufacturer’s profit is lower when the blockchain cost is considered. When the unit variable cost of the blockchain is low and the fixed input cost is high, compared with the supply chain without blockchain, the manufacturer’s profit is lower when the blockchain cost is considered. This also means that the manufacturer’s profit is affected by the blockchain’s double cost. When the two costs of the blockchain are low, the manufacturer benefits more from the blockchain technology. At this time, the manufacturer has the incentive to deploy blockchain technology. Combining the conclusions of Proposition 7, this paper further finds that when the cost of deploying blockchain is high, blockchain technology will damage the interests of enterprises. We observe an interesting result in that the excessive blockchain cost will aggravate the double marginalization effect of the supply chain to a certain extent.

5.2. Model Construction Considering Blockchain Cost and Altruistic Preference (NU)

Since the manufacturer bears the cost of deploying the blockchain, the retailer and its upstream supplier participate in the blockchain technology for free. In order to encourage the manufacturer to deploy blockchain technology, the retailer often has an altruistic preference (Ge and Hu [18]). This paper refers to the situation where the retailer has altruistic preferences as NU. Combined with Formula 9, Theorem 5 can be obtained by the reverse order method.
Theorem 5.
In scenario NU, the optimal wholesale prices set by the manufacturer and the retailer are: w 2 N U * = a k y ( 2 + z 2 ) ( 1 + λ ) + ( 2 y 2 z 2 k ( 1 + λ ) ( 2 + z 2 ) ) c t 2 y 3 z 2 k y ( 2 + γ ) ( 2 + z 2 ) , w 1 N U * = k z ( a y ( 1 + λ ) + c t ) 2 x y 2 z 2 + k x ( 2 + γ ) ( 2 + z 2 ) , the optimal production quantity set by the supplier is: q a N U * = z ( a y ( 1 + λ ) + c t ) 2 y 2 z 2 + k ( 2 + γ ) ( 2 + z 2 ) , the manufacturer’s optimal output is: q b N U * = z 2 ( a y ( 1 + λ ) c t ) 2 y 2 z 2 k ( 2 + γ ) ( 2 + z 2 ) , the optimal retail price in the market is: p N U * = a ( y 2 z 2 + k ( 2 + γ ) ( 2 + z 2 ) ) ( 1 + λ ) y z 2 c t 2 y 2 z 2 + k ( 2 + γ ) ( 2 + z 2 ) , the total profits of the retailer, the manufacturer, the supplier, and supply chains are: E ( π r N U * ) = z 2 ( y 2 z 2 k ( 1 + γ ) ( 2 + z 2 ) ) ( a y ( 1 + λ ) + c t ) 2 ( 2 y 2 z 2 + k ( 2 + γ ) ( 2 + z 2 ) ) 2 , E ( π m N U * ) = c l + k ( 2 + z 2 ) ( a y z ( 1 + λ ) z c t ) 2 2 ( 2 y 2 z 2 + k ( 2 + γ ) ( 2 + z 2 ) ) 2 , E ( π s N U * ) = k z 2 ( a y ( 1 + λ ) + c t ) 2 2 ( 2 y 2 z 2 + k ( 2 + γ ) ( 2 + z 2 ) ) 2 , E ( π t N U * ) = c l + ( 2 y 2 z 2 + k ( 7 + 3 z 2 2 γ ( 2 + z 2 ) ) ) ( a y z ( 1 + λ ) z c t ) 2 2 ( 2 y 2 z 2 + k ( 2 + γ ) ( 2 + z 2 ) ) 2 .
Proposition 9.
When c t ( 0 , a y + a y λ ) , w 2 N U * > w 2 U U * , w 1 N U * > w 1 U U * , q a N U * > q a U U * , q b N U * > q b U U * , p N U * < p U U * , E ( π r N U * ) < E ( π r U U * ) , E ( π m N U * ) > E ( π m U U * ) , E ( π s N U * ) > E ( π s U U * ) , E ( π t N U * ) > E ( π t U U * ) .
Proposition 9 shows that when the unit variable cost of the blockchain is within a certain range, compared with the retailer without altruistic preferences, the wholesale price, the optimal yield, and the profit of the manufacturer and the supplier are higher than the retailer with altruistic preferences. However, the retail price and the retailer’s profit are lower than when the retailer has altruistic preferences, which means that the pricing decision and profit of the retailer with altruistic preferences are affected by the unit variable cost of the blockchain. When the unit variable cost of the blockchain is within a certain range, the retailer’s altruistic preference makes each enterprise make the decision to increase prices. At the same time, the retailer’s altruistic consciousness increases the profit of the manufacturer, supplier and the total profit of the supply chain, but decreases the retail price and the profit of the retailer. The pricing decisions and profits of the retailer, the manufacturer, and the supplier are affected by the blockchain unit variable cost and the retailer’s altruistic awareness. When the unit variable cost of the blockchain is within a certain threshold, the retailer’s altruistic consciousness can increase the profits of the manufacturer, the supplier, and the entire supply chain.
Property 5.
E ( π r N U * ) γ < 0 , E ( π m N U * ) γ > 0 , E ( π s N U * ) γ > 0 , ( E ( π r N U * ) E ( π r U U * ) ) γ < 0 , ( E ( π m N U * ) E ( π m U U * ) ) γ > 0 , ( E ( π s N U * ) E ( π s U U * ) ) γ > 0 .
Consistent with Property 4, Property 5 shows that when considering the blockchain cost, as the altruistic coefficient increases, the retailer’s profit of the retailer gradually decreases, and the profits of the manufacturer and the supplier gradually increase. When considering the blockchain cost, with the increase of the altruistic coefficient, the gap between retailer profit, manufacturer profit, and supplier profit in the scenario of altruistic preference and retailer profit, manufacturer profit, and supplier profit in the scenario of without altruistic preference gradually increases. Property 5 reveals that the retailer’s altruistic consciousness has a positive impact on improving the profits of the manufacturer and the supplier, and harms the chances of improving the profits of the retailer, and the specific impact is related to the strength of the retailer’s altruistic consciousness. Specifically, the retailer’s sense of altruism is conducive to improving the profits of the manufacturer and the supplier, not to improving the profit of the retailer. As the retailer’s altruistic awareness increases, the profits of the manufacturer and the supplier also gradually increase, and the profits of the retailer gradually decrease.

6. Numerical Analysis

6.1. Data Sources and Analysis

In this section, we illustrate the discussion in the previous sections of some propositions and properties. Our intention is to further prove the correctness of the propositions and properties.
We mainly analyze supply chain members’ pricing and profit changes in three parts. In the first part, we consider the impact of product quality and blockchain traceability on supply chain pricing decisions and performance. We analyze the effect of product quality parameters on member pricing and member profit by assigning values to the equilibrium solution. In the second part, we probe the impact of blockchain unit variable cost on the supply chain and further analyze whether blockchain fixed cost is also a factor affecting supply chain decisions. In the third part, we research the influence of the retailer’s altruistic preferences when the retailer has an altruistic preference and how the profits of enterprises are changing.
Referring to the parameter settings in the literature of Niu et al. [26], we assign the parameters as shown in Table 3.

6.2. Impact of Product Quality and Blockchain Traceability

To verify and analyze the previous propositions and properties, this part uses software to analyze the relevant parameters. The parameters are selected according to the limited conditions, assuming that a = 100 , z = 0.9 , λ = 0.056 , y = 0.5 , x = 0.5 .
As shown in Figure 2 and Figure 3, whether blockchain technology is adopted or not, the supplier’s wholesale price is affected by the manufacturer’s product qualification rate and the quadratic coefficient of the production cost. When the quadratic coefficient of the production cost is small, the supplier’s wholesale price increases first and then decreases as the manufacturer’s product qualification rate increases. When the quadratic coefficient of production cost is large, the supplier’s wholesale price increases as the manufacturer’s product qualification rate increases. Figure 2 and Figure 3 reveal that the manufacturer will be affected by production cost and product quality when making pricing decisions. When producing products, the manufacturer should focus on reducing the production cost based on meeting product quality. When the production cost cannot be reduced, the manufacturer should focus on improving product quality. Compared with the scenario without blockchain, the wholesale price is higher in the scenario of blockchain. This shows that when the manufacturer adopts blockchain technology, the manufacturer will benefit from it. In order to stimulate supplier production, the manufacturer will make higher pricing decisions.
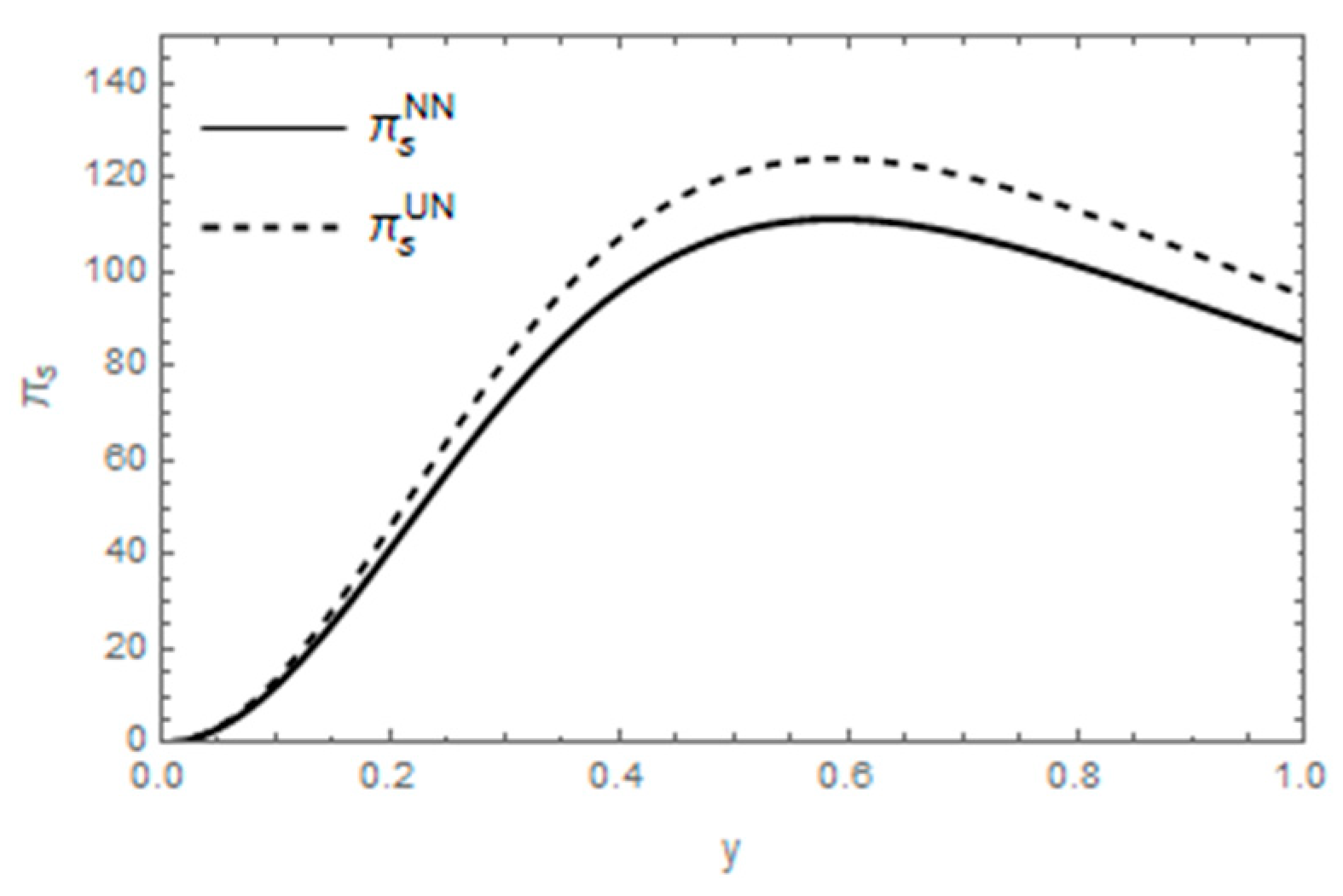
As clearly shown in Figure 4, whether the blockchain technology is adopted or not, as the manufacturer’s product qualification rate increases, the retailer’s profit will also increase significantly, which shows that the retailer’s profit is affected by the product qualification rate. As clearly shown in Figure 5, Figure 6, Figure 7 and Figure 8, whether the blockchain technology is adopted or not, when the quadratic coefficient of the production cost is small, as the product qualification rate of the manufacturer increases, the profits of the manufacturer and the supplier will first rise and then decrease. When the quadratic coefficient of production cost is large, the profit of the manufacturer and the supplier will increase as the product qualification rate of the manufacturer increases. This also means that when the production cost is enormous, the manufacturer and the supplier can benefit more by producing more qualified products. When the production cost is small, the manufacturer and supplier have a large production scale. When the product qualification rate reaches a certain value, the manufacturer and retailer benefit the most. The profit of the retailer, the manufacturer, and the supplier in the blockchain scenario is always higher. Figure 4, Figure 5, Figure 6, Figure 7 and Figure 8 reveal that to improve the retailer’s profits, the retailer should pay attention to the manufacturer’s product quality when products are at wholesale. To improve the profits of the manufacturer and the supplier, the manufacturer and the supplier should pay attention to the influence of production cost and product qualification rate when making decisions. Blockchain technology can increase the profits of the retailer, the manufacturer, the supplier, and the supply chain’s total profit. This indicates that blockchain traceability can alleviate the double marginalization effect of the supply chain.

6.3. Impact of Blockchain Unit Variable Cost

The parameters are selected according to the limited conditions, assuming that a = 50 , k = 1 , z = 0.9 , λ = 0.056 , y = 0.5 , x = 0.5 , c l = 0.5 .
Figure 9 and Figure 10 show that when blockchain technology is not adopted, the unit variable cost of blockchain does not affect the supplier’s wholesale price and the optimal output. When considering blockchain technology, as the unit variable cost of blockchain increases, the wholesale price and optimal output of the supplier gradually decrease. When the unit variable cost of the blockchain reaches a certain threshold, the wholesale price and optimal output of the supplier are lower than those without the blockchain. Figure 9 and Figure 10 reveal that the manufacturer and the supplier take into account the impact of the unit variable cost of the blockchain when making pricing decisions. The manufacturer should focus on reducing the unit variable cost of deploying the blockchain in the production process. The excessive unit variable cost of the blockchain will affect the optimal output of the product.
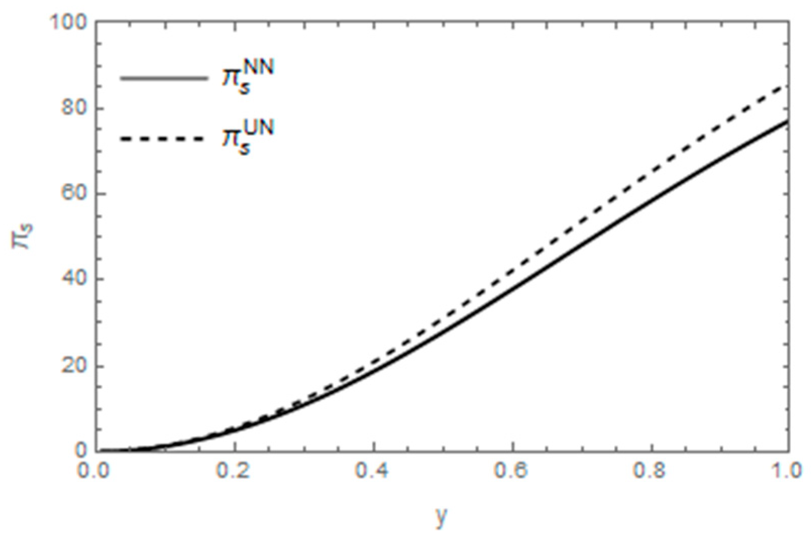
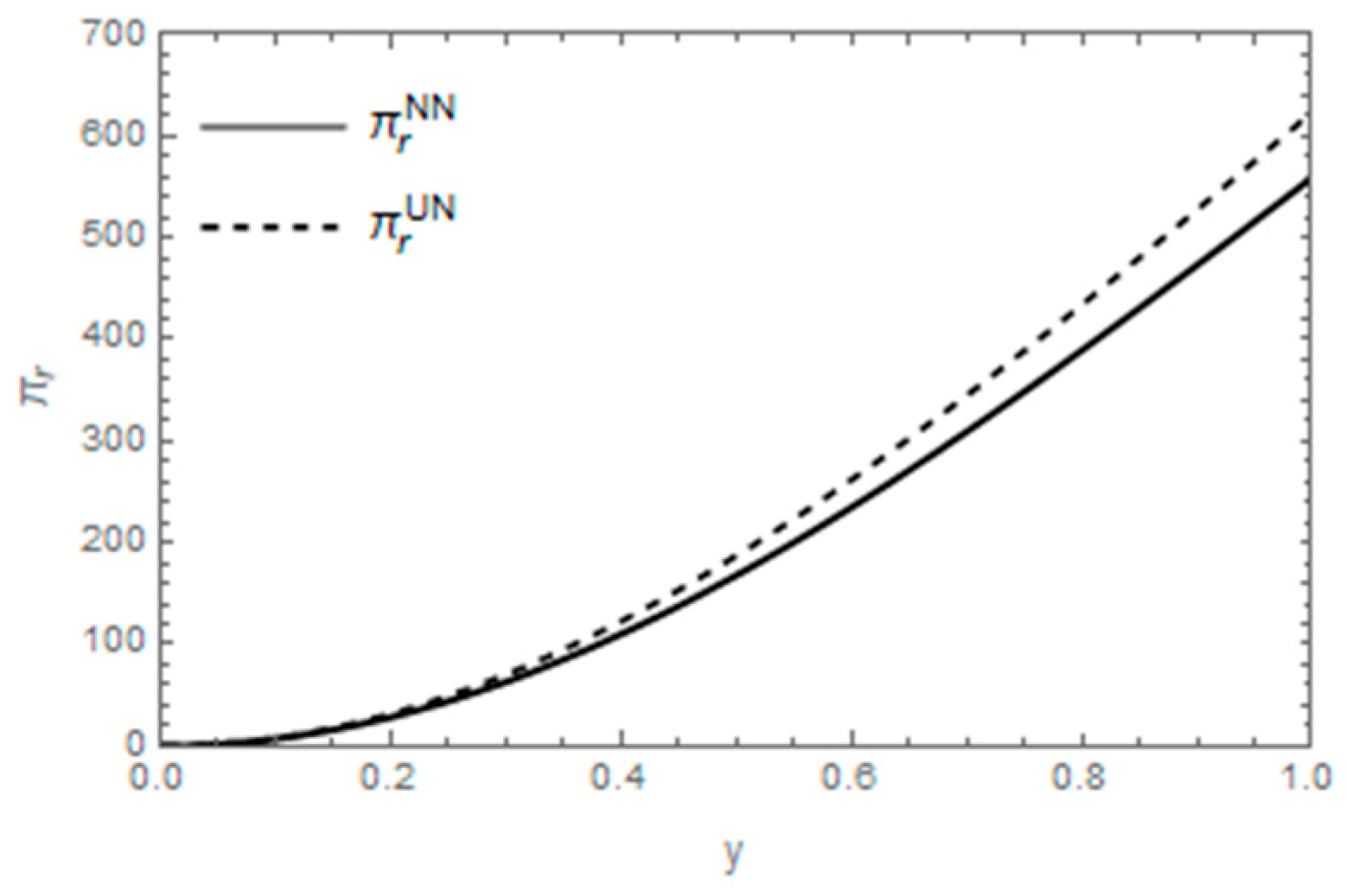
As brilliantly described in Figure 11 and Figure 12, when blockchain technology is not adopted, the unit variable cost of the blockchain does not affect the profits of the retailer and the supplier. When considering blockchain traceability, as the unit variable cost of the blockchain increases, the profit of the retailer and the supplier gradually decreases. When the unit variable cost of blockchain reaches a certain threshold, the profit of the retailer and the supplier is lower than the scenario without blockchain. In this case, the retailer and the supplier have no incentive to participate in blockchain technology. Because the manufacturer bears the cost of deploying the blockchain, the fixed input cost of the blockchain does not affect the profit of the retailer and the supplier.
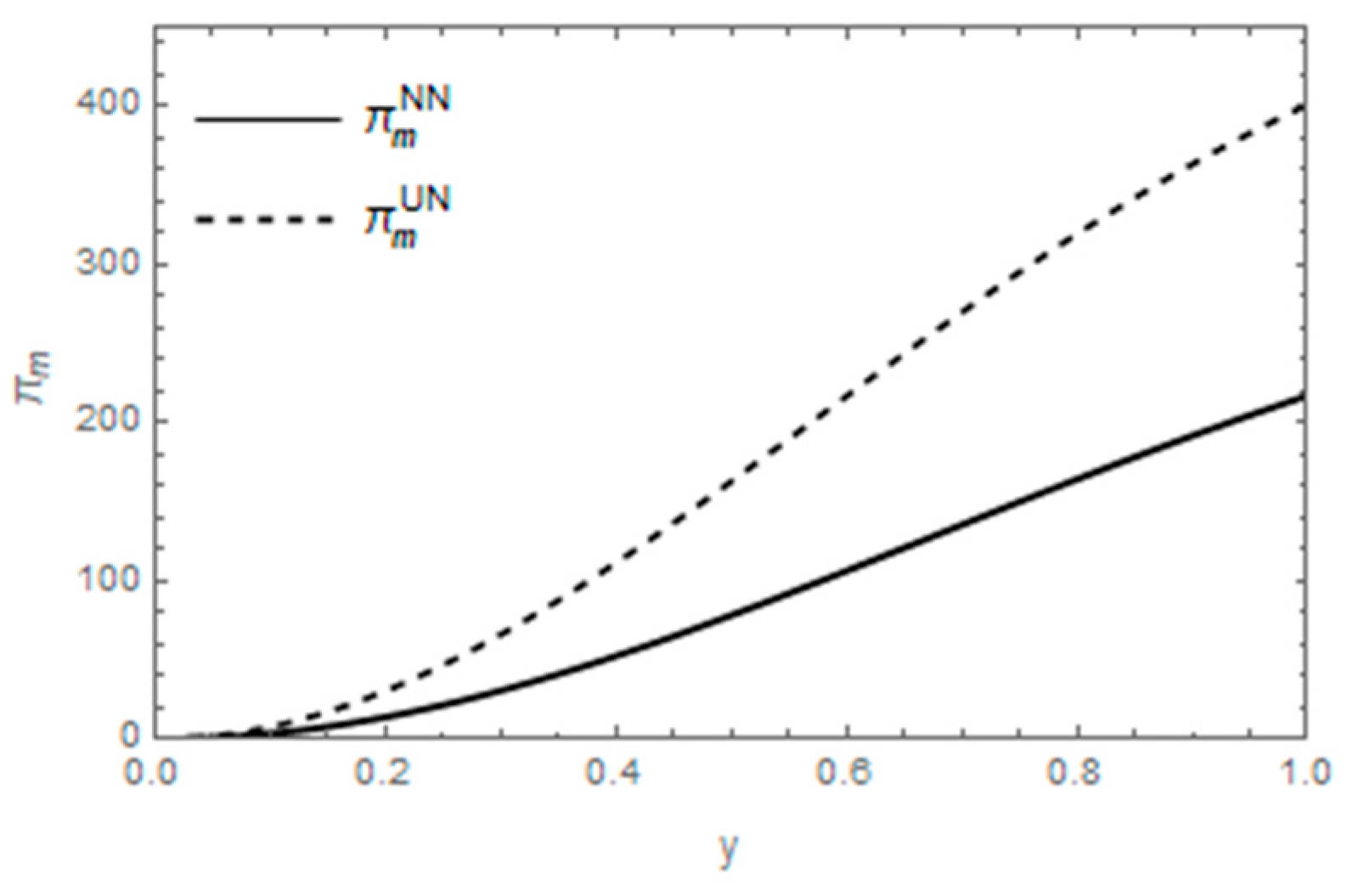
As vividly depicted in Figure 13 and Figure 14, when blockchain technology is not adopted, the unit variable cost of the blockchain does not affect the manufacturer’s profit. With the increasing unit variable cost of blockchain, the manufacturer’s profit is declining. At the same time, we find that the manufacturer’s deployment of blockchain technology is profitable when the unit variable cost and fixed input cost of blockchain are low. It is unprofitable for the manufacturer to deploy blockchain technology when one or both of the unit variable cost and the fixed input cost of blockchain reach a certain threshold.
Figure 11, Figure 12, Figure 13 and Figure 14 reveal that when considering blockchain traceability, the impact of the unit variable cost of blockchain and the fixed input cost of blockchain should be considered comprehensively. The profits of the retailer and the supplier are affected by the unit variable cost of the blockchain. The blockchain unit variable cost and fixed input cost affect the manufacturer’s profit. When the unit variable cost of blockchain reaches a certain threshold, the profits of the retailer, the manufacturer, and the supplier considering blockchain technology are lower than those without considering blockchain technology. The higher the blockchain fixed input cost, the lower the manufacturer’s profit. At this time, the manufacturer has no incentive to deploy blockchain technology, which is consistent with reality. When the unit variable cost of the blockchain and the fixed input cost of the blockchain are both low, the retailer, the manufacturer, and the supplier have the motivation to utilize blockchain technology. We observe that all the supply chain parties are less willing to participate in the blockchain if the fixed input cost is large or the unit variable cost is high. These results are in line with our intuition. This further reveals that when the unit variable cost and fixed input cost of blockchain are too high, blockchain technology aggravates the double marginalization effect of the supply chain.
As vividly depicted in Figure 15, when the manufacturer bears the cost of deploying the blockchain, the retailer’s profit is still higher than that of the manufacturer, and the manufacturer’s profit is higher than that of the supplier. The dominant retailer has strong pricing power, so the retailer’s profit is always higher than that of the upstream manufacturer. Since the manufacturer bears the blockchain cost, the supply chain can quickly find the source of pollution and the responsible party when bacterial contamination occurs. This situation may seem unfavorable to the supplier, but blockchain traceability has enabled the manufacturer to increase the wholesale price, and the supplier can still benefit from higher wholesale prices and higher production. Figure 15 reveals that the profit gap between the game leader and the follower in the agricultural supply chain is too large. To ensure the healthy and sustainable development of the supply chain, the leader should have altruistic consciousness and consider the interests of the follower more.

6.4. Impact of Altruistic Preferences

This section analyzes the profits with and without altruistic preference under the consideration of blockchain cost. The parameters are selected according to the limited conditions, assuming that a = 50 , k = 1 , z = 0.9 , λ = 0.056 , y = 0.5 , x = 0.5 , c l = 0.5 , c t = 5 .
Figure 16 shows that when the retailer has altruistic consciousness, the profit gap between the retailer with altruistic preference and the retailer without altruistic preference gradually increases. That is, the stronger the retailer’s altruistic consciousness, the lower the retailer’s profit. The gap between the manufacturer’s profit and the supplier’s profit under the altruistic preference scenario and the manufacturer’s profit and the supplier’s profit under the without altruistic preference scenario gradually increases. That is, the stronger the retailer’s altruistic consciousness, the higher the profits of the manufacturer and the supplier. Figure 16 reveals that the retailer’s altruistic preference behavior can increase the profits of the manufacturer and the supplier and reduce the profits of the retailer. The stronger the retailer’s altruistic consciousness is, the more favorable it is for the manufacturer and the supplier.

7. Conclusions

This paper investigates the impact of blockchain traceability on pricing decisions and the profit of enterprises in a single-channel three-level supply chain. Different from previous studies on single-channel three-level supply chains, this paper is the first to combine blockchain technology with enterprise altruistic preference explicitly. By constructing different decision models, we analyzed the impact of blockchain traceability and the retailer’s altruistic preferences on corporate pricing decisions and demonstrated under what circumstances companies have the motivation to participate in blockchain technology. Our work contributes by studying an interesting but important application of blockchain in agricultural supply chains. The main conclusions are as follows: (1) Blockchain traceability can improve the price and profits of enterprises without considering the cost of blockchain in which scenario enterprises are motivated to participate in the blockchain. However, when blockchain cost is considered, blockchain traceability can increase the retail price and the wholesale price set by the retailer, while the wholesale price set by the manufacturer and the optimal output of the supplier is affected by the unit variable cost of the blockchain. The profits of the retailer and the supplier are affected by the unit variable cost of the blockchain. The manufacturer’s profit is affected by the unit variable cost of the blockchain and the fixed input cost of the blockchain. When the unit variable cost of the blockchain is too high, the retailer and the supplier benefit more from not using blockchain traceability. The lower the unit variable cost and the fixed input cost of the blockchain, the more the manufacturer benefits. When the unit variable cost of blockchain and the fixed input cost of blockchain are lower than their respective thresholds, the members of the supply chain have the motivation to participate in blockchain technology. (2) When there is no blockchain cost, the use of blockchain traceability in the supply chain can improve overall profit and alleviate the double marginalization effect. Surprisingly, when considering the blockchain cost, the high cost makes the supplier, the manufacturer, and the retailer unable to benefit from the blockchain, which indicates that the excessive blockchain cost aggravates the double marginalization effect of the supply chain. (3) Without considering the blockchain cost, the retailer’s altruistic awareness can increase the profits of the manufacturer and supplier and reduce the retailer’s profits. When there is a blockchain cost, and the unit variable cost of the blockchain is low, the retailer’s altruistic awareness can increase profits for the manufacturer and the supplier and reduce profits for the retailer.
Consistent with Cui et al. [3], in three-level supply chains, we observe that traceability always improves all firms’ profits and creates a win-win situation without considering the cost of blockchain. In addition, our paper also considers the cost of blockchain. We reached the same conclusion as Niu et al. [26]. We revealed that all the supply chain parties are less willing to participate in the blockchain if the fixed input cost is high or the unit operational cost is large. These results are in line with our intuition. Interestingly, we find that when the unit operational cost and fixed input cost of the blockchain are high, the double marginalization effect of the supply chain will be aggravated. This is different from the existing literature.
The research in this paper reveals the following management implications: (1) The excessive blockchain cost will increase the double marginalization effect of the supply chain under certain conditions. Therefore, while deploying blockchain, enterprises should take some measures to reduce the blockchain cost to improve their profits. (2) When the enterprise profit gap is large, the leader, in consideration of their interests at the same time, should give due consideration to the interests of followers to ensure the healthy and sustainable development of the supply chain. (3) The altruistic preference of the retailer has a certain relationship with the variable cost of blockchain. The manufacturer can indirectly reduce the total cost of blockchain changes by improving product quality. At this time, the retailer’s altruistic awareness is beneficial to the manufacturer, the supplier, and the entire supply chain. For the retailer, he can also maintain long-term cooperation with the manufacturer.
Since this paper reveals that the high cost of blockchain will aggravate the double marginalization effect of the supply chain to a certain extent, future research can consider the pricing decision and profit of the agricultural supply chain based on blockchain traceability with government subsidy and explore whether government subsidy can weaken the negative impact of the high cost of blockchain.

Author Contributions

All authors made substantial contributions to this work. T.L. and X.X. cooperated to develop the research idea. T.L. and W.L. guided X.X. to implement this paper; W.L. and C.S. polished and made some suggestions to improve it. All authors have read and agreed to the published version of the manuscript.

Funding

This research was funded by Shandong Provincial Social Science Foundation of China (grant no. 22DGLJ28); the Humanities and Social Sciences Foundation of Ministry of Education of China (grant no. 22YJC630067); and the Shandong Provincial Natural Science Foundation of China (grant no. ZR2020QG001, grant no. ZR202111300302).

Institutional Review Board Statement

Not applicable.

Informed Consent Statement

Not applicable.

Data Availability Statement

No new data were created or analyzed in this study. Data sharing is not applicable to this article.

Acknowledgments

We are grateful to editors and anonymous referee for their very valuable comments and suggestions.

Conflicts of Interest

The authors declare that they have no conflict of interest.

Appendix A

Appendix A provides the NN scenario and some proofs of propositions and properties. Due to space constraints, we have omitted some details of the similar calculation process.
Scenario NN.
In scenario NN, each enterprise makes the optimal decision to maximize its profit. Firstly, it is obvious that π s N N ( q a ) is concave w.r.t q a because 2 π s N N ( q a ) q a 2 = k < 0 . Let π s N N ( q a ) q a = 0 , then the optimal feedback function is q a N N = w 1 k . Furthermore, It is easy to obtain 2 π m N N ( w 1 ) w 1 2 = 2 k z 2 k < 0 , which shows that π m N N ( w 1 ) is a strictly concave function about w 1 . According to the first-order condition, w 1 N N = y z w 2 2 + z 2 can be obtained, and then w 1 N N is substituted into π r N N ( w 2 ) to obtain 2 π r N N ( w 2 ) w 2 2 = 2 y 4 z 4 k 2 ( 2 + z 2 ) 2 2 y 2 z 2 k ( 2 + z 2 ) < 0 . It can be seen that π r N N ( w 2 ) is a strictly concave function about w 2 . According to the first-order condition, w 2 N N * = a k ( 2 + z 2 ) 2 ( y 2 z 2 + k ( 2 + z 2 ) ) can be obtained. Substituting w 2 N N * into w 1 N N can obtain w 1 N N * , and bringing w 1 N N * into q a N N can obtain q a N N * . Finally, the optimal decisions are substituted into the profit function of the retailer, manufacturer, and supplier respectively to obtain the maximum profit of the supplier, manufacturer, and retailer.
Scenario UN(NF, UU, NU).
The derivation of equilibrium solutions of scenarios UN, NF, UU and NU are similar to scenario NN; we have omitted it here for the sake of brevity.
Proof of Proposition 1.
w 2 UN * w 2 NN * = ak ( 2 + θ 2 ) λ 2 ( y 2 θ 2 + k ( 2 + θ 2 ) ) > 0 , w 1 UN * w 1 NN * = akyz ( 1 x + λ ) 2 x ( y 2 z 2 + k ( 2 + z 2 ) ) > 0 , p UN * p NN * = a ( y 2 z 2 + 2 k ( 2 + z 2 ) ) λ 2 ( y 2 z 2 + k ( 2 + z 2 ) ) > 0 , q a UN * q a NN * = ayz λ 4 k + 2 kz 2 + 2 y 2 z 2 > 0 . It follows that w 2 UN * > w 2 NN * , w 1 UN * > w 1 NN * , p UN * > p NN * , q a UN * > q a NN * . □
Proposition 2–5.
The proof processes of Proposition 2–5 are similar to Proposition 1, and here we have omitted it for the sake of brevity.
Proof of Property 1.
Through w 1 NN * y = ak ( y 2 z 3 + kz ( 2 + z 2 ) ) 2 ( y 2 z 2 + k ( 2 + z 2 ) ) 2 < 0 , we can get k ( 0 , z 2 2 + z 2 ) & & y ( 2 k + kz 2 z 2 , 1 ) . Through w 1 NN * y = ak ( y 2 θ 3 + k θ ( 2 + θ 2 ) ) 2 ( y 2 θ 2 + k ( 2 + θ 2 ) ) 2 > 0 , we can get ( k ( 0 , z 2 2 + z 2 ) & & y ( 0 , 2 k + kz 2 z 2 ) ) | | ( k ( z 2 2 + z 2 , ) & & y ( 0 , 1 ) ) . The proof process of scenario UN is similar to scenario NN, and here we have omitted it for brevity. □
Proof of Property 2.
(1) E ( π r NN * ) y = a 2 kyz 2 ( 2 + z 2 ) 2 ( y 2 z 2 + k ( 2 + z 2 ) ) 2 > 0 , E ( π r UN * ) y = a 2 kyz 2 ( 2 + z 2 ) ( 1 + λ ) 2 2 ( y 2 z 2 + k ( 2 + z 2 ) ) 2 > 0 ; (2) The proof process of property 2 is similar to property 1, and here we have omitted it for brevity. □
Proof of Property 3.
E ( π r NN * ) E ( π m NN * ) = 2 + 2 y 2 z 2 k ( 2 + z 2 ) > 2 , E ( π m NN * ) E ( π s NN * ) = 2 + z 2 > 2 , E ( π r UN * ) E ( π m UN * ) = 2 + 2 y 2 z 2 k ( 2 + z 2 ) > 2 , E ( π m UN * ) E ( π s UN * ) = 2 + z 2 > 2 . □
Proof of Property 4.
π r NF * γ = a 2 k 2 y 2 γ z 2 ( 2 + z 2 ) 2 ( 1 + λ ) 2 ( 2 y 2 z 2 + k ( 2 + γ ) ( 2 + z 2 ) ) 3 < 0 , π m NF * γ = a 2 k 2 y 2 z 2 ( 2 + z 2 ) 2 ( 1 + λ ) 2 ( 2 y 2 z 2 + k ( 2 + γ ) ( 2 + z 2 ) ) 3 > 0 , π s NF * γ = a 2 k 2 y 2 z 2 ( 2 + z 2 ) ( 1 + λ ) 2 ( 2 y 2 z 2 + k ( 2 + γ ) ( 2 + z 2 ) ) 3 > 0 , ( π r NF * π r UN * ) γ = a 2 k 2 y 2 γ z 2 ( 2 + z 2 ) 2 ( 1 + λ ) 2 ( 4 k + 2 k γ 2 kz 2 2 y 2 z 2 + k γ z 2 ) 3 < 0 , ( π m NF * π m UN * ) γ = a 2 k 2 y 2 z 2 ( 2 + z 2 ) 2 ( 1 + λ ) 2 ( 4 k + 2 k γ 2 kz 2 2 y 2 z 2 + k γ z 2 ) 3 > 0 , ( π s NF * π s UN * ) γ = a 2 k 2 y 2 z 2 ( 2 + z 2 ) ( 1 + λ ) 2 ( 4 k + 2 k γ 2 kz 2 2 y 2 z 2 + k γ z 2 ) 3 > 0 . □
Proof of Proposition 6.
Firstly, w 1 UU = kz ( ay ( 1 + λ ) c t ) 2 x ( y 2 z 2 + k ( 2 + z 2 ) ) > 0 is guaranteed, that is, c t ( 0 , ay + ay λ ) . Through w 1 UU w 1 NN = kz ( ay ( 1 + x λ ) + c t ) 2 x ( y 2 z 2 + k ( 2 + z 2 ) ) > 0 , we can get c t ( 0 , ay axy + ay λ ) , through w 1 UU w 1 NN = kz ( ay ( 1 + x λ ) + c t ) 2 x ( y 2 z 2 + k ( 2 + z 2 ) ) < 0 , we can get c t ( ay axy + ay λ , ay + ay λ ) . Through q a UU * q a NN * = z ( ay λ c t ) 2 ( y 2 z 2 + k ( 2 + z 2 ) ) > 0 , we can get c t ( 0 , ay λ ) , through q a UU * q a NN * = z ( ay λ c t ) 2 ( y 2 z 2 + k ( 2 + z 2 ) ) < 0 , we can get c t ( ay λ , ay ( 1 + λ ) ) . □
proof of Proposition 7–9.
The proof process of Proposition 7–9 are similar to Proposition 6 and here we have omitted it for brevity. □
proof of Property 5.
The proof process of Property 5 is similar to Property 4, and here we have omitted it for brevity. □

References

  1. Cui, Y.; Hu, M.; Liu, J.C. Impact of blockchain-driven accountability in multi-sourcing supply chains. In Innovative Technology at the Interface of Finance and Operations; Springer: Cham, Switzerland, 2022; pp. 73–96. [Google Scholar]
  2. Gartley, S.; Anderson-Coughlin, B.; Sharma, M.; Kniel, K.E. Listeria monocytogenes in Irrigation Water: An Assessment of Outbreaks, Sources, Prevalence, and Persistence. Microorganisms 2022, 10, 1319. [Google Scholar] [CrossRef] [PubMed]
  3. Cui, Y.; Hu, M.; Liu, J.C. Value and design of traceability-driven blockchains. Manuf. Serv. Oper. Manag. 2023. [Google Scholar] [CrossRef]
  4. Lakkakula, P.; Bullock, D.W.; Wilson, W.W. Asymmetric information and blockchains in soybean commodity markets. Appl. Econ. Perspect. Policy 2022, 44, 273–298. [Google Scholar] [CrossRef]
  5. Andoni, M.; Robu, V.; Flynn, D.; Simone, A.; Geach, D.; Jenkins, D.; McCallum, P.; Peacock, A. Blockchain technology in the energy sector: A systematic review of challenges and opportunities. Renew. Sustain. Energy Rev. 2019, 100, 143–174. [Google Scholar] [CrossRef]
  6. Loch, C.H.; Wu, Y. Social preferences and supply chain performance: An experimental study. Manag. Sci. 2008, 54, 1835–1849. [Google Scholar] [CrossRef]
  7. Syahruddin, N.; Kalchschmidt, M. Sustainable supply chain management in the agricultural sector: A literature review. Int. J. Eng. Manag. Econ. 2012, 3, 237–258. [Google Scholar] [CrossRef]
  8. Ma, X.L.; Wang, J.; Bai, Q.G.; Wang, S.Y. Optimization of a three-echelon cold chain considering freshness-keeping efforts under cap-and-trade regulation in Industry 4.0. Int. J. Prod. Econ. 2020, 220, 107457. [Google Scholar] [CrossRef]
  9. Wang, M.; Zhao, L. Cold chain investment and pricing decisions in a fresh food supply chain. Int. Trans. Oper. Res. 2021, 28, 1074–1097. [Google Scholar] [CrossRef]
  10. Liu, L.P.; Zhao, L.D.; Ren, X.J. Optimal preservation technology investment and pricing policy for fresh food. Comput. Ind. Eng. 2019, 135, 746–756. [Google Scholar] [CrossRef]
  11. Chen, J.; Dong, M.; Rong, Y.; Yang, L. Dynamic pricing for deteriorating products with menu cost. Omega 2018, 75, 13–26. [Google Scholar] [CrossRef]
  12. Dey, K.; Saha, S. Influence of procurement decisions in two-period green supply chain. J. Clean. Prod. 2018, 190, 388–402. [Google Scholar] [CrossRef]
  13. Ye, F.; Lin, Q.; Li, Y.N. Coordination for contract farming supply chain with stochastic yield and demand under CVaR criterion. Oper. Res. 2020, 20, 369–397. [Google Scholar] [CrossRef]
  14. Liu, L.; Zhao, Q.H.; Goh, M. Perishable material sourcing and final product pricing decisions for two-echelon supply chain under price-sensitive demand. Comput. Ind. Eng. 2021, 156, 107260. [Google Scholar] [CrossRef]
  15. Ge, G.; Wang, D.P.; Epede, M.B. Pricing policies of green dual-channel supply chain with fairness concerns and altruistic preferences based on consumers’ environmental awareness and channel preference. Int. J. Environ. Res. Public Health 2022, 19, 13564. [Google Scholar] [CrossRef]
  16. Wang, Y.Y.; Yu, Z.Q.; Shen, L.; Dong, W.Q. Impacts of altruistic preference and reward-penalty mechanism on decisions of E-commerce closed-loop supply chain. J. Clean. Prod. 2021, 315, 128132. [Google Scholar] [CrossRef]
  17. Fan, R.; Lin, J.; Zhu, K. Study of game models and the complex dynamics of a low-carbon supply chain with an altruistic retailer under consumers’ low-carbon preference. Phys. A Stat. Mech. Its Appl. 2019, 528, 121460. [Google Scholar] [CrossRef]
  18. Ge, Z.H.; Hu, Q.Y. Who benefits from altruism in supply chain management? Am. J. Oper. Res. 2012, 2, 59–72. [Google Scholar]
  19. Huang, H.; Zhang, J.; Ren, X.; Zhou, X. Greenness and pricing decisions of cooperative supply chains considering altruistic preferences. Int. J. Environ. Res. Public Health 2019, 16, 51. [Google Scholar] [CrossRef]
  20. Rong, L.Q.; Xu, M.Z. Impact of altruistic preference and government subsidy on the multinational green supply chain under dynamic tariff. Environ. Dev. Sustain. 2022, 24, 1928–1958. [Google Scholar]
  21. Behnke, K.; Janssen, M. Boundary conditions for traceability in food supply chains using blockchain technology. Int. J. Inf. Manag. 2020, 52, 101969. [Google Scholar] [CrossRef]
  22. Lin, X.; Chang, S.C.; Chou, T.H.; Chen, S.C.; Ruangkanjanases, A. Consumers’ intention to adopt blockchain food traceability technology towards organic food products. Int. J. Environ. Res. Public Health 2021, 18, 912. [Google Scholar] [CrossRef] [PubMed]
  23. Fan, Z.P.; Wu, X.Y.; Cao, B.B. Considering the traceability awareness of consumers: Should the supply chain adopt the blockchain technology? Ann. Oper. Res. 2020, 309, 837–860. [Google Scholar] [CrossRef]
  24. Hastig, G.M.; Sodhi, M.M.S. Blockchain for supply chain traceability: Business requirements and critical success factors. Prod. Oper. Manag. 2020, 29, 935–954. [Google Scholar] [CrossRef]
  25. Feng, H.H.; Wang, X.; Duan, Y.Q.; Zhang, J. Applying blockchain technology to improve agri-food traceability: A review of development methods, benefits and challenges. J. Clean. Prod. 2020, 260, 121031. [Google Scholar] [CrossRef]
  26. Niu, B.Z.; Shen, Z.F.; Xie, F.F. The value of blockchain and agricultural supply chain parties’ participation confronting random bacteria pollution. J. Clean. Prod. 2021, 319, 128579. [Google Scholar] [CrossRef]
  27. Li, T.; Zhang, R.; Liu, B. Advertising and power structures in competing supply chains. Comput. Ind. Eng. 2020, 150, 106917. [Google Scholar] [CrossRef]
  28. Kampan, K.; Tsusaka, T.W.; Anal, A.K. Adoption of blockchain technology for enhanced traceability of livestock-based products. Sustainability 2022, 14, 13148. [Google Scholar] [CrossRef]
  29. Giri, B.C.; Bardhan, S.; Maiti, T. Coordinating a three-layer supply chain with uncertain demand and random yield. Int. J. Prod. Res. 2016, 54, 2499–2518. [Google Scholar] [CrossRef]
  30. Chen, J.; Chen, Y.J. The impact of contract farming on agricultural product supply in developing economies. Prod. Oper. Manag. 2021, 30, 2395–2419. [Google Scholar] [CrossRef]
  31. Alizamir, S.; Iravani, F.; Mamani, H. An analysis of price vs. revenue protection: Government subsidies in the agriculture industry. Manag. Sci. 2019, 65, 32–49. [Google Scholar] [CrossRef]
  32. Dong, L.; Jiang, P.P.; Xu, F. Blockchain adoption for traceability in food supply chain networks. Fasheng Blockchain Adopt. Traceability Food Supply Chain. Netw. 2020, 3–4. [Google Scholar] [CrossRef]
  33. Charness, G.; Rabin, M. Understanding social preferences with simple tests. Q. J. Econ. 2002, 117, 817–869. [Google Scholar] [CrossRef]
  34. Wang, Y.Y.; Yu, Z.Q.; Jin, M.Z.; Mao, J.F. Decisions and coordination of retailer-led low-carbon supply chain under altruistic preference. Eur. J. Oper. Res. 2021, 293, 910–925. [Google Scholar] [CrossRef]
  35. Giovanni, D.P. Blockchain and smart contracts in supply chain management: A game theoretic model. Int. J. Prod. Econ. 2020, 228, 107855. [Google Scholar] [CrossRef]
Figure 1. The supply chain structure.
Figure 1. The supply chain structure.
Sustainability 15 03304 g001
Figure 2. The change in wholesale price with parameter y (k = 0.1).
Figure 2. The change in wholesale price with parameter y (k = 0.1).
Sustainability 15 03304 g002
Figure 3. The change in wholesale price with parameter y (k = 1).
Figure 3. The change in wholesale price with parameter y (k = 1).
Sustainability 15 03304 g003
Figure 4. The change in retailer’s profit with parameter y.
Figure 4. The change in retailer’s profit with parameter y.
Sustainability 15 03304 g004
Figure 5. The change in manufacturer’s profit with parameter y (k = 0.1).
Figure 5. The change in manufacturer’s profit with parameter y (k = 0.1).
Sustainability 15 03304 g005
Figure 6. The change in manufacturer’s profit with parameter y (k = 1).
Figure 6. The change in manufacturer’s profit with parameter y (k = 1).
Sustainability 15 03304 g006
Figure 7. The change in supplier’s profit with parameter y (k = 0.1).
Figure 7. The change in supplier’s profit with parameter y (k = 0.1).
Sustainability 15 03304 g007
Figure 8. The change in supplier’s profit with parameter y (k = 1).
Figure 8. The change in supplier’s profit with parameter y (k = 1).
Sustainability 15 03304 g008
Figure 9. The change in wholesale price with parameter c1.
Figure 9. The change in wholesale price with parameter c1.
Sustainability 15 03304 g009
Figure 10. The change in supplier’s optimal output with parameter c1.
Figure 10. The change in supplier’s optimal output with parameter c1.
Sustainability 15 03304 g010
Figure 11. The change in retailer’s profit with parameter c1.
Figure 11. The change in retailer’s profit with parameter c1.
Sustainability 15 03304 g011
Figure 12. The change in supplier’s profit with parameter c1.
Figure 12. The change in supplier’s profit with parameter c1.
Sustainability 15 03304 g012
Figure 13. The change in manufacturer’s profit with parameter c1 (c1 = 0.5).
Figure 13. The change in manufacturer’s profit with parameter c1 (c1 = 0.5).
Sustainability 15 03304 g013
Figure 14. The change in manufacturer’s profit with parameter c1 (c1 = 3).
Figure 14. The change in manufacturer’s profit with parameter c1 (c1 = 3).
Sustainability 15 03304 g014
Figure 15. The change in retailer’s profit, manufacturer’s profit and supplier’s profit with parameter c1 (c1 = 0.5).
Figure 15. The change in retailer’s profit, manufacturer’s profit and supplier’s profit with parameter c1 (c1 = 0.5).
Sustainability 15 03304 g015
Figure 16. The profit margin of the retailer, manufacturer and supplier with parameter γ(c1 = 0.5).
Figure 16. The profit margin of the retailer, manufacturer and supplier with parameter γ(c1 = 0.5).
Sustainability 15 03304 g016
Table 1. Comparison of the related literature.
Table 1. Comparison of the related literature.
AuthorsChannel StructureBlockchainAltruistic Preference
Two-Level Supply ChainThree-Level Supply Chain
Ma et al. [8]
Ge et al. [15]
Fan et al. [17]
Huang et al. [19]
Fan et al. [17]
Cui et al. [1]
Niu et al. [26]
This paper
Table 2. Symbols and symbol descriptions.
Table 2. Symbols and symbol descriptions.
SymbolSymbol Description
p d The unit retail price in Scenario d
q b d The production quantity of the manufacturer in Scenario d
AThe market potential of agricultural products
λ The improvement of market potential with blockchain
c l The fixed input cost of blockchain
c t The unit variable cost of blockchain
X The proportion of the supplier’s qualified products
Y The proportion of the manufacturer’s qualified products
Ε ( X ) The expected proportion of the supplier’s qualified agriculture products, Ε ( X ) = x
Ε ( Y ) The expected proportion of the manufacturer’s qualified agriculture products, Ε ( Y ) = y
γ The retailer’s altruistic coefficient, 0 < γ < 1
u r The retailer’s utility
π s d The profit of the supplier in Scenario d
π m d The profit of the manufacturer in Scenario d
π r d The profit of the retailer in Scenario d
π t d The profit of the total supply chain in Scenario d
Decision variables
w 2 d The manufacturer’s unit wholesale price in Scenario d
w 1 d The supplier’s unit wholesale price in Scenario d
q a d The production quantity of the supplier in Scenario d
Table 3. Parameter settings.
Table 3. Parameter settings.
az λ yxk c l c t
Product Quality and Blockchain Traceability1000.90.0560.50.5
Blockchain Unit Variable Cost500.90.0560.50.510.5
altruistic preference500.90.0560.50.510.55
Disclaimer/Publisher’s Note: The statements, opinions and data contained in all publications are solely those of the individual author(s) and contributor(s) and not of MDPI and/or the editor(s). MDPI and/or the editor(s) disclaim responsibility for any injury to people or property resulting from any ideas, methods, instructions or products referred to in the content.

Share and Cite

MDPI and ACS Style

Li, T.; Xu, X.; Liu, W.; Shi, C. Pricing Decision of Three-Level Agricultural Supply Chain Based on Blockchain Traceability and Altruistic Preference. Sustainability 2023, 15, 3304. https://doi.org/10.3390/su15043304

AMA Style

Li T, Xu X, Liu W, Shi C. Pricing Decision of Three-Level Agricultural Supply Chain Based on Blockchain Traceability and Altruistic Preference. Sustainability. 2023; 15(4):3304. https://doi.org/10.3390/su15043304

Chicago/Turabian Style

Li, Tao, Xiaotong Xu, Weirong Liu, and Chengdong Shi. 2023. "Pricing Decision of Three-Level Agricultural Supply Chain Based on Blockchain Traceability and Altruistic Preference" Sustainability 15, no. 4: 3304. https://doi.org/10.3390/su15043304

APA Style

Li, T., Xu, X., Liu, W., & Shi, C. (2023). Pricing Decision of Three-Level Agricultural Supply Chain Based on Blockchain Traceability and Altruistic Preference. Sustainability, 15(4), 3304. https://doi.org/10.3390/su15043304

Note that from the first issue of 2016, this journal uses article numbers instead of page numbers. See further details here.

Article Metrics

Back to TopTop