Abstract
Introduction: Active transport is encouraged by the Uruguayan authorities; however, the criteria for expanding the cycling routes are unclear. This article presents a research project aiming to examine statistically significant links between environmental exposure during active travel in Montevideo (Uruguay) and urban environment parameters. Methods: Two monitoring routes were defined by working with cycling groups, and their urban environments were characterized. PM10, PM2.5 and NO2 concentrations and doses, and noise exposure doses, were measured. Simultaneously, meteorological parameters were recorded. The minimum required sample size was defined based on a statistical procedure: 30 samples were needed. Results: 31 environmental exposure measurements were performed on each route. The monitoring showed high temporal and spatial variability of the environmental parameters. The PM and NO2 hot spots were not the same. Moreover, while Route N°1 presented higher PM10 and NO2 potential inhaled doses and higher NO2 concentrations, the noise exposure doses were higher in Route N°2, with more traffic flow and a lower street aspect ratio. Discussion and conclusions: To our best knowledge, this is the first study of this kind in Montevideo. The results were statistically analyzed and discussed regarding the routes’ characteristics. However, the prevailing weather conditions had a strong influence on them. The latter implies a challenge to define public spaces’ design parameters, in order to achieve a more sustainable city. This study accomplishes a first approach for posing recommendations in this direction for Montevideo and a contribution for further research in the matter.
1. Introduction
Air pollution in both outdoor and indoor environments may produce negative health impacts in humans [1]. Moreover, according to [2], air pollution exposure increases morbidity and mortality, and is one of the main contributors to the global burden of disease. In particular, in cities, exposure to air pollutants, extreme temperatures, and noise pollution has been associated with adverse health effects [3]. In [4], the authors propose an economic insight based on the so-called “centre of gravity”, obtained by the analysis of four parameters over the period 1960 to 2016: Gross Domestic Product (GDP), carbon dioxide (CO2) emissions, population, and urban population. They state that the quicker the growth of the country, the higher the rate of growth of CO2 emissions and the urban population. The authors state that this is a clear expression of inefficient energy consumption that it is accompanied by other inefficiencies, especially from the environmental management point of view. However, at the scale of the cited study, Uruguay does not appear as a problematic country from any of the four selected coordinates.
Urban air quality results from complex interactions between atmospheric pollutants emissions, environment parameters, and meteorological conditions. These three components interact in a heterogeneous manner, challenging decision making in air quality management [5,6,7]. One of the tendencies is the use of urban shape abstractions and different metrics or parameters to quantify some of its characteristics, in some cases establishing links with air quality. Each author proposes different sets of metrics, depending on the available information, but also on the case study [7,8,9,10]. As pointed out in [11], these complex interactions result in urban air pollution spatial patterns, which are of paramount relevance for public health. Moreover, it is highlighted that traffic micro-environments (i.e., environments that may be studied at the microscale, usually presenting characteristic distances not greater than 300 m) constitute important air pollution exposure hot spots for active travel users.
At street level, several studies report associations between atmospheric pollutant concentrations and urban environment parameters [3,5,8,11,12,13,14,15,16,17,18,19,20,21]. Some of the urban environment parameters identified as influencing air pollution levels recorded at street level are traffic flow, cycling infrastructure, street length, width and slope, land use, buildings height, distance from main traffic routes, construction density and green spaces, among others. The latter implies that land use distribution within cities could modify urban air pollution patterns. The relationship between air pollution and meteorological parameters is also widely documented [6,22,23,24].
In Uruguay, air quality and atmospheric pollutant emissions are regulated under National Decree 135/021 [25]. Regarding local atmospheric emissions, the 2015 National Air Emissions Inventory indicates that road vehicles are responsible for 60% of national nitrogen oxide (NO) emissions. In addition, residences and vehicles account for more than 80% of the national carbon monoxide (CO) emissions [26]. Moreover, Montevideo has an Air Quality Monitoring Network, including eight fixed air quality monitoring stations operated by different public institutions, covering an area of about 200 km [27]. From an analysis of the official data, it has been observed that the annual cycle of particles with aerodynamic diameters less than or equal to 2.5 μm (PM) concentrations presents a maximum in winter. Moreover, the highest values are observed during the night in the daily cycle. Additionally, the daily cycle of NO ambient concentrations shows two peaks throughout the day, one in the early morning and another in the late afternoon, related to rush hours [27].
Despite having data on air quality levels in the city of Montevideo, there is a lack of information on the effect that urban environment parameters produce on atmospheric pollutant concentrations in the city, mainly at street level.
In order to plan active travel routes in Montevideo, it is necessary to provide information on the zones of the city with the lowest atmospheric pollutant concentrations, taking into account the urban environment parameters and variations imposed by meteorological conditions.
The present work is based on a research project. This project aims to contribute to active travel planning in Montevideo, including air quality management in decision-making processes. Specifically, it is intended to establish statistically significant links between environmental pollutants exposure during active travel commuting—particles with aerodynamic diameters of less than or equal to 10 m (PM), PM, nitrogen dioxide (NO) and noise—and urban environment parameters. If confirmed, these links will constitute a tool for public space design in Montevideo, aiming at reducing environmental exposures during active travel. This project also seeks to establish an exchange with active travel mode users in Montevideo about air quality and environmental exposures. To date, no similar studies have been carried out in Uruguay.
To this end, two monitoring routes were defined in the city, working together with cycling groups that acted as the counterparts of the project. The research team then evaluated these routes to characterize their urban environments. After that, 31 measurements of environmental exposure and meteorological conditions were carried out along each defined route, with the participation of previously trained volunteer cyclists. As presented in the following sections, links between environmental exposure and urban environment parameters were identified. However, these associations varied with some of the meteorological parameters analyzed.
2. Materials and Methods
The study methodology follows that proposed in [6,13,15,20,21].
2.1. Monitoring Routes
The air quality at the street level varies with the urban environment (land use, construction density) and with street characteristics at a smaller spatial scale (building height, street width, cycling infrastructure, among others) and traffic flow. In this sense, monitoring routes were defined, representing different scenarios concerning the aforementioned urban parameters, enabling the evaluation of their effects on urban cyclists’ environmental exposures.
Moreover, it was also crucial that the monitoring routes were regularly used by urban cyclists (represented by the project’s counterpart). In this sense, the research team and the counterpart organized an activity where the cyclists traced their usual routes on a map of Montevideo, pointing out particular characteristics of the streets according to the following color code: red: high traffic flow; blue: high-rise buildings; green: the presence of cycling infrastructure; black: high industrial or commercial activity.
As a result, two monitoring routes were defined in Montevideo (Figure 1).
Figure 1.
Monitoring routes defining process and results (left: Route N°1; right: Route N°2).
Route N° 1 is a closed circuit in the city center (5.9 km length), while Route N° 2 covers a straight north–south section of a wide boulevard with significant traffic flow (5.7 km length) (Figure 2).
Once the monitoring routes were defined, they were evaluated to quantify urban environment parameters that could impact cyclists’ environmental exposures. This evaluation focused on measuring a set of parameters on a block by block basis. These parameters were: traffic flow, cycling infrastructure, buildings height (average and standard deviation), street width and aspect ratio (ratio between average building height and street width), construction density and land use (industry and commerce).
Regarding traffic flow evaluation, total traffic flow counts every five minutes were available for a set of cameras located in the study area, property of the Municipality of Montevideo, simultaneously with environmental exposure measurements (there were two areas of Route N°1 not covered by traffic flow registration cameras; manual traffic counts were performed during environmental exposure measurements in these zones). Moreover, aiming to estimate the traffic flow composition, the research team carried out a manual traffic flow count campaign between 2020 and 2021 (at the beginning of the campaign, 85% of the city bus fleet was operative; this percentage increased over the monitoring campaign), with the following characteristics: fifteen evaluation sites were defined (seven on Route N°1 and eight on Route N°2); three traffic flow counts were performed at each site, and then the results were averaged for each street direction (in the case of two-way streets, two counts were made in the most congested direction during morning rush hours); each count lasted one hour, alternating between count and rest periods of five minutes; and the traffic flow was divided into five categories: cars and vans, trucks, buses, motorcycles and active transportation (bicycles and skateboards). The traffic counts were made on business days without rain during the morning rush hour (environmental exposure measurements were also made in the morning). At this point, it is remarked that traffic flow cameras cannot record active transportation flows, so this category was not employed to distribute the total traffic flow into vehicle categories (Figure 3).
Figure 3.
Traffic flow evaluation in the study area. (a) Total traffic flow monitoring cameras used. (b) Manual traffic counts monitoring sites.
Moreover, for evaluating building height, the Street View function of Google Earth was employed, discriminating between residential and office buildings (new and old), commercial, industrial and institutional facilities, and green spaces, defining typical heights for each type of building. This detailed evaluation allowed the calculation of the average building height and its standard deviation at street level. In addition, street width was also estimated using Google Earth, making it possible to determine the street aspect ratio. The rest of the urban environment parameters (cycling infrastructure, commercial and industrial activity, and construction density) were estimated as a percentage of total street available construction sites.
After this evaluation, the mean and standard deviation of each urban environment parameter under analysis were calculated and are shown in Table 1, for the two monitoring routes, except for the total traffic flow, as this parameter will be recorded simultaneously with environmental exposures. In addition, maps were developed, showing the monitored parameters on a block by block basis.
Table 1.
Urban environment parameters of the study area.
Regarding traffic flow characterization in the study area, according to Table 1, it stands out that traffic flow composition is approximately uniform in Route N°2, with a clear predominance of the category Cars and vans. On the other hand, this category is also the predominant one on Route N°1, but a much more significant spatial variability in traffic flow composition is observed.
2.2. Volunteer Cyclists
The environmental exposure measurements were carried out on volunteer cyclists, allowing the exchange between citizens and researchers concerning the project’s topics.
Each participant was summoned to carry out a single cyclist route along one of the defined monitoring routes, being duly trained for such a purpose. In this sense, a broad call was made to cyclists. More than a hundred cyclists were willing to participate in the study.
In this study, the methodology developed in [16] was followed to estimate the minimum number of cyclist routes per monitoring route required to obtain representative average concentrations of PM, PM and NO, at the route level. This methodology comprises the development of a numerical experiment using the pollutant concentrations registered during the cyclist routes, defining the following parameters: spatial scale of interest (in this case, the entire monitoring route), averaging method (mean and median), and records correction method (not implemented in this case). The numerical experiment, which must be carried out several times (in this case, 40 analogous experiments were done), implies calculating the average (or median) pollutant concentration, considering all the cyclist routes performed. This average represents the actual real target value. An acceptable level of accuracy is then defined (in this case, 25%). Next, the average (or median) of a random set of cyclist routes is calculated, increasing from considering a single cyclist route (with repetition) until the incremental result is consistently within the accepted accuracy range defined. At this point, the minimum number of cyclist routes to be performed to obtain representative results is determined.
The above shows that the minimum number of cyclist routes necessary to obtain representative results is a dynamic quantity, which was adjusted as the measurements were made. It was determined that each cyclist should perform only one cyclist route to maximize the number of volunteer cyclists involved in the fieldwork.
2.3. Measuring Equipment and Fieldwork Procedure
Table 2 shows the measuring equipment used, the parameters recorded and the measurement frequency. All the measuring equipment used was factory calibrated.
Table 2.
Fieldwork equipment.
The aim of the field measurements was to quantify cyclists’ environmental exposure (air and noise pollution) during active travel and to evaluate if there is a link between this exposure and the urban environment parameters.
In addition to the sensors employed during the fieldwork, an air quality monitoring station was used (Aeroqual AQM10 in Table 2), installed on the roof of a university facility (Facultad de Arquitectura, Diseño y Urbanismo—Universidad de la República, Uruguay) near Route N°2 (Figure 4). This equipment was operative between 5 February 2021 and 10 February 2022, covering the fieldwork period entirely. Specifically, the operation of the air quality monitoring station had two objectives. First, it made it possible to count with meteorological parameter records simultaneously with the environmental exposure measurements performed. Moreover, differences were reported in the literature between NO concentration records taken with the available portable instrument (Aeroqual Series 500 (NO sensor head) in Table 2) and measurements from the reference monitoring stations [28]. In this sense, the Aeroqual Series 500 sensors (PM and NO) were collocated with the Aeroqual AQM10 air quality monitoring station, considered reference equipment, to develop correction curves for the portable records. Official air quality records, requested from the Municipality of Montevideo, were also used during the collocation (the records used for the collocation of the Aeroqual Series 500 (PM sensor head) sensor were taken between 5 April 2021 at 9:18 p.m. and 8 April 2021 at 5:31 p.m.; the records used for the collocation of the Aeroqual Series 500 (NO sensor head) sensor were taken between 14 June 2021 at 8:42 a.m. and 17 June 2021 at 5:32 p.m.). In this sense, the correction equations developed for the air pollutant concentrations (C) recorded by the Aeroqual Series 500 sensors are presented below, including meteorological parameters measured by the air quality monitoring station (ambient temperature (T), and relative humidity ()):
Figure 4.
Aeroqual AQM10 monitoring station location and collocation with portable sensors. (a) Collocation between Aeroqual Series 500 portable sensors and Aeroqual AQM10 reference air quality monitoring station. (b) Aeroqual AQM10 air quality monitoring station location within the study area.
In operational terms, the field measurements were carried out on business days without rain, during the morning rush hours, and involved the following activities:
- Meeting with the volunteer cyclist at the starting point.
- Switching on the measuring sensors and synchronizing their clocks.
- Assembly of the measuring sensors on the volunteer cyclist bicycle (Aeroqual Series 500 PM, Aeroqual Series 500 NO and Garmin Edge 1030 Bundle Plus).
- Placement by the participant of the heart rate sensor (an accessory of the Garmin Edge 1030 Bundle Plus sensor, placed under the sternum) and the Pulsar NoisePen sensor (in the shoulder).
- Reading and signing of informed consent by one researcher and the volunteer cyclist.
- Completion of the cyclist route (Route N°1 or Route N°2).
- Sensor removal and finalization of the field activity.
The photographs in Figure 5 illustrate the described fieldwork procedure.
Figure 5.
Fieldwork procedure. (a) Assembly of measuring sensors on the bicycle; (b) completion of the cyclist route; and (c) sensor removal and finalization of the field activity.
2.4. Data Integration and Statistical Analysis
After each cyclist route, first of all, the cyclist’s ventilation rates were estimated using the heart rate records taken by the Garmin Edge 1030 Bundle Plus sensor [29,30]. The average of the two surveyed models was used to estimate the cyclist’s ventilation rate (V) from heart rate records in beats per minute ( (bpm)):
Then, measurements from Aeroqual Series 500 sensors were corrected. Moreover, the records measured by all on-bike sensors (Aeroqual Series 500 (PM and NO) previously corrected, Garmin Edge 1030 Bundle Plus, and Pulsar NoisePen), and the estimated ventilation rates, were pooled into a single matrix, according to each sensor’s clock records. In this sense, the Garmin Edge 1030 Bundle Plus sensor (GPS device) was the reference since its records corresponded to the cyclist route (the rest of the measuring sensors were started before the beginning of the cyclist route, during the assembly of the experimental equipment). Then, the records were interpolated as appropriate, considering the log frequency of each sensor (Table 2), obtaining one data point per second.
After that, using the atmospheric pollutant concentration measurements (C) and the cyclist’s ventilation rates obtained (V), the potential inhaled dose for a specific air pollutant (D) was determined according to the following equation (adapted from [14]):
The potential inhaled doses obtained were incorporated into the data matrix. Next, the meteorological parameters recorded by the Aeroqual AQM10 sensor, simultaneously with the environmental exposure measurements performed, were incorporated into these data matrices obtained for each cyclist route and interpolated.
Finally, for each cyclist route, records were grouped considering their average values for each street between intersections to enable their link with urban environment parameters obtained at this spatial scale.
Then, the average data matrices per street between intersections obtained for each cyclist route were joined with the urban environment parameters, forming a single joint matrix of average data per street between corners (environmental exposure, meteorological variables, and urban environment parameters). Considering the monitoring route analyzed, simultaneous traffic flow records were requested from the Municipality of Montevideo (Figure 3). Next, these traffic flow values (together with the manual traffic counts obtained for Route N°1) were averaged for the entire cyclist route duration in units of veh/min and were assigned to the streets where they were recorded. In the same way, the motorized traffic flow composition obtained through the field campaign was also set to the streets where the measurements were done.
After that, the total traffic flows were interpolated in both street directions for the entire monitoring route, determining the total traffic flows per street between intersections. Then, the motorized traffic flow composition was also interpolated for the monitoring route, obtaining a traffic flow composition per street between corners. The traffic flow per each vehicle category at the street between intersections level was obtained for each cyclist route as well.
A monitoring report was prepared and delivered to each volunteer cyclist. These reports included the following results:
- General cyclist route data: trip duration, distance traveled, average speed, and average cyclist’s ventilation rate.
- Maximum atmospheric pollutants concentrations and total potential inhaled doses.
- Total noise pollution dose (considering noise pollution above 70 dB, a sound pressure level recommended for avoiding hearing loss, during a 12 h-environmental noise exposure).
In addition, maps showing the cyclist route and the instantaneous potential atmospheric pollutants inhaled doses and noise levels were also included in the monitoring report. In this sense, volunteer cyclists were consulted on whether the information in the maps reflected their experience or not, considering the environmental pollution hot spots.
Once the field activity and the data integration process were concluded, a descriptive statistical analysis of the records was carried out, identifying possible links between environmental exposure and urban environment parameters. Next, this analysis was deepened by using the cluster analysis statistical technique.
Cluster analysis comprises separating the records under study (in this case, averages per street between intersections of the considered parameters) into different groups with characteristics that are previously unknown. In general, even the number of groups to be formed is unknown before performing the analysis [31]. The most widely used procedures are generally of the hierarchical-agglomerative type. A hierarchy of group sets is built, each of which is formed by the union of two preexisting groups (the assignment of records to groups cannot be undone during the grouping process). In the beginning, all measurements belong to different groups, and at the end of the procedure, all records belong to the same group [31].
A practical problem that arises from the above is the definition of a reasonable number of groups where the grouping process ends. The principle that guides this decision is to find a grouping level that maximizes the similarity between the elements of each group while minimizing it between different sets. A traditional subjective approach to solving this problem lies in the inspection of a graph that shows the distance between the groups overcome in each stage of grouping. Ideally, the clustering process should stop immediately before this distance shows a sharp jump [31].
In addition, there are also so-called non-hierarchical grouping methods, where a record assigned to one group can be re-assigned to another in a later grouping stage. The most widely used non-hierarchical clustering method is called K-means. In this method, the number of groups to be formed must be specified in advance [31].
In this study, different clustering methodologies (hierarchical and non-hierarchical) were applied, and the results obtained were comparatively evaluated.
All data handling and calculations were made using the Python programming language on the Google Colaboratory environment.
3. Results
The development and implementation of a methodology for the monitoring of atmospheric pollutants concentrations and simultaneously the exposure doses to environmental pollutants, including noise, in a group of cyclists in the city of Montevideo was feasible in our study, including data integration and analysis. Moreover, we obtained data that confirmed the temporal and spatial variability for the recorded environmental parameters, indicating that the hot spots of different atmospheric pollutants were not found to be spatially coincident. In addition, a special mention about NO is required: the highest environmental concentrations do not occur in the same locations where the highest exposure doses were measured. Finally, there is a strong link between meteorological variables and atmospheric pollutant concentrations at reduced spatial scales. These results are detailed in the following sections.
3.1. Measuring Campaign
After applying the methodology described above several times for calculating the minimum number of cyclist routes to be performed, it was determined that 30 cyclist routes would reasonably need to be made on each monitoring route to achieve representative results. Figure 6 shows the average concentration of PM (the solid red line represents the target value, and the red dotted lines the accepted accuracy range).
Figure 6.
Illustration of the methodology used to determine the minimum number of cyclist routes. (a) Route N°1; and (b) Route N°2.
Based on the above, mobile measurements started on 10 February 2021 and were extended until 14 December 2021. In that period, 31 cyclist routes were performed on each monitoring route during the morning rush hour. In general, each monitoring took one hour, including field activities performed before and after the completion of the cyclist route. Five of these measurements were carried out by research team members and 57 by volunteer cyclists, establishing an interchange with the citizens about the project’s topics (18 male cyclists and 13 female cyclists participated on each monitoring route). Regarding the temporal distribution of measurements, Figure 7 shows the number of cyclist routes per month carried out on each monitoring route. During months 5 to 9, no field measurements were done on Route N°2.
Figure 7.
Monthly distribution of cyclist routes for each monitoring route. (a) Route N°1; and (b) Route N°2.
3.2. Descriptive Statistical Analysis
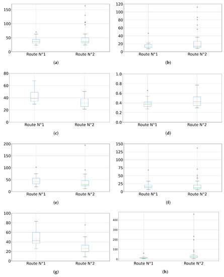
First, Table 3 shows the average and standard deviation values for different parameters measured in the two monitoring routes. In addition, the Mann–Whitney statistical hypothesis test was performed (this statistical hypothesis test is non-parametric, that is, its application does not presuppose that data follow a specific probability distribution), with a confidence level equal to 0.95, considering the records of each parameter measured in each monitoring route. In this case, the null hypothesis () of the test is that both samples analyzed (the records of a parameter measured in two different monitoring routes) come from the same population or distribution. For the application of this test, the analyzed samples must be independent. In this case, samples are assumed to be independent since cyclist routes carried out on two different monitoring routes are being compared (in addition, a single cyclist route was conducted per sampling day). The results of applying this statistical hypothesis test are also shown in Table 3.
Table 3.
Descriptive statistics of monitored parameters.
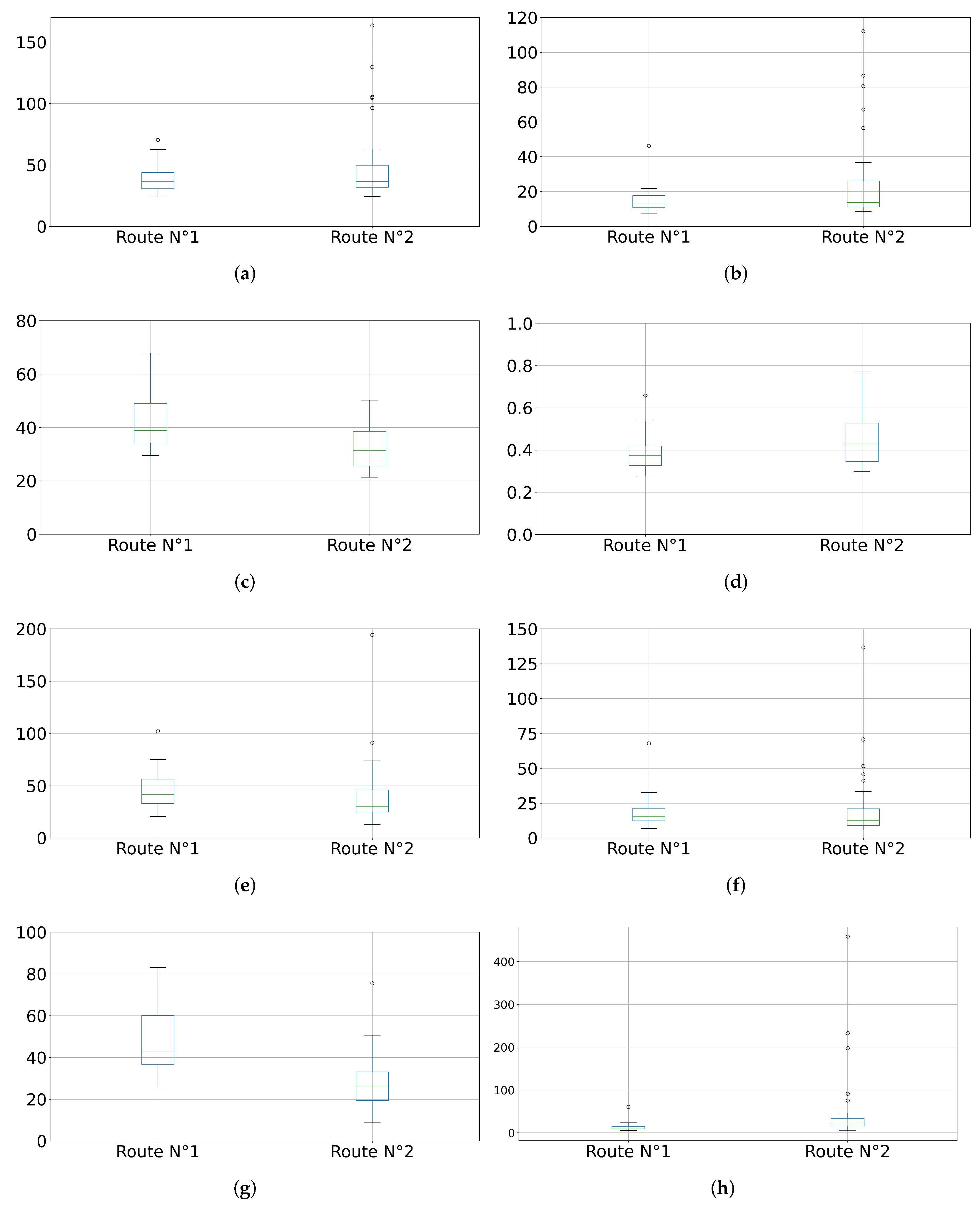
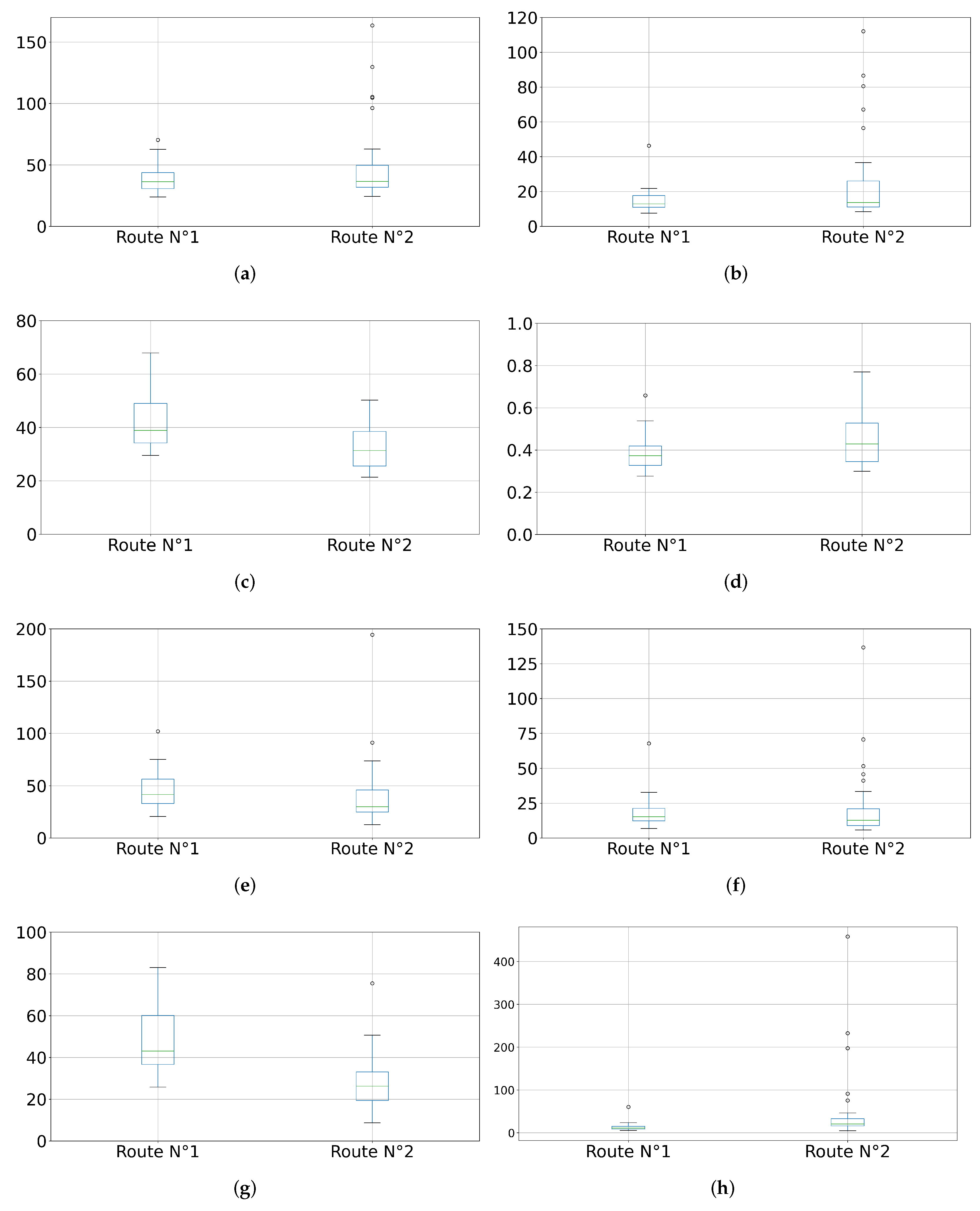
From Table 3, in the first place, it can be deduced that the average trip duration is similar for both monitoring routes. This makes it possible to compare total atmospheric pollutants’ potential inhaled doses and noise pollution doses between the two monitoring routes. Moreover, the average cyclist’s speed is similar between both monitoring routes, with the average cyclist’s ventilation rate being higher on Route N°1. In addition, Route N°1 presents higher average PM and NO potential inhaled doses, and higher average NO concentrations per cyclist route. The average particulate matter concentrations and PM potential inhaled dose per cyclist route are higher on Route N°2, although the difference between monitoring routes is not statistically significant. Moreover, noise pollution doses are higher on Route N°2. Finally, the average fine particulate matter proportion was higher on Route N°2, and the difference between monitoring routes was statistically significant.
Moreover, the variation between cyclist routes was observed for the average concentrations and total potential inhaled doses of atmospheric pollutants, and for the noise pollution doses (Figure 8).
Figure 8.
Temporal variation of environmental exposure parameters recorded during the fieldwork. (a) Average PM concentration (g/m); (b) average PM concentration (g/m); (c) average NO concentration (g/m); (d) average Fine (PM) to Coarse (PM) particulate matter proportion; (e) total potential PM inhaled dose (g); (f) total potential PM inhaled dose (g); (g) total potential NO inhaled dose (g); and (h) total noise pollution dose (%).
In addition, spatial variations are observed for the distributions of atmospheric pollutant concentrations, potential inhaled doses, and noise levels within the monitoring routes. In this sense, the average maps at the street between intersections level, pooling every cyclist route performed in each monitoring route, are presented in Figure 9 and Figure 10.
Figure 9.
Average maps of the environmental exposure parameters (Part 1). (a) Average PM concentration; (b) average PM concentration; (c) average NO concentration; and (d) average PM/PM quotient.
Figure 10.
Average maps of the environmental exposure parameters (Part 2). (a) Average noise levels; (b) average potential PM inhaled dose; (c) average potential PM inhaled dose; and (d) average potential NO inhaled dose.
Based on the above, from Figure 9, it can be seen that, regarding the average particulate matter concentrations, in Route N°2, the highest levels occur in the initial section of the monitoring route, decreasing considerably after the City Obelisk (Figure 11). The existence of cycling infrastructure on this route stands out at this point, between its beginning and the General Garibaldi Avenue (off-street bicycle path), coinciding with the highest particulate matter concentrations (Figure 11). On the other hand, in Route N°1, the highest levels are presented on Arenal Grande street (Figure 11). These maximum particulate matter concentration zones coincide with the highest proportions of fine PM.
Figure 11.
Monitoring routes and reference points.
Moreover, concerning NO concentrations, on Route N°2, the highest levels occur in the central area of the route, in the vicinity of the City Obelisk (Figure 11). On the other hand, on Route N°1, the highest levels are found on 18 de Julio Avenue (Figure 11).
From the above, it follows that the spatial distribution of concentration hot spots is different for particulate matter and NO.
Regarding noise levels, from Figure 10, spatial heterogeneity is also observed in the average map. In this sense, on Route N°2, a marked increase in levels is observed after the cycling infrastructure (Figure 11). On Route N°1, the highest levels are observed on 18 de Julio Avenue and Del Libertador Avenue (Figure 11).
Furthermore, spatial heterogeneity exists in the average potential inhaled doses of air pollutants (Figure 10). Regarding particulate matter doses, the highest levels recorded in both routes reasonably coincide with the areas of highest concentrations. On the other hand, regarding the average NO potential inhaled doses, a new hot spot area appears on Route N°2 towards the end of the monitoring route, which does not appear in the concentration analysis. Moreover, on Route N°1, in addition to registering high doses on 18 de Julio Avenue, following concentration records, areas of high exposure are also surveyed on Del Libertador Avenue and Arenal Grande street, which were not observed in the concentrations map (Figure 11).
The above shows that the spatial distribution of potential inhaled dose hot spots also present differences for particulate matter and NO.
Taking into account that the potential inhaled doses of atmospheric pollutants depend on the level of effort of the cyclist, see Equation (6) (which is conditioned by the layout of the monitoring route) for the evaluation of environmental exposure–urban environment parameter links, only atmospheric pollutant concentration records will be used.
Moreover, considering the urban environment parameters recorded for the monitoring routes, in Figure 12, average total traffic flows, recorded simultaneously with the environmental exposure measurements, are shown.
Figure 12.
Average total traffic flow at street level.
From the observation of Figure 12 and Table 1, and also applying the Mann–Whitney hypothesis test to urban environment parameters recorded in the two monitoring routes, the following comments emerged:
- The average total traffic flow is higher on Route N°2, and this difference is statistically significant ().
- On average, the street width is higher on Route N°2, the aspect ratio is higher on Route N°1, and these differences are statistically significant ( and , respectively).
- On average, the commercial activity is higher on Route N°1, and this difference is statistically significant ().
Concerning the meteorological conditions recorded simultaneously with the environmental exposure measurements, a difference in the prevailing wind direction on both monitoring routes for the sampling days stands out first. In addition, the average wind speed turned out to be higher in Route N°2, but this difference is not statistically significant according to the Mann–Whitney hypothesis test (). For the rest of the registered meteorological variables, a lower average ambient temperature was recorded on Route N°1 (coinciding with the winter months), this difference being statistically significant (). Furthermore, no statistically significant differences were observed in the average ambient relative humidity recorded on both monitoring routes.
In addition to the above, an initial search for monotonic relationships between some of the parameters recorded was carried out based on the calculation of Spearman’s correlation coefficient (Table 4).
Table 4.
Spearman’s correlation coefficient between recorded parameters for each monitoring route.
From the observation of Table 4, the following comments emerged:
- The correlation coefficients are different for the two monitoring routes for almost every pair of parameters analyzed.
- In general, the correlation coefficients between the noise levels and atmospheric pollutant concentrations are low, except for NO concentrations on Route N°2.
- The PM and NO concentrations present higher correlation coefficient values between them in Route N°1.
- The correlation coefficients between the atmospheric pollutant concentrations and meteorological parameters are high for both monitoring routes.
- The correlation coefficients between the noise levels and total traffic flow are higher than between atmospheric pollutant concentrations and this urban environment parameter. The rest of the urban environment parameters analyzed do not present high correlation coefficient values concerning the environmental exposure records.
- For Route N°2, there are significant correlations between the traffic flow, NO and noise level.
- The differences in correlations between NO, noise level and traffic flow for both routes could be explained from the differences in the urban environment parameters of the routes that condition pollutants dispersion (i.e., street aspect ratio). Considering this, NO concentrations seem to be associated to vehicles’ exhaust and dispersion conditions, while PM concentrations could respond to other emission sources as well.
According to the above, the highest NO concentrations occur on Route N°1. This route has lower levels of total traffic flow. Route N°1 also presents higher aspect ratios, commercial activity levels, and lower street width values. These urban environment parameters seem to partly determine the recording of higher NO concentrations on Route N°1.
In any case, it is understood that the statistically significant difference between ambient temperature recorded on both monitoring routes may affect the obtained results. This last statement is supported by the high values of the correlation coefficients found between the atmospheric pollutant concentrations and meteorological parameters.
In this sense, to investigate whether the environmental exposure–urban environment parameter links found can be considered independent of the prevailing weather conditions, the multivariate statistical analysis presented in the following section will consider different data sets based on wind speed and ambient temperature values.
3.3. Multivariate Statistical Analysis
In this section, a multivariate statistical analysis was carried out, employing the cluster analysis technique, evaluating the possible existence of links between environmental exposure records and meteorological and urban environment parameters measured simultaneously, deepening the exploratory evaluation carried out in the previous section.
For this analysis, only the average records per street between intersections for each monitoring route that contain values for all the analyzed variables were considered: noise level, PM, PM and NO concentrations, wind speed, ambient temperature, total traffic flow, average buildings height, standard deviation of buildings height, street width, street aspect ratio, commercial activity, and construction density.
As mentioned above, in addition to performing a cluster analysis considering all the available records for the two monitoring routes combined, this analysis was repeated considering the records corresponding to different wind speeds and ambient temperature intervals. These data subsets were defined considering the tertiles of the wind speed and ambient temperature data series, according to Table 5. It is noted that the aforementioned meteorological variables were not included in these data subsets.
Table 5.
Data sets analyzed, and the number of records in each (total and percentage).
Based on the above, if the conclusions of the statistical analysis carried out considering all the records are maintained for the data subsets mentioned above, then it will be postulated that these conclusions are independent of the prevailing meteorological conditions.
Moreover, considering that not all the variables have the same measurement units, the cluster analysis was carried out using the standardized anomalies of the records.
First, and for each data set analyzed, four hierarchical-agglomerative clustering methodologies were applied [31]: Single-linkage, Complete-linkage, Average-linkage, and Ward’s minimum variance method. These methodologies differ in the definition adopted to form clusters. In the case of these methodologies, the grouping process was first carried out until a single group formed by all records was obtained (Figure 13).
Figure 13.
Dendrogram example (Single-linkage; DS).
Next, to determine the number of clusters to be considered, for each grouping methodology and data set, the distance overcome in each grouping stage until forming a single cluster was examined, stopping this process upon perceiving a pronounced increase in this distance (an example is presented in Figure 14; in this case, it was decided to form four clusters).
Figure 14.
Evolution of the grouping distance overcome in each stage (Single-linkage; DS).
Then, the number of records that were grouped within each cluster was evaluated, considering for the analysis only those that present more than 5% of the total data of the corresponding set (DS, DS1, DS2, ..., DS9) (a similar procedure was followed in [32]). Moreover, the non-hierarchical clustering method called K-means was used after applying the aforementioned hierarchical-agglomerative clustering methodologies. For the application of this methodology, the number of clusters to form must be defined in advance. In this sense, the formation of the average number of clusters with more than five percent of the records, determined through the application of hierarchical-agglomerative methodologies, was established for each data set. As in the previous cases, only those clusters containing more than 5% of the records were considered for the analysis.
After the application of the different grouping methodologies, three different methods were used for each data set to decide which grouping methodology presented the best performance: Silhouette Coefficient [33], Calinski–Harabasz Index [34], and Davies–Bouldin Index [35]. As an example, in the Silhouette Coefficient method, each cluster is represented by a so-called silhouette, which is based on the comparison of its tightness and separation. This silhouette shows which data points lie well within their cluster, and which ones are merely somewhere in between clusters [33].
These comparative methods were applied only to those methodologies that resulted in at least two clusters with more than 5% of the records for each data set. In this sense, for each comparative method and data set, a ranking was prepared, considering the performance of each grouping methodology under analysis. Next, the average was calculated, for each grouping methodology, of the positions obtained in the ranking corresponding to each comparative method. Based on the preceding, the grouping methodology that presented the average of the ranking positions closest to one was considered the one with the best performance for each data set. The results of this calculation procedure are illustrated in Table 6 and Table 7.
Table 6.
Detailed results of the clustering process for the DS dataset.
Table 7.
Summary of the clustering process results.
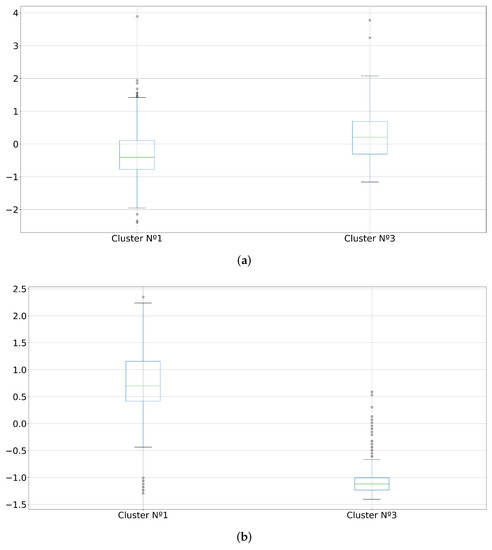
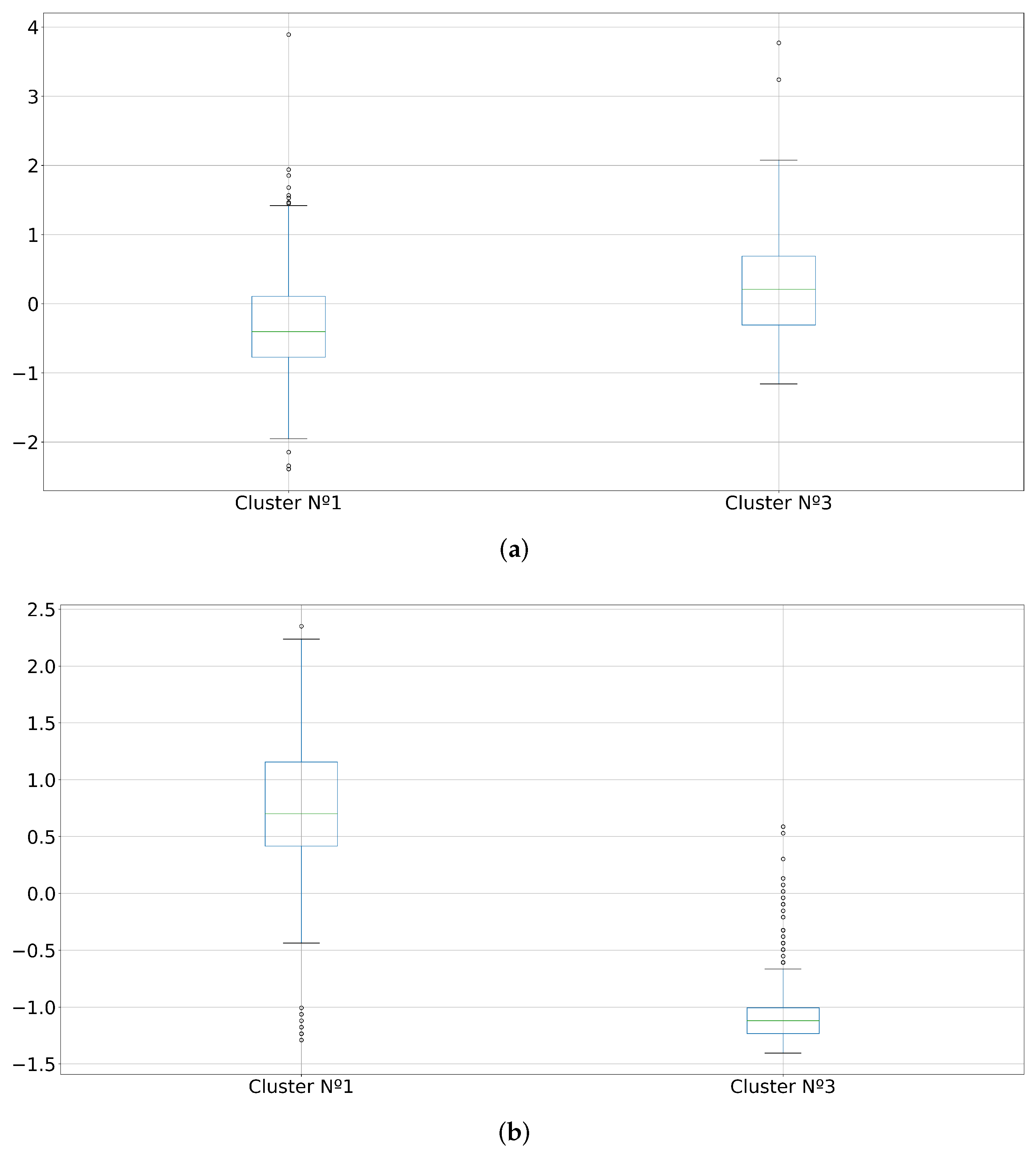
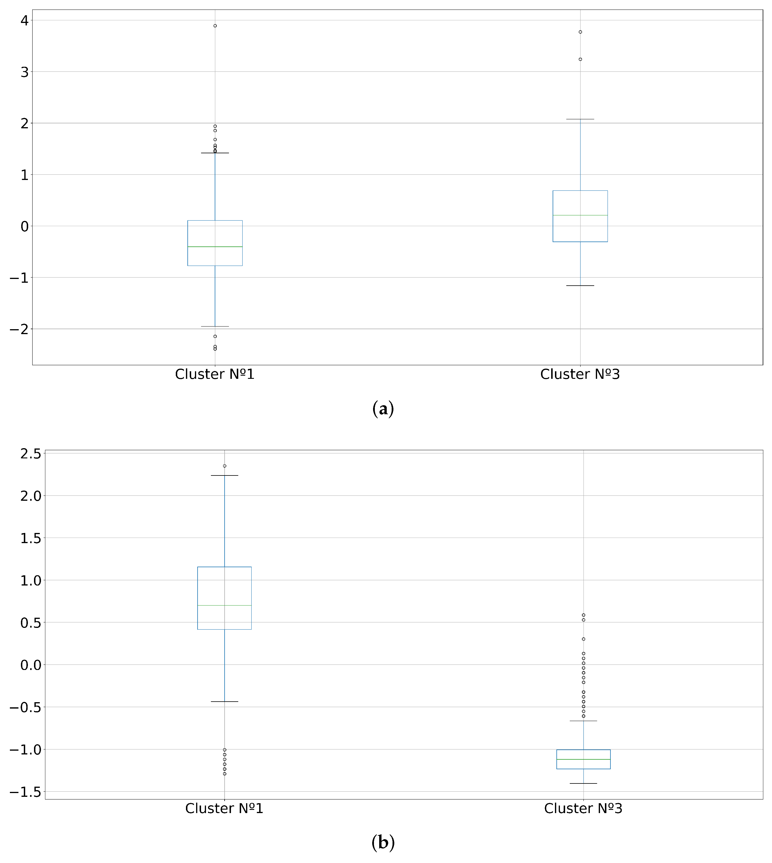
Finally, for each data set and the best-ranked grouping methodology, the values of the parameters analyzed were comparatively evaluated for the two clusters with the highest number of records. First, a graphical evaluation of the two main clusters was performed using boxplots. This analysis is illustrated in Figure 15 for two of the analyzed parameters.
Figure 15.
Standardized anomalies of NO concentrations and total traffic flows (DS). (a) NO concentration (standardized anomalies); and (b) total traffic flow (standardized anomalies).
Next, and for each data set, the average values of the standardized anomalies of the analyzed parameters were calculated for the two clusters with the largest number of records. Then, and also for each data set, the Mann–Whitney non-parametric hypothesis test was performed between the values of the parameters present in the two main clusters. In this sense, it was stated that a cluster presents a higher value than another for a specific parameter if two conditions were satisfied: the average value of said parameter was higher in one of the two analyzed clusters; and the difference between the records belonging to these clusters was statistically significant (Mann–Whitney test).
From the above, the following comments emerged:
- Considering all the available records (DS data set), it was observed that the two clusters with the highest number of records reasonably represented the two monitoring routes, according to the descriptive statistical analysis results. The only difference with statistical significance corresponds to the parameter construction density at the street level. In the case of this analysis, the highest values corresponded to the cluster that would be representing Route N°2. In contrast, in the descriptive statistical analysis, it was observed that this parameter had higher values on Route N°1.
- The results obtained for the DS5 data set coincided with the findings of the descriptive statistical analysis, except for the parameter construction density at the street level (although the difference between the two main clusters analyzed was not statistically significant).
- The results obtained for the DS7 and DS8 data set coincided with the findings of the descriptive statistical analysis.
- It is considered that the results obtained for the DS1, DS3, DS4, and DS6 data sets did not coincide with those of the descriptive statistical analysis since the main clusters did not represent the monitoring routes according to their urban environment parameters.
- The results obtained for the DS2 and DS9 data sets coincided with the findings of the descriptive statistical analysis, in the sense that the analyzed clusters reasonably represented the monitoring routes (according to their urban environment parameters). Still, the NO concentration is higher in the cluster representing Route N°2, making this difference statistically significant.
Based on the above, Table 8 illustrates the similarity between the cluster analysis results and the descriptive statistical analysis findings for each data set.
Table 8.
Estimation of the degree of similarity between the cluster analysis results and the descriptive statistical analysis findings (green: high degree of similarity; yellow: intermediate degree of similarity; red: low degree of similarity).
4. Discussion and Conclusions
4.1. Environmental Parameters Monitoring Methodology
As stated by different surveyed studies, urban air quality results from complex interactions among the atmospheric pollutants’ emissions (characterized by their source type, emission rates, etc.), the urban environment and meteorological conditions. Even though the emission sources can be quantified and characterized, the urban environment is usually seen as a set of initial conditions, and meteorological parameters are seen as external drivers. These relations challenge informed decision-making for urban air quality management. To contribute to understanding the phenomena underlying urban air quality levels with a focus on the exposure experienced by active travel modes users, a work methodology was developed and put into practice. It was based on similar international studies, but original contributions were incorporated to make its implementation by our research team possible. Our work methodology allowed the completion of the proposed stages of the project, from the definition and evaluation of monitoring routes to the final data analysis that provided evidence for policy recommendations.
Even though our proposal seems to be close to many other methodologies carried out by other researchers all around the world, we think in this case the main difference is the close interaction with the cycling groups. It has been a way to ensure working on relevant routes and having a good retrofitting for the interpretation of field data. If only the authorities’ point of view were to be considered, the possibility of generating enough field information on relevant routes would be restricted. This working methodology can be applied to any other neighborhoods in Montevideo and, in general, in every urbanization where encouraging active transport is an important issue but improving the cycling infrastructure is also a must. The deeper the knowledge about the place and especially the people of the place, the more useful the outcomes of the study would be. Social complexity is not to be avoided, but to work with [36], in order to involve the citizens in our project. In addition, the application of this methodology could be useful to discover air pollution hot spots in a city, especially in those where air quality is not controlled, or where there is a reduced number of fixed air quality monitoring stations presenting limited spatial coverage. Moreover, this methodology could be applied in citizen science projects as well.
4.2. Temporal and Spatial Variability of Environmental Parameters
The temporal and spatial variability registered for the environmental parameters recorded is to be highlighted. Since traffic emissions are expected to be the most significant sources of atmospheric pollutants, variability will not be a striking outcome because it is an inherent property of these mobile sources.
Nevertheless, two interesting points to note are:
- The areas with the highest concentrations and doses of particulate matter and NO differ.
- There are differences between the NO maximum concentration areas and maximum dose zones.
Route N°1 presents higher average PM and NO potential inhaled doses, and higher average NO concentrations. The lower levels of total traffic flow in Route N°1 than Route N°2 should be highlighted here. Nevertheless, Route N°1 presents higher aspect ratios and commercial activity than Route N°2, but lower street width values. These urban environment characteristics, acting together, may have incidences on the higher environmental NO concentrations recorded on Route N°1, these parameters being mentioned as influencing urban air quality in the introductory chapter of this study. However, the correlation between NO concentrations and aspect ratio on Route N°1 was not statistically significant. According to [7], the relationship between PM and NO was found to be strong, while the relation between PM and NO was not; furthermore, PM and NO appear to be related to traffic flow, while PM was directly related to the average height of buildings. Our outcomes show a strong correlation between PM and PM in both monitoring routes and between all atmospheric pollutants in Route N°1. The composition of traffic flow is another urban environment parameter that may be involved in part to explain our results. Beyond the fact that total traffic flow is lower on Route N°1, this route has a higher proportion of trucks than Route N°2, this vehicle category being the highest emitter, according to the National Air Emissions Inventory [26]. Besides, the measured noise pollution doses were higher on Route N°2.
While focusing on the differences between the hot spots of the ambient concentration and the exposure dose of the same pollutant (e.g., NO), not only the emission sources, but other considerations appear to be important: some urban characteristics, possibly affecting the atmospheric pollutants dispersion (e.g., street aspect ratios, average buildings height, etc.), and some meteorological parameters, remarking on wind speed and direction. Wind is the main agent of the advective transport of atmospheric pollutants (both gases and particulate matter), and it has a significant correlation with their ambient concentrations. On the other hand, the potential inhaled doses depend not only on the pollutant concentration (in g/m), but also on the cyclist’s ventilation rate (Equation (6)). The ventilation rate is related to the level of effort of the cyclist (which is conditioned by the layout of the monitoring route), this fact possibly leading to the presented differences in the NO concentrations and doses maps.
Thus, when designing an urban air pollution management policy, the target atmospheric pollutant(s) must be first defined since the city hot spots may depend on the contaminant, which may result in different management policies for each of them. The question also arises as to whether policies should focus on areas of higher pollutants’ concentrations or exposure doses of a group of users (cyclists, pedestrians, etc.), since these areas may not coincide. Moreover, this exploratory study in Montevideo shows that not only is traffic flow important for determining street air quality levels, but also other urban environment parameters (e.g., aspect ratio) could be playing a role in this issue, deserving consideration when designing public spaces with an emphasis on personal exposure reduction to atmospheric pollutants. We believe these are not easy questions for city managers to answer; therefore, a closer relation between politicians and researchers is needed as well, to work together in the construction of public policies for public health and active transport. These comments constitute key issues to deepen in future research, guiding the realization of new and more ambitious measurement campaigns, including the application of different statistical techniques to reinforce the obtained results.
4.3. Influence of Meteorological Conditions
The link between meteorological variables and atmospheric pollutant concentrations is not new. Ref. [23] found that PM and NO are related to local-scale meteorology, while temperature changes are the main meteorological drivers of air pollution. Ref. [24], working in Montevideo city, found that wind speed and the mixing layer depth (i.e., the atmospheric stability condition, which is directly related to the atmospheric vertical temperature profile), are related to ambient particulate matter concentrations.
In our case study, sometimes different results were obtained while repeating the cluster analysis for different data subsets corresponding to different ranges of values of wind speed and ambient temperature. Actually, for high and low values of the aforementioned meteorological parameters (based on the measured data series), it was impossible to reproduce the descriptive statistical analysis results using the cluster analysis tool in most cases. This result appears reasonable since high correlation coefficients were obtained between the recorded meteorological variables and the atmospheric pollutants concentrations. Besides, ambient temperature records were statistically different for the two monitoring routes.
This fact shows one of the study’s primary weaknesses: no measurements were made in winter on Route N°2. In future similar studies, fieldwork design should consider the prevailing meteorological conditions (with an emphasis on the ambient temperature) more carefully when defining the sampling days. In addition, as other limitations of the study, it should be highlighted that atmospheric pollutants concentrations were not recorded using reference equipment, and that the available resources did not allow the evaluation of environmental exposure during the use of different transport modes simultaneously.
With a basis on the aforementioned, the influence of meteorological conditions on ambient air quality—even at reduced spatial scales—must be highlighted. The conclusions of the descriptive statistical analysis were reproduced using the cluster analysis technique considering all the cyclist routes together, for the cyclist routes associated with intermediate values of wind speed and ambient temperature, and for the cyclist routes associated with high wind speeds and low and medium ambient temperatures.
Future research should also address the question of which meteorological conditions should be considered to better study the links between environmental exposure and urban environment parameters, in order to develop a public spaces design tool that contributes to lower the environmental exposure, especially in the case of active travel modes users. The authors think that this is a key issue to address for establishing effective public spaces’ design policies, and expect the present study to constitute a starting point for further research.
4.4. Policy Recommendations
Preliminarily, and reinforcing the need of more ambitious measurement campaigns and data treatment to drive stronger conclusions, the following policy recommendations are formulated, summarizing the obtained results:
- Mobile monitoring constitutes a good approach for city air pollution hot spots discovery.
- Not only is traffic flow important for determining street air quality levels, but also other urban environment parameters (e.g., street aspect ratios) could be playing a role in this issue. So, these parameters should be taken into account when designing public spaces, or when evaluating existing ones, with the aim of personal environmental exposure reduction.
- When designing an urban air pollution management policy, the target atmospheric pollutant(s) must be first defined, since city hot spots may depend on the contaminant, possibly resulting in different management policies for each of them.
- Policy makers should consider if air pollution policies should be focused in atmospheric pollutant concentration or exposure dose hot spots, since these areas may not coincide in a city.
- Target meteorological conditions (e.g., wind speed and direction) should be defined prior to evaluating policies’ effects on atmospheric pollutants’ concentrations, since they are affected by meteorological conditions, even at reduced spatial scales.
Author Contributions
Conceptualization, M.D., I.F., V.C., A.C.V., A.A. and E.G.; data curation, M.D., I.F., V.C. and E.G.; formal analysis, M.D. and I.F.; funding acquisition, M.D., I.F., V.C., A.C.V., A.A. and E.G.; investigation, M.D., I.F., V.C., A.C.V., A.A. and E.G.; methodology, M.D., I.F., V.C., A.C.V., A.A. and E.G.; project administration, M.D.; resources, M.D., I.F., V.C., A.C.V., A.A. and E.G.; software, M.D. and I.F.; supervision, M.D., A.A. and E.G.; validation, I.F., V.C., A.C.V., A.A. and E.G.; visualization, M.D. and I.F.; writing—original draft, M.D.; writing—review and editing, M.D., I.F., V.C., A.C.V., A.A. and E.G. All authors have read and agreed to the published version of the manuscript.
Funding
This research was funded by Comisión Sectorial de Investigación Científica (Universidad de la República, Uruguay) project number CSIC-VUSP-M2-2019-35.
Institutional Review Board Statement
The study was conducted in accordance with the Declaration of Helsinki, and approved by the Ethics Committee of Facultad de Medicina (Universidad de la República, Uruguay) (EXP N° 070153-000585-18, 01/11/2018).
Informed Consent Statement
Informed consent was obtained from all subjects involved in the study.
Data Availability Statement
The data presented in this study are available on request from the corresponding author.
Acknowledgments
First, the authors thank the volunteer cyclists participating in the study’s fieldwork. Secondly, we want to thank the collaboration of the Municipality of Montevideo for contributing to the study with relevant data (atmospheric pollutants concentrations and simultaneous traffic flow records to the study’s fieldwork). Thirdly, we want to thank the Facultad de Arquitectura, Diseño y Urbanismo (Universidad de la República, Uruguay), for allowing us to locate a measurement instrument in its facilities during the entire fieldwork period of the study.
Conflicts of Interest
The authors declare no conflict of interest. The funders had no role in the design of the study; in the collection, analyses, or interpretation of data; in the writing of the manuscript; or in the decision to publish the results.
Abbreviations
The following abbreviations are used in this manuscript:
| PM | particulate matter |
| PM | particles with an aerodynamic diameter less than or equal to 10 m |
| PM | particles with an aerodynamic diameter less than or equal to 2.5 m |
| NO | nitrogen dioxide |
| NO | nitrogen oxides |
| CO | carbon monoxide |
| O | ozone |
| T | ambient temperature |
| ambient relative humidity | |
| heart rate |
References
- Lopez, R.P. The Built Environment and Public Health, 1st ed.; Wiley: Hoboken, NJ, USA, 2012. [Google Scholar]
- Cohen, A.J.; Brauer, M.; Burnett, R.; Anderson, H.R.; Frostad, J.; Estep, K.; Balakrishnan, K.; Brunekreef, B.; Dandona, L.; Dandona, R.; et al. Estimates and 25-Year Trends of the Global Burden of Disease Attributable to Ambient Air Pollution: An Analysis of Data from the Global Burden of Diseases Study. Lancet 2015, 389, 1907–1918. [Google Scholar] [CrossRef]
- Nieuwenhuijsen, M.J. Urban and Transport Planning, Environmental Exposures and Health-New Concepts, Methods and Tools to Improve Health in Cities. Environ. Health 2016, 15, S38. [Google Scholar] [CrossRef]
- Balsa-Barreiro, J.; Li, Y.; Morales, A.; Pentland, A. Globalization and the shifting centers of gravity of world’s human dynamics: Implications for sustainability. J. Clean. Prod. 2019, 239, 117923. [Google Scholar] [CrossRef]
- Miskell, G.; Salmond, J.A.; Williams, D.E. Use of a Handheld Low-Cost Sensor to Explore the Effect of Urban Design Features on Local-Scale Spatial and Temporal Air Quality Variability. Sci. Total. Environ. 2017, 619–620, 480–490. [Google Scholar] [CrossRef] [PubMed]
- Farrell, W.J.; Weichenthal, S.; Goldberg, M.; Hatzopoulou, M. Evaluating Air Pollution Exposures across Cycling Infrastructure Types: Implications for Facility Design. J. Transp. Land Use 2015, 8, 131–149. [Google Scholar] [CrossRef]
- Li, C.; Wang, Z.; Li, B.; Peng, Z.R.; Fu, Q. Investigating the Relationship between Air Pollution Variation and Urban Form. Build. Environ. 2018, 147, 559–568. [Google Scholar] [CrossRef]
- Cárdenas Rodríguez, M.; Dupont-Courtade, L.; Oueslati, W. Air Pollution and Urban Structure Linkages: Evidence from European Cities. Renew. Sustain. Energy Rev. 2015, 53, 1–9. [Google Scholar] [CrossRef]
- Hermosilla, T.; Palomar, J.; Balaguer-Beser, A.; Balsa-Barreiro, J.; Ruiz, L.A. Using street based metrics to characterize urban typologies. Comput. Environ. Urban Syst. 2013, 44, 68–79. [Google Scholar] [CrossRef]
- Lehner, A.; Blaschke, T. A Generic Classification Scheme for Urban Structure Types. Remote Sens. 2019, 11, 173. [Google Scholar] [CrossRef]
- Hankey, S.; Lindsey, G.; Marshall, J.D. Population-Level Exposure to Particulate Air Pollution during Active Travel: Planning for Low-Exposure, Health-Promoting Cities. Environ. Health Perspect. 2017, 125, 527–534. [Google Scholar] [CrossRef]
- Weichenthal, S.; Farrell, W.; Goldberg, M.; Joseph, L.; Hatzopoulou, M. Characterizing the Impact of Traffic and the Built Environment on Near-Road Ultrafine Particle and Black Carbon Concentrations. Environ. Res. 2014, 132, 305–310. [Google Scholar] [CrossRef]
- Hatzopoulou, M.; Weichenthal, S.; Dugum, H.; Pickett, G.; Miranda-Moreno, L.; Kulka, R.; Andersen, R.; Goldberg, M. The Impact of Traffic Volume, Composition, and Road Geometry on Personal Air Pollution Exposures among Cyclists in Montreal, Canada. J. Expo. Sci. Environ. Epidemiol. 2013, 23, 46–51. [Google Scholar] [CrossRef] [PubMed]
- Targino, A.C.; Rodrigues, M.V.C.; Krecl, P.; Cipoli, Y.A.; Ribeiro, J.P.M. Commuter Exposure to Black Carbon Particles on Diesel Buses, on Bicycles and on Foot: A Case Study in a Brazilian City. Environ. Sci. Pollut. Res. 2018, 25, 1132–1146. [Google Scholar] [CrossRef] [PubMed]
- Apparicio, P.; Carrier, M.; Gelb, J.; Séguin, A.M.; Kingham, S. Cyclists’ Exposure to Air Pollution and Road Traffic Noise in Central City Neighbourhoods of Montreal. J. Transp. Geogr. 2016, 57, 63–69. [Google Scholar] [CrossRef]
- Van den Bossche, J.; Peters, J.; Verwaeren, J.; Botteldooren, D.; Theunis, J.; De Baets, B. Mobile Monitoring for Mapping Spatial Variation in Urban Air Quality: Development and Validation of a Methodology Based on an Extensive Dataset. Atmos. Environ. 2015, 105, 148–161. [Google Scholar] [CrossRef]
- Jarjour, S.; Jerrett, M.; Westerdahl, D.; de Nazelle, A.; Hanning, C.; Daly, L.; Lipsitt, J.; Balmes, J. Cyclist Route Choice, Traffic-Related Air Pollution, and Lung Function: A Scripted Exposure Study. Environ. Health 2013, 12, 14. [Google Scholar] [CrossRef]
- Chan, A.T.; So, E.S.P.; Samad, S.C. Strategic Guidelines for Street Canyon Geometry to Achieve Sustainable Street Air Quality. Atmos. Environ. 2001, 35, 4089–4098. [Google Scholar] [CrossRef]
- Schepers, P.; Fishman, E.; Beelen, R.; Heinen, E.; Wijnen, W.; Parkin, J. The Mortality Impact of Bicycle Paths and Lanes Related to Physical Activity, Air Pollution Exposure and Road Safety. J. Transp. Health 2015, 2, 460–473. [Google Scholar] [CrossRef]
- Santamaría, J.M. Layman’s Report. In Reduction of Exposure of Cyclists to Urban Pollutants; Integrated Laboratory for Environmental Quality (LICA), University of Navarra: Pamplona, Spain, 2017. [Google Scholar]
- Targino, A.C.; Gibson, M.D.; Krecl, P.; Rodrigues, M.V.C.; dos Santos, M.M.; de Paula Corrêa, M. Hotspots of Black Carbon and PM2.5 in an Urban Area and Relationships to Traffic Characteristics. Environ. Pollut. 2016, 218, 475–486. [Google Scholar] [CrossRef] [PubMed]
- Elminir, H.K. Dependence of Urban Air Pollutants on Meteorology. Sci. Total. Environ. 2005, 350, 225–237. [Google Scholar] [CrossRef]
- Pearce, J.L.; Beringer, J.; Nicholls, N.; Hyndman, R.J.; Tapper, N.J. Quantifying the Influence of Local Meteorology on Air Quality Using Generalized Additive Models. Atmos. Environ. 2010, 45, 1328–1336. [Google Scholar] [CrossRef]
- Cataldo, J.; González, E. Analysis of the Relation between Particle Matter Concentration and Meteorological Parameter at Montevideo City. Open J. Air Pollut. 2018, 7, 120–139. [Google Scholar] [CrossRef]
- Decreto N° 135/021. 2021. Available online: http://www.impo.com.uy/bases/decretos/135-2021 (accessed on 15 July 2022).
- Cataldo, J.; Deambrosi, M.; Franchi, B.I.; Hill, M.; Fernández, P. Informe Final Inventario de Emisiones Atmosféricas 2015; Ministerio de Vivienda, Ordenamiento Territorial y Medio Ambiente: Montevideo, Uruguay, 2019. [Google Scholar]
- Cataldo, J.; Rezzano, N.; D’Angelo, M.; Deambrosi, M.; IMFIA-FIng & DINAMA-MVOTMA. Análisis de la Evolución de la Calidad del Aire en Montevideo; Ministerio de Vivienda, Ordenamiento Territorial y Medio Ambiente: Montevideo, Uruguay, 2018. [Google Scholar]
- Lin, C.; Gillespie, J.; Schuder, M.; Duberstein, W.; Beverland, I.; Heal, M. Evaluation and Calibration of Aeroqual Series 500 Portable Gas Sensors for Accurate Measurement of Ambient Ozone and Nitrogen Dioxide. Atmos. Environ. 2014, 100, 111–116. [Google Scholar] [CrossRef]
- Qiu, Z.; Wang, W.; Zheng, J.; Lv, H. Exposure Assessment of Cyclists to UFP and PM on Urban Routes in Xi’an, China. Environ. Pollut. 2019, 250, 241–250. [Google Scholar] [CrossRef]
- Zuurbier, M.; Hoek, G.; van den Hazel, P.; Brunekreef, B. Minute Ventilation of Cyclists, Car and Bus Passengers: An Experimental Study. Environ. Health 2009, 8, 48. [Google Scholar] [CrossRef]
- Wilks, D.S. Statistical Methods in the Atmospheric Sciences, 3rd ed.; Number v. 100 in International Geophysics Series; Elsevier/Academic Press: Amsterdam, The Netherlands, 2011. [Google Scholar]
- D’Angelo, M.; González, A.E.; Rezzano Tizze, N. First Approach to Exhaust Emissions Characterization of Light Vehicles in Montevideo, Uruguay. Sci. Total. Environ. 2017, 618, 1071–1078. [Google Scholar] [CrossRef]
- Rousseeuw, P.J. Silhouettes: A Graphical Aid to the Interpretation and Validation of Cluster Analysis. J. Comput. Appl. Math. 1987, 20, 53–65. [Google Scholar] [CrossRef]
- Calinski, T.; Harabasz, J. A Dendrite Method for Cluster Analysis. Commun. Stat. Theory Methods 2007, 3, 1–27. [Google Scholar] [CrossRef]
- Davies, D.L.; Bouldin, D.W. A Cluster Separation Measure. IEEE Trans. Pattern Anal. Mach. Intell. 1979, PAMI-1, 224–227. [Google Scholar] [CrossRef]
- Balsa-Barreiro, J.; Menendez, M.; Morales, A.J. Scale, context, and heterogeneity: The complexity of the social space. Sci. Rep. 2022, 12, 9037. [Google Scholar] [CrossRef]
Disclaimer/Publisher’s Note: The statements, opinions and data contained in all publications are solely those of the individual author(s) and contributor(s) and not of MDPI and/or the editor(s). MDPI and/or the editor(s) disclaim responsibility for any injury to people or property resulting from any ideas, methods, instructions or products referred to in the content. |
© 2023 by the authors. Licensee MDPI, Basel, Switzerland. This article is an open access article distributed under the terms and conditions of the Creative Commons Attribution (CC BY) license (https://creativecommons.org/licenses/by/4.0/).














