Sign in to use this feature.

Years

Between: -

Subjects

remove_circle_outline
remove_circle_outline
remove_circle_outline
remove_circle_outline
remove_circle_outline
remove_circle_outline
remove_circle_outline
remove_circle_outline

Journals

Article Types

Countries / Regions

Search Results (16)

Search Parameters:
Keywords = humic acid containing waste

Order results
Result details
Results per page
Select all
Export citation of selected articles as:
15 pages, 5082 KB  
Article
Optimized Ultrafiltration Membrane Based on Acrylic Fiber Waste for Organic Compounds Removal from Wastewater
by Ahmed A. Bhran, Eman S. Mansor, Heba Abdallah and Abdelrahman G. Gadallah
Membranes 2025, 15(12), 359; https://doi.org/10.3390/membranes15120359 - 28 Nov 2025
Viewed by 140
Abstract
This study reports the development of an optimized tight ultrafiltration (UF) membrane prepared from recycled acrylic fiber (polyacrylonitrile, PAN) waste for the efficient removal of organic pollutants from water. Membranes were fabricated using different concentrations of acrylic fiber waste to examine the influence [...] Read more.
This study reports the development of an optimized tight ultrafiltration (UF) membrane prepared from recycled acrylic fiber (polyacrylonitrile, PAN) waste for the efficient removal of organic pollutants from water. Membranes were fabricated using different concentrations of acrylic fiber waste to examine the influence of polymer content on their morphology and performance. The prepared membranes were characterized using scanning electron microscopy (SEM), porosity measurements, contact angle analysis, and mechanical strength testing to evaluate their structural and physicochemical properties. Among the tested formulations, membrane M4, containing 22.5 wt.% acrylic fiber waste, shows the most balanced performance, high mechanical integrity, and good surface hydrophilicity, with a contact angle of about 52° and porosity of 27%. The optimized M4 membrane demonstrates excellent pure water flux of 65 LMH. M4 achieves a flux recovery ratio (FRR) above 80%. Its performance was further evaluated for the removal of humic acid (HA) and paracetamol as a model of organic contaminants. The results also demonstrate strong chemical stability under acidic and basic conditions, highlighting the potential of recycled acrylic fiber waste as a sustainable polymer source for high-performance tight UF membranes. This approach offers an environmentally friendly and cost-effective solution for water purification and pharmaceutical contaminant removal. Full article
(This article belongs to the Special Issue Advances in Porous Membrane and Its Applications)
Show Figures

Figure 1

20 pages, 2299 KB  
Article
Valorization of Waste Mineral Wool and Low-Rank Peat in the Fertilizer Industry in the Context of a Resource-Efficient Circular Economy
by Marta Huculak-Mączka, Dominik Nieweś, Kinga Marecka and Magdalena Braun-Giwerska
Sustainability 2025, 17(15), 7083; https://doi.org/10.3390/su17157083 - 5 Aug 2025
Viewed by 691
Abstract
This study aims to evaluate eco-innovative solutions in the fertilizer industry that allow for waste valorization in the context of a resource-efficient circular economy. A comprehensive reuse strategy was developed for low-rank peat and post-cultivation horticultural mineral wool, involving the extraction of valuable [...] Read more.
This study aims to evaluate eco-innovative solutions in the fertilizer industry that allow for waste valorization in the context of a resource-efficient circular economy. A comprehensive reuse strategy was developed for low-rank peat and post-cultivation horticultural mineral wool, involving the extraction of valuable humic substances from peat and residual nutrients from used mineral wool, followed by the use of both post-extraction residues to produce organic–mineral substrates. The resulting products/semifinished products were characterized in terms of their composition and properties, which met the requirements necessary to obtain the admission of this type of product to the market in accordance with the Regulation of the Minister for Agriculture and Rural Development of 18 June 2008 on the implementation of certain provisions of the Act on fertilizers and fertilization (Journal of Laws No 119, item 765). Elemental analysis, FTIR spectroscopy, and solid-state CP-MAS 13C NMR spectroscopy suggest that post-extraction peat has a relatively condensed structure with a high C content (47.4%) and a reduced O/C atomic ratio and is rich in alkyl-like matter (63.2%) but devoid of some functional groups in favor of extracted fulvic acids. Therefore, it remains a valuable organic biowaste, which, in combination with post-extraction waste mineral wool in a ratio of 60:40 and possibly the addition of mineral nutrients, allows us to obtain a completely new substrate with a bulk density of 264 g/m3, a salinity of 7.8 g/dm3 and a pH of 5.3, with an appropriate content of heavy metals and with no impurities, meeting the requirements of this type of product. A liquid fertilizer based on an extract containing previously recovered nutrients also meets the criteria in terms of quality and content of impurities and can potentially be used as a fertilizing product suitable for agricultural crops. This study demonstrates a feasible pathway for transforming specific waste streams into valuable agricultural inputs, contributing to environmental protection and sustainable production. The production of a new liquid fertilizer using nutrients recovered from post-cultivation mineral wool and the preparation of an organic–mineral substrate using post-extraction solid residue is a rational strategy for recycling hard-to-biodegrade end-of-life products. Full article
Show Figures

Figure 1

15 pages, 4076 KB  
Article
Combination of Membrane-Based Pre-Treatment Techniques and Heterogeneous Photocatalysis to Obtain High-Quality Effluents from Produced Water
by Greta Brocchetto, Iván Sciscenko, Marco Minella, Lorenzo Craveri, Erica Bertozzi, Marco Malaguti, Marco Coha, Alberto Tiraferri and Davide Vione
Molecules 2025, 30(12), 2532; https://doi.org/10.3390/molecules30122532 - 10 Jun 2025
Cited by 1 | Viewed by 1200
Abstract
Produced water is the waste aqueous phase from petroleum extraction. As it contains salts, a high organic load, and toxic organic compounds, it should be treated before disposal or reuse. In this research, the combination of membrane processes (microfiltration or membrane distillation) with [...] Read more.
Produced water is the waste aqueous phase from petroleum extraction. As it contains salts, a high organic load, and toxic organic compounds, it should be treated before disposal or reuse. In this research, the combination of membrane processes (microfiltration or membrane distillation) with TiO2-based heterogeneous photocatalysis was assessed to treat synthetic produced water. Pre-treatment with both microfiltration and membrane distillation removed the majority (90–98%) of large organic compounds (humic acids) from produced water. Moreover, membrane distillation also eliminated salt (sodium chloride). However, membrane processes only removed 10–50% of phenol, used here as proxy for low-molecular-weight toxic organic compounds. For this reason, membrane permeates, from microfiltration and membrane distillation, underwent a further photocatalytic treatment aimed at phenol degradation. The application of TiO2 photocatalysis to membrane distillation permeates was successful (100% phenol removal in 5 min), while the high chloride concentration of microfiltration permeates acted as inhibitor of the photocatalytic process. Overall, good-quality water may be obtained from the combination of membrane distillation and heterogeneous photocatalysis, which performed much better than the two techniques used separately. Indeed, while membrane distillation was not able to remove phenol, produced water was too complex a matrix to be effectively treated with TiO2/UV photocatalysis alone. Full article
Show Figures

Figure 1

27 pages, 5690 KB  
Review
Superabsorbent Polymers: Innovations in Ecology, Environmental, and Diverse Applications
by Qingya Niu, Jiayin Xie, Jiayan Li, Zaixu An, Huijie Xiao, Xiaoyuan Zhang, Zhiqiang Su and Zhichao Wang
Materials 2025, 18(4), 823; https://doi.org/10.3390/ma18040823 - 13 Feb 2025
Cited by 4 | Viewed by 4321
Abstract
Significant progress has been achieved in the development of superabsorbent polymers (SAPs), focusing on enhancing their performance and expanding their applications. Efforts are particularly directed at increasing water absorbency while promoting environmental sustainability. Biodegradable materials such as starch and potassium humate have been [...] Read more.
Significant progress has been achieved in the development of superabsorbent polymers (SAPs), focusing on enhancing their performance and expanding their applications. Efforts are particularly directed at increasing water absorbency while promoting environmental sustainability. Biodegradable materials such as starch and potassium humate have been successfully integrated with SAPs for desert greening, improving water retention, salt resistance, and seedling survival. The inclusion of nutrient-rich organic-inorganic composites further enhances the durability, efficiency, and recyclability of SAPs. In drought mitigation, polymeric absorbent resins such as polyacrylamide and starch-grafted acrylates have shown efficacy in ameliorating soil conditions and fostering plant growth. In arid environments, agents enriched with humic acid and bentonite contribute to improved soil aeration and water retention, creating optimal conditions for plant establishment. Additionally, the adoption of innovative waste management solutions has led to the production of amphiphilic SAPs from residual sludge, effectively addressing soil nutrient deficiencies and environmental pollution. In the food industry, SAPs containing protease, tea polyphenols, and chitosan exhibit potential for enhancing the stability and quality of seafood products. These advancements highlight the growing relevance of structural optimization approaches in SAP development across diverse applications and underline the importance of continued innovation in these fields. As novel materials emerge and environmental challenges intensify, the potential applications of SAPs are anticipated to expand significantly. Full article
(This article belongs to the Special Issue Construction and Applications in Functional Polymers)
Show Figures

Figure 1

13 pages, 2792 KB  
Article
Exploring the Molecular Composition of Dissolved Organic Matter and Its Connection to Microbial Communities in Industrial-Scale Anaerobic Digestion of Chicken Manure
by Juan Hu, Yurui Zeng, Aibin Hu and Xiaofeng Wang
Toxics 2025, 13(1), 49; https://doi.org/10.3390/toxics13010049 - 10 Jan 2025
Cited by 2 | Viewed by 1736
Abstract
Anaerobic digestion (AD) technology offers significant advantages in addressing environmental issues arising from the intensification of livestock production since it enables waste reduction and energy recovery. However, the molecular composition of dissolved organic matter (DOM) and its linkages to microbial biodiversity during the [...] Read more.
Anaerobic digestion (AD) technology offers significant advantages in addressing environmental issues arising from the intensification of livestock production since it enables waste reduction and energy recovery. However, the molecular composition of dissolved organic matter (DOM) and its linkages to microbial biodiversity during the industrial-scale AD process of chicken manure (CM) remains unclear. In this study, the chemical structure of CM digestate-derived DOM was characterized by using multi-spectroscopic techniques and ultrahigh-resolution mass spectrometry, and the microbial composition was detected by using 16S rRNA gene sequencing. The results revealed that the DOM contained abundant free amino acids and protein-like compounds but fewer humic-like substances, identified as lignin/carboxylate-rich alicyclic molecules, lipids, and proteins/aliphatic compounds featuring enriched S5–6O1 and N1–5OX fragments. In addition, the 16S rRNA results revealed microorganisms that were centered on metabolic function in the production of volatile fatty acids, H2S/CH4, and the hydrolysis reaction in the AD process. Free amino acids and protein-like compounds were mainly associated with hydrolysis reactions and H2S production functional microorganisms. Lignin/carboxylate-rich alicyclic molecules were linked to microorganisms possessing hydrolysis reactions and, indirectly, CH4 production. This study elucidates the linkage with the microbial and molecular composition of DOM, establishing a theoretical foundation for employing AD in the disposal of CM. Full article
(This article belongs to the Special Issue Biomass Conversion and Organic Waste Utilization in Wastewater)
Show Figures

Figure 1

15 pages, 3528 KB  
Article
Effects of Calcium Peroxide Dosage on Physicochemical Parameters, Organic Matter Degradation, Humification, and Microbial Community Succession During Food Waste Composting
by Kun Hu, Guoning Zhou, Jia Chen, Nalume Gerald Wafula and Guangming Li
Waste 2025, 3(1), 3; https://doi.org/10.3390/waste3010003 - 4 Jan 2025
Cited by 1 | Viewed by 1724
Abstract
To verify the possible roles of calcium peroxide (CaO2) in addressing the key challenges of aerobic composting of food waste, including long composting duration, poor compost product quality, and gas emissions during composting, this study conducted a 38-day composting experiment using [...] Read more.
To verify the possible roles of calcium peroxide (CaO2) in addressing the key challenges of aerobic composting of food waste, including long composting duration, poor compost product quality, and gas emissions during composting, this study conducted a 38-day composting experiment using artificially blended food waste. Five containers were employed for investigating the effects of five doses of CaO2 (0%, 5%, 10%, 15%, and 20%, w/w) on physicochemical parameters, organic matter (OM) degradation, and humification during composting. Additionally, more evidence from a microbial perspective was provided by analyzing the effects of CaO2 additions on microbial community succession. The results indicated that CaO2 additions increased the relative abundance of mineralization bacteria, accelerated the temperature increase of compost in the early composting stage, and elevated the peak temperature. It also facilitated the decomposition of OM and enhanced the synthesis of humic acid during the early composting stage. However, the addition of CaO2, especially at relatively high doses, impacted the humification process. Compared with the control, only the 5% CaO2 treatment had a significantly greater humification coefficient, reaching 1.73 ± 0.11. Moreover, adding CaO2 reduced the total ammonia emissions from composting by 17.1% to 59.7%. Overall, CaO2 is an effective additive for ameliorating key issues in food waste composting. Full article
Show Figures

Graphical abstract

9 pages, 1343 KB  
Review
Use of Corn Steep Liquor as a Biostimulant in Agriculture
by Francisco Garcia-Sanchez, Jose M. Camara-Zapata and Iván Navarro-Morillo
Horticulturae 2024, 10(4), 315; https://doi.org/10.3390/horticulturae10040315 - 25 Mar 2024
Cited by 5 | Viewed by 5141
Abstract
Biostimulants are substances or microorganisms that are applied to plants, soil, or seeds, to improve the growth, development, performance, and quality of crops. Their application is mainly directed towards improving the resistance of crops against abiotic and biotic stresses. These compounds are formulated [...] Read more.
Biostimulants are substances or microorganisms that are applied to plants, soil, or seeds, to improve the growth, development, performance, and quality of crops. Their application is mainly directed towards improving the resistance of crops against abiotic and biotic stresses. These compounds are formulated from a great variety of compounds: humic substances, complex organic materials (sewage sludge extracts, composts, and manure), chemical elements (Al, Co, Na, Se, and Si), inorganic salts including phosphite, seaweed extracts (brown, red, and green), amino acids, etc. As of today, it has been observed that corn steep liquor (CSL), which is obtained from the industrial process of corn transformation, may be a good ingredient for the formulation of biostimulant products. CSL contains a large amount of different chemical compounds with biological activity for the plants and soil. The use of CSL industrial waste, previously formulated, could have a direct or indirect effect on the physiological processes and metabolic routes of plants related to the adaptation to abiotic and biotic stresses, as their compounds are part of these metabolic pathways, act as elicitor compounds, and/or have their own biological activity in the plants. There is evidence that the application of CSL could protect plants from specific abiotic and biotic stresses, such as an excess of light or temperature, nutritional limitations, salinity, drought, or pathogens. In addition, it can improve the growth of the plant when these are grown in hydroponic systems, and can improve the health of soils. The present article is focused on describing the most relevant scientific aspects of CSL when used as an ingredient to formulate biostimulants for agriculture. It will discuss its chemical composition, the analytical techniques utilized to elucidate and quantify its compounds, its uses in agriculture, and mode of action in the plants. Full article
(This article belongs to the Special Issue Rethinking Horticulture to Meet Sustainable Development Goals)
11 pages, 3120 KB  
Article
A New Method for Discovering Plant Biostimulants
by Peiwen Gao, Kui Wang, Chang Qi, Keming Chen, Wensheng Xiang, Yue Zhang, Jie Zhang and Changlong Shu
Plants 2024, 13(1), 56; https://doi.org/10.3390/plants13010056 - 23 Dec 2023
Cited by 3 | Viewed by 2093
Abstract
Structurally well-defined compounds have advantages for quality control in plant biostimulant production and application processes. Humic acid (HA) is a biostimulant that significantly affects plant growth, and soil-dwelling Protaetia brevitarsis larva (PBLs) can rapidly convert agricultural waste into HA. In this study, we [...] Read more.
Structurally well-defined compounds have advantages for quality control in plant biostimulant production and application processes. Humic acid (HA) is a biostimulant that significantly affects plant growth, and soil-dwelling Protaetia brevitarsis larva (PBLs) can rapidly convert agricultural waste into HA. In this study, we use PBLs as a model to investigate HA formation and screen for structurally well-defined HA-related plant biostimulant compounds. Dephasing magic angle spinning nuclear magnetic resonance (13C DD–MAS NMR) analysis indicated HA structural changes during PBL digestion; metabolic profiling detected seven HA-related aromatic ring-containing compounds. A total of six compounds that significantly stimulate plant growth were identified through plant experiments, and all six compounds demonstrate the ability to enhance seed germination. It is noteworthy that piperic acid exhibits a remarkable promotion of root growth in plants, a finding reported for the first time in this study. Thus, this study not only provides insights into the insect-mediated transformation of HA but also illustrates a new method for discovering structurally well-defined plant biostimulant compounds. Full article
(This article belongs to the Special Issue Biostimulants as Growth Promoting and Stress Protecting Compounds)
Show Figures

Figure 1

19 pages, 3389 KB  
Article
Pilot Scale Testing of Lignite Adsorption Capability and the Benefits for the Recovery of Rare Earth Elements from Dilute Leach Solutions
by Ahmad Nawab and Rick Honaker
Minerals 2023, 13(7), 921; https://doi.org/10.3390/min13070921 - 8 Jul 2023
Cited by 4 | Viewed by 2443
Abstract
Naturally occurring organic materials containing humic acids show a strong affinity towards rare earth elements (REE) and other critical elements. Leaching experiments on lignite coal waste produced from construction sand production revealed that the contained REEs were associated with the organic matter. Furthermore, [...] Read more.
Naturally occurring organic materials containing humic acids show a strong affinity towards rare earth elements (REE) and other critical elements. Leaching experiments on lignite coal waste produced from construction sand production revealed that the contained REEs were associated with the organic matter. Furthermore, adsorption studies revealed that the lignite waste was capable of extracting REEs from a model solution and increased the REE content of the lignite waste by more than 100%. As such, this study aimed to utilize the lignite waste to adsorb REEs from pregnant leach solutions and acid mine drainage sources having low REE concentrations and subsequently leach the lignite material to produce pregnant leach solutions containing relatively high amounts of REEs, which benefits the performance and economic viability of downstream separation and purification processes. An integrated flowsheet was developed based on this concept and tested at a pilot scale. The pregnant leachate solution (PLS) was generated from a heap leach pad containing 2000 tons of Baker seam coarse refuse. The pilot scale circuit was comprised of aluminum precipitation, adsorption using the waste lignite, and rare earth-critical metal (RE-CM) precipitation stages in succession. The results indicated that the aluminum precipitation stage removed over 88% and 99% of the Al and Fe, respectively. The adsorption stage increased the REE content associated with the waste lignite from 457 ppm to 1065 ppm on a whole mass basis. Furthermore, the heavy REE (HREE) content in the feedstock increased by approximately 250%, which raised the percentage of HREE in the REE distribution by 19 absolute percentage points. In addition to the REEs, concentrations of other critical elements such as Mn, Ni, and Zn also improved by 75%, 37%, and 250%, respectively. Bench-scale tests revealed that increasing the solids concentration in the waste lignite and PLS mix from 1% to 20% by weight enhanced the adsorption efficiency from 32.0% to 99.5%, respectively. As such, a new flowsheet was proposed which provides significantly higher REE concentrations in the PLS that can be fed directly to solvent extraction and/or oxalic acid precipitation and, thereby, enhancing process efficiency and economics. Full article
(This article belongs to the Special Issue Recovery of Rare Earth Elements (REEs) from Coal Ash)
Show Figures

Figure 1

13 pages, 2842 KB  
Article
Processing of Phosphoric Solid Waste by Humic Acid Leaching Method
by Ulzhalgas Nazarbek, Perizat Abdurazova, Saule Nazarbekova, Yerkebulan Raiymbekov and Maksat Kambatyrov
Inorganics 2023, 11(3), 90; https://doi.org/10.3390/inorganics11030090 - 21 Feb 2023
Cited by 3 | Viewed by 2200
Abstract
This article presents the results of research on the leaching of solid phosphorus-containing waste with humic acid. Such waste includes the by-products of the electrothermal processing of phosphate raw materials—phosphorus sludge and cottrel dust. Chemical and X-ray diffraction analyses have been used to [...] Read more.
This article presents the results of research on the leaching of solid phosphorus-containing waste with humic acid. Such waste includes the by-products of the electrothermal processing of phosphate raw materials—phosphorus sludge and cottrel dust. Chemical and X-ray diffraction analyses have been used to study their composition and phase structure, according to which these substances have an amorphous structure. The leaching of phosphoric sludge and cottrel dust was investigated by varying the main parameters. The obtained data were processed using the method of formal kinetics to study the features of the process. The reaction rate constants and the apparent activation energy were calculated, and the values found made it possible to determine that the process under study is limited by diffusion. The scientific novelty of the article is the use of humic acid for leaching phosphoric solid waste as opposed to traditional methods. This new method may offer improved efficiency, reduced environmental impact, and a potential alternative solution for the processing of phosphoric waste. Full article
Show Figures

Figure 1

20 pages, 2759 KB  
Article
Soil Amendment with a Lignite-Derived Humic Substance Affects Soil Properties and Biomass Maize Yield
by Katarzyna Solek-Podwika, Krystyna Ciarkowska and Barbara Filipek-Mazur
Sustainability 2023, 15(3), 2304; https://doi.org/10.3390/su15032304 - 27 Jan 2023
Cited by 2 | Viewed by 2524
Abstract
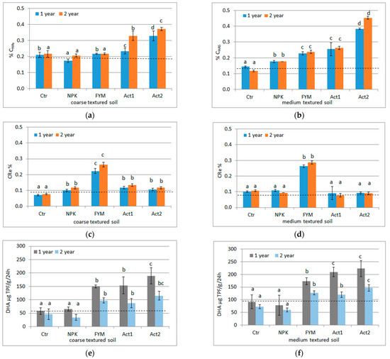
A two-year pot experiment was set up to determine the ability of Actosol (Act) to improve soil properties and maize yields. The Act effects were compared to those of manure, nitrogen/phosphorus/potassium (NPK) and an additive-free control (Ctr). After years 1 and 2, the [...] Read more.
A two-year pot experiment was set up to determine the ability of Actosol (Act) to improve soil properties and maize yields. The Act effects were compared to those of manure, nitrogen/phosphorus/potassium (NPK) and an additive-free control (Ctr). After years 1 and 2, the pH, sorption properties, total carbon (TC), total N (TN), available P and K contents, dehydrogenase activity (DHA), residuum (Re) and humic acids (HAs) were measured in coarse- and medium-textured soils. Maize yield, N, P and K were also quantified. The plant element uptake and soil quality index (SQI) were calculated. In both soil types, the Act increased the DHA, cation exchange capacity, bioavailable K, P, TC, TN, C HAs and C Re in the soils compared to the Ctr. The maize yield, K and P contents and their uptake by the maize increased in both soil types after Act application. The SQI increased by >50% with a single dose (Act1), almost doubling with a double dose (Act2) compared to the Ctr. With Act1 and Act2, the P and K uptake increased several-fold. The soil properties and maize yield after using Act demonstrated its utility in improving soil organic matter and maize growth and in disposing of waste. Full article
(This article belongs to the Section Sustainable Agriculture)
Show Figures

Figure 1

14 pages, 2287 KB  
Article
Properties of Humic Substances in Composts Comprised of Different Organic Source Material
by Marge Lanno, Maris Klavins, Oskars Purmalis, Merrit Shanskiy, Anu Kisand and Mait Kriipsalu
Agriculture 2022, 12(11), 1797; https://doi.org/10.3390/agriculture12111797 - 28 Oct 2022
Cited by 28 | Viewed by 6141
Abstract
Reusing organic waste as fertilizer is one method to reduce the use of mineral fertilizers and minimize waste disposal in landfills. Regulations have been enacted for the processing of organic waste and for recycling end products, but the humic content of organic fertilizers [...] Read more.
Reusing organic waste as fertilizer is one method to reduce the use of mineral fertilizers and minimize waste disposal in landfills. Regulations have been enacted for the processing of organic waste and for recycling end products, but the humic content of organic fertilizers has been neglected. We studied seven composts with different organic input materials and technologies. Humic substances (HSs) were detected in all composts. The total organic carbon in the HSs constituted 8.7 ± 0.1% (SD)–27.0 ± 0.2% of the compost dry matter. Spectral differences between the studied samples in FTIR spectroscopy could be observed at 1700–1000 cm−1, indicating differences in compost precursor material. The EEM peak, associated with humic acids (HAs), was high in composts containing animal by-products (e.g., fish waste, horse manure, and kitchen biowaste). Kitchen biowaste, also when processed by Hermetia illucens larvae and vermicompost, exhibited slower organic material transformation with low humic acid/fulvic acid ratios (<1.60). The results show the importance of source material origin and amendments, which influence the composting process and final products. Our study emphasizes the role of humic substances in the comprehensive evaluation of composts. To maximize the added value of composts, marketing strategies should consider determining the share of humic substances besides the content of organic matter and nutrients. Full article
Show Figures

Figure 1

12 pages, 2181 KB  
Article
Evaluation of Physio-Chemical Characteristics of Bio Fertilizer Produced from Organic Solid Waste Using Composting Bins
by Aseel Najeeb Ajaweed, Fikrat M. Hassan and Nadhem H. Hyder
Sustainability 2022, 14(8), 4738; https://doi.org/10.3390/su14084738 - 15 Apr 2022
Cited by 21 | Viewed by 4797
Abstract
Background: The possibility of converting the organic fraction of municipal solid waste to mature compost using the composting bin method was studied. Nine distinct treatments were created by combining municipal solid waste (MSW) with animal waste (3:1, 2:1), poultry manure (3:1, 2:1), [...] Read more.
Background: The possibility of converting the organic fraction of municipal solid waste to mature compost using the composting bin method was studied. Nine distinct treatments were created by combining municipal solid waste (MSW) with animal waste (3:1, 2:1), poultry manure (3:1, 2:1), mixed waste (2:1:1), agricultural waste (dry leaves), biocont (Trichoderm hazarium), and humic acid. Weekly monitoring of temperature, pH, EC, organic matter (OM percent), and the C/N ratio was performed, and macronutrients (N, P, K) were measured. Trace elements, including heavy metals (Cd and Pb), were tested in the first and final weeks of maturity. Results: Temperatures in the first days of composting reached the thermophilic phase in MSW compost with animal and poultry manure between 55–60 °C, pH and EC (mS/cm) increased during the composting period in most composting bin treatments. Overall, organic matter (OM percent) and the C/N ratio decreased (10.27 to 18.9) as result of microbial activity during composting. Organic matter loss percent was less in treatments containing additives (biocont l humic acid) as well agricultural waste treatment. Composting bin treatments with animals and poultry showed higher K and P at the mature stage with an increase in micronutrients. Finally heavy metals were (2.25–4.20) mg/kg and (139–202) mg/kg for Cd and Pb respectively at maturation stage. Conclusion: Therefore, the results suggested that MSW could be composted in the compost bin method with animal and poultry manure. The physio-chemical parameters pH, Ec and C/N were within the acceptable standards. Heavy metals and micronutrients were under the limits of the USA standards. The significance of this study is that the compost bin may be used as a quick check to guarantee that the outputs of long-term public projects fulfill general sustainability requirements, increase ecosystem services, and mitigate the effect of municipal waste disposal on climate change particularly the hot climate regions. Full article
Show Figures

Figure 1

17 pages, 3917 KB  
Article
Potential Hydrothermal-Humification of Vegetable Wastes by Steam Explosion and Structural Characteristics of Humified Fractions
by Wenjie Sui, Shunqin Li, Xiaodan Zhou, Zishan Dou, Rui Liu, Tao Wu, Hongyu Jia, Guanhua Wang and Min Zhang
Molecules 2021, 26(13), 3841; https://doi.org/10.3390/molecules26133841 - 24 Jun 2021
Cited by 39 | Viewed by 3852
Abstract
In this work, steam explosion (SE) was exploited as a potential hydrothermal-humification process of vegetable wastes to deconstruct their structure and accelerate their decomposition to prepare humified substances. Results indicated that the SE process led to the removal of hemicellulose, re-condensation of lignin, [...] Read more.
In this work, steam explosion (SE) was exploited as a potential hydrothermal-humification process of vegetable wastes to deconstruct their structure and accelerate their decomposition to prepare humified substances. Results indicated that the SE process led to the removal of hemicellulose, re-condensation of lignin, degradation of the cellulosic amorphous region, and the enhancement of thermal stability of broccoli wastes, which provided transformable substrates and a thermal-acidic reaction environment for humification. After SE treatment, total humic substances (HS), humic acids (HAs), and fulvic acids (FAs) contents of broccoli samples accounted for up to 198.3 g/kg, 42.3 g/kg, and 166.6 g/kg, and their purification were also facilitated. With the increment of SE severity, structural characteristics of HAs presented the loss of aliphatic compounds, carbohydrates, and carboxylic acids and the enrichment of aromatic structures and N-containing groups. Lignin substructures were proved to be the predominant aromatic structures and gluconoxylans were the main carbohydrates associated with lignin in HAs, both of their signals were enhanced by SE. Above results suggested that SE could promote the decomposition of easily biodegradable matters and further polycondensation, aromatization, and nitrogen-fixation reactions during humification, which were conducive to the formation of HAs. Full article
Show Figures

Figure 1

17 pages, 3218 KB  
Article
Enhanced Agronomic Efficiency Using a New Controlled-Released, Polymeric-Coated Nitrogen Fertilizer in Rice
by Ricardo Gil-Ortiz, Miguel Ángel Naranjo, Antonio Ruiz-Navarro, Sergio Atares, Carlos García, Lincoln Zotarelli, Alberto San Bautista and Oscar Vicente
Plants 2020, 9(9), 1183; https://doi.org/10.3390/plants9091183 - 11 Sep 2020
Cited by 70 | Viewed by 6882
Abstract
Fertilizer-use efficiency is one of the most critical concerns in rice cultivation to reduce N losses, increase yields, and improve crop management. The effects of a new polymeric-coated controlled-release fertilizer (CRF) were compared to those of other slow-release and traditional fertilizers in a [...] Read more.
Fertilizer-use efficiency is one of the most critical concerns in rice cultivation to reduce N losses, increase yields, and improve crop management. The effects of a new polymeric-coated controlled-release fertilizer (CRF) were compared to those of other slow-release and traditional fertilizers in a microscale experiment, which was carried out in cuvettes under partly controlled ambient conditions, and a large-scale field experiment. To evaluate the fertilizer’s efficiency, nitrogen and water-use efficiency were calculated using the measurement of different photosynthetic and crop yield parameters. Improved responses regarding some of the analyzed physiological and growth parameters were observed for those plants fertilized with the new CRF. In the microscale experiment, significantly increased yields (ca. 35%) were produced in the plants treated with CRF as compared to traditional fertilizer. These results were in accordance with ca. 24% significant increased levels of N in leaves of CRF-treated plants, besides increased P, Fe, Mn, and cytokinin contents. At the field scale, similar yields were obtained with the slow-release or traditional fertilizers and CRF at a 20% reduced N dose. The new controlled-release fertilizer is a urea-based fertilizer coated with lignosulfonates, which is cheaply produced from the waste of pulp and wood industries, containing humic acids as biostimulants. In conclusion, CRF is recommended to facilitate rice crop management and to reduce contamination, as it can be formulated with lower N doses and because it is ecological manufacturing. Full article
Show Figures

Figure 1

Back to TopTop