Experimental Assessment of the Thermal Influence of a Continuous Living Wall in a Subtropical Climate in Brazil
Abstract
1. Introduction
2. Materials and Methods
2.1. The Experimental Garden
2.2. Data Monitoring
2.3. Data Analysis
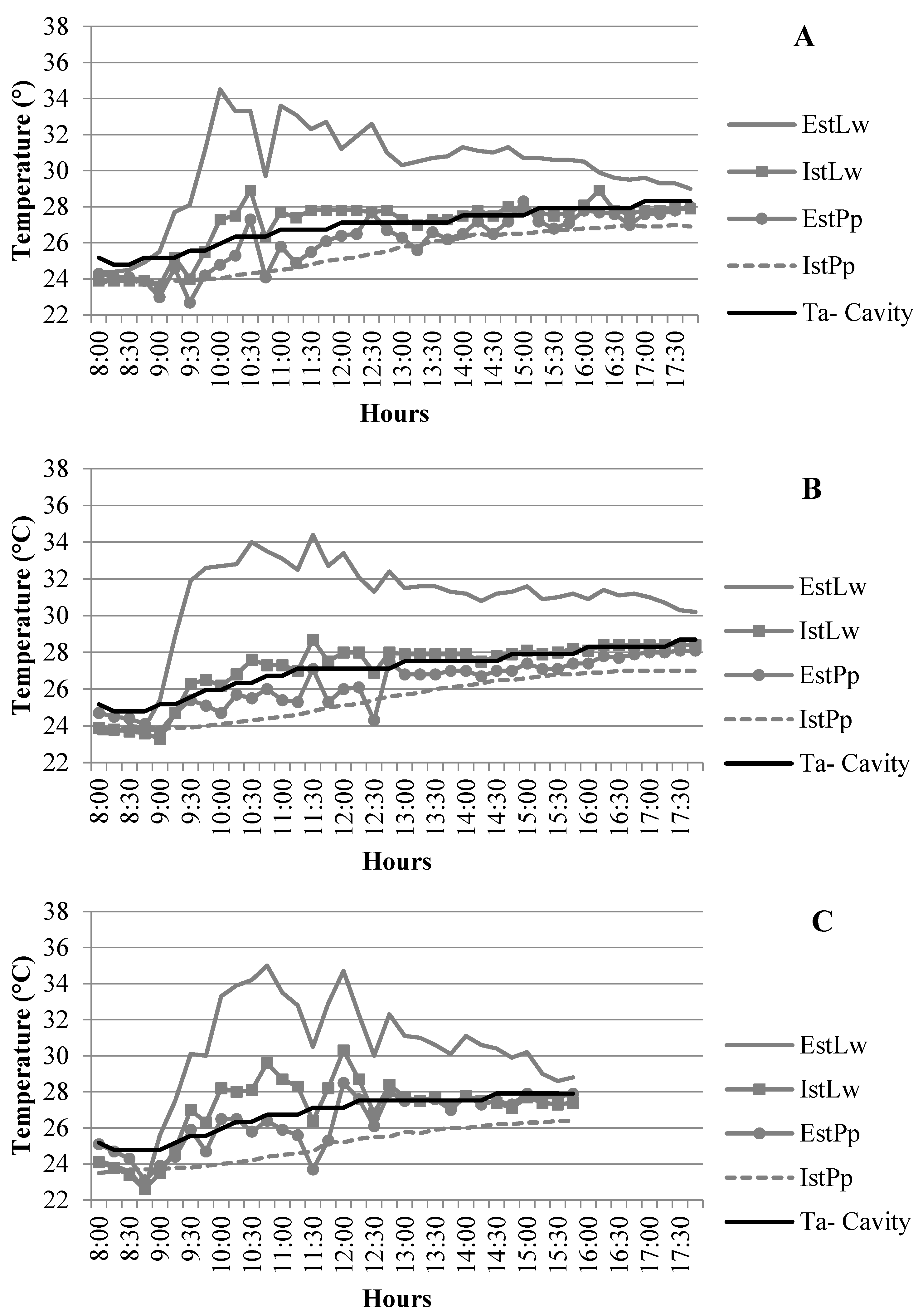
3. Results and Discussion
3.1. The Influence of Shading on Surface Temperature Variations of the Protected Plot
3.2. “Garden-Protected Plot” System
3.3. Cavity Thermal Exchange System
4. Conclusions
- The living wall reduced the external (up to 10.6 °C) and internal (up to 2.9 °C) surface temperatures and contributed to keeping them lower in approximately 80% of the monitoring period;
- The living wall influenced the reduction in thermal variation and the maximum values of surface temperatures of the protected plot (8.6 °C for external and 2.7 °C for internal), and created thermal delays of up to 6 h for external and up to 1 h for internal surface temperatures compared to the bare wall;
- The data for internal surface temperature are unprecedented for this type of study with a continuous living wall (which always reduced the values for the protected plot from 10:00 a.m. onwards) and highlight that its behavior at the beginning of the monitoring period suggests that the protected plot is kept warmer than the bare wall at night, which may require nighttime ventilation for better internal thermal comfort.
Author Contributions
Funding
Institutional Review Board Statement
Informed Consent Statement
Acknowledgments
Conflicts of Interest
References
- Huang, S.; Taniguchi, M.; Yamano, M.; Wang, C.-H. Detecting urbanization effects on surface and subsurface thermal environment—A case study of Osaka. Sci. Total Environ. 2009, 407, 3142–3152. [Google Scholar] [CrossRef] [PubMed]
- Pan, L.; Wei, S.; Chu, L. Orientation effect on thermal and energy performance of vertical greenery systems. Energy Build. 2018, 175, 102–112. [Google Scholar] [CrossRef]
- Wong, N.H.; Tan, A.Y.K.; Chen, Y.; Sekar, K.; Tan, P.Y.; Chan, D.; Chiang, K.; Wong, N.C. Thermal evaluation of vertical greenery systems for building walls. Build. Environ. 2010, 45, 663–672. [Google Scholar] [CrossRef]
- Jesus, M.P.; Lourenço, J.M.; Arce, R.M.; Macias, M. Green façades and in situ measurements of outdoor building thermal behavior. Build. Environ. 2017, 119, 11–19. [Google Scholar] [CrossRef]
- Sharp, R.; Sable, J.; Bertram, F.; Mohan, E.; Peck, S. Introduction to Green Walls: Technology, Benefits & Design. Green Roofs for Healthy Cities, United States of America. 2008. Available online: http://www.greenroofs.net/components/com_lms/flash/Green%20Walls%20Intro%20908b.pdf (accessed on 25 March 2016).
- Besir, A.B.; Cuce, E. Green roofs and facades: A comprehensive review. Renew. Sustain. Energy Rev. 2018, 82, 915–939. [Google Scholar] [CrossRef]
- Perini, K.; Ottele, M.; Haas, E.M.; Raiteri, R. Vertical greening systems, a process tree for green façades and living walls. Urban Ecossystems 2013, 16, 265–277. [Google Scholar] [CrossRef]
- Kontoleon, K.; Eumorfopoulou, E. The effect of the orientation and proportion of a plant-covered wall layer on the thermal performance of a building zone. Build. Environ. 2010, 45, 1287–1303. [Google Scholar] [CrossRef]
- Wong, N.H.; Tan, A.Y.K.; Tan, P.Y.; Wong, N.C. Energy simulation of vertical greenery systems. Energy Build. 2009, 41, 1401–1408. [Google Scholar] [CrossRef]
- Pérez, G.; Coma, J.; Martorell, I.; Cabeza, L.F. Vertical Greenery Systems (VGS) for energy saving in buildings: A review. Renew. Sustain. Energy Rev. 2014, 39, 139–165. [Google Scholar] [CrossRef]
- Pérez, G.; Rincón, L.; Vila, A.; González, J.M.; Cabeza, L.F. Green vertical systems for buildings as passive systems for energy savings. Appl. Energy 2011, 88, 4854–4859. [Google Scholar] [CrossRef]
- Perini, K.; Ottelé, M.; Fraaij, A.; Haas, E.; Raiteri, R. Vertical greening systems and the effect on air flow and temperature on the building envelope. Build. Environ. 2011, 46, 2287–2294. [Google Scholar] [CrossRef]
- Scarpa, M.; Mazzali, U.; Peron, F. Modeling the energy performance of living walls: Validation against field measurements in temperate climate. Energy Build. 2014, 79, 155–163. [Google Scholar] [CrossRef]
- Cruciol-barbosa, M.; de Castro Fontes, M.S.G. Jardins verticais: Modelos e técnicas. PARC Pesqui. Arquitetura Construção 2016, 7, 114. [Google Scholar] [CrossRef]
- Manso, M.; Castro-Gomes, J. Green wall systems: A review of their characteristics. Renew. Sustain. Energy Rev. 2015, 41, 863–871. [Google Scholar] [CrossRef]
- Moghaddam, F.; Mir, J.F.; Yanguas, A.B.; Delgado, I.N.; Dominguez, E.R. Building Orientation in Green Facade Performance and Its Positive Effects on Urban Landscape Case Study: An Urban Block in Barcelona. Sustainability 2020, 12, 9273. [Google Scholar] [CrossRef]
- Coma, J.; Pérez, G.; de Gracia, A.; Burés, S.; Urrestarazu, M.; Cabeza, L.F. Vertical greenery systems for energy savings in buildings: A comparative study between green walls and green facades. Build. Environ. 2017, 111, 228–237. [Google Scholar] [CrossRef]
- Mazzali, U.; Peron, F.; Romagnoni, P.; Pulselli, R.M.; Bastianoni, S. Experimental investigation on the energy performance of Living Walls in a temperate climate. Build. Environ. 2013, 64, 57–66. [Google Scholar] [CrossRef]
- Perini, K.; Bazzocchi, F.; Croci, L.; Magliocco, A.; Cattaneo, E. The use of vertical greening systems to reduce the energy demand for air conditioning. Field monitoring in Mediterranean climate. Energy Build. 2017, 143, 35–42. [Google Scholar] [CrossRef]
- Razzaghmanesh, M.; Razzaghmanesh, M. Thermal performance investigation of a living wall in a dry climate of Australia. Build. Environ. 2017, 112, 45–62. [Google Scholar] [CrossRef]
- Charoenkit, S.; Yiemwattana, S. Role of specific plant characteristics on thermal and carbon sequestration properties of living walls in tropical climate. Build. Environ. 2017, 115, 67–79. [Google Scholar] [CrossRef]
- Chen, Q.; Li, B.; Liu, X. An experimental evaluation of the living wall system in hot and humid climate. Energy Build. 2013, 61, 298–307. [Google Scholar] [CrossRef]
- Tan, C.L.; Wong, N.H.; Jusuf, S.K. Effects of vertical greenery on mean radiant temperature in the tropical urban environment. Landsc. Urban Plan. 2014, 127, 52–64. [Google Scholar] [CrossRef]
- Haggag, M.; Hassan, A.; Elmasry, S. Experimental study on reduced heat gain through green façades in a high heat load climate. Energy Build. 2014, 82, 668–674. [Google Scholar] [CrossRef]
- Victorero, F.; Vera, S.; Bustamante, W.; Tori, F.; Bonilla, C.; Gironás, J.; Rojas, V. Experimental Study of the Thermal Performance of Living Walls Under Semiarid Climatic Conditions. Energy Procedia 2015, 78, 3416–3421. [Google Scholar] [CrossRef]
- Djedjig, R.; Belarbi, R.; Bozonnet, E. Experimental study of green walls impacts on buildings in summer and winter under an oceanic climate. Energy Build. 2017, 150, 403–411. [Google Scholar] [CrossRef]
- Ruiz-Valero, L.; Faxas-Guzmán, J.; Arranz, B.; Flores-Sasso, V.; Céspedes, L. Living wall system for improved thermal performance of facades located in tropical climate. Case study in Dominican Republic. Build. Environ. 2022, 222, 109419. [Google Scholar] [CrossRef]
- Caetano, F.D.N. Influência de Muros Vivos Sobre o Desempenho Térmico de Edifícios. Master’s Thesis, Universidade Estadual de Campinas, Campinas, Brazil, 2014. [Google Scholar]
- Júnior, M.E.d.O. Localização da Região de Governo de São José dos Campos no Estado de São Paulo no Brasil. 2011. Available online: https://commons.wikimedia.org/wiki/File:SaoPaulo_RG_SaoJosedosCampos.svg#/media/File:SaoPaulo_RG_SaoJosedosCampos.svg (accessed on 24 October 2022).
- Google Maps. Available online: https://www.google.com.br/maps/preview (accessed on 10 July 2021).
- Alvares, C.A.; Stape, J.L.; Sentelhas, P.C.; Gonçalves, J.L.M.; Sparovek, G. Köppen’s climate classification map for Brazil. Meteorol. Z. 2013, 22, 711–728. [Google Scholar] [CrossRef]
- Ipmet—Bauru Meteorology Center. Available online: https://www.ipmetradar.com.br/4estacoes/# (accessed on 17 August 2022).
- Reolom, M. Jardins Verticais e Telhados Verdes vão Server em SP Como Compensação Ambiental; O Estado de S.Paulo: São Paulo, Brazil, 2015; Available online: http://sao-paulo.estadao.com.br/noticias/geral,jardins-verticais-e-telhados-verdes-vao-servir-em-sp-como-compensacao-ambiental,1648993 (accessed on 10 October 2016).
- Cruciol-Barbosa, M.; de Castro Fontes, M.S.G. Jardins Verticais: A contribuição das paredes vivas na recuperação da biodiversidadeurbana nativa. In I Congresso de Biologia. Bauru. Livro de Resumos do I Congresso de Biologia; Faculdade de Ciências: Bauru, Brazil, 2018; pp. 34–36. [Google Scholar]
- Lorenzi, H.; Souza, H.M. Plantas Ornamentais no Brasil: Arbustivas, Herbáceas e Trepadeiras; Instituto Plantarum: Nova Odessa, Brazil, 2008; p. 1088. [Google Scholar]














| Variables | Equipment |
|---|---|
| Surface temperatures | Instrutherm TH-1000 digital thermometer with 5 measuring points; range: −40 °C to 199.9 °C; accuracy: ±0.5 °C. Type K sensor with 20 mm length ×5 mm diameter; accuracy: 0.5% |
| Local air temperature and relative humidity | Testo 175-H1 data logger; accuracy: inner channel +2% HR (0…+100% HR), +0.5 °C (−20…+70 °C), external channel +0.2 °C (−25…+70 °C). |
| Thermal images | Flir E6 Thermal Camera (temperature range: −20° to 250 °C, accuracy: ±2% or 2 °C, measurement modes: 3 modes—point (center); area (min/max); and isotherm (above/below)). |
| Cavity air temperature | HOBO H8 Pro Series data logger; temperature range: −40 °C to +100 °C; timing accuracy: approximately ±1 min per week (±100 ppm at +20 °C). |
| Direct and diffuse solar radiation | Kipp & Zonen CNR−1 net radiometer; accuracy: ±10% on sunny days. Campbell datalogger model CR1000; real-time accuracy: ±3 min/year. |
| Days Monitored | Maximum Reductions | Average Reductions | ||
|---|---|---|---|---|
| Est (°C) | Ist (°C) | Est (°C) | Ist °C | |
| 1st day | 9.1 | 2.7 | 5.6 | 1.5 |
| 2nd day | 10.6 | 2.9 | 6.2 | 1.7 |
| 3rd day | 8.7 | 2.5 | 5.0 | 1.3 |
| Authors | Living Wall Type | Local | Climate | Façade Orientation | Maximum Temperature Reduction (°C) | |
|---|---|---|---|---|---|---|
| Est | Ist | |||||
| Chen et al. (2013) [22] | Modular tray | China | “Hot and humid” | West | 20.8 | 7.7 |
| Coma et al. (2017) [17] | Modular tray | Spain | Mediterranean | East/west/south | 21.5-S | - |
| Djedjiget al. (2017) [26] | Modular vessels | France | Oceanic | West | 15 | 10 |
| Haggag et al. (2014) [24] | Modular tray | United Arab Emirates | Arid | East | 13 | 6 |
| Mazzaliet al. (2013) [18] | Tray and continuous | Italy | Temperate Mediterranean | Southeast | 20 | - |
| Pan et al. (2018) [2] | Modular vessels | China | Humid subtropical | North/south/east/west | 6.4-W | - |
| Perini et al. (2017) [19] | Continuous | Italy | Mediterranean | South | 20 | - |
| Razzaghmanesh and Razzaghmanesh (2017) [20] | Modular vessels | Australia | Mediterranean | West | - | 1.75 |
| Victoreroet al. (2015) [23] | Modular tray | Chile | Semi-arid | North | 30 | - |
| Wong et al. (2010) [3] | Modular and continuous | Singapore | Tropical | - | 11.5 * | - |
| Present work | Continuous | Brazil | Humid subtropical | East | 10.6 | 2.9 |
| Sum of Squares | Df | Mean Square | F | Sig. | ||
|---|---|---|---|---|---|---|
| External surface temperature | Between groups | 1800.582 | 5 | 360.116 | 59.234 | 0.000 |
| Within groups | 1325.349 | 218 | 6.080 | |||
| Total | 3125.931 | 223 | ||||
| Internal surface temperature | Between groups | 151.689 | 5 | 30.338 | 8.107 | 0.000 |
| Within groups | 815.760 | 218 | 3.742 | |||
| Total | 967.450 | 223 | ||||
| Average (°C) | CV (%) | Interval (°C) | Daily Variation (°C) | Minimum Value (°C) | Maximum Value (°C) | |||
|---|---|---|---|---|---|---|---|---|
| Lower Limit | Upper Limit | |||||||
| Est | EstBw 1 | 31.7 | 9.3 | 18.1 | 20.4 | 10.5 | 24.5 | 35.0 |
| EstBw 2 | 32.5 | 10.2 | 19.0 | 21.6 | 13.3 | 23.4 | 36.7 | |
| EstBw 3 | 31.4 | 10.5 | 19.6 | 22.0 | 11.2 | 23.5 | 34.7 | |
| EstPp 1 | 26.1 | 5.7 | 14.9 | 15.6 | 5.6 | 22.7 | 28.3 | |
| EstPp 2 | 26.3 | 4.9 | 14.7 | 15.5 | 4.4 | 23.7 | 28.1 | |
| EstPp 3 | 26.3 | 5.6 | 15.5 | 16.5 | 5.4 | 23.1 | 28.5 | |
| Ist | IstBw 1 | 27.0 | 8.9 | 14.4 | 16.1 | 6.5 | 22.9 | 29.4 |
| IstBw 2 | 27.2 | 9.7 | 14.0 | 16.0 | 7.2 | 22.5 | 29.7 | |
| IstBw 3 | 26.3 | 9.0 | 15.5 | 17.5 | 6.5 | 22.2 | 28.7 | |
| IstPp 1 | 25.5 | 4.7 | 14.1 | 14.9 | 3.3 | 23.7 | 27.0 | |
| IstPp 2 | 25.5 | 4.8 | 13.4 | 14.5 | 3.3 | 23.7 | 27.0 | |
| IstPp 3 | 25.0 | 4.1 | 14.4 | 15.5 | 2.9 | 23.5 | 26.4 | |
| Sample Days | Est (°C) | Ist (°C) | ||||
|---|---|---|---|---|---|---|
| BW | PP | Difference between Peaks | BW | PP | Difference between Peaks | |
| 1st day | 34.6 (11:45) | 28.3 (15:00) | 6.3 | 29.4 (15:45) | 27 (16:00) | 2.4 |
| 2nd day | 36.7 (11:30) | 28.1 (17:30) | 8.6 | 29.7 (16:15) | 27 (16:30) | 2.7 |
| 3rd day | 34.4 (12:00) | 28.5 (12:00) | 5.9 | 28.7 (14:30) | 26.4 (15:30) | 2.3 |
| Averages | Average thermal delay of 3 h | Average difference of 6.9 | Average thermal delay of 45 min | Average difference of 2.5 | ||
Disclaimer/Publisher’s Note: The statements, opinions and data contained in all publications are solely those of the individual author(s) and contributor(s) and not of MDPI and/or the editor(s). MDPI and/or the editor(s) disclaim responsibility for any injury to people or property resulting from any ideas, methods, instructions or products referred to in the content. |
© 2023 by the authors. Licensee MDPI, Basel, Switzerland. This article is an open access article distributed under the terms and conditions of the Creative Commons Attribution (CC BY) license (https://creativecommons.org/licenses/by/4.0/).
Share and Cite
Cruciol-Barbosa, M.; Fontes, M.S.G.d.C.; Azambuja, M.d.A. Experimental Assessment of the Thermal Influence of a Continuous Living Wall in a Subtropical Climate in Brazil. Sustainability 2023, 15, 2985. https://doi.org/10.3390/su15042985
Cruciol-Barbosa M, Fontes MSGdC, Azambuja MdA. Experimental Assessment of the Thermal Influence of a Continuous Living Wall in a Subtropical Climate in Brazil. Sustainability. 2023; 15(4):2985. https://doi.org/10.3390/su15042985
Chicago/Turabian StyleCruciol-Barbosa, Murilo, Maria Solange Gurgel de Castro Fontes, and Maximiliano dos Anjos Azambuja. 2023. "Experimental Assessment of the Thermal Influence of a Continuous Living Wall in a Subtropical Climate in Brazil" Sustainability 15, no. 4: 2985. https://doi.org/10.3390/su15042985
APA StyleCruciol-Barbosa, M., Fontes, M. S. G. d. C., & Azambuja, M. d. A. (2023). Experimental Assessment of the Thermal Influence of a Continuous Living Wall in a Subtropical Climate in Brazil. Sustainability, 15(4), 2985. https://doi.org/10.3390/su15042985
