Soil Amendment with a Lignite-Derived Humic Substance Affects Soil Properties and Biomass Maize Yield
Abstract
1. Introduction
2. Materials and Methods
2.1. Characteristics of the Organic Products Introduced into the Soils
- -
 - a commercial liquid soil additive––Act (Actosol®®, produced by Arctech Inc., Chantilly, VA, USA) [25], which is produced from fine-grained lignite waste. This had a pH in K chloride (KCl) of 7.6 and contained 49.3% C as total C (TC), 6% HAs, 0.4% N, 1.5% K (in the form of potassium oxide [K2O]), 0.08% P (in the form of P pentoxide [P2O5]), 0.07% magnesium (Mg), 0.08% calcium (Ca) and small amounts of microelements and FAs; and
 - -
 - a pig FYM, applied in solid form after being stored for six months on a manure plate. This had a pH in KCl of 6.2 and contained 47.3% C, 4.8% HAs, 0.51% N, 0.68% K (as K2O), 0.44% P (as P2O5), 0.10% Mg, 0.31% Ca and a small number of microelements. All the values are expressed as a percentage of the total solid dry mass.
 
2.2. Establishment of the Pot Experiment
2.3. Soil Physicochemical and Biochemical Analyses
2.4. Plant Analyses and Calculations of the Elemental Uptake
2.5. Statistical Analyses
2.6. Soil Quality Index Calculation
3. Results
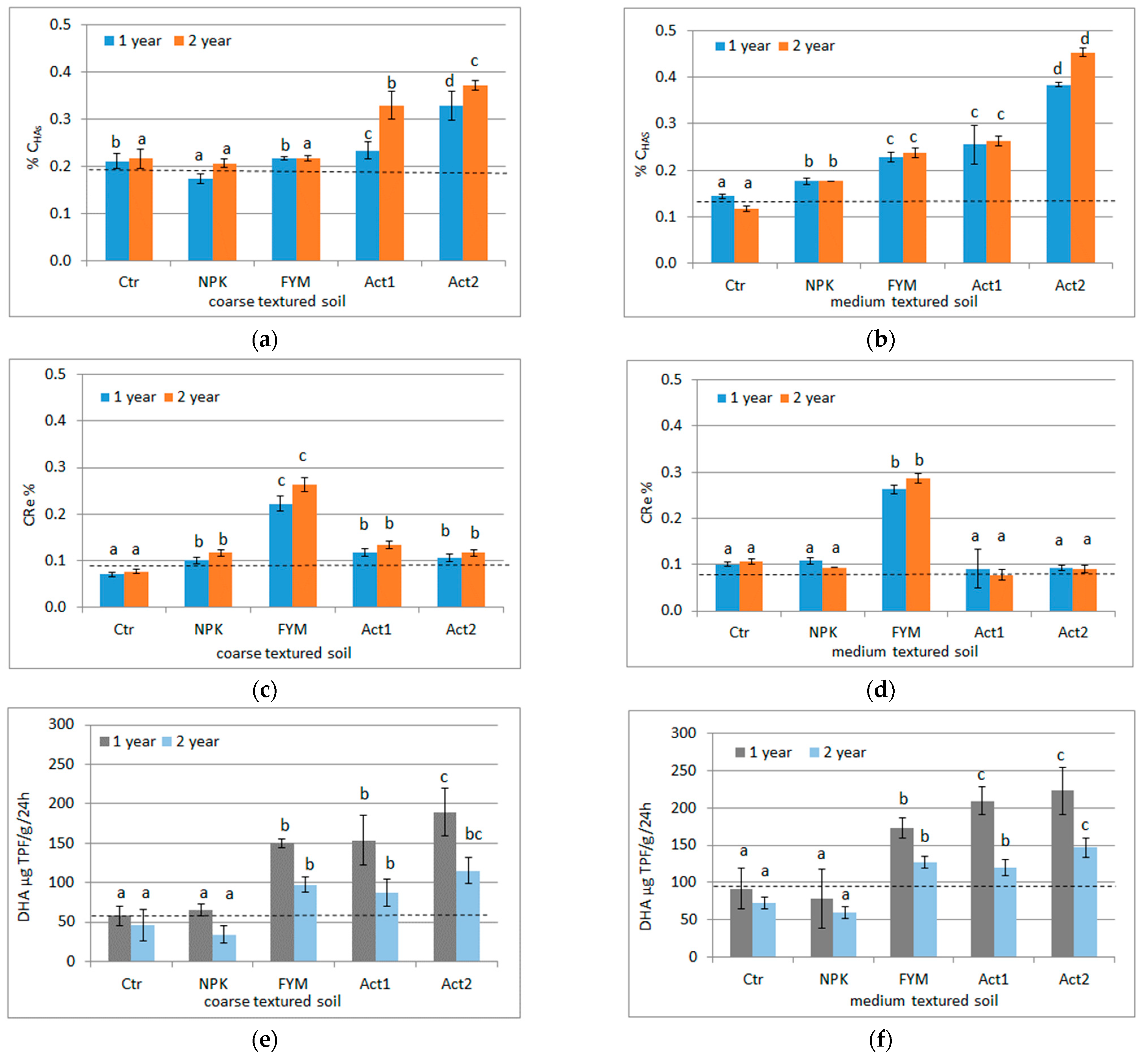
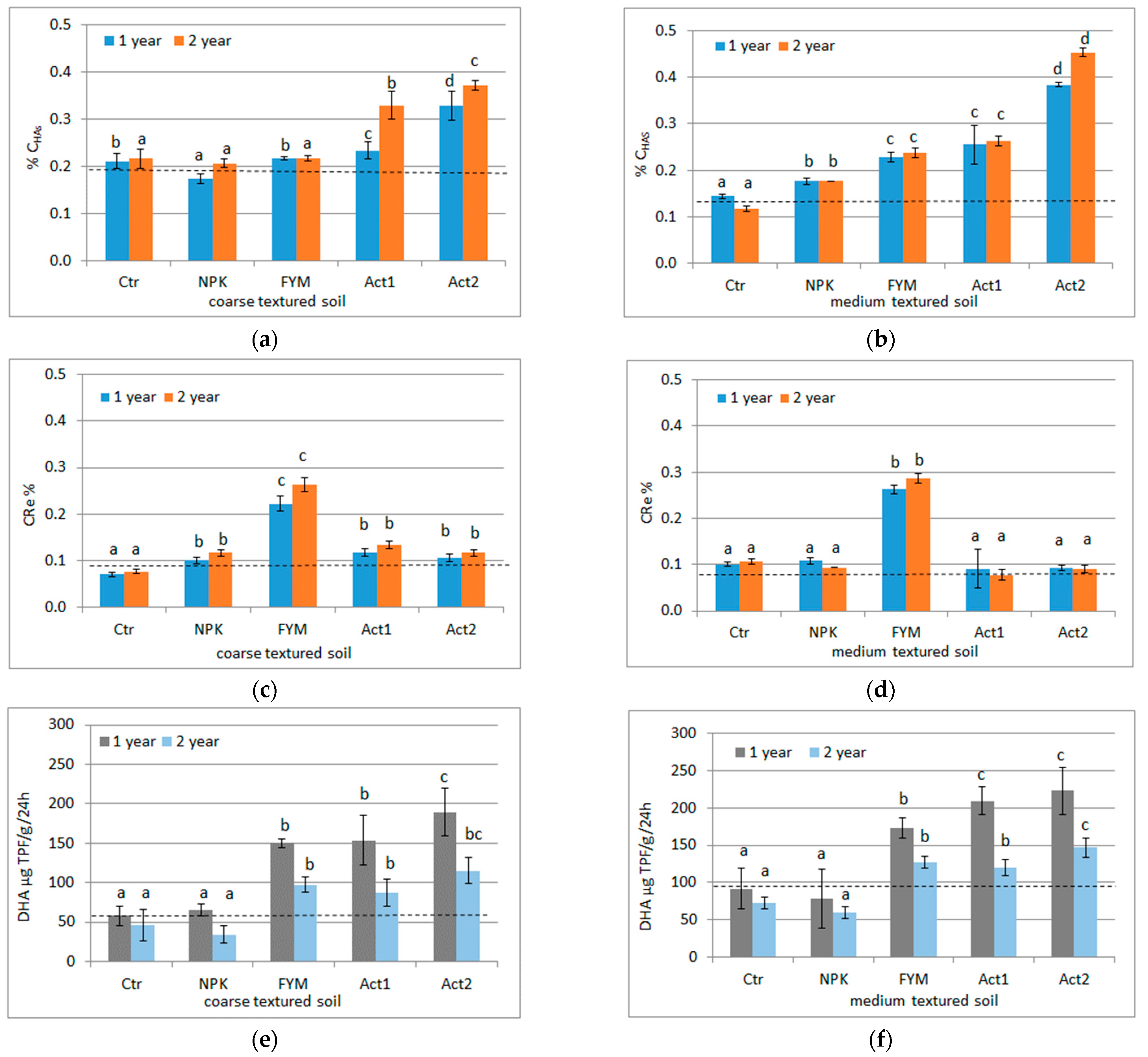
3.1. Basic Soil Properties
3.2. Maize Yield Biomass, Chemical Composition and Elemental Uptake by Plants
3.3. Soil Quality Index and Hierarchical Cluster Analysis
4. Discussion
4.1. Effect of Lignite Extract on Soil Properties
4.2. Effect of Act on Biomass Maize Yield, Chemical Composition and Elemental Uptake by Plants
4.3. Changes in Soils after Humic acid Application Expressed by the Soil Quality Index
4.4. Combined Effects of Humic acid Application to Soils and Plants
4.5. Environmental Implications of Adding Actosol to Soils
5. Conclusions
Author Contributions
Funding
Institutional Review Board Statement
Informed Consent Statement
Data Availability Statement
Conflicts of Interest
References
- Ciarkowska, K.; Gambus, F.; Antonkiewicz, J.; Koliopoulos, T. Polycyclic aromatic hydrocarbon and heavy metal contents in the urban soils in southern Poland. Chemosphere 2019, 229, 214–226. [Google Scholar] [CrossRef] [PubMed]
 - Ciećko, P. Report on the State of the Environment in Malopolskie Voivodship in 2016. 2017. Available online: https://www.krakow.pios.gov.pl (accessed on 2 November 2021). (In Polish)
 - Pikuła, D. Environmental aspects of managing organic matter in agriculture. Stud. Ekon. I Reg. 2015, 8, 98–112. (In Polish) [Google Scholar]
 - Kulczycka, J.; Pietrzyk-Sokulska, E.; Wirth, H. Sustainable production and consumption of mineral resources. Assessment of domestic lignite deposits as a raw material for obtaining humic and organic products. Proc. ECOpole 2011, 22, 44–53. (In Polish) [Google Scholar]
 - Arjumend, T.; Abbasi, M.K.; Rafique, E. Effects of lignite-derived humic acid on some selected soil properties, growth and nutrient uptake of wheat (Triticum aestivum L.) grown under greenhouse conditions. Pak. J. Bot. 2015, 47, 2231–2238. [Google Scholar]
 - Tahir, M.M.; Khurshid, M.; Khan, M.Z.; Abbasi, M.K.; Kazmi, M.H. Lignite-derived humic acid effect on growth of wheat plants in different soils. Pedosphere 2011, 21, 124–131. [Google Scholar] [CrossRef]
 - Huculak-Mączka, M.; Hoffman, J.; Hoffman, K. Evaluation of the possibilities of using humic acids obtained from lignite in the production of commercial fertilizers. J. Soils Sediments 2018, 18, 2868–2880. [Google Scholar] [CrossRef]
 - Turgay, O.C.; Karaca, A.; Unver, S.; Tamer, N. Effects of coal-derived humic substance on some soil properties and bread wheat yield. Commun. Soil Sci. Plant Anal. 2011, 42, 1050–1070. [Google Scholar] [CrossRef]
 - Šimanský, V.; Šrank, D.; Jonczak, J.; Juriga, M. Fertilization and Application of Different Biochar Types and their Mutual Interactions Influencing Changes of Soil Characteristics in Soils of Different Textures. J. Ecol. Eng. 2019, 20, 149–164. [Google Scholar] [CrossRef]
 - Księżak, J. Evaluation of yielding maize grown in short-term monoculture on of various soils. Fragm. Agron. 2013, 30, 103–111. [Google Scholar]
 - Central Statistical Office (CSO 2001). Production of Agricultural and Horticultural Crops in 2000; Statistics Poland: Warsaw, Poland, 2001; p. 138. (In Polish) [Google Scholar]
 - Central Statistical Office (CSO 2019). Production of Agricultural and Horticultural Crops in 2018; Statistics Poland: Warsaw, Poland, 2019; p. 91. (In Polish) [Google Scholar]
 - Daur, I.; Bakhashwain, A.A. Effect of humic acid on growth and quality of maize fodder production. Pak. J. Bot. 2013, 45, 21–25. [Google Scholar]
 - Olk, D.C.; Dinnes, D.L.; Callaway, C.; Raske, M. On-Farm Evaluation of a Humic Product in Iowa (US) Maize Production; USDA-ARS/UNL Faculty: Lincoln, NE, USA, 2013; pp. 1047–1050. Available online: https://digitalcommons.unl.edu/usdaarsfacpub/1292 (accessed on 7 November 2022).
 - Eyheraguibel, B.J.; Silvestre, J.P.; Morard, P. Effects of humic substances derived from organic waste enhancement on the growth and mineral nutrition of maize. Bioresour. Technol. 2008, 99, 4206–4212. [Google Scholar] [CrossRef] [PubMed]
 - Khan, M.Z.; Akhtar, M.E.; Ahmad, S.; Khan, A.; Khan, R.U. Chemical composition of lignitic humic acid and evaluating its positive impacts on nutrient uptake, growth and yield of maize. Pak. J. Chem. 2014, 4, 19–25. [Google Scholar] [CrossRef]
 - Nuraly, A.; Xiaohui, Q.; Ilya, D.; Gulzhamal, A.; Perizat, U.; Azhar, Z. The effect of leonardite-derived amendments on soil microbiome structure and potato yield. Agriculture 2020, 10, 147. [Google Scholar] [CrossRef]
 - Rose, M.T.; Patti, A.F.; Little, K.R.; Brown, A.L.; Jackson, W.R.; Cavagnaro, T.R. A meta-analysis and review of plant-growth response to humic substances: Practical implications for agriculture. Adv. Agron. 2014, 124, 37–89. [Google Scholar] [CrossRef]
 - Emam, O.N.K. Usage of actosol (humic acid) and some growth regulators for improving plant quality of Chamaedorea Seifrizii, Burre. Sci. J. Flowers Ornam. Plants 2019, 6, 175–189. [Google Scholar] [CrossRef]
 - Kandil, A.A.; Sharief, A.E.M.; Seadh, S.E.; Altai, D.S.K. Role of humic acid and amino acids in limiting loss of nitrogen fertilizer and increasing productivity of some wheat cultivars grown under newly reclaimed sandy soil. Int. J. Adv. Res. Biol. Sci. 2016, 3, 123–136. Available online: www.ijarbs.com/pdfcopy/apr2016/ijarbs18.pdf (accessed on 9 February 2022).
 - Abd El-Razek, E.; Haggag, L.F.; El-Hady, E.S.; Shahin, M.F. Effect of soil application of humic acid and bio-humic on yield and fruit quality of “Kalamata” olive trees. Bull. Natl. Res. Cent. 2020, 12, 73. [Google Scholar] [CrossRef]
 - Bezuglova, O.S.; Polienko, E.A.; Gorovtsov, A.V.; Lyhman, P.D.; Pavlov, P.D. The effect of humic substances on winter wheat yield and fertility of ordinary chernozem. J. Ann. Agrar. Sci. 2017, 15, 239–242. [Google Scholar] [CrossRef]
 - Sugier, D.; Kołodziej, B.; Bielińska, E. The effect of leonardite application on Arnica montana L. yielding and chosen chemical properties and enzymatic activity of the soil. J. Geochem. Explor. 2013, 129, 76–81. [Google Scholar] [CrossRef]
 - Ciarkowska, K.; Sołek-Podwika, K.; Filipek-Mazur, B.; Tabak, M. Comparative effects of lignite-derived humic acids and FYM on soil properties and vegetable yield. Geoderma 2017, 303, 85–92. [Google Scholar] [CrossRef]
 - Arctech Inc. Actosol® Base Produced by American Company. Available online: https://arctech.com/actosol.html (accessed on 4 November 2021).
 - WRB Recommendations Soil Resources Reports 106. FAO UN, Rome. 2014. Available online: www.fao.org/3/a-i3794en.pdf (accessed on 29 October 2021).
 - Tan, K.H. Soil Sampling, Preparation and Analysis; Taylor & Francis Group: Boca Raton, FL, USA; London, UK; New York, NY, USA; Singapore, 2005; p. 408. [Google Scholar]
 - Ostrowska, A.; Gawliński, S.; Szczubiałka, Z. Methods of Soil and Plant Analyses and Evaluation; Instytut Ochrony Środowiska: Warszawa, Poland, 1991; p. 234. (In Polish) [Google Scholar]
 - Gorlach, E.; Mazur, T. Agricultural chemistry. In Basics of Nutrition and Principles of Fertilization; PWN: Warszawa, Poland, 2001; p. 347. (In Polish) [Google Scholar]
 - Sohi, S.P.; Powlson, D.S.; Gaunt, J.L. A procedure for isolating soil organic matter fractions suitable for modelling. Soil Sci. Soc. Am. J. 2001, 65, 1121–1128. [Google Scholar] [CrossRef]
 - Swift, R.S. Organic matter characterization. In Methods of Soil Analysis. Part 3. Chemical Methods—SSSA Book Series No.5 Soil Science Society of America and American Society of Agronomy; Soil Science Society of America, Inc.: Madison, WI, USA; American Society of Agronomy, Inc.: Madison, WI, USA, 1996; pp. 1011–1068. [Google Scholar] [CrossRef]
 - Cassida, L.E.; Klein, D.A.; Santoro, T. Soil dehydrogenase activity. Soil Sci. 1964, 98, 371–376. [Google Scholar] [CrossRef]
 - Podwika, M.; Solek-Podwika, K.; Ciarkowska, K. Changes in the properties of grassland soils as a result of afforestation. iForest 2018, 11, 600–608. [Google Scholar] [CrossRef]
 - StatSoft Inc. Statistica (Data Analysis Software System), Version 13.3; StatSoft Inc.: Tulsa, OK, USA, 2019.
 - Masto, R.E.; Chhonkar, P.K.; Singh, D.; Patra, A.K. Soil quality response to longterm nutrient and crop management on a semi-arid Inceptisol. Agric. Ecosyst. Environ. 2007, 118, 130–142. [Google Scholar] [CrossRef]
 - Sinha, S.; Masto, R.E.; Ram, L.C.; Selvi, V.A.; Srivastava, N.K.; Tripathi, R.C.; George, J. Rhizosphere soil microbial index of tree species in a coal mining ecosystem. Soil Biol. Bioch. 2009, 4, 1824–1832. [Google Scholar] [CrossRef]
 - Filipek-Mazur, B.; Tabak, M.; Żukowska, G.; Ciarkowska, K.; Sołek-Podwika, K. Characteristics of a humic acid preparation and its influence on plant yielding. Chem. Ind. 2019, 98, 920–923. (In Polish) [Google Scholar] [CrossRef]
 - Sharif, M.; Khattak, R.A.; Sarir, M.S. Effect of different levels of lignitic coal derived humic acid on growth of maize plants. Commun. Soil Sci. Plant Anal. 2002, 33, 3567–3589. [Google Scholar] [CrossRef]
 - Huculak-Mączka, M.; Hoffman, K.; Skut, J.; Hoffman, J. Assessment of humic substances content in selected raw materials and waste. Proc. ECOpole 2010, 4, 383–387. (In Polish) [Google Scholar]
 - Tsetsegmaa, G.; Akhmandi, A.; Cho, W.; Lee, S.; Chandra, R.; Jeong, C.E.; Cia, R.W.; Kang, H. Effects of oxidized brown coal humic acid fertilizer on the relative height growth rate of three tree species. Forests 2018, 9, 360. [Google Scholar] [CrossRef]
 - Spaccini, R.; Piccolo, A.; Conte, P.; Haberhauer, G.; Gerzabek, M.H. Increased soil organic carbon sequestration through hydrophobic protection by humic substances. Soil Biol. Biochem. 2002, 34, 1839–1851. [Google Scholar] [CrossRef]
 - Selim, E.M.; Mosa, A.A. Fertigation of humic substances improves yield and quality of broccoli and nutrient retention in a sandy soil. J. Plant Nutr. Soil Sci. 2012, 175, 273–281. [Google Scholar] [CrossRef]
 - Ifansyah, H. Soil pH and Solubility of Aluminum, Iron, and Phosphorus in Ultisols: The Roles of Humic Acid. J. Trop. Soils 2013, 18, 203–208. [Google Scholar] [CrossRef]
 - El-Sayed, A.; El-Hanafy, H.; Nabih, S.A.; Atowa, D.I. Raising Freesia refracta cv. red lion corms from cormels in response to different growing media and actosol levels. J. Hort. Sci. Ornamen. Plants 2012, 4, 89–97. [Google Scholar]
 - Jindo, K.; Martim, S.A.; Navarro, E.C.; Pérez-Alfocea, F.; Hernandez, T.; Garcia, C.; Aguiar, N.O.; Pasqualoto, L. Canellas. Root growth promotion by humic acids from composted and non-composted urban organic wastes. Plant Soil 2012, 353, 209–220. [Google Scholar] [CrossRef]
 - Nardi, S.; Pizzeghello, D.; Muscolo, A.; Vianello, A. Physiological effects of humic substances on higher plants. Soil Biol. Biochem. 2002, 34, 1527–1536. [Google Scholar] [CrossRef]
 - Qin, K.; Leskovar, D. Lignite-derived humic substance modulate pepper and soil-biota growth under water deficit stress. J. Plant Nutr. Soil Sci. 2018, 181, 655–663. [Google Scholar] [CrossRef]
 - Amoah-Antwi, C.; Kwiatkowska-Malina, J.; Thornton, S.F.; Fenton, O.; Malina, G.; Szara, E. Restoration of soil quality using biochar and brown coal waste: A review. Sci. Total Environ. 2020, 722, 137852–137873. [Google Scholar] [CrossRef]
 - Suganya, S.; Sivasamy, R. Moisture Retention and Cation Exchange Capacity of Sandy Soil as Influenced by Soil Additives. J. Appl. Sci. Res. 2006, 2, 949–951. [Google Scholar]
 - Ciarkowska, K. Effect of fertilization on the structure of upland grassland soil. Pol. J. Environ. Stud. 2010, 19, 693–697. [Google Scholar]
 - Dinçsoy, M.; Sönmez, F. The effect of potassium and humic acid applications on yield and nutrient contents of wheat (Triticum aestivum L. var. Delfii) with same soil properties. J. Plant Nutr. 2019, 42, 2757–2772. [Google Scholar] [CrossRef]
 - Omondi, J.K.; Lazarovitch, N.; Rachmilevitch, S.; Yermiyahu, U.; Sperling, O. High nitrogen availability limits photosynthesis and compromises carbohydrate allocation to storage in roots of Manihot esculenta Crantz. Front. Plant Sci. 2019, 10, 1041. [Google Scholar] [CrossRef] [PubMed]
 - Paz-Kagan, T.; Shachak, M.; Zaady, E.; Karnieli, A. Evaluation of ecosystem responses to land-use change using soil quality and primary productivity in a semi-arid area, Israel. Agr. Ecosyst. Environ. 2014, 193, 9–24. [Google Scholar] [CrossRef]
 - Podwika, M.; Solek-Podwika, K.; Kaleta, D.; Ciarkowska, K. The Effect of Land-Use Change on Urban Grassland Soil Quality (Southern Poland). J. Soil Sci. Plant Nutr. 2020, 20, 473–483. [Google Scholar] [CrossRef]
 - Szczepanek, M.; Wilczewski, E. Maize response to soil-applied humic substance and foliar fertilization with potassium. J. Anim. Plant Sci. 2016, 26, 1298–1303. [Google Scholar]
 - Verlinden, G.; Pycke, B.; Mertens, J.; Debersaques, K.; Verheyen, K.; Baert, G. Application of humic substances results in consistent increases in crop yield and nutrient uptake. J. Plant Nutr. 2009, 32, 1407–1426. [Google Scholar] [CrossRef]
 - Jadczyszyn, T.; Kowalczyk, J.; Lipiński, W. Fertilization Recommendations for Field Crops and Permanent Grasslands; IUNG-PIB: Puławy, Poland, 2010; p. 24. ISBN 978-83-7562-054-2. (In Polish) [Google Scholar]
 - Jurga, B.; Filipek, A. The impact of selected agricultural practices on the availability of phosphorus for plants-a review of the literature. Stud. I Rap. IUNG-PIB 2017, 53, 55–66. (In Polish) [Google Scholar]
 - Sapek, B. Soil phosphorus accumulation and release–sources, processes, causes. Water-Environ.-Rural. Areas 2014, 14, 77–100. (In Polish) [Google Scholar]
 - Szymańska, M.; Szara, E.; Łabętowicz, J. Phosphorus cycle in polish agriculture. Fragm. Agron. 2008, 4, 152–161. (In Polish) [Google Scholar]
 - Zhang, G.; Burghardt, W.; Gong, Z. Phosphorus-enriched soils of urban and suburban Nanjing and their effect on groundwater phosphorus. J. Plant Nutr. Soil Sci. 2001, 164, 295–301. [Google Scholar] [CrossRef]
 







| Texture | pH | TN 1 | TC 2 | CHAs 3 | Cre 4 | CEC 5 | K 6 | P 7 | DHA 8 | ||
|---|---|---|---|---|---|---|---|---|---|---|---|
| Sand | Silt | Clay | |||||||||
| % | % | mmol(+)·kg−1 | mg·kg−1 | μgTPF·g−1·24h−1 | |||||||
| Coarse-textured soil | |||||||||||
| 77 | 20 | 3 | 5.1 | 0.093 | 0.99 | 0.19 | 0.096 | 50.1 | 154.9 | 191.6 | 61.8 | 
| Medium-textured soil | |||||||||||
| 35 | 51 | 14 | 5.4 | 0.086 | 0.98 | 0.14 | 0.088 | 65.3 | 276.1 | 160.3 | 97.1 | 
| Coarse Textured Soil | ||||||
| 1 year | 2 years | |||||
| pH | TC | TN | pH | TC | TN | |
| % | % | |||||
| Ctr | 4.9 b ** ± 0.1 | 0.89 a ± 0.05 | 0.080 a ± 0.005 | 4.9 b ± 0.0 | 0.92 a ± 0.02 | 0.062 a ± 0.005 | 
| NPK | 4.6 a ± 0.1 | 1.01 b ± 0.03 | 0.079 a ± 0.009 | 4.7 a ± 0.0 | 1.01 b ± 0.06 | 0.104 b ± 0.004 | 
| FYM | 5.0 b ± 0.1 | 1.03 b ± 0.05 | 0.086 a ± 0.008 | 5.0 b ± 0.0 | 1.06 b ± 0.04 | 0.110 b ± 0.005 | 
| Act1 | 5.0 b ± 0.1 | 1.06 b ± 0.03 | 0.083 a ± 0.008 | 5.0 b ± 0.0 | 1.04 b ± 0.04 | 0.117 b ± 0.003 | 
| Act2 | 5.4 c ± 0.0 | 1.08 bc ± 0.05 | 0.099 b ± 0.004 | 5.3 c ± 0.1 | 1.16 c ± 0.05 | 0.137 c ± 0.006 | 
| Medium-textured soil | ||||||
| 1 year | 2 years | |||||
| pH | TC | TN | pH | TC | TN | |
| % | % | |||||
| Ctr | 5.0 b ± 0.0 | 0.92 a ± 0.01 | 0.083 a ± 0.005 | 4.9 b ± 0.0 | 0.92 a ± 0.04 | 0.064 a ± 0.009 | 
| NPK | 4.8 a ± 0.1 | 0.94 ab ± 0.02 | 0.086 a ± 0.002 | 4.8 a ± 0.0 | 0.95 a ± 0.04 | 0.095 bc ± 0.005 | 
| FYM | 5.3 c ± 0.0 | 0.97 ab ± 0.02 | 0.085 a ± 0.007 | 5.1 c ± 0.0 | 1.05 b ± 0.03 | 0.096 bc ± 0.005 | 
| Act1 | 5.1 b ± 0.0 | 0.96 ab ± 0.06 | 0.084 a ± 0.006 | 5.1 c ± 0.0 | 1.03 b ± 0.02 | 0.094 b ± 0.006 | 
| Act2 | 5.4 c ± 0.1 | 1.05 b ± 0.03 | 0.093 a ± 0.006 | 5.4 d ± 0.0 | 1.12 c ± 0.03 | 0.106 c ± 0.004 | 
| Coarse-textured Soil | ||||||
| 1 year | 2 years | |||||
| CEC | K | P | CEC | K | P | |
| mmol(+)·kg−1 | mg·kg−1 | mmol(+)·kg−1 | mg·kg−1 | |||
| Ctr | 65.1 a ± 2.3 | 69.7 a ± 5.5 | 180.5 a ± 6.3 | 57.0 a ± 1.7 | 81.0 a ± 8.2 | 116.4 a ± 2.5 | 
| NPK | 64.5 a ± 2.0 | 105.8 b ± 10.5 | 223.6 b ± 4.1 | 58.3 a ± 2.3 | 136.7 b ± 11.8 | 171.1 b ± 5.2 | 
| FYM | 67.6 ab ± 1.8 | 111.9 b ± 6.8 | 226.8 b ± 9.1 | 60.1 a ± 1.5 | 140.3 b ± 12.9 | 177.2 b ± 6.3 | 
| Act1 | 69.8 ab ± 1.9 | 272.8 c ± 11.7 | 307.3 c ± 9.3 | 63.7 b ± 1.3 | 279.7 c ± 15.9 | 205.1 c ± 9.9 | 
| Act2 | 77.3 b ± 1.7 | 644.6 d ± 12.9 | 411.1 d ± 11.1 | 65.9 b ± 3.9 | 672.3 d ± 17.9 | 292.9 d ± 8.2 | 
| Medium-textured Soil | ||||||
| 1 year | 2 years | |||||
| CEC | K | P | CEC | K | P | |
| mmol(+)·kg−1 | mg·kg−1 | mmol(+)·kg−1 | mg·kg−1 | |||
| Ctr | 70.6 a ± 7.9 | 102.9 a ± 5.7 | 143.5 a ± 5.7 | 64.1 a ± 1.4 | 145.3 a ± 12.5 | 111.7 a ± 3.9 | 
| NPK | 66.5 a ± 3.7 | 147.1 b ± 11.5 | 187.5 b ± 7.1 | 68.3 b ± 2.7 | 225.7 b ± 6.7 | 141.6 b ± 8.3 | 
| FYM | 80.2 b ± 2.8 | 176.7 b ± 16.6 | 179.9 b ± 4.8 | 70.9 b ± 1.9 | 232.3 b ± 4.9 | 146.7 b ± 10.7 | 
| Act1 | 78.8 b ± 4.2 | 376.2 c ± 17.5 | 271.6 c ± 10.6 | 73.5 c ± 1.8 | 379.0 c ± 12.5 | 184.3 c ± 7.1 | 
| Act2 | 89.5 c ± 3.3 | 737.6 d ± 19.7 | 363.8 d ± 13.6 | 75.4 c ± 1.4 | 711.0 d ± 18.9 | 234.6 d ± 7.8 | 
| Coarse-textured Soil | |||||||
| g N·kg−1 d.m. mean ± SD * | 1 year | Shoots | Roots | 2 years | Shoots | Roots | |
| Ctr | 5.33 ab ** ± 0.24 | 5.34 a ± 0.21 | 5.96 ab ± 0.22 | 6.40 b ± 0.35 | |||
| NPK | 8.52 c ± 0.89 | 8.83 b ± 0.01 | 7.40 c ± 0.54 | 6.25 b ± 0.54 | |||
| FYM | 4.86 a ± 0.02 | 5.62 a ± 0.30 | 6.77 bc ± 0.34 | 5.67 b ± 0.26 | |||
| Act1 | 6.53 b ± 0.31 | 5.59 a ± 0.08 | 5.73 a ± 0.38 | 4.75 a ± 0.09 | |||
| Act2 | 5.83 ab ± 0.21 | 5.70 a ± 0.16 | 5.90 ab ± 0.29 | 4.41 a ± 0.04 | |||
| Medium-textured Soil | |||||||
| 1 year | Shoots | Roots | 2 years | Shoots | Roots | ||
| Ctr | 5.39 a ± 0.12 | 5.15 ab ± 0.23 | 5.86 ab ± 0.37 | 4.45 ab ± 0.14 | |||
| NPK | 8.43 c ± 0.62 | 8.88 d ± 0.33 | 5.66 a ± 0.12 | 4.29 a ± 0.19 | |||
| FYM | 5.32 a ± 0.16 | 4.95 a ± 0.08 | 6.62 b ± 0.26 | 4.87 b ± 0.11 | |||
| Act1 | 6.63 b ± 0.54 | 6.03 c ± 0.11 | 5.56 a ± 0.27 | 4.12 a ± 0.04 | |||
| Act2 | 6.26 ab ± 0.36 | 5.83 bc ± 0.45 | 6.34 ab ± 0.57 | 4.32 a ± 0.29 | |||
| Coarse-textured soil | |||||||
| g P·kg−1 d.m. mean ± SD * | 1 year | Shoots | Roots | 2 years | Shoots | Roots | |
| Ctr | 2.48 b ** ± 0.15 | 1.96 a ± 0.09 | 4.94 d ± 0.32 | 2.88 b ± 0.04 | |||
| NPK | 1.84 a ± 0.14 | 1.96 a ± 0.10 | 3.52 c ± 0.28 | 4.40 c ± 0.14 | |||
| FYM | 2.79 bc ± 0.15 | 2.38 b ± 0.06 | 2.13 a ± 0.04 | 2.39 a ± 0.25 | |||
| Act1 | 2.77 bc ± 0.08 | 2.45 b ± 0.25 | 2.88 b ± 0.15 | 3.98 c ± 0.09 | |||
| Act2 | 3.07 c ± 0.22 | 3.10 c ± 0.12 | 2.87 b ± 0.08 | 4.22 c ± 0.24 | |||
| Medium-textured soil | |||||||
| 1 year | Shoots | Roots | 2 years | Shoots | Roots | ||
| Ctr | 1.92 a ± 0.11 | 1.57 a ± 0.10 | 2.18 a ± 0.16 | 1.86 a ± 0.06 | |||
| NPK | 1.78 a ± 0.06 | 1.69 a ± 0.12 | 2.98 ab ± 0.18 | 3.12 b ± 0.23 | |||
| FYM | 2.91 b ± 0.16 | 2.37 b ± 0.17 | 2.16 a ± 0.10 | 1.87 a ± 0.21 | |||
| Act1 | 2.58 b ± 0.22 | 2.52 b ± 0.19 | 3.09 b ± 0.06 | 3.44 b ± 0.22 | |||
| Act2 | 2.89 b ± 0.25 | 2.63 b ± 0.31 | 6.07 c ± 0.71 | 6.90 c ± 0.63 | |||
| Coarse-textured soil | |||||||
| g K·kg−1 d.m.mean ± SD * | 1 year | Shoots | Roots | 2 years | Shoots | Roots | |
| Ctr | 20.1 a ** ± 1.2 | 11.5 a ± 1.2 | 22.8 bc ± 1.3 | 11.0 a ± 1.2 | |||
| NPK | 20.3 a ± 1.9 | 16.6 b ± 1.6 | 25.0 cd ± 1.2 | 18.4 c ± 0.7 | |||
| FYM | 31.0 b ± 2.1 | 18.4 bc ± 2.0 | 16.7 a ± 0.2 | 13.7 b ± 0.3 | |||
| Act1 | 34.0 bc ± 0.2 | 23.0 c ± 2.5 | 22.2 b ± 0.1 | 17.8 c ± 0.5 | |||
| Act2 | 36.3 c ± 1.3 | 28.4 d ± 1.3 | 26.0 d ± 1.0 | 14.0 b ± 0.6 | |||
| Medium-textured soil | |||||||
| 1 year | Shoots | Roots | 2 years | Shoots | Roots | ||
| Ctr | 24.9 a ± 1.7 | 19.8 a ± 2.1 | 18.7 a ± 0.8 | 8.0 a ± 0.2 | |||
| NPK | 26.7 a ± 1.2 | 21.1 a ± 1.6 | 23.8 c ± 1.0 | 10.1 b ± 0.3 | |||
| FYM | 35.3 b ± 1.0 | 23.5 a ± 0.5 | 20.1 ab ± 0.3 | 9.8 ab ± 0.2 | |||
| Act1 | 34.8 b ± 1.4 | 27.6 b ± 0.6 | 23.1 bc ± 2.6 | 13.3 c ± 1.4 | |||
| Act2 | 36.5 b ± 1.6 | 27.7 b ± 1.8 | 44.6 d ± 0.2 | 19.0 d ± 0.4 | |||
| PC | PC1 | PC2 | PC3 | PC4 | 
|---|---|---|---|---|
| Eigenvalues | 8.34 | 3.65 | 3.27 | 2.39 | 
| Variance [%] | 43.88 | 19.23 | 17.24 | 12.57 | 
| Cumulative variance [%] | 43.88 | 63.11 | 80.35 | 92.92 | 
| pH | −0.468 | −0.760 | −0.001 | −0.333 | 
| Ca2+ | −0.855 | 0.274 | 0.336 | −0.103 | 
| Mg2+ | −0.783 | −0.207 | 0.524 | −0.171 | 
| K+ | 0.041 | −0.925 | 0.172 | 0.064 | 
| Na+ | −0.554 | 0.733 | −0.176 | −0.263 | 
| TN 1 | −0.499 | 0.756 | 0.199 | 0.213 | 
| TC 2 | 0.567 | 0.075 | −0.649 | −0.221 | 
| CHAs 3 | −0.620 | −0.027 | −0.702 | 0.029 | 
| CRe 4 | 0.257 | 0.369 | −0.092 | −0.868 | 
| CEC 5 | −0.879 | 0.161 | 0.425 | −0.054 | 
| K 6 | −0.829 | −0.250 | −0.453 | 0.080 | 
| P 7 | −0.443 | −0.238 | −0.827 | 0.066 | 
| DHA 8 | −0.845 | −0.229 | −0.103 | −0.401 | 
| BS 9 | −0.618 | −0.575 | 0.375 | −0.297 | 
Disclaimer/Publisher’s Note: The statements, opinions and data contained in all publications are solely those of the individual author(s) and contributor(s) and not of MDPI and/or the editor(s). MDPI and/or the editor(s) disclaim responsibility for any injury to people or property resulting from any ideas, methods, instructions or products referred to in the content.  | 
© 2023 by the authors. Licensee MDPI, Basel, Switzerland. This article is an open access article distributed under the terms and conditions of the Creative Commons Attribution (CC BY) license (https://creativecommons.org/licenses/by/4.0/).
Share and Cite
Solek-Podwika, K.; Ciarkowska, K.; Filipek-Mazur, B. Soil Amendment with a Lignite-Derived Humic Substance Affects Soil Properties and Biomass Maize Yield. Sustainability 2023, 15, 2304. https://doi.org/10.3390/su15032304
Solek-Podwika K, Ciarkowska K, Filipek-Mazur B. Soil Amendment with a Lignite-Derived Humic Substance Affects Soil Properties and Biomass Maize Yield. Sustainability. 2023; 15(3):2304. https://doi.org/10.3390/su15032304
Chicago/Turabian StyleSolek-Podwika, Katarzyna, Krystyna Ciarkowska, and Barbara Filipek-Mazur. 2023. "Soil Amendment with a Lignite-Derived Humic Substance Affects Soil Properties and Biomass Maize Yield" Sustainability 15, no. 3: 2304. https://doi.org/10.3390/su15032304
APA StyleSolek-Podwika, K., Ciarkowska, K., & Filipek-Mazur, B. (2023). Soil Amendment with a Lignite-Derived Humic Substance Affects Soil Properties and Biomass Maize Yield. Sustainability, 15(3), 2304. https://doi.org/10.3390/su15032304
        
