Analysis of Runoff Variation and Future Trends in a Changing Environment: Case Study for Shiyanghe River Basin, Northwest China
Abstract
1. Introduction
2. Materials and Methods
2.1. Study Area
2.2. Data
2.3. Runoff Variation Analysis
2.3.1. Dispersion Analysis by the Coefficient of Variation
2.3.2. Trend Analysis by Mann–Kendall Trend Test
2.3.3. Periodicity Analysis by Morlet Continuous Wavelet Transform
2.4. SWAT Model
2.4.1. Hydrology Model Setup
2.4.2. Model Calibration and Validation
2.4.3. Climate and Land Use Change Projection for Model Inputs
3. Results and Discussion
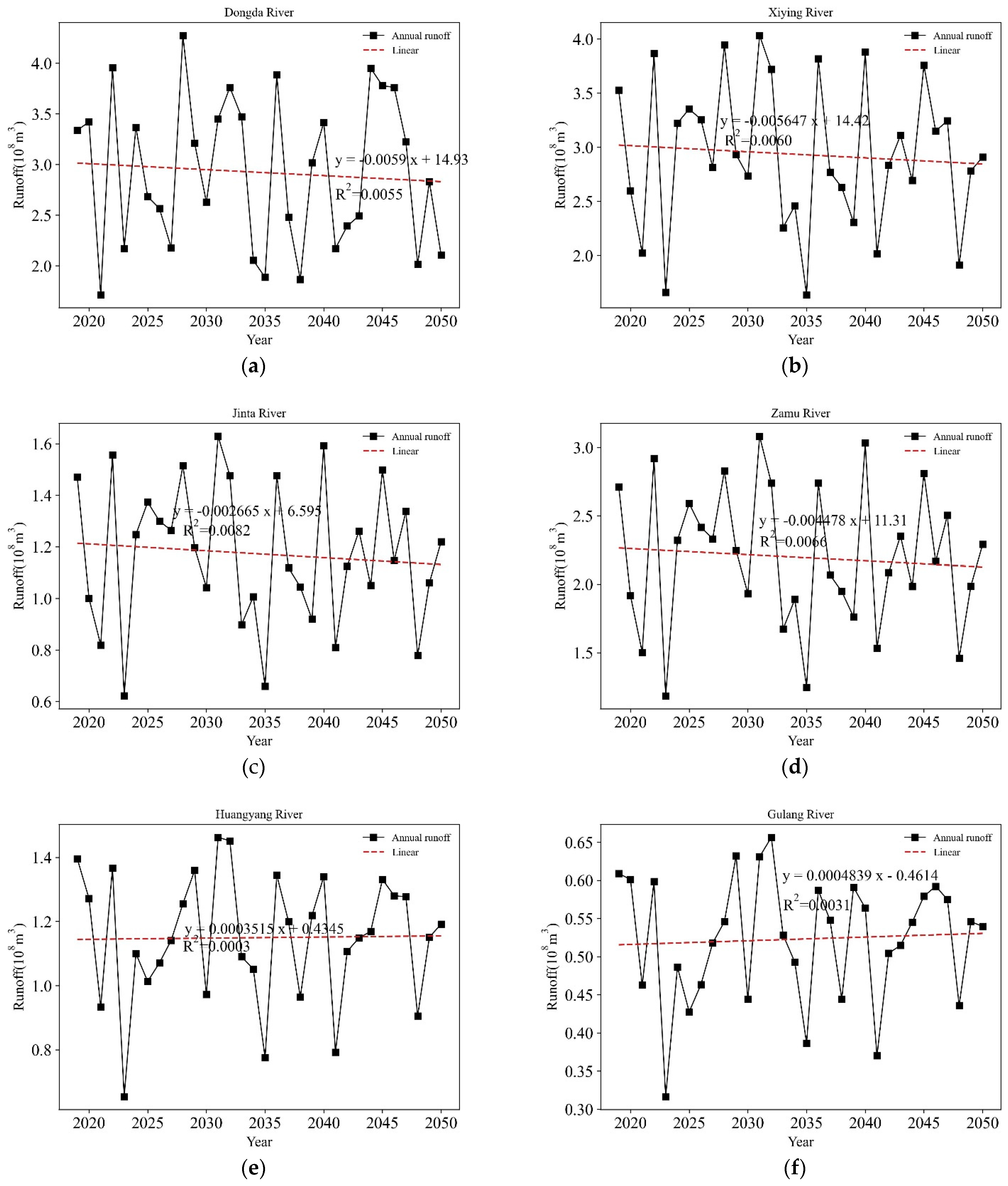
3.1. Runoff Variation
3.2. Calibration, Validation and Sensitivity Analysis of the SWAT Model
3.3. Modelling Hydrological Responses to Possible Climate and Land Use Changes in the Future
3.4. Uncertainties and Limitations
4. Conclusions
Author Contributions
Funding
Institutional Review Board Statement
Informed Consent Statement
Data Availability Statement
Conflicts of Interest
References
- Wu, Y.P.; Liu, S.G.; Gallant, A.L. Predicting impacts of increased CO2 and climate change on the water cycle and water quality in the semiarid James River Basin of the Midwestern USA. Sci. Total Environ. 2012, 430, 150–160. [Google Scholar] [CrossRef]
- Miller, J.D.; Hutchins, M. The impacts of urbanisation and climate change on urban flooding and urban water quality: A review of the evidence concerning the United Kingdom. J. Hydrol. Reg. Stud. 2017, 12, 345–362. [Google Scholar] [CrossRef]
- Costa, M.H.; Botta, A.; Cardille, J.A. Effects of large-scale changes in land cover on the discharge of the Tocantins River, Southeastern Amazonia. J. Hydrol. 2003, 283, 206–217. [Google Scholar] [CrossRef]
- Singh, P.; Kumar, N. Impact assessment of climate change on the hydrological response of a snow and glacier melt runoff dominated Himalayan river. J. Hydrol. 1997, 193, 316–350. [Google Scholar] [CrossRef]
- Albek, M.; Ögütveren, L.B.; Albek, E. Hydrological modeling of Seydi Suyu watershed (Turkey) with HSPF. J. Hydrol. 2004, 285, 260–271. [Google Scholar] [CrossRef]
- Wijesekara, G.N.; Gupta, A.; Valeo, C.; Hasbani, J.G.; Qiao, Y.; Delaney, P.; Marceau, D.J. Assessing the impact of future land-use changes on hydrological processes in the Elbow River watershed in southern Alberta, Canada. J. Hydrol. 2012, 412, 220–232. [Google Scholar] [CrossRef]
- Mango, L.M.; Melesse, A.M.; McClain, M.E.; Gann, D.; Setegn, S.G. Land use and climate change impacts on the hydrology of the upper Mara River Basin, Kenya: Results of a modeling study to support better resource management. Hydrol. Earth Syst. Sci. 2011, 15, 2245–2258. [Google Scholar] [CrossRef]
- Niemann, J.D.; Eltahir, E.A.B. Sensitivity of regional hydrology to climate changes, with application to the Illinois River basin. Water Resour. Res. 2005, 41. [Google Scholar] [CrossRef]
- Chanapathi, T.; Thatikonda, S.; Keesara, V.R.; Ponguru, N.S. Assessment of water resources and crop yield under future climate scenarios: A case study in a Warangal district of Telangana, India. J. Earth Syst. Sci. 2019, 129, s12040-019. [Google Scholar] [CrossRef]
- Zuo, D.; Xu, Z.; Peng, D.; Song, J.; Cheng, L.; Wei, S.; Abbaspour, K.C.; Yang, H. Simulating spatiotemporal variability of blue and green water resources availability with uncertainty analysis. Hydrol. Process. 2015, 29, 1942–1955. [Google Scholar] [CrossRef]
- Scanlon, B.R.; Jolly, I.; Sophocleous, M.; Zhang, L. Global impacts of conversions from natural to agricultural ecosystems on water resources: Quantity versus quality. Water Resour. Res. 2007, 43. [Google Scholar] [CrossRef]
- Loukika, K.N.; Keesara, V.R.; Sridhar, V. Analysis of Land Use and Land Cover Using Machine Learning Algorithms on Google Earth Engine for Munneru River Basin, India. Sustainability 2021, 13, 13758. [Google Scholar] [CrossRef]
- Gong, X.; Bian, J.; Wang, Y.; Jia, Z.; Wan, H. Evaluating and Predicting the Effects of Land Use Changes on Water Quality Using SWAT and CA-Markov Models. Water Resour. Manag. 2019, 33, 4923–4938. [Google Scholar] [CrossRef]
- Chen, Y.; Takeuchi, K.; Xu, C.; Chen, Y.; Xu, Z. Regional climate change and its effects on river runoff in the Tarim Basin, China. Hydrol. Process. 2006, 20, 2207–2216. [Google Scholar] [CrossRef]
- Liu, C.X.; Chen, Y.N.; Fang, G.H.; Zhou, H.H.; Huang, W.J.; Liu, Y.C.; Wang, X.X.; Li, Z. Hydrological Connectivity Improves the Water-Related Environment in a Typical Arid Inland River Basin in Xinjiang, China. Remote Sens. 2022, 14, 4977. [Google Scholar] [CrossRef]
- Ficklin, D.L.; Luo, Y.; Luedeling, E.; Zhang, M. Climate change sensitivity assessment of a highly agricultural watershed using SWAT. J. Hydrol. 2009, 374, 16–29. [Google Scholar] [CrossRef]
- Li, L.; Wang, Z.Y.; Wang, Q.C. Inflence of Climatic Change on Flow over the Upper Reaches of Heihe River. Sci. Geogr. Sin. 2006, 26, 40–46. [Google Scholar]
- Zhang, A.; Zheng, C.; Wang, S.; Yao, Y. Analysis of streamflow variations in the Heihe River Basin, northwest China: Trends, abrupt changes, driving factors and ecological influences. J. Hydrol. Reg. Stud. 2015, 3, 106–124. [Google Scholar] [CrossRef]
- Sun, Z.; Zheng, Y.; Li, X.; Tian, Y.; Han, F.; Zhong, Y.; Liu, J.; Zheng, C. The Nexus of Water, Ecosystems, and Agriculture in Endorheic River Basins: A System Analysis Based on Integrated Ecohydrological Modeling. Water Resour. Res. 2018, 54, 7534–7556. [Google Scholar] [CrossRef]
- Xie, C.; Zhao, L.J.; Eastoe, C.J.; Wang, N.L.; Dong, X.Y. An isotope study of the Shule River Basin, Northwest China: Sources and groundwater residence time, sulfate sources and climate change. J. Hydrol. 2022, 612. [Google Scholar] [CrossRef]
- Kang, S.; Su, X.; Yang, X.; Shen, Q.; Shi, P. Research frame for reasonable allocation of water resources and water-saving in ecology and agriculture in Shiyanghe river basin. J. Water Resour. Water Eng. 2005, 16, 1–9. [Google Scholar]
- Zhu, G.F.; Liu, Y.W.; Shi, P.J.; Jia, W.X.; Zhou, J.J.; Liu, Y.F.; Ma, X.G.; Pan, H.X.; Zhang, Y.; Zhang, Z.Y.; et al. Stable water isotope monitoring network of different water bodies in Shiyang River basin, a typical arid river in China. Earth Syst. Sci. Data 2022, 14, 3773–3789. [Google Scholar] [CrossRef]
- Li, Z.L.; Xu, Z.X.; Li, J.Y.; Li, Z.J. Shift trend and step changes for runoff time series in the Shiyang River basin, northwest China. Hydrol. Process. 2008, 22, 4639–4646. [Google Scholar] [CrossRef]
- Huo, Z.; Feng, S.; Kang, S.; Li, W.; Chen, S. Effect of climate changes and water-related human activities on annual stream flows of the Shiyang river basin in and north-west China. Hydrol. Process. 2008, 22, 3155–3167. [Google Scholar] [CrossRef]
- Chen, M.; Pollard, D.; Barron, E.J. Hydrologic processes in China and their association with summer precipitation anomalies. J. Hydrol. 2005, 301, 14–28. [Google Scholar] [CrossRef]
- Guo, J.; Su, X.; Singh, V.P.; Jin, J. Impacts of Climate and Land Use/Cover Change on Streamflow Using SWAT and a Separation Method for the Xiying River Basin in Northwestern China. Water 2016, 8, 192. [Google Scholar] [CrossRef]
- Li, Z.; Li, X.Y.; Sun, J. Impact of Climate Change on Water Resources in the Shiyang River Basin and the Adaptive Measures for Energy Conservation and Emission Reduction. In Proceedings of the Progress in Industrial and Civil Engineering II: Selected, Peer Reviewed Papers from the 2013 2nd International Conference on Civil, Architectural and Hydraulic Engineering (ICCAHE 2013), Zhuhai, China, 27–28 July 2013; Trans Tech Publications: Stafa-Zurich, Switzerland, 2013; pp. 2143–2147. [Google Scholar]
- Bales, R.C.; Molotch, N.P.; Painter, T.H.; Dettinger, M.D.; Rice, R.; Dozier, J. Mountain hydrology of the western United States. Water Resour. Res. 2006, 42. [Google Scholar] [CrossRef]
- Rumbaur, C.; Thevs, N.; Disse, M.; Ahlheim, M.; Brieden, A.; Cyffka, B.; Duethmann, D.; Feike, T.; Froer, O.; Gaertner, P.; et al. Sustainable management of river oases along the Tarim River (SuMaRiO) in Northwest China under conditions of climate change. Earth Syst. Dyn. 2015, 6, 83–107. [Google Scholar] [CrossRef]
- Im, E.-S.; Eltahir, E.A.B. Enhancement of rainfall and runoff upstream from irrigation location in a climate model of West Africa. Water Resour. Res. 2014, 50, 8651–8674. [Google Scholar] [CrossRef]
- Guo, Q.; Feng, Q.; Li, J. Environmental changes after ecological water conveyance in the lower reaches of Heihe River, Northwest China. Environ. Geol. 2009, 58, 1387–1396. [Google Scholar] [CrossRef]
- Wang, D.; Formica, M.K.; Liu, S. Nonparametric Interval Estimators for the Coefficient of Variation. Int. J. Biostat. 2018, 14. [Google Scholar] [CrossRef]
- Mann, H.B. Non-parametric tests against trend. Econometrica 1945, 13, 245–259. [Google Scholar] [CrossRef]
- Kendall, M.G. Rank Correlation Methods, 2nd ed.; Griffin: London, UK, 1955. [Google Scholar]
- Yu, S.-J.; Son, J.-Y.; Kang, H.-Y.; Cho, Y.-C.; Im, J.-K. Effects of Long-Term Increases in Water Temperature and Stratification on Large Artificial Water-Source Lakes in South Korea. Water 2021, 13, 2341. [Google Scholar] [CrossRef]
- Shangguan, S.; Lin, H.; Wei, Y.; Tang, C. Spatiotemporal Modes Characteristics and SARIMA Prediction of Total Column Water Vapor over China during 2002–2022 Based on AIRS Dataset. Atmosphere 2022, 13, 885. [Google Scholar] [CrossRef]
- Munthali, G.; Gumindoga, W.; Chidya, R.C.G.; Malota, M.; Muhoyi, H. Spatial and temporal variation in rainfall and streamflow—Dzalanyama catchment, Malawi. Water Pract. Technol. 2022, 17, 1035–1045. [Google Scholar] [CrossRef]
- Tali, P.A.; Bhat, M.M.; Lone, F.A. Seasonal Spatio-Temporal Variability in Temperature over North Kashmir Himalayas Using Sen Slope and Mann-Kendall Test. Longdom Publ. SL 2021, 9, 1–11. [Google Scholar]
- Olfatmiri, Y.; Bahreinimotlagh, M.; Jabbari, E.; Kawanisi, K.; Hasanabadi, A.; Al Sawaf, M.B. Application of Acoustic tomographic data to the short-term streamflow forecasting using data-driven methods and discrete wavelet transform. J. Hydrol. 2022, 609. [Google Scholar] [CrossRef]
- Manikanta, V.; Vema, V.K. Formulation of Wavelet Based Multi-Scale Multi-Objective Performance Evaluation (WMMPE) Metric for Improved Calibration of Hydrological Models. Water Resour. Res. 2022, 58. [Google Scholar] [CrossRef]
- Corso, G.; Kuhn, P.S.; Lucena, L.S.; Thome, Z.D. Seismic ground roll time-frequency filtering using the gaussian wavelet transform. Phys. A Stat. Mech. Appl. 2003, 318, 551–561. [Google Scholar] [CrossRef]
- Torrence, C.; Compo, G.P. A practical guide to wavelet analysis. Bull. Am. Meteorol. Soc. 1998, 79, 61–78. [Google Scholar] [CrossRef]
- Shigute, M.; Alamirew, T.; Abebe, A.; Ndehedehe, C.E.; Kassahun, H.T. Understanding Hydrological Processes under Land Use Land Cover Change in the Upper Genale River Basin, Ethiopia. Water 2022, 14, 3881. [Google Scholar] [CrossRef]
- Fentaw, F. Assessment of Climate Change Impacts on the Hydrology of Upper Guder Catchment, Upper Blue Nile. In Proceedings of the ICSWRM 2014: 16th International Conference on Sustainable Water Resources Manageme, London, UK, 24 December 2014. [Google Scholar]
- Cronshey, R. Urban Hydrology for Small Watersheds, 2nd ed.; US Dept. of Agriculture, Soil Conservation Service, Engineering Division: Davis, CA, USA, 1986.
- Asuero, A.G.; Sayago, A.; Gonzalez, A.G. The correlation coefficient: An overview. Crit. Rev. Anal. Chem. 2006, 36, 41–59. [Google Scholar] [CrossRef]
- Kabolizadeh, M.; Rangzan, K.; Zareie, S.; Rashidian, M.; Delfan, H. Evaluating quality of surface water resources by ANN and ANFIS networks using Sentinel-2 satellite data. Earth Sci. Inform. 2022, 15, 523–540. [Google Scholar] [CrossRef]
- Nash, J.E.; Sutcliffe, J.V. River flow forecasting through conceptual models part I—A discussion of principles. J. Hydrol. 1970. [Google Scholar] [CrossRef]
- Gupta, H.V.; Kling, H. On typical range, sensitivity, and normalization of Mean Squared Error and Nash-Sutcliffe Efficiency type metrics. Water Resour. Res. 2011, 47. [Google Scholar] [CrossRef]
- Li, X.; Yu, L.; Sohl, T.; Clinton, N.; Li, W.; Zhu, Z.; Liu, X.; Gong, P. A cellular automata downscaling based 1 km global land use datasets (2010–2100). Sci. Bull. 2016, 61, 1651–1661. [Google Scholar] [CrossRef]
- Cao, B.; Pan, B.; Wen, Z.; Guan, W.; Li, K. Changes in glacier mass in the Lenglongling Mountains from 1972 to 2016 based on remote sensing data and modeling. J. Hydrol. 2019, 578. [Google Scholar] [CrossRef]
- Liu, Y.S.; Qin, X.; Chen, J.Z.; Li, Z.L.; Wang, J.; Du, W.T.; Guo, W.Q. Variations of Laohugou Glacier No. 12 in the western Qilian Mountains, China, from 1957 to 2015. J. Mt. Sci. 2018, 15, 25–32. [Google Scholar] [CrossRef]
- Zichu, X.I.E.; Xin, W.; Ersi, K.; Qinghua, F.; Qiaoyuan, L.I.; Lei, C. Glacial Runoff in China: An Evaluation and Prediction for the Future 50 Years. J. Glaciol. Geocryol. 2006, 28, 457–466. [Google Scholar]
- Lan, Y.; Ding, Y.; Shen, Y.; Kangersi; Zhang, J. Responding of River Streamflow to the Climate Shift in the Hexi Inland Region. J. Glaciol. Geocryol. 2003, 25, 188–192. [Google Scholar]
- Zhang, L.; Dawes, W.R.; Walker, G.R. Response of mean annual evapotranspiration to vegetation changes at catchment scale. Water Resour. Res. 2001, 37, 701–708. [Google Scholar] [CrossRef]
- Zhang, S.-Q.; Gao, X.; Zhang, X.-W. Glacial runoff likely reached peak in the mountainous areas of the Shiyang River Basin, China. J. Mt. Sci. 2015, 12, 382–395. [Google Scholar] [CrossRef]
- Shi, Y.; Shen, Y.; Kang, E.; Li, D.; Ding, Y.; Zhang, G.; Hu, R. Recent and future climate change in northwest china. Clim. Change 2007, 80, 379–393. [Google Scholar] [CrossRef]
- Li, Z.; Feng, Q.; Wang, Q.J.; Yong, S.; Cheng, A.; Li, J. Contribution from frozen soil meltwater to runoff in an in-land river basin under water scarcity by isotopic tracing in northwestern China. Glob. Planet. Change 2016, 136, 41–51. [Google Scholar] [CrossRef]
- Chiew, F.H.S.; Kirono, D.G.C.; Kent, D.M.; Frost, A.J.; Charles, S.P.; Timbal, B.; Nguyen, K.C.; Fu, G. Comparison of runoff modelled using rainfall from different downscaling methods for historical and future climates. J. Hydrol. 2010, 387, 10–23. [Google Scholar] [CrossRef]
- Wilby, R.L.; Harris, I. A framework for assessing uncertainties in climate change impacts: Low-flow scenarios for the River Thames, UK. Water Resour. Res. 2006, 42. [Google Scholar] [CrossRef]
















| Time, Year | Name | Z | Trends | Confidence Level | Significance |
|---|---|---|---|---|---|
| 1955 to 2018 | Dongda River | −0.80 | decrease | 95% | non-significant |
| 1955 to 2018 | Xiying River | −2.56 | decrease | 95% | significant |
| 1950 to 2018 | Jinta River | −3.05 | decrease | 95% | significant |
| 1952 to 2018 | Zamu River | −1.77 | decrease | 95% | non-significant |
| 1950 to 2018 | Huangyang River | −2.90 | decrease | 95% | significant |
| 1956 to 2018 | Gulang River | −3.12 | decrease | 95% | significant |
| 1956 to 2018 | Shiyang Mainstream | −1.12 | decrease | 95% | non-significant |
| Name | Main Period 1 | Main Period 2 |
|---|---|---|
| Dongda River | 35 | 21 |
| Xiying River | 45 | 26 |
| Jinta River | 49 | 29 |
| Zamu River | 48 | 28 |
| Huangyang River | 48 | 29 |
| Gulang River | 49 | 19 |
| Shiyang Mainstream | 44 | 26 |
| Name | Pre-Calibration | Calibration | Validation | ||||||
|---|---|---|---|---|---|---|---|---|---|
| Time | Time | Re (%) | R2 | NSE | Time | Re (%) | R2 | NSE | |
| Dongda River | 1989 | 1990–1999 | 25.5 | 0.864 | 0.82 | 2000–2004 | 20.7 | 0.923 | 0.90 |
| Xiying River | 2003 | 2004–2013 | 42.8 | 0.814 | 0.81 | 2014–2018 | 38.3 | 0.904 | 0.89 |
| Jinta River | 2003 | 2004–2013 | 50.4 | 0.857 | 0.83 | 2014–2018 | 47.0 | 0.880 | 0.88 |
| Zamu River | 2003 | 2004–2013 | 53.3 | 0.917 | 0.77 | 2014–2018 | 54.7 | 0.914 | 0.74 |
| Huangyang River | 2003 | 2004–2013 | 38.4 | 0.850 | 0.78 | 2014–2018 | 33.1 | 0.864 | 0.77 |
| Gulang River | 2003 | 2004–2013 | 40.2 | 0.869 | 0.86 | 2014–2018 | 62.2 | 0.908 | 0.89 |
| Shiyang River Basin | 2004 | 2005–2013 | 73.0 | 0.854 | 0.85 | 2014–2018 | 38.8 | 0.929 | 0.89 |
| Name | Average Runoff (108 m3) | Cv | Z | Significance |
|---|---|---|---|---|
| Dongda River | 2.92 (−0.06 *) | 0.25 | −0.37 | non-significant |
| Xiying River | 3.17 (−0.19 *) | 0.23 | −0.28 | non-significant |
| Jinta River | 1.17 (−0.15 *) | 0.24 | −0.41 | non-significant |
| Zamu River | 2.21 (−0.15 *) | 0.23 | −0.54 | non-significant |
| Huangyang River | 1.15 (−0.12 *) | 0.17 | 0.003 | non-significant |
| Gulang River | 0.52 (−0.12 *) | 0.16 | 0.004 | non-significant |
| Mainstream | 11.95 (−1.98 *) | 0.18 | −0.08 | non-significant |
Disclaimer/Publisher’s Note: The statements, opinions and data contained in all publications are solely those of the individual author(s) and contributor(s) and not of MDPI and/or the editor(s). MDPI and/or the editor(s) disclaim responsibility for any injury to people or property resulting from any ideas, methods, instructions or products referred to in the content. |
© 2023 by the authors. Licensee MDPI, Basel, Switzerland. This article is an open access article distributed under the terms and conditions of the Creative Commons Attribution (CC BY) license (https://creativecommons.org/licenses/by/4.0/).
Share and Cite
Shao, Y.; Dong, Z.; Meng, J.; Wu, S.; Li, Y.; Zhu, S.; Zhang, Q.; Zheng, Z. Analysis of Runoff Variation and Future Trends in a Changing Environment: Case Study for Shiyanghe River Basin, Northwest China. Sustainability 2023, 15, 2173. https://doi.org/10.3390/su15032173
Shao Y, Dong Z, Meng J, Wu S, Li Y, Zhu S, Zhang Q, Zheng Z. Analysis of Runoff Variation and Future Trends in a Changing Environment: Case Study for Shiyanghe River Basin, Northwest China. Sustainability. 2023; 15(3):2173. https://doi.org/10.3390/su15032173
Chicago/Turabian StyleShao, Yiqing, Zengchuan Dong, Jinyu Meng, Shujun Wu, Yao Li, Shengnan Zhu, Qiang Zhang, and Ziqin Zheng. 2023. "Analysis of Runoff Variation and Future Trends in a Changing Environment: Case Study for Shiyanghe River Basin, Northwest China" Sustainability 15, no. 3: 2173. https://doi.org/10.3390/su15032173
APA StyleShao, Y., Dong, Z., Meng, J., Wu, S., Li, Y., Zhu, S., Zhang, Q., & Zheng, Z. (2023). Analysis of Runoff Variation and Future Trends in a Changing Environment: Case Study for Shiyanghe River Basin, Northwest China. Sustainability, 15(3), 2173. https://doi.org/10.3390/su15032173

