Monthly Runoff Forecasting Based on Interval Sliding Window and Ensemble Learning
Abstract
1. Introduction
2. Materials and Methods
2.1. Study Area
2.2. Interval Sliding Window Algorithm
| Algorithm 1: Interval Sliding Window |
| Input: n: The length of runoff time series Xn: Runoff time series m: Number of forecast factors Process: 1. Data = [ ] 2. for i = 1, 2, …, n−12 do: 3. Data[i] = [Xi, Xi+1, …, Xi+12] 4. end for 5. Calculate the correlation coefficient matrix Cor1 between each month 6. Convert Cor1 to Cor2 as shown in Figure 3 7. Select m columns with large correlation coefficients as forecast factors in Data Output: Data: Data set for machine learning |
2.3. Ensemble Learning
2.4. Performance Metrics
3. Results
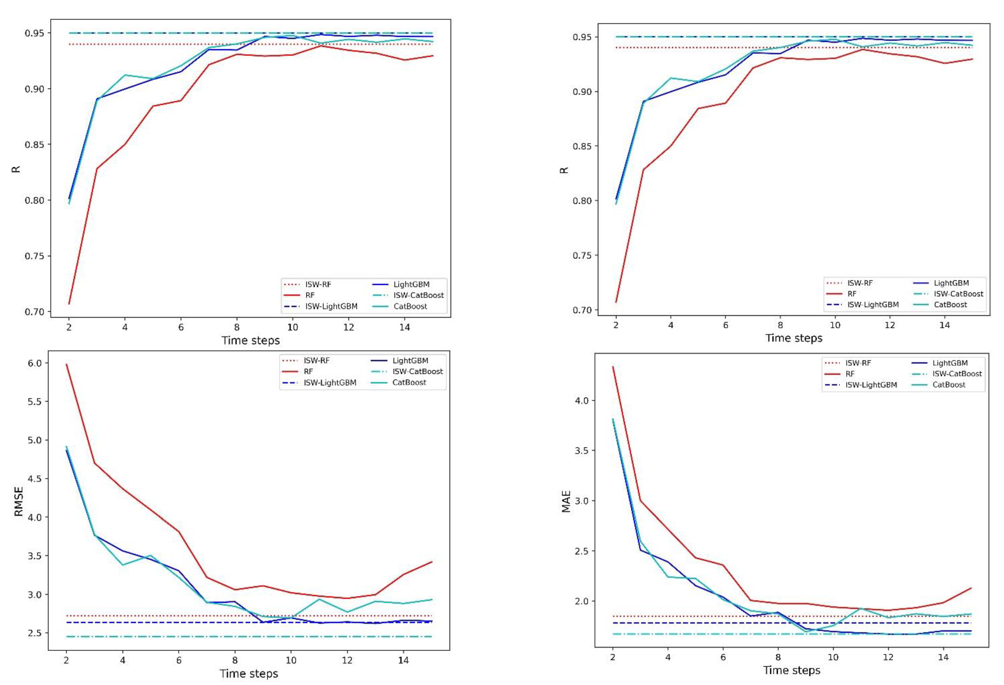
3.1. Results for ISW
3.2. Comparison of ISW and Sliding Windows
3.3. Forecast Results
4. Discussion
5. Conclusions
Author Contributions
Funding
Informed Consent Statement
Data Availability Statement
Conflicts of Interest
References
- Sivakumar, B.; Berndtsson, R.; Persson, M. Monthly runoff prediction using phase space reconstruction. Hydrol. Sci. J. 2001, 46, 377–387. [Google Scholar] [CrossRef]
- Nilsson, P.; Uvo, C.B.; Berndtsson, R. Monthly runoff simulation: Comparing and combining conceptual and neural network models. J. Hydrol. 2006, 321, 344–363. [Google Scholar] [CrossRef]
- Abuzied, S.M.; Mansour, B.M.H. Geospatial hazard modeling for the delineation of flash flood-prone zones in Wadi Dahab basin. Egypt J. Hydroinform. 2019, 21, 180–206. [Google Scholar] [CrossRef]
- Abuzied, S.; Yuan, M.; Ibrahim, S.; Kaiser, M.; Saleem, T. Geospatial risk assessment of flash floods in Nuweiba area. Egypt J. Arid Env. 2016, 133, 54–72. [Google Scholar] [CrossRef]
- Bournas, A.; Baltas, E. Increasing the efficiency of the Sacramento model on event basis in a mountainous river basin. Environ. Process 2021, 8, 943–958. [Google Scholar] [CrossRef]
- Liao, S.L.; Li, G.; Sun, Q.Y.; Li, Z.F. Real-time correction of antecedent precipitation for the Xinanjiang model using the genetic algorithm. J. Hydroinform. 2016, 18, 803–815. [Google Scholar] [CrossRef]
- Ren-Jun, Z. The Xinanjiang model applied in China. J. Hydrol. 1992, 135, 371–381. [Google Scholar] [CrossRef]
- Chu, H.B.; Wei, J.H.; Jiang, Y. Middle- and long-term streamfow forecasting and uncertainty analysis using lasso-DBN-bootstrap model. Water Resour. Manag. 2021, 35, 2617–2632. [Google Scholar] [CrossRef]
- Liang, D.; Xu, J.; Li, S.; Sun, C. Short-term passenger flow prediction of rail transit based on VMD-LSTM neural network combination model. In Proceedings of the 2020 Chinese Control and Decision Conference (CCDC), Hefei, China, 22–24 August 2020; pp. 5131–5136. [Google Scholar] [CrossRef]
- Riahi-Madvar, H.; Dehghani, M.; Memarzadeh, R.; Gharabaghi, B. Short to long-term forecasting of river flows by heuristic optimization algorithms hybridized with ANFIS. Water Resour. Manag. 2021, 35, 1149–1166. [Google Scholar] [CrossRef]
- Ren, L.; Xiang, X.Y.; Ni, J.J. Forecast modeling of monthly runoff with adaptive neural fuzzy inference system and wavelet analysis. J. Hydrol. Eng. 2013, 18, 1133–1139. [Google Scholar] [CrossRef]
- Sharma, S.K.; Tiwari, K.N. Bootstrap based artificial neural network (BANN) analysis for hierarchical prediction of monthly runoff in Upper Damodar Valley Catchment. J. Hydrol. 2009, 374, 209–222. [Google Scholar] [CrossRef]
- Bennett, J.C.; Wang, Q.J.; Li, M.; Robertson, D.E.; Schepen, A. Reliable long-range ensemble streamflow forecasts: Combining calibrated climate forecasts with a conceptual runoff model and a staged error model. Water Resour. Res. 2016, 52, 8238–8259. [Google Scholar] [CrossRef]
- Hu, Y.; Schmeits, M.J.; Jan van Andel, S.; Verkade, J.S.; Xu, M.; Solomatine, D.P.; Liang, Z. A stratified sampling approach for improved sampling from a calibrated ensemble forecast distribution. J. Hydrometeorol. 2016, 17, 2405–2417. [Google Scholar] [CrossRef]
- Zheng, H.; Yuan, J.; Chen, L. Short-term load forecasting using EMD-LSTM neural networks with a Xgboost algorithm for feature importance evaluation. Energies 2017, 10, 1168. [Google Scholar] [CrossRef]
- Hou, S.; Shi, H.; Cao, X.; Zhang, X.; Jiao, L. Hyperspectral Imagery Classification Based on Contrastive Learning. IEEE Trans. Geosci. Remote Sens. 2021, 60, 5521213. [Google Scholar] [CrossRef]
- Huang, S.; Chang, J.; Huang, Q.; Chen, Y. Monthly streamflow prediction using modified EMD-based support vector machine. J. Hydrol. 2014, 511, 764–775. [Google Scholar] [CrossRef]
- Yaseen, Z.M.; Jaafar, O.; Deo, R.C.; Kisi, O.; Adamowski, J.; Quilty, J.; El-Shafie, A. Stream-flow forecasting using extreme learning machines: A case study in a semi-arid region in Iraq. J. Hydrol. 2016, 542, 603–614. [Google Scholar] [CrossRef]
- Ni, L.; Wang, D.; Singh, V.P.; Wu, J.; Wang, Y.; Tao, Y.; Zhang, J. Streamflow and rainfall forecasting by two long short-term memory-based models. J. Hydrol. 2020, 583, 124296. [Google Scholar] [CrossRef]
- Wang, W.C.; Chau, K.W.; Xu, D.M.; Chen, X.Y. Improving forecasting accuracy of annual runoff time series using ARIMA based on EEMD decomposition. Water Resour. Manag. 2015, 29, 2655–2675. [Google Scholar] [CrossRef]
- Suresh, V.; Janik, P.; Rezmer, J.; Leonowicz, Z. Forecasting Solar PV Output Using Convolutional Neural Networks with a Sliding Window Algorithm. Energies 2020, 13, 723. [Google Scholar] [CrossRef]
- Chen, X.; Huang, J.; Han, Z.; Gao, H.; Liu, M.; Li, Z.; Huang, Y. The importance of short lag-time in the runoff forecasting model based on long short-term memory. J. Hydrol. 2020, 589, 125359. [Google Scholar] [CrossRef]
- Breiman, L. Random forests. Mach. Learn. 2001, 45, 5–32. [Google Scholar] [CrossRef]
- Ditthakit, P.; Pinthong, S.; Salaeh, N.; Binnui, F.; Khwanchum, L.; Pham, Q.B. Using machine learning methods for supporting GR2M model in runoff estimation in an ungauged basin. Sci. Rep. 2021, 11, 19955. [Google Scholar] [CrossRef] [PubMed]
- Huang, H.; Liang, Z.; Li, B.; Wang, D.; Hu, Y.; Li, Y. Combination of multiple data-driven models for long-term monthly runoff predictions based on Bayesian model averaging. Water Resour. Manag. 2019, 33, 3321–3338. [Google Scholar] [CrossRef]
- Ke, G.; Meng, Q.; Finley, T.; Wang, T.; Chen, W.; Ma, W.; Liu, T.Y. Lightgbm: A highly efficient gradient boosting decision tree. Adv. Neural Inf. Process. Syst. 2017, 30, 2991. [Google Scholar]
- Dorogush, A.V.; Ershov, V.; Gulin, A. CatBoost: Gradient boosting with categorical features support. arXiv 2018, arXiv:1810.11363. [Google Scholar] [CrossRef]
- Saber, M.; Boulmaiz, T.; Guermoui, M.; Abdrado, K.I.; Kantoush, S.A.; Sumi, T.; Mabrouk, E. Examining LightGBM and CatBoost models for wadi flash flood susceptibility prediction. Geocarto Int. 2021, 3, 1–26. [Google Scholar] [CrossRef]
- Dietterich, T.G. Ensemble methods in machine learning. In International Workshop on Multiple Classifier Systems; Springer: Berlin/Heidelberg, Germany, 2000; pp. 1–15. [Google Scholar] [CrossRef]
- Kukreja, S.L.; Löfberg, J.; Brenner, M.J. A least absolute shrinkage and selection operator (LASSO) for nonlinear system identification. IFAC Proc. Vol. 2006, 39, 814–819. [Google Scholar] [CrossRef]
- Breiman, L. Stacked regressions. Mach. Learn. 1996, 24, 49–64. [Google Scholar] [CrossRef]











| Station | Time-Series Length | Multiyear Average Runoff |
|---|---|---|
| Jiutiaoling | January 1972–December 2018 | 9.96 m3/s |
| Zamusi | January 1972–December 2018 | 7.30 m3/s |
| Station | Forecast Month | Forecast Factors | |||||
|---|---|---|---|---|---|---|---|
| Jiutiaoling | Jant | Jant−1 | Febt−1 | Junt−1 | Jult−1 | Augt−1 | Dect−1 |
| Febt | Febt−1 | Mart−1 | Jult−1 | Augt−1 | Sept−1 | Jant | |
| Mart | Mart−1 | Aprt−1 | Augt−1 | Sept−1 | Octt−1 | Febt | |
| Aprt | Aprt−1 | Mayt−1 | Sept−1 | Octt−1 | Novt−1 | Mart | |
| Mayt | Mayt−1 | Junt−1 | Octt−1 | Novt−1 | Dect−1 | Aprt | |
| Junt | Junt−1 | Jult−1 | Novt−1 | Dect−1 | Jant | Mayt | |
| Jult | Jult−1 | Augt−1 | Dect−1 | Jant | Febt | Junt | |
| Augt | Augt−1 | Sept−1 | Jant | Febt | Mart | Jult | |
| Sept | Sept−1 | Octt−1 | Febt | Mart | Aprt | Augt | |
| Octt | Octt−1 | Novt−1 | Mart | Aprt | Mayt | Sept | |
| Novt | Novt−1 | Dect−1 | Aprt | Mayt | Junt | Octt | |
| Dect | Dect−1 | Jant | Mayt | Junt | Jult | Novt | |
| Zamusi | Jant | Jant−1 | Febt−1 | Junt−1 | Jult−1 | Augt−1 | Dect−1 |
| Febt | Febt−1 | Mart−1 | Jult−1 | Augt−1 | Sept−1 | Jant | |
| Mart | Mart−1 | Aprt−1 | Augt−1 | Sept−1 | Octt−1 | Febt | |
| Aprt | Aprt−1 | Mayt−1 | Sept−1 | Octt−1 | Novt−1 | Mart | |
| Mayt | Mayt−1 | Junt−1 | Octt−1 | Novt−1 | Dect−1 | Aprt | |
| Junt | Junt−1 | Jult−1 | Novt−1 | Dect−1 | Jant | Mayt | |
| Jult | Jult−1 | Augt−1 | Dect−1 | Jant | Febt | Junt | |
| Augt | Augt−1 | Sept−1 | Jant | Febt | Mart | Jult | |
| Sept | Sept−1 | Octt−1 | Febt | Mart | Aprt | Augt | |
| Octt | Octt−1 | Novt−1 | Mart | Aprt | Mayt | Sept | |
| Novt | Novt−1 | Dect−1 | Aprt | Mayt | Junt | Octt | |
| Dect | Dect−1 | Jant | Mayt | Junt | Jult | Novt | |
| Parameters | Jiutiaoling Station | Zamusi Station | |
|---|---|---|---|
| RF | n_estimators | 1000 | 1500 |
| max_features | 6 | 6 | |
| CatBoost | iterations | 100 | 100 |
| depth | 6 | 6 | |
| learning_rate | 0.1 | 0.1 | |
| loss_function | RMSE | RMSE | |
| logging_level | Verbose | Verbose | |
| LightGBM | max_ depth | 6 | 6 |
| learning_rate | 0.006 | 0.03 | |
| n_estimators | 600 | 500 | |
| metric | rmse | rmse | |
| bagging_fraction | 0.8 | 0.8 | |
| feature_fraction | 0.8 | 0.8 | |
| LASSO | alpha | 1 | 1 |
| Models | Training | Verification | ||||||
|---|---|---|---|---|---|---|---|---|
| NSE | RMSE | MAE | R | NSE | RMSE | MAE | R | |
| RF | 0.976 | 1.394 | 0.864 | 0.99 | 0.879 | 2.720 | 1.847 | 0.94 |
| LightGBM | 0.912 | 2.869 | 1.835 | 0.95 | 0.888 | 2.635 | 1.781 | 0.95 |
| CatBoost | 0.940 | 2.891 | 1.864 | 0.95 | 0.898 | 2.450 | 1.671 | 0.95 |
| RLC-LASSO | 0.987 | 0.670 | 0.454 | 0.99 | 0.931 | 2.312 | 1.638 | 0.96 |
| Models | Training | Verification | ||||||
|---|---|---|---|---|---|---|---|---|
| NSE | RMSE | MAE | R | NSE | RMSE | MAE | R | |
| RF | 0.970 | 1.148 | 0.704 | 0.99 | 0.825 | 2.493 | 1.696 | 0.91 |
| LightGBM | 0.905 | 2.036 | 1.260 | 0.95 | 0.811 | 2.595 | 1.730 | 0.90 |
| CatBoost | 0.925 | 1.812 | 1.167 | 0.96 | 0.837 | 2.457 | 1.675 | 0.91 |
| RLC-LASSO | 0.980 | 0.667 | 0.443 | 0.99 | 0.876 | 2.190 | 1.597 | 0.93 |
Disclaimer/Publisher’s Note: The statements, opinions and data contained in all publications are solely those of the individual author(s) and contributor(s) and not of MDPI and/or the editor(s). MDPI and/or the editor(s) disclaim responsibility for any injury to people or property resulting from any ideas, methods, instructions or products referred to in the content. |
© 2022 by the authors. Licensee MDPI, Basel, Switzerland. This article is an open access article distributed under the terms and conditions of the Creative Commons Attribution (CC BY) license (https://creativecommons.org/licenses/by/4.0/).
Share and Cite
Meng, J.; Dong, Z.; Shao, Y.; Zhu, S.; Wu, S. Monthly Runoff Forecasting Based on Interval Sliding Window and Ensemble Learning. Sustainability 2023, 15, 100. https://doi.org/10.3390/su15010100
Meng J, Dong Z, Shao Y, Zhu S, Wu S. Monthly Runoff Forecasting Based on Interval Sliding Window and Ensemble Learning. Sustainability. 2023; 15(1):100. https://doi.org/10.3390/su15010100
Chicago/Turabian StyleMeng, Jinyu, Zengchuan Dong, Yiqing Shao, Shengnan Zhu, and Shujun Wu. 2023. "Monthly Runoff Forecasting Based on Interval Sliding Window and Ensemble Learning" Sustainability 15, no. 1: 100. https://doi.org/10.3390/su15010100
APA StyleMeng, J., Dong, Z., Shao, Y., Zhu, S., & Wu, S. (2023). Monthly Runoff Forecasting Based on Interval Sliding Window and Ensemble Learning. Sustainability, 15(1), 100. https://doi.org/10.3390/su15010100

